Углеводы

























































Курсовая работа
по химии
на тему:
"Углеводы"
Введение
По химической классификации, все углеводы являются полигидроксикарбонильными соединениями. Номенклатура их, как и в большинстве случаев природной химии, носит тривиальный характер, систематический подход разработан и им удобно пользоваться при названии производных углеводов и обозначении характерных структурных элементов. Общее окончание для всех углеводов, исключая полимерные системы - оза.
Здесь следует отметить, что обычно углеводы подразделяют в первую очередь на моносахариды, олигосахариды и полисахариды. Но так как моносахара являются фундаментальными углеводными единицами, а олигосахара и полисахара - это не что иное, как их производные, то мы и будем придерживаться этой схемы: не выделять олигосахара в отдельный класс, рассматривая их как соответствующие производные моносахаров.
1. Классификация
Классификация углеводов ступенчатая. В первую очередь, отмечается количество атомов углерода углеводородной части молекулы - тетрозы, пентозы, гексозы, гептозы и т.д. Наиболее распространенными являются пентозы и гексозы. В зависимости от числа атомов углерода в моносахаридной цепочке, их подразделяют на низшие, обычные и высшие моносахара с количеством углеродных атомов от 7 до 10. Нормальные углеводы структурно расходуют один углеродный атом на карбонильную группу, при всех остальных углеродных атомах находится по одной гидроксильной группе. Вторая ступень классификации связана с расположением карбонильной группы в углеводородной цепи - либо это альдегидная группа, либо кетонная - ив соответствии с этим, мы имеем либо альдозы, либо кетозы. С учетом первой ступени классификации, мы можем теперь различать альдопентозы, альдокетозы, альдогексозы, кетогексозы и т.д.
Следующий этап подразделения углеводов определяется пространственным структурным фактором, а именно, наличием асимметрических центров. Как видно на схеме 1, молекула альдозы содержит асимметрических центра, молекула кетозы - таких центра: это значит, что альдогексозы могут существовать в виде 24 конфигурационных изомеров, кетогексозы - в виде 23 конфигурационных изомеров. Учитывая структурное соотношение между диастереомерными и энантио-мерными формами, в простейшем варианте рассмотренное нами на примере винных кислот, можно уточнить: альдогектозы будут представлены 8 диастереомерами, каждый из которых может существовать в виде пары оптических антиподов.
Диастереомеры различаются между собой различным взаимным расположением гидроксильных групп в пространстве, в результате чего они будут существенно различаться физическими и, в некоторой степени, химическими свойствами. В связи с этим, а также с учетом важности этих индивидуальных соединений в природной химии, каждому из диастереомеров присвоено свое собственное тривиальное название. Оптические же антиподы обозначают индексами D - и L - в зависимости от конфигурации последнего, по нумерации углеводородной цепи, асимметрического центра Так как при переходе от углеводной молекулы с п-асимметрическими центрами к молекуле с центрами количество конфигурационных изомеров удваивается, то, приняв за минимальную альдозу глицериновый альдегид и минимальную кетозу - эритрулозу, мы можем построить иерархическую схему стереохимического родства природных углеводов с учетом того факта, что, в основном, они относятся к D-ряду в проекциях Фишера.
Доказательство строения и стереохимического родства восьми D - гексоз и четырех D-пентоз было основано на блестящих работах Эмиля Фишера, за которые он получил Нобелевскую премию по химии в 1901 году.
Относительно особенностей конфигураций D - и L-рядов моносахаров следует отметить два факта:
1. Обозначение D - и L - не находятся во взаимосвязи со знаком их оптического вращения.
2. Живые организмы "не узнают" и "не умеют" усваивать углеводы L-ряда, тогда как синтезировать они их могут. Свойство инертности ферментов к L - сахарам природа часто использует для построения сложных устойчивых молекулярных систем.
2. Свойства и структура моносахаридов
Специфика химических свойств углеводов заключается уже в том, что не имеет смысла рассматривать отдельно реакции, обусловленные только спиртовыми функциями или только карбонильными. Прежде всего, мы познакомимся с теми их свойствами, которые обусловлены взаимным влиянием этих функций, поскольку результатом их взаимного влияния являются существенные структурные изменения и появление новых химических свойств молекул моносахаридов.
Поскольку карбонильные группы обладают ярко выраженной способностью к присоединению нуклеофильных реагентов, а в молекулах Сахаров присутствуют эти нуклеофильные группы в количестве, более чем достаточном, то естественно ожидать от них осуществления этой реакции внутримолекулярным вариантом. И она осуществляется. Остается только выяснить, какой именно гидроксил осуществляет этот процесс и каков результат этого процесса.
Согласно пространственному строению моносахаридной молекулы, наиболее благоприятны для нуклеофильной атаки гидроксильные группы при углеродах С4, Cs и С6, если мы за основу возьмем альдогексозу; С4 и Cs - если за основу возьмем альдопентозу. Второй фактор, влияющий на выбор гидроксильной группы для этой реакции - это устойчивость образующегося циклического полуацеталя: образование малых циклов энергетически невыгодно из-за байеров-ского напряжения; образование больших циклов невыгодно по причине торсионных дестабилизирующих взаимодействий.
Из классической органической химии известно, что пяти - и шестичленные циклы, как карбоциклические, так и гетероциклические, термодинамически наиболее предпочтительны.
Следствием этих основных факторов является преимущественное образование шестичленного циклического полуацеталя в случае глюкозы, пятичленного циклического полуацеталя в случае рибозы, пятичленного циклического полуацеталя в случае фруктозы. В номенклатуре соединений это отражают введением названия соответствующего кислородного гетероцикла в качестве корневого слова - пираноза и фураноза. Но надо еще раз подчеркнуть, что такое формирование циклических форм является преимущественным: образование фураноз в случае альдогексоз и пираноз в случае альдопентоз также не исключено.
Согласно предложению Хеуорса, формулы всех циклов представляют схематически плоскими, что удобно для представления взаимного расположения гидроксильных групп, а для пятичленных циклов это близко к истине
При анализе циклических структур моносахаридов первое, что мы можем отметить - это исчезновение карбонильной функции и появление новой гидроксильной функции при С1 и, соответственно, нового асимметрического центра при этом же углеродном атоме Так вот, в силу планарности карбонильной группы, присоединение реагента к ней возможно с обеих сторон плоскости, результатом чего является пара циклических изомеров, называемых а - и в-формами А во-вторых, возникает вопрос, что же является истиной для моносахаридов в структурном плане9 Многочисленными пионерскими работами в начале двадцатого столетия, основанными на виртуозных химических превращениях, а также современными исследованиями, в большей степени использующими физические методы показано, что в растворах существует динамическое равновесие между всеми тремя формами, а в кристалле - только циклические формы в зависимости от природы углевода и условий кристаллизации Динамическое равновесное состояние моносахаридов называют кольчато-цепной таутомерией. Соотношение между различными формами таутомерной смеси в растворе весьма трудно определяемо, так как оно в существенной степени зависит от природы моносахарида и от среды.
Глюкоза, конечно же, изучена лучше всех по всем аспектам. Так, для нее было установлено, что при кристаллизации из воды или из спирта образуются кристаллы чистой a-D-глюкопиранозы, а при кристаллизации из пиридина - только в - 0-РєК) К0РЗс3З033. В водном растворе D-глюкоза существует в виде смеси а - и в-форм в соотношении 36'64, т.е. все-таки предпочтительнее является в-структура глюкозы.
Ациклическая форма глюкозы в растворе присутствует в столь незначительных количествах, что не регистрируется физическими методами, но она безусловно есть, ибо не был бы возможен таутомерный переход между а - и в-формами. Указанное выше равновесие устанавливается при растворении чистой a-D-глюкозы в воде через 24 часа. Кроме того, только она - ациклическая форма глюкозы - дает четкие реакции альдегидной группы. В столь же незначительных концентрациях в растворе присутствуют и фуранозные формы глюкозы.
К настоящему моменту установлено, что преобладающей формой и для альдогексоз, и для альдопентоз, является наиболее термодинамически выгодная пиранозная. Только в нескольких случаях в растворах моносахаридов фуранозная форма зафиксирована в значительных количествах: для рибозы, альтрозы, иодозы и талозы. Кроме того, следует отметить, что иногда альдогексоза может образовать и семичленный цикл взаимодействием гидроксила при С6 с альдегидной функцией. Такую форму, называемую септаноза, образует тетраметил глюкоза.
Несколько иначе обстоит дело с таким типичным моносахаридом кетозной структуры, как фруктоза. Из двух возможностей образования циклической формы, она реализует обе. В водном растворе фруктоза существует в виде смеси таутомеров, в которой содержится до 15% в-фуранозной формы, значительные количества ациклических форм, но в основном, пиранозитный таутомер. В кристаллическом состоянии известна только р-0-фруктопираноза. Следует отметить, забегая несколько вперед, что ее природные производные по полуацетальному гидроксилу всегда имеют фуранозную структуру.
Из альдопентоз следует выделить рибозу, как наиболее распространенный моносахарид с пятью атомами углерода В водном растворе она представляет собой смесь всех четырех циклических таутомеров, из которых предпочтительными являются пиранозные формы, но фуранозные формы также значительны Нормальная кристаллическая форма рибозы - р-й-рибопираноза, а для производных характерна в-0-рибофуранозная структура.
Вернемся к глюкозе, отвлекшись от проекционных формул Фишера и Хеуорса, и проанализируем ее пространственную структуру, так сказать, в окончательном варианте. Поскольку все шестичленные циклы, включая гетероатомные, предпочтительно существуют в форме кресла, так же изобразим и глюкозу. В таком случае, в-глюкопираноза окажется термодинамически предпочтительной и по стереохимическому расположению всех заместителей цикла - они расположены экваториально. В связи с этим, становится понятным предпочтение, отданное Природой в-форме глюкозы при построении различных биологических структур, которые, в первую очередь, требуют стабильности.
б-Форма глюкопиранозы отличается аксиальным положением гликозидного гидроксила. Факторов, определяющих относительную стабильность б-изомера, несколько, но основным, очевидно, является стабилизирующее взаимодействие неподеленной электронной пары эндоциклического кислорода и свободной орбитали связи С'-ОН, которое максимально именно в этой конфигурации молекулы. Аномерный эффект, обнаруженный и изученный на молекуле глюкозы, оказался довольно общим явлением не только в химии углеводов, но и в химии циклических полуацеталей вообще, однако свое начало он берет из природной химии - из химии углеводов.
Таким образом, используя кресловидное изображение молекул альдопи-раноз, мы увидим, чтс пои переходе от глюкопиранозы ко всему остальному ряду альдогексоз, гидроксильные функции периодически меняют свое положение с экваториального на аксиальное, за исключением группировки - СН2ОН - она всегда экваториальна.
Только D-иодоза имеет аксиальное положение - СН2ОН группы в термодинамически наиболее стабильной конформации, так как остальные ее - ОН функции при этом расположены экваториально.
Так как фруктоза также имеет склонность к образованию пиранозной формы, то полезно рассмотреть и ее пространственную структуру. Установлено, что из двух кресловидных конформеров реализуется тот, в котором наиболее тяжелая группа занимает экваториальное положение при равном соотношении экваториальных и аксиальных гидроксифункций.
3. Химические свойства моносахаридов
Химические свойства моносахаридов, как и других бифункциональных соединений, могут быть разделены на три группы: это свойства спиртов, карбонильных соединений, и специфические реакции, обязанные взаимному влиянию и взаимному участию спиртовых и карбонильных функций.
Из типичных спиртовых свойств моносахаридов следует отметить, в первую очередь, реакции этерификации различного типа, ведущие к образованию сложных эфиров карбоновых кислот, сложных эфиров минеральных кислот, простых алкиловых эфиров. Так как в молекуле любого моносахарида содержится несколько спиртовых групп, то очевидно, что в любом случае эти реакции могут иметь различную степень кратности, т.е. могут быть получены, в зависимости от активности реагента, моноэфиры, дизфиры, триэфиры и т.д. При этом не полностью этерифицированные моносахара будут представлены еще и набором региоизомеров. Таким образом, в одной только реакции ожидаемое многообразие получаемых эфиров более чем достаточно.
Реакции карбонильных групп моносахаридов всегда могут проявиться, так как в растворе моносахарида всегда имеется ациклический таутомер, всегда имеется хоть в каких-то количествах и тогда, независимо от количества этой формы, процесс таутомерии обеспечивает полное прохождение реакции по карбонильной группе, т.е. так, как будто все вещество в растворе имело нециклическую структуру. В первую очередь, здесь следует отметить различные реакции нуклеофильного присоединения, окислительно-восстановительные реакции, реакции азометиновой конденсации.
Реакции окисления наиболее любопытны тем, что могут быть реализованы потрем направлениям!
Наиболее мягкое окисление по альдегидной группе приводит к гликоновым кислотам, окисление немного более энергичное - переводит спиртовую группу в карбоксильную. Концевая спиртовая группа может быть окислена до карбоксильной при условии защиты последней, т.е. в условиях жесткой стабилизации циклической формы молекулы. При действии некоторых окислителей, циклическая форма альдогексоз окисляется непосредственно по полуацетальному гидроксилу с образованием д-лактонов, которые обычно перегруппировываются в более стабильные г-лактоны.
Специфические свойства моносахаридов. Наличие в молекуле углеводов спиртовых гидроксилов открывает возможность одновременного участия в реакции нескольких из них. Типичная реакция моносахаридов с карбонильными реагентами приводит к образованию циклических ацеталей, структура которых определяется взаимным пространственным расположением гидроксильных групп: обычно в таких реакциях участвует пара цис расположенных гидроксифункций.
Так как моносахара в растворе обычно представлены смесью нескольких таутомеров, то при взаимодействии их с карбонильным соединением возможно образование циклических производных нетипичных форм, присутствующих в незначительных количествах, но, по ряду факторов, благоприятных для реакций такого типа.
Сближение в пространстве двух гидроксильных групп моносахаридов может, в условиях, соответствующих образованию простых эфиров, реализоваться в такой реакции внутримолекулярно. Продукты реакций имеют бициклическую структуру и называются ангидросахарами. Подобная реакция эффективно проходит в молекуле йодозы, так как в ее пиранозной форме один из информационных переходов сближает гидроксилы при С и С6, тогда как все остальные приобретают энергетически выгодное экваториальное положение.
Ангидросахара, полученные взаимодействием реакционных центров при С1 и С4, имеют структуру, в которой зафиксирована форма лодки шестичленного цикла пиранозы.
Специфической реакцией моносахаридов можно считать и окисление их реагентами, действующими на пару вицинальных гидроксильных групп, предпочтительно имеющих цис-конфигурацию. Окисление выполняется йодной кислотой или тетраацетатом свинца и протекает через промежуточный циклический диэфир с последующим расщеплением углерод-углеродной связи циклического фрагмента. В свое время, реакция сыграла решающее значение при исследовании строения моносахаров.
Но так как обычно углеводная молекула имеет более, чем два гидроксила, то вариантов деструктивного гликольного окисления несколько, и процесс протекает часто постадийно и достаточно глубоко: например, так, как эрj имеет место в случае D-глюкозы.
Под действием оснований и кислот моносахара претерпевают изомеризацию и деградацию в зависимости от условий.
В мягких щелочных условиях обычно имеет место эпимеризация, т.е. изменение конфигурации углеродного атома в 2-положении к карбонильной группе, а также изомеризация типа альдоза р. кетоза. Так, при выдерживании D-глюкозы в течении нескольких дней в 0,01 М растворе гидроокиси натрия образуется смесь, содержащая 28% D-фруктозы, 3% D-маннозы и исходную D-глюкозу. Оба изомеризационных процесса протекают через общий интермедиат, являющийся енольной формой D-глюкозы, т.е. указанная смесь веществ является следствием кетоенольной таутомерии, катализируемой основанием. Заметим, что реакция идет из ациклической формы, являющейся также компонентой таутомерного процесса.
В более жестких щелочных условиях проходят более глубокие перегруппировки до сахариновых кислот. Та же самая D-глюкоза при обработке 0,15 М раствором гидроокиси кальция превращается в смесь нескольких гидрокси-кислот. Эти реакции многоступенчатые и, как правило, малой степени стерео-специфичности.
В кислой среде моносахара обычно более стабильны, но при нагревании в растворах минеральных кислот протекают процессы дегидратации, результатом которых являются производные фурана. Так, альдопентозы, отщепляя три молекулы воды, образуют фурфурол, а альдогексозы - 5-гидроксиме-тилфурфурол.
Характерным свойством моносахаров, обязанным совместному присутствию карбонильной и гидроксильной функций, является реакция образования озазонов, образующихся при взаимодействии как альдоз, так и кетоз с фенилгидразином. Обычная азометиновая конденсация по карбонильной группе моносахарида с одной молекулой фенилгидразина приводит к соответствующему фенилгидразону, но характерно то, что процесс на этом не заканчивается, а наблюдается последующая реакция окисления соседней гидроксильной группы до карбонильной, на что расходуется еще одна молекула фенилгидразина, далее новая карбонильная группа конденсируется с третьей молекулой фенилгидразина.
Образующиеся в результате бисфенилгидразоны хорошо кристаллизуются и потому часто используются для идентификации моносахаридов. На заре углеводной химии эта реакция использовалась для установления строения отдельных моносахаридов и их взаимосвязи. К примеру,
D-глюкоза и D-манноза образуют один и тот же озазон.
Рассматривая химические свойства углеводов, невозможно обойти их реакции брожения; фактически являясь биохимическими реакциями, они широко используются в химической технологии и в лабораторной практике. Большинство углеводов под действием ферментов, внутриклеточно, образуют пировиноградную кислоту и АТР.
Далее, в зависимости от природы микроорганизма, поставляющего определенный набор ферментов, пировиноградная кислота превращается в тот конечный продукт, который соответствует каталитическим возможностям данного комплекта энзимов. По продуктам брожения различают следующие его основные виды: спиртовое, молочнокислое, пропионовокислое, маслянокислое. Иногда основной процесс брожения может осложняться некоторыми параллельными или последовательными реакциями, обусловленными вариациями условий среды или ферментного набора: так, при маслянокислом брожении может реализоваться так называемое ацетон-бутиловое брожение; спиртовое брожение сопровождается уксуснокислым, виннокислым и глицериновым брожениями; при некоторых видах брожения в значительных количествах могут накапливаться лимонная, фумаровая и янтарная кислоты.
4. Биосинтетические реакции углеводов
Одно из важных свойств моносахаров - это способность к енолизации, обеспечивающая как процессы взаимопревращения моносахаров, так и различные реакции биосинтеза.
В ряду последних, в первую очередь, следует отметить реакцию фиксации диоксида углерода дифосфатом рибулозы как один из этапов цикла Кальвина.1,5-дифосфат D-рибулозы в присутствии оснований становится С-нуклеофилом, который легко присоединяет электрофильный диоксид углерода. Образующийся промежуточный разветвленный С6-сахарид гидролитически расщепляется на два фрагмента глицериновой кислоты - таким образом, молекула углекислоты может считаться "усвоенной".
На следующем этапе 3-фосфат глицериновой кислоты восстанавливается реагентом in vivo до фосфата глицеринового альдегида; последний изомеризуется до соответствующего кетона - фосфата дигидроксиацетона. Показано, что из фосфатов глицеринового альдегида и дигидроксиацетона реакцией конденсации образуется молекула дифосфата фруктозы: при этом дигидроксиацетоновая компонента выступает в качестве нуклеофила в форме енолят-аниона.
Очень похожими реакциями получаются другие моносахара, а также регенерируется рибулоза, необходимая для первичного захвата диоксида углерода. Кроме этого пути фотосинтетической фиксации диоксида углерода существуют и некоторые другие: например, образование щавелевоуксусной кислоты присоединением фосфата енол-пировиноградной кислоты, имеющего нуклеофильный центр, по атому углерода углекислоты, об электрофильном характере которого уже говорилось выше. В свою очередь, щавелевоуксусная кислота легко восстанавливается до яблочной кислоты, а последняя служит источником и пировиноградной кислоты, и фосфата ее енольной формы.
К этой схеме следует заметить, что высвобождающийся в ходе каталитического разложения диоксид углерода не выделяется "наружу", а тут же используется для последующих фотосинтетических превращений, например, для образования фруктозы, а пируваты снова возвращаются на начальную стадию биосинтеза.
Одним из интереснейших и важнейших химических преобразований альдогексоз является реакция образования аскорбиновой кислоты. Процесс реализуется in vivo из D-глюкозы и D-галактозы, а в промышленности ее получают из D-глюкозы. Важно отметить, что природная аскорбиновая кислота имеет L-конфигурацию.
Установлено, что процесс ее образования имеет обязательные стадии: окисление при С1, С2 или С3, эпимеризация или родственный процесс при С5, лактонизация между С и С4. В каком порядке эти реакции осуществляются, не всегда можно сказать однозначно, хотя бы потому, что эти процессы несколько различаются у животных и у растений. Наиболее доказана к настоящему времени следующая.
5. Производные моносахаров
К производным моносахаридов относятся соединения, имеющие моносахаридную основу, но содержащие вместо одной или нескольких гидрокси-функций какие-либо другие функциональные группы. Ввиду большого их разнообразия и широкого распространения в природе, имеет смысл разделить производные моносахаров на две подгруппы: производные по всем спиртовым группам и производные по полуацетальному гидроксилу. Последние в силу своей специфичности называют гликозидами и выделяют в особую группу, которую мы проанализируем позже.
Все производные моносахаридов, в которых спиртовая группа замещена на любую другую, получают приставку дезокси-, далее называют замещающую функцию.
Итак, дезоксисахара - это моносахариды, в которых одна или более спиртовых функций восстановлены до углеводородной. В природе широко распространена 2-дезоксирибоза в виде производных. В растениях часто встречаются моно-сахара с терминальной дезокси-группой: например, L-рамноза, L-фукоза, D-дигитоксоза. Многие моно - и ди-дезоксисахара входят в состав антибиотиков.
Аминосахара редко встречаются в свободном виде, обычно они входят как мономерные звенья в цепочки различных полисахаридов. Но так как в связанном виде они распространены широко и, можно сказать, фундаментально, мы эти звенья как бы в изолированном виде и рассмотрим. Важнейшими из них являются 2-аминопроизводные глюкозы и галактозы, аминогруппа которых может быть свободной или модифицированной ацильной или сульфогруппами.
Особенно богатым источником различных аминосахаров являются плесневые грибы семейства Streptomyces, продуцирующие разнообразные аминосахаридные антибиотики. В качестве типичного примера таких антибиотиков можно назвать канамицин В, в молекулу которого входят такие аминосахара как 2,6-диамино-2,6-дидезокcи-D-глюкоза и 3-амино-3-дезокси-D-глюкоза.
Важное место среди аминопроизводных моносахаров занимает нейраминовая кислота и ее производные - сиаповые кислоты Моносахаридной основой нейраминовой кислоты является кетононоза. Сиаловые кислоты - это ее ацилированные по азоту и кислороду производные, содержащиеся в свободном состоянии в спинномозговой жидкости.
Несмотря на большую углеродную цепочку ациклической формы нейраминовой кислоты, ее циклический таутомер, как и в случае гексоз, имеет размер пиранозы.
Отметим также аминопроизводное D-глюкозы, этерифицированной по третьему гидроксилу молочной кислотой - мурамовую кислоту, которая в виде Н-ацетильного производного входит в состав полисахаридов клеточной стенки бактерий. Наличие в ее молекуле аминной и карбоксильной функций позволяет мурамовой кислоте образовывать цвиттер-ионную форму.
Через свою карбоксильную функцию мурамовая кислота обычно осуществляет химическую связь с аминокислотами и пептидами, образуя класс пептидогликанов.
Разветвленные моносахара сравнительно немногочисленны, но их структуры уникальны: они являются компонентами некоторых антибиотиков, встречаются в растениях в связанном виде. Отметим стрептозу, которая входит в состав антибиотика стрептомицина; апиозу, обнаруженную в виде гликозида в петрушке; гамамелозу, которая в виде диэфира с галловой кислотой найдена в коре лещины виргинской.
Молекула апиозы интересна в структурном плане: имея только один асимметрический центр в цепной форме, она приобретает два новых асимметрических центра при переходе в циклическую форму, следовательно, D-апиоза может образовывать четыре циклических стереоизомера.
6. Гликозиды
Среди всех производных моносахаров, безусловно, на первое место следует поставить гликозиды. Гликозиды представляют собой моносахариды, в молекулах которых полуацетальный гидроксил замещен на какую-либо другую функциональную группу.
Из схемы 6.1 очевидно, что два атома кислорода при одном углероде как пиранозной, так и фуранозной форм моносахарида - это уже достаточное основание для создания существенного положительного заряда на этом атоме. Вследствие этого, для молекулы открываются две возможности реагирования: во-первых, облегчается диссоциация по связи С-ОН с образованием соответствующего карбкатиона, катионный центр которого стабилизирован взаимодействием с п-уровнем эндоциклического атома кислорода; во-вторых, достаточно большой положительный заряд на углероде создает благоприятную предпосылку для непосредственной атаки его нуклеофильным реагентом. Другими словами, ожидается, что полуацетальный гидроксил пираноз и фураноз будет легко замещаться нуклеофильно как по механизму SN1; так и по механизму SN2.
В соответствии с общими закономерностями реакций нуклеофильного замещения, в случае реализации мономолекулярного механизма ожидается образование продукта реакции в виде смеси диастереомеров, так как карбкатионный фрагмент переходного состояния молекулы плоский; если же процесс пойдет по синхронному бимолекулярному пути - пространственная структура продукта будет зависеть от конфигурации исходного моносахарида: из б-формы образуется в-гликозид, из в-формы - б-гликозид, так как атака нуклеофила осуществляется в тыл связи С-0 и завершается обращением конфигурации реакционного центра. Поскольку моносахарид всегда будет существовать в растворе в виде таутомерной смеси а - и в-форм, то независимо от механизма реакции мы, как правило, получим гликозид в виде изомерной смеси. Только лишь их соотношение будет варьироваться в зависимости от условий реакций и природы реагента. Но это все верно тогда, когда реакция проводится в колбе, т.е. in vitro.
Внутри живой клетки такой процесс катализируется ферментами, которые, как правило, работают стереоспецифично: это значит, что они будут избирательно вовлекать в реакцию какой-либо один из диастереомеров, а также осуществлять реакцию по какому-либо одному механизму, что в итоге приведет к продукту одной изомерной формы. Схематично такую реакцию можно представить, моделируя реагент и фермент в виде единой молекулы, на одном конце которой находится остаток фосфорной кислоты, катализирующий отщепление гидроксильной группы, на другом конце - нуклеофильный остаток, атакующий электрофильный атом углерода. Синхронное воздействие каталитического и нуклеофильного фрагментов на электрофильный центр а-глюкопиранозы приводит к соответствующему в-гликозиду.
Вполне возможно, что б-изомер большинства моносахаров более реакционно способен хотя бы по причине стерической доступности его реакционного центра. Тогда следует ожидать, что большинство природных гликозидов будут относится к ряду в-изомеров, так как их образование ферментативно катализируемо. Трудно проанализировать
все природные гликозиды на предмет принадлежности их к а - или в-ряду в виду их многочисленности. Но все-таки создается впечатление, что в-диастереомеры все же более многочисленны. Так как б-изомерные формы часто также образуются исключительно стереоспецифично, следует предположить, что комплексирование каталитического сайта фермента и молекулы моносахарида чувствительно к исходной пространственной форме пиранозы или фуранозы. Это возможно только при условии, что образование одних и тех же гликозидов различной конфигурации должно катализироваться различными ферментативными системами.
Для всех гликозидов характерно отсутствие таутомерных превращений в растворе, т.е. переход их в ациклическую форму невозможен, так как для этого процесса требуется подвижный атом водорода полуацетального гидроксила для преобразования последней в карбонильную группу. Второе общее свойство гликозидов - это достаточно легкая способность их к гидролизу в кислой среде, фактически являющемуся процессом, обратным реакции их образования.
Классификация гликозидов. Классифицируются гликозиды достаточно однозначно - согласно типу нуклеофила, заместившего полуацетальный гидроксил. Такой нуклеофил также называют агликоном. Если агликонами являются спирты или фенолы, то образующиеся гликозиды называют 0-гликозидами; серусодержащие нуклеофилы ведут к образованию S-гликозидов; если нуклеофилом являлось соединение, генерирующее в ходе реакции карбанион, то полученный гликозид имеет структуру С-гликозида; и наконец, очень распространены в природе различные варианты образования Н-гликозидов в ходе замещения полуацетального гидроксила моносахаров азотистыми основаниями разного типа.
О-гликозиды в природных источниках представлены как довольно простыми молекулами по структуре агликона, так и очень большими и разнообразными по строению и биологическим функциям соединениями, включая целые биополимерные системы.
Т. к. О-гликозиды образуются при взаимодействии спиртов любой природы с циклической формой моносахарида, а последний сам по себе содержит вполне достаточное количество различных по состоянию гидроксильных функций, то вполне естественно, что Природа использовала возможность образования новых структур, новых связей и новых возможностей путем взаимодействий молекул моносахаридов между собой по схеме О-гликозидирования, без привлечения других соединений. Такой путь всегда энергетически и материально наиболее экономичен.
Результатом этих реакций являются дисахариды, олигосахариды и полисахариды, которые могут быть построены как из одинаковых моносахаридных звеньев, так и из различных моносахаридных звеньев.
Дисахариды. Самый важный момент, который следует определить в структуре дисахарида после того как установлена природа его моносахаридных звеньев - это характер гликозидной связи: какая гидроксильная группа участвует со стороны моносахарида - агликона и какова конфигурация гликозидной связи. Чаще всего реализуется связь 1-4', реже встречается гликозидная связь 1-6', еще реже - связь 1-3'.
Образованные таким способом дисахариды называются восстанавливающими, так как фрагмент моносахарида - агликона содержит полуацетальный гидроксил свободным, что оставляет за ним способность к таутомерному превращению в ациклическую форму, которая и вступит в окислительно-восстановительную реакцию своей альдегидной группой.
В том случае, если дисахарид образован связью 1-1', т.е. моносахарид - агликон предоставляет для формирования гликозидной связи свой полуацетальный гидроксил - его относят к группе невосстанавливающих, так как таутомерного превращения, ведущего к ациклическому фрагменту с альдегидной группой, молекула не претерпевает и, следовательно, легких окислительно-восстановительных реакций от нее ожидать не приходится.
Типичными представителями гетеродетных дисахаридов являются лактоза и сахароза. Само название этих дисахаридов говорит о степени важности их для живых организмов и степени распространенности в живой системе. Лактоза представляет собой дисахарид, образованный из галактозы и глюкозы-агликона со связью в-1-4", тогда как сахароза образована из глюкозы и фруктозы со связью 1б-1'в, т.е. из этих данных следует, что лактоза является восстанавливающим дисахаридом, а сахароза – не восстанавливающим.
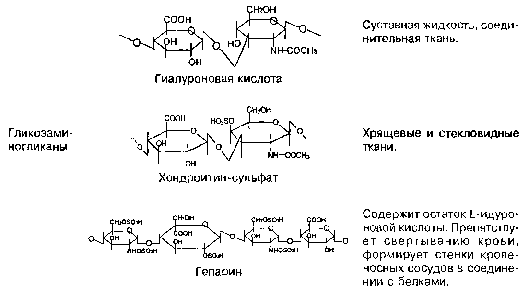
Полисахариды также должны быть классифицированы как О-гликозиды, поскольку образуются точно по той же схеме и имеют ту же природу связывания моносахаридных звеньев между собой Само собой разумеется, что от О-гликозидов дисахаридного типа они отличаются количеством этих звеньев - многие природные полисахариды имеют весьма высокую степень полимерности. Поскольку полисахариды, как и все биополимеры - это все-таки больше объекты биохимии и химии высокомолекулярных соединений, мы приведем здесь лишь краткое описание основных типов макромолекул этого класса веществ.
Полисахариды в силу того, что они являются О-гликозидами, легко подвергаются кислотному гидролизу до моносахаридов Полисахариды, построенные из остатков одного моносахарида, называются гомополисахаридами, а если они составлены из остатков различных моносахаридов - гетерополисахаридами, т. е так же, как и в случае дисахаридов. Так же, как и в дисахаридах, связь между моносахаридными фрагментами может осуществляться по типу 1-4', 1-6', 1-3', 1-2' при а - и в - конфигурациях гликозидного центра Последнее и понятно, так как такая конденсация двух молекул моносахаридов не оставляет свободного полуацетального гидроксила, способного взаимодействовать с третьей молекулой моносахарида и т.д., т.е. не оставляет возможности для реализации полимерного процесса.
О-гликозиды разные, т.к. О-гликозиды образуются взаимодействием спирта с циклическим изомером моносахарида, то очень часто природные соединения со спиртовой группы существуют в растениях именно в такой связанной форме в виде гликозидов. Они могут быть извлечены из сырья в мягких условиях без изменения, а если в процессе обработки сырья используется кислая среда и нагревание, то естественно, что моносахариды и агликоны будут найдены в индивидуальном состоянии и о природе гликозида можно будет только рассуждать. Известны 0-гликозиды стероидов: приблизительно у 11 семейств растений обнаружены такие производные, называемые сердечными гликозидами. Сердечные гликозиды образованы из моносахаридов или олигосахаридов различной природы, связанных в-гликозидной связью растительных стероидов через их спиртовую группу. В малых дозах они возбуждают деятельность сердечной мышцы, в больших дозах это сердечные яды.
Примером таких гликозидов может служить ланатозид А, найденный в одном из видов наперстянки.
Другая интересная группа растительных О-гликозидов - это цианогенные гликозиды, агликоновый компонент которых образован из а-циангидринов. Их особенностью является способность выделять синильную кислоту при ферментативном гидролизе, которому они подвергаются чрезвычайно легко: появление запаха "горького миндаля" при использовании семян некоторых растений указывает на присутствие в них таких гликозидов и на начало реакции их распада.
Циангидрины цианогенных гликозидов образуются из соответствующих аминокислот; в качестве сахарного остатка почти всегда фигурирует D-глюкоза, гликозидная связь которой имеет в-конфигурацию.
S-гликозиды. S-гликозиды весьма немногочисленны, наиболее хорошо изучена группа глюкозинолетов. Эти лечебные соединения легко расщепляются при действии ферментов, выделяя соответствующие изотиоцианаты и тиоцианаты, являющиеся причиной отравления при использовании растений, содержащих эти гликозиды.
Они содержатся во многих видах крестоцветных, максимум накопления тиогликозидов у большинства из них - в недозрелых семенах.
Н-гликозиды. О степени важности для живых систем Н-гликозидов говорить не приходится. Нуклеиновые кислоты, многие коферменты, макроэрги - вот те классы природных веществ, в основе которых лежит Н-гликозидный фрагмент, играя при этом далеко не второстепенную роль. Можно утверждать, что нет живой клетки без Н-гликозидов. Но при всем при этом, в структурном плане они представляют собой довольно локальный класс природных соединений, так как он ограничен сравнительно небольшим набором азотистых агликонов, а еще в большей степени - набором моносахаров, участвующих в их формировании. Поскольку основная масса Н-гликозидов представлена фрагментами, составляющими базис нуклеиновых кислот, и именно эти гликозиды выделены на первичных этапах исследования состава и строения ДНК и РНК, то из них и образовали отдельную группу под названием нуклеозиды.
Нуклеозиды образованы всего двумя моносахаридами - D-рибозой и D-2-дезокси-рибозой в своих фуранозных формах и небольшой серией азотистых гетероциклов с в-конфигурацией гликозидного фрагмента.
Азотистые агликоны нуклеозидов представлены двумя группами гетероциклов: производными пиримидина и производными пурина. Пиримидин и пурин функционализированы - НЗ2 и ОН-группами, но последний функционал претерпевает таутомерное превращение из гидроксиформы в соответствующую карбонильную функцию - это равновесие в нейтральной среде сдвинуто в сторону пиридоновых форм, тогда как соли имеют гидроксипиридиновую структуру.
Аминопиридиновый фрагмент этих нуклеиновых оснований также способен к таутомерному превращению, равновесие обычно сдвинуто в сторону аминной формы.
Таким образом, нуклеозиды можно разделить на "нормальные" - те, которые содержат в гетероцикле карбонильные и аминные функции, и на "редкие" - те, которые содержат в гетероцикле гидроксильные и иминные функции.
Механизм образования Н-гликозидов этого ряда может быть объяснен, основываясь на следующих предпосылках: как правило, моносахара в водных растворах предпочтительно существуют в б-форме; во-вторых, все нуклеозиды при этом имеют в-конфигурацию; и, наконец, поскольку образование Н-гликозида - это процесс нуклеофильного замещения, из двух таутомерных форм всех нуклеиновых оснований нуклеофильными свойствами обладают их лактимные формы. Учитывая все это, можно предположить, что реакция идет по механизму SN2, при котором электрофильный центр С атакуется атомом азота в пиридиновом валентном состоянии. А если учесть еще и то, что процесс должен реализоваться в очень мягких условиях живой клетки, можно предположить двойной катализ этой реакции - кислотный по полуацетальному гидроксилу и основной по фенольному гидроксилу. В принципе, он может быть реализован одной молекулой фермента, имеющей и кислотную, и основную функциональную группу.
Аналогичным образом могут быть образованы Н-гликозиды - с участием аминокислот и других биогенных аминов. Так как аминокислоты в нейтральных условиях существуют преимущественно в цвиттер-ионной форме, то катализатор-фермент двойственной природы, связывая кислотную функцию, активирует тем самым нуклеофильный реагент - а его кислотная функция будет синхронно активировать электрофильный центр.
Н-гликозиды, указанные на схеме 6.13 и называемые нуклеозидами, являются фрагментами, или, можно сказать, мономерными звеньями нуклеиновых кислот, которые связаны между собой фосфатными группами. Дезоксирибонуклеиновые и рибонуклеиновые кислоты, а также белки и полисахариды относятся к группе биополимеров, которые в настоящем издании мы рассматриваем очень кратко по причине вышеуказанной - это объекты физико-химии, химии ВМС и смежных областей биологии.
ДНК и РНК построены практически по одной схеме: полимерная цепочка представляет собой полиэфир фосфорной кислоты и моносахарида с боковыми ответвлениями в виде Н-гликозидных фрагментов.
Различаются они между собой природой моносахарида и набором оснований, образующих Н-гликозидный фрагмент: в ДНК это тимин, цитозин, аденин, гуанин, в РНК - урацил, цитозин, аденин, гуанин.
Эти небольшие казалось бы различия в структуре ДНК и РНК, в основном, сводятся к тому, что молекулы
ДНК являются более гидрофобными, а это, в свою очередь, приводит к тому, что в водной среде они проявляют тенденцию к агрегации, которая реализуется в виде двойной спирали. Двойная спираль ДНК построена на базе водородных связей между нуклеиновыми основаниями двух полимерных цепочек по схеме: тимин... аденин, цитозин... гуанин. Эти пары оснований представляют собой как бы "ступеньки веревочной лестницы", скрученной в виде спирали - это своего рода "винтовая лестница".
Водородные связи, образующие ступеньки этой "винтовой лестницы", уникальны по своей структуре - они являются кратными. Это двойная водородная связь в паре аденин-тимин и тройная связь в паре цитозин-гуанин. Бесспорно, такие мостики прочнее ординарных водородных связей, но они по-прежнему слабее любых ковалентных связей.
Различные Н-гликозиды. Различные Н-гликозиды, близкие по структуре к вышеописанным нуклеозидам, выполняющие функции, отличные от функций ДНК и РНК, широко распространены в живом мире - одинаково и в растительном, и в животном. Прежде всего, укажем на аденозин-трифосфат - основной макроэрг живой клетки, или другими словами - молекула, выполняющая роль аккумулятора энергии in vivo. Это лабильное соединение имеет одну важную особенность: первичная спиртовая группа рибозы фосфорилирована трижды и содержит вследствие этого трифосфорную группу, атомы фосфора которой имеют высокую степень электрофильности. Фосфорилированная часть молекулы АТР по своей структуре и свойствам похожа на фосфорный ангидрид - Р205, основной особенностью которого является высокоэкзотермичная реакция гидролиза. Взаимодействие АТР с нуклеофильными реагентами протекает легко и с выделением энергии, которая была затрачена на его синтез - т.е. энергия уже была как бы запасена в этой молекуле.
Аденозинтрифосфат участвует в большинстве метаболических реакций и является ключевым интермедиатом реакций in vivo, протекающих с переносом энергии запасенной им ранее. При гидролизе АТР на первом этапе отщепляется концевая фосфатная группа и выделяется около 30 кДж/моль энергии.
Образовавшийся аденозиндифосфат может гидролизоваться до аденозинмонофосфата с выделением еще некоторого количества энергии. Кроме того, фосфатные группы могут замещаться другими нуклеофилами - например, аминокислотами с образованием ацилфосфатов, которые являются ангидридами по своей химической природе и могут, в свою очередь, легко вступать в другие биохимические реакции также с выделением энергии. Широко распространен в живых системах циклический изомер AMP, выполняющий функцию посредника в работе ряда гормонов и нервных медиаторов.
Среди Н-гликозидов следует также особо отметить кофермент гликозидной структуры - НАД+, являющийся наиболее распространенным окислительно-восстановительным коферментом: он участвует в реакциях спиртокарбонильные превращения и др. Этот кофермент по химической структуре является дигликозидом.
Другой интересный кофермент Н-гликозидной структуры - кофермент А, который участвует в биохимических реакциях переноса ацильного фрагмента in vivo и образует при биосинтезе большинства классов природных соединений интермедиат Co-S-CO-CH3. Н-гликозидом является и кофермент S-аденозилметионин, осуществляющий перенос метиленой группы в биосинтетических реакциях.
Из всего вышесказанного о различных Н-гликозидах ясно, что все они построены с участием аденина - поэтому часто их выделяют в отдельную группу.
Нравится материал? Поддержи автора!
Ещё документы из категории биология:
Чтобы скачать документ, порекомендуйте, пожалуйста, его своим друзьям в любой соц. сети.
После чего кнопка «СКАЧАТЬ» станет доступной!
Кнопочки находятся чуть ниже. Спасибо!
Кнопки:
Скачать документ