Изучение токсического влияния кадмия на активность аминотрансфераз у потомства белых крыс
























































Содержание
Введение
1. Литературный обзор
1.1 Кадмий, как основной источник загрязнения, пути поступления в окружающую среду и действие на метаболические процессы в организме
1.2 Роль и структура аспартатаминотрансферазы и аланинаминотрансферазы
1.2.1 Краткая история открытия реакции переаминирования
1.2.2 Структура аспартатаминотрансферазы
1.2.3 Механизм реакции переаминирования
1.2.4 Биологическая роль трансаминаз
2. Материалы и методы
2.1 Экспериментальная часть
2.1.1 Экспериментальные животные
2.1.2 Подготовка биологического материала
2.1.2.1 Подготовка сыворотки крови
2.1.2.2 Подготовка гомогенатов тканей и органов
2.2 Определение активности аминотрансфераз методом Райтмана –Френкеля
2.2.1 Ход определения активности аспартатаминотрансферазы и аланинаминотрансферазы в сыворотке крови
2.2.2 Определение активности аспартатаминотрансферазы и аланинаминотрансферазы в гомогенатах органов
3. Результаты и обсуждение
Выводы
Список использованных источников
Приложение
СПИСОК СОКРАЩЕННЫХ НАЗВАНИЙ
АСТ – аспартатаминотрансфераза
АЛТ – аланиаминотрансфераза
ПДК – предельно допустимая концентрация
ВОЗ – Всемирная организация здравоохранения
ПОЛ – перекисное окисление липидов
АМ – альвеолярные макрофаги
ПНЛ – полиморфонуклеарные лейкоциты
АТФ – аденозинтрифосфорная кислота
ПЛФ – пиридоксальфосфат
ПМФ – пиридоксаминфосфат
ПВК – пировиноградная кислота
2,4-ДНФГ – 2,4 динтрофенилнидразин
ЦТК – цикл трикарбоновых кислот
АДФ - аденозиндифосфат
Введение
Известно, что тяжелые металлы обладают выраженными кумулятивными свойствами, высокой биохимической активностью по отношению к сульфгидрильным, тиоловым, карбоксильным и другим активным группам белков и аминокислот. Принимая во внимание способность тяжелых металлов к трансплацентарному переходу и высокую чувствительность организма на ранних этапах онтогенеза, становиться очевидным, что новорожденные и дети грудного возраста составляют группу риска развития предпатологических и патологических состояний/1/.
Кадмий (Cd) является одним из опасных загрязнителей природной среды. Адсорбируясь через легкие и желудочно-кишечный тракт, уже через несколько минут он обнаруживается в крови. Кадмий обладает канцерогенным, гонадотропным, эмбриотропным, мутагенным и нефротоксическим действием. Реальная угроза неблагоприятного воздействия на население даже при низких уровнях загрязнения связана с высокой биологической кумуляцией этого металла. Последствия короткого контакта с высокими концентрациями кадмия в воздухе приводят к легочному фиброзу, стойкому нарушению легочных и печеночных функций. В легких оседает до 50% Cd, попавшего в организм ингаляционным путем. В желудочно-кишечном тракте адсорбция Cd в среднем состовляет 5%. Органами – мишенями Cd являются печень, почки, костный мозг, сперма, трубчатые кости и отчасти селезенка. Кадмий депонируется в печени и почках, где его содержится до 30% от общего количества в организме/2/.
Токсическое влияние Cd сказывается, прежде всего, на потомстве, поскольку, проникая через плаценту, кадмий способен изменять ее ферментативный статус/3/. систем. При введении Cd per os беременным и кормящим крысам, у потомства обнаруживают повреждения репродуктивной системы и задержке физического развития/4/. Результатом пренатального и постнатального воздействия Cd является скелетные нарушения, нарушения обмена белков, липидов, ингибирование ряда ферментативных
Одним из наиболее распространенных видов биологического действия химических веществ является их способность влиять на белковый и аминокислотный обмен в организме. Наиболее важными с практической точки зрения и хорошо изученными ферментами являются аспартатаминотрансфераза и аланинаминотрансфераза – ферменты, катализирующие межмолекулярный перенос аминогрупп между амино - и кетокислотами/5/.
Целью данной работы являлось изучение влияния азотнокислого кадмия на активность аланинаминотрансферазы и аспартатаминотрансферазы в сыворотке крови и тканях органов у потомства белых крыс, подвергшихся токсическому действию в неонатальный период.
В соответствии с целью были поставлены следующие задачи:
определить активность АСТ и АЛТ в сыворотке крови, тканях печени, головного мозга, сердца, почках потомства крыс, подвергшихся хроническому действию ионами кадмия в период лактации;
изучить влияние различных доз токсиканта на активность АСТ и АЛТ в сыворотке крови и тканях.
1. Литературный обзор
1.1 Кадмий, как основной источник загрязнения, пути поступления в окружающую среду и действие на метаболические процессы в организме
Современный уровень развития промышленных технологий не позволяет перейти к экологически чистому производству/6/.Одним из наиболее распространенных загрязнителей окружающей среды являются ионы тяжелых металлов, в частности кадмий. Индустриальное загрязнение кадмием характерно для многих промышленных районов России. Кадмий способен адсорбироваться на твердых частицах и переноситься на большие расстояния.
Источниками большинства антропогенных загрязнений являются отходы от металлургических производств, со сточными водами гальванических производств (после кадмирования), других производств, в которых применяются кадмийсодержащие стабилизаторы, пигменты, краски и в результате использования фосфатных удобрений. Кадмий присутствует в воздухе крупных городов вследствие истирания шин, эрозии некоторых видов пластмассовых изделий, красок и клеящих материалов /1/. Однако больше всего в окружающую среду кадмий поступает в виде побочного продукта металлургического производства (например, при выплавке и электролитической очистке цинка), а также при хранении и переработке бытовых и промышленных отходов /7/. Даже в незагрязненных районах с содержанием кадмия в воздухе менее 1 мкг/м, его ежедневное поступление в организм человека при дыхании составляет около 1% от допустимой суточной дозы /2/.
Дополнительным источником поступления кадмия в организм является курение. Одна сигарета содержит 1-2 мкг кадмия, и около 10% его поступает в органы дыхания. У лиц выкуривающих до 30 сигарет в день, за 40 лет в организме накапливается 13-52 мкг кадмия, что превышает его количество, поступающее с пищей /7/.
В питьевую воду кадмий попадает вследствие загрязнения водоисточников производственными сбросами, с реагентами, используемыми на стадии водоподготовки, а также в результате миграции из водопроводных конструкций. Доля кадмия, поступающего в организм с водой, в общей суточной дозе составляет 5-10% /8/. Среднесуточное потребление кадмия человеком составляет примерно 50 мкг с отдельными отклонениями в зависимости от индивидуальных и региональных особенностей /2/.Предельно допустимая концентрация (ПДК) кадмия в атмосферном воздухе составляет 0,3 мкг/м, в воде водоисточников – 0,001мг/л, в почвах песчаных и супесчаных кислых и нейтральных 0,5, 1,0 и 2,0 мг/ кг соответственно /2/.
Всемирной организацией здравоохранения (ВОЗ) установлен допустимый уровень содержания кадмия в организме 6,7- 8 мкг/кг /2,8/. Обмен кадмия в организме характеризуется следующими основными особенностями/9/: отсутствием эффективного механизма гомеостатического контроля; длительным удержанием (кумуляцией) в организме. На задержку кадмия в организме оказывает влияние возраст человека. У детей и подростков степень его всасывания в 5 раз выше, чем у взрослых /2/. Выведение кадмия происходит медленно. Период его биологической полужизни в организме колеблется, по разным оценкам, в пределах 10-47 лет /10,11/. От 50 до 75% кадмия от попавшего количества удерживается в организме. Основное количество кадмия из организма выводится с мочой (1-2 мкг /сут) и калом(10-50 мкг/сут) /2/.
Хроническое воздействие кадмия на человека приводит к нарушениям почечной функций легочной недостаточной, остёомаляций, анемий и потери обоняния. Существует данные о возможном канцерогенном эффекте кадмия и о вероятном участии его в развитии сердечно-сосудистых заболеваний /12/. Наиболее тяжелой формой хронического отравления кадмием является болезнь “итай-итай” характеризующаяся деформацией скелета с заметным уменьшением роста, поясничными болями, болезненным явлениями в мышцах ног, утиной походкой. Кроме того, отмечаются частные переломы размягчённых костей, а также нарушение функций поджелудочной железы, изменения в желудочно-кишечном тракте, гипохромная анемия, дисфункция почек и др./9/. Кадмий способен накапливаться в организме человека и животных, так как сравнительно легко усваивается из пищи и воды и проникает в различные органы и ткани. Токсическое действие металла проявляется уже при очень низких концентрациях /6/. В современной научной литературе изучению токсического действия кадмия посвящено немало работ. Наиболее типичным проявлением отравления кадмием является нарушение процессов поглощения аминокислот, фосфора и кальция в почках. После прекращения действия кадмия повреждения, вызванные его действием в почках, остаются необратимыми. Показано, что нарушение процессов обмена в почках может привести к изменению минерального состава костей /8/. Известно, что кадмий накапливается преимущественно в корковом слое почек, а его концентрация в мозговом слое и почечных лоханках значительно ниже /13/, что связано с его способностью депонироваться в паренхиматозных органах и медленным выведением из организма.
Предположительно проявление токсического действия ионов кадмия связано синтезом в организме белка металиотеонеина, который связывает и транспортирует его в почки. Там белок почти полностью реадсорбируется и быстро деградирует с освобождением ионов кадмия, стимулирующих металлиотионеина в клетках эпителия проксимальных канальцев. Деградация комплекса кадмий-металлиотионеин приводит к повышению уровня ионов кадмия вначале в лизосомальной фракций, а затем в цитозоле, где происходит связывание с почечным металлиотионеином. При этом в клетках появляются везикулы, и повышается число электронно-плотных лизосом, появлением низкомолекулярной протеинурии и кальцийурией /9,14/.
Роль белка металиотинеина в снижении токсичности кадмия весьма значительна. Экспериментальное внутривенное введение кадмия, связанного с данным белком, предотвращает развитие некроза в почечной ткани у мышей, тогда как аналогичные дозы неорганического кадмия вызывает развитие некроза в почках. Это доказывает участие металиотионеина в снижении токсичности металла. Однако этот механизм ограничен в количественном отношении, потому что при длительном поступлении кадмия также развивается повреждение тубулярного эпителия /14/.
Многочисленными исследованиями была показана возможная связь между кадмийиндуцированным повреждением клеток почек, межклеточным изменением содержания ионов кадмия и индукцией синтеза стрессовых белков. Первым кандидатом на роль стрессового белка является кальмодулин, так как in vitro показано, что кадмий активирует секрецию этого гормона, который через усиление потока кальция в клетку может повреждать цитоскелет /9/.
Кадмий вызывает развитие протеинурии, глюкозурии, аминоацидурии и другие патологические процессы. При длительном поступлении кадмия в организм развивается почечный тубулярный ацидоз, гиперкальцийурия и формируются камни в мочевом пузыре. В тяжелых случаях хронической кадмиевой интоксикации может также наблюдаться нефрокальцидоз. Накопление кадмия в клетках культуры почек происходит параллельно повышению степени его токсичности. Однако характер распределения его в клетке не зависит от выраженности цитотоксического действия: более 90% металла связано с цитозолем, остальная часть – микросомной, митохондриальной, ядерной фракциями и клеточными фрагментами /8/.
Изучение субклеточного распределения кадмия в печени позволило расшифровать механизм возникновения толерантности к данному металлу. Установлено, что снижение чувствительности к кадмию обусловлено изменением его распределения не в тканях, а цитозольной субклеточной фракции печени, являющиеся органом – мишенью, где происходит связывание его с металиотионеином. В дозе 2,4 мг/кг кадмий снижает синтез белка в микросомальной фракции печени крыс, не нарушая его в ядрах и митохондриях. Накапливаясь на внутренних мембранах митохондрий, данный металл уменьшает энергоснабжение и стимулирует перекисное окисление липидов (ПОЛ) при концентрациях 10 – 100 мкмоль /15,16/.
В первые сутки после введения кадмия в дозе 4 мг/кг в мышце сердца крыс по сравнению с контролем увеличились содержание диеновых коньюгантов в 2,1 раз, активность глутатионпероксидазы – на 3,2%. В коре больших полушарий головного мозга содержание шиффовых оснований возрастало в 2,2 раза. На седьмые сутки наблюдения у животных, получавших кадмий, концентрация шиффовых оснований в неокортексе оставалась повышенной на 59,3%, в сердце – увеличилось в 2,4 раза по сравнению с контролем; содержание коньюгантов в миокарде в дозе 1 мкмоль происходит нарушение целостности мембран митохондрий, но стимуляция ПОЛ не наблюдается /16/.
При хроническом ингаляционном воздействии кадмий вызывает тяжелые поражения легких. Как показали проведенные Шоповой В. Л. с сотрудниками исследования /17/, процент альвеолярных макрофагов (АМ) при воздействии кадмия в первый день значительно понижался (до 11,5%). Этот эффект наблюдался и на пятнадцатый день – АМ составил 45,5% от исходных значений. Одновременно резко повышался процент полиморфонуклеарных лейкоцитов (ПНЛ), среди некоторых встречались и незрелые формы. Средняя площадь АМ после химического воздействия увеличивалась за счет повышения процента очень крупных клеток, а не за счет равномерного увеличения площади всех клеток. При этом крупные АМ имели вакуолизированную пенистую цитоплазму. Встречались и клетки с пикнотическими ядрами, кариолизисом и кариорексисом. Все это указывает на то, что соединения кадмия существенно понижают содержание внутриклеточного АТФ и ингибируют клеточное дыхание.
В основе механизма токсического действия ионов тяжелых металлов, в том числе кадмия, лежит их взаимодействие с компонентами клеток, молекулами клеточных органелл и мембран.
Ионы металлов могут влиять на процессы, протекающие в клетке, только проникая внутрь ее и фиксируясь в субклеточных мембранах. Кадмий проникает в клетку через потенциал зависимые кальциевые канальцы. Воздействие кадмия на внутриклеточные процессы весьма разнообразны. Так, металл оказывает заметное влияние на обмен нуклеиновых кислот и белка. Он ингибирует in vivo включение тимидина в ДНК регенерирующей печени, угнетает синтез белка в печени крыс на стадии инициации трансляции, нарушая образования полирибосом, тогда как процесс элонгации, напротив, ускоряется в результате активирования факторов EF – 1 и EF – 2 /9/. Избыток ионов кадмия ингибирует синтез ДНК, белков и нуклеиновых кислот, влияет на активность ферментов, нарушает усвоение и обмен ряда микроэлементов (Zn, Cu, Se, Fe), что может вызывать их дефицит. Следует заметить, что при достаточном поступлении цинка в организм токсичность кадмия снижается/8/.
С помощью электронной микроскопии было установлено, что кадмий вызывает ультраструктурные изменения клеточных мембран, митохондрий, цистерн аппарата Гольджи, сети трубочек, хроматина, ядрышка, микрофиламентов и рибосом/18/.
Поражение клеточной оболочки является наиболее ранним признаком действия данного металла, особенно при длительном поступлении, хотя клетки могли переносить поражения клеточной оболочки, а также митохондрий и в некоторой степени – аппарата Гольджи/16/.
При исследовании воздействия кадмия in vitro на митохондриальную мембрану выявили, что ионы кадмия повышают проницаемость мембраны к ионам H, K, Mg, а это приводит к активации дыхания энергизованных нефосфорилирующих митохондрий/15/.
Известно, что некоторые ферменты в своей структуре имеют ионы металлов. Существует группа ферментов, в состав простетической части которых входят ионы металлов IV периода таблицы химических элементов, которые способны замещаться на любой двухвалентный ион металла (близкий по положению в таблице Д. И. Менделеева) /12/, в частности, к таким ферментам относятся щелочная фосфатаза и ряд протеаз /19/. На основании проведенных экспериментов можно предположить, что в результате замещения ионов в простетической части фермента один на другой происходит изменение пространственной конфигурации активного центра фермента, что приводит к изменению уровня его активности.
Свое токсическое влияние кадмий оказывает и на репродуктивные функции организма /20/. Эффект зависит от дозы вещества и времени воздействия. Основываясь на экспериментальных данных, полагают, что тератогенное действие кадмийсодержащих веществ может быть связано с ингибированием активности карбоангидразы /16/. Так, воздействуя на ткани семенников, кадмий вызывает уменьшение синтеза тестостерона /20/. Данный металл может приводить к гормональным нарушениям у самок, предотвращает оплодотворение, может вызывать кровотечения и даже приводить к смерти эмбрионов/9,21/. Установлено также, что кадмий способен накапливаться в плаценте и вызывать ее повреждение /7/. В исследованиях /9,21/ было выяснено влияние различных доз кадмия на эмбриональную смертность. Так, при введении металла в дозе 5 мг/кг впервые обнаруживаются мертвые эмбрионы, при 10 мг/кг наблюдается снижение средней массы плода, увеличение эмбриональной смертности в 2,8 раза, а при дозе 20 мг/кг – максимальное число мертвых эмбрионов на одно животное/20,22/.
В литературе описано также отдаленное воздействие кадмия на развитие потомства. В частности, в результате введения самкам раствора кадмия во время беременности и в период лактации, у потомства, подвергавшегося действию металла в эмбриогенезе, наблюдались нейрохимические изменения в мозжечке и в полосатом теле, и изменения моторной активности во взрослом состоянии/23/.
Таким образом, основываясь на литературных данных, можно отметить, что токсичность соединений кадмия следует рассматривать двояко. С одной стороны – это непосредственное действие ионов на организм. С другой стороны – влияние на потомство особей, подвергшихся действию соединений этого тяжелого металла.
1.2 Роль и структура аспартатаминотрансферазы и аланинаминотрансферазы
1.2.1 Краткая история открытия реакции переаминирования аминокислот
Реакция переаминирования аминокислот была открыта учёными А.Е.Браунштейном и М.Г. Крицман в 1937 году при изучении дезаминирования глутаминовой кислоты в мышечной ткани /24/. Было замечено, что при добавлении к гомогенату мышц глутаминовой и пировиноградной кислот образуется L-кетоглутаровая кислота и аланин без промежуточного образования аммиака; добавление аланина и - кетоглутаровой кислоты приводило к образованию пировиноградной и глутаминовой кислот. В последующих исследования было показано, что реакции переаминирования широко распространены в живой природе и играют важную роль в сопряжении азотистого и энергетического обмена /25/.
Реакции переаминирования протекают при участии специфических ферментов, названых А.Е. Браунштейном аминоферазами (или по современной классификации, трансаминазами). Теоретически эти реакции возможны между любой амино - и кетокислотой, но наиболее интенсивно они протекают в том случае, когда один из партнеров представлен дикарбоновой амино - или кетокислотой. В тканях животных и у микроорганизмов доказано существование реакции переаминирования также между монокарбоновыми амино - и кетокислотами/26/.
В первых же работах, посвященных к открытию ферментативного переаминирования, А.Е. Браунштейн и М.Г. Крицман высказали предложение об образовании в ходе этой реакции основания Шиффа, подвергающегося таутомерному превращению и гидролизу; при этом указывалось на возможность участия в реакции промежуточного акцептора аминогруппы. Это предположение получило повреждение после открытия в 1944 году американским биохимиком Э. Снеллом новых биологически активных форм витамина - пиридоксаля и пиридоксамина, которым была приписана роль переносчика аминогруппы. В 1945-47г.г. были получены доказательства того, что фосфорилированное производное пиридоксаля- пиродоксаль --фосфат является коферментом аспартат-трансаминаз бактериальной и животного происхождения/27/. В 1954 году А. Майстер и соавторы установили, что частично очищенная апотрансаминаза активируется при помощи пиродоксаль – – фосфата в равной мере. Эти данные согласовались с ранее высказанными предложениями, согласно которым пиридоксальфосфат и пиридоксаминфосфат подвергаются взаимопревращению в ходе катализируемой ферментом реакции, которая может быть представлена в виде суммы двух полуреакций /28/:
L-аппарат + ПЛФ оксалацетат+ПМФ
ПМФ + 2 – оксоглутарат L – глутамат + ПЛФ
ПЛФ – пиридоксальфосфат, ПМФ- пиридоксаминфосфат.
Окончательные доказательства этого механизма были получены в конце 50-х годов получения высокоочищенных препаратов аспартат-трансаминазы из сердца свиньи. Исследуя эти препараты, удалось подтвердить наличие прочно связанного пиридоксальфосфата в трансаминазе и доказать при помощи химических и спектрофотометрических методов, что L- глутамат или L- аспартат вызывает превращение обращается при добавлении 2 – оксоглутарата или оксалацетата/25/. В реакции переаминирования участвует - аминокислота как донор аминогруппы и -кетокислота как акцептор аминогруппы. Донорами могут служить также -,-, - и - аминогруппы ряда аминокислот (например, у орнитина - группа находится в - положении, у -аланина - в -положении/13/.
1.2.2 Структура аспартат-трансаминазы
Трансаминазы имеются во всех животных и растительных клетках, а также в микроорганизмах. В настоящее время известно около 60 трансаминаз, различающихся по субстратной специфичности. Из них лучше всего исследована аспартат-трансаминаза, при изучении которой удалось наиболее близко подойти к раскрытию молекулярного механизма переаминирования. Важным этапом в изучении аспартат-трансаминазы явилось определение её пространственной структуры при помощи метода рентгеноструктурного анализа/29/.
В начале 60-х годов было обнаружено, что в тканях животных содержатся два изофермента аспартат-трансаминазы: цитозольный и митохондриальный; их изоэлектрические точки равны соответственно ~6 и 9/30/. Несмотря на идентичность основного каталитического механизма, цитозольный и митохондриальный изоферменты различаются по многим каталитическим параметрам: удельной активности и сродству к пиродоксальфосфату, сродству к субстратам и PH-оптимуму активности. Оба изофермента имеют большее сродство к субстратам с четырёхуглеродной цепочкой, чем к пятиуглеродным субстратам. Но митохондриальный изофермент связывает L-аспартат в несколько раз лучше, а 2-оксоглутарат существенно хуже по сравнению с цитозольным изоферментом. Изоферменты различаются по способности катализировать переаминирование ароматических аминокислот, сродству к анионам, доступности инактивации трипсином и некоторыми реагентами, термостабильности и ионизации фосфатной группы кофермента.
В 1972 году под руководством Ю.А. Овчинникова и А.Е. Брауцштейна была завершена работа по определению первичной структуры цитозольной аспартат-трансаминазы из сердца свиньи/31/. К настоящему времени определены полные аминокислотные последовательности двух цитозольных изоферментов (из сердца свиньи, курицы, из печени крысы и индюка). Молекулы обоих изоферментов построены из двух идентичных полипептидных цепей (субъединиц), каждая из которых содержит одну молекулу прочно связанного с белком пиридоксальфосфата. Полипептидная цепь цитозольных аспартат-трансаминаз свиньи и курицы состоит соответственно из 412 и 411 аминокислотных остатков и имеет молекулярную массу около 46,5 кДа. Полипептидная цепь митохондриальных изоферментов свиньи и курицы состоит из 401 аминокислотного остатка и имеет молекулярную массу около 45 кДа. Оба изофермента синтезируются на рибосомах в цитоплазме клетки, причём митохондриальный фермент-в виде профермента, который содержит на NH2 –конце дополнительный пептид (“сигнальный”), состоящий из 29 аминокислотных остатков. Образование активной формы фермента связано с отщеплением этого пептида/28/.
В 1977 году была определена трёхмерная структура трансаминазы. Позже за рубежом были начаты рентгеноструктурные исследования других изоферментных форм аспартат-трансаминазы/29/. Определение трёхмерной структуры позволяет выявить связи между особенностями структуры и функции изоферментов. Рассмотрим результаты изучения трёхмерной структуры цитозольной куриной аспартат-трансаминазы.
Молекула состоит из двух идентичных субъединиц. Максимальные размеры молекулы составляют 110×70×60А. Белок характеризуется высоким содержанием вторичной структуры; на долю α-спиралей, β-слоя и реверсивных поворотов приходится соответственно 47,13 и 9% аминокислотных остатков. Субъединицу аспартат-трансаминазы можно условно разделить на 3 части: большой домен, малый домен и переходные участки между ними. Большой домен образован остатками с 75 по 300; его основу составляет сильно изогнутый слой (β-слой), состоящий из 7 β-цепочек, окружённых α- спиралями. Большой домен является наиболее стабильной частью субъединицы, к нему присоединён пиридоксальфосфат. Малый домен состоит из тесно сближенных NH2 –и СООН – концевых участков полипептидной цепи, а именно из остатков с 15 по 50 и с 360 по 412. Из малого домена выходит NH2 – концевой фрагмент цепи, который пересекает вход в активный центр и затем вплотную прилегает к поверхности большого домена смежной субъединицы. Большой и малый домены связаны двумя переходными участками: с NH2 – конца – участком цепи, состоящим из остатков 300-360. Оба переходных участка образованы преимущественно - спиралями, лежащими на поверхности молекулы/29/.
Оба активных центра аспартат-трансаминазы расположены в глубоких впадинах на противоположных сторонах молекулы на границе между субъединицами. Стенки каждого из активных центров образованы большим и малым доменом одной субъединицы и краем большого домена другой смежной субъединицы. В состав активного центра входят аминокислотные остатки, принадлежащие обеим субъединицам; этим объясняется отсутствие каталитической активности у мономера, кофермент связан в глубине щели активного центра на расстоянии ~8-10 А° от поверхности молекулы. Сторона А пиридированого кольца обращена к β - слою и метильной группе остатка Тrp-140 (стороны пиридинового кольца обозначены в соответствии номенклатурой JUPAC). Угол между плоскостями пиридинового и индольного колец составляет ≈40-45°, между кольцами возможно стэкинг-взаимодействие. Остаток пиридоксальфосфата связан альдиминной связью с ε-NH2-группой лизина-258. Коферментами трансаминаз являются производные пиридоксина-пиридоксальфосфат и пиридоксаминфосфат. Оба кофермента обратимо переходят друг в друга в ходе реакции переаминирования. Трансаминазы для катализа требуют оба кофермента, в отличие от других ферментов/13/.
1.2.3 Механизм реакции переаминирования
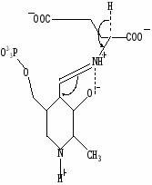
Общая теория пиридоксалевого капитализма была разработана в 1952 году А.Е. Браунштейном и М.М. Шемякиным, а несколько позднее – Д.Е.Мецлером и Э.Снеллом. Согласно этой теории действие пиридоксалевых ферментов обусловлено способностью альдегидной группы пиридоксальфосфата образовывать с аминокислотами альдимины (основания Шиффа) (рисунок1)/27/. В образующемся альдимине имеется система сопряженных двойных связей, по которой происходит смещение электронов от α – углеродного атома аминокислоты к электрофильному атому азота пиридинового кольца кофермента. Понижение электронной плотности у α– углеродного атома приводит к поляризации и ослаблению связей у этого атома.
Рисунок 1 - Смещение электронов к атому N кофермента.
Проведенные А.Е. Браунштейном и Э.Снеллом модельные эксперименты показали, что избирательный разрыв только одной из этих связей с образованием карбаниона, определяется особенностями строения активного центра фермента. Эти представления получили подтверждения при исследовании очищенных фосфопиридоксалевых ферментов. В 1966 году Донатан выдвинул и теоретически обосновал важное положение о том, что в альдимине, фиксированном в активном центре фермента, должна разрываться та из связей у α – углеродного атома, которая ориентирована перпендикулярно к плоскости пиридинового кольца пиридоксальфосфата. При такой ориентации энергия, необходимая для разрыва связи, минимальная вследствие перекрывания электронной орбитали связи с сопряженной π – системой кофермента ( σ – π - перекрывание). Донатан предположил, что конформация может контролироваться апоферментом, возможно с помощью связывания карбоксилат – иона, а также, что имин может принимать одну из трех возможных конформаций/29/.
Здесь прямоугольником обозначена плоскость пиридинового кольца, вертикальной линией изображена σ – связь. Конформамация (1) благоприятствует переаминированию.
Методами спектрального анализа было установлено, что альдегидная группа связанного в активном центре пиридоксальфосфата образует так называемое “внутреннее” основание Шиффа с ε- NH2 – группой остатка лизина в белке. Из этого следует, что на начальном этапе каталитической реакции α – аминогруппа субстрата вытесняет ε- NH2 – группу лизина из связи с коферментом (стадия трансальдиминирования). На основании изучения спектральных, химических и кинетических свойств аспартат – трансаминазы был сделан вывод о том, что как прямая, так и обратная реакция переаминирования состоят из восьми стадий; интермедиаты, возникающие на этих стадиях, представлены на рисунке 2/27,28/.
На первом стадии происходит присоединение к ферменту субстратной аминокислоты с образованием нековалентного комплекса Михаэлиса. Далее один из протоков аминогруппы субстрата переходит на атом азота внутренней иминной связи (стадия 2); в результате аминогруппа приобретает нуклеофильные свойства, необходимые для атаки на атом С-4' кофермента. Эта атака приводит к образованию промежуточного тетраэдрического соединения (геминального диамина, стадия 3); за этим следует освобождение ε- NH2 – группы остатка лизина из связи с пиридоксальфосфатом и возникновение "внешнего" или субстратного альдимина (стадия 5), одной из форм которого является хинолоид показанный на рис.2. Последующее протонирование атома С-4' дает кетимин (стадия 6), при гидролизе которого образуется ПМФ – форма фермента и оксокислота (стадии 7 и 8). Далее реакция идет в обратном направлении между ПМФ – формой трансаминазы и другой ококислотой и приводит к регенерации ПЛФ – формы ("внутреннего" альдимина) и образованию новой аминокислоты.
Таким образом, реакции переаминирования являются обратимыми и универсальными для всех живых организмов. Пиридоксальфосфат в этих реакциях выполняет роль переносчика аминогруппы и в конечной стадии освобождается и может вновь вступить в ферментативный процесс.
Рисунок 2 - Основные интермедиаты, образующиеся в ходе реакции переаминирования.
а – внутренний альдимин;
б – нековалентный комплекс Михаэлиса;
в – то же, что σ, но атом иминного азота протонирован;
г– геминальный диамин;
д– внешний альдимии;
е - хинолоид;
ж – кетимин;
з – карбиноламин;
и- пиридоксаминфосфат.
1.2.4 Биологическая роль трансаминаз
Аминокислоты, не использованные для синтеза белков и других производных, не накапливаются в организме в больших количествах. Они подвергаются различным ферментативным превращениям и, в конечном счете, распаду /32/. Важную роль в азотистом обмене играют процессы перехода одних аминокислот на другие, в результате ферментативных реакций переаминирования. При этом происходит обратимый перенос NH2 – группы от L – аминокислоты на L – кетокислоту без промежуточного образования аммиака. Таким образом, в реакции переаминирования участвуют L – аминокислота как донор и L – кетокислота как акцептор аминогруппы. Эти реакции катализируются особыми ферментами трансаминазами. Коферментом трансаминаз является пиридоксаль – 5׳ – фосфат, который и является промежуточным переносчиком аминогруппы от аминокислоты на кетокислоту/27/.
Широкое распространение трансаминаз в животных тканях, у микроорганизмов и растений, их высокая резистентность к физическим, химическим и биологическим факторам, абсолютная стереохимическая специфичность по отношению к L - и Д – аминокислотам, высокая каталитическая активность в процессах переаминирования послужили предметом детального исследования роли этих ферментов в обмене аминокислот/33/. Тип катализируемой химической реакции в сочетании с названием субстрата служит основой для систематического наименования ферментов. Согласно Международной классификации трансаминазы относят к 2 классу трансфераз, 4 подклассу – аминотрансферазы; наименование их составляется по форме «донор – транспортируемая группа – трансфераза» /34/. А. Е. Браунштейн выдвинул гипотезу о возможности существования в живых тканях не прямого пути дезаминирования аминокислот через реакции переаминирования, названного им трансдезаминированием. Основой для этой гипотезы послужили данные о том, что из всех природных аминокислот в животных тканях с высокой скоростью дезаминируются только L – глутаминовая кислота. Согласно этой теории большинство природных аминокислот сначала реагируют с L – кетоглутаровой кислотой в реакции переаминирования с образованием глутаминовой кислоты к соответствующей кетокислоте/30/. Образовавшаяся глутаминовая кислота подвергается окислительному дезаминированию под действием глутаматдегидрогеназы. Механизм трансдезаминирования можно представить в виде следующей схемы /13/:
R1- CH (NH2)-COOH L-кетоглутарат НАДН2 + NH3
R1- CO- COOH L-глутамат НАД + Н2О
трансаминаза глутаматдегидрогеназа
Обе реакции (переаминирование и дезаминирование глутаминовой кислоты) являются обратимыми, создаются условия для синтеза любой аминокислоты, если в организме имеются соответствующие L – кетокислоты. Организм животных и человека не обладает способностью синтеза углеводородного скелета (L - кетокислот) так называемых незаменимых аминокислот, этой способностью обладают только растения и многие микроорганизмы.
В живых организмах осуществляется синтез природных аминокислот из L – кетокислот и аммиака, этот процесс был назван А. Е. Браунштейном трансреаминированием. Сущность его сводится к восстановительному аминированию L – кетоглутаровой кислоты, с образованием глутаминовой кислоты, и к последующему переаминированию глутамата с любой L – кетокислотой. В результате образуется L – аминокислота, соответствующая исходной кетокислоте, и вновь освобождается L – кетоглутаровая кислота, которая может акцептировать новую молекулу аммиака/35/.Схематически роль трансаминаз в дезаминировании в биосинтезе аминокислот можно представить в следующем виде/28/:
L-Аминокислота Пиридоксальфосфат L-Глутамат НАД
R1-CH(NH2)-COOH O=CH-ПФ HOOC-(CH2)2-CH(NH2)-COOH НАДФ
Трансаминаза НАДФН2
R1-C-COOH H2N-CH2-ПФ HOOC-(CH2)2-C(NH)-COOH НАДН2
L-кетокислота Иминоглутарат
Пиридоксаминфосфат Н2О
HOOC-(CH2)-C-COOH
L-кетоглутарат NH3
Схема показывает, что трансаминаза катализирует опосредованно через глутаматдегидрогеназу как дезаминирование природных аминокислот (стрелки вниз), так и биосинтез аминокислот (стрелки вверх).
Путем переаминирования большинство аминокислот может превращаться одна в другую или заменяться соответствующей кетокислотой. Поэтому реакции переаминирования - один из важнейших процессов при биосинтезе заменимых аминокислот. Особенно легко переаминируются глутаминовая и аспарагиновая кислоты, так как соответствующие им трансаминазы имеют очень высокую активность. Кетокислоты, получаемые из этих аминокислот (L – кетоглутаровая и щавелевоуксусная кислоты), осуществляют связь углеродного и белкового обмена /36/.
Таким образом, трансаминазы играют важную роль в азотистом обмене, участвуют в биосинтезе аминокислот. Биологический смысл реакций переаминирования аминокислот состоит в том, чтобы объединить аминогруппы распадающихся аминокислот в составе молекул одного типа аминокислоты, а именно глутаминовой /31/.
Трансаминазы относятся к универсально-распространенным ферментам. В тканях различных органов содержится значительное количество трансаминаз, в сотни и тысячи раз превышающее уровень активности их в сыворотке крови. При электрофорезе они мигрируют с L - и γ - глобулинами. Особенно высокой активностью АСТ (КФ.2.6.1.1.) отличаются сердце, печень, мышечная ткань, почки, поджелудочная железа (перечень представлен в порядке убывания активности АСТ). АЛТ (КФ.2.6.1.2.) в наибольших количествах обнаруживается в печени, в связи с этим ее называют печеночной трансаминазой, затем в поджелудочной железе, сердце, скелетных мышцах.
Значительные различия в активности трансаминаз в отдельных органах и в сыворотке крови определяют его важное клиническое диагностическое значение, так как при поражении ткани возникает резкий скачок уровня активности трансаминаз в крови. Наибольшее значение представляет повышение активности АСТ при инфаркте миокарда. Степень повышения отражает массовость поражения сердечной мышцы и тяжесть инфаркта. Характерна динамика активности АСТ при инфаркте миокарда: начало подъема - через несколько часов после возникновения заболевания, максимальный подъем – к концу первых суток, нормализация возможна в течение первой недели болезни. При других заболеваниях сердца повышение активности АСТ либо не происходит, либо носит умеренный характер. Однако активность АСТ повышается и при поражении других органов и тканей. Многие авторы склонны рассматривать определение АСТ как ценный тест при проведении дифференциальной диагностики между инфарктами сердца и легких. Основанием к этому служит значительно более высокая (в 50 раз) активность фермента в мышце сердца, в сравнении с тканью легкого. Активность трансаминаз в сыворотке крови является одной из наиболее ценных и самым распространенным в клинической практике показателем поражения печени, характеризующие протекающие в ней цитолитические процессы /37/.
Повышение активности аминотрансфераз, и, прежде всего АЛТ, выявляется уже в ранний, инкубационный, преджелтушный период вирусного гепатита, что имеет принципиальное эпидемиологическое значение для выявления больного еще до появления желтухи. В результате значительного повышения активности АЛТ у больных вирусным гепатитом снижается коэффициент Де Ритиса (АСТ: АЛТ) ниже 1 при норме 1 – 3, а при остром инфаркте миокарда, напротив, резкое возрастание этого коэффициента /38/.
При хронических гепатитах и циррозах печени соотношение трансаминаз меняется, и коэффициент повышается выше нормы. Важно иметь в виду, что механические желтухи (непроходимость желчных протоков в связи с желчекаменой болезнью или опухолью) не сопровождаются выраженным повышением трансаминазной активности. Возможно повышение активности трансаминаз при воспалительных заболеваниях различных органов и тканей, при мышечных дистрофиях и т. д. /37,38/.
Таким образом, в настоящее время установлено, что переаминирование является весьма важным и распространенным процессом биологического распада и синтеза аминокислот; он протекает в различных тканях животных, растений и в микроорганизмах. Поэтому исследование этого процесса имеет большое фундаментальное и прикладное значение.
2. Материалы и методы
2.1 Экспериментальная часть
2.1.1 Экспериментальные животные
Эксперимент проводился на самках белых беспородных крыс средней массы 250-300 г. Животные подвергались токсическому действию азотнокислого кадмия (Cd(NO3)2) во время лактации. Введение нитрата кадмия производилось самкам per os в течение 10 дней (с 1 по 10 день после рождения потомства) в дозах 0,5 мг/кг и 2 мг/кг /39/. По достижении потомством экспериментальных животных четырехмесячного возраста их декапитировали и производили отбор органов и тканей для определения активности АСТ и АЛТ.
В качестве контроля использовали животных, которым в период лактации вводили в соответствующем объеме физиологический раствор.
2.1.2 Подготовка биологического материала
2.1.2.1 Подготовка сыворотки крови
После декапитации животных кровь собирали в гепаринизированные пробирки и для получения сыворотки подвергают центрифугированию, при 3000 об/мин, в течение 15 минут. После центрифугирования получали сыворотку, не содержащую форменных элементов крови. Затем отбирали сыворотку в пробирки, и производили определение активности АСТ и АЛТ методом Райтмана – Френкеля/40/ с помощью стандартных наборов реактивов.
2.1.2.2 Подготовка гомогенатов тканей и органов
Извлеченные органы (печень, головной мозг, сердце, почки) отмывали от крови физиологическим раствором, взвешивали 1-2 грамма ткани, измельчали ножницами и растирали в ступке. Все операции производили на холоду. Затем добавляли среду выделения (0,005 N Tris, 0,1 N KСl, pH7,4) в отношении 1: 50 для головного мозга, сердца и почек, и 1:100 – для печени. Полученные гомогенаты переносили в центрифужные пробирки и центрифугировали при 4500 об/мин 10 минут. После центрифугирования супернатант переносили в другие пробирки, а осадок выбрасывали. Далее в супернатанте производили определение активности АСТ и АЛТ методом Райтмана – Френкеля /40/ при помощи стандартных наборов реактивов.
2.2. Определение активности аминотрансфераз методом Райтмана – Френкеля
АСТ в присутствии L - кетоглутарата катализирует реакцию переаминирования L - -аспартата с образованием оксалоацетата, который декарбоксилируется до пирувата /41/:
L – кетоглутарат + L - аспартат → L – глутамат + оксалоацетат → ПВК
АЛТ в присутствии L – кетоглутарата катализирует реакцию переаминирования L – аланина с образованием пирувата /41/:
L – кетоглутарат + L - аланин → L – глутамат + ПВК
Пируват с 2,4 – динитрофенилгидразином (2,4 - ДНФГ) в щелочной среде образует окрашенный гидразон, интенсивность окраски которого прямо пропорциональна активности АСТ и АЛТ.
2.2.1 Определение активности аспартатаминотрансферазы и аланинаминотрансферазы в сыворотке крови
В обычные пробирки наливали 0,5 мл субстрата (L – аспартат (L - аланин) 0,1 моль/л, L – кетоглутарат 2 ммоль/л, фосфатный буфер 0,1 моль/л) и 0,1 мл сыворотки крови. Параллельно ставили контрольные пробы, в которые не добавляли сыворотку. Пробы тщательно перемешивали и инкубировали в течение 1 часа – АСТ и 30 минут – АЛТ при 37С на водяной бане. После этого к опытным и контрольным пробам приливали по 0,5 мл раствора 2,4 – ДНФГ. В пробирки с контролем только после добавления 2,4 – ДНФГ приливали 0,1 мл сыворотки крови. Через 20 минут (20-25 оС) в пробирки приливали по 5 мл 0,4 моль/л раствора NaOH, хорошо перемешивали и через 5-10 минут фотометрировали против холостой пробы в интервале длин волн 500-560 нм (opt 537нм) в кюветах толщиной 1см.
Расчет активности ферментов в сыворотке крови производили по калибровочному графику. Каталитическую активность АСТ(АЛТ) рассчитывали в мкмоль/(с·л) по формуле: каталитическая концентрация АСТ(АЛТ)= (Епр – Ек)К, где К – коэффициент рассчитанный по калибровочному графику: К=С/Е, Епр – экстинция пробы, Ек – экстинция контроля.
Калибровочный график для определения активности аминотрансфераз строили таким образом, чтобы в пробах находилось от 0,05 до 0,30 мл стандартного раствора пирувата. К пробам, содержащим от 0,5 до 0,25 мл субстрата (0,05; 0,10; 0,15; 0,20; 025; 0,30 мл пирувата), добавляли 0,5мл раствора 2,4 – ДНФГ, инкубировали при комнатной температуре в течение 20 минут. Затем во все пробирки приливали по 5 мл 0,4 Н NaOH, хорошо перемешивали и через 30 минут в пробирках № 2-6 измеряли оптическую плотность при 537 нм против раствора в пробирке № 1. Калибровочный график строили, откладывая на оси ординат значения оптической плотности для каждой пробы, а на оси абсцисс – соответствующие им значения активности АСТ и АЛТ.
2.2.2 Определение активности аспартатаминотрансферазы и аланинаминотрансферазы в гомогенатах органов
В пробирки наливали 0,1 мл разбавленного гомогената тканей печени, головного мозга, сердца, почек и 0,5 мл субстрата (субстрат предварительно нагревали на водяной бане до 37 оС). Параллельно ставили контрольные пробы, в которые не добавляли субстрата. Пробы хорошо перемешивали и инкубировали в течение 1 часа при 37 о С на водяной бане. После этого к опытным и контрольным пробам прибавляли по 0,5 мл раствора 2,4 – ДНФГ. В пробирки с контролем только после добавления 2,4 – ДНФГ приливали 0,5 субстрата. Пробы оставляли на 20 минут при комнатной температуре, затем во все пробирки приливали по 5 мл 0,4 Н NaOH, тщательно перемешивали и через 30 минут измеряли оптическую плотность при 505 нм, в кюветах с толщиной поглощающего слоя 1 см.
Расчет активности ферментов в гомогенатах органов производили по калибровочному графику. Каталитическую активность АСТ(АЛТ) рассчитывали в мкмоль/(с·л) по формуле: АСТ(АЛТ) = (Епр- Ек)К, где К – коэффициент рассчитанный по калибровочному графику: К=С/Е, Епр - экстинция пробы, Ек – экстинция контроля.
Калибровочный график для определения аминотрансфераз в гомогенатах тканей строили так же, как для сыворотки крови. Для расчета активности ферментов учитывали все разведения гомогената и выражали в пересчете на 1 грамм ткани (мг белка).
Все экспериментальные группы содержали от 7 до 9 животных, полученные данные были подвергнуты статистической обработке. Достоверность различий между группами оценивали с учетом критерия Стюдента, в соответствии с общепринятой методикой /42/.
Результаты и обсуждение
Трансаминазы являются важнейшими ферментами обмена веществ. Аспартатаминотрансфераза (АСТ) и аланинаминотрансфераза (АЛТ) - близкие по действию ферменты, при участии которых в организме человека осуществляется межмолекулярный перенос аминогрупп с аминокислот на кетокислоты. Этот процесс - трансаминирование - ответственен за синтез и разрушение отдельных аминокислот в организме. В процессе переаминирования, осуществляют связь углеродного и белкового обмена /36/. В связи с этим, изучение влияния ионов кадмия как распространенного экотоксиканта, принадлежащего к группе тяжелых металлов, представляет несомненный интерес.
В ходе исследования активности аланинаминотрансферазы (КФ.2.6.1.2.) и аспартатаминотрансферазы (КФ.2.6.1.1.) были получены следующие результаты.
Таблица 1- Активность аланинтрансаминазы в сыворотке крови и гомогенатах органов 4-х месячных самок крыс подвергшихся хроническому действию кадмия в неонатальный период
Группа
Сыворотка
(М±m)
Печень
(М±m)
Мозг
(М±m)
Сердце
(М±m)
Почки
(М±m)
контроль
0,003±
0,0015
0.65±0.05
0,094±
0,022
1,05±0.25
Кадмий 0,5 мг/кг
0,008±
0,0005
1,5±0.6
0.55±0.1
0,094±
0,004
0.4±0.1
Кадмий 2 мг/кг
0,001±
0,0003
1,6±0.3
0.55±0.15
0,17±
0,0037
0.3±0.15
В результате эксперимента было установлено снижение активности АЛТ в гомогенате печени в выбранных дозах в 2 раза (р<0,003) по отношению к контролю, как показано в таблице1 и на рисунке Б.1.
У самок опытной группы в сыворотке крови происходило увеличение достоверное увеличение активности АЛТ в группе 0,5 мг/кг в 2,7р (р<0.02) и в группе 2 мг/кг в 3 раза (р<0,001) таблица 1, рисунок А.1.
В гомогенате мозга нами не было выявлено достоверных различий в изменении активности АЛТ, хотя наблюдалась тенденция к её снижению, что отражено в таблице 1 и на рисунке В.1.
В гомогенате почек при дозе 0,5 мг/кг активность АЛТ уменьшилась в 2,5 раза (р<0,004) по отношению к контролю, а при дозе 2 мг/кг по отношению контролю уменьшилась более, чем в 3 раза (р<0,005) (таблица1,рисунок Д.1). Статистически достоверных различий в активности фермента между дозой 0,5 мг/кг и 2 мг/кг выявлено не было.
В гомогенате сердца достоверных изменений активности АЛТ в дозах как 0,5 мг/кг, так и 2 мг/кг не наблюдалось (таблица 1 Приложение Г.1).
В работе также было изучено изменение активности аспартатаминотрансферазы у потомства белых крыс, подвергшихся токсическому действию солей кадмия в период лактации.
Активность АСТ в гомогенате печени при дозе 0,5 мг/кг по сравнению с контролем достоверно не изменилась, тогда как при дозе 2 мг/кг - повысилась более чем в 2,5 раза (р<0,03) таблица 2, приложение Б.2.
При введении экспериментальным животным нитрата кадмия в дозе 0,5 мг/кг, у их потомства не наблюдалось статистически достоверного изменения активности АСТ в сыворотке крови по сравнению с контролем. При дозе 2 мг/кг отмечено уменьшение активности АСТ сыворотке примерно 6 раз (р<0,05) по сравнению с контролем. Полученные данные представлены в таблице 2, рисунке А.2.
Таблица 2-Активность аспартаттрансаминазы в сыворотке крови и гомогенатах органов 4-х месячных самок крыс подвергшихся хроническому действию кадмия в неонатальный период
Группа
Сыворотка
(М±m)
Печень
(М±m)
Мозг
(М±m)
Сердце
(М±m)
Почки
(М±m)
контроль
0,02±
0,0075
1,9±0,5
1,7±0,3
0,14±0,03
0,7±0,15
Кадмий 0,5 мг/кг
0,009±0,004
2,2±0,7
1,85±0,7
0,2±0,02
0.8±0,2
Кадмий 2 мг/кг
0,003±0,001
4,8±1,2
3,25±0,65
0,15±0,05
1,6 ±0,25
В таблице 2, рисунке В.2 показано, что гомогенате мозга при дозе 0,5 мг/кг активность АСТ достоверно не изменилась (р<0,84) по сравнению с контролем. Введение лактирующим крысам нитрата кадмия в дозе 2 мг/кг привело к увеличению активности АСТ в гомогенате мозга потомства почти в 2 раза (р <0,05) по отношению к контролю.
При изучении токсического действия ионов кадмия на потомство белых крыс было обнаружено, что в гомогенате почек при дозе 0,5 мг/кг активность АСТ по сравнению с контролем достоверно не изменялась (р<0,68) (таблица 2, рисунок Д.2). При дозе 2 мг/кг активность АСТ увеличилась 2,3 раз (р<0,02 по сравнению с контролем) (таблица2, рисунок Д.2).
Определение активности аспартатаминотрансферазы в гомогенате сердца показало увеличение активности 1,4 раза (р<0,02) по сравнению с контрольными значениями при дозе 0,5 мг/кг. Увеличение дозы токсиканта до 2 мг/кг не приводило к статистически достоверным изменениям активности фермента по отношению к контролю таблица 2, рисунок Г.2.
Полученные в результате эксперимента данные можно объяснить следующим образом: Печень и почки являются органами мишенями при кадмиевой интоксикации выявленное уменьшение активности АЛТ в гомогенате печени можно объяснить тем что, кадмий повреждает клетки печени (гепатоциты), что сопровождается выходом фермента в кровоток /44/. Поскольку максимальное количество АЛТ содержится в печени /54/, то при поражении клеток печени активность АЛТ в крови возрастает, хотя АЛТ является внутриклеточным ферментом, и его содержание в сыворотке крови здоровых людей невелико /41,44/. Поэтому определение активности фермента в сыворотке крови широко используется для диагностики болезней печени.
В мозге и сердце нами не было выявлено достоверных изменений в активности АЛТ, поскольку АЛТ является маркером периферической зоны катаболизма /55/, и его содержание в этих тканях мало, по сравнению например с печенью, изменение активности данного фермента не может быть индикатором тяжёлых нарушений происходящих в них, что мы не можем сказать об активности АСТ, которая повышалась в этих органах.
Наблюдаемое нами уменьшение активности АЛТ в почках может быть следствием того, что происходит ингибирование данного фермента ионами кадмия, можно предположить, что реакция переаминирования аланина при этом протекает медленнее, что приводит к снижению образования глутамата, который является одним из основных участников системы обезвреживания аммиака в организме. В результате в организме может происходить увеличение содержания аммиака в клетках, который является токсичным для организма и должен обезвреживаться, в этом принимает участие фермент АСТ (см. ниже).
Второй фермент, активность которого мы исследовали –АСТ - ключевой фермент обмена веществ, именно он обеспечивает поступление субстратов в цикл трикарбоновых кислот (ЦТК) /55/, занимая «центральную» роль в метаболизме. Субстраты этого фермента: аспартат, глутамат, пируват и α -кетоглутарат являются самыми древними и присутствуют у всех биологических объектов, занимая ключевую роль в обмене веществ. Значительная активность АСТ обеспечивает интенсификацию как поступления метаболитов в ЦТК, так и ускоряет работу последнего, что и ведёт к усилению окислительного фосфорилирования /47/.
В ходе нашего исследования было обнаружено увеличение активности АСТ в печени. Это увеличение можно объяснить тем, что в печени происходит усиленный синтез этого фермента, это может быть связано с тем, что происходит распад белков под действием ионов кадмия, что увеличивает содержание свободных аминокислот в организме, это «субстрат» для трансаминирования /46/. Снижение этого фермента в сыворотке крови говорит о связывании фермента по двум его активным центрам с его SH - группами, что наблюдается в значительном снижении активности /49/.
Увеличение активности АСТ в мозге, возможно, является компенсаторным на уменьшение синтеза глутамата в результате снижения скорости реакции катализируемой АЛТ /43/. Уменьшение синтеза глутамата приводит к повышению уровня аммиака в крови, который способен проникать через гематоэнцефалический барьер в головной мозг, где оказывает нейротоксический эффект /43/. Аммиак может усиливать нейротоксический эффект меркаптанов и короткоцепочечных жирных кислот концентрация которых может быть повышена в клетках печени при их поражении /49/. В астроцитах мозга аммиак обезвреживается в результате глутаматсинтазной реакции с образованием глутамина. Образование глутамина в астроцитах приводит к оттоку глутамата, который в результате усиления активности АСТ частично восстанавливает расход глутамата /55/. Когда происходит отток глутамата из малат-аспартатного челнока митохондрий происходит снижение синтеза АТФ, которую астроцит использует не только для внутренних потребностей, но и для снабжения ею нейронов, что приводит к гипоэнергетическому состоянию ЦНС. Увеличение активности АСТ приводит к увеличению образования глутамата, ответственного за связывания аммиака. Частичное обезвреживание аммиака происходит за счёт синтеза аспарагина из аспартата, являющимся одним из субстратов реакции трансаминирования /48/. Как было отмечено, отток глутамата сопровождается снижением синтеза АТФ что приводит к гипоэнергетическому состоянию, и это не может не изменить активности другого фермента ответственного за связывание аммиака в организме – глутаматдегидрогеназы, являющимся регуляторным механизмом обмена аминокислот. Понижение концентрации аденозиндифосфата (АДФ) активирует этот фермент, т. е. низкий энергетический уровень в клетках стимулирует разрушение аминокислот с образованием - кетоглутарата, часть которого связывается с аммиаком, а часть поступает в ЦТК как энергетический субстрат. Клетки мозга нуждаются в притоке энергии, они чувствительны к токсическому воздействию аммиака, в мозге помимо повышения активности АСТ существует множество механизмов обеспечивающих нормальное функционирование этой ткани.
Повышение активности АСТ в почках, возможно, связано с удалением ионов аммония образовавшегося при распаде белков, дезаминировании аминокислот /47,55/
Увеличение активности АСТ при заболеваниях сердца является диагностическим признаком в клинической практике /41/. Повышение активности АСТ в результате интоксикации, связано с адаптивным синтезом фермента /55/; возможно связано с необходимостью удаления избытков ионов аммония при поражении сердечной мышцы /50/.
В результате нашей работы наблюдалось увеличение активности АСТ и уменьшение активности АЛТ это может происходить и на оборот; возможно, это тонкий механизм, который организм исполняет при усилении или угнетении тех или иных процессов метаболизма, тем самым, адаптируя организм к неблагоприятным условиям. Как видно из результатов обсуждения эти ферменты играют не последнюю роль и в обезвреживании аммиака в организме, помимо своего основного участия в процессах обмена аминокислот.
Выводы
Показано, что введение лактирующим самкам крыс азотнокислого кадмия в дозе 0,5 мг/кг вызывает повышение активности аланинаминотрансферазы в сыворотке крови, понижение активности - в гомогенатах печени и почек.
Установлено, что в дозе 2 мг/кг увеличения активности аланинаминотрансферазы не наблюдалось, тогда как в гомогенатах печени и почек она уменьшалась.
Выявлено повышение активности аспартатаминотрансферазы при введении экспериментальным животным азотнокислого кадмия в дозе 0,5 мг/кг в гомогенате сердца.
Установлено повышение активности аспартатаминотрансферазы при дозе 2 мг/кг в гомогенатах печени, головного мозга, почек и уменьшение в сыворотке крови.
Список использованных источников
Ярушкин В.Ю. Тяжелые металлы в биологической системе мать-новорожденный в условиях техногенной биогеохимическойпровинции // Гигиена и санитария – 1992. - №6. – с. 13-15.
Ревич Б.А. Экологическая эпидемиология, М.:Академия.,2004.– 206 с.
Wloch S. Dunamics of morphological and cytochtmical changel in the placenta following cadmium chloride intoxication // Ginecol. Pol. – 1992. – Vol. 63 - №6 – P. 264 – 275.
Corpas I., Antonio M T. Study of alteration produced by cadmium and cadmium/leand administration during gestational and early lactation periods in the reproductive organs of the rat // Ecotoxicol. Environ. Saf. – 1998. – Vol. 41 – №2 – P. 180-188.
Рапопорт С.М. Медицинская биохимия., М.:Медицина., 1966. – 143 с.
Алабастер Дж. Критерии качества воды для пресноводных рыб. М.: Легкая и пищевая промышленность., 1984. – 344 с.
Куценко С.А. Основы токсикологии., Санкт – Петербург., 2002. – 390 с.
Ликулова И.В., Белова Е.А. Специфическое действие кадмия при перроральном поступлении в организм с водой. // Гигиена и санитария. – 1987. - №6. – с. 70-74.
Авцын А.П. и др. Микроэлементозы человека (этиология, классификация, органопатология)., М.:Медицина, 1991. – 564 с.
Ambrosi L., Lomonte C., Еtal Nephropathy induset in Nephrology, bari, Itali, apr. 1990. – 100 p.
Franchini I., Mutti A. Tubulointerstiliar nephropaties by industrial chemicals // Proceedings of the 4th Bari seminar in Nephrology, Bari., 1990. – p. 119-127.
Войнар А.И. Биологическая роль микроэлементов в организме животных и человека., М., 1960. – 245 с.
Дюга Г., Пенни К. Биологическая химия. Химические подходы к механизму действия ферментов., М., 1983. – 460 с.
Османов И.М. Роль тяжелых металлов в формировании заболеваний органов мочевой системы // Российский вестник перинетологии и педиатрии. – 1996. - №1. – с. 36-40.
Коротков С.А., Глазунов В.В., Действие гидрофобного органического комплекса кадмия на ионную проницаемость митохондриальной мембраны и дыхание митохондрий печени крыс. // Биохимические мембраны. – 1996. - №2. – с. 178-183.
Трахтенберг И.М., Иванова Л.А. Тяжелые металлы и клеточные метаболизмы. // Медицина труда и промышленная экология. – 1999. - №11. – с. 28-32.
Нурмухамбетов А.Н., Кащеева Е.П. Индукция кадмием перекисного окисления липидов в тканях белых крыс и ее профилактика аскорбиновой кислотой. // Гигиена и санитария. – 1989. - №3. – с. 77-78.
Скальный А.В. Микроэлементы человека (диагностика и лечение), М.: КМК., 1999. – 49 с.
Калоус В., Павличек З. Биофизическая химия., М.: Мир, 1985. – 446 с.
Gunarson D., Nordberg G., Cadmium – induced decrement of the receptor expression and c AMP levels in the testis of rats // Toxicology. – 2003. – Feb. 1:183(1-3) – p. 57-63.
Литвинов Н.Н. К вопросу о дозоэффективной зависимости эмбриотоксического действия хлористого кадмия. // Гигиена и санитария. – 1989. - №4. – с.86.
Мищенко В.П. Токсичные металлы и беременность. // Российский вестник перинатологии и педиатрии. – 1997. - №6. – с. 59.
Antonio M. T., Lores N. Pb and Cd poisoning during development alters cerellar and striatal function in rats // Toxicjlogy. – 2002. – Iul. 1:176 (1-2) – p. 59-66.
Кретович В.Л. Введение в энзимологию., М., 1986. – 250 с.
Майстер А. Биохимия аминокислот. / Под. ред. А. Е. Браунштейна., М.: Издательство иностранной литературы., 1961. – 240 с.
Филиппович Ю.Б. основы биохимии., М., 1985. – 130 с.
Катунума Н. Химия и биология пиридоксалевого катализа., М., 1968. – 170 с.
Торчинский Ю.М. Молекулярный механизм энзиматического трансаминирования: 40-е Баховское чтение., М., 1987. – 70 с.
Диксон М., Уэбб Э. Ферменты.,(том 2), М., 1982. – 450 с.
Берхард С. Структура и функции ферментов., М., 1971. – 380 с.
Фершт Э. Структура и механизм действия ферментов. / Пер. с анг. Ю.Б. Гребеньщикова., М., 1980. – 430 с.
Аминокислоты, их производные и регуляция метаболизма. / Под. ред. З.Г. Броновицкой., Ростов-на-Дону., 1983. – 124 с.
Мецлер Т. Биохимия. Химические реакции в живой клетке.(том 2), М., 1980. – 270 с.
Березов Т.Т., Коровкин Б.Ф. Биологическая химия., М.:Наука. – 2004. – 540 с.
Якубке Х.Ф., Аминокислоты, пептиды, белки. М., 1985. – 340 с.
Функциональная активность ферментов и пути ее регуляции. / Под. ред. С.Е. Северина, Г.А. Кочетова, М.: Издательство МГУ, 1981. – 180 с.
Анисимов А.А. Медицинская энзимология., Горький., 1978. – 150 с.
Коровкин Б.Ф. Ферменты в жизни человека., М., 1972. – 270 с.
Халимов С.З. Сравнительная оценка эмбриотоксического действия различных соединений кадмия. // Гигиена и санитария. – 1985. - №4. – с. 11-14.
Reitman S., Frankel A. Colorimetric methol for the deter mination of serum glutamic oxaloacetic and glutamic pyruvic transaminases. – Amer. I Clin. Pathol. – 1957. – №28. – p. 56-63.
Комаров Ф.И., Коровкин Б.Ф. Биохимические исследования в клинике., М., 2001. – 215 с.
Рокицкий П.Р. Биологическая статистика., Минск., 1973. – 319 с.
Немова Н.С. Влияние аммиака и ацетилхолина на аспартат- и аланинаминотрансферазную активность ткани головного мозга. // Вопросы медицинской химии. – 1966. - №5. – с. 514-516.
Покровский А.А. Изменение активности сорбитдегидрогеназы, аланиаминотрансферазы и фосфогексоизомеразы в плазме крови крыс при остром токсическом поражении печени. // Вопросы едицинской химии. – 1967. - №5. – с. 511-515.
Корчак В.И. Активность аланинаинотрансферазы в сыворотке крови и печени в условиях воздействия на крыс химических веществ. // Гигиена и санитария. – 1985ю - №8. – с. 11-14.
Мосс Д.В., Баттерворт П.Д. Энзимология и медицина. М., 1978. – 365 с.
Талакин Ю.Н. О некоторых биохимических изменениях в организме при воздействии низких концентраций тяжелых металлов. // Гигиена и санитария. – 1973. - №9. – с. 17-19.
Люблина Е.И, Минкина Н.А. Адаптация к промышленным ядам как фаза интоксикации., Ленинград., - 1971. – 567 с.
Магарламов А.Г. Аспартат- и аланинаминотрансферазная активность в печени и сыворотке крови крыс при парентеральном азотистом питании на фоне белкового голодания. // Украинский биохимический журнал. – 1980. - №6. – с. 720-725.
Мушина Е.В. Изучение совместного биологического действия свинца и кадмия в эксперименте на животных. // Гигиена и санитария. – 1989. - №9 – с.89-90.
Охрименко С.М., Гурьева Н.Г. Адаптации ферментов липидного и азотистого обмена у крыс при оксидативном стрессе, вызванном стрессе, вызванном солями кобальта и ртути // Вестник Харьковского национального университета. – 2005. - №2. – с.56-60.
Филимонов К.Р. Лабораторная и инструментальная диагностика заболеваний внутренних органов. – М.: Наука, - 1995. – 342 с.
Kowalczyc E., Koff A. Effect of anthocyanins on selected biochemical parameters in rats exposed to cadmium // Acta Biochemica Polonica. – 2003. – Vol. 50. №2 – P. 543-548.
Надинская М.Ю. Печеночная энцефалопатия: патогенный подход к лечению. // Гостроэнтерология. – 2006. - №1. – с. 12-16.
Силиванов М.П. Клиническая биохимия.М.: Мир, 1984. – 543 с.
Нравится материал? Поддержи автора!
Ещё документы из категории биология:
Чтобы скачать документ, порекомендуйте, пожалуйста, его своим друзьям в любой соц. сети.
После чего кнопка «СКАЧАТЬ» станет доступной!
Кнопочки находятся чуть ниже. Спасибо!
Кнопки:
Скачать документ