Очистка сточных вод поселка городского типа производительностью 6000 м3 сутки























































































































































































































Реферат
В данной работе рассмотрена полная биологическая очистка хозяйственно–бытовых сточных вод поселка городского типа с числом жителей 30000 человек. Заданная проектная производительность 6000 м3/сутки. В работе представлены технологическая схема биологической очистки стоков и ее описание. Исходя из состава и расхода бытовых сточных вод, с учетом необходимой степени очистки выполнен расчет основных технологических параметров, рассчитан основной аппарат – аэротенк-вытеснитель с регенератором, система аэрации и подобрано соответствующее вспомогательное оборудование. Комплекс очистных сооружений состоит из блока механической очистки, включающий решетки с механизированной очисткой, горизонтальные песколовки с круговым движением воды и первичный отстойник, блока биологической очистки, в которую входит аэротенк-вытеснитель с регенератором, вторичный отстойник, блок доочистки на механических фильтрах, ультрафиолетовое обеззараживание очищенной воды и минерализатор осадка.
Основными преимуществами данной установки являются: глубокая очистка до нормативов предельно допустимых концентраций рыбохозяйственных водоемов за счет чередования аэробных и аноксических процессов. В технико-экономическом разделе произведен расчет производственной мощности, инвестиционных и эксплуатационных затрат, рассчитана величина предотвращенного экологического ущерба. Также в ходе работы был проведен анализ опасных и вредных производственных факторов, классификация сооружений по пожаро- и взрывоопасности, огнестойкости, санитарной характеристике, разработана инструкция по безопасному выполнению работ, включающая общие мероприятия, порядок допуска к проведению работ, организацию контроля за безопасностью жизнедеятельности и применение индивидуальных средств защиты, рассчитано искусственное освещение.
Введение
В настоящее время процесс очистки сточных вод поселка городского типа имеет большое экологическое значение. Повышение требований к качеству очищаемых стоков заставляет искать более эффективные и экологически безопасные способы удаления загрязнений из сточных вод.
Основными загрязнениями сточных вод являются физиологические выделения людей и животных, отходы и отбросы, получающиеся при мытье продуктов питания, кухонной посуды, стирке белья, мытье помещений и поливке улиц, а также технологические потери, отходы и отбросы на промышленных предприятиях. Бытовые и многие производственные сточные воды содержат значительные количества органических веществ, способных быстро загнивать и служить питательной средой, обусловливающей возможность массового развития различных микроорганизмов, в том числе патогенных бактерий; некоторые производственные сточные воды содержат токсические примеси, оказывающие пагубное действие на людей, животных и рыб. Все это представляет серьезную угрозу для населения и требует немедленного удаления сточных вод за пределы жилой зоны и их очистки. Целью работы является разработка технологической схемы очистки сточных вод производительностью 6000 м3/сутки.
В соответствие с целью основными задачами данной работы являлось:
Изучение литературы по очистке сточных вод поселка городского типа;
Разработка технологической схемы для очистки сточных вод поселка городского типа производительностью 6000 м3/сутки;
Расчет материальных потоков в разработанной технологической схеме;
Расчет основного аппарата биологической очистки сточных вод;
Расчет и подбор вспомогательного оборудования;
Технико-экономическое обоснование реализации разработанной технологической схемы;
Организация безопасности жизнедеятельности при эксплуатации данных очистных сооружений.
В качестве основного аппарата для очистки сточных вод был выбран аэротенк-вытеснитель с регенератором, в котором процесс биохимической очистки происходит в две стадии. Обе стадии процесса осуществляются раздельно: в аэротенках происходит адсорбция и минерализация наиболее легко окисляющихся веществ, в регенераторе – завершение окисления сорбированных веществ и восстановление начальной активности ила.
В результате процесса доочистки на механических фильтрах предварительно очищенных другими методами сточных вод их БПКполн снижается до 3 мг О2/л и концентрация взвешенных веществ уменьшается до 5 мг/л.
Для обеззараживания очищенных стоков использовалась бактерицидная установка марки УДВ – 6/6 с длиной лучей 220 – 260 нм, где бактерицидное облучение действует почти мгновенно и, следовательно, вода, прошедшая через установку, может сразу же поступать непосредственно в систему оборотного водоснабжения или в водоем.
Данная технологическая схема позволяет эффективно производить очистку сточных вод поселка городского типа до уровня ПДК.
1. Литературный обзор
1.1 Краткая характеристика сточных вод
Бытовые сточные воды - образуются путём естественных потребностей человека (использование санитарно-технических приборов). Бытовые сточные воды образуются в жилых, административных и коммунальных зданий (бани, прачечные, дома отдыха и т.д.)
Производственные сточные воды - образуются в процессе производства (технические растворы, технологические и промывные воды, воды от мытья оборудования, охлаждения и т.д.)
Атмосферные сточные воды (дождевые, ливневые) образуются в процессе выпадения дождя и таянья снега.
Основными характеристиками сточных вод являются - количество сточных вод (л/сек, м3/сут, м3/смену, и т.д.), концентрации загрязнений (мг/л, г/м3), неравномерность поступления сточных вод. Отметим, что все эти характеристики необходимы для проектирования систем водоотведения (водоотводящие сети, очистные сооружения).
Содержание органических загрязнений оценивается химической потребностью в кислороде (ХПК) и биологической потребностью в кислороде (БПК). БПК измеряется количеством кислорода, которое расходуется микроорганизмами при аэробном биологическом разложении веществ, содержащихся в сточных водах, при стандартных условиях за определённый интервал времени [23].
1.2 Состав и загрязненность сточных вод
В городские сточные воды поступают хозяйственно–бытовые воды и стоки некоторых промышленных предприятий, расположенных в черте города. К хозяйственно–бытовым относятся сточные воды, поступающие из квартир, больниц, школ, гостиниц и других мест пребывания людей; воды из прачечных, бань, столовых и других коммунальных предприятий. От каждого человека в сутки в городскую канализацию поступает в среднем постоянное количество загрязнений (в г):
Взвешенные вещества…………………………….65
БПК5 осветленной жидкости……………………..35
БПК20 осветленной жидкости…………………….40
Азот аммонийных солей, N……………………….8
Фосфаты, P2O5…………………………………….1,7
Хлориды, Cl………………………………………..9
Хозяйственно – бытовые воды без примеси промышленных в настоящее время практически отсутствуют. Исключение составляют сточные воды некоторых курортных поселков, но и в них поступают стоки от гаражей, содержащие нефтепродукты и другие загрязнения, характерные для производственных сточных вод.
Особенность бытовых и, следовательно, городских сточных вод состоит в том, что в них содержится много микроорганизмов, среди которых могут присутствовать патогенные бактерии, возбудители кишечных инфекций. Бактерии составляют значительную часть органического вещества бытовых сточных вод. В 1 мл сточной жидкости миллионы и десятки миллионов бактерий. Хозяйственно – бытовые сточные воды также содержат большое количество яиц гельминтов [10].
Многочисленные данные показывают, что грубодисперсные вещества от общей массы загрязнений в среднем составляют 35,4, коллоиды – 14,3, растворенные вещества – 50,3%. Органических веществ в сточных водах содержится 53,7, минеральных – 46,3 %. Принято считать, что в бытовых сточных водах органические вещества составляют 58, а минеральные – 42% [24].
Все примеси бытовых сточных вод, независимо от их происхождения, делятся на 4 группы в соответствии с размером частиц:
Нерастворимые в воде грубодисперсные примеси, как органические, так и неорганические (микроорганизмы – простейшие, водоросли, грибы; бактерии и яйца гельминтов). При определенных условиях могут выпадать в осадок или всплывать на поверхность воды. Большая часть может быть выделена из воды посредством гравитационного осаждения;
Вещества коллоидной степени дисперсности с размером частиц менее 10-6 см (гидрофильные и гидрофобные коллоидные примеси, высокомолекулярные соединения). Малый размер частиц затрудняет их осаждение под действием силы тяжести. В зависимости от физических условий примеси могут изменять свое агрегатное состояние и выпадать в осадок;
Примеси молекулярной степени дисперсности с размером частиц менее 10-7 см, образующие при взаимодействии с водой растворы. Для очистки бытовых сточных вод от этих примесей необходимо применять биологические и физико-химические методы;
Примеси ионной степени дисперсности с размером частиц менее 10-8 см – растворы кислот, солей и оснований. Некоторые из них (аммонийные соли и фосфаты) удаляются из бытовых сточных вод в процессе биологической очистки, однако она не позволяет изменить солесодержание воды (для снижения их концентрации используются физико-химические методы очистки).
Согласно правилам и нормам параметры очищенных сточных вод, отводимых на рельеф или сбрасываемых в водоем, должны соответствовать величинам, приведенным в таблице 1 [24].
Таблица 1. Норма загрязнений
Показатель
Норма загрязнений, г/(чел*сут)
БПКполн
75
БПК5
60
Взвешенные вещества
65
Азот аммонийных солей N
8
Нитриты
Не нормируется
Нитраты
Не нормируется
Фосфаты P2O5
3,3
ПАВ
2,5
Таблица 2. Параметры очищенных (норматив) бытовых сточных вод (БСВ)
Параметры
Очищенные БСВ
Степень
очистки, %
водоем культурно-бытового использования
водоем рыбохозяйственного значения
БПКполн
БПК5
Взвешенные вещества
Азот аммонийный
Нитриты
Нитраты
Фосфаты
ПАВ
Яйца гельминтов и вирусы
6
8
10
2
3,3
45
3,5
0,5
Не допускаются
3
4
прирост менее 0,25
0,4
0,02
9
0,5
0,1
Не допускаются
98 / 99
97 / 99
97 / …
75 / 95
-
-
79 / 97
96 / 99
-
Повышенный интерес к малым системам биологической очистки связан, прежде всего, с тем, что в соответствии с современными требованиями бытовые сточные воды не могут быть сброшены в водоем или на рельеф без предварительной очистки.
Количество разрешенных к сбросу загрязняющих веществ (т/год) рассчитывается ежегодно, исходя из допустимой концентрации загрязняющего вещества (мг/дм3) и планируемого объема сброса сточной воды (тыс. м3/год) с учетом производственной программы.
Утвержденные свойства сточной воды [14]:
1) плавающие примеси (вещества) – отсутствие;
2) окраска - отсутствие в слое 0,2 м;
3) запахи, привкусы – отсутствие;
4) температура - не более 25 °С;
5) реакция рН – 6,5 – 8,5;
6) общие колиформные бактерии - не более 500 КОЕ /100 см3 ;
7) растворенный кислород - зимой подо льдом должно быть не менее 4 мг/дм3, летом - не менее 6 мг/дм3.
Утвержденный биологический состав сточной воды[ 23]:
1. Возбудители заболеваний – вода не должна содержать возбудителей заболеваний, в том числе жизнеспособные яйца гельминтов (аскарид, власоглав, токсокар, фасциол), онкосферы теннид и жизнеспособные цисты патогенный кишечных простейших.
2. Токсичность воды. Сточная вода на выпуске в водный объект не должна оказывать острого токсичного действия на тест-объекты. Вода водного объекта не должна оказывать хронического токсичного действия на тест-объекты.
Для предохранения гидроресурсов от качественного истощения и предотвращения загрязнения поверхностных вод важная роль отводится очистным сооружениям. Освобождение сточных вод от загрязнения - сложное производство. В нем, как и в любом другом производстве имеется сырье (сточные воды) и готовая продукция (очищенная вода).
Для очистки сточных вод используются различные методы:
-механические,
-биологические (или биохимические),
-химические и физико - химические,
-электрохимические,
-глубокая очистка (доочистка после полной биологической очистки),
-термического обезвреживания,
-обеззараживания и обработка осадка.
Очистка сточных вод поселка городского типа представляет собой совокупность различных методов, представляющих последовательно очистить воду от крупных примесей (бумаги, тряпья, кухонных отбросов), тяжелых примесей (песка, шлака), коллоидных и растворенных органических загрязнений и обезвредить ее от патогенной микрофлоры.
Загрязнения, от которых последовательно освобождается вода, аккумулируются в виде сгущенных суспензий (осадков сточных вод) и также подвергаются обработке, цель которой обезвредить осадки в санитарном и эпидемиологическом отношении. После обработки осадки могут применяться в сельском хозяйстве в качестве удобрений, или утилизироваться какими–либо иным способами. Наиболее целесообразным следует считать использование обезвреженных осадков в сельском хозяйстве; этим обеспечивается замкнутый круговорот веществ в природе и поддерживается общее равновесие в биосфере [14].
Весь комплекс сооружений очистки сточной воды можно разделить на пять групп:
механической очистки;
биологической очистки;
доочистки воды;
дезинфекция воды;
обработка осадков.
Механическая очистка производится для выделения из сточной воды находящихся в ней нерастворенных грубодисперсных примесей путем процеживания, отстаивания и фильтрования. Для задержания крупных загрязнений и частично взвешенных веществ применяют процеживание воды через различного рода решетки и сита. Для выделения из сточной воды взвешенных веществ, частицы которых имеют большую или меньшую плотность, чем плотность воды, применяют отстаивание. При этом тяжелые частицы осаждаются на дно под действием силы тяжести, а легкие всплывают на поверхность. Взвешенные частицы минерального происхождения, главным образом песка, выделяют из сточных вод путем осаждения в сооружениях, называемых песколовками. Основную массу более мелкой взвеси, преимущественно органического характера, выделяют из сточных вод в отстойниках.
Биологические методы очистки основаны на жизнедеятельности микроорганизмов, которые способствуют окислению или восстановлению органических веществ, находящихся в сточных водах в виде тонких суспензий, коллоидов и в растворе и являющихся для микроорганизмов источником питания, в результате чего и происходит очистка сточных вод от органических загрязнений.
Интенсивностью процесса очистки сточных вод в сооружениях биологической очистки определяется окислительной мощностью сооружения, под которой понимается число граммов кислорода, получаемое с 1 м3 сооружения в сутки и используемое для снижения биологической потребности в кислороде сточных вод, окисления аммонийных солей до нитритов и нитратов, а также для повышения содержания в сточных водах растворенного кислорода. Окислительная мощность для различных сооружений колеблется в широких пределах [13].
Существующие очистные сооружения в основном не обеспечивают нормативные требования к сбросу сточных вод, поэтому требуется их доочистка [23]. Наиболее широкое распространение в качестве сооружений для доочистки получили песчаные фильтры, главным образом двух- и многослойные, а также контактные осветлители; микрофильтры применяются реже. Снижение концентрации трудноокисляемых веществ, фиксируемое значением ХПК очищенных вод, возможно методом сорбции, например активированным углем, и химическим окислением, например путем озонирования. Снижение концентрации солей возможно методами обессоливания, применяемыми в практике водоподготовки [13].
Из практики очистки сточных вод известно, что при первичном отстаивании количество бактерий группы кишечной палочки сокращается на 30 – 40%, а после вторичных отстойников на 90 – 95% [8]. Следовательно, для полного освобождения сточных вод от патогенных бактерий и вирусов необходимо применение специальных методов обеззараживания.
Для дезинфекции сточных вод применяется хлорирование, озонирование, ультрафиолетовое излучение. В настоящее время большое внимание уделяется обеззараживанию воды ультрафиолетовым облучением. Этот способ не требует введения в воду химических реагентов, не влияет на вкус и запах воды и действует не только на бактерицидную флору, но и бактериальные споры. Бактерицидное облучение действует почти мгновенно и, следовательно, вода, прошедшая через установку, может сразу же поступать непосредственно в систему оборотного водоснабжения или в водоем [6].
Методы обработки осадка. При очистке сточных вод любым из описанных выше методов образуется осадок вследствие выпадения нерастворенных веществ в первичных отстойниках. Кроме того, в результате биологической очистки образуется большое количество осадка, который выделяется во вторичных отстойниках. Осадок состоит из твердых веществ, сильно разбавленных водой. В сыром состоянии при очистке бытовых и некоторых производственных вод этот осадок имеет неприятный запах и является опасным в санитарном отношении, так как содержит огромное количество бактерий (в том числе могут быть и болезнетворные) и яиц гельминтов. Для уменьшения количества органических веществ в осадке и придания ему лучших санитарных показателей осадок подвергают воздействию анаэробных микроорганизмов (сбраживанию) и аэробной стабилизации ила в соответствующих сооружениях. К анаэробным сооружениям относятся септики, двухъярусные отстойники, метантенки.
Для уменьшения влажности осадка сточных вод и его объема служат иловые пруды (для небольших станций) и иловые площадки. Для обезвоживания осадка применяются различные механические приемы — вакуум-фильтрация, фильтрпрессование, центрифугирование. Создаются эффективные аппараты по термической сушке и сжиганию осадков [13].
1.3 Очистные сооружения малых городов и поселков городского типа
Норма водоотведения бытовых вод в малых населенных пунктах при наличии благоустроенных домов не превышает 200 л/сутки на одного жителя. Проектирование, строительство и эксплуатация малой канализации производятся с соблюдением общих основных положений. Очистные сооружения этой системы канализации размещают на территории объекта при канализовании отдельных зданий или вне его при канализовании населенных пунктов; в обоих случаях соблюдаются установленные санитарно-защитные зоны — разрывы.
Выбор способа очистки небольших количеств сточных вод, комплекса очистных сооружений, их типов и конструкций в значительной степени зависит от местных условий: возможности выделения площади земли под очистные сооружения, удаленности этой площади от жилья, топографии местности, грунтовых, гидрологических и климатических условий, характера и места расположения водоема, в который могут быть спущены очищенные воды.
Для канализации в малых населенных пунктах создаются групповые системы водоотведения, обслуживающие группы населенных мест, с крупными сооружениями для очистки и обеззараживания сточной воды или устраиваются локальные системы водоотведения малой производительности, обслуживающие отдельные населенные пункты, группы зданий, отдельные коммунальные сооружения, с малыми установками для очистки и обеззараживания воды. Групповые системы водоотведения сооружают в районах с высокой плотностью населения и близко расположенными населенными пунктами; локальные системы — в районах со сравнительно низкой плотностью населения при территориальной отдаленности населенных пунктов, а также для пионерских лагерей, домов отдыха, санаториев и кемпингов. Установки для очистки и обеззараживания воды должны быть просты в изготовлении и эксплуатации и обслуживаться минимальным количеством персонала. Установки должны обеспечить высокую надежность технологических процессов очистки и обеззараживания воды при использовании доступных реагентов, доставка и хранение которых не связаны с трудностями [13].
В малых и поселковых системах канализации в качестве очистных сооружений рекомендуется применять:
- решетки с ручной чисткой;
- песколовки (при производительности 200 м3/сутки и более);
- фильтрующие колодцы;
- септики или двухъярусные отстойники;
- подземные поля фильтрации, аэробные биологические пруды, биофильтры, циркуляционные окислительные каналы и аэротенки, работающие по принципу продленной аэрации;
- вторичные отстойники;
- хлораторные и контактные резервуары;
- иловые площадки.
Также могут применяться аэрационные установки с аэробной стабилизацией избыточного активного ила при полной и неполной биологической очистке сточных вод.
Очистные сооружения следует располагать (по отношению к ближайшему жилому зданию или к группе зданий) с подветренной стороны преобладающего направления ветров теплого периода года на определенных расстояниях и одновременно ниже по течению грунтовых вод от водозаборных сооружений, питающихся этими водами.
Очистные сооружения проектируются из условий возможности эксплуатации их либо жителями канализуемого объекта (местные очистные сооружения), либо обслуживаемые техническим персоналом (поселковые очистные сооружения) [19].
1.4 Примеры очистных сооружений малых городов и поселков городского типа
К очистным сооружениям малых городов и посёлков городского типа следует отнести станции пропускной способностью от 500 – 10000 м3 /сут. Характерной особенностью небольших населённых пунктов является не только высокий коэффициент неравномерности поступления сточных вод на очистку, изменяющийся от 1,55 до 2,5 и выше, но во многих случаях резкие изменения концентрации загрязнений в сточных водах за счёт поступления промышленных стоков. По данным обследований, многие ранее запроектированные и построенные очистные сооружения небольших населённых пунктов либо вообще не работают, либо работают со значительной перегрузкой по воде и концентрациям загрязнений. В зарубежной практике для уменьшения влияния неравномерности притока и колебаний качественного состава загрязнений в технологическую схему введены усреднители.
Другой особенностью очистных сооружений небольших населённых пунктов является применение упрощенных технологических схем с использованием сооружений заводской готовности. Это связано с тем, что для изготовления этих очистных сооружений используют обычную конструкционную сталь марки СтЗ без специальной обработки металла. Поэтому при разработке современных очистных сооружений необходимо использовать или нержавеющую сталь или изготавливать сооружения из монолитного железобетона.
Станции пропускной способностью 500-15000 м3/суток с применением биофильтров с плоскостной загрузкой
Технологическая схема очистки сточных вод с применением биофильтров с плоскостной загрузкой включает следующие сооружения:
- приёмная камера и решетки;
- тангенциальные песколовки;
- первичный вертикальный отстойник;
- насосная станция биофильтров;
- биореакторы доочистки сточных вод;
- сооружения дезинфекции сточных вод на установках ультрафио летового облучения или хлораторная на жидком гипохлорите;
- производственно-вспомогательное здание (компрессорная для ре генерации биореакторов, ленточные фильтр-прессы для обработки смеси сырого осадка и омертвевшей биоплёнки);
- песковые бункера или площадки;
- аварийные иловые площадки.
На рисунке 1 приведена технологическая схема станции биофильтрации пропускной способностью 1000-10000 м3 /сут. Основным элементом биологической очистки является биофильтр с плоскостной загрузкой. Из всех приведённых выше технологических схем очистки сточных вод небольших населённых пунктов наиболее простой в эксплуатации является очистка сточных вод на биофильтрах с плоскостной загрузкой.
Сточные воды, поступающие в приёмную камеру очистных сооружений, проходят очистку на решётках и далее в песколовках и первичных вертикальных отстойниках. После механической очистки сточная вода собирается в насосной станции с погружными насосами, которые подают её в оросительную сеть биофильтров. В качестве оросителей биофильтров принята водоструйная система орошения, которая обеспечивает равномерное орошение поверхности загрузочного материала. Высоту слоя загрузочного материала биофильтров следует принять 6 м.
Рисунок 1. Технологическая схема сооружений по очистке сточных вод населённого пункта на биофильтрах с плоскостной загрузкой пропускной способностью 1000-10000 м3/сут:
У - поступающая сточная вода; 2 - приемная камера с решёткой; 3 - тангенциальные песколовки; 4 - первичный вертикальный отстойник; 5 - насосная станция биофильтров; 6 - биофильтры с плоскостной загрузкой; 7 - вторичный вертикальный отстойник; 8 - биореактор доочистки; 9 - жидкий гипохлорит натрия; 10 - контактные резервуары; // - очищенная сточная вода; 12 - фильтр-пресс; 13 - аварийные иловые площадки; 14 - песковые площадки или бункера.
После биологической очистки в биофильтрах с плоскостной загрузкой очищенная сточная вода проходит осветление во вторичных отстойниках, доочистку в биореакторах и после дезинфекции сбрасывается в водоём [23].
Станции пропускной способностью 500 -1500 м3/суток
В зависимости от применяемых сооружений биологической очистки возможно использовать три технологические схемы очистки сточных вод.
В первой схеме в качестве сооружений биологической очистки используются аэротенки с продлённой аэрацией (или аэротенки отстойники, работающие на полное окисление), во второй схеме используются усреднители и аэротенки с одноиловой системой денитри-нитрификации (аэротенки могут быть с затопленной загрузкой или без неё). В третьей схеме биологическая очистка осуществляется на биофильтрах с плоскостной загрузкой.
Технологическая схема сооружений пропускной способностью 100 - 1000 м3/сутки включает:
- немеханизированные решётки с ручной очисткой;
- тангенциальные песколовки;
- аэротенки-отстойники с продлённой аэрацией;
- биореакторы доочистки сточных вод;
- контактные резервуары;
- аэробный стабилизатор активного ила; песковые и иловые площадки.
На рисунке 2 приведена технологическая схема сооружений по очистке сточных вод населенного пункта пропускной способностью 500 м3/сут.
Рисунок 2. Технологическая схема сооружений по очистке сточных вод пропускной способностью 500 м3/сутки.
1 – поступающая сточная вода; 2 – приемная камера с решеткой; 3 – тангенциальная песколовка; 4 – аэротенк продленной аэрации; 5 – вторичный отстойник; 6 – аэробный стабилизатор активного ила; 7 – биореактор доочистки; 8 – гипохлорит натрия; 9 – контактный резервуар; 10 – очищенная сточная вода; 11 – аэрационная система регенерации биореактора; 12 – аэрационная система; 13 – иловые площадки.
Очистные сооружения обслуживают населенные пункты с населением 2000 жителей.
К приёмной камере с установленной там решёткой сточные воды подаются погружными насосами из насосной станции, находящейся на территории очистных сооружений. Далее сточные воды поступают в двухсекционную тангенциальную песколовку.
Биологическая очистка на очистных сооружениях проходит в аэробном режиме с длительностью пребывания воды 16 ч. Воздух распределяется через дырчатые трубы, диаметр отверстий составляет 3 мм.
Очищенные воды отделяются от осадка в четырёх отстойниках, время отстаивания составляет 3,2 ч. Рециркуляционный активный ил направляется в начало аэротенков, а избыточный активный ил - в аэробные стабилизаторы с уплотнителем, встроенные в общий блок сооружений.
После вторичных отстойников вода доочищаетея в четырёх биологических реакторах, установленных отдельно и сблокированных с контактными резервуарами. Для загрузки биореакторов был использован загрузочный материал «Контур». Осадок после регенерации фильтра откачивается эрлифтами во вторичный отстойник.
После фильтрации общий поток сточной воды поступает в четыре контактных резервуара и далее самотеком направляется в насосную станцию, которая перекачивает се для сброса в водоём.
Избыточный активный ил после аэробной стабилизации в течение 7 суток и уплотнения, направляется на две иловые площадки размером 18x18 м. Обезвоженный активный ил после подсушивания вывозится с территории очистных сооружений на специализированный полигон [23].
1.5 Биохимические основы методов биологической очистки сточных вод
Биологические методы очистки сточных вод основываются на естественных процессах жизнедеятельности гетеротрофных микроорганизмов. Микроорганизмы, как известно, обладают целым рядом особых свойств, из которых следует выделить три основных, широко используемых для целей очистки:
Способность потреблять в качестве источников питания самые разнообразные органические (и некоторые неорганические) соединения для получения энергии обеспечения своего функционирования.
Во-вторых, это свойство быстро размножаться. В среднем число бактериальных клеток удваивается каждые 30 минут.
Способность образовывать колонии и скопления, которые сравнительно легко можно отделить от очищенной воды после завершения процессов изъятия содержавшихся в них загрязнений. [24]
В живой микробиальной клетке непрерывно и одновременно протекают два процесса - распад молекул (катаболизм) и их синтез (анаболизм), составляющие в целом процесс обмена веществ - метаболизм. Иными словами, процессы деструкции потребляемых микроорганизмами органических соединений неразрывно связаны с процессами биосинтеза новых микробиальных клеток, различных промежуточных или конечных продуктов, на проведение которых расходуется энергия, получаемая микробиальной клеткой в результате потребления питательных веществ. Значительная часть продуктов микробной трансформации может выделяться клеткой в окружающую среду или накапливаться в ней. Некоторые промежуточные продукты служат питательным резервом, который клетка использует после истощения основного питания.[13]
Процессы биохимического окисления у гетеротрофных микроорганизмов делят на три группы в зависимости от того, что является конечным акцептором водородных атомов или электронов, отщепляемых от окисляемого субстрата. Если акцептором является кислород, то этот процесс называют клеточным дыханием или просто дыханием; если акцептор водорода органическое вещество, то процесс окисления называют брожением; наконец, если акцептором водорода является неорганическое вещество типа нитратов, сульфатов и других, то процесс называют анаэробным дыханием, или просто анаэробным [24].
Наиболее полным является процесс аэробного окисления, т.к. его продукты - вещества, не способные к дальнейшему разложению в микробиальной клетке и не содержащие запаса энергии, которая могла бы быть высвобождена обычными химическими реакциями. Аэробную биологическую очистку можно условно разделить на два вида: с очисткой в условиях, близких к естественным; с очисткой в искусственно созданных условиях.
К первому виду относятся поля фильтрации и орошения (земельные участки, в которых очистка происходит за счет фильтрации через слой грунта), а также биологические пруды (неглубокие водоемы, в которых происходит очистка, основанная на самоочищении водоемов).
Второй вид составляют такие сооружения, как биофильтры и аэротенки. Биофильтр – резервуар с фильтрующим материалом, поверхность которого покрыта биологической пленкой (колония микроорганизмов, способных сорбировать и окислять органические вещества из сточных вод). Аэротенк – резервуар, в котором очищаемые стоки смешиваются с активным илом (биоценоз микроорганизмов, также способных поглощать органику из стоков) [23].
В процессе биологической очистки сточных вод в аэротенках растворенные органические вещества, а также неосаждающиеся тонкодиспергированные и коллоидные вещества переходят в активный ил, обуславливая прирост исходной биомассы. Чтобы не допустить повышения дозы ила против оптимальных значений, что привело бы к повышенному выносу взвешенных веществ из вторичных отстойников, в аэротенк возвращается лишь то количество ила, которое поддерживает его расчетную рабочую дозу в нем. Остальной ил в виде избыточного, т.е. не требующегося для целей биологической очистки, удаляется из системы аэротенк - илоотделитель на обработку и ликвидацию. Схема реализации биологического процесса очистки сточной воды в проточном режиме в аэротенках с возвратом ила из вторичных отстойников и выведением избыточного ила на обработку получила название классической аэрации.
Эта схема включает аэрационные и отстойные сооружения, оборудование и коммуникации для подачи и распределения сточных вод по аэротенкам, сбора и подачи иловой смеси на илоотделение, отведения очищенной воды, обеспечения возврата в аэротенки циркуляционного активного ила и удаления избыточного ила, подачи и распределения воздуха в аэротенках (рисунок 3).
Рисунок 3. Классическая схема биологической очистки сточных вод.
1 - сточная вода после первичных отстойников; 2 - аэротенк; 3 - иловая смесь из аэротенков; 4 - вторичный отстойник; 5 - очищенная вода; 6 - иловая камера; 7,8 - циркуляционный и избыточный активный ил соответственно; 9 - воздух из воздуходувок; 10 - аэрационная система для подачи и распределения воздуха в аэротенке.
По этой схеме активный ил подается сосредоточенно на вход в аэротенк, туда же подается и подлежащая биологической очистке сточная вода после первичного отстаивания. В результате смешения воды и активного ила образуется иловая смесь. В процессе ее движения к выходу из аэротенка обеспечивается необходимая для протекания биохимических реакций длительность контакта активного ила с загрязнениями. Пребывание иловой смеси в отстойных сооружениях приводит к ее разделению под действием гравитационных сил на биологически очищенную воду и активный ил, оседающий и уплотняющийся в нижней иловой части отстойного сооружения. Концентрация ила в ней за время разделения иловой смеси может достигать 6-10 г/л по сухому веществу в зависимости от концентрации ила в поступающей иловой смеси, условий отстаивания и конструктивных особенностей отстойного сооружения [23]. Избыточный активный ил, образовавшийся в результате роста микроорганизмов, поступает на иловые площадки с последующим сжиганием его после обезвоживания.
1.6 Принципы очистки сточных вод в аэртенках
В аэрационных сооружениях микробиальная масса пребывает во взвешенном в жидкости состоянии в виде отдельных хлопьев, представляющих собой зооглейные скопления микроорганизмов, простейших и более высокоорганизованных представителей фауны (коловратки, черви, личинки насекомых), а также водных грибов и дрожжей. Этот биоценоз организмов, развивающихся в аэробных условиях на органических загрязнениях, содержащихся в сточной воде, получил название активного ила. Доминирующая роль в нем принадлежит различным группам бактерий - одноклеточным подвижным микроорганизмам с достаточно прочной внешней мембраной, способным не только извлекать из воды растворенные и взвешенные в ней органические вещества, но и самоорганизовываться в колонии — хлопья, сравнительно легко отделимые затем от очищенной воды отстаиванием или флотацией [15].
Хлопьеобразующая способность активного ила зависит главным образом от наличия питательных веществ: при слишком высоком их содержании происходят рассеивание колоний и появление нитчатых форм микроорганизмов; при их недостатке, хотя нитчатые формы микроорганизмов практически отсутствуют, размеры хлопьев ила уменьшаются и ухудшаются его седиментационные свойства. Бактерии имеют такую высокую скорость воспроизводства, что в условиях избыточного питания и отсутствия внешних сдерживающих их рост факторов 1 мг бактерий за 1 сут может привести к образованию десятков тонн живой микробиальной массы. Собственно на этой способности к быстрому размножению и, следовательно, высокой скорости потребления питательных веществ и основано использование биологических методов очистки сточных вод.
Роль других микроорганизмов и простейших в активном иле заключается в поддержании определенного равновесия видового и количественного состава ила, хорошо приспособленного к тем или иным условиям, господствующим в аэрационном сооружении, а также полноты протекания биохимических превращений, которым подвергаются органические соединения.
По современным представлениям, активный ил — это скопление микроорганизмов, в которых клетки окутаны густой «паутиной» растворимых или слаборастворимых внеклеточных полимерных образований, состоящих из полисахаридов, протеинов, рибонуклеиновых и дезоксинуклеиновых кислот (РНК, ДНК), которые содержат много "ключевых" функциональных групп (карбоксильные, гидроксильные, сульфогидрильные и др.), ведущих себя как анионные связующие площадки. Биохимическое и биофизическое взаимодействие между хлопьями ила и загрязнениями позволяет довольно быстро извлекать из воды и нерастворенные загрязнения за счет сорбции их активном илом, хотя они и не успевают гидролизоваться клеточным веществом. Следует отметить, что суммарная поверхность микроорганизмов достигает 100 м2 на 1 г сухого вещества ила, что в свою очередь объясняет огромную сорбционную способность ила и потребность в эффективном перемешивании содержимого бассейна. Однако основная масса изъятых таким образом мелкодисперсных и коллоидных загрязнений, не задержанных в первичных отстойниках, не гидролизуется и, следовательно, не окисляется активным илом, что приводит лишь к весовому увеличению массы ила в аэрационном сооружении [17].
С инженерной точки зрения определяющими для технологического и конструктивного оформления процесса биологической очистки будут являться скорости изъятия загрязнений из очищаемой воды, т.е. собственно процесса очистки воды и скорости биохимического разложения изымаемых
загрязнений. В этой связи представляют интерес основные закономерности развития колонии микроорганизмов, вводимой в контакт с жидкостью, содержащей питательные вещества, при достаточном обеспечении ее растворенным кислородом. В этом развитии можно выделить следующие фазы:
I - лаг-фазу, или фазу адаптации, которая наблюдается сразу после введения микробиальной культуры в контакт с питательной средой, и в которой практически не происходит прироста биомассы. Длительность этой фазы зависит как от природы органических веществ и степени адаптированности микроорганизмов к ним, так и от условий, в которые вносится микробиальная масса;
II - фазу экспоненциального роста микроорганизмов, в которой избыток питательных веществ и отсутствие продуктов обмена веществ способствуют поддержанию максимально возможной в данных условиях скорости размножения клеток, определяемой лишь биологической сущностью процесса их воспроизводства;
III - фазу замедленного роста, в которой скорость роста биомассы начинает все более сдерживаться по мере истощения питательных веществ и накопления продуктов метаболизма в культуральной среде;
IV - фазу прекращения роста, в которой наблюдается практически стационарное состояние в количестве биомассы, свидетельствующее о равновесии между наличием питательных веществ и накопленной биологической массой;
V - фазу эндогенного дыхания (или фазу самоокисления), в которой из-за недостатка питания начинаются отмирание и распад клеток, ведущие к снижению общего количества биомассы в биологическом реакторе.
Рисунок 4. Зависимость прироста биомассы в аэробных условиях от концентрации питательных веществ [7].
Из рисунка 4 видно, что отмеченным фазам роста микробиальной массы соответствует и динамика изменения концентрации питательных веществ, выраженных через БПК, и, следовательно, можно сделать следующие весьма важные для технической реализации процесса заключения:
• при биологической очистке значительная часть загрязнений, содержащихся в сточных водах, трансформируется в биологическую массу или, иными словами, растворенные и инертные взвешенные органические вещества в результате метаболической активности микроорганизмов и сорбционной способности активного ила превращаются в биологическую массу, сравнительно легко отделимую от очищенной воды;
• длительность изъятия и окисления, содержащихся в сточной воде органических загрязнений будет тем короче, чем дольше масса микроорганизмов будет в контакте с ними;
• при падении содержания органических веществ в очищаемой жидкости ниже определенного предела жизнедеятельность микроорганизмов продолжается, но уже либо за счет накопленных питательных веществ, либо за счет их собственной массы, т.е. отмирания и окисления микроорганизмов со снижением общей их массы (процесс самоокисления).
В большинстве применяемых в настоящее время систем очистки в аэротенках процесс отделения активного ила осуществляется гравитационным путем, т.е. отстаиванием, при котором активный ил осаждается на дно отстойного сооружения и несколько уплотняется, после чего может быть возвращен в аэрационное сооружение. Если ил будет плохо осаждаться в отстойных сооружениях, то его вынос с очищенной водой ухудшает качество очищенной воды, а в некоторых случаях не позволяет поддерживать в аэрационном сооружении требуемую дозу активного ила. Иными словами, если попытаться установить произвольно высокую концентрацию ила в аэрационном сооружении, то при переходе иловой смеси в сооружение для отделения ила путем его осаждения последний будет постепенно выноситься вместе с очищенной водой, и в аэрационном сооружении установится концентрация активного ила, соответствующая иловому индексу для данных условий. Хорошо оседающий ил имеет иловый индекс от 60 – 90 до 120 – 150 мл/г в зависимости от технологического режима работы аэрационных сооружений и состава сточных вод. Как перегрузка, так и недогрузка активного ила по загрязнениям приводят к резкому увеличению илового индекса, названному «вспуханием» ила, и повышенному выносу его с очищенной сточной водой [15].
1.7 Классификация аэротенков
По существующим представлениям «аэротенк представляет собой резервуар, в котором медленно протекает смесь активного ила и очищенной сточной жидкости». Рассмотрим классификацию аэротнков по основным признакам:
по гидродинамическому режиму – аэротенки–вытеснители, аэротенки–смесители и аэротенки с рассредоточенным впуском сточной жидкости (аэротенки промежуточного типа);
по способу регенерирования активного ила – аэротенки с отдельной регенерацией и аэротенки без отдельной регенерации активного ила;
по нагрузкам на активный ил – высоконагружаемые (аэротенки на неполную очистку), обычные и низконагружаемые (аэротенки продленной аэрации);
по количеству ступеней очистки – одно-, двух- и многоступенчатые аэротенки. При этом под ступенью очистки следует понимать часть общей биохимической системы, в которой поддерживается специфическая культура активного ила;
по режиму ввода сточной жидкости – проточные, полупроточные, с переменным рабочим уровнем и контактные.
Конструкции применяемых аэротенков подразделяются по способу подачи сточных вод и их потоку на три основных типа:
вытеснители (рисунок 5) с «поршневым» потоком сточных вод;
смесители с рассредоточенной или центральной (рисунок 6) подачей и выпуском сточных вод;
аэротенки промежуточного типа (рисунок 7).
Рисунок 5. Схема движения сточных вод в четырехкоридорном аэротенке-вытеснителе.
Рисунок 6. Схема аэротенка-смесителя с центральным подводом сточных вод и ила в аэрационную зону.
Рисунок 7. Схема движения сточных вод в аэротенке промежуточного типа: смесителе-вытеснителе.
В основу схем работы аэротенков с регенераторами положены представления о стадийном характере процесса биохимической очистки сточных вод. Согласно данной концепции, первая стадия процесса – адсорбция или изъятие органических загрязнений активным илом – происходит более быстро, чем последующее их окисление. Поэтому обе стадии процесса осуществляются раздельно: в аэротенке происходит адсорбция и минерализация наиболее легко окисляющихся веществ, в регенераторе – завершение окисления сорбированных веществ и восстановление начальной активности ила.
Аэротенки с регенераторами в настоящее время применяются на многих городских станциях аэрации, рассчитанных на полную биохимическую очистку, а также на предприятиях различных отраслей промышленности [9,15].
1.8 Интенсификация биологической очистки сточных вод в аэротенках
Под интенсификацией понимается не только повышение окислительной мощности, но и повышение эффекта или глубины очистки сточных вод в них, равно как и всемерное сокращение затрат на обработку единицы объема очищаемой жидкости.
Введение периодической аэрации. Существенным фактором снижения энергозатрат в процессе биологической очистки сточных вод в аэротенках может служить использование некоторых закономерностей протекания биохимических процессов микробиального изъятия из раствора и последующей трансформации органических веществ. Одним из неизбежно образующихся продуктов первичной трансформации органических соединений является пероксид водорода, который может накапливаться либо в клетках микроорганизмов, либо выделяться в окружающую жидкость. В любом случае пероксид водорода можно рассматривать как определенный запас кислорода, поскольку под воздействием фермента каталазы или пероксидазы он расщепляется на кислород и воду. Это означает, что временное прекращение подачи воздуха в аэротенк не приведет к возникновению анаэробных условий. В силу этого, постоянная аэрация иловой смеси в аэротенке не является необходимой и, следовательно, может быть применена периодической аэрацией без ущерба для протекания аэробных процессов или для глубины очистки воды. Снижение энергозатрат при периодической аэрации происходит за счет двух основных факторов. Первый - это использование при перерыве образующихся в период аэрации количеств пероксида водорода. Второй - периодическое снижение концентрации растворенного в жидкости кислорода повышает интенсивность его переноса из воздуха в жидкость при возобновлении аэрации. По сравнению с непрерывной аэрацией периодическая аэрация позволяет уменьшить затраты электроэнергии на 25-30% [11].
Особо следует подчеркнуть важность введения периодической аэрации иловых смесей в системах с биологическим удалением соединений азота методом нитрификации - денитрификации. В последние годы это направление использования аэротенков всесторонне исследуется и достаточно широко используется в целях глубокого удаления соединений азота одновременно с биологической очисткой воды. Наиболее широкое распространение получили две базовые схемы работы аэротенков: схема работы по одноиловой системе и схема работы по двухиловой системе удаления азота. При этом следует отметить, что предложено и разработано значительное количество различных модификаций этих схем, направленных на оптимизацию очистных процессов и снижение капитальных и эксплуатационных затрат.
Увеличение массы активного ила, участвующего в процессе очистки. Повышение концентрации активного ила в аэротенках является основным из возможных путей интенсификации их работы. Считается, что с повышением дозы активного ила в зоне аэрации с 1—2 до 25 г/л происходит пропорциональный рост окислительной мощности аэротенков с 0,5—1 до 12 кг БПКполн/(м3 * сут). Однако повышение концентрации активного ила в аэротенках увеличивает вынос его из вторичных отстойников, что связано с ухудшением гравитационного разделения иловых смесей по мере повышения их концентрации. Одновременно возникает опасность длительного пребывания активного ила в анаэробных условиях во вторичных отстойниках, что может вызвать снижение активности ила, а в некоторых случаях даже его загнивание [22].
Для работающих аэротенков существует предельная концентрация активного ила в иловой смеси, поступающей во вторичные отстойники, при которой обеспечивается нормальная работа последних. Эта предельная концентрация для различных очистных сооружений может быть разной, зависящей от многих факторов. Увеличивая до возможного предела концентрацию активного ила в аэротенках, можно несколько увеличить их производительность и повысить качество очистки сточных вод. При этом нужно учитывать, что положительный эффект может быть достигнут только при полном обеспечении биохимического процесса кислородом.
Известно, что масса активного ила, участвующего в процессе биологической очистки, может быть увеличена за счет применения отдельной регенерации активного ила. В таком случае в регенераторах может поддерживаться высокая доза ила (до 7—8 г/л), а в аэротенках устанавливается оптимальная доза (обычно 1,5—2 г/л), обеспечивающая нормальную работу вторичных отстойников.
При наличии регенераторов важно поддерживать в них возможно большую концентрацию активного ила, что может быть достигнуто увеличением продолжительности уплотнения активного ила в осадочной части вторичных отстойников, то есть путем уменьшения расхода рециркулирующего ила. Однако, как уже отмечалось, это может иметь отрицательные последствия для работы вторичных отстойников и самих аэротенков.
Таким образом, с одной стороны, уменьшив расход рециркуляционного ила, можно существенно увеличить концентрацию и абсолютную массу активного ила в peгeнepаторах и тем самым увеличить окислительную мощность всей системы аэрационных сооружений, но, с другой стороны, уменьшение рециркуляционного расхода может вести к ухудшению окислительных и седиментационных свойств ила, к созданию менее благоприятных условий обеспечения микроорганизмов кислородом при возрастании концентрациях ила в регенераторах [12].
Учитывая эти противоположные тенденции, нужно полагать, что для каждого конкретного случая существует оптимальный расход рециркуляционного ила, обеспечивающий максимальную производительность аэротенков с предельной регенерацией активного ила. Установить этот оптимальный расход можно путем плавного изменения расхода рециркуляционного ила при непрерывном контроле таких показателей процесса очистки, как концентрация взвешенных веществ в воде на выходе из вторичных отстойников, БПК сточных вод до- и после очистки в аэротенке, дозы активного ила и концентрации растворенного кислорода в регенераторе и собственно аэротенке, иловый индекс.
Как отмечалось ранее, работа вторичных отстойников и вместе с этим аэротенков ухудшается при вспухании активного ила. Универсального способа борьбы с вспуханием ила не существует, что связано, по–видимому, с большим разнообразием причин этого явления, поэтому в каждом конкретном случае очень важно выявить и устранить эти причины. Обычно седиментационные свойства активного ила существенно улучшаются вследствие осуществления мер, обеспечивающих нормальный кислородный режим в аэротенках и оптимальные нагрузки на активный ил, устранение дефицита биогенных элементов в очищаемых сточных водах, усреднение сточных вод, поддержание оптимальных значений рН.
Установлено, что седиментационные свойства активного ила улучшаются по мере приближения гидродинамического режима работы аэротенка к идеальному вытеснению, увеличения коэффициента рециркуляции активного ила (до 1,5—2), увеличения объема отдельных регенераторов. Для борьбы с вспуханием ила рекомендуется перед аэротенками смешивать возвратный активный ил с очищаемой водой и выдерживать смесь в специальном резервуаре в течение 30—40 мин при перемешивании без аэрирования. Осаждаемость ила во вторичных отстойниках можно улучшить введением в иловую смесь солей железа и алюминия с дозами соответственно 7—8 и 7—10 г/м3 по иону металла, а также извести с дозами 30—50 г/м3 по окиси кальция и полиэлектролитов. Разрушение нитчатых бактерий и улучшение седиментационных свойств активного ила достигаются при обработке его сильными окислителями: хлором или перекисью водорода с дозами соответственно 10—20 и 200—500 г/м3 [5].
Возможным способом увеличения массы активного ила в аэротенках является заполнение всего или части их объема инертными материалами с развитой поверхностью, обрастаемой биологической пленкой (биотенки) - использование закрепленной (иммобилизованной) микрофлоры. Закрепление клеток микроорганизмов позволяет осуществлять сложные многостадийные процессы, обуславливает лучшую защищенность клеток от воздействия отрицательных факторов, создает высокую концентрацию клеток в реакторе. Кроме того, закрепление не только позволяет постоянно фиксировать клеточную массу микроорганизмов-деструкторов, но и осуществлять их пространственную последовательную смену одних организмов другими.
Важным преимуществом использования системы закрепленных клеток является их устойчивость к перепадам гидравлической нагрузки и залповым поступлениям загрязнений. Кроме того, иммобилизация позволяет существенно повысить окислительную мощность сооружений и глубину очистки, сократить время обработки сточных вод.
Разработка способов очистки сточных вод требует решения двух задач: первая - освобождение воды от веществ загрязнителей; вторая - освобождение воды от суспендированных микроорганизмов. И обе данные задачи эффективно решаются при использовании закрепленной микрофлоры и фауны. Закрепление на носителе различных водных организмов - совершенно необходимое условие надежной, глубокой и эффективной биологической очистки сточных вод. Иммобилизация повышает скорость окисления в 2-3 раза и особенно эффективна при очистке высококонцентрированных вод с большими значениями БПК. Увеличение удельной скорости окисления позволяет сократить время аэрации и, соответственно, уменьшить полезную вместимость аэротенка.
Реакторы оборудуются системой аэрации. По мере насыщения биологическими обрастаниями загрузка регенерируется путем интенсивной продувки воздухом.
Процесс биологической очистки в реакторах проходит настолько энергично, что на очистку может подаваться не отстоянная сточная вода. В реакторах происходит процесс нитрификации, а БПКполн снижается до 3-5 мг/л [11].
Применение систем аэрации с повышенной окислительной способностью. Одним из основных факторов определяющих интенсивность биохимического окисления органических веществ является непрерывное и полное обеспечение микроорганизмов активного ила кислородом. Недостаток кислорода приводит к нарушению обмена веществ в бактериальных клетках и снижению скорости окисления загрязнений. Считается, что для нормальной жизнедеятельности микроорганизмов активного ила достаточна минимальная концентрация растворенного кислорода 1—2 г/м3. Одновременно система аэрации должна обеспечивать достаточную интенсивность перемешивания иловой смеси для создания необходимой частоты обновления поверхности хлопьев, что увеличивает скорость диффузии субстрата и кислорода к бактериальным клеткам. Последнее обстоятельство нужно считать важнейшим условием для повышения окислительной мощности аэротенков, особенно при повышенных концентрациях активного ила.
Именно система аэрации в конечном итоге определяет максимальную концентрацию активного ила в аэротенке и тем самым его максимальную окислительную мощность, если считать, что эта максимальная концентрация не лимитируется работой илоотделителей (вторичных отстойников, флотаторов и др.). Применение кислорода для очистки сточных вод в аэротенках позволяет снизить расход электроэнергии в 1,3—1,7 раза. Наибольшая экономия электроэнергии наблюдается при растворении кислорода в иловой смеси, при этом с избытком компенсируются энергозатраты на производство кислорода.
Совершенствование гидродинамического режима аэротенков. Совершенствование гидродинамического режима аэротенков также позволяет интенсифицировать их работу. Существуют два основных типа аэротенков: смесители и вытеснители. Аэротенки-вытеснители обеспечивают высокое качество и стабильность очистки, однако доза, ила в них невелика и нагрузка на него распределяется неравномерно. Аэротенки-смесители отличаются равномерностью нагрузки на активный ил по органическим загрязнениям, что обеспечивает высокую скорость изъятия загрязнений. Однако в них возможен проскок неочищенной сточной жидкости. Эффективность работы действующих коридорных аэротенков можно повысить путем разделения объема коридора на секции (камеры, ячейки). В аэротенке такой конструкции происходит полное перемешивание, жидкости в каждой камере, однако отсутствует ее перемешивание между камерами. При последовательном движении жидкости от камеры к камере через отверстия в придонной части перегородок создается гидравлический режим, аналогичный гидравлическому режиму в идеальном вытеснителе. Размер камер, общее число которых колеблется от четырех до 10, может быть одинаковым. Наиболее предпочтителен объем камеры, пропорциональный остаточному содержанию загрязнений, определяемых БПК, по мере очистки сточной жидкости [22].
Комбинированные аэротенки. Комбинированные аэротенки, совмещающие в одном объеме зоны аэрации и отстаивания, для очистных сооружений пропускной способностью до 50 тыс. м3/сутки разрабатываются в нашей стране и за рубежом. В этих сооружениях в различных вариантах сочетаются процессы биокоагуляции, аэробного окисления и отстаивания или осветления во взвешенном слое. В зависимости от сочетания этих процессов аэротенки носят различные названия: аэротенк-отстойник, аэроакселератор, оксидатор, циклейтор, реактиватор, оксиконтакт, рапид-блок, оксирапид и т. д. (рисунок 8) [12].
Рисунок 8 – Оксиконтакт-2.
1—трубопровод для подачи сточных вод; 2 — зона аэрации; 3—аэраторы типа «Вибрэйр»; 4— зона отстаивания; 5 и 6 — трубопровод для отвода очищенной сточной жидкости и избыточного активного ила; 7—труба для подачи воздуха.
Комбинированные аэрационные сооружения отличаются высокой окислительной мощностью и компактностью. Они могут быть с механической, пневматической и пневмомеханической аэрацией. Конструктивно они выполняются с центральной зоной аэрации и периферийным отстаиванием, или наоборот.
Циркуляция возвратного активного ила из зоны выделения в зону аэрации осуществляется либо специально направленными потоками, либо перекачкой эрлифтами. В сооружениях с механическими аэраторами движение ила происходит под воздействием статического напора развиваемого таким аэратором.
В аэротенках-отстойниках, разработанных в нашей стране, предусматривается принудительная циркуляция активного ила. Такой технологический прием обеспечивает стабильный и регулируемый по объему возврат активного ила в зону аэрации (независимо от притока сточных вод) и поддержание его во взвешенном состоянии. В отстойной зоне аэротенка такой конструкции не образуются мертвые зоны, где возможно скопление и загнивание активного ила. Аэротенки-отстойники могут использоваться для очистки городских и производственных сточных вод, обеспечивая их полную или неполную биологическую очистку.
Применение комбинированных сооружений типа аэротенк-отстойник позволяет экономить земельные площади, сокращать протяженность технологических коммуникаций и значительно уменьшать потребление электроэнергии.
Применение реагентов. Применение различных реагентов также позволяет интенсифицировать процесс биологической очистки. Было изучено действие природных сорбентов на жизнедеятельность микроорганизмов. Установлено, что такие глинистые материалы, как монтмориллонит и палыгорскит, при добавке их в сточные воды в количестве 1 % способны увеличить окислительную активность культуры микроорганизмов почти в 2 раза.
Применение химического мутагенеза. Метод химического мутагенеза также получил широкое распространение для интенсификации очистки сточных вод от химических загрязнителей. Сущность этого метода заключается в воздействии химическими мутагенами на сложный биоценоз активного ила, содержащий различные популяции бактерий, актиномицитов, различных грибов, зеленых водорослей и т. д. [22]
Использование ультразвука. Использование ультразвука для интенсификации очистки сточных вод за счет повышения ферментативной активности микроорганизмов было изучено в Харьковском НИИ по охране вод. Объектом исследований была многокомпонентная, содержащая более 700 органических и минеральных загрязнителей, высококонцентрированная (ХПК до 10000 мг/л) и токсичная сточная жидкость завода химических реактивов. Эксперименты проводились в лабораторном аэротенке с использованием ультразвука. Диапазон электрической мощности составлял 3—400 Вт, время воздействия ультразвука на биоценоз 1—60 мин при частоте ультразвука 22±1 кГц [11]. Ультразвуковая обработка активного ила осуществлялась при постоянном аэрировании. Установлено, что для сточных вод данного производства оптимальной является выходная мощность 10 Вт при 10-ти минутной обработке активного ила ультразвуком. При воздействии ультразвука концентрация дегидрогеназ в активном иле повышается в 1,4—1,8 раз, в результате чего увеличивается окислительная мощность сооружения.
Электрообработка сточных вод. Электрообработка сточных вод с целью интенсификации процессов биологической очистки также проводилась в Харьковском НИИ по охране вод. Определялось влияние силы тока в 25—50 мкА на биохимическую активность ила при постоянных напряжении и времени воздействия. При очистке сточной жидкости с БПК 5400 мг/л эффект изъятия загрязнений в контрольном опыте составил 19%, а при раздражении бактериальных клеток электрическим током 84—87%. Установлено, что этот метод ускоряет внутриклеточные процессы, в частности повышается концентрация дегидрогеназ. Электрический ток целесообразно использовать для интенсификации биологической очистки высококонцентрированных сточных вод. Однако и при очистке городских сточных вод электростимуляция активного ила на Бортнической станции аэрации в Киеве позволила добиться значительного эффекта. При обработке активного ила очистных сооружений в течение 3 мин электрическим током мощностью 2,5 мВт эффект очистки по БПК5 возрос в 2,9—3,2 раза [12].
Совершенствование систем аэрации. Совершенствование систем аэрации сточных вод позволяет в значительной мере интенсифицировать процессы биологической очистки, снизить эксплуатационные расходы и затраты электроэнергии.
Большинство станций аэрации оснащено пневматическими аэраторами, из которых наиболее эффективны мелкопузырчатые. Мелкопузырчатая аэрация обеспечивает эффективность насыщения жидкости кислородом в пределах 2—3,3 кг/кВт*ч электроэнергии, средне- и крупнопузырчатая — 1,4—1,8 кг/кВт*ч [7]. Совершенствование мелкопузырчатой аэрации идет по пути создания устойчивых к засорению, а также легко извлекаемых и заменяемых или регенерируемых фильтросов. Таким образом, из изложенного выше видно, что работу аэротенков можно интенсифицировать в результате повышения концентрации активной биомассы в зоне аэрации, а также совершенствования конструкции всего сооружения в целом и отдельных его элементов. Повысить окислительную мощность аэротенков можно, применяя различные реагенты или управляя качественным составом биоценоза активного ила. На основании литературных данных выбрана технологическая схема, позволяющая проводить полную биологическую очистку сточных вод до уровня предельно–допустимых концентраций.
Технологическая схема очистки сточных вод поселка городского типа
На рисунке 9 и 10 приведены: традиционная схема очистки сточных вод и выбранная технологическая схема очистки сточных вод поселка городского типа. Отличительной особенностью выбранной схемы от традиционной является наличие в ней блока доочистки на механических фильтрах, используемых для того, чтобы перед сбросом в водоем снизить концентрацию взвешенных веществ и величину показателей БПК. Также блок обеззараживания ультрафиолетовым облучением, необходимого для уничтожения патогенных микроорганизмов содержащихся в сточной воде.
Рисунок 9. Традиционная технологическая схема очистки сточных вод
1- решетки; 2 – горизонтальные песколовки с круговым движением воды; 3 – первичный радиальный отстойник; 4 – аэротенк-вытеснитель с регенератором; 5 – вторичный радиальный отстойник; 6 – биопруды с естественной аэрацией; 7 – аэробный стабилизатор; 8 – песковые площадки; 9 – иловые площадки.
Рисунок 10. Технологическая схема очистки сточных вод поселка городского типа
1- решетки с механизированной очисткой; 2 – горизонтальные песколовки с круговым движением воды; 3 – первичный радиальный отстойник; 4 – аэротенк-вытеснитель с регенератором; 5 – вторичный радиальный отстойник; 6 – блок доочистки; 7 – блок обеззараживания; 8 – аэробный стабилизатор; 9 – песковые площадки; 10 – иловые площадки.
Описание технологической схемы поселка городского типа
Сточные воды, поступающие на очистные сооружения, подвергаются полной биологической очистке, включающей несколько последовательных ступеней:
- Задержание и удаление из сточных вод разного рода механических примесей, отбросов (бытовой мусор, тряпки, бумага) происходит на решетках.
- Выделение из сточной воды минеральных примесей (песок, шлам и т.д.) осуществляется на песколовках.
- Выделение из сточной воды грубодисперсных примесей, оседающих в виде сырого осадка и плавающих жироподобных веществ – на первичных отстойниках.
- Биохимическое окисление растворенных, коллоидных и взвешенных органических веществ и неорганических загрязнений с помощью бактерий, простейших и других микроорганизмов активного ила – в аэротенке-вытеснителе с регенератором.
- Отделение сточной воды и активного ила происходит во вторичном отстойнике. Осуществляется разделение активного ила на две части. Циркуляционный активный ил под действием насоса поступает в аэротенк-вытеснитель, а избыточный активный ил подается в аэробный стабилизатор.
- Доочистка сточных вод происходит на механических фильтрах.
- Обеззараживание сточных вод протекает в бактерицидных установках.
- Обработка трех видов осадков: измельченные отбросы, взвешенные частицы и избыточный активный ил, осуществляется в аэробном стабилизаторе. После чего обезвоженный и минерализованный осадок подается на иловые площадки.
3. Материальный баланс процесса биологической очистки
Материальный баланс биологической очистки сточной воды поселка городского типа составлен по результатам расчетов. Все показатели не превышают предельно–допустимых сбросов (ПДС).
Наименование стадии процесса
Приход
Расход
Единицы измерения
1. Решетки
Поступающая сточная вода:
6000
5999,46
т/сут
- содержание взвешенных веществ
1,86
1,32
т/сут
- БПКполн
1,296
1,296
т/сут
- количество задерживаемых отбросов
0,54
т/сут
Итого:
6000
6000
т/сут
2. Песколовки
Поступающая сточная вода:
5999,46
5998,63
т/сут
- количество взвешенных веществ
1,32
0,49
т/сут
- БПКполн
1,296
1,296
т/сут
- количество задерживаемых отбросов
0,83
т/сут
Итого:
5999,46
5998,46
т/сут
3. Первичные отстойники
Поступающая сточная вода:
5998,63
5998,46
т/сут
- количество взвешенных веществ
0,49
0,31
т/сут
- БПКполн
1,296
1,296
т/сут
- количество уловленных взвешенных веществ
0,17
т/сут
Итого:
5998,63
5998,63
т/сут
4. Аэротенк – вытеснитель с регенератором
Поступающая сточная вода:
5998,46
6029,99
т/сут
- количество взвешенных веществ
0,31
0,22
т/сут
- БПКполн
1,296
0,089
т/сут
- количество уловленных взвешенных веществ
0,089
т/сут
- окислено БПКполн
1,207
т/сут
- объем поступающего в аэротенк активного ила
32,3
т/сут
- количество образованного избыточного активного ила
0,673
т/сут
Итого:
6030,76
6030,76
т/сут
5. Вторичные отстойники
Поступающая сточная вода:
6029,99
1721,97
т/сут
- количество взвешенных веществ
0,22
0,20
т/сут
- БПКполн
0,089
т/сут
- количество уловленных взвешенных частиц
0,018
т/сут
- объем высвободившегося активного ила
4308
т/сут
Итого:
6029,99
6029,99
т/сут
6. Доочистка на механических фильтрах
Поступающая сточная вода:
1721,97
1721,96
т/сут
- количество взвешенных веществ
0,20
0,192
т/сут
- БПКполн
0,089
0,005
т/сут
- количество задерживаемых отбросов
0,008
т/сут
- окислено БПКполн
0,084
т/сут
Итог:
1721,97
1721,97
т/сут
Общий итог:
6032,3
6032,3
т/сут
4. Технологический расчет сооружений
4.1 Расчет решеток с механизированной очисткой
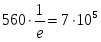
Исходные данные:
Суточный расход сточных вод Q = 6000 м3/сут
Норма водоотведения а = 180 л/(сут*чел)
Концентрация взвешенных веществ на входе Сen = 310 м/л
Максимальный секундный расход сточных вод qmax = 0,1 м3/с
Скорость течения воды νк = 0,6 м/с
Размеры подводящего канала перед решетками: ширина Вк = 0,4 м, уклон iк= 0,0001 и наполнение hк = 0,41 м [16].
Определяем необходимое количество прозоров в решетках:
, шт
где Кст – коэффициент, учитывающий стеснение потока механическими граблями, равный 1;
в – ширина прозоров решетки, м, принимаемая по табл.1 Приложений;
νр – скорость движения воды в прозорах решетки, равная 0,8 м/с
Рассчитываем общую ширину решеток:
, м
где s – толщина стержней решетки, м, которая принимается по табл. 1 Приложений
В соответствии с найденной шириной по табл. 1 Приложений [9] принимается 1 решетка марки РМУ – 1 с шириной 0,4 м и количеством прозоров 21 шт., и одна резервная решетка.
Проверяем скорость воды в прозорах решетки:
,м/с
где n1 – количество прозоров в одной решетке, шт, принимаемое по табл. 1 Приложений [9]; N – количество решеток
Рассчитывается величина уступа в месте установки решетки:
, м
где р – коэффициент увеличения потерь напора вследствие засорения решетки, равный 3;
- коэффициент местного сопротивления решетки, равный:
Где β – коэффициент, зависящий от формы стержней и принимаемый, равным 2,42 (прямоугольная форма);
α- угол наклона решетки к горизонту, равный 60˚С
Рассчитывается количество Wотб, масса снимаемых отбросов за сутки Ротб и в час Р’отб:
Где qотб – удельное количество отбросов, зависящее от ширины прозоров решетка, л/(год*чел), равное 8 л/(год*чел),
Nпр – приведенное население, чел:
К – коэффициент неравномерности поступления отбросов, равный 2.
Исходя из расчетной массы отбросов по табл.3 Приложений [8] подбираем марку и количество дробилок: Д – 3б
Определяем количество технической воды, подводимой к дробилкам:
Вывод:
Для задержания крупных загрязнений, поступающих со сточными водами, на лотках 600 800 мм установлены механические решетки РМУ – 1. Задержанные на решетках отбросы периодически удаляются граблями и сбрасываются в контейнеры с герметически закрывающимися крышками. Отбросы вывозят мусоровозами в специально отведенные места обработки твердых отходов. В здании решеток установлены насосы–повысители напора, подающие техническую воду к гидроэлеваторам песколовок. Принимаем здание решеток по типовому проекту 902-2-449.88 с двумя решетками РМУ – 1 с размером 600 800 мм (1 рабочая, 1 резервная). Для дробления отбросов, извлеченных из сточных вод, применяем 1 молотковую дробилку марки Д – 3б.
4.2 Расчет горизонтальной песколовки с круговым движением воды
Песколовки применяются в комплексе сооружений механической очистки сточных вод и предназначены для задержания песка из бытовых и близких к ним по составу производственных сточных вод, а также нефтесодержащих сточных вод. Песколовки представляют собой круглый резервуар с коническим днищем. Внутри песколовки находится кольцевой лоток, заканчивающийся внизу щелевым отверстием.
Удаление песка из песколовки осуществляется при помощи гидроэлеватора. На основании типовых проектных решений для станций производительностью до 7000 м3/сутки принимаем горизонтальные песколовки с круговым движением воды.
Исходные данные:
Суточный расход сточных вод Q = 6000м3/сут
Норма водоотведение а = 180 л/(сут*чел)
Максимальный секундный расход сточных вод qmax = 0,1 м3/сут
Назначаем количество отделений песколовок, n = 2, исходя из расхода на одно отделение 15 – 20 тыс. м3/сут
Определяем необходимую площадь живого сечения одного отделения песколовки:
Где qmax – максимальный секундный расход сточных вод, м3/с;
νs – скорость течения воды, равная 0,3.
рассчитывается длина окружности песколовки по средней линии [8,20]:
Где Ks – коэффициент, принимаемый по табл.3.2, равный 1,7;
Hs – расчетная глубина песколовки, м, (табл. 3.1), равная 0,8 м;
u0 – гидравлическая крупность песка, мм/с (табл. 3.2), равная 18,7 мм/с
Определяется средний диаметр песколовки:
Рассчитывается продолжительность протекания сточных вод в песколовке Т при максимальном притоке:
Продолжительность притока соответствует, т.к. Т≥30с.
По табл. 5 Приложений [8] в зависимости от пропускной способности принимается ширина кольцевого желоба песколовки: Вж = 500мм = 0,5м
Определяется наружный диаметр песколовки:
По расчетному диаметру принимается типовая песколовка: №902-2-27
Рассчитывается объем бункера одного отделения песколовки:
Где qос – удельное количество песка, л/(сут*чел), принимаемое по табл.3.1, равное 0,02 л/(сут*чел);
Nпр – приведенное население, чел
Где Тос – интервал времени между выгрузками осадка из песколовки, сут (не более 2х суток)
Определяется высота бункера (конической части) песколовки:
Где d – диаметр нижнего основания бункера, равный 0,4м
Рассчитывается полная строительная высота песколовки:
Песковые площадки:
Определяется годовой объем песка, задерживаемого в песколовках:
Где qос – удельное количество песка, принимаемое по табл.3.1. [8] в зависимости от типа песколовок, равный 0,02;
Nпр – приведенное население, равное 33000 человек.
Рассчитывается рабочая площадь песковых площадок:
Где hгод – годовая нагрузка на площадки, равная не более 3 м3/(м2*год).
Находится общая площадь песковых площадок:
Вывод: Для предварительного выделения из сточных вод нерастворимых примесей применяем 1 горизонтальную песколовку с круговым движением воды, имеющую следующие параметры: 22×7,4×1,35
4.3 Расчет первичного радиального отстойника
Первичные отстойники служат для предварительной обработки сточных вод перед направлением их далее по сооружениям очистки. В первичных отстойниках происходит выделение из сточных вод нерастворимых веществ, находящихся во взвешенном и плавающем состоянии.
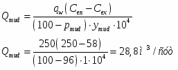
Исходные данные:
Расход стоков qw = 250м3/ч
Суточный расход сточных вод Q = 6000 м3/сут
Концентрация взвешенных веществ в поступающей на очистку сточной воде Сen = 250мг/л
Концентрация взвешенных веществ в очищенной сточной воде на выходе из первичного отстойника Сex = 58 мг/л
Глубина проточной части в отстойнике Hset = 3 м
Коэффициент использования объема проточной части отстойника Kset = 0,45
Продолжительность отстаивания tset = 1980с
Показатель степени, для городских сточных вод n2 = 0,25
Определяется значение гидравлической крупности:
Принимаем количество отделений отстойника n = 6, определяем диаметр отстойника:
Где νtb – скорость турбулентной составляющей, мм/с, принимается по табл.4.4, равна 0 мм/с
Принимаем стандартный диаметр отделений, равный Dset = 9 м.
Рассчитывается скорость на середине радиуса отстойника:
Определяется общая высота отстойника:
Где Н1 – высота борта над слоем воды, равная 0,5м;
Н2 – высота нейтрального слоя, равная 0,3м.
Определяем количество осадков:
Где pmud – влажность осадка, равная 96%;
γmud – плотность осадка, равная 1 г/см3.
Вывод: Для удаления взвешенных частиц принимаем 2 первичных радиальных отстойника размерами: диаметр = 9м, высота = 3,8м, количество секций = 6.
4.4 Расчет аэротенка-вытеснителя с регенератором
Технологический расчет аэротенка-вытеснителя с регенератором производится по известной методике (СНиП 2.04.03−85) на основе исходных данных по качественному и количественному составу сточных вод. Определяются время пребывания сточной воды в аэротенке (период аэрации) для заданной степени очистки, доза активного ила в регенераторе, продолжительность регенерации, объем аэротенка, площадь и объем вторичного отстойника. Далее рассчитывается количество загрузки (например, по массе), которое необходимо поместить в аэротенки, чтобы закрепить на ней расчетное количество активного ила. Установлено, что оптимальное удельное количество активного ила на загрузке, при котором сохраняются удовлетворительные массообменные условия, составляет 0,3−0,4 кг/кг загрузки. Затем требуемая масса загрузки пересчитывается на ее объем, который сопоставляется с расчетным объемом аэротенка.
Исходные данные:
Суточный расход сточных вод Q = 6000м3/сут;
Расход стоков qmax = 250 м3/ч;
БПКполн поступающей сточной воды Len = 216мг/л;
БПК полн очищенной сточной воды Lex = 15 мг/л;
Концентрация взвешенных веществ Ccdp = 58 мг/л.
Для городских сточных вод по табл. 1 Приложений [7,20] назначаем константы:
максимальную скорость окисления ρ max = 85 мг БПКполн/(г*ч);
константу, характеризующую свойства загрязнений Kl = 33 мг БПКполн/л;
константу, характеризующую влияние кислорода K0 = 0,625 мгО2/л;
коэффициент ингибирования φ = 0,07л/г;
зольность активного ила s = 0,3.
Дозу активного ила в аэротенке принимаем равной первоначально ai = 3,6г/л, значение илового индекса Ji = 80см3/г, концентрацию растворенного кислорода C0 = 2 мг/л.
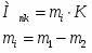
Рассчитывается степень рециркуляции активного ила:
Определяется БПКполн поступающей в аэротенк сточной воды с учетом разбавления:
Рассчитывается продолжительность обработки воды в аэротенке:
рассчитывается доза активного ила в регенераторе:
рассчитывается удельная скорость окисления при дозе активного ила ar:
Определяется общая продолжительность окисления органических загрязнений:
Определяется продолжительность регенерации:
Определяется продолжительность пребывания в системе аэротенк–регенератор:
Рассчитывается средняя доза активного ила в системе аэротенк–регенератор:
Рассчитывается нагрузка на активный ил:
По табл. 3.1. [7] находим иловый индекс при новом значении нагрузки qi:
Проверяем погрешность заданного значения и табличного илового индекса:
, что является вполне допустимым.
Определяется объем аэротенка и регенератора:
По табл.14 Приложений [7] в соответствии с общим объемом аэротенка и регенератора подбираем типовой проект аэротенка-вытеснителя № 902-2-195 со следующими характеристиками:
число секций nat = 1;
число коридоров ncor = 2;
рабочая глубина Hat = 3,2м;
ширина коридора bcor = 4,5м;
пределы длины секции – 36 – 42 м;
пределы объема одной секции 1040 – 1213.
Определяется длина секции аэротенка:
Ширина аэротенка:
Отношение длины коридора к ширине:
м
Общую площадь отверстий в каждой перегородке принимаем, исходя из скорости движения в них иловой смеси не менее 0,2 м/с.
Рассчитывается прирост активного ила:
Где Сcdp – концентрация взвешенных веществ в сточной воде, поступающей в аэротенк, мг/л;
Кg – коэффициент прироста, принимаемый для городских сточных вод 0,3.
.
Вывод: Для проведения биологической очистки сточных вод применяем аэротенк-вытеснитель с регенератором размер, которого составляет 9×30м. Так как отношение длины коридора к ширине 30*2/4,5 = 13,3<30, предусматриваем секционирование коридоров легкими перегородками с отверстиями.
4.4.1 Расчет системы аэрации коридорных аэротенков
Исходные данные:
Расчетный расход сточных вод qw = 250 м3/ч;
БПК полн поступающей сточной воды Len = 216 мг/л;
БПК полн очищенной сточной воды Lex = 15 мг/л;
Среднемесячная температура сточной воды за летний период Tw = 20˚С;
На очистной станции запроектирован аэротенк-вытеснитель с регенератором рабочей глубины Hat = 3,2м и шириной коридора bcor = 4,5м;
Продолжительность пребывания сточной воды в системе аэротенк-регенератор t a-r = 3,68 ч.
Принимаем глубину погружения аэраторов . По табл. 3.2 находим растворимость кислорода при температуре воды 20˚С: .
Рассчитываем растворимость кислорода в воде:
Для аэрации принимаем мелкопузырчатый аэратор из перфорированных труб, соотношение площадей аэрируемой зоны и аэротенка принимаем: . По табл. 3.3 находим значение коэффициента, учитывающего тип аэратора: К1 = 1,47; коэффициент качества воды для городских сточных вод: К3= 0,85. По табл.3.4 находим коэффициент, зависящий от глубин погружения аэратора: К2 = 2,03 [7].
Рассчитывается коэффициент, учитывающий температуру сточных вод:
Рассчитывается удельный расход воздуха:
Где q0 – удельный расход кислорода воздуха, мг/мг снятой БПК полн, принимаемой по очистке до БПК полн до 15 – 20 мг/л – 1,1.
Определяется средняя интенсивность аэрации, при этом в формулу поставляется продолжительность пребывания сточных вод в системе аэротенк-регенератор:
Рассчитывается интенсивность аэрации на первой половине аэротенка и регенератора: и на второй: .
По табл. 4 Приложений [7] подбираем дырчатые трубы диаметром 88 мм с отверстием 3 мм, число отверстий на 1 м – 120, находим удельный расход воздуха на единицу рабочей поверхности аэраторов Iad = 110 м3/(м2*ч)
Определяется количество рядов аэраторов в первой половине аэротенка: и на второй половине:.
и
Принимаем на первой половине аэротенка и регенератора 4 ряда дырчатых труб, на второй – 2 ряда труб.
Определяется общий расход воздуха:
.
4.4.2 Расчет воздуходувного хозяйства коридорных аэротенков
Исходные данные: На очистной станции 1 секция двухкоридорного аэротенка длиной lat = 30 м, шириной коридора bcor = 4,5м, и рабочей глубиной Hat = 3,2м. Коридор аэротенка разделен на 6 ячеек, при длине коридора 30м. Для расчетов ориентировочно принимаем давление воздуха 0,14МПа.
Выбираем наиболее удаленный от воздуходувной станции стояк, составляем монтажную схему до этого стояка и определяем потери напора по длине hтр, мм и местных сопротивлениях hМ, мм на всех расчетных участках воздуховодов по формулам:
;
где
i – потери напора на единицу длины воздуховода, мм/м;
lтр – длина участка воздуховода, м;
ζ – коэффициент, зависящий от вида местного сопротивления;
ν – скорость движения воздуха на участке, м/с;
ρ – плотность воздуха, при расчетной температуре, кг/м3;
αp – поправочный коэффициент на изменение температуры;
αt – поправочный коэффициент на изменение давления.
где
p = 0,14 МПа – давление воздуха.
Расчет потерь напора ведется в табличной форме.
Расчет потерь напора в воздуховодах аэротенка.
Номера участк-ов и точек
Длина учас-тка lтр, м
Расход возду-ха Q, м3/с
Диа-метр труб d, мм
Ско-рость ν, м/с
i, мм/м
i·lтр, мм
hтр, мм
Вид местного сопротив-ления
ζ
hм, мм
1-2
70
0,954
300
11,50
0,51
35,7
56,05
Три колена,
задвижка,
тройник на проход
1,1
14,26
2-3
10
0,621
300
8,20
0,28
2,80
4,39
переход, тройник на проход
0,18
1,98
3-4
10
0,415
200
8,90
0,52
5,20
8,16
Тройник в ответвле-ние
1,5
3,19
4-5
0,95
0,126
150
5,90
0,32
0,30
0,47
переход, тройник на проход
0,18
0,16
5-6
4
0,054
100
5,60
0,48
1,92
3,01
Колено, задвижка,
колено,
выход из трубы
0,8
1,46
hтр = 72,08 мм;
hм = 21,05 мм.
Требуемый общий напор воздуходувок:
Полное давление воздуха:
Вывод: Для обеспечения аэрации необходима одна рабочая и одна резервная воздуходувки марки ТВ – 42 – 1,4 производительностью 2,5 тыс. м3/час, мощностью 46 кВт.
4.5 Расчет вторичного радиального отстойника
Исходные данные:
Суточный расход сточных вод Q = 6000м3/сут;
Максимальный секундный расход сточных вод qmax = 250м3/ч;
Максимальный часовой расход сточных вод qw = 360м3/ч;
БПК в поступающей на очистку сточной воде Len = 216 мгО2/л;
Количество БПК полн в сточной воде на одного жителя в сутки составляет а = 15 г/(чел*сут).
Рассчитывается нагрузка воды на поверхность:
,
Где Hset – рабочая глубина отстойника, м;
аi – доза активного ила в аэротенка, равная 3,6г/л;
at – требуемая концентрация в осветленной воде, не менее 10 мг/л;
Kss – коэффициент использования объема зоны отстаивания, равный 0,4;
Ii – иловый индекс, равный 80 см3/г [7].
Принимаем 4 отстойника, n = 4.
Определяется площадь одного отделения отстойника:
Определяется диаметр отстойника:
, принимаем 9 м.
Определяется общая высота отстойника:
Где Н1 – высота борта над слоем воды, равная 0,4м;
Н2 – высота нейтрального слоя, равная 0,3 м;
Н3 – высота слоя ила, равная 0,3 м.
Находится количество осадка, выделяемого при отстаивании:
Где рmud – влажность активного ила, равная 99,5%;
γmud – плотность активного ила, равная 1 г/см3.
.
Вывод: Для отделения сточной воды и активного ила принимаем 4 вторичных радиальных отстойника с диаметром отстойника = 9м, высотой = 4 м и количеством секций = 3.
4.6 Доочистка на механических фильтрах
Доочистку очищенных стоков проводим на фильтрах с плавающей загрузкой. Эффект очистки взвешенных веществ 50%, по БПК – 70%.
Исходные данные:
Суточный расход стоков Q = 6000м3/сут;
Максимальный часовой приток qw = 360м3/ч;
БПКполн в поступающей сточной воде Len = 15 мг/л;
БПКполн в очищенной сточной воде Lex = 3 мг/л;
Концентрация взвешенных веществ в поступающей воде Cen = 10 мг/л;
Концентрация взвешенных веществ в очищенной воде Cex = 5 мг/л.
Определяется расчетный расход сточных вод, подаваемой на фильтры [7]:
Принимается продолжительность фильтро – цикла Тф равная 12 ч. Определяется количество промывок каждого фильтра за сутки:
Рассчитывается общая площадь фильтров:
Где ν ф – скорость фильтрования при нормальном режиме, равная 8 м/ч.
Определяется число секций фильтров N и площадь одной секции фильтра F1:
Принимается количество секций фильтров, находящихся в ремонте
Np = 2. Рассчитывается скорость фильтрования воды при форсированном режиме работы:
Скорость фильтрования не должна отличаться от табличного значения более чем на 15 %.
Δ = 100(9,2 - 8)/8 = 15% - вполне допустимо.
Вывод: Для очистки стоков используем фильтр с плавающей загрузкой, что позволяет повысить скорость фильтрования, уменьшить продолжительность фильтрования и сократить затраты на очистку. Количество секций фильтров = 15 и площадь всех секций = 918 м2.
Для обеззараживания сточных вод используем бактерицидную установку УДВ – 6/6 с длиной лучей 220 – 260 нм, что губительно влияет на бактерии.
4.7 Расчет аэробного стабилизатора
Три вида отбросов: измельченные отходы, взвешенные частицы и избыточный активный ил поступают на аэробный стабилизатор, где происходит минерализация и обезвоживание осадков. После чего отходы поступают на иловые площадки для хранения.
Определяется количество сырого осадка:
Количество осадка с первичных отстойников:
Определяем среднесуточное количество сырого осадка по сухому веществу:
Определяем количество избыточного активного ила:
Прирост ила определяется по формуле:
Определяем количество ила по сухому веществу:
Определяем количество ила влажностью 99,6%:
Общее количество сырого осадка и избыточного активного ила, поступающего в аэробный стабилизатор, составляет:
Объем аэробного стабилизатора составляет:
Аэробный стабилизатор, имеющий длину 6 м при производительности 6 тыс. м3/сутки должен быть увеличен по емкости путем включения вставки 3 м. Таким образом, общая длина аэробного стабилизатора составят: 6+3=9м.
Определяем количество смеси сырого осадка и избыточного активного ила, уплотненного в аэробном стабилизаторе до влажности 98%, исходя из общего количества смеси по сухому веществу:
4.8 Расчет и подбор вспомогательного оборудования
Расчет насоса
Подбираем насос для перекачивания жидкости при 20 градусах из открытой емкости в аппарат, работающий под атмосферным давлением. Расход воды 0,1 м3/с. Геометрическая высота подъема воды 12,5 м. Длина трубопровода по линии всасывания 10 м на линии нагнетании 15 м. На линии нагнетания имеется 4 отвода по углом 90 градусов с радиусом поворота равным 6 диаметрам трубы и 2 нормальных вентиля. На всасывающем участке трубопровода установлено 2 прямоточных вентиля. Имеется 4 отвода под углом 90 градусов с радиусом поворота равным 6 диаметрам трубы.
1. Выбор трубопровода
Для всасывающего и нагнетательного трубопровода примем одинаковую скорость течения воды, равную 2 м/с: .
Тогда диаметр входного трубопровода (условный проход фланцев) в аэратор для воды равен:
;
Принимаем .
Трубопровод стальной, коррозия незначительна.
2. Определение потерь на трение и местные сопротивления
Находим критерий Рейнольдса:
; .
Критерий Рейнольдса:
;
.
Т.е. режим турбулентный. Абсолютную шероховатость трубопровода принимаем: .
Относительная шероховатость труб:
;
Далее получим:
;
Таким образом, в трубопроводе имеет место смешанное трение, и расчет коэффициента трения λ следует проводить по формуле:
;
.
Определим сумму коэффициентов местных сопротивлений отдельно для всасывающей и нагнетательной линий.
Для всасывающей линии:
вход в трубу (принимаем с острыми краями): ;
прямоточные вентили: для d = 250 м, ;
отводы: .
Сумма коэффициентов местных сопротивлений во всасывающей линии:
.
Потерянный напор во всасывающей линии находим по формуле:
;
.
Для нагнетательной линии:
отводы под углом 90о: ;
нормальные вентили: для d = 0,25 м, ;
выход из трубы: .
Сумма коэффициентов местных сопротивлений в нагнетательной линии:
.
Потерянный напор в нагнетательной линии находим по формуле:
;
.
Общие потери напора:
;
.
3. Выбор насоса.
Находим напор насоса:
,
Где – давление в аппарате из которого перекачивается вода, ;
– давление в аппарате, в который перекачивается вода,
Выбираем центробежный насос марки Х500/25 со следующими техническими характеристиками: высота столба жидкости Н = 19м; оптимальная нагрузка Q = 0,15 м3/с; скорость вращения n = 960 об/мин; КПДном = 0,8; электродвигатель: АО 2-91-6, номинальной мощностью 55кВт, КПДдв = 0,92.
Расчет допустимой длины пролета трубопровода
Расчетная толщина стенки:
,
где Р – внутреннее давление, МПа;
D – наружный диаметр трубы, мм;
Sоп – толщина стенки, мм;
φ - коэффициент прочности элемента, φ = 1 ;
At – температурный коэффициент прочности материала, At = 1;
σод – допускаемое напряжение при расчетной температуре, σод = 147 МПа.
.
Расчет длины пролета трубопровода:
где q – значение нагрузки для рабочих условий, q = 1,1.
Таким образом, допустимая длина пролета одного из трубопроводов для подачи воздуха составляет 5,96 м.
В результате проведения расчетов технологических сооружений разработан основной аппарат биологической очистки сточных вод поселка городского типа аэротенк-вытеснитель с регенератором, чертеж которого представлен в Приложении.
5. Технико–экономическая часть
В данной работе, разрабатывается проект биологических очистных сооружений для поселков городского типа производительностью 6000 м3/сут.
В ходе проектирования выполнен расчет основных технологических параметров процесса очистки. На основании технологического расчета определены размеры и конструкция аппаратов, подобрано аэрационное и насосное оборудование. В данном разделе дипломного проекта выполнен расчет производственной мощности очистных сооружений, инвестиционных затрат на их строительство и годовых эксплуатационных затрат, а также дана оценка экономической и экологической целесообразности.
5.1 Расчет производственной мощности
Производственная мощность очистных сооружений (М) определяется по основному технологическому оборудованию (аэротенку) и рассчитывается по формуле:
,
Где Q – производительность аэротенка по поступающей сточной воде (Q = 6000 м3/сут);
Тэф – эффективное время работы оборудования, дни.
Очистные сооружения работают непрерывно в течение календарного года, поэтому Тэф = 365 дней.
М = 6000*365 = 2190000 м3 в год.
В процессе очистки сточной воды образуются:
- твердые бытовые отходы, задержанные решетками блока механической очистки (отходы 4 класса опасности);
- песок и минеральные частицы, крупностью до 2 мм, уловленные песколовкой (отходы 4 класса опасности);
- избыточный активный ил (отходы 4 класса опасности).
Количество ежегодно образующихся отходов (m) определяем по формуле:
где ρ – плотность отходов, г/см3;
V – суточный объем образующихся отходов, л/сут (расчет выполнен в разделе «Материальный баланс»).
Твердые бытовые отходы от решеток образуются в количестве 720 л/сутки. Плотность отходов составляет 0,75 г/см3, влажность W = 60%.
Песок на песколовках улавливается в количестве 660 л/сутки. Плотность песка составляет 1,8 г/см3, влажность W = 60%.
Периодически твердые отходы и песок из песколовок вывозятся на полигон твердых бытовых отходов.
Избыточный активный ил улавливается в количестве 4308 л/сутки. Плотность ила 1 г/см3.
Минерализованный и обезвоженный ил вывозится в мешках на специально отведенные площадки.
Таблица 5.1. Количество образующихся отходов
Отходы
Суточное количество, л/сут
Годовое количество отходов
м3/год
т/год
Твердые бытовые отходы, снимаемые с решеток W = 60%, ρ = 0,75г/см3
720,00
262,8
197,00
Песок, улавливаемый песколовками
W = 60%, ρ = 1,8 г/см3
660,00
240,9
433,62
Избыточный ил
ρ = 1 г/см3
4308,00
1572,42
1572,42
5.2 Расчет инвестиционных затрат
Инвестиционные издержки будут включать затраты на строительство зданий, а также приобретение, доставку и монтаж оборудования.
Капитальные вложения на здания определяются их объемом и нормативом затрат на строительство 1 м3 и рассчитываются по формуле:
Кзд = Vзд*С,
Где С – норматив затрат на строительство 1 м3, принимаем С = 2500 руб/м3.
V – объем зданий, м3.
Здания, в которых будет размещаться оборудование, включают два блока: блок механической и биологической очистки. Объем каждого блока:
Vзд = L*S*H,
Где L – длина здания;
S – ширина здания;
H – высота здания.
Для блока биологической очистки L = 45м; S = 12м; H = 7м
VББО = 45*12*7 = 3780м3
Кзд.ББО = 3780*2500 = 9450000руб.
Для блока механической очистки L = 22м; S = 12м; H = 5м.
VБМО = 22*12*5 = 1320м3
Кзд.БМО = 1320*2500 = 3300000руб.
Общая сумма капитальных вложений на здания составит:
9450000+3300000=12750000руб.
Расчет капитальных вложений в строительство зданий представлен в таблице 5.2.
Таблица 5.2. Расчет капитальных вложений в строительство зданий
Наименование строительного объекта
Объем, м3
Стоимость 1 м3
Сметная стоимость, тыс. руб
Амортизационные отчисления
Норма, %
Сумма, руб
Блок биологической очистки
Блок механической очистки
3780
1320
2500
2500
9450,0
3300,0
1,7
1,7
160650,0
56100,0
Итого зданий
5100
-
12750,0
-
216750,0
Сооружения – КНС, 200% от стоимости зданий
-
-
25500,0
5,2
1326000,0
Внутриплощадочные сети, 20% от стоимости зданий
-
-
2550,0
4,2
107100,0
Наружные сети канализации, 1,5% от стоимости зданий
-
-
191,25
4,2
8032,5
Итого сооружений
-
-
28241,25
-
1441132,5
Итого стоимость зданий и сооружений
-
-
40991,25
-
1657882,5
Инвестиционные затраты на оборудование определяются, исходя из его количества и цены за единицу. Перечень и количество аппаратов определены в соответствии с технологической схемой. Цены взяты по состоянию на 2005 год и проиндексированы на 2009г. Стоимость установленного оборудования приведена в таблице 5.3.
Таблица 5.3. Расчет капитальных затрат и амортизационных отчислений на оборудование
Наименование оборудование
К- во
Стоимость, тыс. руб.
Амортизационные отчисления
ед.
общая
норма, %
стоимость, тыс.руб.
Станция механической очистки
Решетка РМУ – 1
1
700,17
700,17
Песколовки горизонтальные
2
24,750
49,500
Первичный отстойник
2
1145,43
2290,86
Дробилка Д – 3б
1
161,6
161,6
ИТОГО по БМО:
3202,13
12,6
403,47
Станция биологической очистки
Аэротенк-вытеснитель
1
1311,75
1311,75
Вторичный отстойник
4
1145,43
4581,72
Фильтр доочистки
1
214,47
214,47
Установка обеззараживания
1
2189,74
2189,74
Аэратор
6
1,434
8,604
Минерализатор
6
24,75
148,5
ИТОГО по ББО:
8454,78
12,6
1065,3
ИТОГО:
11656,91
12,6
1468,7
Неучтенное оборудование, строительство, монтаж (28,5% от общей стоимости)
3322,22
12,6
418,5
Итого по очистным сооружениям
14888,13
12,6
1875,9
Сводная смета по капитальным вложениям представлена в таблице 5.4.
Таблица 5.4. Расчет стоимости основных фондов
Наименование затрат
Сумма,
тыс. руб.
Амортизация
Норма, %
Сумма,
тыс. руб.
Здания и сооружения
Оборудование
40991,25
14888,13
4,04
12,6
1657,88
1875,9
Итого стоимость основных фондов (ОФ):
55879,38
9,42
3533,78
Расходы по проектированию
(2% от стоимости ОФ)
Пуско – наладочные работы
(4 % от стоимости ОФ)
Неучтенные затраты
(2% от стоимости ОФ)
1117,58
2235,17
1117,58
Всего капитальные вложения:
60349,71
5.3 Расчет годовых эксплуатационных затрат
Годовые эксплуатационные затраты по очистным сооружениям будут включать энергозатраты, расходы на оплату труда обслуживающего персонала, затраты на содержание и ремонт основных средств и накладные расходы.
5.3.1 Расчет энергозатрат
Расход электроэнергии на технологические цели определим по формуле:
Рэ = N*Траб/ηдв* ηсети,
Где Рэ – годовой расход электроэнергии, кВт*ч/год;
N – установленная мощность энергопотребителя, кВт;
ηдв – КПД двигателя, принимаем 0,9;
ηсети – КПД сети, принимаем 0,98;
Траб – время работы станции биологической очистки, час.
Расчет годового расхода электроэнергии выполнен в табличной форме.
Таблица 5.5. Расчет годового расхода электроэнергии
Наименование энергопотребителя
Кол-во
Установленная мощность энергопотребления, кВт
Кол – во часов работы в год, час
Годовой расход электроэнергии, кВт * час
одного
всех
Решетка РМУ – 1
1
0,75
0,75
8760
7448,98
Песколовки горизонтальные
2
2,25
4,5
8760
44693,87
Установка обеззараживания
1
3,0
3,0
8760
29795,9
Дробилка Д – 3б
1
22,0
22,0
8760
218503,4
Компрессор
1
200
200
8760
1986394,5
Итого учтенного оборудования:
2286836,7
Неучтенное оборудование (15% от учтенного оборудования)
343025,5
Всего
2629862,2
Затраты на электроэнергию находятся по формуле:
Где Ц – стоимость 1 кВт * часа, руб
Зэ = 2629862,2*2,05=5391217,5 руб.
5.3.2 Расчет трудозатрат
Расчет трудозатрат включает расчет численности всех категорий работающих и годового фонда заработной платы.
Расчет начинается с разработки баланса рабочего времени одного среднесписочного рабочего.
Режим работы основного производства – непрерывный, в 3 смены по 8 часов по типовому 4 – х бригадному графику.
Режим работы вспомогательного производства – периодический, 5 дней в неделю по 8 часов с остановками на выходные и праздничные дни.
Таблица 5.6. Баланс рабочего времени одного рабочего
Показатели
Непрерывное производство
Периодическое производство
1.Календарный фонд времени (Ткал.)
Выходные дни
Праздничные дни
365
91
-
365
104
12
2.Номинальный фонд времени (Тном.)
Целодневные невыходы:
- отпуск
- невыходы по болезни
- государственные и общественные обязанности
- ученический отпуск
274
32
24
5
1
2
249
29
24
4
-
1
3.Эффективный фонд времени (Тэф),
дни
часы
242
1936
220
1760
Численность рабочих определяется их явочным, штатным и списочным составом.
Явочная численность показывает, какое число рабочих должно выходить ежесменно и ежесуточно для обеспечения нормальной работы очистной установки. Численность явочная сменная определяется на основании сменных штатных нормативов.
При 3–х сменном режиме работы численность явочная суточная будет равна:
Чяв/сут = Чяв/смен * n,
Где n – число смен в сутки (n = 3).
Численность штатная дополнительно учитывает подмену на выходные дни.
Для сменного персонала:
Чштат = Чяв/сут * Ткал./Тном.
Для дневного персонала:
Чштат = Чяв/сут
Численность списочная, дополнительно к штатной численности, учитывает подмену на другие целодневные невыходы.
Для сменного персонала:
Чспис = Чяв/сут * Ткал./Тэф.
Для дневного персонала:
Чспис = Чяв/сут * Тном./Тэф
Расчет численности представлен в таблице 5.7.
Таблица 5.7. Расчет численности производственных рабочих
Профессия
разряд
Численность
явочная
Численность штатная
Численность
списочная
В смену
В сутки
расчетная
принятая
Основные рабочие:
Оператор механической очистки
4
1
3
4
4,5
4
Оператор биологической очистки
4
1
3
4
4,5
5
Оператор блока обработки осадка
4
-
1
1
1,1
1
Оператор блока обеззараживания
4
-
1
1
1,1
1
Оператор компрессорного оборудования
4
1
3
4
4,5
5
Машинист котельной
4
1
3
4
4,5
5
Итого основные рабочие
-
-
14
18
20,2
21
Вспомогательные рабочие:
Электромонтер
3
-
1
1
1,1
1
Слесарь по оборудованию и КИП
4
-
1
1
1,1
1
Электрогазосварщик
3
-
1
1
1,1
1
Лаборант
4
-
1
1
1,1
1
Итого вспомогательные рабочие
-
-
4
4
4,4
4
Всего рабочих
-
24,6
25
5.3.3 Расчет годового фонда заработной платы
Годовой фонд заработной платы рабочих складывается из фондов основной и дополнительной заработной платы.
ФЗПгод = ФОЗП + ФЗДП
Фонд основной заработной платы включает:
ФОЗП = ФЗПтар. + Пр + Дн/в + Дпразд. + ПН,
Где ФЗПтар. – годовой фонд заработной платы по тарифу,
Пр – премия из фонда заработной платы,
Дн/в – доплаты за работу в ночное и вечернее время,
Дпразд – доплаты за работу в праздничные дни,
ПН – поясная надбавка.
Годовой фонд заработной платы по тарифу рассчитывается по формуле:
ФЗПтар. = ТС * Чспис. * Тэф,
Где ТС – часовая тарифная ставка,
Чспис – списочная численность рабочих,
Тэф – эффективное время работы одного рабочего, час/год
(Тэф. = 1936 часов/год – для сменного персонала, Тэф. = 1760 часов/год – для дневного персонала).
Премия из фонда заработной платы определяется по установленному проценту (принимаем размер премии равным 30% от ФЗПтар).
Работа в вечернее и ночное время оплачивается со следующими надбавками:
- время вечерней работы: с 22.00 до 24.00, доплата составляет 20% от ФЗПтар;
- время ночной работы: с 0.00 до 6.00, доплата составляет 40% от ФЗПтар.
Доплату за работу в вечернее и ночное время будет равная:
Доплата за работу в праздничные дни определяется по формуле:
,
где nпразд – число праздничных дней в году (nпразд = 12 дней),
tсмен – продолжительность смены (tсмен = 8 часов).
Если в регионе предусматривается поясная надбавка, она также включается в фонд основной заработной платы. Для Пермского края поясная надбавка составляет 15 % от ФОЗП.
Фонд основной заработной платы с поясной надбавкой будет равен
, руб.
Фонд дополнительной заработной платы (выплаты работникам за непроработанное, но оплаченное по законодательству время) будет равен
Всего годовой фонд заработной платы рабочих составит
Расчет фонда ИТР и МОП производится на основании установленных окладов. Соответствующий расчет приведен в таблице 5.9.
Таблица 5.9. Расчет годового фонда заработной платы ИТР и МОП
Должность
Численность, чел
Оклад в месяц, руб.
Зарплата по окладам в год, тыс.руб.
Дпр,
тыс. руб.
Поясная надбавка (15% оклада), тыс.руб.
Годовой фонд зарплаты,
тыс.руб
Начальник ОС
1
20000
240
-
36
276
Инженер-технолог
1
18000
216
-
32,4
248,4
Мастер смены
4
12000
576
12
88,2
676,2
Заведующий лабораторией
1
10000
120
-
18
138
Уборщик территории
1
6000
72
-
10,8
82,8
Итого
8
66000
792
-
185,4
1421,4
Всего расходы на оплату труда составят:
Таблица 5.10.Трудовые показатели по очистным сооружениям
Показатель
Ед. изм.
Величина показателя
Численность работающих, в т.ч.:
- основные рабочие
- вспомогательные рабочие
- ИТР
- МОП
чел.
21
4
7
1
Годовой фонд заработной платы
тыс. руб.
5886,49
Среднегодовая заработная плата одного работающего
руб.
178378
5.3.4 Расчет затрат на содержание и ремонт оборудования
Расчет сметы затрат на эксплуатацию, содержание и ремонт оборудования выполнен в таблице 5.11. Смета составляется на годовой объем производства.
Таблица 5.11.Смета затрат на содержание, эксплуатацию и ремонт оборудования
№ п/п
Наименование расходов
Отчисления, тыс.руб.
1
Амортизация оборудования и транспортных средств
1875,9
2
Эксплуатация и содержание оборудования:
- вспомогательные материалы, услуги цехов по обслуживанию оборудования (2% от стоимости оборудования)
- заработная плата вспомогательных рабочих
- ЕСН (26% от ЗП)
297,76
597,37
155,31
ИТОГО по ст. 2
1050,44
3
Текущий ремонт оборудования:
- вспомогательные материалы, запчасти, услуги цехов по ремонту (5 % от стоимости оборудования)
744,4
4
Капитальный ремонт оборудования
(10% от стоимости оборудования)
1488,8
Итого по статьям 1 - 4
5159,54
5
Внутризаводские перемещения грузов (5 % от суммы расходов по предыдущим статьям)
257,97
Всего по смете
5417,51
6
Неучтенные затраты (10% от учтенных затрат)
541,75
Всего
5959,26
5.3.5 Расчет накладных расходов
Смета накладных расходов рассчитывается на годовой объем очищаемой сточной воды.
Таблица 5.12. Смета накладных расходов
Наименование расходов
Сумма,
тыс. руб.
1
2
1.Содержание аппарата управления:
- Заработная плата ИТР
- ЕСН (26% от ЗП)
1338,6
348,1
Итого:
1686,7
2. Амортизация зданий и сооружений
1
1657,88
2
3.Содержание и ремонт зданий и сооружений (16,85% от стоимости зданий и сооружений)
- Заработная плата МОП
- ЕСН (26% от ЗП)
6905,07
82,8
21,52
Итого:
7009,39
4. Налог на имущество (2% от стоимости ОФ)
1117,58
ИТОГО:
11469,71
Неучтенные затраты (10% от учтенных затрат)
1146,97
ВСЕГО накладных расходов:
12616,68
На основе предыдущих расчетов составлена проектная калькуляция годовых эксплуатационных затрат и себестоимости очистки 1м3.
Таблица 5.13. Проектная калькуляция себестоимости очистки Годовой объем очищенных сточных вод = 2190 тыс. м3/год Калькуляционная единица 1м3 воды
Статьи расхода
Затраты на 1 м3 воды, руб.
Годовые затраты
К - во
Цена
Сумма
Кол - во
Сумма, тыс. руб.
Энергетические затраты, кВт * час
1,2
2,05
2,46
2629862,2
5391,2
Заработная плата основных рабочих
1,76
3867,72
Отчисления в социальные фонды (26 % от ЗП)
0,45
1005,55
Содержание, эксплуатация и ремонт оборудования, руб.
2,72
5959,26
Накладные расходы, руб.
5,76
12616,68
ИТОГО, руб.:
13,15
28840,41
Внепроизводственные расходы (1 % от годовых эксплуатационных затрат)
0,13
288,4
Полная себестоимость, руб.
13,28
29128,81
Таким образом, на 1 м3 очищенной воды эксплуатационные затраты будут составлять 13,28 руб.
5.4 Определение величины предотвращенного экологического ущерба
Определение величины предотвращенного экологического ущерба от загрязнений водных ресурсов определяется по «Методике определения предотвращенного экологического ущерба», утвержденной Государственным комитетом Российской Федерации по охране окружающей среды 30.11.1999г [16].
Оценка предотвращенного экологического ущерба от загрязнения водных ресурсов проводится на основе региональных показателей удельного ущерба, представляющих собой удельные стоимостные оценки ущерба на единицу (1 условная тонна) приведенной массы загрязняющих веществ по формуле:
Где Упр – предотвращенный экологический ущерб водным ресурсам, тыс. руб;
Ууд – удельный ущерб (цена загрязнения) водным ресурсам, наносимый единицей (условная тонна) приведенной массы загрязняющих веществ;
Ууд = 8264,00 руб./усл.тонну – для Пермского края.
m – приведенная масса загрязняющих веществ, не поступающих (не допущенных к сбросу) в водный источник, мг/сут;
К – коэффициент экологической ситуации и экологической значимости состояния водных объектов по бассейнам основных рек.
К = 1,16 – для Пермского края (постановление администрации Пермского края № 35 от 10.03.93г.)
Приведенная масса загрязняющих веществ рассчитывается по следующей формуле:
mi = (305 мг/мл * 6000 м3/сутки)/106 = 1,8 мг/сутки
где mi – фактическая масса снимаемого (не допущенного к попаданию в водный источник) загрязняющего вещества в водный объект до (m1) и после (m2) строительства очистных сооружений.
мг/сутки.
Упр = 8264,0*0,2088 = 17255,2 руб.
С учетом коэффициента инфляции к ценам 2008 года К = 1,538
Упр = 1,538 * 1725,52 = 26538,5 руб.
Величина предотвращенного экологического ущерба составляет 26538,5 руб.
Основные технико–экономические показатели проектируемых очистных сооружений представлены в таблице 5.14.
Таблица 5.14. Технико–экономические показатели очистных сооружений
Показатели
Единица
измерения
Величина показателя
Производственная мощность
тыс. м 3/год
2190
Капитальные вложения
тыс. руб
60349,71
Численность персонала списочная
чел.
33
Фонд заработной платы персонала
тыс. год
5886,49
Среднегодовая заработная плата одного работающего
руб.
178378
Себестоимость очистки 1 м3 воды
руб.
13,28
Предотвращенный экологический ущерб
руб. /год
26538,5
Определены инвестиционные издержки на создание станции биологической очистки сточных вод поселков городского типа мощностью 2190 тыс. м3 в год, которые составляют около 60 млн. руб. Рассчитаны годовые эксплуатационные затраты, составляющие около 30 млн. руб. В пересчете на 1 м3 очищенной воды эксплуатационные затраты равны 13,28 руб. Величина предотвращенного экологического ущерба составляет около 27 тыс. руб. в год.
6. Безопасность жизнедеятельности
6.1 Краткая характеристика производства
Процесс очистки сточных вод поселка городского типа имеет большое экологическое значение. Повышение требований к качеству очищаемых стоков заставляет искать более эффективные и экологически безопасные способы удаления загрязнений из сточных вод. Выбранная технологическая схема очистки включает следующие аппараты и агрегаты: решетки с механической очисткой осадка, горизонтальные песколовки с круговым движением воды, радиальные первичные отстойники, аэротенк-вытеснитель с регенератором, радиальные вторичные отстойники, блок доочистки на механический фильтрах, блок обеззараживания ультрафиолетовым облучением и сборник очищенной воды.
Основным аппаратом биологической очистки сточных вод от нефтепродуктов является аэротенк-вытеснитель с регенератором, в который поступает предварительно очищенная с помощью механических и физико-химических методов сточная вода. Аэротенк-вытеснитель с регенератором представляет собой аппарат, в котором реализовано раздельное протекание двух этапов биологической очистки: поглощение загрязнений активного ила из сточной воды с помощью бактерий и простейших микроорганизмов – это непосредственно происходит в аэротенке, и окисление этих загрязнений протекает в регенераторе. Данная технологическая схема позволяет обеспечить полную биологическую очистку сточных вод до ПДК, что позволяет использовать очищенную воду в системе оборотного водоснабжения.
6.2 Анализ опасных и вредных факторов
Основными опасными и вредными производственными факторами на очистных сооружениях являются:
-неисправный слесарный инструмент;
-лестницы и скобы для подъема и спуска в колодец;
-применяющиеся случайные предметы для открывания крышек люков колодцев;
-электроток при повреждении электросетей при выполнении земляных работ по вскрытию трубопроводов канализационно-водопроводной сети;
- падающие случайные предметы, заготовки деталей и инструменты;
-огнеопасные и газовоздушные смеси и отравляющие вещества (метан, светильный газ, сероводород, сернистый ангидрид, аммиак, хлор и др.);
- неисправность инструмента и оборудования для заготовки труб, сгонов, муфт и других деталей, отсутствие у слесаря предохранительных и защитных средств, плохое освещение и загроможденность рабочего места;
-движущиеся элементы оборудования (насосов, воздуходувок, механизированных решеток, лебедок);
-отлетающие предметы (например, отлетающие части при выбивании заглушек с испытуемых трубопроводов);
-образование взрывоопасных смесей и газов (в колодцах на сетях);
-опасный уровень напряжения в электросети. Опасность поражения людей электрическим током;
-травмирование людей при обращении с грузоподъемными устройствами и машинами;
-пониженная температура воздуха в производственных помещениях и сооружениях;
-повышенная влажность воздуха;
-повышенный уровень ультрафиолетового излучения бактерицидной установки;
-повышенный уровень шума и вибрации от воздуходувок и насосов на очистных сооружениях;
-недостаточная освещенность рабочей зоны (в колодцах, камерах, каналах и т.п.);
-газообразные вещества общетоксичного и другого вредного воздействия в колодцах, каналах, насосных станциях, очистных сооружениях (сероводород, метан, пары бензина, эфира, диоксид углерода, озон и др.);
-газы, выделяющиеся в результате утечки из баллонов, бочек, цистерн (аммиак, хлор и др.);
-горючие примеси, попавшие в сточные воды (бензин, нефть и др.);
-повышенная запыленность воздуха в рабочей зоне пылеобразующими реагентами (коагулянты, флокулянты, известь, сода, активированный уголь и т.д.);
-патогенные микроорганизмы в сточных и природных водах (бактерии, вирусы, простейшие);
-яйца гельминтов в сточных водах.
Основными опасными и вредными производственными факторами при определенных обстоятельствах могут быть: вращающиеся полумуфты центробежных насосов, ременные передачи, электроток, неисправная запорная и регулирующая арматура, наличие воды на полу, горячие поверхности трубопроводов, повышенный шум и вибрация, работа на высоте.
Проектом предусмотрены мероприятия и условия предотвращения травматизма, отравления и профессиональных заболеваний для создания безопасных условий труда. Технические решения, принятые в рабочем проекте, соответствуют требованиям экологических, санитарно-гигиенических, противопожарных и других норм действующих на территории Российской Федерации, и обеспечивают безопасную для жизни и здоровья людей эксплуатацию объекта при соблюдении предусмотренных в проекте мероприятий.
6.3 Мероприятия по обеспечению безопасной работы очистных сооружений
В производственных помещениях предусмотрены системы отопления, вентиляции, естественное и искусственное освещение в соответствии с требованиями соответствующих разделов СНиП и СН.
Электрооборудование применяется соответствующее высокой влажности.
Чтобы обеспечить безопасность обслуживающего персонала, все опасные части оборудования, механизмов и сооружений ограждены.
Насосы, воздуходувки, распределительные щиты, трубопроводы, арматура, приборы, вспомогательные и другие механизмы и аппаратура размещают таким образом, чтобы к ним был свободный подход в соответствии с действующими нормами.
Автоматическое управление основных сооружений дублировано ручным управлением.
В административно-бытовом корпусе располагаются необходимые санитарно-бытовые помещения для обслуживающего персонала очистных сооружений (для обогрева, сушки рабочей одежды, приема пищи, раздевалка, туалет с умывальником).
Производственные сооружения, административно-бытовые и вспомогательные и помещения оборудуют средствами пожаротушения в соответствии с требованиями Госпожнадзора.
6.3.1 Производственная санитария
Эксплуатация очистных сооружений должна производиться квалифицированным персоналом.
Руководящий персонал обеспечивает:
рабочие места должностными и эксплуатационными инструкциями по технике безопасности, противопожарной охране;
все сооружения технической и технологической документацией и паспортами;
на всех сооружениях поддержание технологического режима работы;
производство планово-предупредительного (текущего и капитального) ремонта;
правильное ведение рабочих журналов дежурным персоналом;
своевременное устранение неисправностей;
организацию технической учебы по технике безопасности.
при приеме на работу каждому работнику должна быть выдана инструкция по технике безопасности и правильному обслуживанию рабочего места. Все рабочие должны быть снабжены спецодеждой, согласно принятых нормативов.
6.3.2 Создание безопасных условий труда работников
На биологических станциях особую опасность для обслуживающего персонала представляют серосодержащие вещества, углекислый газ и другие вредные газообразные продукты, выделяющиеся в атмосферу при аэрации и основном процессе очистки сточных вод.
Необходимо иметь в виду, что двуокись углерода – газ, плотность которого более, чем в 1,5 раза выше плотности воздуха, поэтому он собирается в емкостях установок и создает опасность, например, при их ремонте. Уже при концентрации в воздухе 4-5% СО2 по объему появляется шум в ушах, повышается кровяное давление.
При эксплуатации установок биологической очистки существует опасность заражения инфекционными заболеваниями, возбудители которых передаются при контакте со сточными водами.
Порядок допуска к выполнению работ
Работники, эксплуатирующие установку, имеют профессиональную подготовку (в том числе и по безопасности труда), соответствующую характеру выполняемых работ.
Работники, связанные с эксплуатацией установки, проходят предварительные и периодические медицинские осмотры в порядке, предусмотренном Минздравом России.
Работники, обслуживающие установку, допускаются к работе только после прохождения следующих видов инструктажа по безопасности труда:
вводный;
первичный инструктаж на рабочем месте;
повторный;
внеплановый;
целевой.
Вводный инструктаж проводят со всеми вновь принимаемыми на работу независимо от образования, стажа работы по данной профессии или должности, с временными работниками, командированными, учащимися и студентами, прибывшими на производственное обучение или практику.
Первичный инструктаж на рабочем месте до начала производственной деятельности проводят:
со всеми вновь принятыми в организацию, переводимыми из одного подразделения в другое;
с работниками, выполняющими новую для них работу, командированными, временными работниками;
со студентами и учащимися, прибывшими на производственное обучение или практику, перед выполнением новых видов работ.
Все работники после первичного инструктажа на рабочем месте в течение первых 5-10 смен (в зависимости от характера работы, квалификации работника) проходят стажировку под руководством работников, назначаемых распоряжением начальника установки.
Повторный инструктаж проходят все работники независимо от квалификации, образования, стажа, характера выполняемой работы один раз в полугодие. Его проводят индивидуально или с группой работников, обслуживающих однотипное оборудование, в пределах общего рабочего места по программе первичного инструктажа на рабочем месте в полном объеме.
Внеплановый инструктаж проводят:
при введении в действие новых или переработанных государственных стандартов, правил, инструкций по охране труда, а также изменений к ним;
при изменении технологического процесса, замене или модернизации оборудования, приспособлений, инструмента, исходного сырья, материалов и других факторов, влияющих на безопасность труда;
при нарушении работниками и учащимися требований безопасности труда, которые могут привести или привели к травме, аварии, взрыву, пожару, отравлению;
по требованию органов надзора;
при перерывах в работе - 60 календарных дней.
Внеплановый инструктаж проводят индивидуально или с группой работников одной профессии. Объем и содержание инструктажа определяют в каждом конкретном случае в зависимости от причин и обстоятельств, вызвавших необходимость его проведения.
8. Целевой инструктаж проводят при выполнении разовых работ, не связанных с прямыми обязанностями работника по специальности (погрузка, выгрузка, уборка территории, разовые работы вне организации, цеха и т.п.); ликвидации последствий аварий, стихийных бедствий и катастроф; производстве работ, на которые оформляется наряд-допуск. Целевой инструктаж с работниками, проводящими работы по наряду-допуску, фиксируется в наряде-допуске.
Первичный инструктаж на рабочем месте, повторный, внеплановый и целевой проводит непосредственный руководитель работ (инженер-технолог).
Инструктажи на рабочем месте завершаются проверкой знаний устным опросом или с помощью технических средств обучения, а также проверкой приобретенных навыков безопасных способов работы. Знания проверяет работник, проводивший инструктаж.
Лица, показавшие неудовлетворительные знания, к самостоятельной работе или практическим занятиям не допускаются и обязаны вновь пройти инструктаж. Результаты проведения всех видов инструктажа (кроме целевого инструктажа) записываются в журналы регистрации.
Выполнение всех требований технологической и трудовой дисциплины является важным фактором обеспечения безопасности персонала.
Если общие технические мероприятия не могут полностью предохранить работающего от воздействия вредных и опасных производственных факторов, персонал обязан пользоваться средствами индивидуальной защиты и защитным инвентарем (спецодежда, спецобувь и предохранительные приспособления, предназначенные для защиты работающих от вредного воздействия среды, а также на работах в неблагоприятных температурных и санитарных условиях).
Необходимо строго соблюдать правила личной гигиены. Во время работы нельзя вытирать лицо руками и курить. Для выполнения грязной работы следует пользоваться резиновыми перчатками. Перед едой или курением необходимо вымыть руки теплой водой с мылом. Для оказания первой помощи в непосредственной близости от сооружения должна находиться аптечка с перевязочным материалом для обработки небольших порезов, царапин, ссадин. При более серьезных травмах следует немедленно обращаться к врачу.
6.4 Техника безопасности
На сооружениях биологической очистки
В аэротенках, находящихся в павильонах предусмотрена вентиляция. Полы в павильонах следует ежедневно промывать водой.
Правила техники безопасности при работе на аэротенках заключаются в соблюдении мер предосторожности в эксплуатации резервуаров, наполненных жидкостью. Все аэротенки ограждены по периферии барьером высотой не менее 1 м с разрывами только в местах сопряжения барьера с перилами переходных мостиков. Не допускаются какие-либо работы при поврежденных перилах и барьерах. Снимать ограждающие барьеры категорически запрещается. Нельзя производить ремонтные работы над жидкостью в аэротенке. Если имеется возможность, ремонтируемое оборудование или узлы деталей следует снимать с аэротенков и ремонтировать вне сооружения; если такой возможности нет, а работу нужно выполнить в стороне от мостиков и площадок обслуживания, следует опорожнять аэротенк.
Территория, где расположены аэротенки, имеет оборудованные подъезды и проезды с указательными знаками: в ночное время габариты аэрационных бассейнов отмечаются световыми указателями. Все сооружения в темное время суток должны быть хорошо освещены.
Для выполнения ремонтных работ внутри опорожненных аэротенков следует иметь инвентарные лестницы и подмостки, соответствующие размерам резервуаров и изготовленные так, чтобы их монтаж отвечал требованиям простоты, удобства обращения и прочности установки.
Все открытые вращающиеся детали и узлы должны быть ограждены.
Павильоны, в которых находятся аэротенки, относятся к сырым помещениям. Поэтому необходимо предусмотрены защищенное исполнение светильников и арматуры. Работать вблизи электрооборудования можно только на деревянных решетках с резиновыми ковриками поверх решеток.
6.5 Обеспечение пожаробезопасности
Производственные территории должны быть оборудованы средствами пожаротушения согласно ППБ – 01, зарегистрированных Минюстом России 27 декабря 1993 г. № 445.
В местах, содержащих горючие или легковоспламеняющиеся материалы, курение должно быть запрещено, а пользование открытым огнем допускается только в радиусе более 50 м.
Не разрешается накапливать на площадках горючие вещества (жирные масляные тряпки, опилки или стружки и отходы пластмасс), их следует хранить в закрытых металлических контейнерах в безопасном месте.
Противопожарное оборудование должно содержаться в исправном, работоспособном состоянии. Проходы к противопожарному оборудованию должны быть всегда свободны и обозначены соответствующими знаками.
На рабочих местах, где применяются или приготавливаются клеи, мастики, краски и другие материалы, с использованием огня или взрывоопасные или вредные вещества, не допускается действие с использованием огня или вызывающие искрообразование. Эти рабочие места должны проветриваться. Электроустановки в таких помещениях должны быть во взрывоопасном исполнении. Кроме того, должны быть приняты меры, предотвращающие возникновение и накопление зарядов статического электричества.
Рабочие места, опасные во взрыво- или пожарном отношении, должны быть укомплектованы первичными средствами пожаротушения и средствами контроля и оперативного оповещения об угрожающей ситуации.
Склонность к самовозгоранию характеризует способность ряда веществ и материалов самовозгораться и гореть при нагревании до сравнительно небольших температур или при контакте с другими веществами, а также при воздействии тепла, выделяемого микроорганизмами в процессе их жизнедеятельности.
Таблица 6.1. Порядок хранения пожароопасных веществ
Группа веществ
Группа веществ, с которой не допускается совместное хранение
Помещения для хранения
1
2
3
1.Взрывчатые вещества:
Динамит, нитроглицерин, гремучий студень, дымный и бездымный пороз и т.д.
2.Хлораты и селитры:
Селитры аммонийная, калиевая, кальциевая, натриевая и т.п.
3.Сжатые и сжиженные газы:
Горючие и поддерживающие горение: ацетилен, водород, водяной газ, воздух сжатый и жидкий, дивинил, кислород, нефтяной газ, окись этилена, пропилен, сероводород
Негорючие газы: азот, аргон, гелий, неон, сернистый ангидрид, углекислый газ.
4.Самовозгорающиеся и воспламеняющиеся вещества:
Карбид кальция, металлический калий, кальций и натрий, фосфор желтый, фосфористые кальций и натрий, промасленные и волокнистые материалы и опилки
5.Легковоспламеняющиеся жидкости: ацетон, бензин, нефть, сероуглерод, скипидар, спирты, эфиры, органических кислот, эфир серный и петролейный
6. Отравляющие и сильнодействующие вещества:
Мышьяковистый ангидрид, мышьяковистые препараты, соли ртутные и цианистые, фосген, хлор, хлорпикрин
7. Вещества, могущие вызвать воспламенение:
Бор, марганцовокислый калий, сильные кислоты (азотная, серная), хлориды органические, хромовая кислота и ее соли
8.Легкогорючие материалы:
Вата, джут, пенька, сажа, солома, стружка древесная, хлопок, щепа.
2, 3, 4, 5, 6, 7, 8
1;3,а; 4, 5, 6, 7
1, 2, 4, 5, 7, 8; не допускается совместное хранение разноименных газов группы 3,а.
1, 2, 3, 5, 7, 8
1, 2, 3,а, б; 4, 6, 7, 8
1, 4, 5, 8
1, 2, 3,а; 4, 5, 6, 8
1, 2, 3, 4, 5, 6, 7
Специальные огнестойкие склады, погреба, землянки
Изолированные отделения огнестойких складов
Специальные огнестойкие склады или открытый воздух под навесом
Изолированные отделения общих складов
Изолированные отделения общих огнестойких складов
Специальные огнестойкие склады, погреба
Специальные закрытые помещения
Каждое вещество изолировано от других
Изолированно от веществ прочих групп
Различают тепловое, химическое и микробиологическое самовозгорание. Склонность к тепловому самовозгоранию характеризуют температурами самонагревания и тления, температурой среды, при которой наблюдается самовозгорание, а также размерами и формой образца.
Подготовка рабочего места и допуск к работе командированного персонала осуществляется во всех случаях техническим персоналом эксплуатирующей организации.
6.6 Расчет производственного освещения
Основной задачей производственного освещения является поддержание на рабочем месте освещенности, соответствующей характеру зрительной работы.
Расчет светового потока:
1. Выбор системы освещения.
В целях санитарной гигиены выбираем систему общего освещения.
2.Выбор типа светильника.
Выбран светильник типа ОД с газоразрядными лампами, которые соответствуют воздушной среде, требованиям пожарной безопасности и распределения яркости.
3. Распределение светильников и определение их количества.
Расстояние между центрами светильников Lс определяем из формулы:
где hс – высота подвеса, м.
Количество светильников определяем из формулы:
где Sс – площадь помещения, м2.
4. Определение нормированной освещенности рабочего места.
Разряд зрительной работы – второй (работа по вводу и считыванию информации с дисплея), характеристика фона - средняя.
Следовательно, норма освещенности Еп = 300 лк.
5. Расчет мощности источника света по формуле:
где Фп - мощность источника света, лм;
L - коэффициент минимальной освещенности, 1,3;
q - коэффициент использования светового потока лампы, 0,5;
Rз - коэффициент запаса, 1,5.
По величине мощности светового потока находим из таблицы стандартную лампу.
Таблица 6.2. Типы ламп и их характеристики
№
Тип лампы
Световой поток, лм
Световая отдача, лм/Вт
1
ЛДу 30
1450
48,2
2
ЛД 30
1640
54,5
3
ЛБ 30
2100
70,0
4
ЛБ 40
3000
75,0
5
ЛДу 80
35600
44,5
6
ЛБ 80
5220
65,3
Наиболее подходит значение лампы ЛБ-30, таким образом для искусственного освещения операторной площадью 20 м2 необходимы 10 ламп ЛБ-30, что отвечает требованиям санитарной производственной гигиены [1].
Заключение
В соответствии с утвержденным заданием на проектирование очистных сооружений поселка городского типа разработан проект производительностью 6000 м3/сутки. На основание литературных данных выбрана технологическая схема очистки сточных вод поселка городского типа, которая включает блоки очистки: механическая, биологическая, доочистка на механических фильтрах и блок обеззараживания ультрафиолетовым облучением. В результате реализации разработанной технологии происходит снижение содержания взвешенных веществ с 300 мг/л до 5 мг/л и БПК с 200 мг/л до 3 мг/л, что соответствует уровню предельно-допустимых концентраций.
Произведен расчет технологических очистных сооружений: решетки, песколовки, первичные и вторичные отстойники, аэротенк-вытеснитель с регенерацией, воздуходувное хозяйство, механические фильтры, аэробный стабилизатор и вспомогательное оборудование.
В технико-экономическом разделе определены инвестиционные издержки на создание станции биологической очистки сточных вод поселков городского типа мощностью 2 млн. м³ в год, которые составляют около 60 млн.руб. Рассчитаны годовые эксплуатационные затраты, составляющие около 30 млн. руб.в перерасчете на 1 м³ очищенной воды эксплуатационные затраты равны около 14 руб. Величина предотвращенного экологического ущерба составляет примерно 27 тыс. руб. в год.
В разделе по безопасности жизнедеятельности проведен анализ опасных и вредных факторов, мероприятия по обеспечению безопасной работы на очистных сооружениях и техника безопасности.
1
Нравится материал? Поддержи автора!
Ещё документы из категории экология:
Чтобы скачать документ, порекомендуйте, пожалуйста, его своим друзьям в любой соц. сети.
После чего кнопка «СКАЧАТЬ» станет доступной!
Кнопочки находятся чуть ниже. Спасибо!
Кнопки:
Скачать документ