Калькуляция себестоимости















Введение.
Любое предприятие в процессе своей деятельности совершает затраты на производство и реализацию продукции, на простое и расширенное воспроизводство основных фондов и оборотных средств, на социальное развитие трудового коллектива и др.
Наибольший удельный вес во всех расходах предприятий занимают затраты на производство продукции. Совокупность производственных затрат показывает, во что обходится предприятию изготовление выпускаемой продукции, т.е. составляет производственную себестоимость продукции. Предприятия производят также затраты по реализации (сбыту) продукции, т.е. осуществляют внепроизводственные, или коммерческие расходы (на транспортировку, упаковку, хранение, рекламу и др.).
В связи с этим в данной работе мы рассмотрим такую важную категорию как себестоимость и один из способов ее определения - составление калькуляции. Конечной целью калькулирования является формирование полной себестоимости единицы продукции. Ведь от уровня себестоимости зависит деятельность предприятия в условиях рыночной экономики: величина прибыльности и рентабельности, эффективность его хозяйственной деятельности.
Объект работы - предприятие, производящее продукцию или оказывающее какие-либо услуги. Предметом работы является калькуляция себестоимости. Целью работы является рассмотрение методов, принципов составления калькуляции себестоимости, а также роль калькуляции в управлении производством. Ведь правильно составленная калькуляция себестоимости позволяет обеспечить:
Своевременное и полное отражение всех затрат, связанных непосредственно с производством продукции, выполнением работ или оказанием услуг, а также отражение внепроизводственных затрат;
Контроль за правильным использованием материальных, трудовых, финансовых и иных ресурсов предприятия, за соблюдением установленных норм расхода материалов и производительности труда;
Выявление мест возникновения затрат и пути их сокращения.
Во второй части работы представлен пример составления калькуляции себестоимости единицы продукции на практике отдельного предприятия.
Себестоимость продукции: её состав и виды.
Одной из важнейших задач управления является калькулирование себестоимости продукции. Себестоимость продукции – это выраженные в денежной форме затраты на ее производство и реализацию. Себестоимость продукции (работ, услуг) предприятия складывается из затрат, связанных с использованием в процессе производства продукции (работ, услуг) природных ресурсов, сырья, материалов, топлива, энергии, основных фондов, трудовых ресурсов, а также других затрат на ее производство и реализацию.
Себестоимость продукции является качественным показателем, концентрированно отражаются результаты хозяйственной деятельности организации. Ее достижения и имеющиеся резервы. Чем ниже себестоимость продукции, тем больше экономится труд, лучше используются основные фонды, материалы, топливо, тем дешевле производство продукции обходится
как предприятию, так и всему обществу.
В себестоимость продукции, в частности включаются:
1) затраты труда, средств и предметов труда на производство продукции на предприятии. К ним относятся: затраты на подготовку и освоение производства; затраты, непосредственно связанные с производством продукции (работ, услуг), обусловленные технологией и организацией производства, включая расходы по контролю производственных процессов и качества выпускаемой продукции; расходы, связанные с изобретательством и рационализацией; расходы по обслуживанию производственного процесса, обеспечению нормальных условий труда и техники безопасности; расходы, связанные с набором рабочей силы, подготовкой и переподготовкой кадров; отчисления на государственное социальное и обязательное медицинское страхование; расходы по управлению производством и другое;
2) расходы, связанные со сбытом продукции: упаковкой, хранением, погрузкой и транспортировкой (кроме тех случаев, когда они возмещаются покупателем сверх цены на продукцию); оплатой услуг транспортно-экспедиционных и посреднических организаций, комиссионными сборами и вознаграждениями, уплачиваемыми сбытовым и внешнеторговым организациям; расходы на рекламу, включая участие в выставках, ярмарках и другое;
3) расходы, непосредственно не связанные с производством и реализацией продукции на данном предприятии, но их возмещение путем включения в себестоимость продукции отдельных предприятий необходимо в интересах обеспечения простого воспроизводства (отчисления на покрытие затрат по геолого-разведочным и геолого-поисковым работам, на рекультивацию земель; плата за древесину, отпускаемую на корню, а также плата за воду).
Кроме того, в себестоимости продукции (работ, услуг) отражаются также потери от брака, от простоев по внутрипроизводственным причинам, недостачи материальных ценностей в производстве и на складах в пределах норм естественной убыли, выплата пособий в результате потери трудоспособности из-за производственных травм (на основании судебных решений).
Существует два способа определения себестоимости. В первом случае составляется смета затрат на производство, в которой затраты группируются по элементам, во втором случае затраты группируются по статьям, на основании этой группировки составляется калькуляция, здесь затраты группируются в зависимости от места возникновения и направления использования. Для самого предприятия важна достоверная информация о структуре себестоимости - предприятие получает возможность влиять на нее, т.е. управлять своими издержками.
В зависимости от того, какие затраты включались в себестоимость продукции, в экономической литературе выделяют ее виды:
1 цеховая – включает прямые затраты и общепроизводственные расходы; характеризует затраты цеха на изготовление продукции;
2 производственная – состоит из цеховой себестоимости и общехозяйственных расходов; свидетельствовала о затратах предприятия, связанных с выпуском продукции;
3 полная себестоимость – производственная себестоимость, увеличенная на сумму сбытовых расходов. Этот показатель интегрировал общие затраты предприятия, связанные как с производством, так и с реализацией продукции.
Процесс формирования полной себестоимости:
Прямые затраты
Общепроизводст-венные расходы
Цеховая себестоимость
Общехозяйствен-ные расходы
Производственная себестоимость
Сбытовые расходы
Полная себестоимость
Кроме того, различают индивидуальную и среднеотраслевую себестоимость. Индивидуальная себестоимость свидетельствует о затратах конкретного предприятия по выпуску продукции; среднеотраслевая – характеризует средние по отрасли затраты на производство данного изделия.
Наконец, существуют плановая и фактическая себестоимость. В расчеты плановой себестоимости включаются максимально допустимые затраты предприятия на изготовление продукции, предусмотренные планом
на предстоящий период. Фактическая себестоимость характеризует размер действительно затраченных средств на выпущенную продукцию.
Калькуляция себестоимости: понятие, виды, принципы и роль в управлении производством.
Понятие калькуляции и калькулирования. Виды калькуляции.
В русском языке слово «калькуляция» (лат. Calculatio - вычисление) появилось во второй половине XIXв. и означает исчисление себестоимости.
Зарождение калькуляции непосредственно связано с развитием производительных сил общества. В условиях рабовладельческого строя, формирующиеся товарно-денежные и кредитные отношения велись по схеме– « приход-расход ».
Позже, когда в Италии начали образовываться купеческие товарищества и прибыль должна была распределяться между отдельными купцами пропорционально вложенному капиталу, возникла двойная запись.
Появление калькуляции связано с зарождением мануфактурного производства. Формирование производительных сил общества, самого способа производства совершенствовали приемы и методы калькулирования. Наиболее стремительное развитие калькулирование как инструмент оценки рентабельности товаров, как способ преодоления конкуренции получило в условиях промышленного производства.
В современной литературе калькулирование определяется как система экономических расчетов себестоимости единицы отдельных видов продукции (работ, услуг). В процессе калькулирования соизмеряются затраты на производство с количеством выпущенной продукции и определяется себестоимость единицы продукции. Конечным результатом калькулирования является составление калькуляций.
Задача калькулирования – определить издержки, которые приходятся на единицу их носителя, т.е. на единицу продукции (работ, услуг), предназначенной для реализации, а также для внутреннего потребления.
В зависимости от целей калькулирования различают плановую, сметную и фактическую калькуляции. Все они отражают расходы на производство и реализацию единицы конкретного вида продукции в разрезе калькуляционных статей.
Плановая калькуляция составляется на плановый период на основе действующих на начало этого периода норм и смет.
Сметная калькуляция рассчитывается при проектировании новых производств и конструировании вновь осваиваемых изделий при отсутствии норм расхода.
Фактическая (отчетная) калькуляция отражает совокупность всех затрат на производство и реализацию продукции. Она используется для контроля за выполнением плановых заданий по снижению себестоимости различных видов продукции, а также для анализа и динамики себестоимости.
Калькулирование позволяет изучить себестоимость полученных в процессе производства конкретных продуктов.
Роль калькулирования себестоимости продукции в управлении производством.
Предпосылкой калькулирования является учет производственных издержек (производственный учет). Он первичен по отношения к калькулированию.
Производственный учет предполагает сбор информации об издержках предприятия, документальное оформление хозяйственных операций, так или иначе связанных с производственными затратами. В системе производственного учета такая информация обобщается, группируется по различным признакам и анализируется. Лишь на базе информации, подготовленной определенным образом в системе производственного учета, возможно калькулирование. Другими словами, речь идет о калькуляционном учете, обеспечивающем группировку издержек в таком аналитическом аспекте, который делает возможным процесс калькулирования.
Между калькулированием и производственным учетом существует тесная взаимосвязь и взаимозависимость. Так, базой для расчета себестоимости единицы продукции является информация, собранная в системе производственного учета. Калькулирование себестоимости конечного продукта предопределяется системой и организацией производственного учета. С другой стороны, степень детализации производственного учета зависит от задач, стоящих перед предприятием в области калькулирования.
Калькулирование себестоимости продукции (работ, услуг) условно можно подразделить на три этапа. На первом этапе исчисляется себестоимость всей выпущенной продукции в целом, на втором – фактическая себестоимость по каждому виду продукции, на третьем – себестоимость единицы продукции, выпущенной работы или оказанной услуги.
В действительности процесс калькулирования является более сложным и чередуется с процессом учета затрат. После распределения первичных затрат калькулируется себестоимость продукции вспомогательных производств. На этом этапе калькулирование усложняется, так как необходимо учесть предоставление взаимных услуг.
Калькулирование себестоимости продукции является объективно необходимым процессом при управлении производством.
Функционировавшие ранее калькуляционные системы преследовали одну цель - оценить запасы готовой продукции и полуфабрикатов собственного производства. Что необходимо для внутрипроизводственных целей и для составления внешней отчетности, а также для определения прибыли. Несмотря на важность этой задачи, прежние системы калькулирования не содержали информации, пригодной для решения многих управленческих задач.
Современные системы калькулирования более сбалансированы. Содержащаяся в них информация позволяет не только решать традиционные задачи, но и прогнозировать экономические последствия таких ситуаций, как:
целесообразность дальнейшего выпуска продукции;
установление оптимальной цены на продукцию;
оптимизация ассортимента выпускаемой продукции;
целесообразность обновления действующей технологии и станочного парка;
оценка качества работы управленческого персонала.
Современное калькулирование лежит в основе оценки выполнения принятого предприятием или центром ответственности плана. Оно необходимо для анализа причин отклонений от плановых заданий по себестоимости. Данные фактических калькуляций используются для последующего планирования себестоимости, для обоснования экономической эффективности внедрения новой техники, выбора современных технологических процессов, проведения мероприятий по повышению качества продукции, проверки проектов строительства реконструкции предприятий. По результатам калькулирования можно принять решение о проведении ремонта самостоятельно или с использованием услуг сторонних организаций.
Наконец, калькулирование является основой трансфертного ценообразования. Трансфертная (внутренняя) цена применяется при коммерческих операциях между подразделениями одного и того же предприятия. Наибольшую актуальность вопросы формирования трансфертных цен имеют при наличии права у подразделения предприятия самостоятельно выходить на внешних покупателей. В этом случае от правильного формирования трансфертной цены будет зависеть общее финансовое положение организации. Если же продукция подразделения полностью потребляется внутри предприятия, то трансфертная цена является лишь учетной категорией, необходимой для обеспечения хозяйственных связей между внутренними подразделениями предприятия, но при этом она не влияет на конечные результаты организации.
Таким образом, производственный учет и калькулирование являются основными элементами системы управления не только себестоимостью продукции, но и производством в целом.
Принципы калькулирования и его объект.
Калькулирование на любом предприятии, независимо от его вида деятельности, размера и формы собственности, организуется в соответствии с определенными принципами:
Научно обоснованная классификация затрат на производство. Для отдельных отраслей промышленности, а также ряда отраслей сферы материального производства с учетом их особенностей разработаны и утверждены специальные отраслевые рекомендации по планированию и учету себестоимости.
Установление объектов учета затрат, объектов калькулирования и калькуляционных единиц. Во многих случаях объекты учета затрат и объекты учета калькулирования не совпадают. Объектами учета затрат являются места их возникновения, виды или группы однородных продуктов. Местом возникновения затрат в управленческом учете называют структурные единицы и подразделения предприятия, в которых происходит первоначальное потребление производственных ресурсов (рабочие места, бригады, цехи и т.п.).
Под объектом калькулирования (носителем затрат) понимают виды продукции (работ, услуг) предприятия, предназначенные для реализации на рынке.
В добывающих отраслях промышленности при отсутствии незавершенного производства (например, в энергетической, газовой, нефтяной и т.д.) объект учета затрат совпадает с объектом калькулирования (носителем затрат). То же наблюдается на предприятиях с индивидуальным характером производства (например, предприятия тяжелого машиностроения), а также в организациях, работающих по системе заказов(предприятия бытового обслуживания, ремонтные мастерские, аудиторские фирмы и т.д.). В тех производствах, где технологический процесс делится на ряд стадий (переделов), такого соответствия не наблюдается. Например, в текстильной отрасли объектами учета затрат становятся отдельные переделы – прядение, ткачество, отделка, а объектом калькулирования – готовая продукция, т.е. ткань. Другими словами, выбор объекта учета затрат зависит от технологических особенностей производства, специфики производимой продукции.
Выбор калькуляционной единицы зависит от особенностей производства и выпускаемой продукции (оказываемых услуг, выполняемых работ). Могут использоваться натуральные единицы (штуки, тонны, метры и т.д.); условно-натуральные единицы (например, в обувной промышленности – 100 пар обуви определенного типа, в литейном производстве – тонна литья определенного вида, в консервной промышленности – условные банки); единицы времени (часы, машино-часы, человеко-дни); единицы работы – одна тонна перевезенного груза. Из этого множества калькуляционных единиц для калькулирования используется один измеритель, который рассматривается как основной. Условно-натуральные единицы могут применяться при калькулировании промежуточных продуктов
3. Выбор метода распределения косвенных расходов чрезвычайно важен для правильного расчета себестоимости единицы продукции (работ, услуг). Он производится предприятием самостоятельно, записывается в учетной политике и является неизменным в течение всего финансового года.
4. Разграничение затрат по периодам. При этом необходимо руководствоваться принципом начисления. Его сущность состоит в том, что операции отражаются в бухгалтерском учете в момент их совершения и не увязываются с денежными потоками. Доходы и расходы, полученные (понесенные) в отчетном периоде, считаются доходами и расходами этого периода независимо от фактического времени поступления (или выплаты) денежных средств. Доходы и расходы, не относящиеся к отчетному периоду, не относящиеся к отчетному периоду, не признаются доходами (расходами) поступили или перечислены в данном периоде.
5. Раздельный учет по текущим затратам на производство и по капитальным вложениям.
6. Выбор метода учета затрат и калькулирования.
Методы калькулирования.
Под методом учета затрат на производство продукции понимают совокупность приемов документирования и отражения производственных затрат, обеспечивающих определение фактической себестоимости продукции, а также отнесения издержек на единицу продукции. Иными словами, это совокупность способов аналитического учета затрат на производство по калькуляционным объектам и приемов исчисления калькуляционных единиц. Существуют различные методы учета затрат и калькулирования. Их применение определяется особенностями производственного процесса, характером производимой продукции (оказываемых услуг), ее составом, способом обработки.
Выделяются попроцессный, попередельный и позаказный методы.
Попроцессный метод.
Попроцессный метод калькулирования применяется в добывающих отраслях промышленности (угольной, горнорудной, газовой, нефтяной, лесозаготовительной и др.) и в энергетике. Кроме того, он может использоваться в перерабатывающих отраслях с простейшим технологическим циклом производства (например, в цементной промышленности, на предприятиях по производству асфальта и др.)
Все вышеперечисленное характеризуется массовым типом производства, непродолжительным производственным циклом, ограниченной номенклатурой выпускаемой продукции (оказываемых услуг), единой единицей измерения и калькулирования, полным отсутствием либо незначительными размерами незавершенного производства. В итоге выпускаемая продукция (оказываемая услуга) является одновременно и объектом учета затрат, и объектом калькулирования.
Несмотря на общие черты массового производства, каждая из добывающих отраслей промышленности имеет свои особенности, от которых зависят не только организация и технология производства, но и возможности учета и контроля за затратами.
Так, особенностями процессов добычи угля является подземный характер ведения, постоянное перемещение рабочих мест, что усложняет контроль за издержками производства. Для обеспечения необходимого объема добычи угля каждая шахта должна иметь оптимальную протяженность выработок. Ее малый размер может привести к отсутствию заделов для работы, повлечь к простоям шахты и уменьшению объемов добычи угля. Следствием же необоснованно завышенной протяженности будут излишние затраты на поддержание их в рабочем состоянии до начала угледобычи.
Разработка горных выработок требует дополнительных затрат, которые также необходимо учесть и отнести на себестоимость добытого угля.
Отдельной статьей затрат в угледобыче является организация работы участков вентиляции, обеспечивающих подачу свежего воздуха в выработки и вывод из них отработанного воздуха. Кроме того, необходимы затраты на организацию работы транспорта, погрузочно-разгрузочных работ, на осушение и поддержание выработок в необходимом состоянии.
Следствием всех этих особенностей является то, что в структуре себестоимости угля преобладает заработная плата основных производственных рабочих с соответствующими начислениями на нее, т.е. эта отрасль промышленности считается наиболее трудоемкой.
В производствах, подобных угольной промышленности, где а) производится один вид продукции; б) не возникают запасы полуфабрикатов; в) не образуются запасы готовой продукции (или присутствуют ограниченных количествах),- может применяться метод простого калькулирования.
Если запасов готовой продукции у предприятия нет (энергетические, транспортные организации), используется метод простого одноступенчатого калькулирования. Себестоимость единицы продукции определяется делением суммарных издержек за отчетный период на количество произведенной за этот период продукции и рассчитывается по формуле:
где С - себестоимость единицы продукции, руб.
З - совокупные затраты за отчетный период, руб.
Х- количество произведенной за отчетный период продукции в натуральном выражении (штуки, тонны, метры и т.д.).
Метод простого одноступенчатого калькулирования может применяться не только в отраслях материального производства, но и в непроизводственной сфере, при оказании услуг. Например, отделения Сбербанка, используя данный метод, рассчитывают себестоимость одной банковской услуги. Для этого общая сумма расходов, включаемых в себестоимость оказываемых банками услуг, делится на их количество.
В реальности производств, отвечающих всем трем вышеприведенным
требованиям, немного. Так, в угольной промышленности, производящей один
вид продукции и не имеющей запасов полуфабрикатов собственного производства, существует некоторое количество продукции, произведенной, но
не реализованной покупателю и хранящейся на складе предприятия. Разница между количеством изготовленной и количеством реализованной продукции существует на предприятиях, производящих продукцию, способную
долго храниться.
В результате из трех вышеназванных условий соблюдаются два первых.
На таких предприятиях применяется метод простого двухступенчатого
калькулирования. Расчет себестоимости единицы продукции ведется в три
этапа:
рассчитывается производственная себестоимость всей произведенной продукции, затем делением всех производственных затрат на количество изготовленных изделий определяется производственная себестоимость
единицы продукции;сумма управленческих и коммерческих расходов делится на количество проданной за отчетный период продукции;
3) суммируются показатели, рассчитанные на первых двух этапах.
Себестоимость продукции методом простого двухступенчатого кальку-
лирования рассчитывается по следующей формуле:
где С — полная себестоимость единицы продукции, руб.;
З— совокупные производственные затраты отчетного периода, руб.;
З— управленческие и коммерческие расходы отчетного периода, руб.;
Х — количество единиц продукции, произведенной в данном отчетном
периоде;
Х- количество единиц продукции, реализованной в отчетном
периоде;
Из описания последовательности расчетов себестоимости по методу простого
двухступенчатого калькулирования видно, что его практическое использование предполагает наличие на предприятии простейшей системы учета затрат, по местам их возникновения. Это позволяет выделить издержки производственной сферы и административно-сбытовые издержки.
Метод простого двухступенчатого калькулирования позволяет:
• оценить запасы и готовую продукцию по производственной себестоимости;
• отнести расходы по управлению и сбыту в полном объеме на количество проданной продукции.
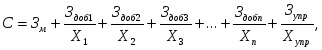
Если производственный процесс состоит из нескольких стадий (переделов), на выходе из которых находится промежуточный склад полуфабрикатов, и от передела к переделу запасы полуфабрикатов меняются, то используются методом простого многоступенчатого калькулирования. В условиях такой организации производства нельзя воспользоваться вышеприведенной формулой расчета себестоимости продукции, так как количество полуфабрикатов каждого передела не совпадает с количеством готовых продуктов. В этом случае необходимо организовать учет издержек и количества изготовленных полуфабрикатов по каждому переделу. Расчет себестоимости единицы продукции ведется по следующей формуле:
где С — полная себестоимость единицы продукции, руб.;
Зпр1,Зпр2,...,Зпр n. - совокупные производственные издержки каждого
передела, руб.;
З упр—управленческие и коммерческие расходы отчетного периода, руб.;
Х1,Х2,...,Хп—количество полуфабрикатов, изготовленных в отчетном периоде каждым переделом, шт.;
Хупр - количество проданных единиц продукции в отчетном периоде, шт.
Для повышения аналитичности расчетов затраты сырья и материалов в расчете на единицу продукции целесообразно учитывать отдельно, а в рамках переделов — лишь добавленные затраты (заработную плату плюс общепроизводственные расходы) каждого из них. Такая разновидность простого калькулирования называется калькулированием издержек по стадиям обработки.
Вышеприведенная формула в этом случае примет следующий вид:
где С — полная себестоимость;
Зм — затраты сырья и материалов в расчете на единицу продукции, руб.;
Здоб1,Здоб2,…,Здобn— добавленные затраты каждого передела, руб.;
Зупр— управленческо-коммерческие расходы отчетного периода, руб.;
Х1,Х2,…,Хn количество полуфабрикатов, реализованных в отчетном периоде каждым переделом, шт.;
Хупр — количество проданных единиц продукции в отчетном периоде, шт.
Часто попроцессный метод рассматривается как упрощенная разновидность попередельного калькулирования. Иногда термин «попроцессное калькулирование» используют как синоним попередельного метода учета. Действительно, между ними — весьма условная грань.
Попередельный метод
Попередельное калькулирование используется в отраслях промышленности с серийным и поточным производствам, когда изделия проходят в определенной последовательности через все этапы производства, называемые переделами. Как правило, это производства, где применяются физико-химические и химические методы переработки сырья и процесс получения продуктов состоит из нескольких последовательных технологических стадий. В этих случаях объектом калькулирования становится продукт каждого законченного передела, включая и такие переделы, в которых одновременно получают несколько продуктов.
Сущность попередельного метода состоит в том, что прямые затраты отражают в текущем учете не по видам продукции, а по переделам (стадиям) производства, даже если в одном переделе можно получить продукцию разных видов. Следовательно, объектом учета затрат обычно является передел.
Передел — это часть технологического процесса (совокупность технологических операций), заканчивающаяся получением готового полуфабриката, который может быть отправлен в следующий передел или реализован на сторону. В результате последовательного прохождения исходного материал через все переделы получают готовую продукцию, т.е. на выходе из последнего передела имеем не полуфабрикат, а законченный продукт. Например, текстильное производство состоит из ряда переделов. Исходным сырьем для ткацкого производства является хлопок-волокно, грязная и мытая шерсть, шелк-сырец и другие материалы. Они поступают в I передел — прядение. Готовой продукцией этого передела является пряжа. Она передается в следующий передел — ткачество, на выходе из которого получают суровье (суровую ткань). Суровье поступает в III передел (отделку), где на ткань наносят нужный рисунок. Технологическая схема ткацкого производства:
ПРЯДЕНИЕ → ТКАЧЕСТВО→ ОТДЕЛКА
В черной металлургии переделы — это выплавка чугуна (доменный цех),выплавка стали (сталеплавильный цех), производство проката (прокатный цех).
Попередельное калькулирование применяется в отраслях промышленности с комплексным использованием сырья, где производственный процесс характеризуется наличием отдельных стадий технологического цикла с самостоятельной технологией и организацией производства, например в химической, нефтеперерабатывающей, цементной, металлургической, целлюлозно-бумажной, хлопчатобумажной и других отраслях. Поскольку перечисленные производства весьма материалоемки, производственный учет организуется таким образом, чтобы обеспечить контроль за использованием материалов в производстве. Наиболее часто применяются балансы исходного сырья, расчет выхода продукта или полуфабриката, брака, отходов. К этому методу учета затрат прибегают предприятия, изготавливающие различные изделия, если весь технологический процесс может быть разбит на постоянно повторяющиеся операции.
В условиях массового характера производства, когда номенклатура выпускаемой продукции невелика, также применяется попередельный метод учета. Особенностями производства массового типа являются:
-постоянство выпуска небольшой номенклатуры изделий в больших количествах;
-специализация рабочих мест на выполнении, как правило, одной постоянно закрепленной операции;
-значительное повышение удельного веса механизированных и автоматизированных процессов и резкое снижение ручных работ. Одной из разновидностей организации массового производства является поточное производство, при котором обеспечивается строго согласованное выполнение всех операций технологического процесса во времени и перемещение предметов труда по рабочим местам в соответствии с установленным ритмом выпуска продукции.
Примерами поточных производственных линий являются автомобильные конвейеры, конвейеры на часовых, телевизионных заводах и т.п.
В условиях массового производства однородной продукции, как отмечалось выше, возможно практическое использование методов простой калькуляции.
Преимуществам попередельного метода учета является наличие бухгалтерской информации о себестоимости полуфабрикатов на выходе из каждого передела (она необходима для формирования цены при реализации фабриката на сторону). Кроме того, этот метод позволяет учитывать остатки незавершенного производства в местах его нахождения, контролировать движение полуфабрикатов собственного производства.
Позаказный метод.
Позаказный метод учета себестоимости используется при изготовлении уникального либо выполняемого по специальному заказу изделия. В промышленности он применяется, как правило, на предприятиях с едичным типом организации производства. Такие предприятия организуются для изготовления изделий ограниченного потребления. Наиболее типичны заводы тяжелого машиностроения, создающие блюминги, прокатные станы, экскаваторы больших мощностей, а также военно-промышленного комплекса, где преобладают механические процессы обработки и производится неповторяющаяся или редко повторяющаяся продукция.
Выпуск крупного заказа требует серьезных материальных, трудовых и иных затрат, но им, как правило, нельзя полностью загрузить производственные мощности предприятия. Поэтому оно одновременно может выполнять другие заказы, изготавливать десятки различных по конструкции изделий, но каждое — в весьма ограниченном количестве.
Важнейшими отличительными особенностями единичного типа производства являются:
- большое разнообразие изготавливаемой продукции, значительная часть которой не повторяется и выпускается в небольших количествах по отдельным заказам;
-технологическая специализация рабочих мест и невозможность постоянного закрепления определенных операций и деталей за рабочими местами;
- применение, как правило, универсального оборудования и приспособлений;
-относительно большой удельный вес ручных сборочных и доводочных операций;
-преобладание среди рабочих универсалов высокой квалификации.
Позаказный метод учета себестоимости применяется в производствах,
выпускающих опытные образцы продукции, а также во вспомогательных
производствах — при изготовлении специальных инструментов, проведении ремонтных работ.
Сферой применения позаказного метода учета являются также мелкосерийные промышленные предприятия. Серия — это некоторое количество одинаковых по конструкции изделий, запускаемых в производство одновременно или последовательно. Мелкосерийные производства организуются для выпуска продукции, требующейся потребителю в незначительных количествах. Поэтому мелкосерийные предприятия загружают относительно большой и довольно разнообразной номенклатурой изделий. В качестве примера можно привести судо- и авиастроение, а также полиграфические, предприятия, выпускающие продукцию сериями, количество которой определяется заказанным тиражом.
Позаказный метод применяется и на предприятиях с физико-химическими процессами при выпуске отдельных видов продукции в ограниченном
количестве (например, на предприятиях химической промышленности при
выполнении заказов на химические реактивы, предприятиях сборного железобетона при выполнении отдельных заказов на оригинальные изделия из
железобетона и др.).
Область применения позаказного метода учета не ограничивается
промышленным производством. Он успешно используется в строительстве
(проект нуждается в привязке к конкретной местности), научно-исследовательских институтах, учреждениях здравоохранения (калькулируется себестоимость операции каждого больного в зависимости от ее сложности и поставленного диагноза).
Последние годы ознаменовались развитием сферы услуг. При изготовлении мебели, ковров, пошиве одежды по индивидуальным заказам, ремонте автомобилей, часов, телевизоров и оказании прочих услуг мастерские, химчистки, ателье также используют позаказное калькулирование.
Сущность данного метода заключается в следующем: все прямые затраты (затраты основных материалов и заработная плата основных производственных рабочих с начислениями на нее) учитываются в разрезе установленных статей калькуляции по отдельным производственным заказам. Остальные затраты учитываются по местам их возникновения и включаются в себестоимость отдельных заказов в соответствии с установленной базой (ставкой) распределения.
Объектом учета затрат и объектом калькулирования при этом методе является отдельный производственный заказ. При этом под заказом понимается заявка клиента на определенное количество специально созданных или изготовленных для него изделий. Вид заказа определяется договором с заказчиком. В нем же оговаривается стоимость, оплачиваемая заказчиком, порядок расчетов, передачи продукции (работ, услуг), срок выполнения заказа. До момента выполнения заказа все относящиеся к нему затраты считаются незавершенным производством. Другими словами, при этом методе затраты на производственные материалы, оплату труда производственных рабочих и общезаводские накладные расходы относят на каждый индивидуальный заказ или же на произведенную партию продукции. Если заказ представлен единичным изделием, то его себестоимость рассчитывается путем суммирования всех затрат. Если заказом предусмотрено производство нескольких изделий или их партии, то путем суммирования затрат получают себестоимость изготовления всей партии. Для определения себестоимости одного изделия общие производственные затраты делят на количество единиц продукции в партии.
Для учета затрат по заказам для каждого заказа открывают ведомость (карточка). По мере прохождения заказа в ведомости накапливается информация о затратах по прямым материалам, прямым трудозатратам и общезаводским расходам, связанным с его изготовлением. Таким образом, карточка заказа является основным учетным регистром в условиях позаказного метода калькулирования.
Статьи калькуляции. Типовая структура калькуляции включает определенный состав затрат, представленных в следующей таблице.
Статьи
1.Сырье и материалы
2.Покупные комплектующие изделия и полуфабрикаты.
3Топливо для технологических целей.
4.Энергия для технологических целей.
5. Основная заработная плата производственных рабочих.
6. Дополнительная
заработная плата производственных рабочих
7. Начисления на заработную плату
8.Расходы по содержанию и эксплуатации оборудования.
9.Расходы по освоению новых видов продукции.
10.Цеховые расходы.
11.Цеховая
себестоимость.
12.Общехозяйственные
расходы.
13.Производственная
себестоимость
14.Коммерческие расходы.
15.Полная себестоимость
Содержание статьи.
Затраты на материалы и их транспортировку, определяются исходя из норм их расхода.
Затраты на покупные комплектующие изделия и полуфабрикаты и их транспортировку.
Затраты на топливо, расходуемое непосредственно для технологических нужд.
Затраты на энергию, расходуемую непосредственно для технологических нужд.
Рассчитывается в соответствии с отработанным временем. (При использовании тарифной системы оплаты труда заработная плата рассчитывается путем умножения тарифной ставки на количество отработанных часов)
Выплаты за дополнительно отработанное время.
Единый социальный налог 35,6% (28%-пенсионный фонд, 3,6%-фонд социального страхования, 4%- фонд обязательного медицинского страхования).
Комплексные затраты по амортизации, содержанию оборудования (комплектующие материалы, запасные части, текущий ремонт), внутризаводскому перемещению грузов, износу инструментов.
Комплексные затраты на проектирование, конструирование изделий, проектирование инструмента.
Затраты на управление и обслуживание производства в данном цехе.
Сумма строк 1-10.
Затраты, которые связаны с управлением и обслуживанием производства в целом по предприятию.
Сумма строк 11-12.
Расходы, не связанные с производством, но способствующие технико-экономической деятельности (затраты на тару, упаковку готовой продукции, доставку продукции потребителю).
Сумма строк 13-14
Структура цеховых расходов может быть различна в зависимости от типа предприятия. Примерная номенклатура затрат по цеховым расходам:
Оплата труда административно-управленческих работников и ЕСН.
Содержание зданий и сооружений (стоимость водоснабжения, отопления, канализации, оплата услуг связи, уборка помещений)
Текущий ремонт зданий, сооружений и
инвентаря цехового назначения.Амортизация зданий, сооружений и инвентаря
цехового назначения.Испытания, опыты и исследования (стоимость затрат на лабораторное и иное оборудование, оплата исследователей и испытателей, ЕСН).
Охрана труда (затраты на обеспечение техники безопасности)
Возмещение износа и ремонт малоценного и
быстроизнашивающегося инвентаря.Прочие затраты, связанные с управлением и обслуживанием производства в цехе.
Общехозяйственные расходы включают в себя:
Заработная плата аппарата управления и ЕСН.
Оплата командировок и служебных поездок, содержание военизированной и пожарной охраны.
Переподготовка кадров.
Расходы на сигнализацию.
Содержание зданий, сооружений и инвентаря общезаводского назначения.
Амортизация зданий, сооружений и инвентаря общезаводского назначения.
Текущий ремонт зданий, сооружений и инвентаря общезаводского назначения
Расчет калькуляции себестоимости единицы продукции.
Мебельная мастерская производит кухонные гарнитуры. Хозяин сети мебельных магазинов подал заказ в мастерскую на изготовление 240 кухонных гарнитуров. Составим калькуляцию себестоимости на один кухонный гарнитур при следующих условиях:
1. Норма расхода материалов:
- деревянные плиты – 24,2
цена за 1- 74 руб.
затраты на деревянные плиты составят 24,2*74=1790,8 руб.
-стекло – 7,6
цена за 1- 53 руб.
в расчете на одно изделие затраты составят 7,6*53=402,8 руб.
-лак для покрытия мебели – 5,5 л
цена за 1л – 44 руб.
на одно изделие затраты на лак составят 5,5*44=242 руб.
Комплектующие изделия:
-дверные петли 16 шт.
цена за 1шт. – 10 руб.
на одно изделие затраты на дверные петли составят 16*10=160 руб.
-дверные ручки -10 шт.
цена за 1 шт. 15 руб.
затраты на дверные ручки 10*15=150 руб.
- 1упаковка шурупов -25 руб.
2.Норма расхода энергии – 35 кВт
1кВт-1,1руб.
затраты на электроэнергию составят 35*1,1=38,5 руб.
3.Основная заработная плата производственных рабочих:
310500 рублей в год.
В расчете на одно изделие 310500 : 240 =1293,75 руб.
4.Дополнительная заработная плата производственных рабочих
37260 рублей в год.
В расчете на одно изделие 37260 : 240 =155,25 руб.
Фонд основной заработной платы составит: 1293,75+155,25=1449 руб.
ЕСН= руб.
5.Амортизация и текущий ремонт оборудования - 62400 рублей в год.
На одно изделие: 62400 : 240= 260 руб.
6.Цеховые расходы - 451486,6 руб. в год, из них:
6.1. Оплата труда административно-управленческих работников – 231012 руб. в год
6.2. ЕСН- 82240 руб. в год
6.3. Содержание зданий и сооружений цеха - 74520 руб. в год.
6.4.Текущий ремонт цеха – 2980,8 руб. в год.
6.5.Амортизация зданий, сооружений и инвентаря цехового назначения – 33161,4 руб. в год
6.6 Затраты на обеспечение техники безопасности – 21983,4 руб. в год .
6.7Возмещение износа быстроизнашивающихся и малоценных предметов – 1863 руб. в год.
6.8 Прочие затраты – 3726 руб. в год
Итого: цеховые расходы в расчете на одно изделие составят: 451486,6 : 240= 1881,2 руб.
Цеховая себестоимость: ЦС=(1790,8+402,8+242+160+150+25)+38,5+1293,75+155,25+528,885+260+1881,2=
= 6928,2 руб.
7. Общехозяйственные расходы - 654676,14 руб. в год из них:
7.1. Заработная плата аппарата управления – 344977,9 руб. в год.
7.2.ЕСН – 122812, 1 руб. в год.
7.3. Оплата командировок и служебных поездок – 3129,84 руб. в год.
7.4. Охрана и сигнализация – 17388 руб. в год.
7.5.Амортизация и текущий ремонт зданий, сооружений и инвентаря общезаводского назначения – 53972, 3 руб. в год.
7.6. Содержание зданий и сооружений общезаводского назначения – 83462,4 руб. в год.
7.7. Подготовка кадров – 28933,6 руб. в год.
Общехозяйственные расходы на одно изделие составят: 654676,14 : 240 = 2727,8 руб.
Производственная себестоимость:
ПрС=6928,2+2727,8=9656 руб.
8. Коммерческие расходы – 62300 руб. в год из них:
8.1.Доставка мебели – 10300 руб. в год.
8.2. Реклама – 52000 руб.
Коммерческие расходы на одно изделие: 62300 : 240 = 259,6 руб.
Итого полная себестоимость:
ПС=9656+259,6=9815,6 руб.
Все вышеприведенные расчеты представим в виде следующей таблицы:
Калькуляция себестоимости на единицу продукции.
Статьи
Данные, руб.
1. Сырье и материалы.
2435,6
2. Покупные комплектующие изделия.
335
3. Энергия.
38,5
4. Основная заработная плата производственных рабочих.
1293,75
5. Дополнительная заработная плата производственных рабочих.
155,25
6.ЕСН
528,885
7. Расходы по содержанию и эксплуатации оборудования
260
8. Цеховые расходы
1881,2
9. Итого: Цеховая себестоимость
6928,2
10.Общехозяйственные расходы
2727,8
11.Итого: Производственная себестоимость.
9556
12. Коммерческие расходы
259,6
13. Итого: Полная себестоимость
9815,6
В результате составления калькуляции мы выяснили, что себестоимость одного кухонного гарнитура составляет 9815,6 рублей.
Заключение.
По результатам данной работы можно сделать следующие выводы:
Полную себестоимость составляет множество статей калькуляции. Каждая статья имеет свою определённую долю в общих расходах и играет большую роль в организации производства и определении рентабельности предприятия.
Даже зная величину рассчитанных параметров, нельзя со стопроцентной уверенностью говорить о точности произведённых расчётов, т. к. учесть всё многообразие производственных факторов не представляется возможным. Поэтому результаты калькуляции себестоимости нуждаются в периодической корректировке.
Из данных этой работы видно, что наибольшую долю в себестоимости занимают расходы на материалы, затем на зарплату и на содержание оборудования. Но не следует забывать о расходах с меньшей долей, т. к. в сумме они могут значительно влиять на величину себестоимости.
Значительную роль играет выбор правильного метода кулькулирования для каждого отдельного предприятия, а также соблюдение принципов калькуляции себестоимости.
Итак, калькулирование себестоимости продукции, работ или услуг занимает доминирующее место в общей системе бухгалтерского учёта на предприятии. В условиях самостоятельного планирования предприятиями номенклатуры продукции и свободных (рыночных) цен возрастает значимость калькулирования себестоимости продукции, вырабатываемой на предприятиях.
Грамотно организованный учет затрат позволяет вести оперативный анализ себестоимости по статьям затрат и принимать своевременные меры по снижению стоимости выпускаемой продукции (производимых работ, выполняемых услуг), что даёт возможность влиять на их рыночную конкурентоспособность.
Необходимо повысить заинтересованность организаций в использовании учётной информации о затратах и составлении калькуляции для целей оперативного руководства и управления. Более детальное изучение вопроса затрат на производство продукции (работ, услуг) позволит руководителям и бухгалтерам организаций правильно увидеть статьи расходов и умело составить отчёт о производственных затратах, а это, в свою очередь, создаст благоприятную почву для выживания и процветания предприятия в жестких условиях рыночной экономики.
3
Нравится материал? Поддержи автора!
Ещё документы из категории экономика:
Чтобы скачать документ, порекомендуйте, пожалуйста, его своим друзьям в любой соц. сети.
После чего кнопка «СКАЧАТЬ» станет доступной!
Кнопочки находятся чуть ниже. Спасибо!
Кнопки:
Скачать документ