Аналіз фінансової стійкості підприємства в умовах обмеженості зовнішніх джерел фінансування







ЗМІСТ
Вступ
1. Теоретико-методологічне обґрунтування фінансової стійкості, її місце в загальній системі економічних параметрів
2. Організаційно-економічна характеристика СХПК ім. Карбишева
3. Аналіз фінансової стійкості підприємства в умовах обмеженості зовнішніх джерел фінансування
3.1. Аналіз майнового положення і структури сільськогосподарського капіталу
3.2. Аналіз ліквідності і платоспроможності підприємства
3.3. Аналіз фінансової стійкості
3.4. Аналіз ділової активності підприємства
3.5. Діагностика і визначення ризику банкрутства підприємства
3.6. Механізм фінансової стабілізації
Висновки
Список використаної літератури
Додатки
ВСТУП
Фінансові ресурси є основним видом ресурсів в умовах ринкової економіки.
Під фінансовим станом розуміють здатність підприємства фінансувати свою діяльність. Воно характеризується забезпеченістю фінансовими ресурсами, доцільністю їх розміщення та ефективністю використання.
Фінансовий стан може бути стійким, хитливим і кризовим. Здатність підприємства вчасно робити платежі, фінансувати свою діяльність на розширеній основі свідчить про його гарний фінансовий стан.
Фінансовий стан підприємства залежить від результатів його виробничої, комерційної і фінансової діяльності.
Щоб вижити в умовах ринкової економіки і не допустити банкрутства підприємства, необхідно добре знати, як керувати фінансами, яка повинна бути структура капіталу по складу і джерелам, яку частку повинні займати власні засоби, а яку - позикові.
Головна мета написання дипломної роботи - вчасно виявляти й усувати недоліки у фінансовій діяльності і виявити резерви поліпшення фінансового стану підприємства і його платоспроможності.
При цьому необхідно вирішити наступні задачі:
- на основі вивчення причинно-наслідкового взаємозв'язку між різними показниками виробничої, комерційної і фінансової діяльності дати оцінку надходженню фінансових ресурсів і їх використанню з позиції поліпшення фінансового стану;
- спрогнозувати можливі фінансові результати, економічну рентабельність, виходячи з реальних умов господарської діяльності і наявності власних і позикових ресурсів, розробка моделей фінансового стану при різноманітних варіантах використання ресурсів;
- розробити конкретні заходи, спрямовані на більш ефективне використання фінансових ресурсів і зміцнення фінансового стану підприємства.
Аналіз фінансового стану підприємства ґрунтується головним чином на відносних показниках, тому що абсолютні показники балансу в умовах інфляції практично неможливо привести в порівнянний вид.
Основними джерелами інформації для аналізу фінансового стану підприємства є форма №1 "Баланс" (див. додаток А), форма №2 "Звіт про фінансові результати" (див. додаток Б), "Звіт про рух коштів" (форма №3), "Звіт про власний капітал" (форма № 4), дані первинного й аналітичного бухгалтерського обліку, що розшифровують і деталізують окремі статті балансу, річні звіти за 1998-2000 роки.
РОЗДІЛ 1
ТЕОРЕТИКО-МЕТОДОЛОГІЧНЕ ОБҐРУНТУВАННЯ ФІНАНСОВОЇ СТІЙКОСТІ, ЇЇ МІСЦЕ В ЗАГАЛЬНІЙ СИСТЕМІ ЕКОНОМІЧНИХ ПАРАМЕТРІВ
Ринкова економіка і нові форми господарювання ставлять проблеми, які раніше не виникали, однією з яких на сьогодні є економічна стабільність підприємств.
Щоб забезпечити "виживання" підприємства в умовах ринку, управлінському персоналу потрібно оцінювати можливі і доцільні темпи його розвитку з позиції фінансового забезпечення, виявляти доступні джерела засобів, забезпечуючи тим самим стійке положення підприємству. Визначення стійкості на етапі розвитку комерційних і виробничих відносин необхідно не тільки для самих підприємств, але і для партнерів, що приймають особисту участь у їх фінансовій і господарській діяльності. Це розуміється бажанням мати інформацію про стабільність, фінансове благополуччя і надійність свого замовника чи клієнта. Тому усе більша кількість контрагентів починає утягувати до аспекту вивчення та оцінки стійкості конкретного підприємства.
Однак сама проблема стійкості вітчизняних підприємств у сучасних ринкових умовах недостатньо вивчена. Звідси, відсутність конкретності в трактуванні понять різних видів стійкості, розмитість їх граней, що на практиці ускладнює і спотворює оцінку.
У сучасній економічній літературі виділяють різні грані стійкості. Так, стосовно до підприємства, вона може бути загальною, фінансовою, ціновою, а в залежності від факторів, що впливають на неї внутрішньою і зовнішньою. [1].
Під внутрішньою стійкістю підприємства розуміють такий стан матеріально-речовинної і вартісної структури виробництва і реалізації продукції, таку її динаміку, при якій забезпечується стабільно високий результат функціонування підприємства. Вважається, що основі досягнення внутрішньої стійкості лежить принцип активного реагування на зміни внутрішніх і зовнішніх факторів.
Зовнішня стосовно підприємства стійкість визначається стабільністю економічного середовища, у рамках якої здійснюється діяльність підприємства. Вона досягається відповідною системою управління економікою в масштабах усієї країни, а також конкретної галузі.
Наші вітчизняні підприємства АПК, що відробили тривалий час умовах, "штучно" створюваних державою, звикли до зовнішньої стійкості, тобто стійкості, що досягається управлінням ззовні. Для ринкової економіки характерна внутрішня стійкість підприємства, в основі якої лежить управління за принципом зворотного зв'язку, тобто активне реагування управління на зміну зовнішніх і внутрішніх факторів.
Виділяють ще, так названу, "успадковану стійкість", що визначається наявністю відомого запасу міцності, сформованого протягом ряду років, що захищає підприємство від несприятливих дестабілізуючих факторів і "стійкість-опір", що характеризує стан рівноваги підприємства, що зберігається, незважаючи на вплив зовнішніх і внутрішніх факторів, що вводять підприємство з рівноваги. На наш погляд, саме "стійкість опір" є вищою формою стійкості.[2]
Стійкість підприємства, що поєднує всі аспекти його життєдіяльності, прийнято називати - "загальна стійкість підприємства". В умовах ринку дана стійкість вимагає, насамперед, стабільного одержання виторгу, причому достатньої по своїх розмірах, щоб розплатитися з державою, постачальниками, кредиторами, працівниками й ін. Одночасно для розвитку підприємства необхідно, щоб після завершення всіх розрахунків і виконання всіх зобов'язань у нього залишався прибуток, що дозволяє розвивати виробництво. Виходячи з цього, на наш погляд, у рамках загальної стійкості варто розрізняти статичну і динамічну стійкість. Перша ототожнюється із спокоєм, пасивністю, друга - із стабільним розвитком підприємства. Таким чином, поняття загальної стійкості підприємства припускає, насамперед, такий рух грошових потоків, що забезпечує постійне перевищення засобів над їхніми витратами.
У сьогоднішніх умовах головними компонентами загальної стійкості підприємств АПК, на наш погляд, є: економічна, фінансова, ринкова і цінова.
Проведені дослідження в даній області, дозволили розробити і запропонувати схему, що характеризує можливі грані стійкості підприємства агропромислового комплексу (рис. 1.1).
Стійкість підприємства тут представлена у виді трьох блоків, кожний з який поступово, зверху вниз, розукрупняться. Нижній блок схеми представлений вже окремими гранями загальної стійкості підприємства і дозволяє конкретно зупинятися на компоненті, що цікавить суб'єкта в даний момент.
Фінансова стійкість є головним компонентом загальної стійкості підприємства, тому що є характерним індикатором на підприємстві перевищення доходів над витратами. Вона відбиває такий стан фінансових ресурсів, при якому підприємство, вільно маневруючи коштами здатне шляхом ефективного їх використання забезпечити безперебійний процес виробництва і реалізації продукції, а також витрати по його розширенню і відновленню.
Подальше дослідження присвячене вивченню фінансової стійкості підприємства в сучасних умовах.
Будь-яка наука базується на загальноприйнятих, обґрунтованих теоретичних поняттях. Трактування в професійному фінансовому лексиконі терміну "фінансова стійкість" як і раніше залишається дуже розмитим і неоднозначним. Якщо звернутися до закордонної економічної літератури і світової практики, то тут розходження трактування поняття "фінансова стійкість" зуміється наявністю двох підходів до аналізу балансу: традиційного аналізу ліквідності балансу і сучасного функціонального аналізу балансу. З урахуванням наявності цих двох різних підходів аналитики по-різному трактують поняття фінансової стійкості.
Рис. 1. Основні види стійкості підприємства АПК
Так у роботах авторів [1], що займаються аналізом ліквідності, фінансова стійкість підприємства визначається правилами, спрямованими одночасно на підтримку рівноваги фінансових структур і на запобігання ризиків для інвесторів і кредиторів. Мова йде про традиційні правила фінансового стандарту, що включають:
а) правило мінімальної фінансової рівноваги;
б) правило максимальної заборгованості;
в) правило максимального фінансування.
Найбільш відоме правило - правило мінімальної фінансової рівноваги. Ресурси, використовувані для фінансування активів повинні залишатися в розпорядженні підприємства протягом терміну, що відповідає періоду, як мінімум, рівному терміну їхнього заморожування. Справді, у силу ризику виникнення невідповідності в обсягах, часі, швидкості оборотності короткострокових елементів активу і пасиву балансу, варто передбачати запас міцності, що виступає в сумі перевищення величини поточних активів над короткостроковими пасивами, тобто треба мати позитивну ліквідність.[3]
Правило максимальної заборгованості стосується довго - і середньострокової заборгованості. Для традиційного фінансового стандарту короткострокові борги відіграють допоміжну роль, розв'язують питання короткочасних перехідних нестатків, зв'язаних з чи сезонністю кон'юнктурою. Тому цей стандарт установлює межа в розмірі заборгованості підприємства власним джерелам засобів. Це може бути виражено правилом, називаним "50/50" (довго- і середньострокові борги не повинні перевершувати 50% постійних капіталів, що включають крім власних джерел засобів, прирівнювані до них джерела - позикові засоби, використовувані на термін більш одного року).
Таким чином, можна записати:
або
Правило максимального фінансування неможливо використовувати без здійснення попереднього. Для кожної операції інвестування, початої підприємством, звертання до позикових джерел не повинне перевершувати деякого відсотка сум усіх передбачених вкладень. Цей відсоток коливається в залежності від різних умов кредитування.
У роботах авторів, що займаються функціональним аналізом балансу, фінансова стійкість підприємства визначається при дотриманні наступних вимог:
1) підтримування фінансової рівноваги (як короткострокового, так і довгострокового);
2) оцінка загальної заборгованості.[4]
З першого погляду можна подумати, що мова йде про традиційні правила фінансового стандарту. Однак фінансова рівновага (довгострокове) тут має інший зміст, тому що автори, що займаються цим аналізом, включають до складу стабільних розміщень засобів, що покриваються за рахунок постійного капіталу крім вкладення в основні засоби і нематеріальні активи також потреби в оборотних фондах, під якими розуміється частина постійного капіталу, використовуваного для формування оборотних активів. Таким чином, стабільні ресурси (постійні капітали, що представляються собою), повинні цілком покривати стабільні розміщення засобів. Співвідношення менше 100% свідчить про те, що частина стабільних розміщень засобів була фінансована не стабільними ресурсами, що виступають у формі короткострокових кредитів і короткострокової заборгованості. Але це положення виявляє фінансову уразливість підприємства, фінансова рівновага якого залежить від відновлення джерел фінансування за рахунок залучення короткострокових кредитів. Ці кредити повинні бути обмежені сезонними змінами потреб в оборотних коштах.
Що стосується короткострокового фінансування, тут виходять з того, що сума потреби в оборотних фондах (у розмірі джерел власних оборотних коштів) міняється протягом звітного періоду і ці зміни можуть привести:
а) або до змін потреби в оборотних фондах (тобто зайвому забезпеченню підприємства оборотними коштами), у результаті чого тимчасово з'являються вільні джерела власних оборотних коштів;
б) або до недоліку потреби в оборотних фондах (тобто недоліку джерел власних оборотних коштів для формування оборотних активів, унаслідок чого приходиться використовувати позикові засоби, у тому числі короткострокові банківські кредити).
Для оцінки загальної заборгованості підприємства (тобто його фінансової стійкості) автори, що займаються функціональним аналізом балансу, діють однаковим образом, як і автори, що займаються традиційним аналізом ліквідності балансу. Але тут додається визначення рівня загальної заборгованості підприємства, установленої шляхом співвідношення величини всіх позикових засобів, з величиною власних джерел засобів. Дотримання вище зазначених вимог дозволяє забезпечити, так називане, основна рівність коштів.[5]
У сучасній вітчизняній економічній літературі трактування сутності фінансова стійкість також неоднозначна.
На початку 90-х років запас фінансової стійкості підприємства характеризували запасом джерел власних засобів, при тім умові, що його власні засоби перевищують позикові. Фінансова стійкість оцінювалася співвідношенням власних і позикових засобів в активах підприємства, темпами нагромадження власних засобів, співвідношенням довгострокових і короткострокових зобов'язань підприємства, достатнім забезпеченням матеріальних оборотних коштів власними джерелами.[6]
А.Д.Шеремет і Р.С.Сайфулин відзначають, що фінансова стійкість - це визначений стан рахунків підприємства, що гарантує його постійну платоспроможність [3]. Дійсно, у результаті здійснення якої-небудь господарської операції фінансовий стан підприємства може залишатися незмінним, або чи покращитися погіршитися. Потік господарських операцій, чинених щодня, є як би "возмутителем" визначеного стану фінансової стійкості, причиною переходу з одного типу стійкості в іншій. Знання граничних границь зміни джерел засобів, для покриття вкладень капіталу в основні чи фонди виробничі витрати, дозволяє генерувати такі потоки господарських операцій, що ведуть до поліпшення фінансового стану підприємства, до підвищення його стійкості.[7]
У даному викладі, при вивченні фінансової стійкості, виділяється відособлене поняття - "платоспроможність", ототожнюється не з попереднім. Платоспроможність тут є невід'ємним компонентом фінансової стійкості.[8] Найбільше чітко це підкреслюється в іншій роботі А.Д.Шеремета, де він пише: "Співвідношення вартості матеріальних оборотних коштів і величини власних і позикових джерел їхнього формування визначають стійкість фінансового стану підприємства. Забезпеченість запасів і витрат джерелами формування є сутністю фінансової стійкості, тоді як платоспроможність виступає її зовнішнім проявом".[9]
Наступна група авторів трактує фінансову стійкість як своєрідне дзеркало, що характеризує стабільно утвориться на підприємстві перевищення доходів над витратами. На їхню думку, вона відбиває такий стан фінансових ресурсів, при якому підприємство, вільно маневруючи коштами, здатне шляхом ефективного їхнього використання забезпечити безперебійний процес виробництва і реалізації продукції, а також витрати по його розширенню і відновленню Фінансова стійкість повинна характеризуватися таким станом фінансових ресурсів, що відповідає вимогам ринку і відповідає потребам підприємства. [10]
Інші підкреслюють, що фінансова стійкість підприємства .визначається правилами, спрямованими одночасно на підтримку рівноваги фінансових структур і на запобігання ризиків для інвесторів і .кредиторів На їхню думку, фінансову стійкість підприємства доцільно вимірювати показниками, що характеризують різні види відносини між власними і позиковими джерелами засобів використовуваних для формування майна, відбитого в активі балансу. [ 11]
Фінансова стійкість - це фінансова незалежність підприємства здатність маневрувати власними засобами достатня фінансова забезпеченість безперебійного процесу діяльності продовжує наступна група авторів. [12]
Таким чином, учені-економісти сходяться на тім, що фінансова стійкість характеризується співвідношенням власних і позикових засобів. Однак, цей показник відбиває лише загальні риси фінансової стійкості і вимагає додаткових показників. Подальше розкриття фінансової стійкості, вимагає використання додаткових показників.
Однак, сьогодні ніхто не сумнівається в тім, що оцінка фінансової стійкості підприємства є складовою частиною аналізу його фінансового стану. Одні економісти про це говорять так: "оцінка фінансового стану організації буде неповної без аналізу фінансової стійкості" [13], інші: "аналіз показників фінансової стійкості складає вихідний пункт, з якого повинний логічно розвивати заключний блок аналізу фінансового стану".[14]
Звідси, у вітчизняній економічній літературі в останнє брешемо всі частіше стало зустрічатися поняття "стійкість фінансового стану", що деякими економістами необґрунтовано ідентифікується із самим поняттям "фінансова стійкість".
Наприклад, розкриваючи поняття фінансової стійкості, група авторів відзначає, що оцінка фінансового стану виробляється на базі встановлення ступеня його стійкості. Продовжуючи відразу характеризувати саму фінансову стійкість як набір визначених параметрів найважливішими з який варто визнати показники фінансової незалежності і платоспроможності підприємства. [15]
В іншім джерелі відзначається, що фінансова стійкість організації визначається на основі розрахунку різних економічних показників, у тому числі показників, що характеризують:
а) фінансову автономність підприємства;
б) ефективність використання засобів.
Відразу продовжується - стійкість фінансового стану організації відображають, насамперед, коефіцієнти автономії. Таким чином, тотожність очевидна. [16]
На наш погляд, поняття "стійкість фінансового стану" конкретного підприємства значно ширше, ніж поняття "фінансова стійкість" підприємства. Наявність у першій групі понятійного словосполучення -"стан" підсилює його значеннєве навантаження, розширюючи тим самим охоплення дії. Стійкий фінансовий стан формується в процесі усієї виробничої діяльності підприємства. Однак партнерів і акціонерів цікавить не процес, а весь лише результат, тобто саме показники фінансової стійкості, які можна визначити на базі дані звітності. Вони зацікавлені в безпеці своїх інвестицій і дивідендах, у поточній і перспективній платоспроможності підприємства. А для самого підприємства важливий як результат, так і сам процес, що приводить до стійкого фінансового стану.
Звичайно, велика кількість зацікавлених сторін ускладнює задачу оцінки. Кожен користувач аналізує фінансову діяльність і, зв'язану з нею стійкість, у необхідному для себе ракурсі. Тому зовнішніх контрагентів цікавить фінансова стійкість (як результат), а внутрішніх користувачів -більше стійкий фінансовий стан що включає як результат, так і процес.
Виходячи з вище викладеного, вважаємо, що в сформованих умовах необхідно класифікувати стійкість, застосовуючи тривимірну систему критеріїв (рис. 1.2).
Рис. 1.2. Критерії класифікації видів стійкості
РОЗДІЛ 2
ОРГАНІЗАЦІЙНО-ЕКОНОМІЧНА ХАРАКТЕРИСТИКА СХПК ЇМ. КАРБИШЕВА
Землекористування СХПК ім. Карбишева розташоване в юго-західної частини Каховського району Херсонської області. Центральна садиба господарства знаходиться в селі Волинське, розташованому, на відстані 40 км. від районного центра Каховка й у 100 км від обласного центра — міста Херсона.
У кліматичному відношенні територія господарства розташована в дефляційно-небезпечній зоні, що характеризується малою кількістю опадів, високою річною температурою повітря, значним випаром з поверхні ґрунтів, хитливим сніжним покривом, сильними і тривалими вітрами, що викликають вітрову ерозію і при суховіях — захід зерна. Меліоративний стан зрошуваних земель незадовільне в зв'язку з безстічною територією і скрутним відтоком підземної води, що як наслідок привів до значного засолення і підтоплення земель.
У 1997 році відбулося реформування КСП ім. генерала Карбишева в СХПК ім. Карбишева з подальшим розділом землі і майна. В даний час воно здійснює свою господарську діяльність на підставі колективного договору, розробленого правлінням СХПК і прийнятого на звітно-виборне зборах пайовиків. Управлінський персонал СХПК ім. Карбишева складається з 8 чоловік: керівника підприємства (голови СХПК) і головних фахівців: головного агронома, головного бухгалтера, головного зоотехніка, головного ветлікаря, головного інженера-гідротехніка, головного економіста, головного інженера.
Тепер перейдемо до характеристики земельних ресурсів господарства. Уся земельна площа СХПК розподілена між трьома механізованими загонами. На території СХПК знаходяться: ремонтно-механічна майстерня, авто гараж, магазин, будівельна бригада, складу 2 дріб'язково-товарна ферми, свиноферма, вівцеферма, будинок культури.
Дані про склад і структуру земельних угідь приведені в табл. 2.1.
Таблиця 2.1
Склад і структура земельних угідь у СХПК ім. Карбишева
Види угідь
1998 рік
1999 рік
2000 рік
площа, га
%до підсумка
Площа, га
% до
підсумка
площа, га
% до
підсумка
Загальна земельна площа
9060
100
9059,9
100
9059,9
100
С.-г. угіддя, з них:
7188
79,3
7188,6
79,3
7188,6
79,3
Пашня
3355
37,0
3001
33,1
3001
33,1
Косовиці
697
7,7
697
7,7
697
7,7
Пасовища
3136
34,6
3490,6
38,5
3490,6
38,5
Багаторічні насадження
—
—
—
—
—
—
Не с.-г. угіддя, з них:
1842
20,7
1871,3
20,7
1871,3
20,7
Ліс
63
0,7
62,8
0,7
62,8
0,7
Ставки та водойми
443
4,9
443,2
4,9
443,2
4,9
Інщі землі
1336
15,1
1365,3
15,1
1365,3
15,1
Зрошувані землі
2505
27,7
2105
23,2
2105
23,2
Загальна земельна площа СХПК ім. Карбишева складає 9059,9 га, у тому числі 7188,6 га сільськогосподарських угідь (що складає 79,3% загальної земельної площі), з них 3001 га ріллі(33,1% загальної земельної площі). Особливістю СХПК ім. Карбишева є наявність великого кількість, пасовищ - 3490,3 га, що складає 38,5% загальної земельної площі і є передумовою для розвитку в господарстві всіх галузей тваринництва, особливо вівчарства. Слід зазначити, що в складі земельних угідь немає багаторічних насаджень.
Таблиця 2.2
Структура товарної продукції і рівень спеціалізації
Галузі та види продукції
Виторг від реалізації продукції, тис. грн.
Структура товарної продукції
(р)
Порядковий номер
галузі (і)
1998
1999
2000
98-2000
Зернові
775,2
314,2
235,5
441,6
62,8
1
Технічні
24,5
27,4
27,8
26,6
3,8
4
Овочебахчові
27,3
82,1
42,5
50,6
7.2
Інші види
12,8
10,5
10,8
11,4
1,6
5
Всього по рослинництву
839,8
434,2
316,6
530,2
75,4
—
Скотарство
129,2
135,8
204,3
156,4
22,2
2
Свиноводство
1,1
4,7
5,5
3,8
0,5
8
Вівчарство
5,9
3,1
8,5
5,8
0,8
7
Інші види
5,3
13,8
2,7
7,3
1,0
6
Всього по тваринництву
141,5
157,4
221
173,3
24,6
—
Всього по
сільськогосподарському
виробництву
981,3
591,6
537,6
703,5
100
—
Аналізуючи даної таблиці 2.1, слід зазначити, що ніяких істотних змін у складі і структурі земельних угідь не відбулося за винятком того, що в 1999 році 354 га ріллі трансформувалися в пасовища.
Виробничий напрямок розвитку господарства показує його спеціалізація. Для характеристики спеціалізації господарства визначають коефіцієнт спеціалізації по формулі 2.1.
Дані для розрахунку коефіцієнта спеціалізації приведені в таблиці 2.2. З її даних видно, що СХПК ім. Карбишева - багатогалузеве сільськогосподарське підприємство зерн-скотарського напрямку. Коефіцієнт спеціалізації дорівнює 0,42, тобто господарство середньо спеціалізоване.
, (2.1)
де: pi - питома вага і-й галузі в сумі виторгу від реалізації продукції;
і - порядковий номер галузі в ранжированном ряду.
Досліджуване господарство має зерно - молочний напрямок з розвитим виробництвом овочів і баштанних. Питома вага рослинництва в структурі товарної продукції складає 75,4%, у тому числі виробництво зерна - 62,8, овощебахчевых - 7,2%, соняшника - 3,8%. Тваринництво в структурі товарної продукції займає 24,6%, у тому числі скотарство - 22,2%.
Розглянемо основні економічні показники, приведені в табл. 2.З.
Таблиця 2.3
Основні економічні показники діяльності підприємства
Показники
Роки
2000 у % до
1998
1999
2000
1998
1999
1. Закріплено землі - всього, і а
9060
9059,9
9059,9
99,9
100
у т. ч. с.-г. угідь
7188
7188,6
7188,6
100,0
100
з них ріллі
3355
3001
3001
89,4
100
2. Наявність зрошуваних земель -всього, га
2505
2105
2105
84,0
100
у т. ч. ріллі
2505
2105
2105
84,0
100
3. Средньорічна чисельність робітників - всього, чол.
310
289
273
88,1
94,5
у т. ч. зайнятих у с.-г. виробництві
276
264
257
93,1
97,3
з них в рослинництві
123
120
117
95,1
97,5
тваринництві
153
144
140
91,5
97,2
4. Поголів'я тварин, ум. Погол.
921,1
687
670,9
72,8
97,7
5. Вартість валової продукції в зрівняних цінах, тис. грн.
1779,5
851
695,2
39,1
81,7
у т. ч. в рослинництві
1493,2
624,7
456
30,5
73,0
тваринництві
286,3
226,3
239,2
83,5
105,7
6. Продуктивність праці,грн.
6447
3223
2705
42,0
83,9
у т. ч. у рослинництві
12140
5206
3897
32,1
74,9
тваринництві
1871
1572
1709
91,3
108,7
7.Средньорічна вартість ОПФ, тис. грн.
15118
14989
15011
99,3
100,2
у т. ч. ОПФ с.-г. призначення
13443
13298
13157
97,9
98,9
8. Средньорічна вартість обігових коштів, тис. грн.
1131,3
1218,4
1203,9
106,4
98,81
9. Виторг від реалізації продукції, тис. грн.
981,3
591,6
582,9
59,4
98,5
10. Наявність енергетичних потужностей, л.с.
8200
8010
7852
95,8
98,0
11. Енергооснащенність, л.с.
114,1
111,4
109,2
95,7
98,0
12. Енергоозброєність, л.с.
26,5
27,7
28,8
108,7
104,0
13. Фондооснащенність, тис. грн.
187
185
183
97,9
98,9
14.Фондоозброєність, тис. грн.
48,7
50,4
51,2
105,1
101,6
15.Фондовіддача, грн.
0,13
0,06
0,05
38,5
83,3
16.Фондоємкість, грн.
7,69
16,67
20
260,1
120,0
17. Прибуток, тис. грн.
-3
-5,33
-4,14
138,0
77,7
18. Валовий дохід, тис. грн.
104,5
-208,4
-146,3
-140,0
70,2
19. Прибуток (збиток) від реалізації с-г. продукції, тис. грн.
-467,5
-786,4
-611,3
130,8
77,7
20. Рівень рентабельності - всього, %
-28,8
-50,6
-50,8
у т. ч. рослинництва
-3
-28,1
-23,8
Тваринництва
-36,3
-44,6
-39,9
21.Фонд оплати праці, тис. грн.
383,1
417,7
415,2
108,4
99,4
Вищенаведені основні економічні показники діяльності підприємства говорять про те, що загальна земельна площа господарства за досліджуваний період істотно не змінилася і склала 9059,9 га. Площа ріллі в 1999 році зменшилася на 10,6 %. Надалі зміни цих показників не спостерігається. Зрошувані площі господарства зменшилися в 1999 році і склали 3001 га. Чисельність працівників господарства має тенденцію до зменшення. Так, вона зменшилася за останні три роки на 11,9 %. Це зниження відбулося за рахунок зниження чисельності працівників усіх категорій. Так, чисельність працівників сільського господарства знизилася за останні 3 роки на 6,9 %, у там числі в рослинництві — на 4,9 %, а у тваринництві — на 8,5 %.
Поголів'я тварин у господарстві постійно зменшується. Воно склало на кінець 2000 року 670,9 умовних голів, зменшивши за досліджуваний період на 27,2 %,. Вартість валової продукції як у цілому по господарству (зменшення на 60,9 %), так і в розрізі галузей катастрофічно падає (у рослинництві - на 69,5 %, у тваринництві - на 16,5 %). Як наслідок знижується продуктивність праці: за останні роки вона знизилася на 58 % і склала 2705 грн валової продукції на 1 працівника сільського господарства. У рослинництві цей показник знизився на 67,9 % і склав 38 97 грн, а у тваринництві — 1709 грн (відповідно зниження на 8,7 %).
Наслідком низького рівня відновлення і значного зносу є те, що вартість основних виробничих фондів за досліджуваний період знизилася на 0,7%.
Вартість оборотних коштів має стійку тенденцію до росту (6,4 %). Це викликано підвищенням рівня цін на ГСМ, мінеральні добрива й інші оборотні кошти.
Ріст цін на сільськогосподарську продукцію не привів, до підвищення виторгу від реалізації продукції в досліджуваному господарстві. Навпаки, за період 1998-2000 р.м. виторг стрімко знизився на 40,6 %. Це зв'язано з тим, що продукція рослинництва в основному реалізується влітку і в рахунок бартерних постачань ГСМ, добрив, і відповідно ціни на продукцію в цей період дуже низки. Наявність енергетичних потужностей у господарстві істотно не змінилося і склало в 1999 році 7852 л. с, унаслідок чого не змінилася і энергооснащенність (вона зменшилася також, як і наявність энергомощностей — на 5,2 %). Енергооснащеність за цей період зросла на 8,7 %, але лише за рахунок зменшення чисельності працівників. Фондооснащеність у нашому господарстві зменшилася на 2,1 %, що зв'язано з невеликим зниженням вартості ОПФ, а фондоозброєність збільшилася на 5,1 %, що зв'язано зі зниженням чисельності трудових ресурсів. Однак обоє ці показники залишаються низькими.
Зміна фондовіддачі і фондоємкості зв'язано в основному зі зниженням вартості валової продукції. Фондовіддача зменшилася в господарстві на 62,5 %, а фондоємкість збільшилася на 160,1 %.
Рівень прибутку за аналізований період поступово знижується. Господарство збиткове, тому рівень прибутку в 2000 році склав -4,14 %, що нижче рівня 1998 року на 38%.
Валовий доход у господарстві в 2000 році негативний і склав -146,3 тис. грн., що нижче рівня 1998 року на 140%. Збиток за досліджуваний період зріс на 30,8 % і склав 611,3 тис. грн.
Рівень рентабельності за останні три роки знизився з -28,8 % до -50,8%, причому рослинництві він упав на 693,3 %, те у тваринництві — на 9,9%.
Розмір фонду оплати праці в господарстві склав у 2000 році 415,2 тис. грн, що більше чим у 1998 році на 8,4%, і менше на 0,6 %>, чим у 1999 році.
РОЗДІЛ 3
АНАЛІЗ ФІНАНСОВОЇ СТІЙКОСТІ ПІДПРИЄМСТВА В УМОВАХ ОБМЕЖЕНОСТІ ЗОВНІШНІХ ДЖЕРЕЛ ФІНАНСУВАННЯ
В умовах ринкової економіки підприємство здійснює свою виробничо-фінансову діяльність самостійно, але все-таки на його діяльність у більшому чи меншому ступені впливає конкуренція, що "вимагає" від підприємств робити продукцію, з огляду на інтереси і запити покупців, за умови її конкурентноздатності. Підприємства, що програли в цій боротьбі, стають банкрутами, а отже не можуть оплатити ресурсів, робіт і послуг, розрахуватися з бюджетом і позабюджетними фондами, якщо зобов'язання по платежах перевищують вартість їхнього майна.
Одним з інструментів з'ясування конкурентноздатності є аналіз фінансового стану підприємства. Аналіз фінансового стану будь-якого підприємства є загальною необхідністю, адже не можна вести господарювання без міри ваги і рахунка, не домагаючись перевищення доходів над витратами. Це завжди було важливе, тим більше - зараз. Щоб це забезпечити, необхідно на підприємстві проводити обґрунтовані наукою дослідження фінансових відносин і руху фінансових ресурсів у процесі фінансово-виробничої діяльності.
Метою аналізу фінансового стану підприємства є об'єктивна оцінка господарсько-фінансової діяльності підприємства й оцінка перспектив зміни його фінансового положення.
3.1. Аналіз майнового положення і структури сільськогосподарського капіталу
Аналіз фінансового капіталу СХПК ім. Карбишева ми почнемо з побудови порівняльного аналітичних (агрегированного) балансу. Такий баланс виходить з вихідного балансу шляхом додавання його показниками:
1)структури;
2)динаміки.
Обов'язковими показниками порівняльного аналітичного балансу є:
1)абсолютні величини по статтях вихідного звітного балансу на початок і коней періоду;
2)питомі ваги статей балансу у валюті балансу на початок і кінець періоду;
3)зміна в абсолютних величинах;
4)зміна в питомих вагах;
5)зміна у відсотках до величин на початок і кінець періоду.
Порівняльний аналітичний баланс зручний тим, що він зводить воєдино і систематизує ті розрахунки і прикидки, що звичайно здійснює будь-як аналітик при первісному ознайомленні з балансом. Схемою порівняльного балансу охоплена безліч важливих показників, що характеризують статику і динаміку фінансового стану. Порівняльний баланс фактично включає показники горизонтального і вертикального аналізу.
У ході горизонтального аналізу визначаються абсолютні і відносні зміни величини різних статей балансу за визначений період. Безумовно, в умовах інфляції цінність результатів горизонтального аналізу істотно знижується.
Вертикальний аналіз використовується для оцінки структури засобів підприємства і їхніх джерел. Питомі показники вертикального аналізу деякою мірою згладжують негативні впливи інфляційних процесів, що можуть істотно спотворювати абсолютні показники фінансової звітності.
Побудова аналітичного балансу також припускає виключення регулюючих статей балансу.
Необхідно виключити із суми виробничих запасів вартість товарів відвантажених. На цю же суму необхідно збільшити розміри дебіторської заборгованості.
Дебіторську заборгованість, що може бути погашена не раніше, ніж через рік, варто перевести в розділ нерухомості.
У даному випадку були приведені найбільш загальні рекомендації з перетворення звітної форми балансу в аналітичний, тому що цей перелік не можна визначити на усі випадки.
Результати проведення горизонтального і вертикального аналізу балансу СХПК ім. Карбишева за 2000 рік приведені в табл. 3.1.
Вивчаючи даної таблиці 3.1, ми спостерігаємо незначне відхилення питомої ваги кожної статті активу балансу на початок і кінець звітного періоду, тобто структура активу практично не змінився, але при цьому спостерігаються значні відхилення абсолютних показників. Так, за звітний період сума залишкової вартості основних засобів зменшилася на 181,5 тис. грн., причиною цього є збільшення зносу основних засобів і їхнє списання, при тім, що основні засоби не обновлялися.
Таблиця 3.1
Агрегований аналітичний баланс СХПК ім. Карбишева за 2000 рік
Показники
На початок року
На кінець року
Темп
Відхилення
тис. грн.
%
тис. грн.
%
роста.
%
тис. грн.
%
Актив
І. Основні засоби та активи, що не є обіговими
Основні засоби
9087,5
86,7
8906
87,4
98,0
-181,5
0,7
Капітальні і фінансові вкладення
78,6
0,7
168,8
1,6
214,8
90,2
0,9
Всього по розділу І
9166,1
87,4
9074,8
89,0
99,0
-91,3
1,6
II. Запаси та витрати
Виробничі запаси
506,1
4,8
376,9
3,7
74,5
-129,2
-1,1
Тварини на вирощуванні та відгодівлі
394,8
3,8
424,2
4,2
107,4
19,4
0,4
Незавершене виробництво
167,3
1,6
126,9
1,2
75,9
-40,4
-0,4
Готова продукція
35,3
0,3
19,9
0,2
56,4
-15,4
-0,1
Інші запаси та витрати
32,1
0,3
22,9
0,2
71,3
-9,2
-0,1
Всього по розділу II
1135,6
10,8
970,8
9,5
85,5
-164,8
-1,3
III. Грошові кошти, розрахунки, інші активи
Дебіторська заборгованість
175,6
1,7
148,2
1,5
84,4
-27,4
-0,2
Грошові кошти
6,6
0,1
-
-
-
-6,6
-0,1
Всього по розділу III
182,2
1,8
148,2
1,5
81,3
-34,0
-0,3
Баланс
10483,9
100
10193,8
100
97,2
-290,1
-
Пасив
І. Джерела власного капіталу
Статутний фонд
9087,4
86,7
8905,9
87,4
98,0
-181,5
0,7
Спеціальні фонди та цільове фінансування
6,7
0,1
6,7
0,1
100,0
-
-
Нерозподілений прибуток (збиток)
-531,5
-
-1463,9
-
275,4
932,4
9,3
Інші джерела
483,4
4,6
660,9
6,5
136,7
177,5
1,9
Всього по розділу І
9046,0
86,3
8109,6
79,6
89,6
-936,4
-6,7
II. Довгострокові пасиви
(відстрочена податкова заборгованість)
107,7
1,0
213,0
2,0
197,8
105,3
1,0
Всього по розділу II
107,7
1,0
213,0
2,0
197,8
105,3
1,0
III. Розрахунки та інші короткострокові пасиви
Короткострокові кредити та позики
11
0,1
15,6
0,2
141,8
4,6
0,1
Кредиторська заборгованість
1319,2
12,6
1855,6
18,2
140,7
536,4
5,6
Всього по розділу III
1330,2
12,7
1871,2
18,4
140,7
541,0
5,7
Баланс
10483,9
100
10193,8
100
97,2
-290,1
-
Наприкінці 2000 року трохи зросли інвестиції в незавершене капітальне будівництво і склали наприкінці року 168,8 тис. грн.
Значне зменшення спостерігається по статтях аналітичного балансу "Запаси і витрати" і "Незавершене виробництво", відповідно на 129,2 і 40,4 тис. грн.
Найбільш ліквідний розділ активу "Кошти, розрахунки, інші активи" зменшився на 34 тис. грн., хоча зменшення дебіторів є позитивним моментом. Слід зазначити, що баланс відбиває миттєві дані на кінець звітного періоду й у силу цього не відображає адекватний стан засобів підприємства протягом звітного періоду. Тому незначна сума коштів на початок і кінець року зовсім не означає, що це положення був протягом року постійним, хоча сама по собі така можливість не виключається.
Тепер розглянемо пасив аналітичного балансу.
Якщо на початок року питома вага власного капіталу складав 86,3% стосовно всіх джерел формування засобів, то на кінець року вони склали 79,6%, тобто йде збільшення позикових джерел. Причому основну частину позикового капіталу складає кредиторська заборгованість. Довгострокові пасиви цілком представлені відстроченою податковою заборгованістю, тобто ні про які кредити банків і інших інвесторів не може бути і мови.
Загальний же підсумок балансу за звітний період скоротився на 290,1 тис. грн., тобто на 2,8%. Слід зазначити, що підсумок балансу не повною мірою відбиває реальну суму засобів, який розташовує підприємство. Основна причина складається в невідповідності балансової оцінки господарських засобів ринковим цінам внаслідок інфляції, зміни кон'юнктури ринку, використовуваних методів обліку. Баланс дає лише облікову оцінку активів підприємства і джерел їхнього покриття, що тече ринкова оцінка цих активів може бути абсолютно інший, причому чим триваліший термін експлуатації і відображення на балансі даного активу, тим більше різниця між його обліковими і поточними цінами. Крім того, ціна підприємства, як виробничого комплексу в цілому, як правило, вище сумарної оцінки його активів.
Наступним етапом у проведенні аналізу майнового положення і структури сільськогосподарського капіталу буде розрахунок основних показників оцінки майнового стану підприємства, а також проведемо загальну оцінку стану майна.
До основних показників майнового стану підприємства відноситься:
1)коефіцієнт технологічної структури;
2) коефіцієнт зносу основних засобів;
3) коефіцієнт відновлення;
4) коефіцієнт вибуття.
Результати загальної оцінки стану майна, а також перерахованих вище коефіцієнтів відіб'ємо в таблиці 3.2.
Таблиця 3.2
Загальна оцінка стану майна
Показники
На
початок
року
На кінець року
Відхилення + , -
Всього майна, тис. грн. у тому числі
10483,9
10193,8
-290,1
Основні кошти та необоротні активи
9166,1
9074,8
-91,3
У % до майна
87,4
89,0
1,6
Коефіцієнт технологічної структури
33,5
31,6
-1,9
Коефіцієнт зносу основних коштів
0,40
0,41
0,01
Коефіцієнт відновлення
0,03
0,01
-0,02
Коефіцієнт вибуття
2,3
3,9
1,6
Обігові кошти
1317,8
1119,0
-198,8
У % до майна
12,6
11,0
-1,6
Матеріальні обігові кошти
1135,6
970,8
-164,8
У % до обігових коштів
10,8
9,5
-1,3
Дебіторська заборгованість
175,6
148,2
-27,4
У % до оборотних коштів
1,7
1,5
-0,2
Кошти
6,6
-
-6,6
У % до оборотних коштів
0,1
-
-0,1
Зменшення валюти балансу на 290,1 тис. грн. на конец 2000 року свідчить про згортання виробничо-фінансової діяльності. У тому числі, ця зміна відбулася за рахунок зменшення на 198,8 тис. грн. загальної суми оборотних коштів, і відповідно на 91,3 тис. грн. основних засобів. Крім того, слід зазначити, що за звітний період відбулося збільшення на 1,6% питомої ваги основних засобів і необоротних активів у загальному майні підприємства за рахунок зниження в ньому частки оборотних коштів.
Майже на 2% скоротився коефіцієнт технологічної структури, що на мою думку, є неприйнятним для аналізованого господарства, тому що скорочення активної частини основних засобів (трактори, комбайни, автомобілі й ін.) приведе до зниження энергозабезпеченості підприємства.
При скороченні дебіторської заборгованості на 27,4 тис. грн., матеріальні оборотні кошти зменшилися на 164,8 тис. грн.
Усе перераховане вище у визначеній мері пояснює щорічне скорочення обсягів виробництва Валової продукції і свідчить про можливість скорочення її в майбутньому без корінних змін у всіх сферах діяльності господарства.
Наступним етапом аналізу майна є аналіз виробничого потенціалу, до якого відносять Основні засоби, виробничі запаси, незавершене виробництво підприємства.
Виробничий потенціал підприємства аналізують шляхом розрахунку питомої ваги визначеного виду ресурсу в цьому показнику, результати аналізу визначимо в таблиці 3.3.
За звітний період відбувається скорочення виробничого потенціалу на 290,1 тис. грн., хоча його питома вага в загальній сумі майна залишився фактично незмінним. Відбувається структурна трансформація основних ресурсів виробничого потенціалу: незначно збільшується питома вага основних засобів і зменшується незавершене виробництво і виробничі запаси.
Таблиця 3.3
Аналіз виробничого потенціалу
Показники
На початок року
На кінець року
Темп росту,%
Відхилення,
+ /-
тис. грн.
%
тис. грн.
%
тис. грн.
%
Основні средства
9087,5
93,1
8906
94,6
98
-181,5
1,5
Виробничі запаси
506,1
5,2
376,9
4,0
74,5
-129,2
-1,2
Незавершене виробництво
167,3
1,7
126,9
1,4
75,9
-40,4
-0,3
Виробничий потенціал
9760,9
100
9409,8
100
97,1
-290,1
-0,8
У % до майна
96,4
-
92,3
-
-
-
-0,1
Завершальним кроком у даному підрозділі буде проведення аналізу джерел засобів, що проводиться з метою визначити частку власного і позикового капіталу в загальній сумі фінансових ресурсів підприємства, а також установити, які джерела й у якому обсязі використовуються для покриття активів.
Вся інформація, приведена в аналітичній таблиці 3.4, береться з балансу, за винятком власних оборотних коштів, що розраховуються. Оскільки за рахунок власного капіталу формуються як необоротні, так і оборотні кошти, то різниця між сумою власного капіталу і довгострокових позикових засобів і вартістю необоротних активів представляє величину власних оборотних коштів.
У нашому випадку як таких "власних" оборотних коштів немає взагалі, їхній недолік на кінець року склав 752,2 тис. грн. Це означає, що матеріально-виробничі запаси господарства покриваються в основному за рахунок кредиторської заборгованості, тобто підприємство випускає нерентабельну продукцію, виторги від реалізації якої не вистачає для покриття витрат на виробництво і розрахунків з постачальниками. Про це також свідчить ріст кредиторської заборгованості, що збільшилася на 536, 4 тис. грн. і довгострокових зобов'язань, що збільшилися на 105.4 тис. грн. Боргові зобов'язання представлені відстроченою податковою заборгованістю.
Таблиця 3.4
Аналіз джерел засобів, вкладених у майно.
Показники
На початок року
На кінець року
Відхилення + ,-
Усього майна, тис. грн. У тому числі
10483,9
10193,8
-290,1
1.Власні кошти
904,6
8109,6
-936,4
У % до майна
86,3
79,6
-6,7
1.1 Власні оборотні кошти
-12,4
-752,2
-740,1
2.Позикові кошти
1437,9
2084,2
646,3
У % до майна
13,7
20,4
6,7
2.1 Довгострокові зобов'язання
107,7
213,0
105,3
У % до позикових коштів
7,5
10,2
2,7
2.2Короткострокові позики
11
15,6
4,6
У % до позикових коштів
0,8
0,8
-
2.3Кредиторська заборгованість
1319,2
1855,6
536,4
У % до позикових коштів
91,7
89,0
-2,7
Зменшення частки власного капіталу на 6,8% у загальній сумі джерел фінансування варто розглядати як негативний момент, тому що це свідчить про зниження фінансової стійкості підприємства і вказує на його залежність від зовнішніх джерел фінансування.
3.2 Аналіз ліквідності і платоспроможності підприємства
Фінансовий стан підприємства можна оцінювати з погляду його короткострокових перспектив. У короткостроковій перспективі критерієм оцінки фінансового стану підприємства є його ліквідність і платоспроможність, тобто можливість вчасно й у повному обсязі розрахуватися по короткострокових зобов'язаннях. Ліквідність - це його
можливість перетворити свої активи в кошти для покриття всіх необхідних платежів у міру настання їхнього терміну.
У залежності від ступеня ліквідності, активи підприємства розділяються на наступні групи:
а) А1 - найбільш ліквідні активи - кошти підприємства і короткострокових грошових вкладень;
б) А2 - быстрореализуемые активи - дебіторська заборгованість та інші активи;
в) А3 – повільнореалізуємі активи - статті роздягнула II активу (за винятком "Витрат майбутніх періодів"), а також статті роздягнула І активу балансу "Довгострокові фінансові вкладення" (зменшені на величину вкладень у статутні фонди інших підприємства) і роздягнула НІ активу балансу "Розрахунок із засновниками";
г) А4 - труднореализуемые активи - статті роздягнула І активу балансу "Основні засоби і необоротні активи", за винятком статей цього розділу, включених у попередню групу.
Пасиви балансу групуються по ступені терміновості їхньої оплати:
а) П1 - найбільш термінові зобов'язання. До них відноситься кредиторська заборгованість;
б) П2 - короткострокові пасиви - короткострокові кредити і позикові засоби;
в) П3 - довгострокові пасиви - довгострокові кредити і позикові засоби;
г) П4 - постійні пасиви - джерела власних і прирівняних до них засобів. Результати перегрупування активів і пасивів балансу СХПК їм.
Карбишева в залежності від ступеня ліквідності розглянемо в таблиці 3.5.
Таблиця 3.5
Аналіз ліквідності балансу
Актив
На почато кроку
На
кінець
року
Пасив
На почато к року
На
кінець
року
Платіжний надлишок (недолік)
На
початок
року
На
кінець року
Найбільш ліквідні активи
6,6
-
Негайні пасиви
1319,2
1855,6
Швидкореалізуємі активи
175,6
148,2
Короткострокові пасиви
11
15,6
164,6
132,6
Повільно реалізовані активи
1214,2
1139,6
Довгострокові пасиви
107,7
213,0
1106,5
926,6
Труднореалізуємі активи
9087,5
8906
Постійні пасиви
9046
8109,6
41,5
796,4
Баланс
10483,9
10193,8
Баланс
10483,9
10193,8
0
0
Для визначення ліквідності балансу варто зіставити підсумки приведених груп по активі і пасиву:
А1 > П1; А2 > П2; А3 > П3; А4 < П4 (3.1)
На початок року:
6,6 < 1319,2; 175,6 > 11; 1214,2 > 107,7; 9087,5 > 9046
На кінець року:
0 < 1855,6; 148,2 > 15,6; 1139,6 > 213; 8906 > 8109,6
Перша нерівність відбиває співвідношення поточних платежів і надходжень (терміни до 3 місяців) і в такий спосіб дозволяє оцінити поточну ліквідність. Оскільки не виконується перша умова нерівності на початок і кінець року, то підприємство є неплатоспроможним на найближчий період.
Невиконання четвертої умови нерівності свідчить про недотримання мінімальної умови фінансової стійкості господарства, тобто в аналізованому господарстві відсутні власні оборотні кошти.
Крім того, недолік засобів по одній групі активів не компенсує їхнім надлишком по іншій групі, оскільки в реальній платіжній ситуації менш ліквідні активи не можуть замінити більш ліквідні. Тому платіжні надлишки по швидко і повільно реалізованих активах (таблиця 3.5) не можуть бути спрямовані на покриття короткострокових зобов'язань.
Слід зазначити, що проведений аналіз ліквідності балансу - досить наближений з тієї причини, що відповідність ступеня ліквідності активів і термінів погашення зобов'язань є орієнтованим через обмеженість інформації, оскільки ми проводимо зовнішній аналіз.
Для більш глибокого і всебічного аналізу вимагаються спеціальні методи, що коректують показники представленої методики. Наприклад, метод нормативних знижок здійснюється перерозподілом величини балансових статей між групами активів і пасивів у відповідності із середньостатистичними оцінками ліквідності активів і термінами погашення зобов'язань.
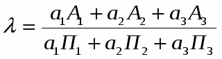
Для комплексної оцінки ліквідності балансу в цілому варто використовувати загальний коефіцієнт ліквідності, що обчислюється по формулі:
де Aj , Пj - підсумки відповідних груп по А і П;
aj - вагові коефіцієнти;
λ - загальний коефіцієнт ліквідності Значення вагових коефіцієнтів наступні: а1 = 1; а2 = 0,5; а3 = 0,3
За даними балансу загальний коефіцієнт ліквідності на початок 2000 року склав: λн.р. =0,341, а на кінець 2000 року - λк.р.=0,208.
Проведені розрахунки свідчать про низьку загальну ліквідність балансу, а також намітилася тенденція зниження цього показника на кінець року. Так, якщо на початку 2000 року господарство своїми засобами могло покрити 34,1% зобов'язань, то наприкінці року - всього 20,8%.
Для оцінки ліквідності засобів підприємства використовуються й інші відносні показники:
1) коефіцієнт чи покриття поточній ліквідності, дорівнює відношенню всіх оборотних коштів підприємства до величини поточних зобов'язань;
2) коефіцієнт швидкої ліквідності, визначається як відношення найбільш ліквідних і швидкореалізуємих активів до поточного зобов'язанням;
3) коефіцієнт абсолютної ліквідності, визначається як відношення найбільш ліквідних активів до поточного зобов'язанням;
4) коефіцієнт маневреності, визначається як відношення найбільш ліквідних активів до власних оборотних коштів.
Оскільки в балансі підприємства на кінець року відсутні кошти, а також власні оборотні кошти, два останніх коефіцієнти в табл. 3.6 не будемо розраховувати.
Таблиця 3.6
Аналіз коефіцієнтів ліквідності
Показники
На початок
року
На кінець року
Відхилен
ня, +/-
Норматив
не значення
1. Коефіцієнт покриття
0,99
0,60
-0,39
>1,<3
2. Коефіцієнт швидкої ліквідності
0,14
0,08
-0,06
>0,7-0,8
3. Коефіцієнт абсолютної ліквідності
0,005
0
-0,005
>0.2
Коефіцієнт покриття показує платіжні можливості підприємства. Згідно нормативів, цей коефіцієнт повинний знаходитися в межах між 1 і 3. Нижня границя обумовлена тим, що поточних активів повинне бути щонайменше досить для погашення короткострокових зобов'язань. У СХПК ім. Карбишева за умови своєчасних розрахунків з дебіторами і сприятливої реалізації готової продукції, але і продажу в разі потреби інших елементів матеріальних оборотних коштів, короткострокові зобов'язання могли бути погашені на початку року майже цілком (99%), а наприкінці року - 60%. Якщо ж брати до уваги тільки розрахунки з дебіторами і кошти, що у господарстві майже відсутні, то за даних умов СХПК зміг би погасити короткострокові зобов'язання в розмірі 14% на початку року і 8% наприкінці року.
Як бачимо, обидва коефіцієнти на початок і кінець року нижче нормативного, це ще раз указує про недостатню ліквідність засобів і, насамперед, про недостатність коштів у підприємства.
Слід зазначити, що, говорячи про ліквідність балансу підприємства, часто ототожнюють це поняття з платоспроможністю, але це не вірно. Так, коефіцієнти ліквідності можуть характеризувати фінансовий стан як задовільне, однак ця оцінка може бути помилкової, якщо в поточних активах значна питома вага приходиться на неліквідні і короткострокову дебіторську заборгованість.
Платоспроможність означає наявність у підприємства коштів і їхніх еквівалентів, достатніх для розрахунків по кредиторській заборгованості, що вимагає негайного погашення.
Для оцінки платоспроможності складається платіжний баланс у виді табл. 3.7.
Таблиця 3.7
Платіжний баланс на 01.01.2001.року, тис. грн.
Актив
Пасив
Наявність засобів для покриття заборгованості
На
початок
року
На
кінець
року
Негайні та інші платежі
На початок
року
На
кінець
року
Кошти
розрахунковому рахунку, у касі інші
на та
6,6
-
Заборгованість по позиках
11
15,6
Розрахунки дебіторами
з
175,6
148,2
Заборгованість кредиторів
1319,2
1855,6
Усього
182,2
148,2
Усього
1330,2
1871,2
Сальдо
1148
1723
Сальдо
-
-
Баланс
1330,2
1871,2
Баланс
1330,2
1871,2
Якщо сальдо в активі платіжного балансу, то це означає, що СХПК ім. Карбишева за станом на 01.01.2001 року неплатоспроможне. Негайні платежі перевищують наявні засоби підприємства на початку року на 1148 тис. грн., а наприкінці - на 1723 тис. грн.
Оцінка рівня платоспроможності проводиться за даними балансу на підставі характеристики ліквідності оборотних коштів, тобто з урахуванням часу, необхідного для перетворення їх у наявні засоби. Існує три рівні платоспроможності підприємства: грошова, розрахункова (табл. 3.8), ліквідна (табл. 3.9).
Грошову платоспроможність СХПК ім. Карбишева ми розраховувати не будемо з тієї причини, що на момент складання балансу коштів у господарстві майже не було. Хоча це не означає, що їх не було в плині всього року.
Таблиця 3.8
Розрахункова платоспроможність за 2000 рік, тис. грн.
Спосіб платежу
На
початок
року
На
кінець
року
Платіжні зобов'язання
На почато к року
На
кінець
року
Кошти
6,6
-
Короткострокові
кредити
11
15,6
Готова продукція і товари
35,3
19,9
Кредити не погашені в термін
-
-
Дебітори
175,6
148,2
Кредитори
1319,2
1855,6
Інші активи
-
-
Інші пасиви
-
-
Усього
217,5
168,1
Усього
1330,2
1871,5
Коефіцієнт розрахункової платоспроможності
0,164
0,091
Коефіцієнт розрахункової платоспроможності знизився на 7,3 %. Якщо на покриття платіжних зобов'язань узяти готову продукцію і товари, дебіторську заборгованість та інші активи, що реально можна реалізувати, на кінець періоду платіжні засоби усього на 9,1 % покрили б платіжні зобов'язання.
Таблиця 3.9
Ліквідна платоспроможність за 2000 рік, тис. грн.
Спосіб платежу
На
початок року
На
кінець
року
Платіжні зобов'язання
На
почато
кроку
На
кінець
року
Кошти, розрахунки та інші активи
182,2
148,2
Кредити під запаси і витрати
10368,9
9867,2
Запаси і витрати
1135,6
970,8
Кредити не погашені в термін
-
-
Кредити та інші пасиви
115
326,6
Усього
1317,8
1129
Усього
10483,9
10193,8
Коефіцієнт ліквідної платоспроможності
0,125
0,110
Коефіцієнт ліквідної платоспроможності є найбільш узагальненим показником. У його чисельнику відбиваються всі оборотні кошти, а в знаменнику - притягнуті і власні джерела їхнього оформлення.
В аналізованому підприємстві цей показник дуже низький і складає на початок і кінець року відповідно 12,5 і 11%, це означає, що навіть залучаючи всі оборотні кошти, господарство здатне покрити платіжні зобов'язання на кінець року тільки на 11%. Необхідно сказати, що оборотні кошти зменшилися наприкінці року в порівнянні з початком. Таке підприємство вже можна вважати банкрутом.
Отже, усі коефіцієнти ліквідності і платоспроможності свідчать про те, що СХПК ім. Карбишева не відповідає параметрам, необхідним для здійснення з ним кредитних і інших фінансових відносин.
3.3. Аналіз фінансової стійкості
При виникненні договірних відносин між підприємствами, у них з'являється обопільний інтерес до фінансової стійкості партнерів як критерію
їхньої надійності. Особливого значення набуває аналіз фінансової стійкості при оцінці кредитоспроможності підприємств у випадку надання їм кредитів і позик, а також впровадження інвестиційних проектів.
Стабільність роботи підприємства зв'язана з загальною його фінансовою структурою, ступенем його залежності від зовнішніх кредиторів і інвесторів. Багато підприємств у процесі своєї діяльності змушені крім власного капіталу використовувати позиковий. Однак, коли структура "власний капітал - позиковий капітал" має значний перекіс убік боргів, підприємство може збанкрутувати, якщо відразу трохи кредиторів зажадають повернення своїх грошей одночасно.
Фінансово стійким вважається таке підприємство, що переважно за рахунок власних джерел покриває засобу, вкладені в активи; не допускає невиправданої дебіторської і кредиторської заборгованості; розплачується в термін за своїми обов'язками.
Сутністю фінансової стійкості підприємства є співвідношення вартості матеріальних оборотних коштів і величини власних і позикових джерел їхнього формування, тобто забезпеченість запасів і витрат джерелами фінансування. Платоспроможність виступає зовнішнім проявом фінансової стійкості.
Як уже відзначалося, джерелами формування матеріально-виробничих запасів (МЗ) виступають:
1) власні оборотні кошти (СОС);
2) короткострокові кредити банків і позики (КК);
3) розрахунки з кредиторами (КЗ).
У залежності від співвідношення величин показників матеріально-виробничих запасів, власних оборотних коштів і інших джерел формування запасів можна з визначеним ступенем умовності виділити Основні типи фінансової стійкості на визначений момент:
1. Абсолютна фінансова стійкість, що задається умовою:
МЗ<СОС (3.3)
2. Нормальна фінансова стійкість:
СОС < МЗ < СОС + КК + КЗ (3.4)
3. Хитливий фінансовий стан:
МЗ = СОС + КК + КЗ + И (3.5)
де И - джерела, що послабляють фінансову напруженість, до них відносяться:
а) тимчасово вільні власні засоби;
б) притягнуті засоби;
в) кредити банку на тимчасове поповнення оборотних коштів та інші позикові засоби.
4. Кризовий фінансовий стан:
МЗ>СОС + КК + КЗ + И (3.6)
Тип фінансової стійкості аналізованого господарства визначимо за допомогою табл. 3.10.
Виходить парадоксальна ситуація, при якій усі показники фінансової стійкості відповідають нерівності 3.4, а дана фінансова стійкість визначається як нормальна.
Таблиця 3.10
Тип фінансової стійкості
Показники
На початок року
На кінець року
Запаси і витрати (МЗ), тис. грн.
1135,6
970,8
Власні оборотні кошти (СОС), тис. грн.
-12,4
-752,2
Короткострокові кредити і позики (КК), тис. грн.
11
15,6
Кредиторська заборгованість (КЗ), тис. грн.
1319,2
1855,6
Тип фінансової стійкості
Нормальна
Нормальна
У той же час всі ознаки вказують на кризове фінансове положення, що характеризується:
а) неплатоспроможністю підприємства;
б) наявністю простроченої заборгованості постачальникам за товари;
в) наявністю недоїмок у бюджет;
г) заборгованістю по оплаті праці і т.д.
Справа в тім, що в СХПК ім. Карбишева на початок і кінець року величина поточних зобов'язань значно перевищує величину поточних активів. З позиції теорії така позиція аномальна, оскільки в цьому випадку одним із джерел покриття основних засобів і необігових активів є короткострокова кредиторська заборгованість. Фінансове положення такого підприємства характеризується як украй хитливе і вимагає невідкладних заходів для його виправленню.
Більш детально фінансову стійкість можна оцінити за допомогою фінансових коефіцієнтів, що представлені в табл. 3.11.
Таблиця 3.11
Коефіцієнти фінансової стійкості
Показники
На початок року
На кінець року
Відхилення +/-
Нормативне значення
Коефіцієнт автономії (незалежності)
0,86
0,80
-0,06
>0,5
Коефіцієнт співвідношення власних і позикових засобів
6,29
3,89
-2,40
> 1
Коефіцієнт забезпеченості власними оборотними коштами
-0,01
-0,67
-0,66
> 0,4 - 0,6
Коефіцієнт фінансової стабільності
0,87
0,82
-0,05
Наближення до 0,9
Коефіцієнт забезпеченості власним капіталом
0,99
0,89
-0,10
>1
Коефіцієнт маневреності власного капіталу
-0,001
-0,090
-0,089
>0,4-0,6
Коефіцієнт довгострокового залучення позикових засобів
0,01
0,03
0,02
Зниження
Коефіцієнт короткострокової заборгованості
0,93
0,90
-0,03
Зниження
Коефіцієнт кредиторської заборгованості
0,92
0,89
-0,03
Зниження
З усіх перерахованих у табл. 3.11 показників тільки коефіцієнти автономії і співвідношення власних і позикових засобів відповідають нормативному мінімальному значенню на початок і кінець року. Обоє ці показника є суміжними і несуть однаковий економічний зміст. Коефіцієнт співвідношення показує в скількох разів власний капітал перевищує позиковий, коефіцієнт автономії вказує на те, що власний капітал у всіх джерелах займає 86% на початок року і 80% на кінець, тобто поки ще всі зобов'язання підприємства можуть бути покриті власними засобами. Зниження коефіцієнта автономії свідчить про збільшення фінансової залежності.
Коефіцієнт забезпеченості власними оборотними коштами і коефіцієнт маневреності власного капіталу утрачають свій економічний зміст, тому що замість власних оборотних коштів використовується кредиторська заборгованість.
Коефіцієнт фінансової стабільності, його ще називають коефіцієнтом покриття інвестицій, в аналітичній практиці прийнято вважати його нормативне значення наближає до 0,9. В аналізованому підприємстві в плині року його значення знизився з 0,87 до 0,82, це означає, що частка власного капіталу і довгострокових зобов'язань у загальній сумі активів підприємства стала займати 82% наприкінці 2000 року.
Коефіцієнт забезпеченості власним капіталом показує ступінь покриття джерелами власних і прирівняних до них засобів величини основних засобів і інших необігових активів. Так, якщо на початку аналізованого періоду власні джерела покривали 99% усіх необігових активів, то наприкінці року - 89%. Відбувається збільшення позикових засобів для покриття необігових активів.
Позитивним моментом є зниження коефіцієнтів короткострокової і кредиторської заборгованості на 3%.
Паралельно з цим йде збільшення коефіцієнта довгострокової заборгованості на 3%, це свідчить про зміну структури позикових засобів.
Коефіцієнти короткострокової і кредиторської заборгованості тотожні, тобто короткострокові зобов'язання практично цілком складаються з кредиторської заборгованості.
Аналіз коефіцієнтів фінансової стійкості тільки підтверджує зроблене раніше припущення про передкризовий фінансовий стан СХПК ім. Карбишева, тому що майже всі показники не відповідають нормативним значенням, до того ж намічається тенденція до подальшого погіршення фінансового положення господарства.
3.4 Аналіз ділової активності підприємства
Комплексний аналіз фінансового стану підприємства припускає не тільки оцінку його майнового положення, фінансовій стійкості і ліквідності, але й аналіз ефективності його чи діяльності ділової активності.
Ефективно працююче підприємство, як правило, навіть при тимчасовому зниженні фінансової стійкості, ліквідності активів має реальну можливість поліпшити свій фінансовий стан. Неефективно працюючі підприємства в більшості випадків утрачають фінансову незалежність, стають банкрутами, вступаючи в більш складні фінансові операції.
Для оцінки ефективності господарсько-фінансової діяльності використовуються показники рентабельності і ділової активності. Рентабельність підприємства відбиває ступінь прибутковості його діяльності. Ділова активність підприємства у фінансовому аспекті виявляється насамперед у швидкості обороту його засобів.
Досягнутий у результаті прискорення оборотності ефект виражається в першу чергу в збільшенні випуску продукції без додаткового залучення фінансових ресурсів. Крім того, за рахунок прискорення оборотності капіталу відбувається збільшення суми прибутку, оскільки до вихідної грошової форми він повертається зі збільшенням. Якщо виробництво і
реалізація продукції є збитковими, то прискорення оборотності засобів веде до погіршення фінансових результатів. Отже, потрібно прагнути не тільки до прискорення руху капіталу, але і до його максимальної віддачі. Це досягається раціональним і економічним використанням усіх ресурсів, недопущенням їхньої перевитрати і втрат на всіх стадіях кругообігу капіталу. У результаті капітал повернеться до свого вихідного стану в більшій сумі.
Таким чином, ефективність використання капіталу характеризується його рентабельністю (віддачею).
Між ефективністю капіталу, його оборотністю і рентабельністю продажів існує прямий взаємозв'язок, що характеризується:
RK = Rn-Ao.K. (3.7)
де RK - рентабельність капіталу; Rn - рентабельність продажів; До.к. - коефіцієнт оборотності капіталу.
Розглянемо використання капіталу в табл. 3.12.
Таблиця 3.12
Аналіз ефективності використання капіталу
Показники
На початок року
На кінець року
Відхилення +/-
Балансовий прибуток (збиток), тис. грн.
-531,5
-1463,9
+"-"932,4
Виторг від реалізації, тис. грн.
1100,1
681,5
-418,6
Податок на додаткову вартість, тис. грн.
118,8
102,0
-16,8
Усього капіталу, тис. грн.
10483,9
10193,8
-290,1
Рентабельність капіталу, %
-5,1
-14,4
+"-"198,4
Коефіцієнт оборотності капіталу
0,094
0,057
-0,037
Як видно з приведений даних, коефіцієнт оборотності капіталу знизився на 0,037 і склав наприкінці аналізованого періоду 0,057.
Це означає, що кожна гривня авансованого капіталу наприкінці 2000 року принесла усього лише 5,7 коп. При цьому на кожну гривню, наприкінці року, виторгу від реалізації продукції, робіт і послуг приходиться 2,52 грн. збитки. Варто враховувати, що ріст оборотності капіталу в умовах нерентабельного виробництва тільки погіршує фінансовий стан.
Збитковість капіталу за звітний період зросла з 5,1% до 14,4%, це означає, що на кожну гривню авансованого капіталу в господарстві на початок року одержали 5,1 коп. збитку, а на кінець року - 14,4 коп. збитки.
Використовуючи формулу 3.7 і метод ланцюгових підстановок, ми з'ясували, що за звітний період рентабельність авансованого капіталу знизилася на 9,3%, у тому числі за рахунок рентабельності продажів - на 18,65%), а за рахунок уповільнення оборотності авансованого капіталу -підвищилася на 9,34%:
Rк1-Rк0 = ARк (3.8)
1. ΔRkRп = (Rn1 - Rn0) ∙ КобКо
ΔRKRп = (252,6 - 54,2) ∙ 0,094 = 18,65
2. ΔRККоб.до = (0,057 - 0,094) ∙ 252,6 = - 9,34
Описані вище показники широко застосовуються в закордонних країнах у якості основних при оцінці його ділової активності.
Оскільки, за останні роки сільське господарство в нашій країні збиткове, у тому числі й аналізоване господарство, більш доцільне для аналізу ділової активності використовувати наступні коефіцієнти: оборотність матеріальних оборотних коштів, оборотність готової продукції, оборотність дебіторської і кредиторської заборгованості й ін., а також розраховуються терміни їхнього обороту (табл. 3.13).
Усі коефіцієнти ділової активності розраховуються як відношення грошових надходжень до відповідного категорії чи засобів джерел, а період їхнього обороту - розподілом 365 днів на відповідні коефіцієнти ділової активності. Грошові надходження - доход від продажів, тобто виторг від реалізації мінус податок на додаткову вартість.
Таблиця 3.13
Аналіз коефіцієнтів ділової активності
Показники
На початок року
На кінець року
Відхилення
Коефіцієнт оборотності активів (трансформації)
0,094
0,057
-0,037
Коефіцієнт оборотності матеріальних оборотних коштів
0,864
0,597
-0,267
Період обороту матеріальних оборотних коштів, днів
422
611
189
Коефіцієнт оборотності готової продукції
27,8
29,12
1,32
Період обороту готової продукції, днів
13
13
-
Коефіцієнт оборотності дебіторської заборгованості
5,59
3,91
-1,68
Період погашення дебіторської заборгованості, днів
65
93
28
Коефіцієнт оборотності кредиторської заборгованості
0,744
0,312
-0,432
Період погашення кредиторської заборгованості, днів
491
1170
679
Коефіцієнт оборотності власного капіталу
0,108
0,071
-0,037
Тривалість операційного циклу, днів
487
704
217
У звітному періоді на підприємстві СХПК ім. Карбишева має місце зниження ділової активності. Відзначається уповільнення кругообігу матеріальних оборотних коштів, про що свідчить зниження коефіцієнта оборотності матеріальних оборотних коштів з 0,864 до 0,597, а також збільшення періоду їхнього обороту на 189 днів за звітний період. Період обороту матеріальних оборотних коштів показує, що для продажу (без оплати) матеріально - виробничих запасів потрібно 611 днів за станом на кінець року.
Ріст коефіцієнта оборотності власного капіталу повинний свідчити про збільшення економічної віддачі власний капітал, однак, збільшення даного коефіцієнта відбулося, головним чином, за рахунок скорочення в плині року власного капіталу на 10,4%.
Про зниження ділової активності підприємства свідчить також збільшення на 217 днів тривалості операційного періоду, що показує, що господарству в середньому потрібно для виробництва, продажі й оплати продукції 704 дня (на кінець року).
Уповільнення ділової активності підприємства (про що свідчать всі аналізовані показники) в умові збиткового виробництва з погляду фінансового аналізу є позитивним моментом.
3.5. Діагностика і визначення ризику банкрутства підприємства
Банкрутство підприємств - нове явище у вітчизняній економіці, що освоює ринкові відносини. Економічна криза повалила багато підприємств у стан неплатоспроможності. Якщо в умовах нормально функціонуючої економіки більшість банкрутств є наслідком помилок у поточному керуванні підприємством і тоді уся відповідальність лягає на керівника, то в кризових ситуаціях неплатоспроможність підприємств у більшості випадків обумовлена недозволенністю задач загальноекономічного характеру і складною економічною ситуацією.
В умовах загальній заборгованості контролюючим органам, банкам, підприємствам необхідно навчитися розпізнавати ненадійних партнерів, об'єктивно оцінювати ситуацію, розрізняючи тимчасову неплатоспроможність від дійсної несамостійності підприємств.
Відповідно до закону "Про банкрутство", прийнятому в 1992 році, під банкрутством мається на увазі недолік активів у ліквідній формі, нездатність юридичної особи - суб'єкта підприємницької діяльності - задовольнити у встановлений для цей термін пред'явлені до нього з боку кредиторів вимоги і виконати зобов'язання перед бюджетом.
У результаті еволюції законодавства про банкрутство підприємств у нього усе більше вносилося норм, спрямованих не стільки на ліквідацію боржника, скільки на його фінансове оздоровлення.
Загалом законодавство про банкрутство повинне виконувати три Основні функції:
1) запобігати непродуктивне використання активів підприємств;
2) реабілітувати підприємства, що виявилися на границі банкрутства, зберігаючи значні резерви для успішної фінансово-господарської діяльності в майбутньому. Як правило, така реабілітація передбачає фінансову санацію (реорганізацію);
3) сприяти цілковитому задоволенню претензій кредиторів. Головне в проведенні справи про банкрутство підприємства - найбільш
повне задоволення вимог кредиторів, що пред'явлені до боржника. Цього можна досягти так:
а) у процесі ліквідаційної процедури продати майно боржника і розподілити виручені засоби між кредиторами;
б) втілити в життя план санації (реорганізації) боржника, що передбачає його збереження.
Арбітражний суд може застосовувати до боржника такі типи процедур:
а) ліквідаційні;
б) реорганізаційні;
в) санаційні.
До прийняття нового законодавства про банкрутство в Україні домінував перший метод. Проте в багатьох економічно розвитих країнах пріоритетної є санація, а не ліквідація підприємства-боржника. У ФРН, наприклад, у центрі уваги введеного в дію з 01.01.99 обновленого закону про банкрутство знаходиться можливість задоволення претензій кредиторів згідно з планом санації (реорганізації). Аналогічні положення можна знайти й у законодавствах США, Франції й інших економічно розвитих країн. У вітчизняному законодавстві про банкрутство, що діяло до 2000 року, також передбачалася можливість санації підприємства в процесі проведення справи про банкрутство, проте це питання було не досить урегульованим. Новий закон передбачає більше можливостей для відновлення платоспроможності боржника і після порушення справи про банкрутство.
Сутність банкрутства випливає з визначень, приведених у законодавстві про банкрутство. Згідно зі статтею 1 Закону України «Про банкрутство» від 1992 року під банкрутством розуміють зв'язану з недостатністю активів у ліквідній формі неможливість юридичної особи задовольнити у встановлений для цей термін виставлені йому кредиторами вимоги і виконати зобов'язання перед бюджетом.
У червні 1999 року Верховна Рада України прийняв Закон «Про відновлення платоспроможності чи боржника визнання його банкрутом», що вводиться в дію з 01.01.2000 року. Цей Закон є революційним у сфері банкрутства і санації підприємств. Він дає таке визначення банкрутства: банкрутство - це визнана арбітражним судом неможливість боржника відновити свою платоспроможність і задовольнити визнані судом вимоги кредиторів не інакше як через застосування ліквідаційної процедури. Суб'єктом банкрутства вважається боржник, неможливість якого виконати свої грошові зобов'язання встановлена арбітражним судом.
Суб'єктами банкрутства можуть бути лише зареєстровані у встановленому порядку як суб'єкти підприємницької діяльності юридичні особи, зокрема державні підприємства, підприємства з частиною державної власності в статутному фонді. Не можуть бути суб'єктами банкрутства відособлені підрозділи юридичних осіб (філії, представництва, відділення).
Разом з тим необхідно відзначити, що діючий нині закон не передбачає розмежування понять банкрутства і псевдобанкрутства (називаного також кримінальним, злісним, фіктивним банкрутством). Однак, законодавство багатьох закордонних країн давно вже чітко визначило ознаки простого (необережного) і злочинного (злочинного) банкрутства.
У ряді випадків з метою завуалювання злочинних дій, керівники чи підприємств власники можуть удатися до прийомів приховання факту власного банкрутства.
Навмисне приховання факту стійкої неспроможності чи засновником власником суб'єкта господарювання, а також посадовою особою здійснюється шляхом надання недостовірних зведень чи кредитору уповноважені їм органу.
Для об'єктивної оцінки фінансового стану підприємств із метою завчасного виявлення факту їхньої фінансової неспроможності, а також попередження фіктивного банкрутства, необхідна система науково-обґрунтованих фінансових критеріїв.
Усі критерії, що дозволяють діагностувати фінансову неспроможність підприємств, можна розділити на неформалізовані і формалізовані.
До неформалізованих критеріїв можна віднести наступні:
1) наявність у балансі збитків;
2) збільшення періоду погашення кредиторської заборгованості;
3) наявність простроченої кредиторської заборгованості і збільшення її питомої ваги в складі зобов'язань підприємства;
4) тенденція випереджального росту позикових джерел фінансування в порівнянні з динамікою власного капіталу;
5) тенденція випереджального росту найбільш термінових зобов'язань у порівнянні зі зміною високоліквідних активів;
6) формування довгострокових активів за рахунок короткострокових джерел.
Як бачимо, усі перераховані неформалізовані критерії фінансової нестабільності підприємств присущи СХПК ім. Карбишева і були докладно розглянуті в попередніх главах. Однак, неформалізовані критерії не грають вирішальної ролі при визначенні фінансово неспроможності підприємств.
Формалізовані критерії виявлення неплатоспроможності підприємств приведені в "Методиці проведення аналізу фінансово-господарського стану неплатоспроможних підприємств і організацій".
У даній методиці названі тринадцять основних фінансово-економічних показників, що дозволяють спеціально створеної комісії Агентства з питань попередження банкрутства установити факт фінансової неспроможності підприємства і занести його в "Реєстр неплатоспроможних підприємств і організацій".
У методиці приведені нормативні значення перерахованих показників. Саме, чи відповідність невідповідність фактичних показників нормативним і дає підставу фахівцям з Агентства чи вносити не вносити аналізоване підприємство до відповідного Реєстру.
У табл. 3.14 розглянемо Основні фінансово-економічні показники, використовувані відповідно до офіційної методики для установлення факту фінансової неспроможності підприємств.
Таблиця 3.14
Основні фінансово-економічні показники
Показники
На початок року
На кінець року
Нормативне значення
Коефіцієнт покриття
0,99
0,60
> 1
Коефіцієнт забезпеченості власними оборотними коштами
-0,01
-0,67
>0,1
Коефіцієнт абсолютної ліквідності
0,005
0
>0,2
Коефіцієнт автономії
0,86
0,80
>0,5
Коефіцієнт фінансової стабільності
0,87
0,82
>0,5
Робочий капітал, тис. грн.
-12,4
-752,2
Збільшення
Маневреність робочого капіталу
-0,001
-0,090
Збільшення
Коефіцієнт оборотності оборотних коштів
1,201
1,642
Збільшення
Коефіцієнт оборотності запасів
0,864
0,597
Збільшення
Час обороту запасів, днів
422
611
Зменшення
Фондовіддача, грн.
0,143
0,123
0,092
Час обороту оборотних коштів, днів
303,9
222,3
Зменшення
Примітка: нормативне значення фондовіддачі береться як середнє значення по всіх сільськогосподарських районах Каховського району за 2000 рік.
За даними табл. 3.14 коефіцієнт покриття, коефіцієнт забезпеченості власними засобами на початок і кінець року не відповідають нормативному значенню, як і тенденція зміни вартості робочого капіталу.
Коефіцієнт абсолютної ліквідності отсутствует, тому що немає можливості його розрахувати через відсутність у господарства коштів.
Показник маневреності робочого капіталу (власних оборотних коштів) не відповідає нормативному, він зростає з -0,001 до -0,09. Однак, дана методика припускає збільшення маневреності робочого капіталу, сформованого за рахунок власних оборотних коштів, а не кредиторської заборгованості. Тому, збільшення маневреності робочого капіталу з -0,001 до -0,09 не можна вважати відповідним нормативу.
Відповідність коефіцієнта оборотності засобів і оборотності запасів нормативному значенню теж викликає сумнів. Адже ріст коефіцієнтів оборотності на тлі зниження показників рентабельності є наслідком інфляційного росту цін, тому що коефіцієнт оборотності є відносним показником, у чисельнику якого знаходиться виторг від реалізації.
Єдиними показниками, що відповідають нормативному значенню, можна вважати коефіцієнт автономії і коефіцієнт фінансової стабільності.
Необхідно відзначити, що об'єктивність оцінки фінансово-економічного положення підприємства буде оцінюватися не по балансової, а по ринковій вартості.
Істотним недоліком зазначеної методики є те, що вона не дає відповідь на принципове питання: який висновок про фінансовий стан можна зробити в тих випадках, коли в підприємства одні оціночні показники знаходяться в нормі, а інші знаходяться нижче критичного значення. Також не вирішені питання про те, яке кількість фактичних показників, що характеризують господарсько-фінансову діяльність, повинне не відповідати нормативним значенням для того, щоб підприємства було визнано неспроможним і чи досить невідповідність одного чи половини аналізованих показників їхньому критичному рівню, щоб підприємство було визнано неспроможним. Невизначеність висновків таїть у собі небезпека зловживань.
Аналіз фінансово-економічних показників, що характеризують підприємство з різних сторін у випадках, коли аналізованим показникам присущі досить суперечливі тенденції, висновки експертів будуть суб'єктивними й обґрунтованими на практичному досвіді й інтуїції. Тому ми не можемо з визначеною точністю припустити які будуть зроблені висновки про СХПК ім. Карбишева користувачами даної методики.
Дана методика рекомендована фахівцями з:
1) Агентства з питань попередження банкрутства;
2) міністерств і інших органів центральної і місцевої виконавчої влади;
3) Державних податкових адміністрацій;
4) обслуговуючих банків.
Але існують і інші методики. Так, логічної завершеності і достатньої об'єктивності результатів аналізу можна домогтися, якщо з'єднати в загальний синтетичний показник Основні коефіцієнти, що характеризують фінансову діяльність підприємства.
У світовій практиці вже накопичений достатній досвід інтегральної оцінки фінансового стану підприємств. Для цих цілей кожному первинному фінансовому показнику приписується деякий ваговий коефіцієнт. Як мінімальний критерій стійкості фінансового стану підприємства, як правило, використовується імовірність банкрутства.
У закордонних країнах для оцінки ризику банкрутства і кредитоспроможності підприємств широко використовується модель відомого французького економіста Э. Альтмана, що за допомогою багатомірного дискримінантного аналізу досліджував 22 фінансових коефіцієнта і вибрав 5 з них для включення в остаточне рівняння множинної регресії:
де: OK - оборотний капітал;
НРП - сума нерозподіленого прибутку, резервів, фондів спеціального призначення і цільового фінансування;
ПП - прибуток після сплати податків;
СК - власний капітал;
ВР - виторг від реалізації;
А - підсумок активу балансу. Розрахунок імовірності банкрутства підприємства по моделі Альтмана проведений за допомогою електронних таблиць Microsoft Excel (див. табл. 3.15). вихідні дані узяті з Форми 1 "Баланс" річного звіту господарства, виторг від реалізації у Формі 2 "Звіт про фінансові результати" річного звіту.
Таблиця 3.15
Вихідні дані для визначення імовірності банкрутства СХПК ім. Карбишева
Показники
На початок року
На кінець року
Оборотний капітал, тис. грн. (O.K.)
1317,8
1119
Сума нерозподіленого прибутку, резервів, фондів соціального призначення і цільового фінансування, тис. грн. (НРП)
-447,3
-979,9
Прибуток після сплати податків, тис. грн. (ПП)
-531,5
-1033
Власний капітал, тис. грн. (СК)
9046
8109,6
Позиковий капітал, тис. грн. (ЗК)
1437,9
2084,2
Виторг від реалізації (ВР)
1100,1
681,5
Підсумок активу (А)
10483,9
10193,8
Імовірність банкрутства
3,803409747
2,064188068
З урахуванням отриманих результатів імовірність банкрутства оцінюється в такий спосіб:
Z імовірність банкрутства:
від 1,8 і менше - дуже висока;
від 1,81 до 2,7 - висока;
від 2,8 до 2,9 - можлива;
3,0 і вище - дуже низька.
Використовуючи модель Альтмана, ми розрахували, що на початок року Z = 3,80, а наприкінці - Z = 2,06. Отже, з точністю прогнозу 95% можна затверджувати, що за станом на кінець року імовірність банкрутства СХПК ім. Карбишева висока.
Послідовність проведення справи про банкрутство, передбачена новим законодавством, істотно відрізняється від тієї, що діяла до 2000 року (мал. 3.1 і додаток У).
Охарактеризуємо докладніше послідовність дій зацікавлених сторін щодо оголошення підприємства чи банкрутом його санації, що передбачена новим Законом України «Про відновлення платоспроможності чи боржника визнання його банкрутом».
1. Підстави і порядок надання заяви про відкриття справи про банкрутство боржника.
Справа про банкрутство підприємства відкривається по письмовій заяві - кого-небудь із кредиторів боржника, органів державної податкової чи служби контрольно-ревізійної служби, працівників підприємства до арбітражного суду при наявності відповідних основ (формальних ознак фінансової неспроможності). Кредитори мають право об'єднати свої вимоги до боржника і звернутися в суд з однією заявою. Боржник може звернутися в арбітражний суд за власною ініціативою про його фінансову чи неспроможність погрози такої неспроможності.
Рис. 3.1. - Проходження справи про банкрутство згідно Закону "Про банкрутство" від 1992 року
Згідно зі статтею 15 АП і статтею 6 Закону «Про відновлення платоспроможності чи боржника визнання його банкрутом» справи про банкрутство розглядаються арбітражними судами за місцем перебування боржника.
Справа про банкрутство збуджується арбітражним судом, якщо безперечні вимоги кредитора (кредиторів) до боржника складають не менше трьохсот мінімальних розмірів заробітної плати і не були задоволені боржником протягом трьох місяців після встановленого для їхнього погашення терміну.
Відзначимо, що згідно з положеннями колишнього Закону, кредитор міг звернутися з заявою про оголошення боржника банкрутом, якщо останній не міг задовольнити протягом одного місяця визнані їм претензійні вимоги. Отже, до основних нововведень у частині порушення справи слід віднести такі:
- уведення положення щодо мінімальних розмірів вимог кредиторів, не вдоволених боржником;
- змінено термін, після закінчення якого в кредитора виникає право на звертання в арбітражний суд із заявою про порушення справи; змінено характер події, від якого відраховується термін, після закінчення якого кредитор може звернутися з заявою (3 місяці з дня, установленого для виконання зобов'язань, замість одного місяця після визнання претензійних вимог).
Справа про банкрутство збуджується при наявності формальних ознак фінансової неспроможності боржника. Вітчизняне законодавство виділяє дві таких ознаки:
1. Неплатоспроможність. Боржник вважається неплатоспроможним, якщо він не в змозі виконати свої платіжні зобов'язання, термін оплати яких настав. Зовнішньою ознакою неплатоспроможності боржника є припинення їм будь-яких платежів.
2. Погроза неплатоспроможності. Боржник перебуває під загрозою неплатоспроможності, якщо він припускає свою неспроможність виконати платіжні зобов'язання у випадку настання терміну їхнього погашення. З формальної сторони, погроза неплатоспроможності позначається на основі оперативного фінансового плану боржника.
У законодавстві про банкрутство гнітючого більшості країн виділяють ще один, третя ознака фінансової неспроможності, що може бути основою для порушення справи про банкрутство боржника - це перевищення заборгованості підприємства над його активами (майном). Неплатоспроможність такого підприємства настає з настанням термінів виконання зобов'язань.
У першому випадку маємо справа з зовнішньою ознакою фінансової неспроможності (фактична неплатоспроможність). В другому і третьому - із припущенням (прогноз неплатоспроможності).
Зрозуміло, що кредитор може звернутися з заявою про порушення справи лише у випадку неплатоспроможності боржника, оскільки погрозу неплатоспроможності може виявити лише сам боржник. Кредиторами, що мають право збуджувати справа про банкрутство, можуть бути будь-які фізичні чи юридичні особи, що мають підтверджені належними документами майнові вимоги до боржника, крім кредиторів, чиї майнові вимоги цілком забезпечені заставою.
Кредитор, чия вимога забезпечена заставою, може звернутися з заявою про порушення справи про банкрутство щодо вимог, не забезпечених заставою, чи якщо вартість предмета застави недостатня для повного задоволення його вимоги. У даному випадку, кредитор повинний привести доказу того, що вартість предмета застави недостатня для повного задоволення вимоги, забезпеченого заставою.
Боржник, у випадку чи неплатоспроможності погрози неплатоспроможності і при наявності майна, достатнього для покриття судових витрат, може звернутися в арбітражний суд за власною ініціативою з заявою про порушення справи про своє банкрутство за таких умов:
- якщо задоволення вимог одного чи декількох кредиторів унеможливить виконання грошових зобов'язань перед іншими кредиторами;
- якщо, у випадку ліквідації боржника не в зв'язку з процедурою банкрутства, боржник не має можливості задовольнити грошові вимоги кредиторів у повному обсязі;
- при наявності ефективної концепції санації і відсутності необхідного часу для її реалізації (необхідних відстрочок платежів можна досягти, склавши світову угоду під час ведення справи про банкрутство).
3.6. Механізм фінансової стабілізації
Кожен етап аналізу фінансового стану, проведений аналіз у попередніх главах, указує на те, що СХПК ім. Карбишева функціонує з високою імовірністю банкрутства.
Щоб надалі не допустити його ліквідацію, варто негайно шукати і застосовувати можливі механізми фінансової стабілізації.
Усі механізми фінансової стабілізації можна розділити на внутрішні і зовнішні.
Внутрішній механізм фінансової стабілізації здійснюється по таких етапах:
1. Усунення неплатоспроможності. У якому би ступені не оцінювався масштаб кризового стану підприємства, невідкладною задачею в системі мір його фінансової стабілізації є відновлення здатності платежів по своїм поточним зобов'язанням.
2. Відновлення фінансової стійкості. Хоча неплатоспроможність підприємства може бути усунута протягом щодо короткого періоду часу за рахунок здійснення ряду аварійних фінансових заходів, причини генерирующий неплатоспроможності, можуть залишатися незмінними, якщо не буде відновлена до безпечного рівня фінансова стійкість підприємства. Це дозволить усунути погрозу банкрутства не тільки в короткому, але й у відносно тривалому періоді.
3. Зміна фінансової стратегії з метою прискорення економічного росту. Повна фінансова стабілізація досягається тільки тоді, коли підприємство забезпечує стабільне зниження вартості використовуваного капіталу і постійний ріст своєї ринкової вартості. Ця задача вимагає прискорення темпів економічного розвитку шляхом внесення визначених коректив у фінансову стратегію. Скоректована, з урахуванням несприятливих факторів фінансова стратегія підприємства повинна забезпечити високі темпи його виробничого розвитку при одночасному зниженні погрози його банкрутства в майбутньому періоді.
Кожному етапу фінансової стабілізації підприємства відповідає визначений механізм. Однак, у нашому випадку внутрішні механізми фінансової стабілізації не дозволять усунути погрозу банкрутства.
Тільки за рахунок власних коштів СХПК ім. Карбишева не зможе вирішити проблему своєї фінансової неспроможності, кредитори також не бажають взяти участь у санації. Отже, щоб не допустити ліквідації господарства і задовольнити вимоги кредиторів, необхідно шукати компромісні рішення даної проблеми.
Можливим таким рішенням може бути використання прийому, схожого на зворотний лізинг. При який СХПК ім. Карбишева, за згодою кредиторів, у рахунок погашення кредиторської заборгованості продасть їм на суму боргів будинку і спорудження з одночасним складанням договору про лізинг даних об'єктів нерухомості.
Кредитори також можуть взяти участь у фінансовому оздоровленні боржника у формі пролонгації і реструктуризації заборгованості, у формі надання додаткових кредитних ресурсів.
Однак, участь кредиторів буде безглуздим, якщо господарство не задіє внутрішні джерела фінансової санації.
Так, господарство повинне різко скоротити витрати, відмовитися від збиткового виробництва, скоротити весь незабезпечений роботою персонал.
Також СХПК може провести реструктуризацію активів. У рамках реструктуризації активів виділяють наступні види санаційних заходів:
а) мобілізація схованих резервів через реалізацію окремих об'єктів основних і оборотних коштів, що безпосередньо не зв'язані з процесом виробництва і реалізації продукції (будинку і спорудження невиробничого призначення, наднормативні запаси сировини і матеріалів і т.д.);
б) лізинг основних фондів. Цей метод уможливлює модернізацію устаткування без який подальше виробництво сільськогосподарської продукції буде нерентабельним;
в) здача в оренду основних фондів, що не повною мірою використовуються у виробничому процесі;
г) продаж окремих, низькорентабельних структурних підрозділів. За рахунок такої операції підприємство може одержати інвестиційні ресурси для перепрофілювання виробництва на більш прибуткові види діяльності;
д) домогтися погашення дебіторської заборгованості.
Поліпшення фінансового стану СХПК можна домогтися тільки діючи по всім перерахованим вище напрямках одночасно.
Крім перерахованих методів, домогтися погашення боргу і мобілізації необхідних для фінансового оздоровлення ресурсів можна також за рахунок цільового банківського кредиту. Така форма санації здійснюється, як правило, комерційним банком. Оскільки одержання такого кредиту зв'язано з високим рівнем ризику, ставка відсотків за нього досягає максимального рівня. При цьому, якщо банк дає кредит підприємству, у відношенні якого розглядається справа про банкрутство, до моменту висновку кредитної угоди, а інформація про розгляд такої справи був опублікований, безнадійна заборгованість за кредит погашається за рахунок власних коштів кредитора.
Такий кредит варто брати лише тільки в тому випадку, коли в підприємства буде впевненість у тім, що до моменту повернення кредиту кредитний проект окупиться.
Ще одним, на мій погляд найбільш реальною умовою виходу СХПК ім. Карбишева з критичного стану міг би стати механізм, при якому земля одержала б реальну ринкову вартість і могла бути включена (у вартісному вираженні) до складу основних фондів.
Грошова оцінка землі перетворить її у виробничий капітал, що буде функціонувати в системі ринку землі. Це дасть наступні переваги:
а) кожен землевласник одержує можливість оформити під заставу землі банківський кредит (іпотека), що є необхідним для зміцнення матеріально-технічної бази і розширення виробництва. У країнах з ринковою економікою сільським товаровиробникам під заставу землі і нерухомості виділяють до 40% кредитних ресурсів;
б) утворяться умови для покупки-продажу землі;
в) капіталізація землі - за принципом зворотного зв'язку - буде благоприятствовать подальшому розвитку ринкових відносин.
Ринок землі повинний стати діючим механізмом добору ефективних форм господарювання й економічно найбільш сильних хазяїнів на землі.
Покупка-продаж землі повинен здійснюватися під контролем держави, через Земельний банк. Необхідно також установити порядок, при якому земля може бути продана тільки тим, хто її безпосередньо обробляє і здатний ефективно використовувати.
Дотепер не доведений до логічного завершення основний принцип реформування земельних відносин, що був проголошений у жовтні 1994р.: " Земля повинна належати тим, хто неї обробляє, мати власника і хазяїна".
Селяни стали власниками земельних паїв, однак отримані ними сертифікати не забезпечують реалізацію права володіння, користування і розпорядження приватною власністю на землю в повному обсязі. А без цього дарма сподіватися на залучення в агропромисловий комплекс серйозних інвестицій на технічне і технологічне переоснащення сільськогосподарського виробника.
Указ Президента України "Про негайні заходи по прискоренню реформування аграрного сектора економіки" створює вагомі умови для істотного прискорення ринкових перетворень у селі, завершення реформування суспільного сектора сільськогосподарського виробництва на підставі приватної власності.
Однак, визначених Указом норм недостатньо для істотної зміни в селі ситуації до кращого. Приватна власність і засновані на її фундаменті нові господарства не зароблять, якщо не будуть утворені ефективні механізми кредитного обслуговування села, спеціалізовані банківські інституції.
У посланні Президента України до Верховній Раді України, у розділі "Реформи в аграрному секторі", указуються наступні шляхи удосконалення економічних і фінансово-кредитних відносин у селі:
- впровадження іпотечного кредитування під заставу землі з реально діючим механізмом її вилучення у випадку неповернення кредитів;
- утворення Земельного (іпотечного) банку;
- створення механізму фінансових гарантій повернення кредитів сільськогосподарськими виробниками через спеціалізовані структури по оцінці платоспроможності і санації підприємств;
- забезпечення адресної підтримки окремих диверсифікованих галузей виробництва (наприклад, виробництво зерна) за рахунок цільових позик (насіння, техніка) під конкретну продукцію;
- упровадження механізму відповідальності власників і керівників підприємств, господарств за своєчасну виплату заробітної плати і дивідендів, а також за розрахунки з державою.
У цьому ж посланні відзначено, що Кабінет Міністрів зобов'язався внести протягом трьох місяців із дня опублікування послання на розгляд Верховній Раді зміни і доповнення до Земельного кодексу України, підготувати і подати на розгляд у встановленому порядку проекти законів "Про купівлю і продаж земельних ділянок", "Про земельний (іпотечному) банці" і т.д.
Однак, зазначені терміни вже минули, а необхідні законодавчі акти і зміни до них ще не прийняті. Але навіть якщо будуть прийняті, існує ще одна проблема, що вимагає розгляди, - проблема грошової оцінки землі.
Проведені дослідження формування ринкової ціни землі-товару дозволяють зробити важливий теоретичний висновок: ринкова ціна землі підвищується тоді, коли банківські відсотки знижуються, і навпаки, підвищення банківських відсотків приводить до зниження ринкової ціни землі. Саме останнє пояснює те, що ціна на землю в нашій державі, за даними опитування селян - нових землевласників, більш ніж у 10 - 40 разів нижче кадастрової.
Звернемося до існуючого реаліям. За даними вибіркового опитування селян, реальна ціна землі сільськогосподарського призначення складає 100 -300 грн. за 1 га, а не 3500 - 4000 грн., як це передбачено кадастром. Таке положення на ринку землі обумовлено загальноекономічною ситуацією в агропромисловому комплексі. Потенційними продавцями землі будуть в основному сільські жителі похилого віку, що не мають перспектив на майбутнє, не можуть самостійно обробляти свої паї і мають величезну потребу в грошах (оплата послуг, ліки і т.д.), а також соціально неблагополучні жителі села, що мають ще велику потребу в грошах. Вони продадуть землю за вищевказаними цінами. У Росії, наприклад, в окремих областях, де дозволений продаж землі, ціна 1 га еквівалентна 10 діл. СІЛА.
При таких цінах на землю, навіть якщо будуть упроваджені механізми купівлі-продажу й іпотеки землі, істотних кредитних надходжень сільськогосподарські виробники не одержать.
Висновки
Фінансовий аналіз є найважливішою функцією керування в умовах ринкової економіки. Сільськогосподарські підприємства, здійснюючи виробничу діяльність, вступають у взаємини з багатьма суб'єктами господарювання, і від того, наскільки реально дана оцінка фінансового стану підприємства залежить результат фінансово-виробничої діяльності підприємства.
СХПК ім. Карбишева розташовує значним ресурсним потенціалом: площа сільськогосподарських угідь протягом аналізованого періоду залишалася незмінної і складала 7188,6 га, у тому числі на зрошенні - 2105 га; досить високий рівень забезпеченості основними й оборотними фондами (у вартісному вираженні). Так, у 2000 році фондооснащеність була 183 тис. га, а фондоозброєність - 51,2 тис. га і навіть підвищилася на 5% у порівнянні з базисним 1998 роком (за рахунок зниження чисельності працівників на 27 чоловік); поголів'я тварин в умовних головах знизилося на 27,2% і склало -670,9 ум. гол.; енергетичні ресурси в звітному періоді знизилися на 4,8% і склали 7852 л. с Однак, результати від використання цих ресурсів невтішні: валова продукція в 2000 році складала лише тільки 39,1% від 1998 року, тобто 695,2 тис. грн., фондовіддача основних фондів знижується і росте фондоємкість. У 2000 році на 1 грн. виробництва валової продукції було витрачено 20 грн. основних фондів, балансовий збиток на кінець звітного періоду склав 1463,9 тис. грн.; рентабельність реалізованої сільськогосподарської продукції досягла рівня, рівного - 50,8%.
Такий стан виробничо-фінансової діяльності викликало необхідність провести всебічний і заглиблений аналіз руху і використання фінансової стійкості СХПК ім. Карбишева. На підставі проведеного аналізу можна зробити наступні висновки:
1. Сума авансованого капіталу на кінець 2000 року зменшилася на 290,1 тис. грн., в основному за рахунок зменшення основного капіталу підприємства на 129,2 тис. грн. і матеріальних оборотних коштів на 164,8 тис. грн. Результатом такої зміни є значне скорочення власного капіталу на 936,4 тис. грн., ріст кредиторської заборгованості і відсутність необхідних сільськогосподарському підприємству короткострокових кредитів і позик.
2. Відбувається зниження загальної ліквідності засобів підприємства, що підтверджують коефіцієнти ліквідності (див. дипломну роботу) відсутністю на кінець року найбільш ліквідних активів.
3. Тип фінансової стійкості (за загальноприйнятою методикою) нормальний, але в той же час всі ознаки показують на кризовий стан: висока кредиторська заборгованість (неплатежі в бюджет, заборгованість постачальникам, заборгованість по оплаті праці).
4. Знижується ефективність використання капіталу - -14,4% , а також сповільнюється оборотність активів.
5. На підставі моделі Альтмана були проведені розрахунки прогнозування банкрутства - імовірність банкрутства СХПК ім. Карбишева дуже висока і вона підвищилася на кінець 2000 року.
На підставі отриманих результатів аналізу фінансового стану необхідно провести ряд заходів щодо фінансової стабілізації в СХПК ім. Карбишева:
1. Провести реструктуризацію активів, усунути причини іммобілізації оборотних коштів.
2. Використання зворотного лізингу, для залучення додаткових позикових засобів.
3. Продаж низькорентабельних структурних підрозділів.
4. Погашення дебіторської заборгованості.
5. Розробити механізм залучення земельних ресурсів до складу основного капіталу для використання під заставу в іпотечному кредитуванні.
СПИСОК ВИКОРИСТАНОЇ ЛІТЕРАТУРИ
1. Родионова В.М., Федотова М.А. Финансовая устойчивость предприятия в условиях инфляции. -М: Перспектива, 1998. С.
2. Балабанов И.Т. Анализ и планирование финансов хозяйствующего субъекта. - М.: Финансы и статистика, 1998. С.78
3. Шеремет А.Д., Сайфулин Р.С. Методика финансового анализа. - М.: ИНФРА-М, 1996.
4. Ковалев А.И., Привалов В.П. Анализ финансового состояния предприятия. -Центр экономики и маркетинга, 1997.
5. Донцова Л.В., Никифорова Н.А. Анализ бухгалтерской отчетности. - М.: Изд-во"ДИС", 1998.
6. Мазурова И.И., Астапенко З.Н., Брылева Н.Д. Лекции по анализу финансово - хозяйственной деятельности предприятия. - СПбУЭФ, 1993
7. Анализ экономической деятельности клиентов банка: учебное пособие. Под ред. Проф. О.И. Лаврушина. - М: ИНФРА-М, 1996.
8. Анализ хозяйственной деятельности в промышленности: Учебник /Богдановская Л.А., Виногоров Г.Г., Мигун О.Ф. и др.; под общей редакцией В.И. Стражева. - 2-е изд., стереотип.-Мн.: Выш.шк., 1996. - 363 с.
9. Баканов М.И. Анализ хозяйственной деятельности в торговле. - М.: Экономика, 1990. - 352 с.
10. Баканов М.И., Шеремет А.Д.Теория экономического анализа: Учебник. -4-е изд. - М.: Финансы и статистика, 1997. - 416 с.
11. Бороненкова С.А., Маслова Л.И., Крылов СИ. Финансовый анализ предприятий. - Екатеринбург: Изд - во Урал. гос. Университета, 1997. -200с.
12. Зудилин А.П. Анализ хозяйственной деятельности предприятия развитых капиталистических стран. - Екатеринбург: Каменный пояс, 1992. - 224 с.
13. Инновационный менеджмент /Под ред. П.Н. Завлина, А.К. Казанцева, Л.Э. Миндели. - 2-е изд., перераб. и доп. - М.: ИСН, 1998. - 568 с.
14. Ковалев В.В., Патров В.В. Как читать баланс. - 3-е изд., перераб. и доп. М.: Финансы и статистика, 1998. - 448 с.
15. Любушин Н.П., Рябинин Л.А. Оценка эффективности сдвигов в технологической структуре экономики //Малый и средний бизнес: тезисы международной конференции (Н.Новгород, 8-9 апр. 1996 г.).-Н.Новгород: ННГУ. - С. 25-27.
16. Любушин Н.П. Теория экономического анализа: Курс лекций. -Н.Новгород: НКИ, 1998. - 81 с.
17. Макконел К.Р., Брю С. Л. Экономика: принципы, проблемы и политика. В 2т.: Пер. с англ.. Т. Ш. - М.: Республика, 1992. - 399 с.
18. Русак Н.А., Русак В.А. Финансовый анализ субъекта хозяйствования. -Мн.: Выш. Шк., 1997. - 309 с.
19. Савицкая Г.В. Анализ хозяйственной деятельности предприятий. - Мн.: ИП Экоперспектива, 1997. - 498 с.
20. Финансовый менеджмент /Под ред. Е.С. Стояновой. - М.: Изд-во "Перспектива", 1996.-405 с.
21. Хелферт Э. Техника финансового анализа: Пер. с англ. /Под ред. Л.П. Белых. - М.: Аудит, ЮНИТИ, 1996. - 633 с.
22. Баканов М.И., Шеремет А.Д. Теория экономического анализа. - М.: Финансы и статистика, 1996.
23. Балабанов И.Т. Основы финансового менеджмента: Учеб. пособие. - М.: Финансы и статистика, 1997. - 480 с.
24. Агенство по вопросам предупреждения банкротства предприятий. Методика интегральной оценки инвестиционной привлекательности предприятий и организаций //Украинская ивестиционная газета. 1998. - № 3.
25. Закон Украины "О банкротстве" // Голос Украины. - 1992.
26. Закон Украины "О возобновлении плежеспособности должника или признание его банкротом" // Голос Украины. - 1999. - 30 липня.
27. Бланк И.А. Основы финансового менеджмента: В 2-х т. - К.: Ника -Центр, 1999.-512 с.
28. Бригхем Е.Ф. Основы финансового менеджмента: Учебник.: Пер. с англ. - К.: Молодь, 1997. - 1000 с.
29. Ван Хори Дж. К. Основы управления финансами: Учебник: Пер. с агл.. -М.: Финансы и статистика, 1996. - 800 с.
30. Витлинский В.В., Пернаровский О.В., Баранова А.В. Оценка кредитоспособности заимодавца и риска банка //Финансы Украины. -1999.-№12.
31. Глазунов В.Н. Анализ финансового состояния предприятий// Финансы. -1999. - №.2.
32. Голов С, Пархоменко В. Новый план счетов: построение и применение //Бухгалтер, учет и аудит. - 2000. - № 1.
33. Жежера М. Сравнительная характеристика методики проведения анализа финансового состояния предприятий Украины и за границей //Экономика, финансы, право. - 1999. - № 5.
34. Ковалев В.В. Финансовый анализ. - М.: Финансы и статистика, 1998. -512с.
35. Колесников В.П., Кроливецкая Л.П. Банковское дело. - М.: Финансы и статистика, 1995. - 476 с.
36. Крейнина М.Н. Финансовое состояние предприятий: Методы оценки. -М.: ДИС, 1998.-224 с.
37. Лігоненко Л., Ковальчук Г. Оцінка платоспроможності підприємства: Методичні підходи // Економіка, фінанси, право. - 1998. - № 9.
38. Литвин М.И. О критериях платежеспособности предприятия // Финансы. -1993.-№ 10.
39. Литвин М.И. Применение матричных балансов для оценки финансового состояния предприятия // Финансы. 1995. - № 3.
40. Миддлтон Д. Бухгалтерский учет и принятие финансовых решений: Учебник: Пер. с англ. - М.: Аудит. ЮНИТИ, 1997. - 408 с.
41. Нікбахт Е., Гропеллі А. Финансі: Пер. с англ. -К.: Основи, 1993. -384 с.
42. Николаева С.А. Особенности учета затрат в условиях рынка: система "директ - костинг" - М.: Финансы и статистика, 1993. - 128 с.
43. Патров В.В., Ковалев В.В. Как читать баланс. - М.: Финансы и статистика, 1994. - 254 с.
44. Операції комерційних банків / Р. Коцовська та ін. - Львів: Центр "Європа", 1997.-228 с
45. Хелферт Э. Техника финансового анализа: Пер. с англ. - М.: Аудит. ЮНИТИ, 1996.-664 с.
46. Фінансова діяльність підприємств / О.М. Бандурка та ін. - К.: Либідь, 1998.-312 с.
47. Рабочая тетрадь: Национальные стандарты бухгалтерского учета // Национальный центр экономического образования. - К., 1999.
Нравится материал? Поддержи автора!
Ещё документы из категории экономика:
Чтобы скачать документ, порекомендуйте, пожалуйста, его своим друзьям в любой соц. сети.
После чего кнопка «СКАЧАТЬ» станет доступной!
Кнопочки находятся чуть ниже. Спасибо!
Кнопки:
Скачать документ