Формирование и распределение доходов на факторы производства








МИНИСТЕРСТВО ВНУТРЕННИХ ДЕЛ РОССИЙСКОЙ ФЕДЕРАЦИИ
БЕЛГОРОДСКИЙ ЮРИДИЧЕСКИЙ ИНСТИТУТ
Кафедра гуманитарных и социально-экономических дисциплин
дисциплина: ЭКОНОМИКА
РЕФЕРАТ
по теме: «формирование и распределение доходов на факторы производства»
Подготовил:
Студент 332 группы
Путилов П.Д.
Белгород – 2008 г.
План лекции
Время (минут)
Вступительная часть
5
Учебные вопросы:
1.Выбор факторов производства.
40
2.Ценообразование на рынке труда. Персонал предприятия.
35
3.Банковский процент, экономическая прибыль и земельная рента.
45
4.Распределение доходов между группами населения. Потребление и сбережения.
30
Заключительная часть (подведение итогов)
5
Введение
Основная проблематика данной темы связана с определением принципов формирования спроса на экономические ресурсы. Актуальность изучения этой темы заключается в том, что эти принципы позволяют получить представление об основах формирования различных видов доходов: заработной платы, проценте, экономической ренты. В свою очередь, каждый из различных видов дохода на экономические ресурсы имеет особенности формирования своей величины. Эти особенности проистекают из специфики самих экономических ресурсов, отражающей, например, структуру рынка экономических ресурсов, редкость ресурса, ценность ресурса во времени, его производительность. Поэтому в рамках данной лекции отражена и эта часть проблематики раскрываемой темы.
1. Выбор факторов производства
До сих пор мы рассматривали принятие решений относительно размеров производства на предприятии, действующего в рыночной среде и стремящегося к максимизации прибыли. Другое важное решение, с которым сталкивается предприятие, касается выбора методов производства. Предположив, что цены ресурсов не изменяются в процессе принятия решения, можно выделить два варианта производственной функции, характеризующей взаимосвязь между затратами и выпуском продукции:
1.Предприниматель располагает определенными средствами на приобретение ресурсов. Он старается применить такие методы производства, которые позволяют достичь максимального объема выпуска продукции.
2.Предприниматель, определив размеры выпуска продукции, стремится к применению такой комбинации ресурсов, которая делает возможным достижение данного объема выпуска при минимальных затратах.
Функция производства обусловливает величину спроса на факторы производства, используемые предприятием. Для того, чтобы раскрыть общие принципы выбора факторов производства, дадим определение ряду понятий.
Предельный физический продукт (МР) – прирост выпуска продукции в физических единицах, произведенный каждой дополнительной единицей переменных затрат данного рода при неизменности всех других видов затрат.
Предельная доходность ресурса (MRP) – изменение валового дохода в результате продажи продукции, произведенной с помощью использования дополнительной единицы ресурса.
Предельные издержки ресурса (MRC) – прирост общих затрат на ресурсы для приобретения дополнительной единицы данного ресурса.
Предположим, что предприятие приобретает необходимые для него ресурсы на рынках, характеризующихся совершенной конкуренцией. Формирование же предельной доходности ресурса, используемого предприятием, зависит от того, является ли рынок, на котором реализуется конечная продукция данного предприятия, рынком совершенной или несовершенной конкуренции. Поскольку допускается, что лишь один вид ресурса является переменным, постольку выбор факторов производства ограничен краткосрочным периодом.
Построим таблицу, иллюстрирующую динамику предельной доходности, цены и предельного продукта в зависимости от изменения объема использования данного ресурса и выпуска продукции в условиях совершенной и несовершенной конкуренции.
На основе числовых данных таблицы прослеживается зависимость между уровнем предельной доходности ресурса и последовательностью вовлекаемых единиц ресурса. Такая зависимость показывает действие закона убывающей доходности (ситуация, при которой последовательные равные приросты переменного ресурса добавляются к постоянным ресурсам сверх какого-то определенного уровня, а предельный продукт переменного ресурса сокращается).
Кол-во
ресурса, шт.
Выпуск продукции,
шт.
Предельный
продукт,
шт.
Совершенная конкуренция
Несовершенная конкуренция
Цена
продукции
Доход
Предельная доходность
Цена
продукции
Доход
Предельная доходность
1
15
15
50
750
750
50
750
750
2
28
13
50
1400
650
49
1372
622
3
39
11
50
1950
550
48
1872
500
4
48
9
50
2400
450
47
2256
384
5
55
7
50
2750
350
46
2530
274
6
60
5
50
3000
250
45
2700
170
7
63
3
50
3150
150
44
2772
72
8
64
1
50
3200
50
43
2752
-20
В условиях несовершенной конкуренции снижение цены по мере роста объема реализации влечет за собой более быстрое снижение предельной доходности по сравнению с совершенной конкуренцией. Предельная доходность ресурса в условиях несовершенной конкуренции может быть просчитана не только как изменение валового дохода, но и как разность между стоимостью предельного продукта (предельный физический продукт, умноженный на цену реализации) и убытка на предыдущих единицах продукции, вызванного уменьшением цены. Например, предельная доходность седьмой единицы переменного ресурса равна 344 – 601 = 72.
Для того, чтобы определить какое количество единиц ресурса выгодно предпринимателю вовлекать в производство, следует сопоставить предельные издержки этого ресурса с его предельной доходностью. Поскольку было сделано допущение, что ресурсы приобретаются на рынке совершенной конкуренции, постольку цена ресурса совпадает с его предельными издержками. Поэтому предельная доходность ресурса может сопоставляться с его ценой. Это значит, что в краткосрочном периоде правило выбора факторов производства может быть представлено в виде MRC = MRP или Pr = MRP, где Рг –цена ресурса.
Например, если цена ресурса составляет 100 денежных единиц, то в условиях совершенной конкуренции выгодно вовлекать 7 единиц ресурса, а при несовершенной конкуренции всего 6.
Зависимость между уровнем предельной доходности ресурса и количеством вовлекаемых единиц ресурсов предопределяет зависимость между ценой ресурса и величиной спроса на этот ресурс. Например, в условиях совершенной конкуренции, как это видно из таблицы, при Рr = 50 величина спроса на ресурс составит 8 единиц, при 50 < Рr < 150 величина спроса будет 7 единиц, при 150 < Рr < 250 величина спроса будет 6 единиц и т.д. Если же цена на ресурс превысит 750 денежных единиц, то предприниматель не вовлечет ни одной единицы ресурсов.
Из таблицы также видно, что спрос на ресурс в условиях несовершенной конкуренции менее эластичен, чем при совершенной. Действительно, при снижении цены .на ресурс на 300 д.е. (с 750 до 450) в условиях совершенной конкуренции величина спроса возрастет на 3. единицы (с 1 до 4), а в условиях несовершенной конкуренции на 2 (с 1 до 3). Это означает, что в условиях несовершенной конкуренции будет предъявляться меньшая величина спроса на ресурсы, и при прочих равных условиях будет меньший объем производства.
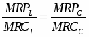
В долгосрочном периоде предприятие изменяет потребление всех ресурсов. Правило выбора факторов производства, позволяющее минимизировать издержки производства, заключается в том, что для минимизации затрат необходимо достижение равенства в соотношении предельных физических продуктов (предельных доходностей) с ценами (предельными издержками ресурсов) по всему перечню использования ресурсов. Например, если используются только два фактора производства: труд и капитал, то правило, позволяющее минимизировать издержки, можно записать в виде:
или ,
где:
МР – предельный физический продукт труда (L) или капитала (С);
Р – цена соответствующего ресурса;
MRP – предельная доходность ресурса;
MRC – предельные издержки ресурса.
Однако для максимизации прибыли предприятие должно добиться не только равенства соотношений по разным видам ресурсов, но и того, чтобы эти соотношения, эквивалентные между собой, были равны единице. В нашем случае это будет выглядеть так:
или же
Последнее равенство применяется по отношению к рынкам ресурсов, характеризующимся несовершенной конкуренцией, где цена ресурса может не совпадать с предельными издержками ресурса.
Правило выбора факторов производства, обеспечивающее максимизацию прибыли предприятия при наименьших издержках производства, тождественно правилу выпуска продукции с максимальной прибылью MR = МС. Поскольку MR = MRP / МР, а МС = MRC / МР, то из MR = МС следует, что MR / МС = 1. Подставляя значения, получаем:
Отраслевой спрос на ресурс представляет собой агрегирование спроса индивидуальных потребителей ресурса. Неценовыми факторами спроса являются:
1.Изменения в спросе на готовый продукт, который производится посредством данного ресурса.
2.Изменение производительности ресурса. Рост производительности ресурса повышает его предельную доходность, что расширяет спрос на него. Аналогичное влияние оказывает рост производительности взаимодополняющих ресурсов, совершенствование технологии производства.
3.Изменение цен на другие ресурсы (субституты и взаимодополняющие ресурсы).
Степень эластичности спроса на ресурс предопределяется:
1. Степенью эластичности спроса на готовый продукт. Чем выше эластичность спроса на готовый продукт, тем выше эластичность спроса на ресурс.
2. Изменением предельной доходности ресурса. Медленное снижение предельной доходности обусловливает более высокую эластичность спроса на ресурс.
3. Долей ресурса в издержках предприятия. Чем выше доля ресурса в валовых издержках, тем выше эластичность спроса.
4. Структурой рынка готовой продукции. В условиях рынка совершенной конкуренции спрос на ресурс более эластичен, чем в условиях монополизированного.
2. Ценообразование на рынке труда. Персонал предприятия
Как известно, рынок представляет собой пространство, на котором взаимодействуют продавцы и покупатели, в результате чего для каждого стандартного товара (или услуги) устанавливаются равновесная цена и равновесный объём предложения и спроса. Очевидно, что данное понятие рынка должно быть скорректировано, если речь идёт о таком специфическом товаре, как труд. Это связано с тем, что носитель труда (работник) представляет собой уникальную человеческую личность, которая обладает не только определенной способностью к труду (токарь, инженер, врач и т.д.), но и целым «спектром» других качеств: мотивами трудового поведения, жизненным опытом, психофизиологическими особенностями. В этой связи понятие «рынок труда» носит в какой-то степени абстрактный характер.
С другой стороны, и работодатели (то есть те, кто предлагает рабочие места) подходят к найму рабочей силы не только с точки зрения требований к профессии и квалификации индивида, но и оценивая его (работника) коммуникабельность, умение работать в коллективе, способность к переобучению, трудовой мобильности.
Необходимо отметить, что труд имеет не только экономическую ценность (важнейший производственный фактор, при помощи которого производится продукция определенного количества и качества), но и социальную, так как является источником дохода, определяет социальный статус человека в обществе.
Несмотря на «гуманистическую» специфику рынка труда, в экономической теории абстрагируются от этих характеристик и определяют данный вид рынка как пространство, где цена и количество труда определяются взаимодействием спроса (со стороны предприятий) и предложения (со стороны временно незанятых людей).
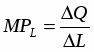
Спрос на труд, как и на всякий ресурс, является производным, то есть зависит от спроса на продукцию, которая производится с помощью данного вида труда. В свою очередь, фирма, определяя количество работников, которое необходимо нанять, должна учитывать «цену труда» (то есть заработную плату). А цена труда зависит от его предельной производительности, т.е. того приращения объёма выпускаемой продукции, которое вызвано использованием дополнительной единицы труда (нового работника), при условии, что другие факторы производства останутся неизменными. Предельная производительность труда определяется по формуле:
,
где:
MPL – предельная производительность труда;
Q – прирост продукции, вызванный дополнительной единицей труда;
L – дополнительная единица труда.
Однако фирму интересует не только величина дополнительной продукции, выпущенной в результате найма нового работника, но и то, какой доход она получит от продажи продукции, созданной добавочной единицей труда. А определить это можно по формуле предельного дохода от продукта труда (MRPL)
,
где:
MRPL – предельный доход от продукта труда;
R – прирост дохода, вызванный дополнительной единицей труда.
Практика показывает: при неизменной величине других факторов производства дополнительное увеличение численности работников приводит к тому, что MRPL сначала растёт (это увеличивает доход фирмы), а затем начинает снижаться (это уменьшает доход фирмы). Тому имеется несложное объяснение: с увеличением численности персонала и при неизменном оборудовании доля капитала, приходящаяся на каждого работника, начинает снижаться, что приводит сначала к уменьшению прироста продукции, затем к стабилизации её объёма, и, наконец, к абсолютному уменьшению.
В этой связи фирме важно определить, какова должна быть оптимальная численность занятых, которая обеспечивала бы максимальную прибыль предприятию. В экономической теории эта зависимость называется «прибыль – максимизирующая занятость» и определяется по формуле:
где:
W – ставка заработной платы.
Индивид получает за свой труд заработную плату, которую тратит на приобретение товаров и услуг, приносящих ему пользу. Досуг также приносит ему определённую пользу: он читает, смотрит телевизор, занимается спортом, общается с друзьями и т.д.
В этой связи возникает проблема распределения времени между трудом и досугом. Как её разрешить? Для этого воспользуемся некоторыми положениями теории потребительского выбора. Во-первых, основной принцип экономического поведения индивида - максимизация полезности, получаемой от труда и досуга. Это лежит в основе распределения времени между названными «альтернативными» видами деятельности. Во-вторых, при оценке потребления благ и досуга действует закон убывающей полезности – каждый дополнительный час досуга (или дополнительное количество благ) приносит меньшую полезность, чем предыдущие. Иными словами, чем большим объёмом досуга (или благ) располагает индивид, тем меньшую ценность представляет для него дополнительный час досуга или дополнительная единица благ. Разумеется, для каждого индивида существует своя, субъективная шкала ценностей, которая влияет на распределение времени между трудом и досугом и, следовательно, оказывает влияние на величину предложения труда.
Согласно теории предельного продукта рабочий сам должен произвести продукт, возмещающий его зарплату. Сильная сторона этой концепции в том, что зарплата здесь зависит от эффективности труда работника. Чем выше производительность труда, тем выше зарплата.
На конкурентном рынке труда каждый предприниматель нанимает такую небольшую долю рабочих, что это не влияет на ставку зарплаты в целом. Рыночная ставка зарплаты дана фирме рынком, фирма в зависимости от нее нанимает столько труда, сколько ей необходимо при данной ставке.
Модель монопсонии. Это рынок, на котором господствует один покупатель. Монопсонии присущи следующие черты.
1) Количество занятых на данной фирме составляет основную часть всех занятых каким-то конкретным видом труда.
2) Данный вид труда является относительно немобильным либо в географическом смысле, либо в невозможности найти альтернативное применение.
3) Фирма диктует зарплату. Ставка зарплаты сочетается с количеством нанимаемых рабочих.
В некоторых случаях монополистическая власть нанимателей является полной, если в городе имеется лишь один крупный наниматель на рынке труда. Монополистические рынки существуют на таких рынках труда, как труд учителей государственных школ, труд медсестер, работников газетных издательств и некоторых других.
Монополист-наниматель считает выгодным сокращать занятость, чтобы снизить ставки зарплаты и сократить издержки.
На многих рынках рабочие продают свои трудовые услуги коллективно через профсоюз. Предположим сначала, что формируется профсоюз на конкурентном рынке. Ему приходится вести переговоры с относительно большим числом нанимателей, а не с монопсонистом.
Основная цель профсоюза – повышение зарплаты. Профсоюз может добиваться своей цели разными путями.
Наиболее желательным способом повышения зарплаты является расширение спроса на труд (увеличение спроса на продукцию данной отрасли через рекламу, использование лоббистов в правительстве для получения контрактов или увеличение государственных расходов на те или иные программы и т. д.). Но главные усилия профсоюзов в направлении повышения зарплаты концентрируются на предложении труда.
Исторически рабочее движение всегда выступало за проведение политики, которая вела к сужению предложения труда, чтобы повысить общий уровень зарплаты. Профсоюзы поддерживают законодательство, которое ограничивает иммиграцию, сокращает детский труд, поддерживают обязательный уход на пенсию, способствуют сокращению рабочей недели. Различают два типа профсоюзных объединений: замкнутый тредюнионизм и открытый, или отраслевой тредюнионизм.
Замкнутый, или цеховой тредюнионизм. Профсоюзы данного типа сокращают число своих членов. Одновременно они вынуждают предпринимателей нанимать только рабочих – членов этих профсоюзов, при этом обеспечивают полный контроль за предложением труда. К методам искусственного сокращения предложения труда относится длительный срок обучения, непомерные вступительные взносы, ограничение или запрещение принятия новых членов, квалификационное лицензирование профессий. Квалификационные требования могут включать уровень образования, непомерно строгие экзамены, предъявление личных характеристик о высоких моральных качествах. В США, например, лицензируется около 600 профессий. Многие экономисты считают, что очень высокие заработки врачей связаны отчасти с возможностью американской медицинской ассоциации осуществлять контроль за предоставлением патентов докторам.
Открытый, или отраслевой тредюнионизм. Большинство профсоюзов не ограничивают число своих членов. Наоборот, они пытаются объединить всех рабочих. К таким профсоюзам относятся профсоюзы автомобилестроителей, сталелитейщиков, докеров. Профсоюз может быть и закрытым, если его члены являются квалифицированными специалистами, для которых нет в необходимых количествах соответствующей замены.
Но профсоюз, включающий неквалифицированных и полуквалифицированных рабочих, подорвет свое собственное существование, если будет ограничивать число членов в нем, поскольку в таком случае создается значительный резерв не объединенных профсоюзом рабочих, которыми легко можно заменять членов профсоюза при найме на работу.
Если отраслевому профсоюзу удается объединить фактически всех рабочих данной отрасли, то фирмы будут находиться под большим давлением со стороны профсоюзов при заключении договора о ставке зарплаты. Профсоюз с помощью забастовки может полностью лишить фирму предложения труда.
Цена труда устанавливается выше, чем равновесная ставка зарплаты при свободной конкуренции. При отсутствии профсоюза, то есть в условиях чисто конкурентного рынка труда, незанятые рабочие согласились бы на более низкую зарплату.
Действия открытых и закрытых профсоюзов приводят к снижению занятости. Успех профсоюзов в установлении ставок зарплаты выше равновесной сопровождается уменьшением числа занятых.
Модель двухсторонней монополии. Предположим, что на рынке труда, который является скорее монопсоническим, чем конкурентным, сформировался сильный производственный профсоюз. Другими словами, мы объединяем монопсоническую модель с моделью открытых профсоюзов. В результате имеет место двусторонняя монополия. Профсоюз является монополистическим продавцом труда в том смысле, что он контролирует предложение труда и может оказать влияние на ставки зарплаты. Он противостоит монопсоническому нанимателю труда, который тоже может воздействовать на зарплату путем изменения занятости.
Монополия на одной стороне рынка фактически может уничтожить монополию на другой стороне рынка, что способствует установлению равновесной ставки.
Профсоюзы, как видим, играют немалую роль в формировании размеров заработной платы, оказывают влияние на эффективность и производительность, занятость. Существенно изменяется роль профсоюзов в экономических отношениях нашей страны в связи с переходом к рынку. Остановимся подробнее на задачах, функциях и организации профсоюзного движения в нашей стране.
Улучшение условий труда, повышение заработной платы, социальные гарантии работающим и безработным являются главным в деятельности профсоюзов. Лучший способ добиться целей, стоящих перед профсоюзом, – заключить договор с администрацией на предприятии и соглашение с правительством на уровне страны и региона. Подписанию такого соглашения предшествуют долгие и напряженные переговоры. Объективные интересы работодателя (администрации, собственника) и наемного работника не совпадают. Работодатель заинтересован в том, чтобы, вложив как можно меньше средств, получить как можно большую отдачу. Снижая издержки производства, он будет стремиться экономить на зарплате, технике безопасности и экологичности производства.
Интересы наемных работников противоположны. Трудящиеся хотят получать как можно более высокую зарплату, иметь здоровые условия труда, а на вредном производстве – льготы и компенсационные выплаты. Их интересы за столом переговоров представляет профсоюзный орган. Чтобы хорошо вести переговоры, профсоюзные работники должны быть хорошо подготовлены: знать необходимые законы, не хуже администрации знать дела предприятия. Если стороны приходят к соглашению, то они подписывают договор, гарантирующий права трудящихся. Но может случиться и такое, что администрация откажется вести переговоры или не заключит договор, либо будет нарушать подписанное ранее соглашение. В этом случае профсоюз использует свое законное право обратиться в суд.
Но процесс может длиться долго, и тогда на повестку дня встает вопрос о коллективных действиях. Они могут быть в форме митингов, пикетов, наконец, забастовок.
Но есть и другие факторы, способные подвести к победе. Это степень организованности профсоюза, умение работать со средствами массовой информации, настроить в свою пользу общественное мнение.
Что дает членство в профсоюзе?
1. Члены профсоюза в значительно большей степени, чем его не состоящий в союзе коллега, защищен от угрозы увольнения по инициативе администрации. Увольнение по целому ряду оснований возможно только с согласия профсоюзного комитета, а если профком согласие не даст, то через суд.
При увольнении по сокращению администрация обязана предупредить работника за два месяца, а профком — за три месяца. Таким образом, у членов профсоюза гораздо больше шансов остаться на работе, а если ситуация безвыходная – больше времени для поисков нового места работы. Профсоюз может помочь в поисках нового места работы.
2. Если администрация наложила на вас несправедливое взыскание, заставляет выполнять работу, не предусмотренную должностной инструкцией, или нарушать технику безопасности, вы можете обратиться в профком, и он встанет на защиту ваших интересов.
3. Если вы приобретаете путевку в санаторий или лагерь для ребенка, профсоюз из средств социального страхования оплатит вам часть ее стоимости.
Зачем профсоюзы объединяются в Федерации?
Есть проблемы, общие для трудящихся всех отраслей и профессий данного региона.
1. Например, чтобы установить минимальную зарплату на уровне не ниже прожиточного минимума, нужно рассчитать, каков этот минимум в регионе. Расчет этот должен быть общим для всех профсоюзов.
2. Положение трудящихся во многом зависит от макроэкономической ситуации в регионе: политики, которую проводит правительство в области цен и зарплат, от того, какие существуют налоги. Ведь можно поощрять вложение капитала в производство, а значит, создание новых рабочих мест, рост числа товаров и заработной платы. А можно сделать выгодным только быстрое обращение капитала – спекуляцию.
Чтобы добиваться выгодной для трудящихся экономической политики, профсоюзы на добровольных началах объединяются в федерации. Федерации профсоюзов стремятся решить вставшие перед ними проблемы, заключая трехсторонние соглашения с властями и объединениями работодателей.
Средства федерации складываются из добровольных отчислений входящих в нее профсоюзов.
Заключение коллективных договоров. На современном предприятии в рыночных условиях отношения работников с администрацией формируются с помощью коллективных договоров. Коллективные договора заключаются при активном участии профсоюзов. Цель переговоров, которые ведут, с одной стороны, представители компании (вице-президент компании по трудовым отношениям и адвокаты), а с другой, – комитет профсоюзных деятелей, – выработать взаимоподходящие условия занятости. Что входит в коллективный договор? Прежде всего, экономический пакет, включающий ставки заработной платы, сверхурочные ставки, выходные и перерывы, отчисления в пенсионные фонды и на здравоохранение, условия труда. В соглашение включается обязательство администрации индексировать зарплату в соответствии с ростом цен.
Существует две формы оплаты труда – «сдельная» и «повременная».
При сдельной форме оплаты труда работник получает вознаграждение за количество выпускаемой продукции. Для этого рассчитывается плата за производство единицы продукции, называемая расценкой. Каждая единица продукции должна отвечать заданным стандартам. За лучшее качество и достижение других полезных для предприятия показателей сдельщикам могут выплачиваться в дополнение к заработной плате различные премии. Применение сдельной формы оплаты труда возможно, если работник выпускает продукцию, поддающуюся натуральному счёту.
Независимо от применяемой формы оплаты одинаковый труд должен иметь равное вознаграждение. Для выполнения этой задачи предприятиями и организациями могут применяться «тарифные разряды».
Тарифный разряд характеризует способность работника выполнять работу различной сложности и непосредственно влияет на величину его заработной платы. Самый низкий разряд – первый. Работник первого разряда должен уметь выполнять самую простую работу и получает самую низкую зарплату Обычно для рабочих применяются разряды с 1-го по 8-й, а для высококвалифицированных рабочих – с 9-го по 12-й. Работники, имеющие одинаковые разряды, при прочих равных условиях получают и одинаковую зарплату, независимо от специальности. Чем выше разряд у рабочего, тем более сложную работу он может выполнять и тем более высокую зарплату он получает.
В бюджетных организациях (школах, больницах) применяется 18 тарифных разрядов. Оплата труда работника 1-го тарифного разряда устанавливается государством не ниже утверждённого минимального размера оплаты труда. Чтобы вычислить зарплату другого разряда, применяются установленные государством коэффициенты. Так, коэффициент работника 10-го тарифного разряда равен 3,99. Тогда его оклад составляет минимальная зарплата, умноженная на 3,99 (коэффициент разряда).
Но применение только тарифных разрядов имеет свои недостатки: здесь учитывается лишь квалификация работника и отработанное им время.
На негосударственных предприятиях зарплата часто состоит из трёх частей. Размер первой части зависит от квалификации работника, стажа работы, его профессионального опыта. Вторая часть оплаты является вознаграждением за индивидуальные успехи – премии за высокое качество, рост выработки и другие показатели. Третья часть – это вознаграждение по результатам деятельности всего предприятия. Две последние составляющие оплаты труда могут изменяться в зависимости от достигнутых результатов.
Такая система оплаты своей первой частью гарантирует получение необходимого минимума средств к существованию и заинтересовывает в повышении квалификации и длительном сотрудничестве с предприятием. Вторая часть стимулирует достижение высоких индивидуальных показателей, а третья – нацеливает персонал на реализацию интересов всего предприятия. С помощью такой системы оплаты труда можно эффективно стимулировать персонал в постоянно меняющихся современных условиях хозяйствования.
3. Банковский процент, экономическая прибыль и земельная рента
Из дохода, созданного совокупностью факторов, условно выделяется чистая производительность капитала. Она представляет ежегодный процентный доход, который зарабатывается инвестором в результате связывания его денег в указанном проекте .
Что же представляет чистая производительность капитала? Ясно, что без средств производства можно произвести продукта меньше, чем со средствами производства. Процессы с помощью капитальных благ являются более производительными. Из этого можно сделать вывод, что капитал обладает чистой производительностью, с его помощью производится дополнительное количество продукции, которое остается после всех отчислений в амортизационные фонды. Эту производительность можно выразить в форме рассчитываемого за год процента.
По мере накопления капитала для реализации сначала отбираются проекты с высокой чистой производительностью, а затем со все более низкой чистой производительностью.
Процентная ставка является минимумом рентабельности инвестиционных проектов и средством их отбора в соответствии с чистой производительностью. Уровень процентной ставки является тем орудием, которым общество пользуется при выборе различных вариантов капитальных вложений. Высокая процентная ставок позволяет отобрать самые безотлагательные и наиболее экономичные проекты. Когда уровень процента оказывается высоким, то в этих условиях могут предприниматься лишь те варианты капитальных вложений, которые обладают наиболее высокой чистой производительностью. Постепенно, по мере того, как интенсивное накопление капитала в предшествующий период вызовет к жизни действие закона убывающей доходности, процентные ставки станут снижаться. Это послужит сигналом для осуществления тех проектов капитальных вложений, которые характеризуется более низкой чистой производительностью. Рыночная процентная ставка в этом процессе служит минимальной нормой прибыльности. Если какой-то вариант капитальных вложений имеет чистую производительность, равную процентной ставке, то это последний вариант, который еще может интересовать предпринимателя. Если же чистая производительность ниже процентной ставки, нет никакого смысла вкладывать сюда капиталы, т. к. полученный доход не окупит даже плату за заемный капитал.
Те варианты капитальных вложений, производительность которых выше, чем рыночная ставка ссудного процента, дадут избыток прибыли над ссудным процентом (экономическую прибыль). Этот избыток достается предпринимателю. Получение такого избытка говорит об удачно выбранном варианте капитальных вложений. У предпринимателя в этом случае после выплаты ссудного процента банку остается прибыль для увеличения дивидендов и нераспределенная прибыль.
Процент есть цена, которую люди платят за то, чтобы получить ресурсы сейчас, вместо того, чтобы ждать до тех пор, пока они заработают деньги, на которые можно эти ресурсы купить. Можно рассматривать процент как надбавку за то, чтобы распоряжаться ресурсами в настоящее время. Владение ресурсами в настоящий момент, расширяет спектр доступных человеку возможностей. Текущее распоряжение ресурсами часто позволяет нам предпринимать действия, которые приводят с течением времени к росту наших возможностей получить доход, и в результате у нас в некоторый будущий момент времени окажется больше ресурсов, чем мы могли бы иметь в ином случае. Когда мы видим такую возможность, мы хотим занять деньги. И мы готовы, если необходимо, платить некоторую надбавку – процент – до тех пор, пока этот процент меньше того, что мы ожидаем выиграть в результате займа (то есть меньше чистой производительности капитала).
Итак, годовая ставка процента отражает большую ценность, которые люди приписывают благам, имеющимся сейчас, по сравнению с благами, ожидаемыми через год. Из этого следует, что для определения сегодняшней ценности благ, которые ожидают получить через год, необходимо дисконтировать их ценность в соответствии со ставкой процента. Процесс дисконтирования, позволяющий определить сегодняшнюю ценность будущих благ, играет важную роль в принятии экономических решений.
При процентной ставке в 4% мы можем сегодня отложить примерно 96 центов, и эта сумма возрастет до 1 доллара через год. Отсюда текущая дисконтируемая стоимость 1 доллара, выплачиваемого через год, составляет в настоящее время только 96 центов. Текущая дисконтируемая стоимость 1 доллара, выплачиваемого через 2 года, составляет лишь около 92 центов. Аналогичным образом любая таблица сложных процентов покажет, что денежная сумма при ставке 4% годовых через 20-летний период возрастет более, чем в 2 раза. А какова должна быть в таком случае в настоящее время рыночная стоимость дохода в 1 доллар, выплачиваемого через 20 лет? Его текущая дисконтированная стоимость будет составлять менее 50 центов.
В реальной экономической жизни земельной рентой называют денежную сумму, которую арендатор по договору об аренде выплачивает собственнику земли за пользование земельным участком.
Тем не менее, категории аренды и ренты отличаются друг от друга. Арендная плата – более широкое и объемное понятие. Арендная плата включает в себя и земельную ренту. Кроме земельной ренты плата за аренду земельного участка включает процент за использование находящихся на данном участке элементов основного капитала (складские помещения, ирригационные сооружения, дороги и т.п.), вычеты из средней прибыли и т.д. Земельная рента связана с ограниченностью земли и с монопольным ее владением. Ее получает земельный собственник за предоставление возможности вложить капитал в конкретный земельный участок.
Основные формы и виды земельной ренты. В зависимости от механизма и источников образования дополнительного чистого дохода в земледельческой отрасли выделяют следующие формы земельной ренты:
1. Дифференциальная земельная рента с двумя ее видами:
а) дифференциальная земельная рента I;
б) дифференциальная земельная рента II.
2. Абсолютная рента.
3. Монопольная рента.
Дифференциальная рента. Ограниченность земли ведет к возникновению монополии хозяйствования на земле. Это означает, что каждый земельный участок как объект хозяйствования монополизирован определенным субъектом предпринимательской деятельности, который не допустит приложения к этому участку другого капитала.
Ограниченность земли и связанная с нею монополия хозяйствования на земле обусловливают то, что общественная или равновесная цена на земледельческую продукцию устанавливается в соответствии с затратами на ее производство в условиях худших по качеству земельных участков. Или, иначе говоря, рыночная цена на сельскохозяйственную продукцию равняется издержкам производства на худших землях плюс средняя прибыль.
В связи с этим арендаторы лучших и средних по качеству земельных участков кроме нормальной (средней) прибыли получает дополнительную прибыль. Дополнительная прибыль образуется вследствие того, что индивидуальные издержки на единицу продукции на лучших и средних земельных участках будут ниже индивидуальных издержек на худших земельных участках. При этом оказывается, что труд на землях лучшего и среднего качества при прочих равных условиях более производительный, чем на худших землях Причем это – дополнительный доход на лучших и средних землях в условиях товарно-денежных отношений приобретает устойчивый характер, то есть имеет форму ренты.
Следовательно, дифференциальная рента – это дополнительный чистый доход, который образуется на лучших и средних землях и количественно равен разнице между общественной (равновесной) и индивидуальной ценой производства на продукцию земледелия.
Дифференциальная рента, условием образования которой являются различие в естественном плодородии земельных участков, а также их местоположение по отношению к рынкам сбыта; сельскохозяйственной продукции, относится к дифференциальной ренте I. Дело в том, что различное расстояние земельных участков от рынков сбыта произведенной продукции обусловливает неравные условия в реализации этой продукции, прежде всего, из-за разного объема транспортных расходов.
Интенсификация сельскохозяйственного производства выражается в том, что на обрабатываемых земельных участках осуществляются дополнительные вложения, связанные с приобретением и применением новых технологий, машин, удобрений средств защиты сельскохозяйственных культур от вредителей болезней, осуществлением осушения и орошения земель и т.п.
При неоднократных дополнительных вложениях капитала в один и тот же земельный участок отдача от этих вложений может быть неизменной, повышающейся или понижающейся. При повышающейся отдаче дополнительных вложений капитала происходит образование добавочной прибыли, которая приобретает форму дифференциальной ренты II.
Дифференциальная рента II представляет собой добавочную прибыль, полученную от дополнительных вложений капитала на данном участке земли в виде разности между общественной (равновесной) ценой производства сельскохозяйственной продукции и более низкой индивидуальной ценой производства на этом участке в результате осуществления дополнительных вложений впитала.
Дифференциальная рента обоих видов существует независимо от формы собственности на землю. Дело в том, что условия, причины и источники образования дифференциальной ренты ( различие в плодородии земель, разное местоположение земельных участков, дополнительные капиталовложения, монополия хозяйствования на землю и др.) сохраняются в условиях как частной, так и общественной формы собственности на землю. Изменяется лишь субъект присвоения и механизм изъятия.
Абсолютная рента. В условиях рыночных отношений кроме монополии хозяйствования на землю существует монополия частной собственности на землю. Поэтому плата за пользование землей взимается с любого участка независимо от его качества. Отсюда худшие по плодородию земли, как и земли другого качества, будут сдаваться их собственниками в аренду при условии, что они получат ренту. Это и есть абсолютная рента.
Монопольная рента. В рыночной экономике в условиях свободного ценообразования в отдельных случаях существует монопольная рента. Она образуется при установлении монопольной цены на определенные виды сельскохозяйственных продуктов, которые в силу особенностей природно-климатических условий производятся в ограниченном количестве.
В результате на рынке предлагается ограниченный объем такой продукции, спрос на которую многократно превышает предложение. Цена в таком случае поднимается выше стоимости товара.
Монопольная рента – это разница между монопольной рыночной ценой на данный сельскохозяйственный продукт и ее стоимостью.
Земля как фактор производства в рыночной экономике имеет товарный характер. Наряду с другими факторными рынками в условиях рыночных отношений функционирует рынок земли. Земля является объектом купли-продажи. Цена на землю определяется спросом и предложением. Но до появления на факторном рынке земля имеет исходную «стартовую» цену.
Исходная цена земли определяется двумя факторами:
а) размером земельной ренты;
б) уровнем ссудного процента.
При прочих равных условиях цена земли прямо пропорциональна сумме получаемой ренты и обратно пропорциональна уровню ссудного процента.
Эту зависимость можно выразить формулой:
,
где:
Р – цена земельного участка;
SR – сумма земельной ренты с данного участка;
r – уровень ссудного процента.
По существу, исходная цена земли представляет капитализированную земельную ренту.
В условиях рыночной экономики земельная рента и наличие рынка земли оказывают существенное влияние на уровень цен на продукцию сельского хозяйства и продовольствие.
В отличие от других видов доходов на факторы производства (заработной платы, прибыли и ссудного процента), доход на природные ресурсы в виде ренты имеет устойчивый характер. Дело в том, что предложение земли и других природных ресурсов в долгосрочном периоде фиксировано.
Следует отметить, что увеличение или уменьшение ренты не оказывает никакого влияния на предложение природных ресурсов, особенно земли, потому что площадь земельных угодий не расширяется. В то же время повышение или снижение спроса на землю приводит к значительным колебаниям размера ренты.
Рента лежит в основе формирования цены как на землю, так и на и другие природные ресурсы. В добывающих отраслях так же, как и на землях сельскохозяйственного назначения, образуется рента.
Заключение
Правило выбора факторов производства, позволяющее минимизировать издержки производства, заключается в том, что для минимизации затрат необходимо достижение равенства в соотношении предельных физических продуктов (предельных доходностей) с ценами (предельными издержками ресурсов) по всему перечню использования ресурсов.
Однако для максимизации прибыли предприятие должно добиться не только равенства соотношений по разным видам ресурсов, но и того, чтобы эти соотношения, эквивалентные между собой, были равны единице. В нашем
Спрос на труд, как и на всякий ресурс, является производным, то есть зависит от спроса на продукцию, которая производится с помощью данного вида труда. В свою очередь, фирма, определяя количество работников, которое необходимо нанять, должна учитывать «цену труда» (то есть заработную плату). А цена труда зависит от его предельной производительности, т.е. того приращения объёма выпускаемой продукции, которое вызвано использованием дополнительной единицы труда (нового работника), при условии, что другие факторы производства останутся неизменными
Процент есть цена, которую люди платят за то, чтобы получить ресурсы сейчас, вместо того, чтобы ждать до тех пор, пока они заработают деньги, на которые можно эти ресурсы купить . Для определения сегодняшней ценности благ, которые ожидают получить через год, необходимо дисконтировать их ценность в соответствии со ставкой процента. Процесс дисконтирования, позволяющий определить сегодняшнюю ценность будущих благ, играет важную роль в принятии экономических решений.
Арендная плата включает в себя и земельную ренту. Кроме земельной ренты плата за аренду земельного участка включает процент за использование находящихся на данном участке элементов основного капитала (складские помещения, ирригационные сооружения, дороги и т.п.), вычеты из средней прибыли и т.д. Земельная рента связана с ограниченностью земли и с монопольным ее владением. Ее получает земельный собственник за предоставление возможности вложить капитал в конкретный земельный участок.
Исходная цена земли определяется двумя факторами:
а) размером земельной ренты;
б) уровнем ссудного процента.
Список используемой литературы
Экономическая теория. Учебное пособие. Медведев И.П. Белгород: НИиРИО БЮИ МВД РФ,1998.
Экономическая теория: учеб. для студ. высш. учеб. заведений. / Под ред. В.Д. Камаева. - 6-е изд. - М., ВЛАДОС, 2001.
Экономика. Учебник. /Под ред. Булатова А.С. М.: БЕК, 2001.
Лексин В., Швецов А. Социальные обязательства государства, социальная политика и социальные реформы. // РЭЖ, 2003, № 1.
Власов В. Профсоюзы и проблемы занятости. // Человек и труд, 2005, № 2.
Власов В. Защита занятости при несостоятельности предприятия. // Человек и труд, 2005, № 3.
Нравится материал? Поддержи автора!
Ещё документы из категории экономика:
Чтобы скачать документ, порекомендуйте, пожалуйста, его своим друзьям в любой соц. сети.
После чего кнопка «СКАЧАТЬ» станет доступной!
Кнопочки находятся чуть ниже. Спасибо!
Кнопки:
Скачать документ