Экономическая статистика России: решение задач







Задача № 1
По приведенным ниже данным построить внешнеторговый баланс; баланс текущих операций; баланс движения капитала; платежный баланс России. (Данные взяты условно).
Определить сумму золото-валютных резервов, необходимых для поддержания идеального платежного баланса.
Баланс текущих операций:
Приход:
Осуществлена поставка алюминия В ЮАР 9,9 млн. руб.
Осуществлена поставка тракторов в Белоруссию 1000 шт. по 2800 дол. (курс дол. 1 дол. = 27,9 руб.). (1000*2800*27,9=78,12 млн. рублей)
Осуществлена поставка электроэнергии на Украину 21,7 млн. руб.
Осуществлен ввоз автомобилей в Германию 1,0 млн. руб. (при условиях продажи)
Получены дивиденды по акциям из Финляндии 0,9 млн. руб.
Концерн «Рено» оплатил журналу «Эксперт» услуги по размещению рекламы 1,4 млн. руб.
МВФ выделил Российской Федерации кредит на структурную перестройку экономики 6,0 млн. руб.
Итого 119,02 млн. рублей
Расход:
Приобретено зерно в Канаде 1,3 млн. руб.
Российская компания перечислила дивиденды своим акционерам, проживающим в Казахстане 0,5 млн. руб.
Оплачено австралийской телекомпании за телетрансляции с Олимпийских игр 2,7
Российскими гражданами оплачено лечение в Израиле 1,5 млн. руб.
Чистые денежные переводы составили 0,1 млн. руб.
Российская Федерация приняла участие в финансировании международного проекта пилотируемого полета на Марс 20,0 млн. руб.
Итого 26,1
Сальдо 92,92
Внешнеторговый баланс:
Экспорт = 9,9+78,12+21,7+1=110,72
Импорт=1,3 млн. рублей
Сальдо баланса = 109,42 положительное
Баланс движение капитала
Приход:
Получены дивиденды по акциям из Финляндии 0,9 млн. руб.
Концерн «Рено» оплатил журналу «Эксперт» услуги по размещению рекламы 1,4 млн. руб.
МВФ выделил Российской Федерации кредит на структурную перестройку экономики 6,0 млн. руб.
Итого 8,3 млн. рублей
Расход:
Российская компания перечислила дивиденды своим акционерам, проживающим в Казахстане 0,5 млн. руб.
Оплачено австралийской телекомпании за телетрансляции с Олимпийских игр 2,7
Чистые денежные переводы составили 0,1 млн. руб.
Российская Федерация приняла участие в финансировании международного проекта пилотируемого полета на Марс 20,0 млн. руб.
Итого 23,3
Платежный баланс России
Приход: 115,42
Расход: 1,3
Объем золотовалютных резервов = 1,3 млн. рублей
Задача № 2
По приведенным ниже данным определить размер валового внутреннего продукта страны N,используя 3 метода расчета:
Экспорт товаров за год – 5000 у.е.
Импорт товаров за год – 10000 у.е.
Общая сумма зарплаты в экономике за год – 0,6 тыс. у.е.
Общая сумма начисленных дивидендов в экономике за год – 0,2 тыс. у.е.
Прибыль предприятий, учреждений, организаций – 6 000 у.е.
Выручка предприятий, учреждений, организаций – 14000 у.е.
Расходы государства – 6000 у.е.
Общие затраты на производство – 5000 у.е.
Налоги – 2,2 тыс. у.е.
Расходы домохозяйств – 4000 у.е.
Расходы фирм на строительство, покупку основных фондов – 4000 у.е.
Производственный метод
При расчете производственным методом ВВП исчисляется путем суммирования валовой добавленной стоимости всех производственных единиц – резидентов, сгруппированных по отраслям или секторам.
ВВП = выручка –затраты на производство = 14000-5000=9000
Метод расчета ВВП по доходам
ВВП можно представить как сумму факторных доходов (заработная плата, процент, прибыль, рента), т.е. определить как сумму вознаграждений владельцев факторов производства.
В ВВП включаются доходы всех субъектов, осуществляющих свою деятельность в географических рамках данной страны, как резидентов (граждан, проживающих на территории данной страны, за исключением иностранцев, которые находятся в стране менее года), так и нерезидентов. В показатель ВВП также включаются косвенные и прямые налоги на предприятия, амортизация, доходы от собственности и нераспределенная часть прибыли.
ВВП = общая сумма зарплаты в экономике +
общая сумма начисленных дивидендов +
прибыль предприятий +
налоги =0,6+0,2+6+2,2=9 тысяч у.е.
Метод расчета ВВП по расходам.
Поскольку ВВП определяется как денежная оценка конечных товаров и услуг, произведенных за год, постольку необходимо суммировать все расходы экономических субъектов на приобретение конечных продуктов. При расчете ВВП на основе расходов или потока благ (этот метод также называют производственным методом) суммируются следующие величины:
Потребительские расходы населения (С)
2. Валовые частные инвестиции в национальную экономику (Ig)
3. Государственные закупки товаров и услуг (G)
4. Чистый экспорт (NX), который представляет разность между экспортом и импортом данной страны
ВВП = расходы домохозяйств +
расходы фирм на строительство +
расходы государства +
чистый экспорт =
= 4000+4000+6000+(5000-10000)= 9000 у.е.
Таким образом, ВВП равен 9000 у.е.
Задача № 3
По приведенным ниже данным рассчитать индекс условий торговли; установить, являются ли условия торговли, приведенные в задаче, благоприятными для данной страны.
Данные экспорта, $.
2000
2001
количество
цена
количество
Цена
Сталь, т
Нефть, бар
Золото, ун
10
150
80
75
24
250
20
240
50
80
33
278
Данные импорта
2000
2001
количество
цена
количество
Цена
Пшеница, т
Компьютеры, шт.
Автошины, шт.
900
420
700
217
650
140
850
450
810
230
670
200
Для расчета средних цен экспорта применить индекс Пааше
Для расчета средних цен импорта применить индекс Ласпейреса
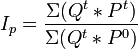
Индекс Пааше это индексов цен, исчисляемых для характеристики изменения цен товаров. Определяется путём взвешивания цен двух временных периодов по объёмам потребления текущего периода и отражает изменение стоимости потребительской корзины текущего периода. Он рассчитывается как отношение текущих потребительских расходов к расходам на приобретение такого же ассортиментного набора в ценах базисного периода:
Произведем расчеты для определения средних цен экспорта:
Таким образом, в среднем, цены на экспорт выросли на 18,5%
Отражая динамику цен текущего периода, индекс Пааше не в полной мере отражает эффект дохода. В результате получается завышенная оценка изменения цен при их снижении и заниженная в случае роста.
Индекс Ласпейреса определяется путём взвешивания цен двух временных периодов по объёмам потребления базисного периода и отражает изменение стоимости потребительской корзины базисного периода, произошедшее за текущий период. Индекс рассчитывается как отношение потребительских расходов, обусловленных приобретением того же набора потребительских благ по текущим ценам (ΣQ0*Pt), к расходам на приобретение идентичного по структуре набора по ценам базисного периода (ΣQ0*P0):
Произведем расчеты для определения средних цен импорта:
В среднем, цены на импорт снизились на 11,28%
Отражая динамику цен базисного периода Q0, индекс Ласпейреса не учитывает изменений в структуре потребления, которые возникают из-за изменения цен благ. Отражая лишь эффект дохода и игнорируя эффект замещения, этот индекс даёт завышенную оценку инфляции при росте цен и заниженную в случае их снижения.
Таким образом, рост цен на экспорт составил 18,5 %, а цены на импортную продукцию, напротив, снизились на 11,28%. Такая тенденция может оказать негативное влияние на внешнеторговый баланс страны, так как импортную продукцию потребители будут покупать охотнее (данное правило имеет большое влияние при рассмотрении однородных групп товаров).
Индекс Пааше = 118,5%
Индекс Лайспереса = 88,72%
Индекс условий торговли = 133,56 % - характеризует превышение экспортных цен над импортными на 33,56%.
Задача № 4
По приведенным данным осуществить пересчет ВВП за ряд лет в постоянные цены 1995 года.
Использовать любой из существующих методов.
Рассчитать показатели динамики. Сделать выводы.
Наименование показателя
1997
1998
1999
2000
2001
Уровень цен (р)
16,0
12,9
17,3
14,7
18,1
Условный объем ВВП (q)
200,0
350,0
400,0
450,0
480,0
Рассчитаем индекс цен, путем деления уровня цен отчетного года на уровень цен базисного года
Например, для 1998 год: 12,9/16=0,806 и аналогично для других периодов в сравнении с 1997 годом.
Наименование показателя
1997
1998
1999
2000
2001
Уровень цен (р)
16
12,9
17,3
14,7
18,1
Условный объем ВВП (q)
200
350
400
450
480
Индекс цен
1,00
0,81
1,08
0,92
1,13
Реальный объем ВВП
200,00
282,19
432,50
413,44
543,00
Тр реального объема ВВП цепной
1
1,41
1,53
0,96
1,31
Тр номинально объема ВВП цепной
1
1,75
1,14
1,13
1,07
Тр реального объема ВВП базисный
1
1,41
2,16
2,07
2,72
Тр номинально объема ВВП базисный
1
1,75
2,00
2,25
2,40
Из таблицы видно, что темпы роста номинального ВВП часто превышают темпы роста реального. Отразим данную закономерность на графике:
Задача № 5
По имеющимся данным рассчитать: сводные цепные и сводные базовые индексы потребительских цен в целом по стране за период с декабря 2001 по июнь 2000 г.
(В таблице приведен условный тариф стоимости проезда в общественном транспорте).
Наименование региона
Доля численности
Тариф, руб.
Дек,99
Янв.
Фев.
март
Апр.
май
Июнь
Москва, Моск.
0,6
5
5,5
5,6
5,7
5
5,7
6
Свердловская
0,12
3
3,1
3,2
3,5
3,5
3,5
4
Челябинская
0,09
2
2
2
2,5
2,5
2,5
2,5
Самарская обл.
0,08
1,5
1,5
1,5
1,6
1,7
1,8
1,9
Новосибирская
0,11
2,5
2,5
2,5
2,5
2,5
2,5
3
Средний тариф
1
3,935
4,247
4,319
4,468
4,056
4,484
4,787
Для применения данных индексов рассчитаем средний тариф на проезд в регионах, используя формулу средней: как сумма произведений цены тарифа на проезд на долю населения.
Средний тариф за полугодие =
(3,935+4,247+43,19+4,468+4,056+4,484+4,787)/7=4,328 рубля
Базисные индексы получают путем сопоставления с тем уровнем периода, который был принят за базу сравнения.
Базисный сводный индекс цен:
Где q1 и p1 тариф за рассматриваемый месяц, при этом за базисный месяц возьмем декабрь 1999 года
Цепной сводный индекс цен:
Расчеты занесем в таблицу:
Базисный сводный индекс цен
1
1,08
1,10
1,14
1,03
1,14
1,22
Цепной сводный индекс цен
1
1,08
1,02
1,03
0,91
1,11
1,07
Данные индексы отражают темп роста величины тарифа за проезд в сравнении с предыдущим и базовым периодами.
Так, с декабря 1999 стоимость проезда увеличилась на 22%. Динамику изменения стоимости тарифа помесячно рассмотри на графике.
Список литературы
1.Демография и статистика населения: учебник для вузов/И.И.Елисеева; под ред. И. И. Елисеевой.— М.: Финансы и статистика, 2006
2.Колесникова И.И.. Статистика: учебное пособие/И.И.Колесникова, Г.В.Круглякова.- 2-е изд., стер. - М.: Новое знание, 2006
3.Статистика: учебник для вузов по специальности Статистика/В.С.Мхитарян, Б.И.Башкатов, Т. А. Дуброва и др.; под ред. В. С. Мхитаряна.— М.:Экономистъ, 2006
4.Социально-экономическая статистика: практикум: Учебное пособие / под ред. С. А. Орехова.- М.: Эксмо, 2007
5.Статистика: Учебное пособие/ Л.П.Харченко, В.Г. Долженкова, В.Г. Ионин – М.: ИНФРА-М, 2002.
6.Статистика: Учебное пособие /под ред. проф. М.Р. Ефимовой.- М.: ИНФРА-М, 2000
7.Статистика: Курс лекций/Под ред. В. Г. Ионина. – Новосибирск: ИНФРА-М, 2008.
8.Теория статистики: Учебник. – 4-е изд., перераб. и доп./Р.А. Шмойлова, В.Г. Минашкин, Н.А. Садовникова, Е.Б. Шувалова; Под ред Р.А. Шмойловой. – М.: Финансы и статистика, 2004.
Нравится материал? Поддержи автора!
Ещё документы из категории экономика:
Чтобы скачать документ, порекомендуйте, пожалуйста, его своим друзьям в любой соц. сети.
После чего кнопка «СКАЧАТЬ» станет доступной!
Кнопочки находятся чуть ниже. Спасибо!
Кнопки:
Скачать документ