Цены и ценообразование в организации




Министерство сельского хозяйства
ФГОУ СПО Вологодский сельскохозяйственный техникум
Заочное отделение
КУРСОВАЯ РАБОТА
по дисциплине «Экономика предприятия»
На тему: «Цены и ценообразование в организации»
Содержание
Введение
1. Теоретическая часть.
1.1 Сущность и функции цены как экономической категории
1.2 Система цен и их классификация
1.3 Ценообразующие факторы и ценовая политика на предприятии
1.4 Методы ценообразования на продукцию предприятия
2. Состояние и особенности ценообразования на предприятии
2.1 Краткая характеристика ОАО «Вагрон»
2.2Система ценообразования на основные виды продукции
3. Влияние уровня цен на прибыль и рентабельность
Выводы
Список литературы
Введение
Тема данной курсовой работы – «Цена и ценообразование в организации (предприятии)».
Важнейшим рычагом экономического механизма хозяйственной политики субъекта хозяйствования является цена, которая отражает все стороны экономической деятельности. В условиях рынка цена выступает связующим звеном между производителем и потребителем, обеспечивает равновесие спроса и предложения.
В экономике хозяйствующего субъекта исходным принципом является возмещение затрат и получение прибыли в размере, достаточном для осуществления расширенного воспроизводства и выплаты соответствующих налогов. Решение данной задачи происходит с помощью соответствующего установления уровня цен на продукцию, выпускаемую хозяйствующим субъектом.
Целью данной курсовой работы является рассмотрение одного из важнейших рычагов повышения эффективности производства, то есть цены, и ценообразования в организации, а также выработка на этой основе практических рекомендаций и выводов по улучшению финансового состояния предприятия.
Исходя из поставленной цели, можно сформировать задачи:
рассмотрение сущности, функций и видов цен;
анализ ценовой политики на предприятии и ценообразующих факторов;
рассмотрение методов установления цен на предприятии (методов ценообразования на продукцию);
анализ влияния уровня цен на эффективность производства, а именно прибыль и рентабельность.
В настоящей курсовой работе представлены функции цены как экономической категории товарного производства. На уровне субъекта хозяйствования цена выполняет учетную, распределительную, стимулирующую функции, функцию сбалансирования спроса и предложения и функцию цены как средства рационального размещения производства.
Также в своей курсовой работе я охарактеризовала ценообразующие факторы, ценовую политику и методы ценообразования на продукцию предприятия.
В настоящей курсовой работе будет рассмотрено предприятие ОАО "Вагрон", которое занимается производством и реализацией ликероводочных и кондитерских изделий.
В данной курсовой работе использовались следующие методы:
монографический;
графический;
табличный;
экономико-статистический.
1. Теоретическая часть
1.1 Сущность и функции цены как экономической категории
Во многих словарях цена трактуется как денежное выражение стоимости единицы товара. Можно встретить и такую формулировку: «Цена отражает количество денег, за которое продавец согласен продать, а покупатель готов купить единицу товара, и является важнейшей экономической категорией». В данном определении идет речь о двух видах цен. Цена продавца (цена предложения товара) – это количество денег, которое продавец хочет получить от продажи товара. Цена покупателя (цена спроса на товар) - количество денег, которое покупатель способен и согласен уплатить за товар. Рыночная цена (цена продажи товара, цена сделки) – цена, согласованная продавцом и покупателем, то есть цена, по которой реально будет продан товар.
От уровня цены зависят:
величина прибыли коммерческой организации;
конкурентоспособность организации и продукции;
финансовая устойчивость предприятия.
Цена как экономическая категория выполняет ряд важнейших функций.
Учетная функция цены отражает общественно необходимые затраты труда на выпуск и реализацию той или иной продукции. Цена определяет, сколько затрачено труда, сырья, материалов, комплектующих изделий на изготовление товара. В конечном счете, цена отражает не только величину совокупных издержек производства и обращения товаров, но и размер прибыли.
В учетной функции цена служит средством исчисления всех стоимостных показателей. К ним относят как количественные показатели – валовой внутренний продукт (ВВП), национальный доход, объем капитальных вложений, объем товарооборота, объем продукции фирм, предприятий и отраслей, так и качественные – рентабельность, производительность труда, фондоотдача и другие.
Таким образом, цена используется для определения эффективности производства, служит ориентиром принятия хозяйственных решений, важнейшим инструментом внутрифирменного планирования.
Распределительная функция цены состоит в том, что государство через ценообразование осуществляет перераспределение национального дохода между отраслями экономики, государственным и другими ее секторами, регионами, социальными группами населения.
Эта функция реализуется через включение в себестоимость многих налогов, которые затем являются источником накопления дорожных фондов, Пенсионного фонда, Фонда социального страхования, Фонда занятости населения и других, а также через включение в цену косвенных налогов (НДС и акцизов).
Функция сбалансирования спроса и предложения выражается в том, что через цены осуществляется связь производством и потреблением, предложением и спросом. Цена служит гибким инструментом для достижения соответствия спроса и предложения.
Функция цены как средства рационального размещения производства проявляется наиболее полно в условиях рыночной экономики. С помощью механизма цен происходит перелив капиталов в секторы экономики и производства с более высокой нормой прибыли.
Стимулирующая функция цены проявляется в том, что цена при определенных условиях может стимулировать ускорение НТП, улучшение качества продукции, увеличение выпуска продукции и спроса на нее. Это связано с тем, что цены дифференцированы в зависимости от технического уровня и качества продукции. По этим же причинам цены могут оказывать и дестимулирующее воздействие на производство.
Таким образом, цены играют исключительно важную роль в развитии экономики страны в целом и для каждого отдельно взятого субъекта хозяйствования. Отсюда вытекает значимость политики в области ценообразования.
1.2 Система цен и их классификация
Система цен характеризует собой взаимосвязь и взаимоотношение различных видов цен. Она состоит из различных элементов, среди которых можно выделить как отдельные цены, так и определенные их группы.
Взаимосвязь цен обусловлена зависимостью отдельных предприятий, производств и отраслей, единым процессом формирования затрат на производство и другими факторами. Поэтому повышение или понижение одной цены может вызвать изменения в уровне других цен. Особую роль играют такие отрасли, как энергетика, транспорт, связь и другие. Повышение цен в этих отраслях приводит к их росту во всех других, поскольку продукция этих отраслей применима повсеместно. В свою очередь, рост цен в остальных отраслях возвращает в форме более дорогого оборудования, транспортных средств и так далее.
Цен, действующие в рыночной экономике страны, классифицируются по следующим основным признакам.
По характеру обслуживаемого оборота выделяют:
оптовые цены на продукцию промышленности, по которым предприятия реализуют произведенную продукцию другим предприятиям и сбытовым организациям;
закупочные цены, по которым производители сельскохозяйственной продукции реализуют ее фирмам, промышленным предприятиям для дальнейшей переработки;
цены на строительную продукцию, включающие сметную стоимость, усредненную сметную стоимость, договорные цены. По мере развития рыночных отношений сфера действия договорных цен расширяется;
розничные цены, по которым торговые организации реализуют продукцию населению, предприятиям, организациям;
тарифы грузового и пассажирского транспорта;
тарифы на платные услуги населению;
цены, обслуживающие внешнеторговый оборот.
Любая цена включает ряд взаимосвязанных элементов. Соотношение отдельных элементов цены, выраженное в процентах, представляет собой структуру цены, которая позволяет судить о значимости элементов цены и их уровне.
Основу цены продукции составляет ее себестоимость. Она характеризует текущие издержки предприятия по производству и реализации продукции. Любое предприятие стремится к тому, чтобы полностью возместить затраты, связанные с выпуском продукции, и получить достаточную сумму прибыли. Прибыль предприятия должна обеспечивать не только финансирование текущих расходов (например, материальная помощь работникам, надбавки к пенсиям работающим на предприятии, единовременные пособия уходящим на пенсию ветеранам труда, дивиденды по акциям и так далее), но и развитие предприятия.
Важное место в структуре цены занимают налоги. Акцизы и налог ан добавленную стоимость являются косвенными налогами, которые оплачиваются конечными потребителями. Перечень подакцизных товаров устанавливается правительством. Он включает алкогольную продукцию, табачные изделия, легковые автомобили, минеральное сырье и прочие изделия.
Налог на добавленную стоимость имеет очень широкую базу обложения. Основная его ставка – 18 %. Вместе с темпо отдельным группам товаров установлены льготы по этому налогу (продовольственные товары, товары детского ассортимента и ряд других).
Наценки посреднических и торговых организаций обеспечивают им возмещение затрат, связанных с продвижением продукции от производителей к потребителям, и получение определенной суммы прибыли.
В зависимости от сферы регулирования различают:
свободные цены, которые устанавливаются производителями продукции и услуг на основе спроса и предложения. При этом покупатель и продавец ни до, ни после совершения сделки купли-продажи не связаны никакими обязательствами;
договорно-контрактные цены, которые устанавливаются по соглашению сторон. При этом продавец и покупатель, заключая договор-контракт, принимая на себя определенные обязательства;
цены в условиях частичной или полной монополизации рынка, которые вынуждают одну или обе стороны принимать какие-то принудительные условия;
регулируемые цены – цены, устанавливаемые под контролем государства или отдельных субъектов Федерации. Различают прямые и косвенные методы регулирования. Прямое регулирование осуществляется путем установления фиксированных цен, предельных цен, надбавок, предельных коэффициентов изменения цен, предельного уровня рентабельности.
В зависимости от территории действия различают:
единые и поясные цены;
региональные (зональные) цены.
Единые цены устанавливаются и регулируются федеральными органами исполнительной власти. Региональные цены устанавливаются органами исполнительной власти регионов и учитывают природно-климатические, географические, социально-экономические условия и особенности отдельных территорий.
Единые (поясные) регулируемые цены устанавливаются на следующие виды продукции и услуг:
газ природный (кроме реализуемого населению и жилищно-строительным кооперативам);
продукция ядерно-топливного цикла;
электроэнергия и теплоэнергия, тарифы на которые регулируются Федеральной энергетической комиссией;
продукция оборонного производства;
драгоценные металлы и сплавы;
перевозки грузов, погрузочно-разгрузочные работы на железнодорожном транспорте;
перевозки пассажиров, багажа, грузоперевозок и почты на железнодорожном транспорте (кроме перевозок в пригородном направлении) и другие.
В зависимости от метода включения транспортных расходов в цену товара выделяют:
цену "франко-склад поставщика";
цену "франко-станция отправления";
цену "франко-склад потребителя" и другие.
Система франкирования показывает, до какого пункта по пути продвижения товара от продавца к покупателю продавец возмещает транспортные расходы; они соответственно включаются в цену товара.
Так, цена "франко-склад поставщика" означает, что все расходы по доставке продукции несет покупатель. В цену "франко-станция отправления" продавец включает расходы по доставке продукции на станцию отправителя. Цена "франко-склад потребителя" означает, что все расходы по доставке продукции оплачивает поставщик.
По времени действия цены подразделяются на:
твердые (постоянные), которые не меняются в течение всего срока действия контракта;
текущие, меняющиеся в рамках одного контракта и отражающие изменение ситуации на рынке;
сезонные, действующие в пределах определенного периода времени;
скользящие, устанавливаемые на изделия с длительным сроком изготовления. Эти цены позволяют учитывать изменения в издержках производства за период времени, необходимый для их изготовления.
В классификации цен отдельно выделяются цены, используемые в статистике:
текущие;
средние;
сопоставимые;
неизменные.
Статистические цены являются обобщенными, агрегированными. Они позволяют анализировать и выявлять тенденции в динамике цен, устанавливать изменения в динамике физических объемов производства и реализации товаров, а также осуществлять анализ стоимостных показателей.
1.3 Ценообразующие факторы и ценовая политика на предприятия
Для выработки эффективной ценовой политики фирмы необходим всесторонний анализ факторов, влияющих на уровень цен. Основными из них являются:
спрос на продукцию;
государственное регулирование цен;
издержки по производству и реализации продукции;
конкуренция;
другие факторы.
Значительное влияние на цену товара оказывает спрос. Чем выше цена товара, тем меньше предлагаемых по этой цене изделий могут приобрести покупатели.
Кривая спроса показывает обратно пропорциональную зависимость между ценой товара и спросом на него.
Если при росте цен кривая спроса падает, то кривая предложения, наоборот, возрастает. Это объясняется тем, что повышение цены заинтересовывает производителей в увеличении объемов продаж. Зависимость между ценой товара и его предложением показана на рисунке 2.
Цена, при которой спрос и предложение равны, называется равновесной ценой. Это именно та цена, по которой товар будет продан (рисунок 3).
В действительности соотношение спроса и предложения постоянно меняется в результате воздействия на них различных факторов.
Для количественного измерения колебаний спроса и предложения под воздействием различных факторов используется понятие эластичности. Эластичность дает представление о том, в какой степени изменение цены воздействует на уровень спроса.
Степень ценовой эластичности измеряется на основе коэффициента эластичности (Кэ):
(1)
где Q1 – объем продаж по прежним ценам;
Q2 – объем продаж по новым ценам;
P1 – прежняя цена изделия;
P2 – новая цена изделия.
Спрос на различные товары может быть как эластичным, так и неэластичным. При эластичном спросе (незначительном изменении цены и значительным изменением спроса) значение коэффициента эластичности больше единицы. И наоборот, при неэластичном спросе, когда изменение цены не вызывает больших отклонений в спросе на данный товар, коэффициент эластичности менее единицы. К товарам неэластичного спроса относятся, например, товары повседневного спроса, относительно недорогие товары и другие.
Определенную роль в ценообразовании играет государство, осуществляя регулирующую функцию. В условиях несовершенного рынка возникающая равновесная цена не способствует оптимальному состоянию и стабильности в обществе. Поэтому государство путем установления регулируемых цен целенаправленно создает новые условия равновесия. Но при этом необходимо учитывать следующие моменты:
во-первых, устанавливаемая государством цена не может достаточно быстро меняться под влиянием изменений спроса и предложения, поэтому может возникать дефицит или затоваривание продукции, не находящей сбыта;
во-вторых, полный отказ государства от вмешательства в процесс ценообразования лишает общество возможности воздействовать на уровень цен отраслей и предприятий, а также лишает население социальной поддержки, особенно его малообеспеченных слоев.
Поэтому в условиях рынка, необходимость государственного регулирования ценообразования усиливается.
Основу цены изделия составляют издержки, связанные с его производством и реализацией, поэтому их размер во многом определяет уровень цены. Например, в промышленности доля себестоимости в отпускной цене предприятия (без НДС и акцизов) составляет 83,8%, на железнодорожном транспорте – 85,6%.
В состав издержек входят затраты как зависящие, так и независящие от деятельности предприятия. Например, стоимость сырья, материалов, топлива, энергии, транспортные тарифы – факторы, внешние по отношению к предприятию. Поэтому увеличение этих затрат вызывает рост цены товара.
Другая группа затрат – уровень использования сырья и материалов, степень загрузки производственных мощностей, производительность сырья и другие – непосредственно зависят от уровня их организации на предприятии. Поэтому фирма в зависимости от прочности своего положения на рынке может маневрировать ценами. Если положение фирмы недостаточно устойчивое и повышение цен на продукцию нежелательно, то удорожание, например, по сырью можно компенсировать в определенной степени снижением норм расхода сырья, использованием вторичных ресурсов так далее. Если же положение фирмы достаточно устойчивое, в этом случае увеличение издержек может быть перенесено на цену товара.
На уровень цен оказывает влияние конкуренция, которая подталкивает фирмы к совершенствованию своей продукции, детальному обоснованию цены на нее. При этом фирма может ориентироваться или на рынок продавца, или на рынок покупателя. На рынке продавца доминирующее положение занимает продавец – производитель товара. В таких условиях фирме легче функционировать, поскольку ее продукция находится вне конкуренции. На рынке покупателя доминирующее положение занимает покупатель. И от того, насколько фирма сумеет учесть меняющиеся запросы покупателя и вовремя удовлетворить их, зависит ее благополучие.
На уровень цен оказывает влияние и ряд других факторов, стадия жизненного цикла изделия, организации – участники продвижения товара от производителя к потребителю и другие. Учет влияния всех факторов в комплексе позволит фирме выработать правильную политику ценообразования.
В условиях рыночной экономики цена является одним из наиболее важных синтетических показателей, существенно влияющих на финансовое положение предприятия. Поэтому, рассчитывая цену изделия, предприниматели стремятся к тому, чтобы она была оптимальной с точки зрения соответствия интересам собственника и рынка.
Уровень устанавливаемой предприятием цены на продукцию во многом определяется тем, какие цели ставит предприятие на ближайшее время и перспективу. Наиболее распространенными являются следующие ценовые стратегии предприятия:
сохранение стабильного положения на рынке при умеренной рентабельности;
получение сверхприбыли путем «снятия сливок» с рынка;
вытеснение конкурентов;
обеспечение выживаемости в условиях рынка и предотвращение банкротства;
внедрение на рынке новой продукции;
завоевание лидерства по показателям качества и другие.
Выбор политики цен основан на оценке приоритетов деятельности предприятия. Каждая ценовая стратегия обладает совокупностью как положительных, так и отрицательных характеристик. Поэтому, например, принятие одной из них ведет к отрицанию преимуществ другой. В результате реальная оценка действительности приводит к необходимости ориентации в деятельности предприятия на смешанные стратегии ценообразования.
Процесс ценообразования на предприятии можно представить следующими основными этапами:
постановка цели (задачи) ценообразования;
определение уровня спроса на данный вид продукции;
оценка издержек производства и степени регулирования цен на продукцию;
анализ цен и товаров конкурентов;
выбор метода ценообразования;
расчет исходной цены изделия;
учет влияния на цену изделия дополнительных факторов;
установление окончательной цены.
Выбор и оценка стратегии предприятия в области ценообразования являются сложным, требующим большого внимания и коллективных усилий процессом. Делая выбор, предприятие тем самым отдает предпочтение тому или другому варианту развития. Между тем каждое из направлений развития имеет свои плюсы и минусы. Например, принятие предприятием стратегии на увеличение доли рынка в реализации продукции в основном связано со снижением цен против цен конкурентов. А это ведет к сокращению доходов, что нежелательно для предприятия. Фирма может ставить перед собой одновременно несколько целей, например увеличение объема сбыта продукции при улучшении ее качественных параметров и обеспечение определенного уровня дохода на вложенный капитал. В любом случае ценовая политика предприятия не является твердофиксированной, незыблемой. Она постоянно меняется с изменением ситуации на рынке.
Для эффективной реализации стратегии ценообразования и обоснования цен на товары необходимо определить рынки, на которых предприятие будет работать. Это позволит сопоставить возможности различных рынков и возможности предприятия в удовлетворении рыночного спроса.
При определении рынков сбыта необходимо учитывать:
сферы деятельности предприятия на внутреннем рынке страны и на внешнем рынке. Эти рынки существенно различаются по условиям деятельности и нормам правового регулирования;
территориальную географию рынков;
особенности городского и сельского рынков;
отличия рынков текущего спроса и рынка инвестиционного спроса. К рынкам текущего спроса относятся рынки, на которых реализуются товары, идущие на конечное потребление. Рынки инвестиционного спроса – рынки основных фондов и материальных оборотных средств. Эти рынки различаются как составом спроса на товары и услуги, так и различной эластичностью спроса.
На этапе установления влияния на цену спроса на продукцию определяется признание этой продукции рынком. Зависимость между ценой продукции и уровнем спроса на нее выражается кривой спроса. Цена и спрос на продукцию находятся в обратной зависимости, то есть чем выше цена, тем ниже спрос, и наоборот. Спрос, как правило, определяет максимальную цену, которую фирма может установить на свою продукцию. Минимальная цена изделия определяется по сумме валовых издержек.
Ценовая стратегия предприятия зависит от того, на какой фазе жизненного цикла находится товар. Цена на фазе внедрения нового товара, как правило, высокая; на фазе роста – несколько ниже; на фазе зрелости и упадка она продолжает снижаться.
Важным для предприятия является учет фактора государственного регулирования цен. Государство посредством активной ценовой политики может сделать прибыльным для производителей бизнес, не являющийся выгодным для чисто рыночного хозяйствования. Это осуществляется как через различные виды договорных цен, так и через государственные заказы и закупки.
Максимальная цена товара определяется спросом, а минимальная - издержками производства. Но значительное влияние на цену оказывают цены и качество товаров конкурентов. С этой целью могут осуществляться сравнительные покупки, на основе анализа которых делается заключение о качестве и цене продукции конкурентов.
В условия конкуренции предприниматели при реализации своей продукции стремятся найти так называемую оптимальную цену товара. Реальная цена товара определяется на рынке на основе сопоставления спроса и предложения. Важно, чтобы оптимальная цена, рассчитанная предприятием, стремилась к уровню реальной цены.
На практике в зависимости от конкретных условий и целей предприятия используются различные методы расчета предполагаемой цены на товар. Все эти методы объединяются в две группы:
методы, основанные на затратном подходе;
методы, основанные на "целевом ценообразовании".
Первая группа методов отличается простотой расчетов. Основной принцип этих расчетов заключается в прибавлении к издержкам на производство товара определенной суммы прибыли, которую планирует получить фирма. Имеется несколько разновидностей расчета цен, основанных на затратном подходе.
В "целевом ценообразовании" издержки производства также являются исходным элементом расчетов. Но в отличие от затратного метода прибыль устанавливается не в процентном отношении к издержкам производства, а является индивидуальной величиной каждого конкретного товара. Данная методика основывается на анализе безубыточности производства. Это достигается путем сопоставления издержек с ожидаемыми поступлениями при различных уровнях объема продаж.
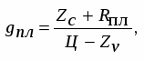
В рассматриваемом методе "целевого ценообразования" фирма должна рассчитать, при каком уровне цены будут достигнуты объемы продаж, позволяющие возместить валовые издержки и получить целевую прибыль. Если известны постоянные затраты, цена единицы изделия, переменные затраты на единицу изделия, а также сумма расчетной (желаемой) суммы прибыли, то объем продаж определяется по следующей формуле:
(2)
где gпл – объем продаж, обеспечивающий получение целевой прибыли;
Rпл – плановая сумма прибыли;
Zс – постоянные расходы на весь объем производства продукции;
Zv – переменные расходы в расчете на единицу изделия;
Ц – цена изделия.
На развитом рынке производитель свое положение обычно определяет спросом на продукцию, ее конкурентными качествами и рядом других показателей. Предприятия включают в цены товаров и услуг затраты не только нынешнего, но и будущего периода, учитывая дальнейшее повышение цен на сырье, комплектующие изделия, рабочую силу. В российской экономике устойчиво действует фактор затрат, а фактор спроса действует слабо. На динамику цен слабо влияет и конкуренция. Поэтому наиболее сильнодействующими факторами ценообразования являются структура и уровень затрат, образующих нижний предел цены, индексируемый с учетом инфляционных ожиданий.
Для преодоления затратного характера ценообразования необходимо способствовать максимальному насыщению рынка товарами и капиталами, стимулировать накопления и инвестиции в промышленность.
На основе вышерассмотренных методов предприятие определяет исходную цену на свою продукцию.
Окончательная цена изделия может корректироваться с учетом, например, каких-либо его уникальных, редких свойств, а также уровня обслуживания, особых гарантий покупателям и так далее.
Уровень цен изделия оказывает непосредственное влияние на финансовые результаты деятельности предприятия. Чем выше цены (при прочих равных условиях), тем больше сумма прибыли. Изменение прибыли от реализации продукции под влиянием изменения отпускных цен определяется следующим образом:
, (3)
где - реализация в отчетном году в ценах отчетного года (Ц – цена изделия; g – количество изделий);
- реализация в отчетном году в ценах базисного года.
1.4 Методы ценообразования на продукцию предприятия
Методика расчета исходных цен на товары, как правило, состоит из следующих этапов:
постановка задач ценообразования;
определение спроса;
оценка издержек;
анализ цен и товаров конкурентов;
выбор метода ценообразования;
установление окончательной цены.
Задачи ценообразования ставятся на основе выбранной стратегии ценообразования и увязываются с общими целями развития компании. Так, например, к основным задачам, определяющим общую политику фирмы в области ценообразования, можно отнести следующие:
обеспечение "выживания" предприятия;
максимизация текущей прибыли;
завоевание лидерства по показателям занимаемой предприятием части рынка и тому подобное.
Определение спроса производится путем изучения зависимости спроса, цен и предложения.
Для определения зависимости между ценой, спросом и предложением в рыночной экономике применяются следующие основные методы измерения спроса и предложения:
проведение опроса потребителей;
прямой рыночный эксперимент на основе пробной продажи на рынке товара по новым ценам;
статистические методы, оценивающие кривые спроса и предложения на основе динамики изменения цен за определенный период времени.
Анализ спроса позволяет определить максимальную цену, которую может запросить фирма за свою продукцию. Минимальная цена определяется, как правило, издержками производства, представляющими собой совокупность затрат, связанных с производством и реализацией продукции. Соответственно при формировании цены необходимо проанализировать все затраты предприятия на производство и реализацию продукции и постараться их максимально сократить.
Анализ данных, полученных в результате исследования взаимозависимости объема производства, затрат и прибыли, позволяет находить оптимальные управленческие решения в области повышения и обеспечения конкурентоспособности предприятия. В частности, деление затрат на постоянные и переменные и исследование их уровня и тенденций позволяет установить возможные пределы снижения цен в зависимости от влияния различных рыночных факторов.
Установление цен в соответствии с конкретными рыночными условиями связано с необходимостью анализа цен и товаров конкурентов. Влияние фактора конкуренции на принятие решения об уровне цены зависит от структуры рынка, в частности от числа и типа компаний, работающих на рынке. В соответствии с выбранной стратегией ценообразования предприятие в большей или меньшей степени принимает во внимание цены конкурирующих фирм. Так, при стратегии ценового лидерства предприятие устанавливает и меняет цены на свои товары в зависимости от поведения предприятия – ценового лидера на рынке; при стратегии конкурентных цен предприятие снижает или оставляет без изменения свои цены в случае снижения или повышения цен конкурирующими предприятиями.
Среди распространенных в рыночной экономике методов ценообразования следует выделить:
"прайсинговые" методы;
методы поэлементного расчета;
методы, основанные на установлении фиксированной цены;
методы определения цены, основанные на компенсации издержек производства;
поощрительные методы определения цены.
"Прайсинговые" методы основаны на различных способах расчета цены – затрат и прибыли. Среди них выделяют:
метод полных затрат;
метод усредненных затрат;
метод предельных затрат;
метод стандартных (нормальных) издержек производства;
метод целевой прибыли.
Метод полных затрат при расчете цены основывается на полных издержках производства и реализации продукции и прибыли, которая определяется исходя из средней по отрасли нормы за ряд последних лет, ссудного процента, средней скорости оборота капитала и уровня концентрации в отрасли.
Метод средних затрат отличается от предыдущего метода расчетом издержек как составляющей цены. При этом методе средние затраты на производство продукции определяется путем деления совокупных затрат на количество произведенных товаров. Затраты при этом подразделяются на постоянные переменные.
Метод переменных затрат применяется при предполагаемом расширении производства и сбыта. При данном методе в расчете цены используются предельные затраты, под которыми понимается изменение суммы общих затрат, возникшее в результате увеличения объема производства, на единицу продукции, то есть предельные затраты представляют собой издержки, связанные с производством дополнительной единицы продукции.
Метод стандартных (нормальных) издержек производства при расчете цены основывается на нормативной калькуляции себестоимости продукции.
Метод целевой прибыли при расчете цены предполагает использование заранее определенного размера прибыли (целевой прибыли).
Метод повременной оплаты основывается на фактических издержках, которые несет предприятие в результате выполнения работ. В основе использования этого метода ценообразования лежит расчет трех основных групп затрат: расходы на заработную плату и другие денежные выплаты персоналу; накладные расходы на функционирование центрального аппарата предприятия (фирмы); прямые расходы, связанные с выполнением конкретных работ. При этом цена работ определяется как сумма фактической величины затрат на заработную плату, умноженной на коэффициент накладных расходов, прямых расходов и прибыли.
Метод расчета стоимости проектных работ в процентах от стоимости реализации проекта используется в строительной индустрии. При этом величина стоимости проектных работ рассчитывается исходя из общей стоимости строительства с учетом сложности строительного объекта. Соответственно используются повышающие коэффициенты, величина которых находится в зависимости от сложности работ.
Методы, основанные на установлении фиксированной цены. К ним относятся:
метод твердой фиксированной цены;
метод фиксированной цены с возможностью ее последующего пересмотра;
метод фиксированной цены, корректированной по скользящей шкале.
Метод твердой фиксированной цены предполагает ее неизменность вне зависимости от фактических издержек продавца при исполнении контракта.
Метод фиксированной цены с возможностью ее последующего пересмотра предусматривает установление фиксированной цены на ограниченном промежутке времени, по истечении которого цена может быть пересмотрена.
Метод фиксированной цены по скользящей шкале (метод ступенчатых цен) предполагает соответствующую фиксацию цен по периодам времени. К этим методам также можно отнести установление в контрактах (договорах) так называемых "скользящих" цен, которые предполагают сложение цены из двух частей: неизменной фиксированной базовой части и переменной надбавки к цене.
Метод определения цены, основанный на компенсации издержек производства, предусматривает обязательства производителя выполнить условия контракта (договора) при условии возмещения всех издержек.
Поощрительный метод определения цены предполагает особый учет в цене вознаграждения для исполнителя работ. Среди этих методов следует отметить:
метод фиксированной цены с поощрением;
метод издержек производства с поощрительным вознаграждением;
метод возмещения издержек с премиальным вознаграждением.
Метод фиксированной цены с поощрением предусматривает поощрение в цене, устанавливаемое в зависимости от снижения уровня фактических издержек производства по сравнению с плановыми. Поощрение, как правило, устанавливается в пределах 7,5 – 15% уровня издержек.
При методе издержек производства с поощрительным вознаграждением размер максимального вознаграждения ограничен (обычно 7,5% издержек), отклонение фактических издержек от плановых разрешается в пределах 25%. Кроме того, при этом методе размер вознаграждения поставлен в зависимость от соблюдения сроков и качества выполнения работ.
Метод возмещения издержек с премиальным вознаграждением используется главным образом в проектировании и предусматривает определение цены проекта исходя из минимального уровня издержек и премии за качество работы.
Установление окончательной (договорной, контрактной) цены товара производится с учетом большого количества факторов, которые приведены выше.
В настоящее время в условиях российской экономики существуют три вида рыночных цен: оптовая цена предприятия (или отпускная цена); оптовая цена промышленности (цены, по которым предприятия и организации-потребители оплачивают продукцию снабженческо-сбытовым (оптовым) организациям); розничная цена – цена, по которой товар реализуется в розничной торговой сети населению, предприятиям и организациям, то есть розничная цена является конечной.
2. Состояние и особенности ценообразования на предприятии
2.1 Краткая характеристика предприятия
ОАО «Вагрон» работает самостоятельно с мая 1991 года. Предприятие специализируется на производстве и реализации ликероводочных и кондитерских изделий. ОАО «Вагрон» намерено увеличить объём продаж за счёт привлечения оптовых покупателей.
Здесь оборудованы: производственные цеха, основной склад товара, центральный офис. Здания сооружены из кирпича, имеют бетонные полы, покрытые линолеумом, системы кондиционирования и отопления. Имеются пути для подъезда к зданиям грузового и легкового автотранспорта.
Стратегической целью нашей политики является устойчивое признание и предпочтение продукции с нашей маркой потребителями, как на внутреннем, так и на внешних рынках.
Главными принципами политики являются:
постоянное повышение качества продукции за счёт использования высококачественного сырья, улучшения уровня организации производства, повышения квалификации персонала и внедрения современных технологий;
прогнозирование пожеланий потребителей нашей продукции;
предложение новых видов продукции, отвечающих возрастающему спросу потребителя, опережая конкурентов.
Для повышения престижа организации и конкурентоспособности продукции с маркой ОАО «Вагрон» мы постоянно совершенствуем:
уровень организации производства;
партнёрские отношения с поставщиками и потребителями;
мотивацию деятельности персонала.
Водка – спиртовой напиток, получаемый обработкой вводно-спиртового раствора с объёмным содержанием спирта (крепостью) 40-56% активированным углём с добавлением в него ингредиентов или без них с последующим фильтрованием.
На нашем предприятии водка изготавливается на спиртах высшей очистки («Экстра» и «Люкс»), что обеспечивает высокое качество продукции. Для улучшения вкуса в некоторые сорта водок мы добавляем незначительное количество сахара, мёда, уксусной и лимонной кислоты и другие ингредиенты. Мы выпускаем более двадцати видов водок («Седая Вологда», «Жемчужина севера», «Звезда севера», «Насон-город», «Господа офицеры», «Банкир», «Пшеничная», «Вагрон», «Северная сталь», «Экстра», «Старорусская» и другие).
Ликероводочные изделия – спиртные напитки крепостью 12-60%, приготовленные смешиванием полуфабрикатов (спиртовых настоек, соков, морсов и так далее), эфирных масел с этиловым спиртом и водой с добавлением красителей или без них. В ОАО «Вагрон» производят настойки горькие («Бальзам Вагрон», «Русский север», «Прилуцкая», «Барская», «Стрелецкая») и сладкие («Клюквенная», «Брусничная», «Шоколадный десерт»). Эти напитки готовят по специальным рецептурам и технологиям.
Все компоненты высокого качества.
Сахар закупается напрямую у завода изготовителя (ООО «Сахарный рай») в Москве. Проблем с этим сырьём не возникает.
Вода для производственных нужд очищается на установке для очистки воды в химической лаборатории, и после проведения всех необходимых анализов пускается в производство. Контроль над качеством продукции проводится в лаборатории, находящейся на территории завода, оборудованной необходимыми приборами и инструментами.
Так же наше предприятие производит кондитерские изделия (мармелад, шоколадные конфеты). Они обладают большой калорийностью, усвояемостью, низким содержанием влаги, приятным вкусом, тонким ароматом и привлекательным внешним видом, что обуславливает их высокую пищевую ценность.
Вся продукция высшего качества, что подтверждено различными наградами на конкурсах. Цены на нашу продукцию не превышают средние цены на аналогичную продукцию по Вологодской области (цены на внутриобластном рынке у ОАО «Вагрон» И ЗАО «Завод сортовых водок» одинаковые, а за пределами области у ОАО «Вагрон» цены на 1-2 рубля ниже). Оформление товара соответствует современному дизайну и требованиям потребителей (цена, качество).
Вся наша продукция пользуется большим спросом на рынке, что позволит увеличить объём продаж.
2.2 Система ценообразования на основные виды продукции
В условиях рыночной экономики резко возросла роль цены. От уровня цены зависит конкурентоспособность, финансовое состояние предприятия, величина прибыли.
Цена - денежное выражение стоимости единицы товара. В настоящее время цена – сумма денег, за которую покупатель готов купить товар, а производитель – продать.
Для выработки эффективной ценовой политики фирмы необходим всесторонний анализ факторов, влияющих на уровень цен. Основными из них являются: спрос на продукцию; государственное регулирование цен; издержки по производству и реализации продукции; конкуренция и другие факторы.
В зависимости от конкретных условий и целей предприятия используют различные методы расчета: метод, основанные на затратном подходе и метод, основанный на целевом ценообразовании. При первом методе к издержкам производства и реализации товара прибавляют определенную сумму прибыли, которую планирует получить предприятие. Цену можно определить по формуле:
Ц = Кок * ИП, (4)
где Кок – коэффициент окупаемости затрат;
ИП – издержки производства.
Таблица 2.1 - Определение уровня цен на кондитерские изделия затратным методом
Показатели
Рентабельность, %
15
30
50
1. Выпуск продукции, тонн (т)
84055,42
87862,71
91222,6
2. Постоянные издержки, тыс. руб.
8152,33
8410,91
8795,64
3. Переменные издержки на единицу продукции, руб./т.
215
250
290
4. Переменные издержки, всего, тыс. руб.
18071,92
21965,68
26454,55
5. Валовые издержки, всего, тыс. руб.
26224,25
30376,59
35250,19
6. Себестоимость единицы продукции, руб./т.
311,99
345,73
386,42
7. Цена 1 тонны, руб.
358,79
449,45
579,63
8. Выручка от реализации, всего, тыс. руб.
30157,88
39489,56
52875,28
9. Прибыль от реализации продукции, всего, тыс. руб.
3933,64
9112,98
17625,09
10. Уровень рентабельности продукции, %
15
30
50
По данным таблицы 1, можно сделать вывод, что для увеличения прибыли и рентабельности надо улучшить качество продукции, маркетинг и повысить цены. При коэффициенте окупаемости 1,15 продукцию нужно продавать по цене 335,43 рубля за тонну, а при коэффициенте окупаемости 1,3 продукцию нужно продавать по цене 415,68 рублей за тонну, а при коэффициенте окупаемости 1,5 продукцию нужно продавать по цене 550,38 рублей за тонну. Переменные издержки выше при коэффициенте окупаемости 1,5 (24675,68). Там выше и прибыль (16735,76), и рентабельность (50%).
Затратные методы ценообразования просты и удобны, но их можно использовать, если предприятие уверено в реализации своего товара, то есть, нет конкурентов, а если конкуренты есть и с более низкими ценами на эту продукцию, то они могут вытеснить предприятие с рынка. Нужно детально изучать состояние конкуренции, цену и качество их товаров, изменение спроса на товар при изменении цены.
Таблица 2.2 - Определение оптимального уровня цены на кондитерские изделия с учетом спроса
Цена за ед. (1 т.) товара, руб.
Спрос (кол-во реализованного товара), т.
Постоянные издержки, всего, тыс. руб.
Переменные изд-ки, тыс. руб.
Валовые изд-ки произ-ва, всего, тыс. руб.
Выручка от реализации, всего, тыс. руб.
Прибыль (убыток), всего, (+,-) тыс. руб.
Уровень рентабельности +, убыточности -, %
На ед. товара (1 т.)
всего
0
180000
8000
0,25
45000
53000
0
-53000
-100,00
150
150000
8000
0,25
37500
45500
22500
-23000
-50,55
300
120000
8000
0,25
30000
38000
36000
-2000
-5,26
450
90000
8000
0,25
22500
30500
40500
10000
32,79
600
60000
8000
0,25
15000
23000
36000
13000
56,52
750
30000
8000
0,25
7500
15500
22500
7000
45,16
900
0
8000
0,25
0
8000
0
-8000
-100,00
По таблице 2 видно, что при самой низкой цене за 1 тонну кондитерских изделий, равной 0 руб., спрос на данную продукцию будет максимальный. Одновременно с этим предприятие ОАО "Вагрон" не получит прибыль, то есть выручка от реализации гораздо меньше валовых издержек производства. Поэтому при данной цене предприятие работает убыточно. Аналогичная ситуация возникнет, если продукцию продавать по самой высокой цене, то есть по 900 руб./т., но убытки будут гораздо меньше (в первом случае убыток составил -53000 тыс. руб., а во втором - -8000 тыс. руб., что на 45000 тыс. руб. меньше), при этом рентабельность будет одинаковой (-100 %). При этой цене спрос равняется нулю, то есть ни один потребитель данной продукции не будет ее приобретать по цене 900 руб./т. Также данное предприятие получит убыток, реализуя свою продукцию по цене 150 руб./т. и по цене 300 руб./т.; рентабельность в данном случае также будет отрицательной. Следовательно, реализовывать кондитерские изделия по выше перечисленным ценам предприятию не выгодно.
Цена за тонну продукции, равная 450 руб./т., 600 руб./т. или 750 руб./т., принесет предприятию прибыль. Но максимальная прибыль и рентабельность достигается при цене 600 руб./т. (13000 тыс. руб. и 56,52 % соответственно). Эта цена одновременно устраивает и покупателя, и продавца (предприятие ОАО "Вагрон"), то есть обеспечивает временный компромисс между ними.
Таким образом, наиболее эффективно реализовывать кондитерские изделия по цене 600 руб./т., так как это принесет максимальную прибыль и наивысшую рентабельность. Значит, оптимальный уровень цены с учетом спроса будет соответствовать 600 руб./т.
3. Влияние уровня цен на прибыль и рентабельность предприятия
Таблица 3.1 - Влияние качества продукции на среднюю цену ее реализации
Показатели
план
факт
Отклонения от плана (+,-)
1. Реализовано кондитерских изделий, всего, тонн (т), а том числе:
100000
94000
-6000
а) с глазурью
60000
59000
-1000
б) без глазури
40000
35000
-5000
2. Структура реализованных кондитерских изделий по сортам, всего, %, в том числе
100
100
-
а) с глазурью
60
63
-
б) без глазури
40
37
-
3. Цена 1 тонны кондитерских изделий, руб./т, в том числе
а) с глазурью
450
460
10
б) без глазури
400
400
0
4. Выручка от реализации кондитерских изделий, всего, тыс. руб., в том числе
43000
43600
600
а) с глазурью
27000
27600
600
б) без глазури
16000
16000
0
5. Средняя цена реализации единицы кондитерских изделий, руб. за 1 т
430
464
34
По данным таблицы 3 можно сделать вывод, что большую часть реализованной продукции составляют кондитерские изделия с глазурью (60% по плану и 63% по факту). Цена 1 тонны данного вида продукции составила по плану 450 руб./т., а фактически 460 руб./т., что на 10 руб./т. больше плана. Значит, отклонение фактической цены реализации от плановой положительно и составляет 10 руб./т. Фактическая цена кондитерских изделий без глазури соответствует плановой и равняется 400 руб./т.
Отклонение фактической выручки от реализации кондитерских изделий с глазурью положительно и составляет 600 тыс. руб. Это означает, что фактически предприятие ОАО "Вагрон" получило выручку на 600 тыс. руб. больше, чем было запланировано (27600 тыс. руб. 27000 тыс. руб. соответственно). Выручка от реализации второго вида продукции по факту и по плану равна (16000 тыс. руб.). Если сравнивать выручку от реализации кондитерских изделий с глазурью и без глазури, то можно сказать, что от реализации первого вида изделий предприятие получит больше выручки на 11600 тыс. руб. по факту и на 11000 тыс. руб. по плану, чем от реализации второго вида продукции.
Средняя цена реализации 1 тонны кондитерских изделий фактически составила 464 руб./т., а по плану 430 руб./т., что на 34 руб./т. меньше факта. Значит, отклонение фактической средней цены от плановой положительно и составит 34 руб./т. Цена 1 тонны кондитерских изделий с глазурью составила по плану 450 руб./т., что больше средней цены на 20 руб./т.; фактически данная продукция реализовывалась по цене 460 руб./т., а средняя цена составила 464 руб./т., то есть на 4 руб./т. больше. Цена 1 тонны кондитерских изделий без глазури по плану и по факту составила 400 руб./т., то есть меньше средней цены реализации на 30 руб./т. по плану и на 64 руб./т. – по факту.
Следовательно, предприятию ОАО "Вагрон" выгоднее реализовывать кондитерские изделия с глазурью.
Таблица 3.2 - Влияние качества водки на среднюю цену ее реализации, прибыль и рентабельность
Показатели
план
факт
Отклонение от плана (+,-)
1. Реализовано водки, л.
175000
175000
-
2. Содержание спирта в водке, %
39
41
-
3. Цена 1 л. водки с 40 % содержания спирта, руб.
200
200
-
4. Себестоимость 1 л. водки, руб.
140
140
-
5. Реализовано водки с 40 % содержанием спирта, л.
170625
179375
8750
6. Выручка от реализации водки, всего, тыс. руб.
34125
35875
1750
7. Затраты на производство и реализацию водки, всего, тыс. руб.
24500
24500
8. Прибыль от реализации водки, тыс. руб.
9625
11375
1750
9. Уровень рентабельности, %
39,29
46,43
10. Цена реализации водки, руб.
195
205
В результате полученных данных по таблице 4 видно, что качество водки довольно сильно влияет на прибыль и рентабельность организации. Так при содержании 39 % спирта прибыль составила 9625 тыс. руб., рентабельность 39,29 %, а при содержании 41 % спирта прибыль составила 11375 тыс. руб., рентабельность 46,43 %, то есть при увеличении качества прибыль и рентабельность увеличиваются.
Выводы
В первой главе рассмотрена теоретическая часть настоящей курсовой работы, в которой были описаны функции цены, ее классификация, ценообразующие факторы, методы ценообразования и ценовая политика.
В условиях рыночной экономики цена является одним из наиболее синтетических показателей, существенно влияющих на финансовое положение предприятия. Это объясняется тем, что от уровня цены зависят величина прибыли коммерческой организации, конкурентоспособность предприятия и его продукции. Цена является важнейшим инструментом внутрифирменного планирования и служит ориентиром принятия хозяйственных решений.
В условиях рынка сохраняется необходимость государственного регулирования ценообразования. Это объясняется необходимостью контроля за ценами отраслей и предприятий, стремлением государства обеспечить социальную защиту населения.
Цена на продукцию зависит от многих факторов: спроса на продукцию, государственного регулирования цен, издержек, конкуренции и другие.
Учет влияния всех факторов в комплексе позволит предприятиям выработать гибкую и эффективную политику ценообразования.
В первые годы перехода на рыночные отношения наиболее сильнодействующим фактором ценообразования в российской экономике был, и во многом остается сейчас, фактор затрат. Предприниматели стремились любое увеличение затрат переложить на покупателя. Но сейчас, по мере насыщения рынка и в условиях конкуренции, предприятиям все чаще, чтобы реализовать продукцию и обеспечить устойчивое финансовое положение, приходится изыскивать резервы по снижению издержек.
Вторая глава является практической, расчетной частью данной курсовой работы. В ней представлены расчеты по определению оптимального уровня цены, влиянию качества продукции на среднюю цену ее реализации, прибыль и рентабельность на предприятии ОАО "Вагрон".
В пункте 2.1 была рассмотрена краткая характеристика предприятия ОАО "Вагрон", которая показывает нам:
дату создания предприятия и его местоположение;
главные принципы политики предприятия;
размер и специализацию данного предприятия;
характеристику основных видов продукции.
В пункте 2.2 представлены основные факторы, влияющие на уровень цен на данном предприятии, а также методы установления цен. Здесь, в таблице 1, показано определение уровня цен на кондитерские изделия затратным методом и рассчитаны такие показатели, как себестоимость 1 тонны продукции, цена 1 тонны продукции, выручка и прибыль от реализации, уровень рентабельности продукции. Из данной таблицы видно, что затратные методы ценообразования просты и удобны, но их можно использовать, если предприятие уверено в реализации своего товара. Далее представлено определение оптимального уровня цены на кондитерские изделия другим способом – с учетом спроса - и отражено в таблице 2. Отсюда видно, спрос значительно влияет на уровень цены и, наоборот, цена влияет на спрос. Так, при слишком завышенной цене спрос будет очень низок или же он будет вовсе отсутствовать, что негативно скажется на прибыли и рентабельности предприятия; при слишком низкой цене предприятие также будет нести убытки.
В следующем пункте данной главы отображено влияние качества продукции на среднюю цену ее реализации, а также на прибыль и рентабельность предприятия ОАО "Вагрон". Влияние качества кондитерских изделий на среднюю цены их реализации представлено в таблице 3, в которой рассчитаны показатели по различным видам продукции (кондитерские изделия с глазурью и без глазури). По данным этой таблицы можно сделать вывод, что выгодней реализовывать кондитерские изделия с глазурью, так как цена и выручка от их реализации выше, чем на кондитерские изделия без глазури. Влияние качества водки на среднюю цену ее реализации, прибыль и рентабельность отражено в таблице 4, по результатам которой видно, что при увеличении качества водки прибыль и рентабельность увеличиваются, то есть между данными показателями существует прямая зависимость.
В начале настоящей курсовой работы была поставлена цель - рассмотрение одного из важнейших рычагов повышения эффективности производства, то есть цены, и ценообразования в организации, а также выработка на этой основе практических рекомендаций и выводов по улучшению финансового состояния предприятия. Для достижения поставленной цели я использовала указанные во введении методы. На мой взгляд, данная цель была достигнута и задачи, сформулированные исходя из поставленной цели, были выполнены.
Список литературы
Сергеев И.В. Экономика предприятия: Учеб. пособие. – М.: Финансы и статистика, 1998.
Экономика предприятия: Учебник / Под ред. А.Е. Карлика, М.Л. Шухгальтер. – М.: ИНФРА-М, 2004. – (Серия "Высшее образование").
Цены и ценообразование: Учеб. для вызов / Под ред. К.И. Салимжанова. М.: Финстатинформ, 1999.
Райзберг Б.А., Лозовский Л.Ш., Стародубцева Е.Б. Современный экономический словарь. М.: ИНФРА-М, 1996.
Экономика предприятия: Учеб. / Под ред. Н.А. Сафронова. М.: Юристъ, 1998.
Греховодова М.Н. Экономика торгового предприятия. Учебное пособие. – Ростов н/Д: изд-во "Феникс", 2001 (Серия "Учебники XXI века").
Чечевицина Л.Н. Микроэкономика. Экономика предприятия (фирмы). – Ростов н/Д: изд-во "Феникс", 2000.
Шуляк П.Н. Ценообразование. М., 1999.
Нравится материал? Поддержи автора!
Ещё документы из категории экономика:
Чтобы скачать документ, порекомендуйте, пожалуйста, его своим друзьям в любой соц. сети.
После чего кнопка «СКАЧАТЬ» станет доступной!
Кнопочки находятся чуть ниже. Спасибо!
Кнопки:
Скачать документ