Анализ платежеспособности ООО "Белтранс"






Содержание
Введение
1. Организация и технология проведения анализа платежеспособности
1.1 Организация и информационное обеспечение анализа платежеспособности
1.2 Содержание и методика анализа платежеспособности
2. Анализ платежеспособности и пути улучшения финансового состояния предприятия
2.1 Анализ структуры баланса
2.2 Анализ ликвидности баланса
2.3 Факторный анализ текущей ликвидности
2.4 Резервы увеличения прибыли
Заключение
Литература
Финансовое состояние и его платежеспособность – важнейшие качественные характеристики экономической деятельности предприятия. Они определяют конкурентоспособность, потенциал в деловом сотрудничестве, оценивают, в какой степени гарантированы экономические интересы самого предприятия и его партнёров в финансовом и производственном отношении.
Конкурентоспособность предприятию может обеспечить только правильное управление движением финансовых ресурсов и капитала, находящихся в распоряжении предприятия.
Анализ платежеспособности основан на балансе предприятия.
Результаты такого анализа нужны, прежде всего, собственникам, а также кредиторам, инвесторам, поставщикам, менеджерам и налоговым службам. В данной работе проводится финансовый анализ предприятия именно с точки зрения собственников предприятия, т. е. для внутреннего использования и оперативного управления финансами.
Целью данной работы является изучение показателей и методики определения платежеспособности предприятия на примере ООО «Белтранс». Для расчета показателей, связанных с определением платежеспособности предприятия, необходимо провести полный анализ структуры активов и пассивов предприятия, анализ основных и оборотных средств предприятия и источников их формирования. На основе полученных данных рассчитать необходимые показатели и коэффициенты и сделать соответствующие выводы.
ООО «Белтранс» основано на частной форме собственности и образовано путем преобразования ЧП «Белтранс», зарегистрированного Решением исполкома Администрации Советского района г. Минска 16 декабря 1996 г.
Общество является юридическим лицом согласно законодательству РБ, имеет обособленное имущество, самостоятельный баланс, счета в банках, печать со своим наименованием и др. Юридический адрес: г. Минск, пр. Ф. Скорины, 115а, комн. 3.
Основной целью деятельности общества является получение прибыли для удовлетворения социальных и экономических интересов участников общества посредством осуществления хозяйственной деятельности. Основные виды деятельности Общества: хранение и складирование, транспортно-экспедиционные услуги, грузовой сухопутный транспорт (ремонт, перевозки), оптовая торговля, розничная торговля, лесопильное и строгальное производство, лесозаготовки и др.
Исходя из поставленных целей, можно сформулировать задачи работы:
описать информационную базу анализа;
раскрыть значение бухгалтерского баланса, как основного источника информации при анализе платежеспособности и финансового состояния;
проанализировать структуру баланса ООО «Белтранс» и динамику его статей;
провести анализ финансового состояния предприятия, его платежеспособности и ликвидности;
определить резервы увеличения прибыли предприятия.
Для решения вышеперечисленных задач была использована годовая бухгалтерская отчетность ООО «Белтранс» за 2006 и 2007 года.
1. Организация и технология проведения анализа платежеспособности
1.1 Организация и информационное обеспечение анализа платежеспособности
Прежде чем исследовать платежеспособность, финансовую стабильность предприятия, следует определить период, за который будет проводиться анализ, подобрать и систематизировать необходимую информацию, проверить взаимосвязь изучаемых показателей и оценить их сопоставимость. Рекомендуется использовать информацию, характеризующую экономическое состояние предприятия за длительный интервал времени.
Основным источником анализа финансового положения предприятия является бухгалтерский баланс. В активе баланса отражается стоимость имущества и долговых прав предприятия (основной и оборотный капитал), в пассиве – источники средств (собственный и привлеченный капитал).
В процессе анализа финансового состояния предприятия используют информацию других форм бухгалтерской отчетности: бухгалтерский баланс, отчет о прибылях и убытках, пояснительных записок, данные текущего учета: регистров синтетического и аналитического учета, главной книги и др. (бухгалтерский баланс и приложения к нему - в приложении). В пояснительной записке обычно содержится информация о динамике показателей и степени влияния отдельных факторов на итоговые результаты хозяйственной и, прежде всего, финансовой деятельности предприятия, оценка его финансового состояния, имущества, перспективы развития.
1.2 Содержание и методика анализа платежеспособности
Одним из показателей, характеризующих финансовое положение предприятия, является его платежеспособность, т.е. возможность наличными денежными ресурсами своевременно погашать свои платежные обязательства.
Оценка платежеспособности по балансу осуществляется на основе характеристики ликвидности оборотных активов, которая определяется временем, необходимым для превращения их в денежные средства. Чем меньше требуется времени для инкассации данного актива, тем выше его ликвидность. Ликвидность баланса — возможность субъекта хозяйствования обратить активы в наличность и погасить свои платежные обязательства, а точнее — это степень покрытия долговых обязательств предприятия его активами, срок превращения которых в денежную наличность соответствует сроку погашения платежных обязательств. Она зависит от степени соответствия величины имеющихся платежных средств величине краткосрочных долговых обязательств.
Ликвидность предприятия — это более общее понятие, чем ликвидность баланса. Ликвидность баланса предполагает изыскание платежных средств только за счет внутренних источников (реализации активов). Но предприятие может привлечь заемные средства со стороны, если у него имеется соответствующий имидж в деловом мире и достаточно высокий уровень инвестиционной привлекательности.
Понятия платежеспособности и ликвидности очень близки, но второе более емкое. От степени ликвидности баланса предприятия зависит платежеспособность. В то же время ликвидность характеризует как текущее состояние расчетов, так и перспективу. Предприятие может быть платежеспособным на отчетную дату, но иметь неблагоприятные возможности в будущем, и наоборот.
В экономической литературе различают понятия ликвидности совокупных активов как возможность их быстрой реализации при банкротстве и самоликвидации предприятия и ликвидности оборотных активов, обеспечивающей текущую его платежеспособность. [10]
Предварительная оценка финансового положения предприятия осуществляется на основании данных бухгалтерского баланса (форма №1), «Отчета о финансовых результатах» (форма №2), а также «Приложения к балансу предприятия» (формы №4 и 5).
На данной стадии анализа формируется первоначальное представление о деятельности предприятия, выявляются изменения в составе имущества предприятия и их источниках, устанавливаются взаимосвязи между показателями.
Анализ ликвидности баланса заключается в сравнении средств по активу, сгруппированных по степени убывающей ликвидности с краткосрочными обязательствами по пассиву, которые группируются по степени срочности их погашения. Первая группа (А1) включает в себя абсолютно ликвидные активы, такие, как денежная наличность и краткосрочные финансовые вложения.
Ко второй группе (А2) относятся быстро реализуемые активы: готовая продукция, товары отгруженные и дебиторская задолженность. Ликвидность этой группы оборотных активов зависит от своевременности отгрузки продукции, оформления банковских документов, скорости платежного документооборота в банках, от спроса на продукцию, ее конкурентоспособности, платежеспособности покупателей, форм расчетов и др.
Значительно больший срок понадобится для превращения производственных запасов и незавершенного производства в готовую продукцию, а затем в денежную наличность. Поэтому они отнесены к третьей группе медленно реализуемых активов (А3).
Четвертая группа (А4) — это труднореализуемые активы куда входят основные средства, нематериальные активы, долгосрочные финансовые вложения, незавершенное строительство
Пятая группа (А5) — неликвидные активы (безнадежная дебиторская задолженность, неходовые, залежалые материальные ценности, расходы будущих периодов).
Соответственно на пять групп разбиваются и обязательства предприятия: П1 — наиболее срочные обязательства (кредиторская задолженность и кредиты банка, сроки возврата которых наступили); П2 — среднесрочные обязательства (краткосрочные кредиты банка); П3 — долгосрочные кредиты банка и займы; П4 — собственный (акционерный) капитал, находящийся постоянно в распоряжении предприятия; П5 — доходы будущих периодов, которые предполагается по лучить в перспективе.
Баланс считается абсолютно ликвидным, если:
А1 ≥ П1; А2 ≥ П2; А3 ≥ П3; А4 ≤ П4; А5 ≤ П5.
Ликвидность баланса оценивают с помощью специальных показателей, выражающих соотношений определённых статей актива и пассива баланса или структуру актива баланса. В большей мере в международной практике используются следующие показатели ликвидности: коэффициент абсолютной ликвидности; промежуточный коэффициент покрытия и общий коэффициент покрытия. При исчислении всех этих показателей используют общий знаменатель – краткосрочные обязательства, которые исчисляются как совокупная величина краткосрочных кредитов, краткосрочных займов, кредиторской задолженности.
Изменение уровня коэффициента текущей ликвидности может произойти за счет увеличения или уменьшения суммы по каждой статье текущих активов и текущих пассивов (рис. 1).
Рис. 1 Структурно-логическая модель факторного анализа коэффициента текущей ликвидности
Исходя из этого изучают влияние данных факторов на коэффициент текущей ликвидности.
Анализ платежеспособности предприятий осуществляется в основном по данным бухгалтерского баланса.
Баланс предприятия - система показателей характеризующая поступление и расходование средств путем их сравнения. Бухгалтерский баланс - сводная ведомость отражающая в денежной форме средства предприятия по их состоянию, размещению, использованию и источникам образования. Состоит из актива и пассива.
Принятая группировка статей баланса позволяет осуществить достаточно глубокий анализ финансового состояния предприятия. Эта группировка удобна для «чтения баланса», под которым принимают предварительное общее ознакомление с итогами работы предприятия и его финансовым состоянием.
При чтении баланса выясняют: характер изменения итога баланса и его отдельных разделов, статей, правильность размещения средств предприятия, его текущую платёжеспособность и т. п.
Чтение баланса, обычно, начинают с установления изменения величины баланса за анализируемый период времени. Для этого итог баланса на начало года сравнивают с итогом баланса на конец периода.
Горизонтальный анализ означает сопоставление статей баланса и исчисляемых по ним показателей на начало и конец одного или нескольких отчётных периодов; он помогает выявить отклонения, требующие дальнейшего изучения. При горизонтальном анализе исчисляют абсолютные и относительные изменения показателей. Сопоставление позволяет определить общее направление движения баланса. В обычных производственных условиях увеличение итогов баланса оценивают положительное, а уменьшение – отрицательно.
После оценки динамики изменение баланса целесообразно установить соответствие динамики баланса с динамикой объёма производства и реализации продукции, а также прибыли предприятия.
Показатели прибыли, товарной и реализованной продукции в расчёте на один рубль (квартальной) стоимости имущества целесообразно исчислять и сопоставлять с данными прошлых лет, а также с аналогичными показателями других предприятий.
Помимо выяснения направленности изменения всего баланса, следует выяснить характер изменения отдельных его статей и разделов, то есть осуществить дальнейший анализ по горизонтали. Положительной оценки заслуживают увеличение в активе баланса денежных средств, ценных бумаг, краткосрочных и долгосрочных финансовых вложений и, как правило, основных средств, капитальных вложений, нематериальных активов и производственных запасов, а в пассиве баланса – итога первого раздела и особенно суммы прибыли, резервного фонда, фондов специального назначения. Как правило, отрицательной оценки заслуживает резкий рост дебиторской и кредиторской задолженности в активе и в пассиве баланса. В процессе дальнейшего анализа баланса изучают структуру средств предприятий и источников их образования (анализ по вертикали). Вертикальный анализ – это выражение статьи (показателя) через определённое процентное соотношение к соответствующей базовой статье (по базовому показателю). С помощью вертикального анализа выявляют основные тенденции и изменения в деятельности предприятия.
Структура актива баланса состоит из следующих показателей: имущество предприятия; основные средства и прочие внеоборотные активы (в процентах ко всем средствам); материальные оборотные активы (в процентах к оборотным средствам); денежные средства и краткосрочные финансовые вложения (в процентах к оборотным средствам). По этим показателям прежде всего определяют тенденции изменения оборачиваемости всех средств имущества предприятия его производственного потенциала. При определении тенденции изменения оборачиваемости средств предприятия, помимо оценки изменения показателя общей оборачиваемости средств предприятия изучают соотношение динамики внеоборотных и оборотных средств, а также используют показатели мобильности всех средств предприятия и оборотных средств.
Структура источников средств предприятия (пассив) включает в себя следующие показатели: источники средств – всего; источники собственных средств; собственные оборотные средства; заёмные средства; кредиты и заёмные средства; кредиторская задолженность; доходы и резервы предприятия.
2. Анализ платежеспособности и пути улучшения финансового состояния предприятия
Для удобства проведения анализа структуры баланса (см. приложение) целесообразно использовать так называемый уплотненный аналитический баланс - нетто, формирующееся путем сложения однородных по своему составу элементов балансовых статей в необходимых аналитических разрезах (недвижимое имущество, текущие активы и т. д.), как это показано в таблице 2.1.
Как видно из данных в таблице 2.1., за отчетный период активы предприятия возросли на 1185872 тыс. руб., или 20,0%, в том числе за счет увеличения объема внеоборотных активов - на 342226 тыс. руб. (477682-135456) и прироста оборотных средств - на 843646 тыс. руб. (1004535-160889). Иначе говоря, за отчетный период в текущие активы было вложено почти 2,5 раза больше средств, чем во внеоборотные активы. При этом, учитывая, что предприятие в течение отчетного года не пользовалось долгосрочными займами, можно сделать вывод о том, что все инвестиционные вложения осуществлялись за счет собственных источников предприятия.
Следует отметить, однако, что в целом структура совокупных активов характеризуется значительным превышением в их составе доли оборотных средств, которые составляли 54,3% в начале года и 67,8% - в конце.
Таблица 2.1. Аналитический баланс ООО «Белтранс» за 2006 и 2007 гг.
Показатели
2006 год
В % к валюте баланса
2007 год
В % к валюте баланса
Отклонение (гр.4 - гр.2)
АКТИВ
Внеоборотные активы
135456
45,7
477682
32,2
-13,5
Оборотные активы, всего
в том числе:
160889
54,3
1004535
67,8
+13,5
- производственные запасы
103518
34,9
597356
40,3
+5,4
- готовая продукция
20284
6,8
67430
4,5
-2,3
- налоги по приобретенным ценностям
—
—
144212
9,7
+9,7
- денежные средства и краткосрочные финансовые вложения
31904
10,8
71422
4,8
-6,0
- дебиторская задолженность
5183
1,7
124115
8,4
+6,7
ПАССИВ
Источники собственных средств
74044
25,0
269128
18,2
-6,8
Заемные средства - всего
—
—
—
—
—
Краткосрочные ссуды банков
—
—
—
—
—
Краткосрочные займы
—
—
—
—
—
Доходы будущих периодов
—
—
7095
0,5
+0,5
Расчеты с кредиторами
222117
75,0
1205810
81,3
+6,3
В составе оборотных активов при общем увеличении их доли на 13,5% обращает на себя внимание рост налогов по приобретенным ценностям и дебиторской задолженности, удельный вес которых к концу года в структуре совокупных активов увеличился на 9,7 и 6,7% соответственно, а также уменьшение доли денежных средств и краткосрочных финансовых вложений на 6,0%.
Пассивная часть баланса характеризуется преобладающим удельным весом кредиторской задолженности, доля которой в общем объеме источников увеличивается в течение года с 75,0% до 81,3%. Структура источников собственных средств в течение отчетного периода претерпела серьезные для предприятия изменения. Так, их доля в общем объеме сократилась к концу года на 6,8%; кроме того, предприятию не удалось получить ни беспроцентные займы, ни краткосрочные ссуды. Поэтому можно сделать вывод об острой потребности ООО «Белтранс» в дополнительных источниках финансирования.
2.2 Анализ ликвидности баланса
Анализ ликвидности баланса заключается в сравнении средств по активу, сгруппированных по степени убывающей ликвидности (табл. 2.2.), с краткосрочными обязательствами по пассиву, которые группируются по степени срочности их погашения.
Таблица 2.2. Группировка активов и пассивов ООО «Белтранс» по степени ликвидности и срочности погашения (2006 и 2007гг.)
Показатели
2006 год, тыс. руб.
2007 год, тыс. руб.
1
2
3
АКТИВ
Денежные средства
31904
71422
Краткосрочные финансовые вложения
—
—
Итого по группе 1
31904
71422
Готовая продукция
20284
67430
Товары отгруженные
31832
117684
Дебиторская задолженность, платежи по которой ожидаются в течение 12 месяцев
5183
124115
Итого по группе 2
57299
309229
Долгосрочная дебиторская задолженность
—
—
Сырье и материалы
29733
237407
Малоценные и быстроизнашивающиеся предметы
2503
4914
Незавершенное производство
16126
91782
Расходы будущих периодов
23324
145569
Налог на добавленную стоимость по приобретенным ценностям
—
144212
Итого по группе 3
71686
623884
Внеоборотные активы (группа 4)
135456
477682
Всего
296345
1482217
ПАССИВ
Кредиторская задолженность
222117
1205810
Краткосрочные кредиты банков
—
—
Долгосрочные кредиты банков, займы и прочие долгосрочные обязательства
184
184
Собственный капитал
74044
269128
Доходы будущих периодов
—
7095
Всего
296345
1482217
Баланс считается абсолютно ликвидным, если:
А1 ≥ П1; А2 ≥ П2; А3 ≥ П3; А4 ≤ П4; А5 ≤ П5 (см. гл. 2.2.).
В случае с ООО «Белтранс» это соотношение выглядит следующим образом:
31904 < 222117; 57299 > 0; 71686 > 184; 135456 > 74044 (на начало года);
71422 < 1205810; 309229 > 0; 623884 > 184; 477682 > 269128 (на конец года).
Отсюда следует сделать вывод, что баланс ООО «Белтранс» нельзя считать ликвидным, так как абсолютно ликвидные активы, как на начало, так и на конец года меньше наиболее срочных обязательств. Труднореализуемые же активы, большую часть которых составляют незавершенные капитальные вложения, превышают собственный капитал.
Изучение соотношений этих групп активов и пассивов в течение нескольких периодов позволяет установить тенденции изменения в структуре баланса и его ликвидности.
При этом следует учитывать риск недостаточной ликвидности, когда недостает высоколиквидных средств для погашения обязательств, и риск излишней ликвидности, когда из-за избытка высоколиквидных активов, которые, как правило, являются низкодоходными, происходит потеря прибыли для предприятия.
Наряду с абсолютными показателями для оценки ликвидности и платежеспособности предприятия рассчитывают следующие относительные показатели: коэффициент текущей ликвидности, коэффициент быстрой ликвидности и коэффициент абсолютной ликвидности (табл. 2.3.).
Данные показатели представляют интерес не только для руководства предприятия, но и для внешних субъектов анализа: коэффициент абсолютной ликвидности представляет интерес для поставщиков сырья и материалов, коэффициент быстрой ликвидности — для банков, коэффициент текущей ликвидности — для инвесторов.
Таблица 2.3. Показатели ликвидности предприятия ООО «Белтранс» за 2006 и 2007 гг.
Показатель
2006 год
2007 год
Изменение
Коэффициент абсолютной ликвидности
0,14
0,06
-0,08
Коэффициент быстрой ликвидности
0,17
0,16
-0,01
Коэффициент текущей ликвидности
0,6
0,7
+0,1
Коэффициент абсолютной ликвидности (норма денежных резервов) определяется отношением денежных средств и краткосрочных финансовых вложений ко всей сумме краткосрочных долгов предприятия. На данном предприятии его величина на начало года — 0,14 (31904 / 222117), на конец — 0,06 (71422 / 1205810). Его уровень показывает, какая часть краткосрочных обязательств может быть погашена за счет имеющейся денежной наличности. Чем выше его величина, тем больше гарантия погашения долгов.
Исходя из данных, соотношение денежных средств и краткосрочных обязательств составляет 0,14 на начало года и 0,06 на конец. Это говорит о том, что погасить свои обязательства в срочном порядке предприятие не смогло бы. Хотя вероятность того, что все кредиторы предприятия одновременно предъявят ему свои долговые требования мала, принимая во внимание тот факт, что теоретически достаточным значением для коэффициента абсолютной ликвидности является 0,2, можно предварительно предположить недопустимость сложившихся на предприятии соотношений легко реализуемых активов и краткосрочной задолженности.
Также следует отметить резкое снижение значения коэффициента абсолютной ликвидности к концу года на 8 пунктов (0,14 – 0,06), связанное в основном с резким ростом краткосрочных обязательств к концу года на 443% ((1205810-222117)/ 222117·100%).
Однако и при небольшом значении коэффициента абсолютной ликвидности предприятие может быть всегда платежеспособным, если сумеет сбалансировать и синхронизировать приток и отток денежных средств по объему и срокам. Поэтому каких-либо общих нормативов и рекомендаций по уровню данного показателя не существует.
Коэффициент быстрой (срочной) ликвидности (по некоторым источникам – коэффициент критической ликвидности) — отношение денежных средств, краткосрочных финансовых вложений и краткосрочной дебиторской задолженности, платежи по которой ожидаются в течение 12 месяцев после отчетной даты, к сумме краткосрочных финансовых обязательств. Этот показатель характеризует, какая часть текущих обязательств может быть погашена не только за счет наличности, но и за счет ожидаемых поступлений за отгруженную продукцию, выполненные работы или оказанные услуги. В нашем примере на начало года величина этого коэффициента составляет 0,17 (37087/222117), а на конец — 0,16 (195537/1212905). Величина данного показателя явно не удовлетворительна. Удовлетворяет обычно соотношение 0,7-1. Однако и оно может оказаться недостаточным, если большую долю ликвидных средств составляет дебиторская задолженность, часть которой трудно своевременно взыскать. В таких случаях требуется соотношение большее. Если в составе оборотных активов значительную долю занимают денежные средства и их эквиваленты (ценные бумаги), то это соотношение может быть меньшим.
Коэффициент текущей ликвидности (общий коэффициент покрытия долгов) — отношение всей суммы оборотных активов, включая запасы и незавершенное производство, к общей сумме краткосрочных обязательств. Он показывает степень, в которой оборотные активы покрывают оборотные пассивы.
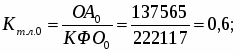
Превышение оборотных активов над краткосрочными финансовыми обязательствами обеспечивает резервный запас для компенсации убытков, которые может понести предприятие при размещении и ликвидации всех оборотных активов, кроме наличности. Чем больше величина этого запаса, тем больше уверенность кредиторов, что долги будут погашены. Удовлетворяет обычно коэффициент > 2. В нашем примере величина его на начало года составляет 0,6 (137565/222117), на конец — 0,7 (858966/1205810), т. е. наметилась тенденция его к увеличению.
Следует отметить, что так как на ООО «Белтранс» отношение текущих активов и краткосрочных обязательств ниже, чем 1 : 1, то можно говорить о высоком финансовом риске, связанном с тем, что предприятие не в состоянии оплатить свои счета. Обосновать общую величину данного показателя для всех предприятий практически невозможно, так как она зависит от сферы деятельности, структуры и качества активов, длительности производственно-коммерческого цикла, скорости погашения кредиторской задолженности и т. д. В связи с этим невозможно провести сравнение предприятий по уровню данного показателя. Его целесообразно использовать только при изучении динамики на данном предприятии, что позволит сделать предварительные выводы об улучшении или ухудшении ситуации, которые должны быть уточнены в ходе дальнейшего исследования отдельных компонентов текущих активов и текущих пассивов. В Республике Беларусь установлен минимальный его уровень: для промышленных предприятий — 1,7, сельскохозяйственных предприятий — 1,5, для строительных организаций — 1,2, транспорта — 1,3, торговли — 1,0 и т. д. Если фактическое его значение ниже данного уровня, то это является одним из оснований признания предприятия неплатежеспособным, что и имеет место в нашем случае. Так как коэффициент текущей ликвидности и доля собственного оборотного капитала в формировании оборотных активов меньше норматива, но наметилась тенденция роста этих показателей, то определяется коэффициент восстановления платежеспособности (Кв. п) за период, равный шести месяцам:
где Кт.л1 и Кт.л0 — соответственно фактическое значение коэффициента ликвидности в конце и начале отчетного периода; Кт.л норм — нормативное значение коэффициента текущей ликвидности; 6 — период восстановления платежеспособности, мес.; Т — отчетный период, мес.
Если Кв. п>1, то у предприятия есть реальная возможность восстановить свою платежеспособность, и наоборот, если Кв. п<1 — у предприятия нет реальной возможности восстановить свою платежеспособность в ближайшее время. В случае ООО «Белтранс» Кв. п равно 0,75 (0,75/1), значит у этого предприятия нет реальной возможности восстановить свою платежеспособность в ближайшее время.
2.3 Факторный анализ текущей ликвидности
Изменение уровня коэффициента текущей ликвидности может произойти за счет увеличения или уменьшения суммы по каждой статье текущих активов и текущих пассивов.
В первую очередь необходимо определить, как изменился коэффициент ликвидности за счет факторов первого порядка:
Изменение уровня коэффициента текущей ликвидности общее: 0,7 – 0,6 = +0,1, том числе за счет изменения:
суммы оборотных активов 3,9 – 0,6 = +3,3,
суммы текущих обязательств 0,7 – 3,9 = -3,2.
Затем способом пропорционального деления эти приросты можно разложить по факторам второго порядка. Для этого долю каждой статьи оборотных активов в общем изменении их суммы нужно умножить на прирост коэффициента текущей ликвидности за счет данного фактора. Аналогично рассчитывается влияние факторов второго порядка на изменение величины коэффициента ликвидности и по текущим пассивам. Результаты представлены в табл. 2.4.
Таблица 2.4. Расчет влияния факторов второго порядка на изменение величины коэффициента текущей ликвидности ООО «Белтранс»
Фактор
Абсолютный прирост, тыс. руб.
Доля фактора в общей сумме прироста, %
Расчет влияния
Уровень влияния
Изменение суммы оборотных активов
+721401
100,0
3,9-0,6
+3,3
В том числе:
запасов (включая НДС минус расходы будущих периодов)
+562951
78,0
3,3*78,0/100
+2,57
дебиторской задолженности
+118932
16,5
3,3*16,5/100
+0,54
денежных средств и КФВ
+39518
5,5
3,3*5,5/100
+0,18
Изменение суммы краткосрочных обязательств
+983693
100,0
0,7-3,9
-3,2
В том числе:
кредитов банка
—
—
—
—
кредиторской задолженности
+983693
100,0
-3,2*100,0/100
-3,2
Как следует из данных таблицы, общая величина наиболее срочных обязательств предприятия к концу года значительно возросла, тогда как объем денежных средств увеличился незначительно. Недостаточность высоколиквидных средств у предприятия привела к тому, что значительный объем срочных обязательств оказался покрытым активами с относительно невысокой оборачиваемостью (дебиторской задолженностью покупателей, запасами товарно-материальных ценностей). При этом обращает на себя внимание финансовая политика уменьшения объема кредитования своих покупателей: доля дебиторской задолженности уменьшилась по сравнению с кредиторской задолженностью (см. приложение).
Рассматривая показатели ликвидности, следует иметь в виду, что величина их является довольно условной, так как ликвидность активов и срочность обязательств по бухгалтерскому балансу можно определить довольно приблизительно. Так, ликвидность запасов зависит от их качества (оборачиваемости, доли дефицитных, залежалых материалов и готовой продукции). Ликвидность дебиторской задолженности также зависит от скорости ее оборачиваемости, доли просроченных платежей и нереальных для взыскания. Поэтому радикальное повышение точности оценки ликвидности достигается в ходе внутреннего анализа на основе данных аналитического бухгалтерского учета.
Об ухудшении ликвидности активов свидетельствуют такие признаки, как увеличение доли неликвидных запасов, просроченной дебиторской задолженности, просроченных векселей и т. д.
Другим показателем, характеризующим ликвидность предприятия, является оборотный капитал, который определяется как разность текущих расходов и краткосрочных обязательств. Иными словами, предприятие имеет оборотный капитал до тех пор, пока текущие активы превышают краткосрочные обязательства (или в целом до тех пор, пока оно ликвидно).
Сумму собственного оборотного капитала можно рассчитать таким образом: из общей суммы оборотных активов (II раздел баланса) вычесть сумму краткосрочных финансовых обязательств (V раздел пассива за вычетом доходов будущих периодов и резерва предстоящих расходов и платежей).
В нашем случае собственный оборотный капитал на начало и конец года составил: -61228 тыс. руб. (160889 – 222117) и –201275 тыс. руб. (1004535 – 1205810), то есть на предприятии отсутствовал собственный оборотный капитал.
Полезно определить, какая часть собственных источников средств вложена в наиболее мобильные активы. Для этого рассчитывается так называемый коэффициент маневренности.
Однако в нашем случае подобный расчет неуместен.
Таким образом, мы убедились в том, что сформировавшаяся на предприятии ООО «Белтранс» ситуация ставит под угрозу дальнейшую стабильность деятельности предприятия.
Руководству предприятия и его главному бухгалтеру надлежит принять срочные меры по стабилизации финансового положения предприятия.
2.4 Резервы увеличения прибыли
Деятельность предприятия зависит от его способности приносить достаточный уровень дохода (прибыли), которая влияет и на платёжеспособность.
Данные о прибылях и убытках ООО «Белтранс» приведены в таблице 2.5.
Таблица 2.5. Отчет о прибылях и убытках ООО «Белтранс» за 2006 и 2007 гг.
-
Показатель
2006
2007
Выручка от реализации
2287
2946
Себестоимость
2153
2596
Коммерческие расходы
128,3
316,5
Управленческие расходы
5,5
4,9
Прибыль от реализации
2,7
28,9
Прочие доходы
7,2
8,8
Прочие расходы
3,2
24,4
Внереализационные доходы
33,6
-
Внереализационные расходы
33,6
-
Прибыль (убыток) отчетного года
6,7
13,3
Использовано прибыли
4,7
69,4
Налог на прибыль и иные платежи
6,9
21,6
Нераспределенная прибыль (убыток) отчетного года
-5
-77,6
В нашем случае имеется возможность увеличения выручки от реализации на 20% или 589200 тыс. рублей (2946000 х 0,2) за счет планового увеличения объема производства и увеличения оборотов торгово-закупочной деятельности.
При уменьшении численности сотрудников на 3 человека снизятся отчисления на заработную плату на 6120 тысяч рублей (3 х 170 тыс. руб. х 12 месяцев). Месячная заработная плата на одного работника в расчете – 170 тысяч рублей. Кроме того, уменьшатся отчисления в фонд социальной защиты на 36% или на 2203,2 тыс. рублей (6120 х 0,36).
Исходя из вышеперечисленного резервы роста прибыли ООО «Белтранс» составят 605846,4 тыс. рублей (589200 + 6120 + 2203,2).
В ходе выполнения работы были выполнены следующие задачи:
определена классификация методов и приемов анализа платежеспособности и финансового состояния предприятия;
описана систему показателей, характеризующих финансовое состояние предприятия;
описана информационную базу анализа;
раскрыто значение бухгалтерского баланса, как основного источника информации при анализе платежеспособности и финансового состояния;
проанализирована структуру баланса ООО «Белтранс» и динамику его статей;
проведен анализ финансового состояния предприятия, его платежеспособности и ликвидности;
определены резервы увеличения прибыли через повышение платежеспособности предприятия.
За отчетный период (2007 год) активы предприятия возросли на 1185872 тыс. руб., или 20,0%, в том числе за счет увеличения объема внеоборотных активов - на 342226 тыс. руб. (477682-135456) и прироста оборотных средств - на 843646 тыс. руб. (1004535-160889). Иначе говоря, за отчетный период в текущие активы было вложено почти 2,5 раза больше средств, чем во внеоборотные активы. При этом, учитывая, что предприятие в течение отчетного года не пользовалось долгосрочными займами, можно сделать вывод о том, что все инвестиционные вложения осуществлялись за счет собственных источников предприятия.
В составе оборотных активов при общем увеличении их доли на 13,5% обращает на себя внимание рост налогов по приобретенным ценностям и дебиторской задолженности, удельный вес которых к концу года в структуре совокупных активов увеличился на 9,7 и 6,7% соответственно, а также уменьшение доли денежных средств и краткосрочных финансовых вложений на 6,0%.
Баланс ООО «Белтранс» нельзя считать ликвидным, так как абсолютно ликвидные активы, как на начало, так и на конец года меньше наиболее срочных обязательств. Труднореализуемые же активы, большую часть которых составляют незавершенные капитальные вложения, превышают собственный капитал.
Превышение оборотных активов над краткосрочными финансовыми обязательствами обеспечивает резервный запас для компенсации убытков, которые может понести предприятие при размещении и ликвидации всех оборотных активов, кроме наличности. Чем больше величина этого запаса, тем больше уверенность кредиторов, что долги будут погашены. Удовлетворяет обычно коэффициент > 2. В нашем примере величина его на начало года составляет 0,6 (137565/222117), на конец — 0,7 (858966/1205810), т. е. наметилась тенденция его к увеличению.
Следует отметить, что так как на ООО «Белтранс» отношение текущих активов и краткосрочных обязательств ниже, чем 1 : 1, то можно говорить о высоком финансовом риске, связанном с тем, что предприятие не в состоянии оплатить свои счета.
Общая величина наиболее срочных обязательств предприятия к концу года значительно возросла, тогда как объем денежных средств увеличился незначительно. Недостаточность высоколиквидных средств у предприятия привела к тому, что значительный объем срочных обязательств оказался покрытым активами с относительно невысокой оборачиваемостью (дебиторской задолженностью покупателей, запасами товарно-материальных ценностей). При этом обращает на себя внимание финансовая политика уменьшения объема кредитования своих покупателей: доля дебиторской задолженности уменьшилась по сравнению с кредиторской задолженностью.
Таким образом, мы убедились в том, что сформировавшаяся на предприятии ООО «Белтранс» ситуация ставит под угрозу дальнейшую стабильность деятельности предприятия.
Руководству предприятия и его главному бухгалтеру надлежит принять срочные меры по стабилизации финансового положения предприятия.
Состояние ООО «Белтранс» характеризуется недостаточными значениями рентабельности собственного капитала в связи с этим их повышение является для предприятия одной из наиболее важных задач. Резервом для увеличения рентабельности является, прежде всего, рост прибыльности продаж и увеличение оборачиваемости активов.
Проведенный анализ позволяет сделать следующие основные выводы.
Предприятие характеризуется:
недостаточной ликвидностью средне- и краткосрочных средств;
недостаточной финансовой устойчивостью;
снижением показателей оборачиваемости активов, что связано с ростом периода оборота как текущих, так и постоянных активов;
увеличением длительности "чистого" цикла;
недостаточными значениями рентабельности собственного капитала;
значительной долей налоговой нагрузки в себестоимости продукции;
ведением капитального строительства;
наличием изношенных основных средств.
Основными путями улучшения ликвидности завода являются:
увеличение собственного капитала;
получение долгосрочного финансирования;
сокращение сверхнормативных запасов;
уменьшение объемов незавершенного производства и готовой продукции на складе.
Анализ хозяйственной деятельности в промышленности / Под ред. В.И. Стражева. Мн.: Вышэйш. шк., 2000.
Артеменко В.Г., Беллендир М.В. Финансовый анализ. М.: Дело и сервис, 2005.
Баканов М.И., Шеремет А.Д. Теория анализа хозяйственной деятельности: Учебник. М.: Финансы и статистика, 2000.
Балабонов И.Т. Анализ и планирование финансов хозяйствующего субъекта. М.: Финансы и статистика, 2004.
Барнгольц С.Б. Экономический анализ хозяйственной деятельности на современном этапе развития. М.: Финансы и статистика, 2004.
Бернстайн Л.А. Анализ финансовой отчетности. М.: Финансы и статистика, 2006.
Ермолович Л.Л. Анализ финансово-хозяйственной деятельности предприятия. Мн.: БГЭУ, 2006.
Кравченко Л. И. Финансовый анализ субъекта хозяйствования. Мн.: «Экономпресс»2006.
Русак Н. А. Экономический анализ деятельности перерабатывающих предприятий. Мн.: ООО «Новое знание» 2000.
Савицкая Г. В. Анализ хозяйственной деятельности предприятия. Мн.: ООО «Новое знание», 2006.
Нравится материал? Поддержи автора!
Ещё документы из категории экономика:
Чтобы скачать документ, порекомендуйте, пожалуйста, его своим друзьям в любой соц. сети.
После чего кнопка «СКАЧАТЬ» станет доступной!
Кнопочки находятся чуть ниже. Спасибо!
Кнопки:
Скачать документ