Экономическая эффективность использования оборотных средств



































ФЕДЕРАЛЬНОЕ АГЕНТСТВО ПО ОБРАЗОВАНИЮ
ФГОУ СПО "САРАПУЛЬСКИЙ ТЕХНИКУМ ПИЩЕВОЙ ПРОМЫШЛЕННОСТИ"
УТВЕРЖДАЮ
Зам. директора по УР
___________Т.Р.Сонькина
"____"____________2008 г.
ПОЯСНИТЕЛЬНАЯ ЗАПИСКА
к курсовому проекту по дисциплине "Экономика отрасли"
на тему: "Экономическая эффективность использования оборотных средств"
Автор проекта Шакиров Р.Т гр. М – 62
Специальность 150411 "Монтаж и техническая эксплуатация промышленного оборудования"
Обозначение проекта ЗО КП 150411 Ш 08 0000 ПЗ
Руководитель проекта Липатова Л.Н.
Сарапул 2010 г.
СОДЕРЖАНИЕ
Введение
1. Теоретическая часть
1.1 Экономическое содержание и источники формирования оборотных средств
1.2 Показатели и пути эффективного использования оборотных средств
1.3 Нормирование оборотных средств
2. Расчетная часть
2.1 Капитальные вложения на строительство
2.2 Расчет численности персонала и ФОТ
2.3 Расчет затрат на силовую электроэнергию
2.4 Расчет затрат на содержание и эксплуатацию оборудования
2.5 Расчет цеховых расходов
2.6 Расчет эксплуатационных затрат
2.7 Расчет производительности труда
2.8 Расчет экономической эффективности
Использованная литература
Приложения
Задание
ВВЕДЕНИЕ
Важной частью имущества предприятия являются его оборотные средства.
Для обеспечения бесперебойного процесса производства наряду с основными производственными фондами необходимы предметы труда, материальные ресурсы. Предметы труда вместе со средствами труда участвуют в создании продукта труда, его потребительской стоимости.
Наличие у предприятия достаточных оборотных средств оптимальной структуры - необходимая предпосылка для его нормального функционирования в условиях рыночной экономики. Поэтому на предприятии должно проводиться нормирование оборотных средств, чьей задачей является создание условий, обеспечивающих бесперебойность производственно-хозяйственной деятельности фирмы.
Важно также уметь правильно управлять оборотными средствами, разрабатывать и внедрять мероприятия, способствующие снижению материалоемкости продукции и ускорению оборачиваемости оборотных средств. В результате ускорения оборачиваемости оборотных средств происходит их высвобождение, что дает целый ряд положительных эффектов.
Предприятие в случае эффективного управления своими и чужими оборотными средствами может добиться рационального экономического положения, сбалансированного по ликвидности и доходности.
Вот почему тема исследования представляется весьма актуальной.
1. ТЕОРЕТИЧЕСКАЯ ЧАСТЬ
1.1 Экономическое содержание и источники формирования оборотных средств
Оборотными средствами предприятий являются денежные ресурсы, находящиеся в оборотных производственных фондах и фондах обращения и предназначенные для обеспечения непрерывности и планомерного процесса производства и реализации.
Располагая оборотными средствами, предприятие может производить расчеты с поставщиками за приобретаемые у них предметы и средства труда, с рабочими и служащими по заработной плате, с банком за пользование ссудами, с бюджетом по плате за производственные фонды и другие платежи.
Наличие оборотных средств имеет большое значение для создания нормальных условий производственной и финансовой деятельности предприятия, поэтому рациональная организация им оборотных средств имеет первостепенное значение для всей экономической работы предприятия.
Различают:
- собственные оборотные средства;
- заемные оборотные средства (кредиты сторонних организаций);
- привлеченные оборотные средства (привлекаются предприятием из своих собственных фондов).
Собственными оборотными средствами предприятия считаются средства, выделенные государством в соответствии с утвержденным нормативом в постоянное пользование для обеспечения производственно-хозяйственной деятельности.
Источниками собственных оборотных средств является уставный фонд, бюджетное финансирование, направляемое на прирост норматива собственных оборотных средств , и прибыль предприятия. Оборотными средствами , приравненными к собственными, является устойчивые пассивы - постоянная минимальная задолженность предприятия по предстоящим платежам (задолженность по заработной плате рабочим и служащим, органам социального страхования, минимальные остатки резерва предстоящих платежей и другие.)
В формировании собственных оборотных средств участвует прибыль за вычетом из неё взносов в бюджет и прочих отвлеченных средств. Нормальным источником возмещения недостатка собственных оборотных средств является ссуды банка на временное пополнение оборотных средств, ускорение их оборачиваемости. Нежелательными источниками являются: рост кредиторской задолженности, средства амортизационного фонда и специальных фондов, используемые не по назначению, просроченные ссуды банка.
В хозяйственном обороте, кроме собственных оборотных средств предприятия, участвуют средства ссуд, не погашенных в срок, кредиторская задолженность, свободные средства специальных фондов и спецпоступлений, средства на временное пополнение оборотных средств из резерва по оказанию финансовой помощи. Отвлекаются из хозяйственного оборота средства, направленные на образование сверхнормативных запасов товарно-материальных ценностей, иммобилизационные оборотные средства, средства незаполненности норматива устойчивых пассивов и средства дебиторской задолженности.
Хозяйственная деятельность предприятия, как известно, требует не только основных фондов, но и достаточных оборотных средств (запасы материалов, заделы незавершенного производства, готовая продукция, денежные средства и другие).
Существует прямая зависимость между деятельностью производственного цикла предприятий и их потребностью в оборотных средствах. Чем продолжительнее цикл, тем больше оборотных средств вовлечено в их непрерывный кругооборот. На предприятиях таких отраслей, как судостроение, тяжелое и энергетическое машиностроение и другие, цикл растягивается на года. На предприятиях с коротким производственным циклом (легкая, пищевая) продолжительность цикла исчисляются неделями, а часто и днями. Но в любом случае расчет потребности в оборотных средствах требует тщательности, поскольку ошибки могут привести к росту затрат или даже к нарушениям в производственной деятельности предприятия.
Наиболее значимый источник формирования оборотных средств в условиях рынка – это накопление собственных ресурсов, амортизационные отчисления, если предприятие является АО – взносы учредителей, а также доходы по акциям и облигациям и другие.
1.2 Показатели и пути эффективного использования оборотных средств
Ускорение оборачиваемости оборотных средств является первоочередной задачей предприятий в современных условиях и достигается различными путями.
На стадии создания производственных запасов таковыми могут быть:
Внедрение экономически обоснованных норм запаса;
Приближение поставщиков сырья, полуфабрикатов, комплектующих изделий и др. к потребителям;
Широкое использование прямых длительных связей;
Расширение складской системы материально-технического обеспечения, а также оптовой торговли материалами и оборудованием;
Комплексная механизация и автоматизация погрузочно-разгрузочных работ на складах.
На стадии незавершенного производства:
Ускорение научно-технического прогресса (внедрение прогрессивной техники и технологии, особенно безотходной и малоотходной, роботизированных комплексов, роторных линий, химизация производства);
Развитие стандартизации, унификации, типизации;
Совершенствование форм организации промышленного производства, применение более дешевых конструктивных материалов;
Совершенствование системы экономического стимулирования экономного использования сырьевых и топливно-энергетических ресурсов;
Увеличение удельного веса продукции, пользующейся повышенным спросом.
На стадии обращения:
Приближение потребителей продукции к ее изготовителям;
Совершенствование системы расчетов;
Увеличение объема реализованной продукции вследствие выполнения заказов по прямым связям, досрочного выпуска продукции, изготовления продукции из сэкономленных материалов;
Тщательная и своевременная подборка отгружаемой продукции по партиям, ассортименту, транзитной норме, отгрузка в строгом соответствии с заключенными договорами.
Если говорить об улучшении использования оборотных средств, нельзя не сказать и об экономическом значении экономии оборотных фондов, которая выражается в следующем:
Снижение удельных расходов сырья, материалов, топлива обеспечивает производству большие экономические выгоды. Оно, прежде всего, дает возможность из данного количества материальных ресурсов выработать больше готовой продукции и выступает поэтому как одна из серьезных предпосылок увеличения масштабов производства.
Стремление к экономии материальных ресурсов побуждает к внедрению новой техники и совершенствованию технологических процессов.
Экономия в потреблении материальных ресурсов способствует улучшению использования производственных мощностей и повышению общественной производительности труда.
Экономия материальных ресурсов в огромной мере способствует снижению себестоимости промышленной продукции.
Существенно влияя на снижение себестоимости продукции, экономия материальных ресурсов оказывает положительное воздействие и на финансовое состояние предприятия.
Т.о. экономическая эффективность улучшения использования и экономия оборотных фондов весьма велики, поскольку они оказывают положительное воздействие на все стороны производственной и хозяйственной деятельности предприятия.
На каждом предприятии имеются резервы экономии материальных ресурсов. Под резервами следует понимать возникающие или возникшие, но еще не использованные (полностью или частично) возможности улучшения использования материальных ресурсов.
В зависимости от характера мероприятий основные направления реализации резервов экономии ресурсов в промышленности и на производстве подразделяются на производственно-технические и организационно-экономические.
К производственно-техническим направлениям относятся мероприятия, связанные с качественной подготовкой сырья к его производственному потреблению, совершенствованием конструкции машин, оборудования и изделий, применением более экономичных видов сырья, топлива, внедрением новой техники и прогрессивной технологии, обеспечивающих максимально возможное уменьшение технологических отходов и потерь материальных ресурсов в процессе производства изделий с максимально возможным использованием вторичных материальных ресурсов.
К основным организационно-экономическим направлениям экономии материальных ресурсов относятся: комплексы мероприятий, связанных с повышением научного уровня нормирования и планирования материалоемкости промышленной продукции, разработкой и внедрением технически обоснованных норм и нормативов расхода материальных ресурсов; комплексы мероприятий, связанных с установлением прогрессивных пропорций, заключающихся в ускоренном развитии производства новых, более эффективных видов сырья и материалов.
Главное направление экономии материальных ресурсов на каждом конкретном предприятии – увеличение выхода конечной продукции из одного и того же количества сырья и материалов на рабочих местах - зависит от технического оснащения производства, уровня мастерства работников, уровня организации материально-технического обеспечения, количества норм расхода и запасов материальных ресурсов, обоснованности их уровня.
Немалое значение имеет сокращение потерь в производственном процессе, за счет которого можно достичь 15-20% всей экономии материальных ресурсов.
При управлении оборотными средствами важно также правильно выбрать метод оценки материально-производственных запасов, который в итоге оказывает влияние на величину прибыли предприятия.
1.3 Нормирование оборотных средств
Управление оборотными средствами состоит в обеспечении непрерывности процесса производства и реализации продукции с наименьшим размером оборотных средств. Это означает, что оборотные средства предприятий должны быть распределены по всем стадиям кругооборота в соответствующей форме и в минимальном, но достаточном объеме.
В современных условиях, когда предприятия находятся на полном самофинансировании, правильно определение потребности в оборотных средствах имеет особое значение.
Процесс разработки экономически обоснованных величин оборотных средств, необходимых для организации нормальной работы предприятия, называется нормированием оборотных средств. Таким образом, нормирование оборотных средств заключается в определении сумм оборотных средств, необходимых для образования постоянных минимальных и в то же время достаточных запасов материальных ценностей, неснижаемых остатков незавершенного производства и других оборотных средств. Нормирование оборотных средств способствует выявлению внутренних резервов, сокращению длительности производственного цикла, более быстрой реализации готовой продукции.
Нормируют оборотные средства, находящиеся в производственных запасах, незавершенном производстве, остатках готовой продукции на складах предприятия. Это нормируемые оборотные средства. Остальные элементы оборотных средств называются ненормируемыми.
В процессе нормирования оборотных средств определяют норму и норматив оборотных средств.
Нормы оборотных средств характеризуют минимальные запасы товарно-материальных ценностей на предприятии рассчитываются в днях запаса, нормах запаса деталей, рублях на расчетную единицу и т.д.
Норматив оборотных средств – произведение нормы оборотных средств на тот показатель, норма которого определена. Рассчитывается в рублях.
Норматив оборотных средств устанавливает их минимальную расчетную сумму, постоянно необходимую предприятию для работы. Фактические запасы сырья, денежных средств и т.д. могут быть выше или ниже норматива либо соответствовать ему. Это один из наиболее изменчивых показателей текущей финансовой деятельности. Незаполнение норматива оборотных средств может привести к сокращению производства, невыполнению производственной программы из-за перебоев в производстве и реализации продукции.
Сверхнормативные запасы отвлекают из оборота денежные средства, свидетельствуют о недостатках материально-технического обеспечения, неритмичности процессов производства и реализации продукции. Все это приводит к омертвению ресурсов, их неэффективному использованию.
2., РАСЧЕТНАЯ ЧАСТЬ
2.1 Капитальные вложения на строительство участка приготовления сахарного сиропа.
Таблица 2.1 – Укрупненная смета капитальных затрат
-
Наименование затрат
Единица
измерения
Количество
Цена,
тыс.руб.
Сумма,
тыс.руб
1
2
3
4
5
1.Стоимость строительства зданий
1.1 Строительство здания
1.2 Стоимость отопления и вентиляции
1.3 Стоимость водопровода и канализации
1.4 Стоимость электроосвещения
И т о г о стоимость строительства зданий
м3
м3
м3
м3
300
300
300
300
4,5
0,55
0,65
0,22
1350
165
195
66
1776
2. Приобретение оборудования
2.1 Станция сироповарочная
2.2 Насос А2-ШН7-18,5
Всего оборудования
2.3 Приборы автоматизации
2.4 Трубопроводы
2.5 Затраты на запчасти
2.6 Монтаж оборудования
2.7 Неучтённое оборудование
2.8 Транспортные расходы
И т о го стоимость оборудования
И т о г о затрат
шт.
шт.
%
%
%
%
%
%
1
1
5
6
3
20
10
5
200
50
250
250
277,5
277,5
277,5
277,75
200
50
250
12,5
15
8,325
55,5
27,75
13,887
382,962
2158,962
2.2 Расчет численности рабочих и ФОТ
Списочная численность рабочих (Чсп) определяется по следующей формуле
;
где Чяв – явочное число рабочих, человек
Ксп – коэффициент списочного состава
Коэффициент списочного состава рассчитывается по формуле:
;
Где Фн – номинальный фонд рабочего времени
Фдн – планируемое число рабочих дней
В отделении принимается 2 рабочих.
Расчет ФОТ представлен в таблице 2.2
Начисления на заработную плату принимаются 26% от ФОТ и составляют:
- для основных рабочих
- для вспомогательного персонала
Таблица 2.2 – Расчет ФОТ
№
п/п
Наименование профессии
Разряд
Списочное кол-во рабочих
Часовая
тарифная ставка,
руб
Кол-во
часов
работы
Годовой ФОТ, руб
Премия
Итого основная зарплата,
руб
Дополнительн. заработная плата
Годовой ФОТ, тыс.руб.
1 раб.
Всех раб.
1 раб.
Всех раб.
%
Сумма, руб
%
Сумма, руб
1
2
3
4
5
6
7
8
9
10
11
12
13
14
15
1
оператор
3
2
24,10
49,00
1962,5
3925
96162,5
50
48081,25
144243,75
6
8654,62
152,828
2
слесарь-ремонтник
И Т О Г О
4
1
31,00
31,00
1962,5
1962,5
60837,5
35
21293,12
82130,62
6
4927,83
87,058
239,886
2.3 Расчет затрат на силовую электроэнергию определяется по формуле:
где n – количество работающего оборудования
N – мощность электродвигателя, кВт
t – время работы оборудования, час
Ц – цена за один кВт/ час силовой электроэнергии, руб
k – коэффициент использования оборудования
Таблица 2.3 – Расходы на силовую электроэнергию
Энергопотребляющее
оборудование
Кол – во,
шт.
Мощность
эл.двиг-ля, кВт
Время
работы
за год,
час
Коэффиц.
использов.
оборудов.
Тариф за
1 кВт/ час эл.энерг.
руб
Затраты на силовую
эл.энерг.
тыс.руб
Плунжерный насос-дозатор М – 193
Вакуум-насос ВВН – 30
ИТОГО
1
1
1
2,8
1750
1750
0,8
0,8
3,8
3,8
5,320
14,896
20,216
Таблиц 2.4 – Расчет производственной мощности.
-
Наименование ведущего оборудования
Количество,
шт.
Произв-ть часовая, кг/час
Время работы в сутки, час
Число рабочих дней в году, дни
Годовой
выпуск продукции, тонн
Станция сироповарочная
1
850
8
250
1500
2.4 Расчет затрат на содержание и эксплуатацию оборудования
Затраты на амортизацию оборудования на полное восстановление определяется по формуле:
, тыс.руб
где Аоб – сумма амортизационных отчислений на полное восстановление, руб.
П – балансовая стоимость оборудования, тыс.руб.
Н – норма амортизации на полное восстановление.
Затраты на ремонт оборудования (4-5%) определяется по формуле:
Затраты на износ малоценных и быстро-изнашиваемых инструментов принимаются в размере 0,8 – 1% от балансовой стоимости оборудования и определяется по формуле:
Затраты на эксплуатацию оборудования принимается в размере 1-3% его стоимости и определяется по формуле:
Таблица 2.5 – Смета затрат на содержание и эксплуатацию оборудования.
-
№
п/п
Статьи затрат
Сумма,
тыс.руб
1.
2.
3.
4.
5.
6.
Амортизация оборудования на полное восстановление
Ремонтный фонд
Износ малоценных и быстро-изнашивающих инструментов
Эксплуатация оборудования
ФОТ слесаря-ремонтника
Начисления на зарплату слесаря-ремонтника
И т о г о
45,189
13,148
3,063
9,577
87,058
22,635
180,670
2.5 Расчет цеховых расходов
Затраты на амортизацию зданий на полное восстановление определяется по формуле:
где Пз – стоимость здания согласно укрупненной сметы капитальных затрат.
Затраты на ремонт здания принимаются в размере его стоимости и определяются по формуле:
Затраты на износ малоценного и быстроизнашивающегося инвентаря принимаются 0,8% стоимости здания и составят:
Затраты на содержание зданий принимаются в размере 1 – 3% от их стоимости и составят:
Затраты на охрану труда принимаются в размере 5% от ФОТ производственных рабочих и составят:
Таблица 2.6 – Смета цеховых расходов
-
№ п/п
Статьи затрат
Сумма,
тыс.руб
1.
2.
3.
4.
5.
Амортизация здания на полное восстановление
Ремонтный фонд
Износ малоценного и быстроизнашивающегося инвентаря
Содержание здания
Охрана труда
И т о г о
26,640
42,624
14,208
39,072
11,994
134,538
Таблица 2.7 – Смета текущих затрат по отделению
-
№ п/п
Статьи затрат
Сумма,
тыс.руб
1.
2.
3.
4.
5.
Силовая электроэнергия
ФОТ производственных рабочих
Начисления на зарплату производственных рабочих
Расход на содержание и эксплуатацию оборудования
Цеховые расходы
И т о г о
20,216
152,828
39,735
180,670
134,538
527,987
2.6 Текущие затраты по отделению на единицу продукции рассчитываются по формуле
тыс.руб
где Эз – сумма текущих затрат по отделению, тыс.руб
Пм – годовая производственная мощность, т/ год
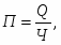
2.7 Расчет производительности труда производится по формуле
т/год
где Q – выпуск продукции, т/ год
Ч – численность работающих в отделении, чел
Таблица 2.8 – Сводная таблица экономических показателей цеха
-
№ п/п
Показатели
Величина
1.
2.
3.
4.
5.
6.
Годовая выработка продукции, т
Балансовая стоимость основных фондов, тыс.руб:
- оборудования
- зданий
Численность работающих, чел:
- производственный персонал
- вспомогательный персонал
Расходы на оплату труда, тыс.руб:
- производственного персонала
- вспомогательного персонала
Текущие затраты на единицу продукции, тыс.руб
Производительность труда, т/год
1500
2158,962
382,962
1776
3
2
1
239,866
152,828
87,058
0,351
500
2.8 Расчет экономической эффективности
Расчет дисконтированных притоков и оттоков
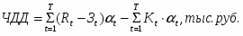
Расчет чистого дисконтированного дохода:
где Rt – поступления от реализации проекта
Зt – текущие затраты на реализацию проекта
– коэффициент дисконтирования
t – номер временного интервала реализации проекта
Kt – капитальное вложение в проект
Т – срок реализации проекта
ЧДД = 4237,591 – 1903,285 – 2158,962 = 175,344 тыс.руб.
Таблица 2.8 Расчет дисконтированных притоков и оттоков
Годы
Инвестиции
(оттоки),
тыс.руб.
Текущие затраты
(оттоки), тыс.руб.
Чистый
доход, тыс.руб.(30%)
(гр. 2 х 0,3)
Поступления
(притоки)
тыс.руб.
(гр3 + гр4)
Коэффициент
дисконтирования
(при 12% норме)
Дисконтированные
текущие затраты
тыс.руб.
(гр3 х гр6)
Дисконтированные
поступления (притоки), тыс.руб.
(гр5 х гр6)
1
2
3
4
5
6
7
8
0
2158,962
-
2158,962
-
-
-
-
1
2
3
4
5
-
-
-
-
-
527,987
527,987
527,987
527,987
527,987
647,688
647,688
647,688
647,688
647,688
1175,675
1175,675
1175,675
1175,675
1175,675
1: (1+012)=0,8929
1: (1+012)2=0,7972
1: (1+012)3=0,7118
1: (1+012)4=0,6355
1: (1+012)5=0,5674
527,987 х 0,8929==471,439
527,987 х 0,7972==420,911
527,987 х 0,7118==375,821
527,987 х 0,6355==335,535
527,987 х 0,5674==299,579
1175,675 х 0,8929==1049,76
1175,675 х 0,7972==937,248
1175,675 х 0,7118==836,365
1175,675 х 0,6355==747,141
1175,675 х 0,5674==667,077
Итого
2158,962
2639,935
3238,44
5878,375
-
1903,285
4237,591
Расчет индекса доходности:
2.8.4 Окупаемость проекта рассчитывается по формуле:
где К – чистые инвестиции, тыс.руб.
Дср – среднегодовой приток денежных средств от проекта, тыс.руб.
Вывод: Инвестиционный проект эффективен, т.к чистый дисконтированный доход больше нуля (ЧДД > 0) и индекс доходности больше единицы (ИД > 1)
Использованная литература
1. Методические указания по выполнению курсового проекта. СТПП. 2006 г.
2. Волков О.И. "Экономика предприятия". М.: ИНФРА-М, 2000.
3. Горфинкель В.Я. "Экономика предприятия". М.: "Банки и биржи", "ЮНИТИ", 1998.
Нравится материал? Поддержи автора!
Ещё документы из категории экономика:
Чтобы скачать документ, порекомендуйте, пожалуйста, его своим друзьям в любой соц. сети.
После чего кнопка «СКАЧАТЬ» станет доступной!
Кнопочки находятся чуть ниже. Спасибо!
Кнопки:
Скачать документ