Дослідження процесів масопереносу при фільтрації підземних вод

































































































































































































































































































































































































































































































































































































































































































































дипломний проекту на тему:
“ Дослідження процесів масопереносу при фільтрації підземних вод ”.
Івано-Франківськ
2008 р.
Зміст
Вступ
1.Моделювання й прогнозування якості підземних вод
1.1. Математичне моделювання динаміки забруднення підземних вод
1.1.1.Конформні перетворення й моделювання масопереносу при фільтрації підземних вод
1.1.2. Моделювання конвективної дифузії розчинених речовин при профільній фільтрації
1.1.3.Моделювання масопереносу у випадку D=D( ) при наявності масообміну
1.1.4. Моделювання процесів забруднення підземних вод з урахуванням якості поверхневих вод
1.2. Методи прогнозування (водойми)
2. Рішення крайових задач (лінійних) математичної фізики
2.1. Моделювання
3. Прогнозування якості підземних вод
3.1.Основні фізичні закони фільтрації підземних вод
3.1.1. Закон Дарсі
3.2. Постановка крайових завдань плоскої фільтрації
3.3. Зв'язок рівнянь плоскої фільтрації з теорією функцій КЗ
3.4. Метод конформних відображень у теорії фільтрації
3.4.1.Спосіб Павловського
3.4.2.Спосіб Ведерникова-Павловского
3.5. Конформні перетворення й моделювання масопереносу
3.6. Крайові задачі конвективної дифузії розчинених речовин при профільній фільтрації
3.6.1. Крайові й початкові умови для шуканої функції с(х, у, t) :
3.6.2. Перший тип крайових задач
3.6.3. Другий тип крайових задач
4. Отримання аналітичних розв'язків при конвективній дифузії солей і гіпсів
5. ОХОРОНА ПРАЦІ
5.1 Організація робочого місця
5.2 Захист від електромагнітних випромінювань та електростатичних полів
5.3 Електробезпека
5.4 Пожежна профілактика
Список використаної літератури
Вступ
Сучасне виробництво продукції характеризується зростанням масштабів випуску, розмежовуванням технологічних і виробничих функцій, ускладненням технологічних об'єктів (для підвищення якості продукції) і зв'язків між ними, зростанням числа функцій управління і питомої ваги вартості систем управління в загальних капітальних витратах на устаткування.
Зростання потреби як в кількісних, так і в якісних показниках виробництва, з одного боку, і виникнення нових технологічних процесів і можливості їхнього здійснення, з другого боку, приводять до значних ускладнень як самих технологічних об'єктів, так і зв'язків між ними, і численними додатковими функціональними пристроями, покликаними забезпечити якнайкраще в якомусь сенсі функціонування цих об'єктів.
Поява нових технологічних процесів (ТП), їхня інтенсифікація є результатом науково-технічного прогресу не тільки в даній конкретній області, але пов'язані з комплексними досягненнями в різних областях науки і техніки. Нові технологічні об'єкти, наприклад, в нафтохімії створюються на основі знайдених нових закономірностей отримання продукту і вимагають застосування нових конструкційних матеріалів, методів їхньої обробки, зварки, збірки, транспортування, нових видів реактивів, каталізаторів и.т.п.
Виникнення нових і інтенсифікація існуючих ТП відбувається безперервно, і швидкість цих процесів може служити одній з характеристик технічного прогресу.
Технологічні процеси представляють собою первинну ланку створення матеріальних цінностей, вони забезпечують виробництво необхідною для існування суспільства продукції.
1. Моделювання й прогнозування якості підземних вод
1.1. Математичне моделювання динаміки забруднення підземних вод
1.1.1. Конформні перетворення й моделювання масопереносу при фільтрації підземних вод
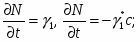
Процес міграції розчинних речовин при фільтрації підземних вод, як відомо, описується наступною системою рівнянь.
(1.1)
(1.2)
(1.3)
або в скалярній формі
(1.4)
; (1.5)
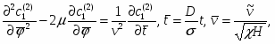
(1.6)
де - вектор швидкості фільтрації, м/сут; - потенціал фільтрації; і - концентрація речовини, що дифундує, відповідно в рідкій і твердій фазах, г/см3; D - коефіцієнт конвективної дифузії, м3/сут; σ - активна (або ефективна) пористість середовища, у якій відбувається фільтрація розчину; t - час у добі; - оператор Гамильтона; - константа швидкості масообміну; β - коефіцієнт розподілу речовини між фазами в умовах рівноваги по лінійній изотермі Генрі cp = βN .
У багатьох практичних завданнях можна обмежитися вивченням процесу масопереносу розчинних у фільтраційному потоці речовин тільки на основі рівнянь, що описують конвективний процес, а саме:
(1.7)
(1.8)
причому масообмін визначається наступною досить розповсюдженою залежністю:
(1.9)
де - концентрація граничного насичення.
Наведені рівняння описують, як правило, міграцію й фізичну трансформацію (сорбцію, десорбцію) консервативних водорозчинних речовин.
Якщо досліджувати масоперенос при плоско-вертикальній і планової сталій або квазиустановленій фільтрації підземних вод, то до моделювання даного процесу доцільно застосувати конформне перетворення рівнянь масопереносу до криволінійним змінних - координатам крапок області комплексного потенціалу фільтрації.
У випадку плоско-вертикальної (профільної) фільтрації рівняння руху підземних вод запишуться у вигляді
(1.10)
де χ - коефіцієнт фільтрації, h - напір, що визначається рівністю
(1.11)
причому вісь Oy спрямована вертикально вниз, p - тиск, ρ - щільність, g - прискорення сили ваги.
У випадку планової напірної фільтрації відповідні рівняння записуються в такий спосіб:
(1.12)
а у випадку планової безнапірної фільтрації
(1.13)
У рівняннях (1.12), (1.13) через T позначена потужність напірного водоносного шару: - вектор питомої фільтраційної витрати (м2/сут), a h - напір, у цьому випадку визначається наступним рівнянням:
, (1.14)
де Z - вертикальна координата крапки фільтраційного потоку.
Припускаючи, що для розглянутих фільтраційних плинів можна побудувати область комплексного потенціалу , де ψ - функція потоку, і що відомо характеристичну функцію течії
(1.15)
за допомогою заміни
(1.16)
перетворимо рівняння конвективної дифузії до нових незалежних змінних й . У результаті такої заміни рівняння конвективної дифузії у випадку плосковертикальної фільтрації запишеться у вигляді
(1.17)
у випадку планової напірної фільтрації - у такому виді
(1.18)
а у випадку планової безнапірної фільтрації перетвориться до наступного виду:
(1.19)
Поставивши в рівняннях (1.17)-(1.19) D= 0, одержимо рівняння конвективного масопереносу без обліку дифузійних процесів, перетворені до новим змінних , або Φ, Ψ,, або Φ*, Ψ* відповідно для випадків плоско-вертикальної, планової напірної й планової безнапірної фільтрації, а саме:
(1.20)
(1.21)
(1.22)
Таким чином, у випадку знехтування дифузійними процесами питання про визначення концентрації речовин, що забруднюють підземні води, зводиться до рішення відповідного фільтраційного завдання й одного з рівнянь (1.20)-(1.22) при одній додатковій (початковій) умові, що задається залежно від фізичної постановки завдання.
Важливою характеристикою при дослідженні процесу забруднення підземних вод є час, протягом якого в даній точці області (або області z) концентрація розчинної речовини досягає певної величини. Крім того, виникає також питання про визначення часу, протягом якого концентрація розчинної речовини досягає в даній точці максимального значення. Основні диференціальні рівняння, з яких визначаються ці характеристики, а також фронт просування речовини (домішок) у фільтарционному потоці будуть наведені нижче.
Нехай відома концентрація розчинного у фільтраційному потоці речовини як функції координат точок області комплексного потенціалу й часу t . Тоді для кожного значення (моменту) часу t можна побудувати поверхня розподілу концентрації щодо області комплексного потенціалу , а отже, і щодо області фільтрації z . Тим самим для кожного моменту часу буде визначене значення концентрації речовини, що поширюється в підземних водах, у будь-якій точці області фільтрації або уздовж лінії, що цікавить нас, зокрема, уздовж кожної з ліній потоку або еквіпотенціальних ліній.
Якщо ж припустити, що міграція речовини відбувається з постійною концентрацією, то час, протягом якого відбудеться забруднення певної частини області фільтрації, знайдемо в такий спосіб. Нехай відома швидкість фільтрації v(x,y,t) і характеристична функція плину, отримана у вигляді (1.16). Швидкість поширення розчинного у фільтраційному потоці речовини U(x,y,t) у цьому випадку дорівнює дійсній швидкості руху підземних вод V(x,y,t) , яка зв'язана зі швидкістю фільтрації v(x,y,t) співвідношенням
(1.23)
де через позначена активна пористість ґрунту (породи). При миттєво протікаючих сорбіційних процесах, що визначаються рівністю (1.9), активна пористість заміняється так називаною ефективною пористістю середовища, обумовленої рівністю
(1.24)
З (1.23) одержуємо
(1.25)
Після перетворення рівності (1.25) до нових незалежних змінних й маємо
(1.26)
Замість рівнянь (1.20)-(1.22) зручно розглядати рівняння
(1.27)
де - безрозмірні величини, причому . До рівняння (1.27) можна легко звести кожне з рівнянь (1.20)-(1.22). Дійсно, якщо в рівнянні (1.27) покласти
то одержимо рівняння (1.20), якщо в рівнянні (1.27) покласти
то одержимо рівняння (1.21), а якщо в рівнянні (1.27) покласти
те одержимо рівняння (1.22).
Математичні моделі міграції
Зупинимося тепер на математичних моделях міграції (поширення) у фільтраційних потоках неконсервативних забруднюючих речовин (домішок). Неконсервативність такої домішки породжується їхньою взаємодією в результаті різних хімічних і біохімічних перетворень. Тому математична модель таких хімічних і біохімічних взаємодій будується за допомогою системи диференціальних рівнянь щодо концентрації кожної з речовини, що вступає в реакцію.
У підземні води можуть попадати й інші неконсервативні речовини, які добре взаємодіють із киснем, що втримується в підземних водах. Тому, якщо концентрацію неконсервативної речовини позначити через cнв, а концентрацію розчиненого в підземних водах кисню - cРК, то поширення таких речовин у підземних водах можна описати наступною системою рівнянь:
(1.28)
(1.29)
(1.30)
(1.31)
Члени рівнянь, що містять функцію , описують кінетику хімічної або біохімічної взаємодії (окислювання хімічної речовини або деструкцію органічної речовини за рахунок подиху мікроорганізмів). Опис цієї взаємодії представляє досить складне завдання. Однак для такого опису можна використати деякі закони хімічної кінетики. Зокрема, якщо скористатися законом діючих мас, то дана взаємодія буде описуватися відповідно до кінетики ізотермічної бімолекулярної реакції
(1.32)
де зазвичай ставлять m = n = 1.
У практиці математичного моделювання використовуються й більш прості кінетичні залежності, зокрема, можна використати систему рівнянь Стритера - Фелпса:
(1.33)
. (1.34)
У випадку значного перевищення концентрації кисню над концентрацією забруднюючої речовини (малі концентрації забруднення) можна використати ще більш прості залежності, а саме
(1.35)
або
(1.36)
Для моделювання динаміки неконсервативної речовини до рівнянь (1.28)-(1.31) необхідно додати початкові й граничні умови, потім відшукати аналітичне, числено-аналітичне або чисельне рішення відповідної крайової задачі. Зокрема, крайова задача для моделювання динаміки БПК (органіки, що окисляєлегко) і РК (розчиненого кисню) при плоско-вертикальній фільтрації підземних вод записується в такому виді:
(1.37)
(1.38)
(1.39)
(1.40)
(1.41)
(1.42)
(1.43)
(1.44)
1.1.2. Моделювання конвективної дифузії розчинених речовин при профільній фільтрації
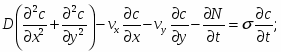
Процес масопереносу розчинних у підземних водах речовин описується системою диференціальних рівнянь у частинних похідних другого порядку зі змінними коефіцієнтами, яка у випадку двовимірної плоско-вертикальної (профільної) сталої фільтрації підземних вод за умови сталості коефіцієнта конвективної дифузії має такий вигляд:
(1.45)
(1.46)
(1.47)
де D - коефіцієнт конвективної дифузії в м/сут, c й N - концентрація речовин, що дифундують, у г/л або кг/м відповідно в рідкій і твердій фазах; vx(x, y, t) і vy(x, y, t) - координати вектора швидкості фільтрації в м/сут; σ - пористість або активна пористість ґрунту, у якому відбувається рух вод і конвективная дифузія розчинної речовини; α - постійна масообміну (швидкості сорбції); c0 - початкова концентрація речовини в рідкій фазі; β - коефіцієнт розподілу речовини між рідкою й твердою фазами в умовах рівноваги за законом лінійної ізотерми Генрі, що виражається рівністю cp = βN, причому через cp позначена рівноважна концентрація розчину, по величині рівна кількості речовини, що поглинає твердою фазою; - потенціал швидкості фільтрації; χ - коефіцієнт фільтрації в м/сут; - напір в м; p-тиск у
Н(м2 =кг/м·c2 ); ρ - щільність у кг/м3; g - прискорення сили ваги в м/с2.
Розглянемо конвективну дифузію тих розчинних речовин, які нейтральні до наявних у ґрунті породам, тобто надалі сорбцією й іншими видами поглинання забруднюючі підземні води компонентів знехтуємо й будемо виходити з наступної системи рівнянь фільтрації й конвективної дифузії (гідравлічної дисперсії):
(1.48)
(1.49)
При конвективній дифузії речовин, що забруднюють підземні води, на вході АВ фільтраційного потоку можна прийняти одне з наступних граничних умов:
а) задана концентрація розчиненого у водоймі (ріці) речовини
(1.50)
б) задана умова Данквертса, що враховує як конвективний, так і дифузійний механізми відводу речовини на водопроникній ділянці границі області фільтрації
(1.51)
де n - нормаль до границі; vn - нормальна складова швидкості фільтрації.
На водонепроникних ділянках границі області фільтрації й на криві депресії виконується умова
(1.52)
На ділянці виходу фільтраційного потоку (CD) можна приймати одне з наступних граничних умов:
а)задана концентрація речовини, що дифундує, або задана умова Данквертса (такі умови приймаються, якщо не спостерігається інтенсивного відводу вод на виході фільтраційного потоку)
(1.53)
б) задана умова, що враховує тільки конвективний перенос через границю (у випадку інтенсивного відводу вод на виході фільтраційного потоку)
(1.54)
При конвективній дифузії солей і гіпсів, що залягають на певній глибині T фільтраційного потоку, на границі із сіллю або гіпсом звичайно приймається умова
(1.55)
де - концентрація повного насичення солі або гіпсу.
Початкові умови засолення підземних вод, мають вигляд
(1.56)
де c0 - задана концентрація речовини, що дифундує, в області фільтрації в момент часу до настання процесу забруднення (засолення) або промивання підземного середовища.
Трудність, що виникає при рішенні стаціонарних і нестаціонарних крайових завдань, що описують двовимірні процеси, зв'язана не тільки з видом рівнянь у частинних похідних і з видом граничних умов, а головним чином з видом (геометрією) області, у якій відшукується рішення. У зв'язку із цим у рівняннях конвективної дифузії й у наведених вище граничних умовах доцільно перейти до нових незалежних змінних координат комплексного потенціалу ω, що, як відомо, має вигляд багатокутника зі сторонами, паралельними прямокутній системі координат.
Нехай відома характеристична функція течії
(1.57)
яку можна знайти, наприклад, методом конформних відображень. Тоді, зробивши в рівнянні конвективної дифузії (1.49) заміну змінних й одержимо наступне рівняння.
Взявши середню величину , що входить у праву частину рівняння (1.49) по області наведеного комплексного потенціалу , і заміняючи її деякою середньою величиною , розглянемо два типи нестаціонарних крайових завдань.
Перший тип крайових завдань виникає при фільтрації забруднених вод у відкриті водойми (водоймища), коли в останні підтримується задана концентрація речовин. Ці задачі формулюються в такий спосіб: потрібно знайти рішення рівняння
(1.58)
задовольняючій або граничній умовам виду (перша задача)
(1.59)
або умовам, що враховують механізм дифузійного відводу речовини від границі на вході фільтраційної течії (друга задача):
(1.60)
і початковій умові
(1.61)
Безпосередньою перевіркою легко переконатися, що рішенням двовимірних крайових завдань (1.58), (1.59), (1.61) і (1.58), (1.60), (1.61) будуть функції й , що є рішеннями відповідних одномірних крайових завдань:
(1.62)
(1.63)
(1.64)
(1.65)
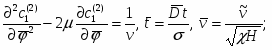
Підставляючи це рішення у вигляді суми рішень стаціонарного й нестаціонарного завдань і застосовуючи метод поділу змінних, одержимо рішення нестаціонарних завдань конвективної дифузії, які після розподілу на c1 і введення безрозмірних величин і запишуться в наступному вигляді.
(1.66)
(1.67)
де власні значення й визначаються рівняннями
(1.68)
(1.69)
Коефіцієнти й обчислюються за формулами
(1.70)
(1.71)
Другий тип крайових задач конвективної дифузії підземної води, речовин що забруднять, характеризується гарничною умовою, що приймається на виході фільтраційного потоку, коли спостерігається інтенсивний відвід із дренажного каналу CD. У цьому випадку рішенням стаціонарних задач буде стала, значення якої залежить від крайової умови на вході фільтраційного потоку.
Тому перейдемо до розгляду нестаціонарних завдань. Осереднюючи швидкість фільтрації по просторовим змінним, приходимо до наступних двох крайових завдань: Потрібно знайти рішення рівняння
(1.72)
задовольняючим крайовим умовам:
(1.73)
а у випадку обліку механізму дифузійного відводу речовини на вході фільтраційного потоку (друга крайова задача) потрібно знайти вирішення рівняння
(1.74)
задовольняючим крайовим умовам:
(1.75)
Застосування методу Фур'є до крайової задачі(1.72)-(1.73) дає вирішення
(1.76)
де , функція визначається рівностями
(1.77)
(1.78)
Коефіцієнти обчислюються по наступній формулі:
. (1.79)
Рішення крайової задачі (1.74)-(1.75) одержуємо в наступному виді:
(1.80)
де коефіцієнти обчислюються по формулі
(1.81)
а власні значення λn визначаються з рівняння
λn = (1.82)
Замість власних значень λn можна шукати значення v = λ + µ2 з рівняння
(1.83)
Таким чином, отримані аналітичні рішення всіх основних крайових завдань конвективної дифузії, забруднюючих воду, речовин за умови осереднення швидкості фільтрації по просторових координатах.
1.1.3. Моделювання масопереносу у випадку D=D( ) при наявності масообміну
Вихідні рівняння. Процес масопереносу розчинних речовин (солей, гіпсів й ін.) при фільтрації підземних вод можна описати наступною системою диференціальних рівнянь у частинних похідних:
(1.84)
(1.85)
(1.86)
де - вектор швидкості фільтрації; - потенціал швидкості фільтрації; χ - коефіцієнт фільтрації; - дифузійний потік або вектор масової швидкості розчиненої речовини (вектор кількості речовини, що переноситься через одиницю площадки за одиницю часу); і - концентрації речовини відповідно в рідкій і твердій фазах; - коефіцієнт конвективної дифузії (Dm - коефіцієнт молекулярної дифузії), σ - активна (або ефективна) пористість середовища; - оператор Гамільтона, α - постійна швидкості масообміну; β - коефіцієнт розподілу речовини між фазами в умовах рівноваги при лінійній ізотермі Генрі
(1.87)
де Γ - коефіцієнт Генрі.
У багатьох практичних задачах як рівняння кінетики масообміну береться одне з наступних рівнянь.
1) при кристалізації або розчиненні компонентів породи у фільтрівній воді
(1.88)
де - коефіцієнт насичення:
2) при нерівномірній необоротній сорбції або десорбції відповідно
(1.89)
3) при рівноважній сорбції або десорбції відповідно
(1.90)
(1.91)
де (або ) - так звана ефективна пористість або масооб’єм поглинання (виділення) речовини породою.
Надалі як рівняння кінетики беремо рівняння (1.88), що є в математичному відношенні найбільш загальним з наведених вище. Тому у випадку плоско-вертикальної сталої фільтрації система рівнянь масопереносу запишеться у вигляді
(1.92)
(1.93)
Припустимо, що вирішено фільтраційне завдання й визначений комплексний потенціал фільтрації як деяка аналітична функція . Тоді область комплексного потенціалу буде конформно відображатися на область фільтрації z функцією
(1.94)
названою зазвичай характеристичною функцією течії ( - функція потоку). Доцільно перетворити рівняння конвективної дифузії (1.93) за допомогою заміни (1.94) до нових незалежних змінних й . При такому конформному перетворенні варто враховувати прийняте припущення про залежність коефіцієнта конвективної дифузії Dy від швидкості фільтрації v. Крім того, варто взяти до уваги, що величина коефіцієнта конвективної дифузії Dy залежить не тільки від величини швидкості фільтрації, але й від її напрямку як тензор, і при рішенні крайових завдань конвективної дифузії, як правило, швидкість фільтрації осереднюється або по всій області комплексного потенціалу, або по одній з координат точок цієї області.
У зв'язку із цим доцільно робити осереднення коефіцієнта конвективної дифузії в новій системі координат окремо уздовж еквіпотенциальних ліній й уздовж лінії струму. Тим самим уводиться поняття коефіцієнта поперечної конвективної дифузії D і коефіцієнта поздовжньої конвективної дифузії D . Таким чином, у результаті перетворення рівняння (1.93) до нових змінних одержимо
(1.95)
Якщо ввести безрозмірні величини
то рівняння (1.95) запишеться у вигляді
(1.96)
де H - діючий напір.
Одержання рішення при осереднені швидкості фільтрації.
При вивченні процесів міграції промислових або побутових стічних вод, що скидають у водойму, а також при розрахунку виносу ядохімікатів або добрив із сільськогосподарських угідь, розглянутих у вигляді смуги певної ширини, виникає необхідність визначення якісного складу підземних вод, ступеня їхнього забруднення або мінералізації. Рішення всіх цих важливих питань зводиться до розгляду відповідних крайових завдань фільтрації й конвективної дифузії, фільтраційні задачі для яких розглянуті вище.
Будемо вирішувати крайову задачу конвективної дифузії при осереднені швидкості фільтрації по всій області комплексного потенціалу , потім розглянемо випадок осереднення швидкості фільтрації по одній з координат області комплексного потенціалу або . Опускаючи риски над безрозмірними величинами в рівнянні (1.96), в області шукаємо рішення рівняння
(1.97)
де
при наступних граничних і початкових умовах:
(1.98)
(1.99)
причому через c1 позначена концентрація речовини у водоймі АВ, а через c0 - концентрація речовини в підземних водах у початковий момент часу t0 = 0 . Рішення крайової задачі (1.97)-(1.99) будемо шукати у вигляді
(1. 100)
де функція знаходиться як рішення стаціонарної задачі
(1. 101)
(1. 102)
а функція знаходиться в результаті рішення нестаціонарної крайової задачі
(1. 103)
(1. 104)
(1. 105)
Функція, що задовольняє рівнянню (1.101) і граничним умовам (1.102), не залежить від змінної ψ, а крайова задача (1.101),(1.102) еквівалентна наступній:
(1. 106)
Вирішивши крайову задачу, знайдемо
(1. 107)
де
Розглянемо тепер задачу
(1. 108)
Загальна схема методу Фур'є. Рішення крайової задачі шукаємо у вигляді . Підставивши це рішення в (1.108), одержимо:
(1. 109)
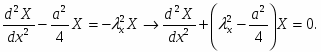
Із цієї рівності, з огляду на граничні умови, приходимо до задачі на власні значення
(1. 110)
Загальне рішення цього рівняння має вигляд
(1. 111)
Використовуючи граничні умови, одержимо рівняння для визначення всіх власних значень задачі.
з якого після перетворення й введення величини одержуємо рівняння для визначення всіх власних значень
(1. 112)
Шукані власні функції запишуться у вигляді
(1. 113)
Тоді
. (1.114)
З рівності (1.109) для кожного λm одержуємо рівняння
(1. 115)
рішення якого має вигляд
(1. 116)
З огляду на (1.113) і (1.116), записуємо часткові рішення вихідного крайової задачі у вигляді
(1. 117)
а шукане рішення крайової задачі (1.105), (1.106) у силу узагальненого принципу суперпозиції запишеться у вигляді
(1. 118)
Використовуючи початкові умови, знаходимо коефіцієнти у вигляді
(1. 119)
де r1, r2 визначаються рівностями (1.104), а µ1 = 1/(2D1) .
Таким чином, рішення вихідної крайової задачі (1.97)-(1.99) у випадку осереднення швидкості фільтрації по всій області комплексного потенціалу ω не залежить від ψ і має такий вигляд:
(1. 120)
Якщо у виразах (1.119),(1.120) покласти γ* = 0, c* = 0, r1 = 0 , r2 = =1/D1= 2µ1 = 2µ, то одержимо рішення задачі про забруднення підземних вод без обліку масообміну, розглянуте раніше, а саме:
(1. 121)
де
(1. 122)
Моделювання процесу очищення (промивання) засолених земель
Нехай промивання засолених земель відбувається в результаті поливу прісною водою поверхні ґрунту й відводу вод за допомогою одиночної дрени або за допомогою системи дрен. У цьому випадку для кожної з фільтраційних схем, що зустрічаються, область комплексного потенціалу зображується у вигляді прямокутника.. Тому питання вивчення процесу промивання підземного середовища зводиться до рішення в прямокутнику ABCD наступної крайової задачі.
(1.123)
(1. 124)
Бачимо, що ця крайова задача збігається із крайовою задачею (1.97)-(1.99), якщо покласти c1 = 0 , c0 = cн, а отже, рішення задачі (1.123) -(1.124) виходить із рішення (1.122), якщо c1 = 0 , c0 = cн.
Конвективная дифузія у випадку планової фільтрації
Розглянемо такі схеми руху підземних вод, коли виконуються відомі передумови гідравлічної теорії фільтрації. Тоді у випадку сталої або квазіустановленої планової фільтрації рівняння руху підземних вод запишуться у вигляді
(1. 125)
а у випадку планової безнапірної фільтрації - у вигляді
(1. 126)
де T - потужність напірного водоносно шару, q - вектор питомої фільтраційної витрати (м2/сут), a h - напір, що у випадку, коли вісь апплікат спрямована вертикально вниз, визначається рівністю
(1. 127)
Припускаючи, що для кожного із плинів відома область комплексного потенціалу ω і функція, що відображає (1.94)
(1. 128)
перетворимо тривимірне рівняння конвективної дифузії, що у розглянутих випадках має вигляд
(1. 129)
до нових змінних за допомогою підстановки
(1. 130)
Тоді у випадку планової напірної фільтрації рівняння конвективної дифузії перетвориться до виду
(1. 131)
а у випадку планової безнапірної фільтрації до такому виду
(1. 132)
При осереднені величини по області комплексного потенціалу ω питання про дослідження міграції водорозчинних речовин зводиться до відшукання в прямокутному паралелепіпеді ωЧT (або ω Ч hcp) рішення наступної крайової задачі.
(1. 133)
(1. 134)
(1. 135)
(1. 136)
Крайова задача (1.133) (1.136) еквівалентна крайовій задачі типу (1.97)-(1.99), а тому її рішення, що не залежить від ψ від Z , запишеться у вигляді (1.120). При цьому варто врахувати, що замість безрозмірних величин (1.98) варто ввести безрозмірні величини, які визначаються іншими рівностями окремо для випадку напірної й безнапірної планової фільтарції. Якщо ж розглядається процес засолення підземних вод, що відбувається в результаті дифузії залягаючих на глибині T* солей, то замість крайових умов (1.136) необхідно взяти наступні:
(1. 137)
Рішення крайової задачі (1.133)-(1.135), (1.136) можна одержати тільки за допомогою чисельних методів, а у випадку, коли величина питомої фільтраційної витрати осереднюеться тільки по одній зі змінних або ψ, рішення відповідних крайових задача можна знайти за допомогою методу Фур'є в сполученні з варіаційними методами.
1.1.4. Моделювання процесів забруднення підземних вод з урахуванням якості поверхневих вод
При проектирвании й експлуатації басейнів стічних вод різного призначення (ставків - відстійників, ставків - накопичувачів, ставків - охолоджувачів, хвосто - і шламосховищ) виникає необхідність обліку впливу розчинних речовин, що втримуються в них (домішок) на якість підземних вод й якість води в ріках, каналах, водоймищах, водозаборах, які розташовані в зоні впливу цих джерел забруднення.
Нехай у басейні стічних вод, що має початковий обсяг води Q0 з концентрацією домішки, що втримується в ній, надходять стічні води від n різних підприємств із добовими витратами й з концентраціями даної домішки в них відповідно, причому з поверхні басейну випаровується /сут. води. Тоді, якщо через позначимо повну фільтраційну витрату води з басейну, то концентрацію домішки, що втримується в басейні в кожен момент часу можна визначити по формулі
(1.138)
де
(1. 139)
Параметр α характеризує седиментацію або трансформацію речовини у водоймі й визначається дослідним шляхом за результатами натурних спостережень. Вираз (1.138) надалі буде прийнятий як гранична умова на вході фільтраційного потоку.
Припустимо, що відомо характеристичну функцію потоку z = F(ω), де z = x + iy - точка області фільтрації, aω- точка області комплексного потенціалу ω = + iψ, або припустимо, що побудовано гідродинамічну сітку фільтрації. Тоді дослідження процесу забруднення підземних вод при плоско-вертикальній фільтрації зводиться до рішення в області наступного рівняння.
(1. 140)
де безрозмірні величини визначаються рівностями
(1. 141)
де - потенціал, χ - коефіцієнт фільтрації, h - напір, v - швидкість фільтрації, H - діючий напір, σ - пористість.
У випадку планової напірної фільтрації дослідження процесу зводиться до вирішення такого рівняння:
(1. 142)
де
(1. 143)
причому через позначений модуль вектора питомої фільтраційної витрати, Z - вертикальна координата, - напір, T - потужність водоносного шару, .
Середня швидкість фільтрації v (або питома фільтраційна витрата) і з огляду на рівність (1.138), вивчення процесу забруднення підземних вод при двовимірній фільтрації (плоско-паралельної або планової) зводимо до відшукання в прямокутнику , вирішення наступної крайової задачі (тут і надалі риски над безрозмірними величинами опустимо):
(1.144)
(1. 145)
(1. 146)
Рішення крайового завдання (1.144)-(1.146) шукаємо у вигляді
(1. 147)
де функція є рішенням наступної крайової задачі.
(1. 148)
(1. 149)
(1. 150)
Легко помітити, що крайова задача (1.148)-(1.150) еквівалентна наступній:
(1. 151)
(1. 152)
Розклавши функцію в ряд Фур'є
(1. 153)
де коефіцієнти Bm(t*) визначаються рівністю
(1. 154)
а власні значення λm визначаються з рівняння
(1. 155)
рішення крайової задачі (1.151)-(1.152) будемо шукати у вигляді
. (1.156)
Підставивши (1.153) і (1.156) у рівняння (1.151) і порівнюючи коефіцієнти при . одержимо рівняння
(1. 157)
(1. 158)
З початкової умови маємо
(1. 159)
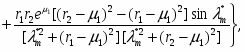
Вирішивши задачу Коші (1.157)-(1.158), знайдемо коефіцієнти Am(t*) у такому вигляді
(1. 160)
Таким чином, розв’язання крайової задачі (1.144)-(1.146) запишеться у вигляді
. (1.161)
На закінчення необхідно відзначити, що всі наведені в даній роботі рішення крайових задач конвективної дифузії, за допомогою яких моделюються процеси забруднення, засолення, самоочищення (або промивання) підземних і поверхневих вод, легко застосовуються до більш простих підземних потоків, коли область фільтрації є прямокутною або близькою до прямокутного. У цьому випадку в рівняннях конвективної дифузії недоцільно переходити до нових змінних й .
1.2. Методи прогнозування (водойми)
Наведені нижче рівняння регресії розроблені для прогнозування поширення забруднюючих речовин по поверхні водойм від місця їхнього скидання за рахунок процесів конвективної дифузії. При цьому використалися п'ятирічні спостереження на озері Байкал в умовах дії одного зосередженого джерела забруднення.
а) модель розподілу зважених речовин:
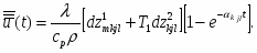
(1. 162)
де - нормоване щодо середнього значення концентрації в k-й точці в наступний момент часу - близькі в просторі й часі змінні при ∆τ = 1 рік.
б)модель розподілу розчинених мінеральних речовин:
(1. 163)
Оперативне прогнозування. Виконується на час добігання забруднюючої речовини від джерела надходження стічних вод до обраного контрольного отвору.
Алгоритми імітаційної системи. У всіх рівняннях витрати виражаються в м/с, довжина в м, концентрація - г/л, площа - м , швидкість - м/с, коефіцієнти швидкості самоочищення - 1/сут.
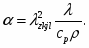
1. Розрахунок значення коефіцієнта Шези (α) :
(у літню пору):
2. Розрахунок коефіцієнта, що враховує поперечну циркуляцію в потоці і його кінематичній неоднорідності (β) :
при , при .
.
3. Розрахунок коефіцієнтів, що характеризують міру розведення стічних вод :
при ,
, де И,Н,Л,Г,Е,Ж,З;
при .
2[Ф(Г)-Ф(Е)-Ф(Ж)+Ф(З)] при при
при .
2. Рішення крайових задач (лінійних) математичної фізики
Розглянемо наступне рівняння енергії
(2.1)
З урахуванням заміни T = Tm - T0 початкова умова для рівняння (2.1) здобуває вигляд
(2.2)
Граничні умови для рівняння (2.1) сформулюємо з урахуванням теплообміну між досліджуваною зоною нагрівання й навколишнім середовищем.
(2.3)
Очевидно, що подібні умови повинні виконуватися й щодо ширини зони нагрівання (0 ≤ y ≤ Ly):
(2.4)
(2.5)
Уздовж координати x (у напрямку вітру) у точці x = 0 температура середовища й температура початку зони нагрівання повинні збігатися T(0, y, z, t) = 0. У площині x = Lx T(Lx,y, z, t) = T1(Lx,y, z, t) - температура загоряння речовин. Розглянемо крайову задачу
(2.6)
(2.7)
(2.8)
Для зведення цієї задачі до стандартної задачі на власні значення й функції, введемо заміну змінних
(2.9)
Тоді
(2.10)
Підстановка цих виразів у рівняння (2.6) приводить до самоспряженого рівняння
(2.11)
з однорідними граничними умовами, що відповідають умовам
(2.12)
(2.13)
Ця задача еквівалентне задачі на власні значення
(2.14)
(2.15)
(2.16)
Тоді
(2.17)
Невідомі параметри C1 й C2 визначаються із граничних умов.
Константа C1 визначається як норма власної функції v(x) :
Власні значення знаходимо з умови (2.16):
Таким чином,
(2.18)
(2.19)
Перейдемо тепер до рішення задачі (2.1)-(2.5). Уведемо заміну
(2.20)
Після підстановки цих виразів у рівняння (2.1) і граничні умови одержуємо наступну крайову задачу.
(2.21)
Початкова умова
(2.22)
Граничні умови:
(2.23)
(2.24)
(2.25)
Застосуємо інтегральне перетворення по змінній x до рівняння (2.21).
Власні значення λx і власні функції X(x, λx) знайдемо як рішення відповідної задачі Штурма-Ліувілля
з граничними умовами
Позначимо . Тоді
. (2.26)
Рівняння (2.21) здобуває вигляд:
(2.27)
Обчисливши інтеграли в цьому рівнянні, одержуємо:
Тут для простоти ми розглядаємо джерела загоряння у вигляді "точкових" джерел - площадок малого розміру , розташованих на розглянутій поверхні випадковим образом з інтенсивностями qm.
(2.28)
Граничні умови:
(2.29)
(2.30)
Щодо змінної y маємо наступну задачу на власні значення й функції.
Власні функції шукаємо у вигляді
З першої умови (2.30) знаходимо
Власні значення знаходимо із другої умови (2.30).
(2.31)
Або
. (2.32)
Розвязання цього рівняння дає власні значення .
Обчислюємо норму ||Y(y)||:
Таким чином, маємо
(2.33)
(2.34)
Застосування інтегрального перетворення по змінній y до крайової задачі (2.28)-(2.30) приводить до наступної крайової задачі.
. (2.35)
Граничні умови:
. (2.36)
Позначимо . Зважаючи на першу граничну умову (2.36) знаходимо
.
Власні значення знаходимо із другої умови (2.36):
(2.37)
Корінь цього рівняння - власні значення задачі .
Нарешті, приходимо до наступної задачі Коші.
(2.38)
Початкова умова для цього рівняння
Рішення цього рівняння записується у вигляді
(2.39)
Таким чином, рішення крайової задачі, що описує процес нагрівання під впливом точкових джерел горіння отримано у вигляді
(2.40)
2.1. Моделювання
Визначимо динамічні характеристики повітряного турбулентного потоку в приповерхньому шарі.
Для цього необхідно знайти рішення крайової задачі.
Запишемо рівняння у вигляді (незважаючи на першому етапі на вирішення квадратичним членом).
(2.41)
Граничні умови
(2.42)
Друге рівняння запишемо у вигляді
(2.43)
Граничні умови для цього рівняння:
(2.44)
При такому формулюванні задача визначення швидкості потоку u і турбулентного руху b(z) може бути вирішена послідовно. Спочатку знаходимо рішення крайової задачі.
Задача Штурма-Ліувілля, що відповідає крайовій задачі, може бути записана в наступному виді
(2.45)
Ця задача еквівалентна задачі
(2.46)
Шукаємо розв’язання задачі у вигляді
(2.47)
З урахуванням крайової умови маємо
(2.48)
Для визначення власних значень , що відповідають цим власним функціям, задовольнимо граничну умову на правій границі . Маємо
Позначимо
Тоді рішення лінійної частини задачі про визначення швидкості потоку може бути записане у вигляді
(2.49)
Запишемо тепер рівняння відносно b(z) з урахуванням отриманого виразу для швидкості потоку u(z) .
(2.50)
З урахуванням отриманого виразу для швидкості потоку
(2.52)
Завдання Штурма-Ліувілля має вигляд
(2.53)
(2.54)
Рішення шукаємо у вигляді
Із граничної умови знаходимо
(2.55)
Із другої граничної умови знаходимо власні значення задачі
У такий спосіб.
(2.56)
3. Прогнозування якості підземних вод
Основні фізичні закони фільтрації підземних вод
Під фільтрацією мають на увазі повільний рух (просочування) рідини чи газу, розчину або газованої рідини в пористому або тріщинуватому середовищі. Надалі мова йтиме про фільтрацію води або слабких розчинів у ґрунтах і породах.
Обсяг ґрунту W складається з обсягу W4 часток ґрунту й обсягу порожнеч Wn. Співвідношення між обсягом, займаним кістяком ґрунту й обсягом його порожнеч характеризується параметром , називаним коефіцієнтом пористості або просто пористістю ґрунту. Цей параметр визначається відношенням
(3.1)
Поперечний розмір окремих пор коливається від часток мікрона до декількох сантиметрів. Частина води звичайно постійно втримується ґрунтом за допомогою молекулярних сил (капілярна й плівкова вода), а частина переміщається під дією сил ваги (гравітаційна або ґрунтова вода). Тому іншою важливою характеристикою ґрунту є параметр , що визначається відношенням
, (3.2)
де Wгв - обсяг, що заповнює гравітаційна вода, здатна випливати або втікати в даний обсяг W ґрунту під дією сил ваги. Цей параметр називається коефіцієнтом водовіддачі або недостачею насичення (іноді активною пористістю). Активна пористість трохи менше пористості , але іноді через малу різницю між цими параметрами для проведення розрахунків користуються тільки коефіцієнтом пористості .
Будемо розглядати такий ґрунт, у якому всі порожнечі повністю заповнені рідиною (водою або розчином). У такому водонасиченому ґрунті за певних умов здійснюється рух води під дією сил ваги, тобто спостерігається фільтрація. Переміщення води в не повністю насиченому ґрунті розглядати не будемо. Крім того, будемо розглядати тільки рух води або слабких водяних розчинів, приймаючи їх за ідеально нестисливу рідину.
Просочування води через границю сухого або водоненасиченого ґрунту в розглянутий обсяг водонасиченого ґрунту називається інфільтрацією. Зворотний рух води може спостерігатися за рахунок випару, транспірації, капілярного підняття. Інфільтрація або випар (транспірація) характеризуються кількістю рідини , що надходить через одиничну горизонтальну площадку за одиницю часу. Величина називається питомою інтенсивністю інфільтрації або випару (транспірації).
Простір водонасиченого ґрунту або породи, у якому відбувається рух підземних вод під дією сил ваги, називається областю фільтрації підземних вод, а потік води, що охоплює цю область, називають фільтраційним або підземним потоком. Ґрунт, склад і властивості якого однакові у всіх рівні по обсязі частинах області фільтрації, називається однорідним. Якщо ж властивості ґрунту проявляються однаково у всіх напрямках простору, то такий ґрунт (пористе середовище) називається ізотропним, у противному випадку - анізотропним.
Ґрунт, склад і властивості якого однакові у всіх рівні по обсязі частинах області фільтрації, називається однорідним. Якщо властивості ґрунту проявляються однаково у всіх напрямках простору, то такий ґрунт (або пористе середовище) називається ізотропним, у противному випадку його називають анізотропним.
Рух води або іншої рідини в пористому середовищі залежить від структур ґрунту, форми пор і тріщин. Однак для практичних цілей становить інтерес, як рухається осереднений по величині й напрямку підземний водний потік. Тому на практиці використають тільки осереднені характеристики фільтраційного потоку. Для математичного опису процесу фільтрації реальний потік рідини заміняється деяким фіктивним фільтраційним потоком, що безупинно заповнює всі перетини пористого середовища. При цьому приймається, що витрата, обумовлена кількістю рідини, що протікає через будь-яку одиничну площадку розглянутого перетину за одиницю часу у фіктивному потоці, дорівнює витраті реального фільтраційного потоку. Крім того, для фіктивного потоку тиск на обрану площадку дорівнює тиску реального потоку на ту ж площадку, а сили опору, розглянуті як масові (об'ємні) сили, для фіктивного потоку у виділеному обсязі повинні рівнятися реальним силам для того ж обсягу.
Таким чином, замість реального фільтраційного потоку розглядається деяка фізична модель цього потоку, при цьому основні, що цікавлять дослідника характеристики фіктивного (модельного) потоку або збігаються з відповідними характеристиками реального потоку, або по характеристиках фіктивного потоку можна визначити характеристики, що цікавлять, реального потоку. Це, зокрема, стосується визначення середнього значення правдивої швидкості руху часток рідини. Тому для визначення середньої швидкості руху часток рідини в пористому середовищі вводиться статистичне поняття швидкості фільтрації. Нехай через площу ∆S за одиницю часу (добу) протікає ∆Q об'ємних одиниць рідини. Тоді середнє значення швидкості фільтрації визначиться рівністю
, (3.3)
а швидкість фільтрації v у розглянутій точці визначиться як межа, до якого прагне середня швидкість фільтрації при зменшенні площадки, тобто
.
У дійсності площа ∆S у нуль не перетворюється, а мається на увазі її зменшення до досить малої по площі величини, однак значно більшої, ніж площа середнього перетину пори або тріщини. Якщо тепер використати поняття коефіцієнта пористості, то середня швидкість руху води через пори, площа яких дорівнює ∆Sп, визначиться наступною рівністю.
. (3.4.)
Аналогічно швидкість v руху рідини в точці
, (3.5)
Якщо ввести вектор швидкості фільтрації V = (Vx,Vy,Vz) і вектор швидкості руху рідини v = (vx,vy,vz) , то
(3.6)
Закон Дарсі
Закон Дарсі - основний закон, якому підкоряється рух рідини в пористому середовищі. Французьким інженером Дарсі в 1856 р. експериментально було встановлено, що швидкість фільтрації пропорційна градієнту напору й спрямована убік його зменшення. Якщо ввести поняття напору, що у теорії фільтрації визначається рівністю
(3.7)
де p - тиск, ρ щільність рідини, g - прискорення сили ваги, z - геометрична висота над деякою горизонтальною площиною (віссю) порівняння, γ = ρq - питома вага, p/(ρg) - п’єзометричний напір (рівень води в п’єзометрі), тобто у вертикальній трубці, установленої нижнім кінцем у крапці, де виміряється напір (мал. 3.1); то закон Дарсі можна записати у вигляді
рис. 3.1.
(3.8)
де ∆h = h2 - h1 - зміна напору на ділянці фільтраційного потоку довжиною ∆L; χ - коефіцієнт пропорційності, називаний коефіцієнтом фільтрації, що має розмірність швидкості фільтрації v; J=∆h/∆L - градієнт напору. У диференціальній формі закон Дарсі був отриманий Н. Е. Жуковським і зазвичай записується у вигляді
. (3.9)
У скалярній формі закон Дарсі записується у вигляді
(3.10)
До рівняння (3.9) варто ще додати рівняння нерозривності фільтраційного потоку, що виражає закон збереження маси речовини й для недеформуємого середовища й нестисливої рідини (ρ = const) має такий вигляд
. (3.11)
Рівняння (3.10), (3.11) з невідомими функціями vx,vy,vz й h утворять повну систему диференціальних рівнянь сталої фільтрації важкої нестисливої рідини. Ця система рівнянь може описувати й несталу або квазівстановлену фільтрацію.
Якщо в рівняння нерозривності замість складових vx, vy, vz підставити їх вирази, обумовлені рівностями (3.10), то у випадку однорідного середовища (χ = const) одержимо диференціальне рівняння для невідомого напору
. (3.12)
яке називається рівнянням Лапласа.
Надалі буде розглядатися тільки плоско-паралельний рух рідини, що може відбуватися або у вертикальній площині (профільна фільтрація), або в горизонтальній площині (планова фільтрація).
Постановка крайових завдань плоскої фільтрації
Зупинимося на основних рівняннях і постановці крайових задач плоскої (профільної) сталої фільтрації підземних вод в однорідному ізотропному ґрунті. Якщо в якості вертикальної координатної площини вибрати систему координат xOy, причому вісь Oy направити вертикально вниз, то рівняння фільтрації запишеться у вигляді
(3.13)
Із цих рівнянь маємо
. (3.14)
З огляду на те, що для однорідного ґрунту χ = const, і ввівши функцію
(3.15)
яка називається потенціалом швидкості фільтрації, рівняння (3.13) перетвориться до вигляду
(3.16)
а рівняння (3.14) перетвориться до вигляду
(3.17)
Відшукавши потенціал , легко обчислити напір h(x,y) і складову швидкості фільтрації.
Щоб визначити гармонійну функцію , тобто функцію, що задовольняє в області фільтрації G рівняння Лапласа, необхідно вирішити це рівняння при додаткових умовах, які виконуються для шуканої функції на границі області.
Розглянемо вертикальний поперечний розріз земляної греблі або дамби (мал. 3.2).
рис. 3.2.
Область фільтрації G обмежена контуром ADCDEE1A1, що складається з окремих, характерних для границі області фільтрації, ділянок. Вісь Ox сполучена з поверхнею води в тій водоймі, рівень води якого перебуває вище (у розглянутому випадку ця водойма перебуває ліворуч, його змочений контур AB). У результаті наявності різниці рівнів води в "лівому" й "правому" водоймах, величина якої дорівнює H (H - дійсний напір), відбувається повільне просочування води через існуючий вододіл (область фільтрації) з першої водойми в другий. Ділянки границі області фільтрації, де відбувається надходження води з водойми в область фільтрації (ділянка AB) або з області фільтрації у водойму (ділянка DE), називаються водопроникними границями області фільтрації. Ділянки, де височується вода на поверхню ґрунту й стікає по поверхні ґрунту вниз або випаровується, називаються проміжками височування (ділянка CD). Ділянка границі між водоненасиченим й водонасиченим ґрунтом називається кривою депресії або депресивною кривою (ділянка BC). Якщо границя області є водонепроникною (або слабопроникною), то такі ділянки називаються водонепроникними (ділянку A1E1) або водоупором.
Установимо граничні умови на цих ділянках для потенціалу (x,y). Помітимо, що граничні умови, як і самі рівняння фільтрації, виводяться з фізичних законів або умов, які виконуються на границі області, у якій досліджується розглянутий процес руху підземних вод.
Розглянемо на водонепроникній ділянці AB довільну точку M(x,y), де п’єзометричний напір p/γ дорівнює висоті стовпа води над точкою M, тобто дорівнює ординаті y точки M . З огляду на співвідношення (3.15), у цій точці водонепроникної ділянки, а отже, і на всій водонепроникній ділянці AB , маємо
.
Для довільної точки N(x,y) водопроникної ділянки DE маємо
.
Таким чином, на водопроникних ділянках потенціал приймає постійне значення. Безліч точок, де потенціал задовольняє рівності (x,y)=const, називається лінією (поверхнею) рівного потенціалу або еквіпотенціальною лінією (поверхнею).
На кривої депресії п’єзометричний напір дорівнює нулю (атмосферний тиск і тиск, що відповідає висоті капілярного підняття води в ґрунті звичайно не враховується) і тому на ділянці BC маємо
На проміжку виточування CD , як і на кривій депресії, тиск дорівнює нулю й тому на цій ділянці маємо умову
.
На водонепроникних ділянках і на кривій депресії швидкість фільтрації спрямована уздовж цих границь. Лінії, уздовж яких рухається фільтрівна рідина, називаються лініями потоку. Інакше кажучи, лінія, дотична в кожній точці якої збігається з напрямком вектора швидкості фільтрації, називається лінією потоку. Отже, кутовий коефіцієнт дотичної в кожній точці лінії потокузбігається з кутовим коефіцієнтом вектора швидкості фільтрації й тому диференціальне рівняння ліній потоку має вигляд
. (3.18)
Очевидно, на лініях потоку, а отже, також на кривій депресії й на водонепроникних ділянках, нормальна складова швидкості фільтрації в будь-якій точці цих ліній дорівнює нулю, тобто
.
Зокрема, для горизонтальної водонепроникної ділянки маємо
.
Уздовж вільної поверхні (кривій депресії) у загальному випадку, коли має місце інфільтрація або випар рідини, виконуються дві умови (з обліком капілярного pk й атмосферного pat тисків)
.
Якщо через s позначити довжину дуги депресійної кривої, а через cos(s,x) і cos(s,y) - косинуси кутів, утворених дотичній до кривої депресії відповідно з віссю абсцис і віссю ординат, то, з огляду на останню рівність, можна записати
,
де vs,vn - проекції швидкості фільтрації на кривої депресії відповідно на дотичну й нормаль до цієї кривої.
Скориставшись відомими співвідношеннями
умови для дотичній і нормальної складової швидкості фільтрації на кривій депресії можна представити у вигляді
.
Виключаючи з останніх рівностей cos(s,x), cos(s,y) одержимо умову для швидкості фільтрації на кривої депресії у вигляді
або
. (3.19)
Із цієї умови слідує, що кривій депресії в площині зміни вектора швидкості фільтрації vxOvy відповідає окружність (або її частина) із центром у точці з координатами радіусом |χ - ε|/2, причому частина зазначеного круга може проходити двічі.
Точне рішення рівняння фільтрації при певних граничних умовах можна одержати тільки в окремих випадках, причому одержання рішень й у цих випадках пов'язане з більшими математичними труднощами, перебороти які вдається як правило, тільки за допомогою методу конформних відображень.
Зв'язок рівнянь плоскої фільтрації з теорією функцій КЗ
Щоб застосувати апарат теорії функцій комплексної змінної до рішення рівнянь у частинних похідних, що описують конкретні фізичні процеси необхідно встановити, як можна перейти від крайових задач для цих рівнянь до завдань теорії аналітичних функцій комплексної змінної. Зв'язок теорії функцій комплексної змінної із крайовими задачами теорії фільтрації підземних вод дає можливість за допомогою методу конформних відображень знаходити аналітичні як точні, так і наближені вирішення для багатьох випадків, що виникають у практиці гідротехнічного, меліоративного й водогосподарчого будівництва. Метод конформних відображень можна застосовувати при розв’язанні різних крайових задач математичної фізики. Однак найбільш ефективне його застосування виявляється у випадку крайових задач для рівняння Лапласа, рішеннями якого є гармонійні функції. Вид цієї функції залежить від області, у якій шукається розв’язання, і від виду крайових умов для шуканого рішення. Як відомо, гармонійні функції можна зв'язати з аналітичними, і тоді завдання про знаходження рішення рівняння Лапласа (рівняння фільтрації) буде зведена до завдання знаходження аналітичної в розглянутій області (області фільтрації) функції.
Рівняння плоскої сталої фільтрації важкої нестисливої рідини в однорідному ізотропному пористому середовищі у випадку, якщо рух рідини (підземних вод) відбувається у вертикальній площині (профільна фільтрація), можуть бути записані у вигляді
(3.20)
(3.21)
Рівність (3.20) є умовою того, що величина -vydx + vxdy є повним диференціалом деякої функції ψ(x, y) , що, як і функція (x,y), визначається з точністю до довільного доданка. Отже, відповідно до визначення повного диференціала маємо
. (3.22)
Звідси,
(3.23)
Порівнюючи (3.21) і (3.23), одержуємо
(3.24)
Ці рівності, як відомо, називаються умовами Коші-Рімана (Эйлера-Даламбера). Диференціюючи першу рівність по y , а другу по x, одержуємо
. (3.25)
Таким чином, функція ψ(x,y) так само, як і функція (x,y), задовольняє рівнянню Лапласа, тобто є гармонійною функцією.
Функція ψ(x, y) називається функцією потоку. Її назва визначається фізичним змістом цієї функції, тому що диференціальне рівняння лінії току має вигляд (3.18), яких можна записати в такий спосіб:
. (3.26)
Загальний інтеграл цього рівняння є функція ψ(x,y) = C (C = const), отже, на лініях току функція ψ(x, y) зберігає постійне значення. З'ясуємо фізичний зміст функції потоку, а саме, покажемо, що функція ψ(x,y) пов'язана з поняттям фільтраційної витрати. Нехай KL - довільна крива в області фільтрації G - є напрямної циліндричної поверхні одиничної висоти з утворюючої, перпендикулярної площини xOy. Витрата рідини Q через таку поверхню дорівнює сумі фільтраційних витрат через нескінченно малі елементи кривій KL.
Завдяки нерозривності розглянутого потоку рідини елементарна витрата d через елемент кривої dl дорівнює алгебраїчній сумі витрат через ділянки 1-2 й 2-3 - відрізки прямих, паралельних осям координат:
d = dQx + dQy = vdl.
Будемо вважати, що значення витрати Q(x,y) зростає при русі уздовж кривої KL у напрямку від точки 1 до точки 3 (позитивний напрямок кривої). Тоді маємо
d = dQx + sQy = vy(-dx) + vxdy → d = dψ.
Інтегруючи останнє рівняння уздовж кривої від точки K до точки L, знайдемо шукану фільтраційну витрату
(3.27)
тобто збільшення функції потоку ∆ψ уздовж довільної кривої KL, узятої в області фільтрації G, дорівнює фільтраційній витраті через цю криву.
Якщо задати функцію потоку як функцію від довжини дуги l кривій KL, то для визначення витрати одержимо
(3.28)
Тому що функції (x, y) і ψ(x, y) задовольняють умовам Коші - Рімана, то комплексна функція
(3.29)
буде аналітичною в області фільтрації G й її можна розглядати як функцію комплексної змінної ω=f(z) , де z = x + iy . Функція (3.29) у теорії фільтрації називається комплексним потенціалом фільтрації. Таким чином, через комплексний потенціал фільтрації встановлюється зв'язок фільтрації з теорією функцій комплексної змінної.
Розглянемо ще одну комплексну величину vx - iyy , що у теорії фільтрації називається комплексною швидкістю фільтрації. Диференціюючи рівняння (3.29) по z і використовуючи співвідношення (3.20), (3.23), знайдемо похідну
. (3.30)
Тому що похідна аналітичної функції є також аналітичною функцією, то комплексна швидкість фільтрації w, обумовлена рівністю
, (3.31)
є аналітичною функцією в області фільтрації G .
Геометричне подання про плоский сталий фільтраційний потік дає так названу гідродинамічну сітку, тобто сітку, утворену сімейством ліній потоку ψ(x,y)=ψn=const і сімейством еквіпотенціальних ліній (x,y)= m=const, які одночасно є й лініями рівних напорів h = hm = const.
З умов Коші-Рімана слідує рівність
(3.32)
яка показує, що еквіпотенціальні лінії й лінії потоку взаємно ортогональні.
Таким чином, якщо для досліджуваного руху підземних вод знайти комплексний потенціал фільтрації (3.29) або комплексну швидкість фільтрації (3.31), те можна легко визначити величини (x,y), ψ(x,y), vx(x,y), vy(x,y), отже й всі інші характеристики фільтраційного потоку.
Метод конформних відображень у теорії фільтрації
Якщо геометрична форма області G складна, то відшукання рішення крайової задачі пов'язане з більшими труднощами. Тому при вирішенні тієї чи іншої крайової задачі намагаються спростити як диференціальне рівняння із граничними умовами, так і вид області, у якій відшукується вирішення. Одним з найпоширеніших методів такого спрощення крайового завдання є метод перетворення незалежних змінних (заміна змінних), зокрема, метод конформного перетворення незалежних змінних.
Нехай у деякій області G необхідно знайти рішення крайової задачі для рівняння Лапласа
. (3.33)
Спробуємо спростити вид області G за допомогою заміни змінних
(3.34)
або
(3.35)
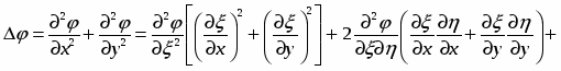
При переході до новим змінних ξ і η міняється не тільки область G, але й саме диференціальне рівняння й граничні умови. Очевидно, найбільший інтерес представляють перетворення, що не міняють вид диференціального рівняння, тобто в нашому випадку перетворення, щодо яких саме рівняння Лапласа залишається інваріантним. Покажемо, що в цьому випадку функції (3.34), що здійснюють перетворення області G у більш просту область D, належать, як і функція (x,y), до класу гармонійних функцій, більше того, вони будуть сполученими гармонійними функціями.
Знайдемо
Підставляючи знайдені вирази в рівняння (3.33), одержимо наступне диференціальне рівняння
. (3.36)
Очевидно, для того, щоб диференціальне рівняння (3.36) було рівнянням Лапласа, необхідно, щоб перетворення (3.34) задовольняло таким вимогам:
(3.37)
(3.38)
. (3.39)
Рівняння (3.37) показують, що функції і є гармонійними функціями. Розділивши рівняння (3.38) на , маємо
(3.40)
Підставляючи вираз (3.40) у рівняння (3.39), одержуємо
, (3.41)
звідки маємо, що якщо
(3.42)
то = ±1 й, отже, з рівнянь (3.40) одержимо або
(3.43)
або
(3.44)
Ці рівняння є умовами Коші-Рімана й показують, що функції і є гармонійними функціями. Перетворення, здійснюване такими функціями, переводить нескінченно малі фігури площини хОу в подібні їм фігури площини за умови, що виконується (3.42). Саме такі перетворення й називаються конформними. Отже, якщо перетворення, здійснюване функціями (3.34), є конформним, то рівняння (3.33) прийме вид
або
З останньої рівності одержуємо
(3.45)
Отримане рівняння також є рівнянням Лапласа, де частки похідні виражаються через нові незалежні змінні ξ і η - координати області D .
Тепер, якщо утворити комплексну функцію, у якої дійсною й уявною частинами є відповідно функції ξ(x,y) і η(x,y), то така комплексна функція ζ=ξ+iη буде аналітичною функцією комплексної змінної z = x+iy, тобто
ζ(z)=ξ(x,y)+iη(x,y) = f(z). (3.46)
Як ми вже відзначали, перетворення, здійснюване аналітичною функцією (3.47), або, що те ж саме, функціями (3.34), називається конформним усюди в області G , де похідна не дорівнює нулю, тобто де виконується умова
(3.47)
Таким чином, рівняння Лапласа є інваріантним щодо перетворень, здійснюваних аналітичними функціями комплексного змінного. Якщо ж перетворення (3.34) здійснюється довільними функціями ξ(x,y) і η(x,y), тобто не є конформним, то рівняння Лапласа (3.33) не переходить у рівняння Лапласа (3.45), а переходить у більше загальне рівняння в частинних похідних другого порядку.
Якщо вдається знайти рішення рівняння Лапласа або якого-небудь іншого рівняння математичної фізики в одній з найпростіших, так званих канонічних областей D (коло, напівплощина, прямокутник, смуга й ін.), тобто якщо визначено функцію як функція координат ξ і η точок області D , то, скориставшись співвідношеннями (3.47) або (3.34), легко знайти шукане рішення , як функцію змінних x й y - координат точок вихідної фізичної області G .
При рішенні конкретних фізичних задач функції й мають певну фізичну інтерпретацію. Фізична постановка задач визначає й крайові умови для шуканих функцій. Метод конформних відображень дозволяє також у ряді випадків, а саме, коли граничні умови як для функції (x,y), так і для сполученої з нею функції ψ(x,y), мають спеціальний фізичний зміст, відшукувати рішення рівняння Лапласа безпосередньо. У цих випадках досить знайти аналітичну функцію, конформно фізичну область, що відображає, G на область D зміни фізичних параметрів (x,y) і ?(x,y) . Вид області D визначається граничними значеннями функцій (x,y) і ψ(x,y).
Для завдань плоскої фільтрації, якщо вдається конформно відобразити область фільтрації z на область комплексного потенціалу ω за допомогою деякої аналітичної функції ω = f(z), те розділивши дійсну й уявну частини функції, що відображає, знайдемо комплексний потенціали фільтрації у вигляді
(3.48)
де (x, y) - потенціал швидкості фільтрації, а ψ(x, y) - функція струму.
Крім описаної аналітичної функції - комплексного потенціалу фільтрації, у теорії профільної фільтрації розглядаються ще дві аналітичні функції: функція Жуковського G , що визначається рівністю
(3.49)
і функція Нумерова, обумовлена рівністю
(3.50)
де ε - кількість води, що надходить у ґрунт (ε > 0) або паркої (ε < 0) з одиниці площі горизонтальної проекції вільної поверхні за одиницю часу.
Таким чином, крайове завдання теорії плоскої сталої або фільтрації, що квазиустано-вились, полягає в тім, щоб для заданої області фільтрації Z знайти одну (або дві) з аналітичних функцій (3.48),(3.49),(3.50).
Спосіб Павловського
Спосіб конформного відображення Павловського застосовується у випадку, коли відома границя вихідної області фільтрації G, що будемо позначати також буквою z (тому що область фільтрації розглядається в комплексній площині z=x+ iy). і відома область комплексного потенціалу (ОКП) ω (яка будується в комплексній площині ω= +iψ). Тоді характеристична функція потоку z = F(ω) або зворотна їй функція - комплексні потенціали швидкості фільтрації ω = f(z) - визначається в результаті конформного відображення області ω на область z . Область комплексного потенціалу ω, як правило, можна побудувати тільки в тому випадку, коли границя області фільтрації z складається з водонепроникних і водопроникних ділянок, тобто границя області фільтрації складається з еквіпотенциальних ліній і ліній струму. У цьому випадку проміжки височування й кривих депресій відсутні (напірна фільтрація). Тому що на еквіпотенциальних лініях = const, а на лініях струму ψ = const, то область комплексного потенціалу ω у розглянутому випадку завжди буде мати вигляд прямокутника або прямолінійного багатокутника, сторони якого паралельні осям координат.
Звичайно будують дві функції, що відображають: конформно, що відображає на область фільтрації z нижню (або верхню) так називану допоміжну напівплощину ζ = ξ + iη і конформно відображає на ОКП ω цю же допоміжну напівплощину ζ. У цьому випадку рішення завдання фільтрації, тобто комплексний потенціал швидкості фільтрації (або характеристичну функцію потоку), можна записати в параметричному виді
z = f1(ζ), ω = f2(ζ). (3.51)
Тому що ОКП - прямолінійний прямокутник, то функція ω = f(ζ) знаходиться за допомогою інтеграла Крістофеля-Шварца.
3.4.2. Спосіб Ведерникова-Павловского
У випадку, коли границя області фільтрації z містить криві депресії (так названа безнапірна або вільна фільтрація), положення яких заздалегідь невідомо, конформне відображення області фільтрації z на область ω або напівплощину ζ неможливо, хоча й у цьому випадку, як й у попередньому, область ω цілком визначена й має вигляд прямокутника або прямолінійного багатокутника. У зв'язку з результатами В. В. Ведерникова й Н. Н. Павловського, отриманими незалежно друг від друга, був запропонований спосіб, що усуває труднощі, пов'язані з невизначеністю положення кривої депресії. Скориставшись відомими для функцій (x, y) і ψ(x,y) граничними умовами на кривої депресії BjCj
(3.52)
вони замість області змінно z (область фільтрації) запропонували розглядати область так називаної функції Жуковського G, що визначається рівністю
(3.53)
або
(3.54)
Тепер можна записати граничні умови для функції Жуковського, вірніше, для її уявної частини:
уздовж границі АВ з верхньою водоймою (б'єфом)
(3.55)
χ AB на кривої депресії ВР, розташованої між k-м й (k+1)-м водоймами,
(3.56)
на границі з (k + 1) -м водоймою
(3.57)
де - наведена фільтраційна витрата в (k+1)-й водоймі; Q - повна фільтраційна витрата.
На водонепроникній ділянці A1E1, називаній водоупором, значення функцій u й v невідомі, однак можна вказати межі їхньої зміни:
(3.58)
(3.59)
З нерівності (3.59) бачимо, що лінія A1E1, що є образом водоупора в площині функції Жуковського G, укладена в горизонтальній смузі товщини H.
Таким чином, в області функції Жуковського G криві депресії перетворяться в горизонтальні прямі, інші ділянки - у невідомі лінії, причому водоупор перетвориться в деяку криву лінію, укладену в смузі товщиною H, де H дорівнює різниці оцінок води у верхній і нижній водоймах. При дуже великій глибині залягання водоупора, коли можна покласти , всі ділянки границі області функції Жуковського G будуть відомі, якщо водопроникні ділянки - вертикальні (x = xk = const). Тоді, відображаючи конформно на область функції Жуковського G, що має вид прямолінійного багатокутника, ОКП ω за допомогою функції G=F(ω) і з огляду на співвідношення (3.53), шукану характеристичну функцію плину знаходимо у вигляді
. (3.60)
Якщо ж зазначене відображення здійснюється через допоміжну напівплощину, то шукане рішення можна записати в параметричній формі
(3.61)
Викладений спосіб можна застосовувати й у тому випадку, коли водопроникні й водонепроникні ділянки не є відповідно горизонтальними й вертикальними. При цьому як вихідну область досить вибрати область функції Жуковського G, а після ОКП ω на область G за допомогою співвідношення (3.53) знайти границі області фільтрації z (напівзворотний спосіб Ведерникова-Павловського). Область G у цьому випадку вибирають так, щоб, з одного боку, її можна було порівняно легко конформно відобразити на область ω або ζ, з іншого боку - побудована для неї область фільтрації z повинна відповідати реальним умовам фільтраційного завдання.
Конформні перетворення й моделювання масо переносу
Процес міграції розчинних речовин при фільтрації підземних вод, як відомо, описується системою рівнянь:
(3.62)
; (3.63)
(3.64)
або в скалярній формі
(3.65)
(3.66)
(3.67)
де v = {vx,vy,vz} - вектор швидкості фільтрації, м/доб; (x,y,z,t) - потенціал фільтрації; c(x, y, z, t) і N(x, y, z, t) - концентрація дифундуючої речовини відповідно в рідинній і твердій фазах, г/см , D - коефіцієнт конвективної дифузії, м3/доб; σ - активна (або ефективна) пористість середовища, у якому протікає фільтрація розчину; t - година (у добах); - оператор Гамільтона; γ - стала швидкості масообміну; β - коефіцієнт розподілу речовини між; фазами в умовах рівноваги по лінійній ізтермі Генрі cp = βN. У багатьох практичних завданнях можна обмежитися дослідженням процесу масопереносу розчинних у фільтраційному потоці речовин тільки на основі рівнянь, що описують конвективний процес, а саме:
(3.68)
(3.69)
причому масообмін визначається такою досить розповсюдженою залежністю:
(3.70)
де - концентрація граничної насиченості.
Наведені рівняння описують, як правило, міграцію й фізичну трансформацію (сорбцію, десорбцію) консервативних водорозчинних речовин.
Якщо дослідити масоперенос при плоско-вертикальній і плановій усталеній або квазіусталеній фільтрації підземних вод, то для моделювання цього процеса доцільно застосувати конформне перетворення рівнянь масопереноса до криволінійних змінних - координатам точок області комплексного потенціала фільтрації.
У разі плоско-вертикальної (профільної) фільтрації рівняння рухові підземних вод запишуться у вигляді
(3.71)
де χ - коефіцієнт фільтрації, h - напір, який визначається рівністю
(3.72)
причому вісь Oy спрямовано вертикально вниз, p - тиск, ρ - щільність, g - прискорення сили тяжіння.
У разі планової напорної фільтрації відповідні рівняння записуються так:
Φ = -χTh;
(3.73)
а в разі планової безнапорної фільтрації
(3.74)
У рівняннях (3.73), (3.74) через T позначено потужність напірного водоносного шару: q - вектор питомої фільтраційної витрати (м2/доб), a h - напір, який у даному випадку визначається таким рівнянням:
(3.75)
де Z - вертикальна координата точки фільтраційного потоку.
Припущення, що для фільтраційних течій, що розглядаються, можна побудувати область комплексного потенціала ω = + iψ , де ψ - функція течії, і що відома характеристична функція течії
z = x + iy = F(ω) = F1( , ψ) + i2( ,ψ), (3.76)
за допомогою заміни
x = F1( ,ψ); y = F2( ,ψ) (3.77)
перетворимо рівняння конвективної дифузії до нових незалежних змінних і ψ. У результаті такої заміни рівняння конвективної дифузії в разі плоско-вертикальної фільтрації запишеться у вигляді
(3.78)
у разі планової напорної фільтрації - у такому вигляді:
(3.79)
а в разі планової безнапорної фільтрації перетворюється до вигляду
(3.80)
Якщо в рівняннях (3.78)-(3.80) D = 0, отримаємо рівняння конвективного масопереносу без враховування дифузійних процесів, що перетворені до нових змінних , ψ або Φ, Ψ або Φ*, Ψ* відповідно для випадків плоско-вертикальної, планової напорної і планової безнапорної фільтрації, а саме:
(3.81)
(3.82)
(3.83)
Отже, у разі нехтування дифузійними процесами питання про визначення концентрації речовин, що забруднюють підземні води, зводиться до розв'язання відповідної фільтраційної задачі та одного з рівнянь (3.81)-(3.83) із одною додатковою (початковою) умовою, яка задається залежно від фізичної постановки задачі.
Важливою характеристикою при дослідженні процесу забруднення підземних вод є час, протягом якого в даній точці області (або області z) концентрація розчинної речовини досягає визначеної величини. Крім того, виникає питання про визначення часу, протягом якого концентрація розчинної речовини досягає в даній точці максимального значення. Основні диференціальні рівняння, з яких визначаються ці характеристики, а також фронт просування речовини (домішку) у фільтарційному потоці будуть наведені нижче.
Нехай відома концентрація розчинної в фільтраційному потоці речовини як функції координат точок області комплексного потенціала й і години t . Тоді для кожного значення (моменту) часу t можна побудуввати поверхню розподілу концентрації відносно області комплексного потенціала , а отже, й відносно області фільтрації z . Цим самим для кожного моменту часу буде визначено значення концентрації речовини, що розповсюджується в підземних водах, у будь-якій точці області фільтрації або впродовж; лінії, зокрема, впродовж; будь-якої йз ліній чи течії еквіпотенціальних ліній.
Якщо ж припустити, що міграція речовини здійснюється зі сталою концентрацією, то час, протягом якого станеться забруднення визначеної частки області фільтрації, знайдемо таким чином. Нехай відома швидкість фільтрації v(x,y,t) і характеристична функція течії, що отримана у вигляді (3.77). Швидкість розповсюдження розчинної у фільтраційному потоці речовини U(x,y,t) у даному разі дорівнює дійсній швидкості руху підземних вод V(x,y,t), яка зв'язана зі швидкістю фільтрації v(x,y,t) співвідношенням
(3.84)
де через позначена активна пористість ґрунту (породи). За миттєво протікаючих сорбційних процесах, що визначаються рівністю (3.70), активна пористість замінюється ефективною пористістю середовища, що визначається рівністю
(3.85)
Із (3.84) отримуємо
(3.86)
Після перетворення рівності (3.86) до нових незалежних змінних та маємо
(3.87)
Замість рівнянь (3.81)-(3.83) зручно розглядати рівняння
(3.88)
де - безрозмірні величини, причому . До рівняння (3.88) легко звести кожне з рівнянь (3.81)-(3.83). Дійсно, якщо в рівнянні (3.88) покласти
(3.89)
то отримаємо рівняння (3.81), якщо в рівнянні (3.88) покласти
(3.90)
то отримаємо рівняння (3.82), а якщо в рівнянні (3.88) покласти
(3.91)
то отримаємо рівняння (3.83).
Якщо розглядається квазістаціонарна фільтрація (фільтраційні характеристики залежатимуть й від години за незмінного розташування ліній потоку), то конвективний масоперенос описується рівнянням
(3.92)
де залежна від дослідження переносу при профільній, плановій напорній і плановій безнапорній фільтрації визначається відповідно рівностями
(3.93)
(3.94)
(3.95)
Щоб знайти частинний розв'язок рівняння (3.88), треба задати додаткову умову при = 0 або t = 0 , тобто розлянути задачу Коші. При цьому суттєвою є фізична інтерпретація незалежних координат it. Тож під часом розв'язання конкретних задач Коші для рівняня (3.88) слід відокремлювати початково-часову та початково-просторову задачі. Перший тип завдань, як правило, виникає під час дослідження процесів очищення або розсолення підземних вод та засолених земель; другий тип завдань (початково-просторові) з'являється зазвичай під час дослідження процесів забруднення або засолення підземних вод та родючих земель.
Крайові задачі конвективної дифузії розчинених речовин при профільній фільтрації
Процес масопереносу розчинних у підземних водах речовин описується системою диференціальних рівнянь у частинних похідних іншого порядку зі змінними коефіцієнтами, яка в разі двовимірної плосковертикальної (профільної) фільтрації підземних вод за умови сталості коефіцієнта конвективної дифузії має вигляд
(3.96)
(3.97)
(3.98)
де D - коефіцієнт конвективної дифузії, м3/доб; c,N - концентрації дифундуючої речовини відповідно в рідинній і твердій фазах (кг/м3 ); vx(x, y, t) , vy(x, y, t) - координати швидкості фільтрації v, м/доб; - пористість або активна пористість ґрунту, у якому здійснюється рух вод і конвективна дифузія розчиненої речовини; t - час, доба; -стала масообміну (швидкості сорбції); - коефіцієнт розподілу речовини між; рідинною і твердою фазами в умовах рівноваги між; рідинною і твердою фазами за законом лінійної ізотреми Генрі, який виражається рівністю cp = N , cp - рівновагова концентрація розчину, яка за величиною дорівнює кількості речовини, що поглинається твердою фазою; - потенціал швидкості фільтрації; - коефіцієнт фільтрації. м/доба; - напір, м; p- тиск, Н/м2=кг/м·c2 ; - щільність, кг/м3 ; -прискорення сили тяжіння, м/c2 .
Будемо розглядати конвективну дифузію тих розчинних речовин, які нейтральні до порід, що наявні в ґрунті, тобто сорбцією та іншими видами поглинання речовин, що забруднюють підземні води, будемо нехтувати й розглядати систему рівнянь фільтрації та конвективної дифузії (гідравлічної дисперсії):
(3.99)
(3. 100)
рис. 3.3.
Будемо вважати, що розв'язки фільтраційних завдань для кожної конкретної схеми (мал. 3.3 -3.5) відомі, а також; відомі для цих схем відповідні області комплексного потенціалу (3.6), . Знайдемо розв'язки різних крайових задач для рівняння (3.100).
Крайові й початкові умови для шуканої функції с(х, у, t) :
При конвективній дифузії речовин, що забруднюють підземні води, на вході АВ фільтраційного потоку (3.3,3.4) можна прийняти одну із наступних крайових умов:
а)задана концентрація розчиненої у водоймі (річці) речовини
(3. 101)
б)задана умова Данкверста, яка враховує як конвективний, так й дифузійний механізми відведення речовини на водопроникненій ділянці межі області фільтрації:
(3. 102)
рис. 3.4.
рис. 3.5.
де n - нормаль до межі; vn - нормальна складова швидкості фільтрації.
На водонепроникних ділянках межі області фільтрації z та на кривих депресії виконується умова (наприклад, ділянка BC на мал. 3.3,а-г)
(3. 103)
На ділянці виходу фільтраційного потоку (на мал. (3.4) (11.18) - водопроникнені ділянки CD) можна прийняти одну із наступних крайових умов:
а) задана концентрація дифундуючої речовини або задана умова Данкверста(такі умови приймаються, коли не спостерігається інтенсивний відвід вод на виході фільтраційного потоку)
(3. 104)
б) задана умова, яка враховує тільки конвективне перенесення через межу (приймається в разі інтенсивного відведення вод на виході фільтраційного потоку; наприклад,
рис. 3.6.
вихід у дренаж CD на мал. 3.3б-г):
(3. 105)
Умови (3.103) і (3.105) начебто рівнозначні. Алі це не так, бо ці умови треба враховувати разом із межовими умовами для рівнянь фільтрації підземних вод, які різні для водопроникнених і водонепроникних ділянок межі області фільтрації (у першому випадку vn = 0, в іншому vn 0).
При конвективній дифузії солей і гіпсів, що залягають на визначеній глибині T фільтраційного потоку, на межі із сіллю або гіпсом зазвичай приймається умова
(3. 106)
де c - концентрація повної насиченості солі або гіпсу.
Початкові умови, що приймаються при розв'язанні задач про забруднення та засолювання підземних вод, мають вигляд
(3. 107)
або
(3. 108)
де c0 - задана концентрація дифундуючої речовини в області фільтрації в момент години до настання процесу. Складність, що виникає при розв'язанні стаціонарних і нестаціонарних крайових завдань, які описують двовимірні процеси, пов'язана не тільки з виглядом рівнянь у частинних похідних й виглядом крайових умов, але головним чином, із виглядом (геометрією) області, у якій відшукується розв'язок.
Тож, у рівняннях конвективної дифузії та наведених вище крайових умовах перейдемо до нових незалежних змінних - координат області комплексного потенціалу , які, як відомо, мають вигляд многокутника зі сторонами, паралельними прямокутній системі координат.
Нехай відома характеристична функція течії
, (3.109)
яку можна знайти, наприклад, методом конформних відображень. Тоді, виконуючи в рівнянні конвективної дифузії (3.100) заміну змінних і отримаємо рівняння:
(3. 110)
де
(3. 111)
Після заміни змінних у крайових умовах через підстановку (3.109) отримуємо таке: межові умови (3.101), (3.102) набудуть вигляду відповідно
(3. 112)
(3. 113)
межову умову (3.103) перепишемо у вигляді
(3. 114)
межові умови (3.104), (3.105) набудуть вигляду відповідно
(3. 115)
(3. 116)
(3. 117)
(3. 118)
Межові умови (3.101)-(3.106) і відповідні до них умови (3.112)-(3.118) справджуються як для нестаціонарних, так і для стаціонарних крайових задач. Початкові умови (3.107), (3.108) перетворюються на умови
(3. 119)
(3. 120)
Перейдемо до розгляду завдань конвективної дифузії, розв'язання яких для різних схем фільтрації (мал. 3.5в) будемо шукати в областях комплексного потенціалу, які зображуються у вигляді прямокутників (мал. 3.5г-є).
При заданій концентрації розчинної речовини на межі з водоймами виникає така крайова задача: у прямокутнику ABCD знайти розв'язок рівняння (3.110). що задовольняє межові умови
(3. 121)
(3. 122)
(3. 123)
У разі усталеної конвективної дифузії отримуємо таку крайову задачу:
(3. 124)
(3. 125)
розв'язок якої, вочевидь, не залежить від змінної і має вигляд:
(3. 126)
Якщо враховувати механізм дифузійного відводу речовини на вході фільтраційного потоку, то отримаємо крайову задачу
(3. 127)
(3. 128)
розв'язок якої можна записати у вигляді
(3. 129)
Осереднюючи величину , що є в правій частині рівняння (3.110), по області приведеного комплексного потенціала і замінюючи її деякою середньою величиною , розглянемо типи двох нестаціонарних крайових завдань.
Перший тип крайових задач
Виникає при фільтрації забруднених вод у відкриті водойми, коли у відкритих водоймах підтримується задана концентрація речовин. Ці задачі формулюються таким чином:
треба знайти розв'язок рівняння
(3. 130)
що задовольняє межові умови вигляду (перша задача)
(3. 131)
або умови, що враховують механізм дифузійного відводу речовини від межі на вході фільтраційної течії (друга задача):
(3. 132)
і початкову умову
(3. 133)
Безпосередньою перевіркою легко переконатися, що розв'язком крайової задачі (3.130), (3.131),(3.133) та (3.130),(3.132),(3.133) будуть функції і , які є розв'язки відповідних одновимірних крайових задач:
(3. 134)
(3. 135)
(3. 136)
(3. 137)
Якщо підставити в ці рівняння розв'язок у вигляді суми розв'язків стаціонарної і нестаціонарної задач і застосувати метод Фур'є, отримаємо розв'язки нестаціонарних задач конвективної дифузії (3.134) -(3.137), які після ділення на c1 і запровадження безрозмірних змінних та набувають вигляд:
(3. 138)
(3. 139)
де власні значення визначаються рівняннями
(3. 140)
(3. 141)
коефіцієнти обчислюються за формулами
(3. 142)
(3. 143)
a функції визначаються рівнянням
коли (3.144)
коли (3.145)
Графіки цих функцій наведено на мал. 3.7, 3.8.
рис. 3.7.
Другий тип крайових задач
Другий тип крайових задач конвективної дифузії забруднюючих підземні води речовин характеризується межовою умовою вигляду (3.105), яку приймається на виході фільтраційного потоку, коли має місце інтенсивний відвід вод із дренажного каналу CD. У цьому разі розв'язком стаціонарних задач буде стала, значення якої залежить від межової умови на вході фільтраційного потоку. Тому будемо розглядати нестаціонарні задачі. Осереднюючи, як і раніше, швидкість фільтрації по просторовим змінним, приходимо до таких двох крайових завдань: треба знайти розв'язок рівняння
, (3.146)
що задовольняє межові умови
(3. 147)
а в разі враховування механізму дифузійного відводу речовини на вході фільтраційного потоку (друга крайова задача) треба знайти розв'язок рівняння
(3. 148)
яке задовольняє межові умови
(3. 149)
Застосування методу відокремлювання змінних (метод Фур'є) призводить до розв'язку (у частках від c1):
(3. 150)
рис. 3.8.
де , функція визначається рівностями (3.144),(3.145), а коефіцієнти обчислюються за формулою
(3. 151)
Розв'язок крайової задачі (3.148)-(3.149) отримуємо у вигляді:
(3. 152)
де , коефіцієнти обчислюються за формулою
(3. 153)
а власні значення визначються із рівняння
(3. 154)
Графіки цих функцій наведено на мал. 3.9, 3.10.
Отже, отримані аналітичні розв'язки всіх основних крайових задач конвективної дифузії забруднюючих воду речовин за умови осереднення швидкості фільрації по просторовим координатах.
У разі змінної швидкості фільтрації вдається знайти числово-аналітичні розв'язки деяких стаціонарних завдань.
рис. 2.9.
рис.2.10.
4. Отримання аналітичних розв'язків при конвективній дифузії солей і гіпсів
Розглянемо крайові задачі, що з'являються при дослідженні конвективної дифузії солей, що залягають на глибині T, причому будемо припускати, що міграція солей або вилужування гіпсів здійснюється внаслідок фільтрації підземних вод під гідротехнічними спорудами, через земляні загати, перемички, дамби (мал. 3.За, б) або внаслідок зрошування територій і відводу підземних вод через дренажні споруди (мал. 3.3в, г). Відзначимо, що постановка крайових завдань конвективної дифузії солей, особливо в разі усталеного процеса, суттєво відрізняється від постановки крайових завдань, що розглянуті вище, які виникають при міграції забруднень. Питання про відшукання точних розв'язків завдань конвективної дифузії солей суттєво залежить від структури схеми фільтрації навіть у тому разі, коли область комплексного потенціала зображується у вигляді прямокутника (мал. 3.4).
Розглянемо спочатку стаціонарні крайові задачі. При завданні концентрації солей на межі із водоймами за досить великої їх ширини і при заданій концентрації солей (або гіпсів) на глибині T виникає задача: у прямокутнику ABCD, який є областю приведеного комплексного потенціала для схеми фільтрації мал. 3.5а знайти розв'язок рівняння (3.124) за крайових умов:
(4.1)
(4.2)
Розв'язок крайової задачі (3.124), (4.1),(4.2) шукатимемо у вигляді суми
(4.3)
Внаслідок підстановки (4.3) в (3.124) отримуємо відповідно задачі:
(4.4)
(4.5)
(4.6)
Розв'язок задачі (4.4) записується у вигляді (3.126). Застосуємо метод відокремлювання змінних до задачі (4.5), (4.6). Отримуємо розв'язок у вигляді ряду Фур'є. Отже, шуканий розв'язок можна записати у вигляді
(4.7)
де коефіцієнти визначаються рівністю
(4.8)
У разі швидкого відведення вод із нижнього б'єфа (або дренажного каналу) замість межової умови (4.1) необхідно використовувати умову:
(4.9)
Розв'язок відповідної задачі в цьому разі можна записати у вигляді
(4.10)
де коефіцієнти визначаються так:
(4.11)
причому власні значення визначаються за рівнянням (3.141).
Для схеми фільтрації, що розглядається, коли область комплексного потенціала зображується у вигляді прямокутника ABCD (мал. 3.4г), а швидкість фільтрації, що присутня в правій частині рівняння (3.110), осереднюється по області комплексного потенціала, розв'язки відповідних крайових завдань конвективної дифузії солей (або гіпсів) можна отримати також; за допомогою методу Фур'є. Зокрема, у разі інтенсивного відводу засолених вод цей розв'язок має вигляд
(4.12)
де визначається із рівняння (3.141); коефіцієнти - рівністю (4.11) при n=m, а коефіцієнти - такою рівністю:
. (4.13)
(4.14)
Графіки цих функцій наведено на мал. 4.1, 4.2.
рис. 4.1.
рис. 4.2.
5. ОХОРОНА ПРАЦІ
При роботі з обчислювальною технікою на користувачів діють наступні шкідливі та небезпечні фактори :
1. Електромагнітні поля;
2. Статична електрика;
3. Шум;
4. Незадовільна освітленість робочого місця;
5. Неправильна організація робочого місця та інші;
Дія цих небезпечних факторів може привести до певних "професійних" захворювань, найбільш розповсюдженими серед яких є:
1. Порушення зорового аналізатора;
2. Захворювання шкіри;
3. Кістково-м'язові порушення.
Більшість з цих проблем можуть бути мінімізованими при правильній організації робочого місця, дотриманні правил техніки безпеки і раціональному розподілі робочого часу.
5.1 Організація робочого місця
Важливу роль відіграє правильна організація робочого місця. При проектуванні враховується зручність розташування монітора, клавіатури, принтера та інших зовнішніх пристроїв, а також робоча поза користувача і простір для розміщення користувача. Для роботи використовуються столи з висотою робочої поверхні 700 мм. Ширина та глибина стола складають відповідно 1700 та 800 мм. Висота поверхні сидіння крісла користувача ПК регулюється в межах 400-550 мм. Ширина і глибина поверхні сидіння складають 450 мм. Поверхня сидіння плоска, передній край - заокруглений. Є можливість зміни кута нахилу поверхні від 15 градусів вперед до 15 градусів назад. Опорна поверхня спинки стільця має висоту 300, ширину 300 мм, і радіус кривизни горизонтальної площини - 400 мм. Кут нахилу спинки у вертикальній площині регулюється в межах 0 +/- 30 градусів від вертикального положення. Відстань спинки від переднього краю сидіння регулюється в межах 260-400 мм. Поверхня сидіння та спинки виконані з м’якого матеріалу, який легко очищується від бруду. Робочі столи з ПК розташовані на відстані 1,5 м від стіни з віконними прорізами і на відстані 1м від інших стін, відстань між столами складає 1,5 м. Екран монітору ПК знаходиться в центрі поля огляду на відстані більше 70 см від очей, верхня границя екрану знаходиться на рівні з очима. Клавіатура розташована на спеціальній підставці, яка розташована під поверхнею столу і може висуватися на відстань до 30 см від краю столу. Екран монітора розташований в площині, перпендикулярній нормальній лінії погляду користувача.
Розміщення робочих місць користувачів ПК відповідає ГОСТ 12.3.032-78, ГОСТ 21889-76, ГОСТ 22269-76.
5.2 Захист від електромагнітних випромінювань та електростатичних полів
Джерелами електромагнітних випромінювань у лабораторії являються монітори з ЕПТ. Навколо працюючого монітору виникають електромагнітні поля низької частоти (від 5 Гц до 400 КГц). Для захисту користувачів ПК від дії електромагнітних випромінювань використовуються заземлені захисні фільтри для екранів моніторів. Віддаль від екрану монітору до користувача становить 60 см. Час роботи за комп’ютером не перевищує 4 години на день. Значення напруженості електромагнітних полів на робочих місцях мають відповідати нормативним значенням. Рівні електромагнітного випромінювання та магнітних полів повинні відповідати вимогам СНіП 3206-85 "гранично допустимі рівні магнітних полів частотою 50 Гц" та ДСанПіН 3.3.2-007-98. Гранично допустима напруженість електростатичного поля на робочих місцях не повинна перевищувати рівнів, наведених в СНіП 1757-77 "санитарно-гигиенические нормы допустимой напряженности электростатического поля" та ДСанПіН 3.3.2-007-98.
-
Смуга частот, кГц
Електричне поле, в/м
Магнітне поле, нТл
0,005-2
25
250
2-400
2,5
25
Поверхневий електростатичний потенціал не перевищує 500 в;
Для захисту користувачів ПК від дії електромагнітних випромінювань використовують: встановлені заземлені захисні фільтри для екранів моніторів, які зменшує випромінювання видимого діапазону на 60 %, випромінювання elf+vlf на 99,6 %, збільшує контрастність в 50 разів; віддаль від екрану монітору до користувача становить 600-700 мм; режим праці та відпочинку тих, хто працює з ЕОМ - через 1 годину роботи - 15 хвилин перерва.
У приміщеннях, де знаходяться монітори, забезпечується виконання заходів по боротьбі із статичною електрикою - підтримується відносна вологість повітря на рівні 50-60% за допомогою побутового електрозволожувача “Іон”.
Відповідно до ГОСТ 12.4.124-83 №4459-88, використовуючи покриття підлоги на проходах і біля робочих місць виготовлене з антистатичного лінолеуму.
Статичне покриття підлоги обробляється антистатичними речовинами типу “лана-1”.
5.3 Електробезпека
Згідно ПУЕ 1.1.6 відносна вологість в приміщенні не перевищує 60%.
За ступенем небезпеки ураження людини електричним струмом згідно ПУЕ 1.1.13 лабораторію відносять до приміщення без підвищеної небезпеки, тому що відсутні ознаки, які характеризують приміщення небезпечні та особливо небезпечні.
Відповідно до пункту 2.1.15 “правил охорони праці під час експлуатації електронно-обчислювальних машин“ заземлені конструкції, що знаходяться в приміщеннях (батареї опалення, водопровідні труби, кабелі із заземленим відкритим екраном тощо), надійно захищені діелектричними щитками або сітками від випадкового дотику. Згідно пункту 2.1.16 у приміщенні з ЕОМ щоденно проводиться вологе прибирання, пункту 2.1.17 у приміщенні знаходяться медичні аптечки першої допомоги.
ЕОМ, периферійні пристрої ЕОМ та устаткування для обслуговування, ремонту та налагодження ЕОМ підключаються до електромережі тільки з допомогою справних штепсельних з'єднань і електро-розеток заводського виготовлення. Штепсельні з'єднання та електро-розетки крім контактів фазового та нульового робочого провідників мають спеціальні контакти для підключення нульового захисного провідника. Все обладнання має опір заземлення R 4Ом згідно ПУЕ 1.7.65.
5.4 Пожежна профілактика
Згідно ОНТП 24-86 (категорії приміщень за вибухо-пожежною та пожежною небезпекою) приміщення лабораторії відноситься до категорії В. Ступінь вогнестійкості будівель за СНіП 2.01.02-85 ІІІ. Можливим джерелом пожежі являється загорання ізоляції електрообладнання, яке відбувається внаслідок коротких замикань або перевантаження мережі. Для усунення небезпеки загорання встановлений електрощиток з запобіжниками, а також використовуються додаткові електронні стабілізатори напруги щоб запобігти перевантаженню блоків живлення комп’ютерів.
На випадок пожежі встановлений вогнегасник типу ОУ-2 (для гасіння використовується вуглекислий газ) та розрахований план евакуації персоналу офісу.
Пожежна профілактика повинна проводитися згідно правил пожежної безпеки України, затверджених наказом управління державної пожежної охорони МВС України від 22.06.95 № 400, зареєстрованих в міністерстві юстиції України 14.07.95 за № 219/755. Приміщення з ЕОМ, крім приміщень, в яких розміщуються ЕОМ типу ЕС, см та інші великі ЕОМ загального призначення, повинні бути оснащені системою автоматичної пожежної сигналізації відповідно до вимог переліку однотипних за призначенням об'єктів, які підлягають обладнанню автоматичними установками пожежогасіння та пожежної сигналізації, затвердженого наказом міністерства внутрішніх справ України від 20.11.97 № 779 і зареєстрованого в міністерстві юстиції України 28.11.97 за № 567/2371, з димовими пожежними оповіщувачами та переносними вуглекислотними вогнегасниками з розрахунку 2 шт. на кожні 20 м2 площі приміщення з урахуванням граничнодопустимих концентрацій вогнегасної рідини відповідно до вимог правил пожежної безпеки України. В інших приміщеннях допускається встановлювати теплові пожежні оповіщувачі.
Джерелами займання можуть бути електричні іскри, дуги, коротке замикання, струсові перевантаження, перегріті опірні поверхні, несправність обладнання. Кабельні лінії електроживлення виконані з спалимого ізоляційного матеріалу, тому є найбільш пожежонебезпечними елементами в конструкціях електрообладнання.
Для профілактики опір ізоляції встановлюється згідно ПУЕ 500КОм, для електричного захисту електричних мереж використовуються швидкодіючі реле, автоматичні вимикачі, запобіжники. Для збільшення площі дійсного дотику контактів використовуються пружні контакти.
Висновок.
Застосування математичного моделювання до гідроекологічних досліджень підземних вод, як правило, базується на рішенні крайових задач для рівнянь у частинних похідних. Розглядаються основні гідродинамічні моделі одномірного й двовимірного руху підземних вод і методи визначення основних характеристик фільтраційного потоку. Необхідність математичного моделювання різних фільтраційних потоків потрібно тому, що для вивчення процесів забруднення підземних вод різними речовинами, що надходять зі сховищ побутових і промислових відходів, з полів фільтрації стічних вод, зі ставків-охолоджувачів, ставків-накопичувачів і ставків-відстійників, а також з полів зрошення стічними водами, потрібно знати основні гідродинамічні характеристики підземного водного потоку: фільтраційна витрата, швидкість фільтрації, пористість, коефіцієнт фільтрації й ін. Коефіцієнт водовіддачі визначають лабораторними методами, а потужність водоносних горизонтів, швидкість фільтрації, а отже, і витрата - у натурних умовах, що є складним і дорогим процесом, а також недостатньо точним і надійним. Найбільш ефективний й надійний спосіб визначення основних фільтраційних характеристик - це розрахунковий метод із застосуванням математичного моделювання.
У роботі досліджуються питання математичного опису процесів зміни якості підземних вод при надходженні в них різних забруднюючих речовин, а також засоленні підземних вод при їхній взаємодії із засоленими ґрунтами, що спостерігається в результаті неправильного зрошення й підняття рівня підземних вод з високою концентрацією солей.Розглядаються основні методи моделювання процесів масопереносу з урахуванням дифузії (гідравлічної дисперсії) і трансформації забруднюючих речовин при двовимірній фільтрації підземних вод.
Список використаної літератури
Владимиров В.С. Уравнения математической физики.- М., 1976.
Колмогоров А.Н., Фомин С.В. Элементы теории функций и функционального анализа.- М., 1981.
Никифоров А.Ф., Уваров В.Б. Теория специальных функций.- М., 1974.
Положій Г.М. Рівняння математичної фізики.- К., 1959.
Перстюк М.О., Маринець М.М. Теорія рівнянь матфізики.- К., 1993.
Пелешенко В.І., Закревський Д.В. Гідрогеологія з основами інженерної геології. К. 2002.
Богомолов Г.В. Гидрогеология с основами инженерной геологии.- М., 1975.
Лаврик В.И. О двух краевых задачах неустановившейся конвективной дифузии в случае фильтрации грунтовых вод со свободной поверхностью //Укр.мат. журнал.-1976.-28, №5.-С.667-681.
Нравится материал? Поддержи автора!
Ещё документы из категории экология:
Чтобы скачать документ, порекомендуйте, пожалуйста, его своим друзьям в любой соц. сети.
После чего кнопка «СКАЧАТЬ» станет доступной!
Кнопочки находятся чуть ниже. Спасибо!
Кнопки:
Скачать документ