Аналіз затрат робочого часу






















Вступ
Робочий час - час, протягом якого працівник відповідно до правил внутрішнього трудового розпорядку організації і умов трудового договору повинен виконувати трудові обов'язки, а також інші періоди часу, які відповідно до законів і інших нормативних правових актів відносяться до робочого часу.
Основні цілі дослідження витрат робочого часу:
визначення величини і причин втрат і нераціональних витрат робочого часу;
здобуття даних для розробки трудових нормативів і норм;
аналіз організації праці і здобуття відомостей про чинники, що впливають на витрати робочого часу;
оцінка раціональності використовуваних прийомів і методів праці;
вивчення і аналіз часу використання устаткування у взаємозв'язку з робочим часом виконавця робіт;
оцінка якості вживаних трудових норм, причин їх невиконання або перевиконання;
здобуття вихідних даних для розробки технологічних процесів, карт інструкцій;
встановлення нормованих витрат праці на виконання заданої роботи.
Витрати робочого часу класифікують, тобто підрозділяють, на окремі категорії по певних ознаках. Як єдині, задовольняючі вимогам всіх галузей народного господарства, застосовують диференційовані класифікації витрат робочого часу виконавця робіт і часу використання устаткування.
1. Класифікация витрат робочого часу виконавця робіт
Схема класифікації витрат робочого часу виконавця робіт представлена на додаток 1. Категорії витрат на схемі позначені загальноприйнятими буквеними індексами.
Робочий час виконавця робіт підрозділяється таким чином.
ВР - час роботи.
ВП - час перерв в роботі.
ВПЗ - час роботи по виконанню виробничого завдання - час, що витрачається працівником на підготовку і безпосереднє виконання отриманого завдання.
ПЗ - підготовчо-завершальний час *- час, що витрачається працівником на підготовку до виконання заданої роботи, і дії, пов'язані з її закінченням.
До цього вигляду витрат відноситься час: здобуття завдання на роботу; здобуття інструментів, пристосувань, технічної документації; установки пристосувань, інструменту; наладки устаткування на відповідний режим роботи; зняття пристосувань, інструменту після виконання завдання; здача пристосувань, інструменту, технічної документації; здача роботи (приймальникові, контролерові, майстрові і ін.).
Величина підготовчо-завершального часу не залежить від об'єму роботи, що виконується за даним завданням; воно витрачається один раз на всю партію виробів, що обробляються на одному робочому місці за зміну. Коли тривалий час виконується одна і та ж робота (наприклад, при переробці одного і того ж матеріалу, сировини), підготовчо-завершальний час з розрахунку на одиницю продукції буде незначним по величині.
ОП - оперативний час - це час, що витрачається безпосередньо на виконання заданої роботи (операції), повторюване з кожною одиницею або певним об'ємом робіт (продукції). Підрозділяється на основний і допоміжний час. Крім того, залежно від характеру участі працівника у виконанні заданої роботи оперативний час може бути часом ручної, ручної механізованої, машинно-ручної роботи, часом спостереження (активним і пасивним) за роботою устаткування, часом переміщення (переходів) виконавця робіт.
Про - основний час - час, що витрачається працівником на дії з якісної і кількісної зміни предмету праці (його форми, розмірів, зовнішнього вигляду, физико-хімічних або механічних властивостей і ін.). Цей процес може виконуватися самим працівником або під його спостереженням.
У - допоміжний час - час, що витрачається працівником на дії, які забезпечують виконання основної роботи. Воно повторюється або з кожною оброблюваною одиницею продукції, або з певним її об'ємом. Допоміжним також є час на завантаження устаткування сировиною (напівфабрикатами), вивантаження і знімання готової продукції; установку і зняття оброблюваних виробів; переміщення виробів в процесі їх виготовлення в межах робочої зони; управління устаткуванням, переміщення окремих механізмів устаткування, переустановлення робочого інструменту (якщо це повторюється з кожною одиницею продукції); на контроль якості продукції, що виготовляється; на пересування (переходу) працівника, необхідні для виконання операцій, і на інші аналогічні роботи.
РР - час ручної роботи - оперативний час, що витрачається працівником на виконання робіт без вживання машин і механізмів.
РМР - час ручної механізованої роботи використовується працівником на виконання роботи уручну за допомогою механізованих інструментів (електродриля, ручної зачистной машинки і ін.).
МР - час машинно-ручної роботи - час на виконання роботи за допомогою виконавчих механізмів устаткування (наприклад, ручної подачі на металоріжучому верстаті).
ВН - час спостереження за роботою устаткування.
ВАН - час активного спостереження за роботою устаткування - час, протягом якого працівник стежить за роботою устаткування, ходом технологічного процесу, дотриманням заданих параметрів процесу, аби забезпечити необхідну якість продукції і справність устаткування. Протягом цього часу працівник не виконує фізичної роботи, але присутність його на робочому місці необхідна. Цей час залежить від характеру роботи, складності і міри механізації обслуговуваного устаткування. Тривалість його велика при безперервних (апаратурних) процесах, а також в процесах з безперервним випуском продукції (автомати і ін.).
ВПН - час пасивного спостереження за роботою устаткування - час, протягом якого немає необхідності в постійному спостереженні за роботою устаткування або технологічним процесом, але працівник витрачає його через відсутність іншої роботи. Скорочення ВПН - істотний резерв підвищення продуктивності праці.
П - час переміщень (переходів) виконавця роботи використовується працівником на переходи в робочій зоні між верстатами, машинами, агрегатами при обслуговуванні декількох одиниць устаткування.
ОМ - час обслуговування робочого місця - час, що витрачається працівником на догляд за робочим местомом і на підтримку його в змозі, що забезпечує продуктивну роботу протягом зміни; підрозділяється на час технічного і час організаційного обслуговування.
Тих - час технічного обслуговування робочого місця - час, що витрачається працівником на догляд за робочим местомом, устаткуванням і інструментом, які необхідні для виконання конкретного завдання (заміна зношеного інструменту, прибирання відходів виробництва і ін.).
Орг - час організаційного обслуговування робочого місця - час, що витрачається працівником для підтримки робочого місця в працездатному стані протягом зміни. До нього відносять витрати часу на прийом і здачу зміни; розкладання на початку і прибирання в кінці зміни інструменту, захисних пристосувань, документації і інших необхідних для роботи матеріалів і предметів; переміщення в межах робочої зони тари із заготовками і готовими виробами; огляд, опробывание, чищення, миття, мастило устаткування і інші аналогічні роботи.
Витрати робочого часу на обслуговування устаткування можуть бути такими, що перекриваються і не перекриваються.
Час, що перекривається, - час виконання працівником тих або інших трудових прийомів в період автоматичного часу роботи устаткування. Перекривається може бути основний (ВАН) і допоміжний час, а також час, що відноситься до інших видів витрат (наприклад, до обслуговування робочого місця).
Час, що не перекривається, - час виконання допоміжних робіт при зупиненому (непрацюючому) устаткуванні (наприклад, завантаження сировини в апарат безперервної дії і вивантаження з нього готовій продукції).
ВНЗ - час роботи, не передбаченої виробничим завданням, - час, що витрачається працівником на виконання випадкової або непродуктивної роботи.
ВСР - час виконання випадкової роботи - час, що витрачається працівником на виконання роботи, не передбаченої виробничим завданням, але викликаною виробничою необхідністю.
ВНР - час виконання непродуктивної роботи - час, що витрачається працівником на виконання роботи, яка не передбачена виробничим завданням і не викликана виробничою необхідністю (наприклад, виправлення допущеного працівником браку, зняття зайвого припуска на обробку, додатковий пробіг автомашини із-за неправильно вибраного маршруту).
Час перерв в роботі підрозділяють на час регламентованих і нерегламентованих перерв.
ПР - час регламентованих перерв в роботі включає час перерв в роботі, обумовлених технологією і організацією виробничого процесу, а також час на відпочинок і особисті потреби виконавця робіт.
ПРТ - час перерв в роботі, обумовлених технологією і організацією виробничого процесу, - час, необхідність якого викликається специфікою технологічного процесу або організацією виробництва (наприклад, перерва в роботі монтажників конструкцій на час підйому краном плити перекриття або перерва в роботі гірників у зв'язку з провітрюванням забою після підривання заряджених шпурів).
ОТЛ - час на відпочинок і особисті потреби надається працівникам на відпочинок, виробничу гімнастику і тому подібне для підтримки їх нормальної працездатності і попередження перевтоми -, а також на особисту гігієну і відправлення природних потреб - .
ПН - час нерегламентованих перерв в роботі - час перерв, викликаних порушенням нормального ходу виробничого процесу, недоліками в організації виробництва і порушеннями трудової дисципліни.
ПНП - час перерв в роботі, які викликані недоліками в організації виробництва, що виникають, наприклад, у зв'язку з невчасною подачею на робоче місце матеріалів, сировини, напівфабрикатів, несправністю устаткування, перебоями в подачі електроенергії і ін.
ПНД - час перерв в роботі, викликаних порушеннями трудової дисципліни, - час перерв, що виникають в результаті порушення правил трудового розпорядку (запізнень на роботу, самовільної відсутності з робочого місця, передчасного відходу з роботи, сторонніх розмов в процесі роботи і ін.), а також простоїв працівників, які не можуть працювати із-за порушень трудової дисципліни іншими членами колективу (наприклад, на конвеєрі).
При аналізі витрат робочого часу з метою виявлення і подальшого усунення втрат робочий час підрозділяють на продуктивні витрати і втрати робочого часу.
Продуктивні витрати робочого часу: час роботи по виконанню виробничого завдання, час виконання випадкової роботи і час регламентованих перерв (ВПЗ + ВСР + ПР).
Втрати робочого часу: час виконання непродуктивної роботи і час нерегламентованих перерв (ВНР + ПН).
При аналізі витрат робочого часу з метою проектування норм витрат праці витрати робочого часу виконавця робіт підрозділяють на нормованих і ненормованих.
Нормовані витрати робочого часу - час роботи по виконанню виробничого завдання і час перерв, що регламентуються
(ВПЗ + ПР = ПЗ + ОП + ОМ + ПРТ + ОТЛ) (1.1)
Ненормовані витрати робочого часу (які фактично можуть бути, але в трудовій нормі не враховуються) - час роботи, не передбаченої виробничим завданням і час нерегламентованих перерв в роботі
(ВНЗ + ПН = ВСР + ВНР + ПНП + ПНД) (1.2)
2. Класифікация використання часу використання устаткування
Час використання устаткування протягом зміни (Дод.2) підрозділяється на час роботи устаткування і час перерв в роботі устаткування.
ВР - час роботи устаткування складається з часу роботи устаткування по виконанню виробничого завдання (оперативного часу роботи устаткування) і часу роботи устаткування, не передбаченого виробничим завданням.
ВПЗ - час роботи устаткування по виконанню виробничого завдання – час, протягом якого на устаткуванні здійснюється процес обробки предмету праці і введення його в обробку (наприклад, час на установку деталі на верстат). Оперативний час (ВПЗ) підрозділяють на основне і допоміжне.
Про - основний час може бути машинним (апаратурним) і машинно-ручним.
У - допоміжний час - час, протягом якого не виконується основна робота, а здійснюються дії, що необхідні для виконання основний робіт, не перекриваються машинним часом (наприклад, час на установку предмету праці на устаткування).
М - машинний (апаратурне) час - час, протягом якого здійснюється автоматична робота устаткування, а працівник виконує функції спостереження і регулювання
МР - машинно-ручний час - коли разом з машинною роботою безпосередньо в обробці використовується ручна праця.
ВНЗ - час роботи устаткування, не передбачений виконанням виробничого завдання, витрачається на виконання випадкової (ВСР) і непродуктивної (ВНР) роботи.
ВП - час перерв в роботі устаткування - час, коли устаткування не діє незалежно від причин виникнення перерв.
ПР - час регламентованих перерв в роботі устаткування включає час перерв в роботі, обумовлених технологією виробничого процесу, підготовкою до роботи (ПЗ), організаційно-технічним обслуговуванням робочого місця (Орг), на відпочинок і особисті потреби працівника (ОТЛ).
ПРТ - час перерв в роботі устаткування, обумовлених технологією виробничого процесу, складається з перерв, пов'язаних з ремонтом механізмів по графіку, неусувних технологічних перерв, у тому числі що виникають при багатоверстатному (багатоапаратурному) обслуговуванні із-за збігу зайнятості працівника на одному верстаті (апараті) з необхідністю обслуговувати інші.
ПН - час нерегламентованих перерв в роботі устаткування підрозділяється на час перерв, викликаних недоліками в організації виробництва, і час перерв, викликаних порушеннями трудової дисципліни працівником (ПНД).
ПНП - час перерв в роботі устаткування, викликаних недоліками в організації виробництва - час бездіяльності устаткування через відсутність сировини, матеріалів, напівфабрикатів, палива, енергії, порушення зв'язку із зв'язаним устаткуванням, а також час проведення позапланових ремонтів унаслідок несправності устаткування.
3. Аналіз витрат робочого часу
Залежно від мети дослідження розрізняють наступні види спостережень для вивчення витрат робочого часу.
Фотографія використання часу:
фотографія робочого часу;
фотографія часу використання устаткування;
фотографія виробничого процесу - одночасно вивчається використання робочого часу виконавця і часу використання устаткування.
Хронометраж.
Фотохронометраж.
За способом проведення спостережень і реєстрації отриманих результатів виділяють візуальні, автоматичні і комбіновані спостереження.
За способом записи застосовують цифрову, індексну, графічну фіксацію спостережуваного, а також кино-, фото-, відеозапис.
Методи вивчення витрат робочого часу - метод безпосередніх вимірів і метод моментных спостережень.
Метод безпосередніх вимірів полягає в безперервному спостереженні за трудовим процесом, операцією або її частинами і у фіксації свідчень поточного часу або тривалості виконаних елементів операції. Метод дозволяє детально вивчати робочий час виконавця і час використання устаткування, отримувати дані в абсолютному вираженні з високою їх достовірністю, отримувати зведення про послідовність окремих елементів роботи, залучати до вивчення витрат самих працівників.
До недоліків цього методу слід віднести: спостереження тривалі і трудомісткі; час спостереження обмежено і спостереження не можна переривати; один спостерігач, як правило, не в змозі забезпечити якісне спостереження більш ніж за трьома-чотирма об'єктами; постійна присутність спостерігача надає психологічну дію на працівника, що може впливати на достовірність результатів.
Метод моментных спостережень полягає в реєстрації і обліку кількості однойменних витрат робочого часу у випадково вибрані моменти (в деяких випадках - через рівні проміжки часу). Структуру витрат часу встановлюють по питомій вазі моментів, в які наголошувалися ті або інші полягання (ПЗ, ОП, ПНД і ін.) в загальній кількості моментів за весь період спостереження. За допомогою цього методу один дослідник може спостерігати за майже необмеженим числом об'єктів; достовірність спостережень не страждає при перервах в проведенні фотографії; трудомісткість спостережень в 5-10 разів менша, ніж при методі безпосередніх вимірів; об'єкт спостереження не підпадає під істотний психологічний вплив з боку спостерігача.
До недоліків методу можна віднести наступне: результатом можуть бути лише усереднені дані; структура витрат робочого часу може бути розкрита не повністю; відсутні дані про послідовність виконання прийомів і операцій; немає можливості безпосередньо фіксувати причини втрат, нераціональних витрат робочого часу.
Реалізація методу моментных спостережень зводиться до того, що спостерігач, обходячи робочі місця по певному маршруту, фіксує дії об'єктів спостереження. Запис ведеться із заздалегідь намічених крапок - фіксажних пунктів (наприклад, опорних колон і ін.).
3.1. Фотографія робочого часу
Фотографія робочого часу (ФРВ) - такий вигляд спостереження, при якому заміряють всі без виключення витрати часу виконавця робіт за певний період. Найбільшого поширення набула фотографія робочого дня (ФРД).
Залежно від спостережуваних об'єктів ФРВ може бути індивідуальною, груповою, самофотографией.
Незалежно від різновидів і мети ФРВ проведення її містить наступні етапи: підготовка до спостереження, його проведення, обробка отриманих даних, аналіз результатів, підготовка пропозицій по вдосконаленню організації праці.
3.1.1. Підготовка до спостереження
Підготовка полягає у вивченні технологічного процесу, організації праці на робочому жесті, порядку обслуговування робочого місця, технічних характеристик устаткування; ознайомлення працівника і його безпосереднього керівника з метою вивчення (фотографії); підготовці необхідної документації, у тому числі - заповненні наглядової карти (аркуша) даними про робоче місце і працівника.
Якщо фотографія проводиться з метою розробки нормативів, то на цьому етапі виявляються і усуваються недоліки, що наводять до прямих втрат і нераціональних витрат робочого часу. Особливе значення в цьому випадку має правильний вибір об'єкту (об'єктів) спостереження.
При використанні методу моментных спостережень розраховується кількість необхідних моментів, вибираються інтервали обходів, намічається їх маршрут і фіксажні пункти, визначається число змін, необхідних для спостереження.
Необхідне число спостережень (моментів) М визначається по формулі
( 3.1.1) ,
де До - коефіцієнт, залежний від заданої вірогідності невиходу відносної помилки спостережень за встановлені межі. В умовах стійкого технологічного процесу і багатократної повторюваності елементів витрат (масове і великосерійне виробництво) До зазвичай приймають рівним 1,4 ( 2) ; в умовах нестабільного виробничого процесу (одиничне і дрібносерійне виробництво) зазвичай До = 1,7 (ДО З);
d - питоме значення досліджуваного вигляду витрат часу в загальній тривалості робочого часу (при розрахунку - по тому вигляду витрат, якою передбачається мінімальним). Приймається зазвичай за даними спостережень, які проводилися раніше;
допустима величина відносної помилки спостережень (від 3 до 10%). Визначається виходячи з точності і питомої ваги витрат.
При невеликій питомій вазі витрат величина може бути збільшена без істотного зниження точності результатів спостережень. Це дає можливість при проведенні фотографії методом моментных спостережень вивчати витрати часу диференційовано по всіх категоріях без різкого збільшення числа моментів спостережень в порівнянні з розрахованими для категорії, що має найбільшу питому вагу в загальних витратах часу.
Інтервали обходів вибираються так, щоб вони не володіли якою-небудь закономірністю відносно виробничого циклу і носили характер випадкової вибірки. Ці інтервали (час початку обходу робочих місць) можуть визначатися за допомогою таблиць випадкових чисел.
Число робочих змін, необхідних для спостереження Nсм,, число моментів, що фіксуються за одну зміну Мсм і тривалість одного обходу, мін Тобх визначаються по формулах:
, (3.1.1.2)
де Котк - коефіцієнт, що враховує неспівпадання (відхилення) часу початку обходів (зазвичай Котк приймають рівним 0,5 - 0,7);
L - довжина маршруту обходу, м; 0,6 - середня довжина одного кроку, м; 0,01 - середня тривалість одного кроку, мин.
3.1.2. Індивідуальна фотографія робочого часу
Проводиться, як правило, методом безпосередніх вимірів. Оскільки працівник може приступити до праці або її підготовки до початку зміни, спостерігач має бути на робочому місці до початку спостережуваного періоду часу за 15-20 мин.
У наглядовому аркуші вказуються всі дії і перерви в роботі в тому порядку, в якому вони відбуваються фактично. Одночасно фіксується поточний час закінчення кожного виду витрат робочого часу, який, у свою чергу, є початком наступного вигляду витрат.
Особливу увагу звертають на відмінність елементів підготовчо-завершальної роботи і роботи по обслуговуванню робочого місця, а також перерв організаційно-технічного характеру і перерв, залежних від працівника.
Для підвищення достовірності результатів рекомендується проводити від трьох до жерсті ФРВ на початку, середині і кінці робочого тижня. При фотографуванні для розробки нормативів спостереження ведуть за різними виконавцями.
3.1.3. Групова фотографія робочого часу
Проводиться або методом безпосередніх вимірів (спостережувана група працівників - 2-4 людини, або методом моментных спостережень - при числі об'єктів, що вивчаються, більше чотирьох.
Порядок проведення групової фотографії методом безпосередніх вимірів такий же, як і при індивідуальній ФРВ. Запис витрат робочого часу виробляється по черзі по кожному спостережуваному працівникові.
При проведенні фотографії методом моментных спостережень запис в наглядовому аркуші ведуть або індексами,либо умовними позначеннями
Для графічного запису спостережень застосовується спеціальний наглядовий аркуш . Цифри над лініями, відповідними витраченому часу, вказують число працівників, що беруть участь в операції.
Графічний запис застосовується як для індивідуального, так і для групового ФРВ в тих випадках, коли умови роботи спостерігача утруднені або несприятливі (підземні гірські роботи, взимку на відкритому повітрі і ін.).
3.1.4. Самофотографія робочого часу
Проводиться самим працівником. При цьому виявляються і фіксуються лише втрати робочого часу, вказуються причини їх виникнення і дороги усунення .
Цей вигляд спостережень ефективний в тому випадку, якщо самофотографии проводяться систематично, охоплюють великі групи працівників і по їх результатах приймаються необхідні заходи для поліпшення організації праці.
Основна перевага самофотографии - вона дозволяє отримувати багатющу різноманітність конкретних пропозицій по усуненню причин втрат робочого часу.
Недолік цього методу очевидний - з його допомогою можуть бути зафіксовані лише втрати, не залежні від працівника.
3.1.5. Обробка даних фотографії робочого часу
Полягає в обчисленні тривалості витрат по кожній категорії шляхом віднімання з поточного часу час попереднього виміру. По всіх видах вимірів проставляються позначення витрат і складається зведення однойменних витрат робочого часу .
При використанні методу моментных спостережень число випадків підсумовується, визначається доля кожної категорії витрат і кількість моментів переводиться в тимчасове вираження (мін, сік).
3.1.6. Аналіз результатів спостережень
Аналіз результатів фотографій робочого часу зводиться до визначення нераціональних витрат і втрат робочого часу і встановлення їх причин. Фактичні витрати порівнюються з нормативними, які встановлюються на основі нормативів часу на підготовчо-завершальні операції, обслуговування робочого місця, часу на відпочинок і особисті потреби. Оперативний час (нормативне) визначається по формулі:
(3.1.6.1)
де аобс і аотл – відповідно, нормативи часу на обслуговування робочого місця і часу на відпочинок і особисті потреби у відсотках від оперативного часу. Після визначення розраховуються і :
і (3.1.6.2)
Отримані дані дозволяють скласти фактичний і нормативний (проектований) баланси витрат робочого часу.
Таблиця 1
Баланс витрат робочого часу
Аналіз результатів закінчується зазвичай визначенням характеристик - коефіцієнтів оперативного часу Коп, втрат робочого часу, викликаних недоліками в організації виробничого процесу Кпнп, втрат, залежних від працівника Кпнд, а також рівня можливого підвищення продуктивності праці за рахунок усунення втрат і непродуктивних витрат робочого часу Ппт:
, (3.1.6.3)
де і і - відповідно, фактичний і нормативний час оперативний і на відпочинок і особисті потреби; і - відповідно, фактичний час втрат, не залежних і залежних від працівника; Тнаб - час спостереження.
Пропозиції по усуненню виявлених втрат і непродуктивних витрат робочого часу розробляються на підставі аналізу витрат, зіставлення фактичної і проектованої організації праці.
3.2. Фотографія часу використання устаткування
Основні цілі проведення фотографії часу використання устаткування: виявлення ефективності використання устаткування, розрахунок норм його продуктивності, здобуття вихідних даних для визначення або уточнення кількості устаткування, що обслуговується одним або групою працівників.
При фотографуванні визначається машинно- (аппаратурно-) -свободное час і час зайнятості працівника (рівне часу роботи устаткування за участю працівника), а також інші категорії витрат.
Техніка спостереження і форми запису такі ж, як і при фотографії робочого часу. Залежно від кількості одиниць спостережуваного устаткування можуть застосовуватися або метод безпосередніх вимірів, або метод моментных спостережень.
При обробці даних складається баланс часу використання устаткування. Коефіцієнт використання устаткування рахують як відношення часу роботи устаткування до всього часу спостереження.
3.3. Хронометраж
Хронометражем називається такий вигляд спостережень, при якому вивчаються елементи оперативної, підготовчо-завершальної роботи або роботи по обслуговуванню робочого місця, що циклічно повторюються.
Основні цілі хронометражу: встановлення норм часу і здобуття даних для розробки трудових нормативів, вивчення раціональних прийомів і методів праці, перевірка якості норм, що діють, виявлення причин невиконання або значного перевиконання норм.
Розрізняють три способи проведення хронометражу: безперервний - по поточному часу, коли заміряються всі елементи, що циклічно повторюються в певному порядку; вибірковий, коли заміряються окремі прийоми роботи незалежно від їх послідовності виконання; цикловий - коли досліджуються елементи операції, що мають дуже малу тривалість, що не дозволяє візуально вимірювати їх без об'єднання в групи, кожна з яких в циклі періодично повторюється.
Точність вимірів часу при проведенні хронометражних спостережень залежить від тривалості виконання елементів, що вивчаються. При тривалості елементу операції до 10 з виміру виробляють з точністю до 0,1 з, до 1 міни - до 0,2 с. При значніших по тривалості елементах (до 30 мін і більш) похибки припускається в межах до 5 % тривалість, але не більше 1 мин.
Проводять хронометражні спостереження через 45-60 мін після початку роботи (з метою виключення часу врабатывания) і за 1,5-2 ч до закінчення робочого дня.
3.3.1. Підготовка до спостереження
Включає ознайомлення з операцією, її структурою, методами виконання; розчленовування операції на складові елементи; визначення початку і закінчення кожного елементу, тобто фіксажних крапок (чітко сприйманих зрительно або на слух початку і закінчення дій працівника); визначається необхідне число вимірів (табл.2); проводиться роз'яснювальна робота з працівником, пояснюють мету хронометражу і уточнюють порядок виконання роботи.
Таблиця 2
Число вимірів при одному хронометражному спостереженні
Виміри часу фіксують в хронометражній карті. При спостереженні по поточному часу фіксажна точка кінця елементу служить одночасно початковою точкою подальшого.
Спостереження проводиться за допомогою різного роду секундомірів. В деяких випадках застосовують графічні прилади типа хронографій і спеціальну фото-, кино- і відеоапаратуру. Дефектні виміри наголошуються (аби виключити їх при обробці спостережень).
3.3.2. Обробка результатів спостереження
В результаті проведення хронометражних вимірів і після виключення з них вимірів дефектних виходить хронометражний ряд (хроноряд). У всякому хроноряде має місце деяке розсіяння його тривалості. Коливання залежать від виконуваної роботи, рівня її механізації, тривалості елементів операції, типа виробництва, вимірювальних приладів, кваліфікації спостерігача.
Аби оцінити хроноряд відносно його вагання, застосовують фактичний коефіцієнт стійкості хроноряда:
(3.3.2.1)
де tmax - максимальна тривалість виконання елементу операції;
tmin - мінімальна його тривалість.
Розрахований таким чином не повинен перевищувати нормативний коефіцієнт Ку (таблиця. 3).
Таблиця 3
Нормативні коефіцієнти стійкості хронометражного ряду
Якщо фактичний коефіцієнт стійкості хроноряда перевищує нормативний, то необхідно зробити ще одне спостереження. Отриманий за результатами двох спостережень хроноряд оцінюють на стійкість. Якщо і в цьому випадку Ку перевищує нормативне значення, то слід виключити одне або обоє крайнього значення - мінімальне і максимальне. При цьому кількість виключених значень - дефектних і виключених при обробці - не повинно перевищувати 15 % всіх вимірів. Потім знову визначається фактичний коефіцієнт стійкості.
Якщо і в цьому випадку перевищує Ку нормативний, то хроноряд визнається нестійким, і необхідно проводити ще одне спостереження. Кількість спостережень буде достатньою лише в тому випадку, якщо отриманого загального хроноряда не перевищує нормативного.
Подальша обробка результатів спостереження полягає у визначенні середньої тривалості виконання кожного елементу операції; вона дорівнює середньоарифметичній величині всіх придатних вимірів хроноряда.
3.3.3. Хронометраж з врахуванням темпу роботи
Проводять з метою виключення психологічного впливу на працівника самої процедури спостереження. Відхилення величин вимірів, пов'язане з темпом роботи, може бути вельми істотним. При цьому відхилення частенько викликане навмисним уповільненням темпу.
Оцінка темпу здійснюється або візуально спостерігачем, або на етапі обробки результатів спостережень шляхом зіставлення витрат часу з нормативними, розрахованими із застосуванням мікроелементних трудових нормативів.
Фактичні витрати часу на виконання елементів обчислюються за допомогою так званих коефіцієнтів ефективності трудових рухів, величина яких вагається в межах 0,45-1,15 (при коефіцієнті 1,0 робота виконується в нормальному темпі і раціональним способом). При обробці результатів спостережень нормативний час, де Тф - фактичний час, Кеф- коефіцієнт ефективності. При цьому величини Тф і Кеф визначаються не як середньоарифметичні, а як модальні, тобто що найчастіше зустрічаються.
3.3.4. Цикловий хронометраж
Полягає у фіксації витрат часу елементів операції, об'єднаних в групи з різним складом елементів, що вивчаються.
Приклад циклового хронометражу. Вивчаються елементи а, би, в і г, що мають відносно малу тривалість. З цих елементів складаємо групи по три елементи: а + б + у = А; г+а+б = Би; у + г + а = У; б + у + г = Г, де А, Би, В і Г - сумарний час тривалості виконання елементів.
Після проведення вимірів по кожній з груп набули значень: А = 4 з, Би = 5с, В = 6с і Г = 6с. Після підсумовування рівності А + Б + У + Г = За + Зб + Зв + Зг знаходимо суму тривалості досліджуваних елементів:
.
Знаючи тривалість виконання елементів кожної групи, розраховуємо час на виконання кожного елементу:
а = Т - Г = 7 - 6 = 1 з би = Т - В = 7 - 6 = 1с
у = Т - Би = 7 - 5 = 2 з г = Т - А = 7 - 4 = Зс.
3.4. Фотохронометраж
Застосовується в одиничному і дрібносерійному виробництві, коли працівники протягом зміни виконують ряд різних робіт, або що зовсім не повторюються, або що повторюються незначне число разів.
Фотохронометраж полягає в тому, що в процесі фотографування протягом деякого часу проводяться диференційовані виміри по елементах операції; впродовж всього останнього часу спостереження тривалість елементів фіксується лише сумарно.
При фотохронометражі досліджується робота або одного працівника, або групи працівників, або багатоверстатна робота. Застосовують цифровий, графічний і комбінований запис. Обробка результатів спостережень виробляється: при визначенні часу елементів операції - так само, як при хронометражі; при визначенні інших витрат - методами, вживаними при обробці даних фотографій робочого часу.
4. Визначення рівня організації праці
При визначенні рівня організації праці на підприємстві і в будь-якому його структурному підрозділі виходять з того, що будь-який недолік в організації праці зменшує, а кожне поліпшення - збільшує фонд продуктивно витраченого часу. Це відповідним чином (умовно пропорційно) знижує або підвищує показники продуктивності праці.
Еталоном порівняння при визначенні рівня організації праці через показники використання робочого часу служить сукупний потенційний фонд робочого часу (СПФРВ) - максимально можлива величина робочого часу колективу.
Рівень організації праці розраховують за наступною схемою.
Визначається календарний фонд робочого часу за певний період (найчастіше - за рік) як твір среднесписочной чисельності промислово-виробничого персоналу Чппп на число календарних днів в періоді Дкл і на нормальну тривалість робочого дня в годиннику Тсм:
. (4.1)
Визначається потенційний фонд робочого часу як різниця між Фкал і нерезервообразуюшими витратами робочого часу. Під ними розуміються всі регламентовані витрати, які через свою правову і економічну природу не можуть бути віднесені до резервів використання часу.
Нерезервообразующие витрати підрозділяються на целосменные (НП) і внутрішньозмінні (НПС). Їх класифікація представлена в таблиці. .
Таблиця
Нерезервообразующие витрати часу
(4.2.)
Визначається фактично використаний фонд робочого часу Фі. Число відпрацьованого людино-дня береться з матеріалів табельного обліку Фтаб. Число відпрацьованого годинника при цьому коректується на середній коефіцієнт використання змінного часу Ки, встановлений по узагальнених матеріалах фотографій робочого часу:
. (4.3)
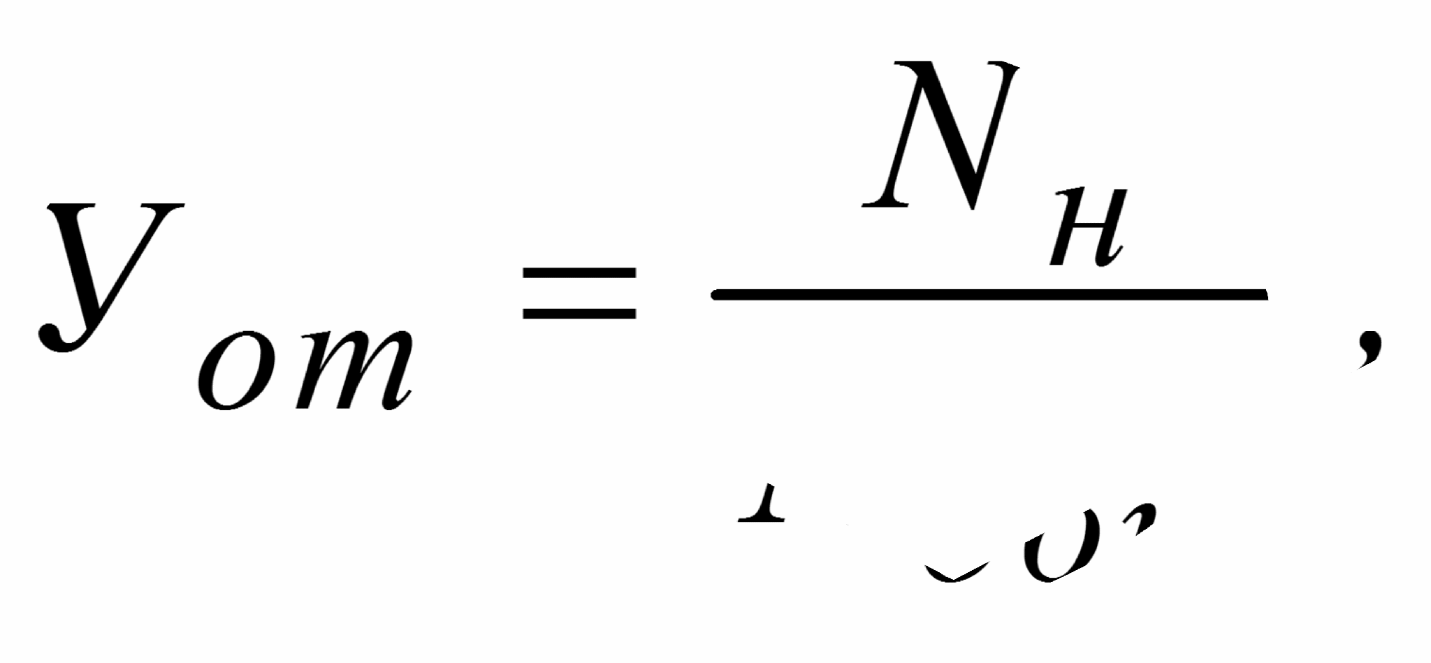
Визначається рівень організації праці (Уот) як відношення використаного фонду робочого часу до потенційного:
. (4.4)
До прихованих резервів відносять і можливості зростання професійної майстерності виконавців, особливо на тих ділянках виробництва, де від цього чинника залежить рівень продуктивності праці. Різниця в часі виконання одиниці роботи у середнього і малокваліфікованого працівника відноситься до категорії відносно зайвих витрат робочого часу.
Для визначення зайвих витрат робочого часу, які при проведенні ФРВ не виявляються, використовуються спеціальні хронометражні і фотохронометражні спостереження. З чималого числа спостережень визначається коефіцієнт відносно зайвих витрат робочого часу Клз як відношення корисних витрат часу дослідних робітників до середніх. На цей коефіцієнт додатково можна відкоректувати фонд використаного часу:
. (4.5)
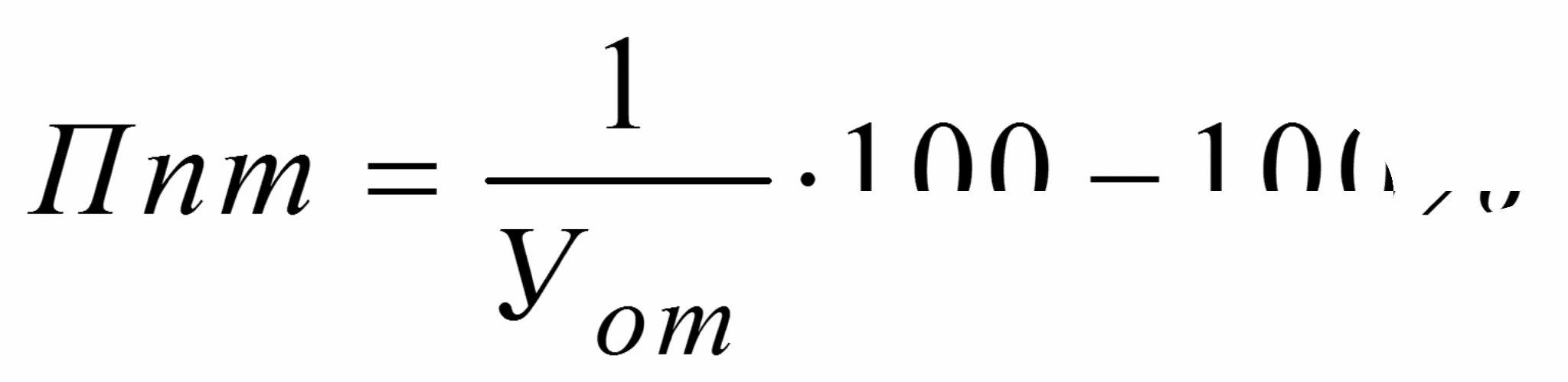
Рівень організації праці є, в першу чергу, показником ефективності виробництва. Оскільки фактично використаний час не може дорівнювати СПФРВ, оскільки сьогодні ще не можна повністю усунути хвороби, ліквідовувати всі причини несприятливих умов праці і інші негативні моменти організації, Уот не може дорівнювати одиниці. Потенційні резерви зростання продуктивності праці можна обчислити таким чином: відсоток можливого підвищення продуктивності праці
. (4.6)
Окрім приведеної методики визначення організації праці через СПФРВ застосовуються та інші - методи, оцінки організації праці із застосуванням приватних коефіцієнтів (індексів), що відображають стан по тому або іншому напряму.
Методика НІЇтруда на базі АТ НОРД передбачає числення 12 показників. Частіше за інших застосовується - коефіцієнти розподілу праці Крт, трудової дисципліни Ктд, організації робочих місць Корм, поєднання професій робітниками Кспр, напруженості норм Кнн, нормуванні праці Кнт, нормування праці службовців Кнтс, умов праці Кут:
(4.7)
(4.8)
де Твнз – час виконання не передбаченої завданням роботи;
Твп – внутрішньозмінні втрати із-за порушень трудової дисципліни;
Тцд – цілоденні втрати із-за порушень трудової дисципліни;
Тпл – плановий фонд часу одного працівника в даному періоді;
Чппп – загальна чисельність працівників;
Чо – чисельність робітників;
Чос – чисельність службовців;
Чн – число робітників, праця яких нормується;
Чонс – число службовців, чисельність яких визначена по нормативах;
Чртп – чисельність працівників, зайнятих на робочих місцях, типових проектів, що відповідають вимогам;
Чсп – число робітників, що поєднують професію;
dсп – планована питома вага робітників, що поєднують професію, в загальному числі робітників;
Аут – рівень умов праці.
Рівень умов праці - среднегеометрическая величина приватних показників (коефіцієнтів а) відхилень фактичних умов Фе від нормативних або гранично допустимих Сн. Порядок визначення приватних показників - коефіцієнтів а - наступний.
Якщо показник а визначається для характеристики виробничої шкідливості, для якої встановлена санітарна норма або гранично допустима концентрація (ГДК), то нормативний показник ділиться на фактичний:
(4.9)
Якщо коефіцієнт а повинен характеризувати дотримання якого-небудь нормативного параметра, нижче за яке починається відхилення від санітарних норм (наприклад, температура повітря не менш певного рівня), то фактичний показник ділиться на нормативний:
(4.10)
Якщо санітарні норми встановлені як інтервал значень нормативного показника, порушення кордонів якого як в ту, так і в інший бік недопустимо, то показник при перевищенні кордону інтервалу, а при зменшенні фактичного показника в порівнянні з нижнім кордоном інтервалу .
Рівень умов праці .
Якщо приватний показник виходить більше одиниці (умови праці краще нормативних), то при визначенні Аут його приймають рівним одиниці.
Рівень умов праці по підприємству зазвичай визначається як средневзвешенный рівень складових підрозділів. За ваги в цьому розрахунку приймається чисельність працівників підрозділів.
Інтегральна оцінка рівня організації праці може бути визначена як сума приватних коефіцієнтів, зважених по мірі впливу на приріст продуктивності праці:
де в1, в2 ... в12 - коефіцієнти міри впливу приватних показників рівня організації праці на приріст продуктивності праці, визначувані експертною дорогою методом попарного порівняння; К1, К2 ... К12 - приватні коефіцієнти по окремих напрямах організації праці.
Орієнтовна інтегральна оцінка рівня організації праці може бути отримана як среднегеометрическая величина приватних показників.
Окрім приведених коефіцієнтів підприємства застосовують та інші, що характеризують місцеві особливості організації і умов праці.
Недоліками оцінки рівня організації праці за допомогою приватних коефіцієнтів є їх слабкий зв'язок з динамікою продуктивності праці, елементи суб'єктивності при розрахунку деяких показників, можливість повторного рахунку в підсумкових даних.
Застосовується і спрощений метод визначення рівня організації праці - за даними атестації робочих місць:
(4.11)
де Nн і Nобщ - кількість робочих місць, визнаних по всіх критеріях відповідними нормативним вимогам, і загальне количество
рабочих місць.
Такий метод застосовний, якщо атестація робочих місць ведеться регулярно і кваліфіковано. Метод дає загальне уявлення про рівень організації праці без аналізу по елементах.
При аналізі рівня організації праці досліджується різниця між сукупним потенційним фондом робочого часу і реально ефективно відпрацьованим часом. Ця різниця розподіляється по конкретних причинах, оцінюється їх значущість, виявляються організаційні резерви зростання продуктивності праці (як потенційні, так і поточні).
Висновок
Аналіз використання робочого часу проводився в двох напрямах: використання фонду робочого часу і оцінка структури витрат робочого часу.
Провівши дане дослідження, можна сказати про те, праця має певні, досить серйозні недоліки, які вимагають усунення або хоч би коректування.
Таким чином, на закінчення моєї роботи мені хотілося б відзначити наступне: праця бути чітко регламентований і повинен відповідати основним нормам і правилам.
Оптимізація праці грунтується на дослідженні і аналізі тривалості виконання тих або інших професійних обов'язків. Після збору первинної інформації про виконувані роботи, обчислюється їх доля в сукупності всіх робіт.
В результаті роботи, грунтуючись на методі експертних оцінок, були виявлені невідповідності планової тривалості виконання кожній з робіт її фактичному значенню, і розроблений план організаційно-технічних заходів щодо вдосконалення використання робочого часу.
Література
1. Меськон і ін. Основи менеджменту. Москва. Справа. 1998., стор. 135.
2. Віханський О. С., Наумов А. І. «Менеджмент» — М.: «Фірма Гардіка», 2000. – 59 с.
3. Кабушкин. Основи менеджменту Мінськ. 2000., стор. 235.
4. Віханський О. С. Наумов. Менеджмент. Москва. МГУ. 1997., стр.66.
5. Ріфард Л.Дафт, Менеджмент, Пітер 2002 ., стор. 123.
6. Меськон.М. "Основи менеджменту" Видавництво "Справа" Москва. 1999г., стор. 122.
7. Кабушкин Н.І. «Основи менеджменту», Мінськ 2003. стор. 215.
8. Бакаєв М.І., Шеремет А.Д. Теорія аналізу господарської діяльності. - М.: Фінанси і статистика, 1999.
9. Беркстайн Л.А. Аналіз фінансової звітності. - М.: Фінанси і статистика, 1996.
10. Бикадоров В.Л., Алексєєв П.Д. Фінансово-економічний стан підприємства. Практичний посібник. - М.: Видавництво "ПРІОР", 2000.
11. Ефімова О.В. Фінансовий аналіз. - М.: Бухгалтерський облік, 1996.
12. Жмінько С.І. Фінансовий облік на підприємствах. - Ростов-на-Дону: видавництво "Фенікс", 1998.
13.Карпова Т.П. Управлінський облік. - М.: ЮНІТІ, 1998.
14.Ковальов в.в. Фінансовий аналіз: Управління капіталом. Вибір інвестицій. Аналіз звітності. - М.: Фінанси і статистика, 2000.
15.Русак Н.А. Стражев В.І., Мігун О.Ф. Аналіз Господарської діяльності в промисловості. / Під ред. Стражева В.І. - Міснк: Вишейшая школа, 1998.
16.Савіцкая Г.В. Аналіз господарської діяльності підприємства. - Мінськ: ІП "Екоперспектіва", 1998.
Затверджую:
керівник курсової роботи
____________
ПЛАН
Вступ
Класифікація витрат робочого часу виконавця робіт
Класифікація використання часу використання устаткування
Аналіз витрат робочого часу
Фотографія робочого часу
Підготовка до спостереження
Індивідуальна фотографія робочого часу
Групова фотографія робочого часу
Самофоторгафія робочого часу
Обробка даннях фотографи робочого часу
Аналіз результатів спостереження
Фотографія часу використання устаткування
Хронометраж
Підготовка до спостереження
Обробка результатів спостереження
Хронометраж з врахуванням темпу роботи
Цикловий хронометраж
Фотохронометраж
Визначення рівня організації праці
Висновок
Література
Підпис студента
_________________________________
Нравится материал? Поддержи автора!
Ещё документы из категории экономика:
Чтобы скачать документ, порекомендуйте, пожалуйста, его своим друзьям в любой соц. сети.
После чего кнопка «СКАЧАТЬ» станет доступной!
Кнопочки находятся чуть ниже. Спасибо!
Кнопки:
Скачать документ