Конкуренция как стимул экономического прогресса























Федеральное агентство по образованию
ГОУ СПО Сосенский радиотехнический техникум
230105 «Программное обеспечение вычислительной техники и автоматизированных систем»
КУРСОВАЯ РАБОТА
по дисциплине «Экономика отрасли»
Тема: Конкуренция, как стимул экономического прогресса (на примере ООО «Клен»)
(номер группы, фамилия, инициалы)
(ученая степень, звание, фамилия, инициалы)
Сосенский
2010
Содержание
Введение
По определению рынок - это организованная структура, в которой существуют производители и потребители, продавцы и покупатели, где в результате взаимодействия спроса потребителей (спросом называется количество товара, которое потребители могут купить по определенной цене) и предложения производителей (предложение - это количество товара, которое производители продают по определенной цене) устанавливаются и цены товаров, и объемы продаж. При рассмотрении структурной организации рынка определяющее значение имеет количество производителей (продавцов) и количество потребителей (покупателей), участвующих в процессе обмена всеобщего эквивалента стоимости (денег) на какой-либо товар. Это количество производителей и потребителей, характер и структура отношений между ними определяют взаимодействие спроса и предложения.
Современная рыночная экономика представляет собой сложнейший организм, состоящий из огромного количества разнообразных производственных, коммерческих, финансовых и информационных структур, взаимодействующих на фоне разветвленной системы правовых норм бизнеса, и объединяемых единым понятием - рынок.
Конкуренция - это центр тяжести всей системы рыночного хозяйства, тип взаимоотношений между производителями по поводу установления цен и объемов предложения товаров на рынке. Это конкуренция между производителями. Аналогично определяется конкуренция между потребителями как взаимоотношения по поводу формирования цен и объема спроса на рынке. Стимулом, побуждающим человека к конкурентной борьбе, является стремление превзойти других. В соперничестве на рынках речь идет о заключении сделок и о долях участия в рыночной сфере. Конкурентная борьба - это динамический (ускоряющий движение) процесс. Он служит лучшему обеспечению рынка товарами.
В качестве средств в конкурентной борьбе для улучшения своих позиций на рынке компании используют, например, качество изделий, цену, сервисное обслуживание, ассортимент, условия поставок и платежей, информацию через рекламу.
Вышесказанное и определяет актуальность выбранной темы.
В курсовой работе объектом исследования является предприятие общество с ограниченной ответственностью "Клен" далее по тексту ООО "Клен"
Предметом исследования является конкуренция, как стимул экономического прогресса.
Курсовая работа состоит из:
Введения, двух разделов: теоретического( Теоретические основы конкуренции, как фактора экономического прогресса.) и практико - аналитического (Анализ конкурентоспособности предприятия на примере ООО «Клен»), заключения, списка используемой литературы и приложения.
В процессе исследования были изучены и применены труды известных ученых таких как: Адам Смит; Карл Маркс; Р. Круз; Ж. Б. Сэй; А. Маршал;
К. Менгер; И. Шумпетер; П. Дуглас; Р. Солоу; Э. Л. Денинсон; Ф. Махлуп.
В процессе выполнения курсовой работы были использованы следующие методы исследования: расчетно-конструктивный, монографический.
Цель данной работы состоит в том, чтобы, опираясь на теоретические основы экономической теории и реальную рыночную практику, оценить состояние, проанализировать конкурентоспособность фирмы «Клен», и дать конкретные рекомендации, направленные на повышение ее конкурентоспособности.
Для достижения поставленной цели в данной работе решаются следующие задачи:
Рассмотреть теории конкуренции и источников экономического прогресса
Дать технико-экономическую характеристику предприятия ООО «Клен»
Разработать мероприятия для улучшения конкурентоспособности
ООО «Клен»
В работе имеется 7 таблиц, приведено и использовано 15 формул, составлено 2 рисунка, заполнено 1 приложение, использовано 25 источников.
Работа выполнена 46 листах машинопечатного текста.
Раздел 1. Теоретические основы конкуренции, как фактора экономического прогресса
1.1 Понятие и условия возникновения конкуренции.
Конкуренция (от латинского concurrentia – столкновение, состязание) – это соперничество, экономическая борьба, состязательность между продавцами – производителями за право получения максимальной прибыли и между покупателями при покупке товаров за большую выгоду.
Она способствует эффективному использованию ограниченных ресурсов. Ресурсы распределяются по отраслям и видам производства таким образом, чтобы продукция, полученная от этих ресурсов, приносила им прибыль. Она является регулирующей силой в условиях рынка. Адам Смит назвал ее «невидимой рукой».
Конкуренция выполняет в рыночной экономике важнейшую функцию – она принуждает производителей учитывать интересы потребителя, а значит, и интересы общества в целом. В ходе конкуренции рынок из множества товаров отбирает только те, которые нужны потребителям. Именно их удается продать. Прочие же остаются невостребованными, и производство их сокращается. Конкуренция представляет собой конкретный механизм, с помощью которого рыночная экономика решает фундаментальные вопросы что? как? для кого производить?
Конкуренция играет важную, но не однозначную роль. Она стимулирует развитие экономики и самих работников, деятельность самостоятельных единиц. Через нее товаропроизводители как бы контролируют друг друга. Их борьба за потребителя приводит к снижению цен, уменьшению издержек производства, улучшению качества продукции, усилению научно-технического прогресса. В то же время конкуренция ведет дифференциацию производителей и покупателей, побуждает создание монополий.
Конкуренция представляет собой соперничество субъектов хозяйственной деятельности для достижения наиболее высоких результатов в своих интересах. Поэтому конкуренция существует везде, где между субъектами возникает соперничество по обеспечению своих интересов. Как экономический закон конкуренция выражает причинно-следственную связь между интересами субъектов хозяйствования к соперничеству и результатами в развитии экономики.
При наличии конкуренции на рынке производители постоянно стремятся снизить свои производственные затраты, чтобы увеличить прибыль. В результате повышается производительность, снижаются издержки и компания получает возможность уменьшить цены. Конкуренция также побуждает производителей улучшать качество товаров и постоянно увеличивать разнообразие предлагаемых товаров и услуг, т. е. производители вынуждены постоянно бороться с конкурентами за покупателей на рынке сбыта путём расширения и улучшения ассортимента высококачественных товаров и услуг, предлагаемых по более низким ценам. От этого выигрывает потребитель.
Основные условия возникновения конкуренции:
1. полная хозяйственная (экономическая) обособленность каждого товаропроизводителя;
2. полная зависимость товаропроизводителя от конъюнктуры рынка;
3. противостояние всем другим товаропроизводителям в борьбе за покупательский спрос.
Конкуренция – важнейший элемент рынка, играющий роль в повышении качества продукции, работ и услуг, снижении производственных затрат, в освоении технических новинок и открытий.
1.2 Функции конкуренции.
Функция размещения (аллокационная) – направляет ограниченные ресурсы в те отрасли и виды деятельности на продукцию и услуги которых имеется спрос.
Инновационная функция – стимулирует внедрение достижений науки и техники, выпуск новых видов продукции и услуг, новых технологий, повышение качества продукции и услуг, и т.д.
Распределительная функция – создает условия для получения доходов и прибыли наиболее успешным предприятиям и приводит к банкротству предприятия, чья продукция и услуги невостребованные.
Контрольная функция – инструмент (средство), которое препятствует возникновению и существованию устойчивой монопольной власти на рынке. Например, монополист может назначить цену. В то же время конкуренция предоставляет покупателю возможность выбора среди нескольких продавцов. Чем совершеннее конкуренция, тем справедливее цена.
Конкуренция способствует установлению равновесной цены, уравнению спроса и предложения. На чисто конкурентном рынке отдельные фирмы осуществляют незначительный контроль над ценой продукции, имеют настолько небольшую часть от общего объёма производства, что увеличение или уменьшение её выпуска не будет оказывать ощутимого влияния на цену товара. Производитель, равно как и покупатель, всегда должен ориентироваться на рыночную цену. Таким образом, конкуренция способствует достижению компромисса между продавцами и покупателями. Здесь можно отметить и то, что конкуренция создаёт тождество частных и общественных интересов. Фирмы и поставщики ресурсов, добивающиеся увеличения собственной выгоды и действующие в рамках остро конкурентной борьбы, одновременно как бы направляемые «невидимой рукой»- способствуют обеспечению государственных, или общественных интересов.[24, с.25]
Конкуренция поддерживает общественно нормальные условия производства и реализации товаров и услуг. Она как бы подсказывает товаропроизводителям, сколько капитала они должны вложить в производство того или иного товара. Предположим, что один продавец затратил на производство какого-нибудь товара больше средств, чем другой. При такой ситуации, когда на рынке установится равновесная цена на данный вид товара, больше прибыли будет иметь последний продавец, то есть тот, кто произвёл товар по более низкой себестоимости. А при избытке данного вида товара произойдёт, как уже отмечалось, резкое падение цен, и продавец, затративший на производство много средств, понесёт убытки. Таким образом, конкуренция поддерживает нормальные для всего общества условия производства.
Конкуренция стимулирует научно-технический прогресс и повышение эффективности производства. Так как конкуренция служит «уравнительницей» цен, то можно сделать вывод, что при рыночном соперничестве будет побеждать тот, кто имеет товары высокого качества и максимально низкой себестоимостью. А для этого необходимо постоянно обновлять условия производства, затрачивать большие капиталовложения на совершенствование техники. В настоящее время встречается много находчивых предпринимателей, которые готовы пойти на риск при производстве товаров с применением новой технологии. Следовательно, при развитии конкуренции с каждым годом повышается эффективность производства.
При противоборстве субъектов рынка усиливается их социально-экономическое расслоение. В конкуренции участвует множество мелких собственников, которые только начинают вести свою хозяйственную деятельность. Многие из них, не имея достаточного капитала, современных средств производства и других ресурсов, не могут выдержать этого соперничества и через некоторое время терпят убытки, разоряются. И лишь немногие из них наращивают свою экономическую мощь, расширяют предприятия и становятся полноправными и довольно значимыми и уважаемыми субъектами рынка.
1.3 Виды конкуренции.
Конкуренция
по методам осуществления
по отраслевой принадлежности
по степени
свободы
ценовая
неценовая
внутриотраслевая
межотраслевая
совершенная
несовершенная
Рис. 1.1 Виды конкуренции
По методам осуществления конкуренцию можно подразделить на ценовую и неценовую.
Ценовая конкуренция предполагает продажу товаров по более низким ценам, чем у конкурентов. Снижение цены теоретически возможно либо за счет снижения издержек производства, либо за счет уменьшения прибыли.
Неценовая конкуренция основана на предложении товаров более высокого качества, с большей надежностью и сроками службы, на использовании методов рекламы и других способов стимулирования сбыта.
По отраслевой принадлежности различают внутри- и межотраслевую конкуренцию.
Внутриотраслевая конкуренция — конкуренция между предпринимателями, производящими однородные товары, за лучшие условия производства и сбыта, за получение сверхприбыли.
Межотраслевая конкуренция — это конкуренция между предпринимателями, занятыми в различных отраслях производства, из-за выгодного приложения капитала, перераспределения прибыли.
По степени свободы подразделяют на совершенную (свободную) и несовершенную (монополистическую).
Совершенная конкуренция - свобода от какой бы то ни было регламентации: свободный доступ к факторам производства, свободное ценообразование и др. При этой конкуренции никто из участников рынка не может оказать решающего влияния на условия реализации товаров.
Монополистическая конкуренция - имеют возможности влиять на условия реализации товаров.
1.4 Сущность и критерии экономического прогресса
Понятие «прогресс» (лат. — progressive) означает движение вперед, поступательное развитие общества от менее совершенных к более совершенным формам, а экономический прогресс — поступательное развитие всей экономической системы, каждого ее элемента: производительных сил, технологического способа производства; производственных отношений, в том числе отношений собственности; хозяйственного механизма. Прогресс в техническом строе производства выражается в переходе от способа производства, основанного на ручном труде, к способу, основывающемуся на машинном базисе труда, а от него к способу производства, в основе которого лежит автоматизированный труд. Поступательное развитие производственных отношений проявляется в эволюции форм собственности: от индивидуальной к коллективной (в разных ее видах и степенях зрелости), от коллективной к государственной и надгосударственной (или интегрированной). Прогресс хозяйственной системы выражается в эволюции рыночных механизмов управления экономикой, постепенном переходе к рациональному сочетанию государственных и рыночных регуляторов, а затем — к наднациональным формам и методам управления экономикой в рамках международных регионально-континентальных объединений типа ЕС.
Экономический прогресс — основа общественного прогресса, составляющими элементами которого, наряду с экономической, являются социальная, правовая, политическая, национальная, культурная, духовная и другие стороны. В широком историческом контексте такое движение вперед выражается в последовательном переходе роли ведущих движущих сил от преимущественно естественных факторов развития общественных систем (географическая среда, количество населения) к новым, более сложным факторам и источникам развития. Так, в современных условиях к качественно новым факторам общественного, в том числе экономического прогресса, относятся национальный менталитет, энергия и активность нации, психология и сознание людей (рис. 1.2).
Различают два основных типа экономического развития — экстенсивный и интенсивный.
При экстенсивном типе экономический рост достигается путем количественного прироста всех элементов производительных сил, прежде всего, факторов производства, при неизменном уровне его технического строя. Основными факторами экономического развития экстенсивного типа являются рост объема инвестиций, увеличение численности работников и объемов оборотных фондов (сырья, материалов и др.) при сохранении существующего уровня технологии, В этом случае производительность труда и эффективность остаются неизменными.
При интенсивном типе экономического роста увеличение масштабов выпуска продукции достигается путем качественного совершенствования всей системы производительных сил, прежде всего, личных и вещных факторов производства.
К основным факторам экономического развития интенсивного типа относятся инвестиции, внедрение новой техники и технологии на базе передовых достижений НТП и повышение общеобразовательного и профессионального уровня работников и их предпринимательских способностей; улучшение использования основных и оборотных фондов; внедрение новых прогрессивных форм организации производства и труда; опережающее развитие информационной сферы, информатизация хозяйственной деятельности. Интенсификация производства выражается в росте общественной производительности труда, то есть в увеличении выхода конечной продукции с каждой единицы привлеченных в производство ресурсов при экономии живого и овеществленного труда; повышении качества продукции; росте эффективности производства; в прогрессивных структурных преобразованиях экономики.
В процессе расширенного воспроизводства интенсивные факторы экономического роста сочетаются с экстенсивными. Поэтому различают преимущественно интенсивный или преимущественно экстенсивный тип. Поскольку большая часть источников экстенсивного роста (земля, полезные ископаемые и др.) чрезвычайно ограничена, переход к преимущественно-
интенсивному типу экономического роста в современных условиях становится объективной необходимостью. Это требует решительного поворота производства в сторону использования трудосберегающих, фондосберегающих и ресурсосберегающих технологий.
Основной формой интенсивного развития является рационально сочетающая все вышеуказанные технологии и обеспечивающая быстрый рост эффективности общественного производства.
Внедрение такой формы в связано с автоматизацией производства, использованием технологического оборудования с программным управлением, ЭВМ и микропроцессоров, гибких производственных систем и т. п.
Рисунок 1.2 Факторы экономического прогресса
Основными индикаторами динамики экономического роста на макроэкономическом уровне являются рост объемов валового внутреннего продукта (ВВП) и национального дохода; темпы роста этих показателей в расчете на душу населения и др. К ним также относятся коэффициенты роста (определяются как отношение показателя изучаемого года к базовому), темпы роста (коэффициент роста, умноженный на 100 %) и темпы прироста (темп роста минус 100). Однако темпы экономического роста в условиях интенсивного развития могут временно снижаться, что бывает обусловлено прогрессивными структурными преобразованиями в экономике.
Одна из основных движущих сил интенсивного экономического роста — эффективность инвестиционного процесса — в свою очередь, зависит от нормы сбережений, развитости финансового рынка, способного трансформировать сбережения населения в инвестиции уровня их доходности.
Основные критерии экономического прогресса.
Результат экономического прогресса — реальные достижения в процессе экономического развития. Такие достижения в наиболее абстрактной форме и выступают критериями социально-экономического прогресса.
Развитие производительных сил является наиболее общим его критерием. Это обусловлено тем, что в состав производительных сил входит человек, природные ресурсы, средства производства, наука, информация и т. д. и от уровня их развития зависит объем создаваемых материальных и духовных благ, а значит, и жизненный уровень населения.
К важным параметрам развития производительных сил относятся соотношение между массой применяемых средств производства и численностью занятых работников, или техническое строение производства (речь идет о количестве средств производства, приводимых в движение одним работником). Рост данного показателя проявляется в увеличении фондовооруженности, энерговооруженности труда; в условиях НТР — в его автоматизации и компьютеризации, а в конечном счете свидетельствует о переходе от одного технического строя производства к другому. С развитием производительных сил растут производительность труда, национальное богатство, возникают новые производства, источники энергии, продукты и т. п.
В зависимости от структуры всей системы производительных сил происходит конкретизация наивысшего, обобщающего критерия. Критериями экономического прогресса служат уровни развития человека-работника, средств труда, науки, форм и методов организации производства, используемых людьми сил природы, информации. Например, первый определяется общеобразовательной и профессиональной подготовкой человека, степенью развития его умственных способностей и т. п., второй — производительностью, способностью заменять труд человека.
Поскольку главная производительная сила — работник, трудящийся, одновременно выступающий носителем производственных отношений, субъектом отношений присвоения, главным критерием прогресса в развитии общественного способа производства является развитие сущностной природы человека. С этой точки зрения отличие между способами производства состоит в том, что в одних из них экономический прогресс подчинен преимущественно развитию лишь определенного класса, а в других — развитию большинства населения, трудящихся.
В связи с тем, что сферу реализации сущности человека представляет вся совокупность общественных отношений: экономических, социальных, политических, национальных, культурных и др., раскрытие всех его сущностных сил, его всестороннее развитие выступают главными критериями всего общественного прогресса.
Факторы развития производительных сил группируются в зависимости от уровня технической оснащенности труда, развития НТП, глубины специализации и кооперации труда, его интенсивности, степени развития сущностных сил человека, его способностей и т. д. Поэтому рост производительности труда является лишь иным проявлением экономии времени, которую Маркс назвал первым экономическим законом, отражающим наиболее общую основу и внутреннюю логику экономического прогресса, источником и способом повышения эффективности производства.[24, с. 17]
Суть общего экономического закона экономии времени заключается в экономии живого и овеществленного труда. Степень развития технологического способа производства, и, прежде всего, системы производительных сил, экономию времени обусловливают прогрессивные изменения в каждом из элементов этой системы (средствах труда и предметах труда, рабочей силе, науке, формах и методах организации труда, информации, используемых людьми силах природы), а также изменения в непосредственной форме организации производства; ее специализации, кооперации, комбинировании, концентрации и др. В свою очередь, в пределах каждого элемента системы производительных сил, организационно-производственных и технико-экономических отношений можно выделить факторы экономии рабочего времени. Что касается основной производительной силы, то к таким факторам относятся уровни образования, квалификации, развития творческих способностей человека, его психологического, эмоционального состояния и др.
Непосредственное влияние на экономию живого и овеществленного труда в сфере производственных отношений оказывает переход от отсталых, отживающих форм собственности к новым прогрессивным формам. При этом прогрессивной формой собственности является та, которая способствует сокращению затрат живого и овеществленного труда на единицу создаваемого блага (товара или услуги). Так, переход в США многих предприятий в собственность трудовых коллективов обусловил рост производительности труда на 15-20 %.
В результате действия закона экономии времени, повышения производительности труда создаются условия для расширенного воспроизводства вещественных и личных факторов производства, всей системы производительных сил, для увеличения свободного времени, развития культуры, искусства, осуществления экономического и социального прогресса, совершенствования всей системы общественных отношений. Вследствие этого рост прибавочного продукта является важным критерием экономического прогресса, увеличения богатства-общества. Еще более точный критерий экономического прогресса — отношение прибавочного продукта к необходимому.
Наряду с критериями технико-экономического прогресса существуют критерии общественного прогресса. К критериям социально-экономического прогресса, отражающим развитие производственных отношений, относятся расширенное (с позиции накопления элементов зрелости) воспроизводство отношений собственности, степень экономической свободы непосредственных производителей, хозяйственная самостоятельность предприятий, участие работников в управлении, доля непосредственных производителей в национальном доходе, национальном богатстве страны, развитие умственных, творческих способностей человека, его потребностей, интересов и др. Критериями социального прогресса, отражающими развитие всей системы общественных отношений, являются степень социальной, политической, юридической свободы непосредственных производителей, уровень удовлетворения социально-экономических потребностей человека, развития его личности.
На протяжении развития человеческого общества противоречие между критериями технико-экономического и социально-экономического прогресса неоднократно приобретало антагонистические формы. Так, отсутствие у рабов личной свободы, жестокая эксплуатация рабского труда не помешали, тем не менее, Древней Греции и Риму достичь высочайшего уровня развития культуры и искусства. Однако именно принудительное соединение непосредственных производителей со средствами производства, отсутствие у них материальной заинтересованности в результатах своего труда в конечном итоге привели к гибели рабовладельческого строя в Римской империи, к упадку ее культуры и искусства.
На современном этапе НТР особенно актуальны проблемы гуманизации и экологизации технико-экономического прогресса, органичного сочетания экономической и социальной эффективности, возрождения, сохранения и приумножения общечеловеческих ценностей. Для достижения органичного единства технико-технологического и социально-экономического прогресса необходимо, чтобы их главной целью стал человек, раскрытие всех его сущностных сил, его потребности, интересы, благополучие. Поэтому не случайно ООН для оценки уровня развития различных стран ввела такой обобщающий показатель социального прогресса, как индекс человеческого развития, включающий долю ВВП на душу населения в стране, грамотность и продолжительность жизни населения.
Одним из критериев эффективности экономических систем, а следовательно, и экономического прогресса, американский ученый Р. Круз называет уровень трансакционных издержек, то есть издержек на поиск и обработку информации о ценах и технологиях, на заключение контрактов, контроль за их исполнением и др. Данный критерий представляется второстепенным и косвенным, поскольку не затрагивает непосредственно проблем развития человека.
Факторы экономического прогресса.
В трудах западных ученых еще второй половины XIXв. (в частности Ж. Б. Сэя) содержится тезис о том, что тремя основными факторами производства, каждый из которых создает его собственнику особенный вид дохода, являются капитал, земля и труд. Согласно теории «производительности капитала», каждый из факторов имеет физическую производительность и создает свой вид доходов. Капитал, под которым понимают преимущественно средства производства, приносит владельцу прибыль (собственники денежного капитала получают ее в виде процента, а предприниматели, использующие его как капитал-функцию — в виде предпринимательского дохода), земля — ренту землевладельцу, а труд — зарплату работнику. Отсюда якобы следует, что каждый член общества получает доход по используемому фактору и эксплуатация при этом отсутствует.
А. Маршалл в начале XX в. наряду с названными тремя факторами выделил четвертый — деятельность по организации производства, которая приносит доход управляющему производством. В наше время к отдельным факторам производства относят также риск, информацию, время, научно-технический прогресс (НТП). Экономическая реализация последнего фактора осуществляется через присвоение дохода от интеллектуальной собственности. К. Менгер важнейшим фактором экономического прогресса считал знания о наиболее эффективном использовании факторов производства, ресурсов. Американский экономист И. Шумпетер главным источником прибыли назвал осуществление предпринимателем «новых комбинаций» техники и технологии, создание новых товаров, освоение новых источников сырья и т.д. В последние годы отдельным фактором экономического прогресса стали называть экологический, который может как содействовать прогрессу, так и тормозить его вследствие загрязнения окружающей среды.
В западной экономической литературе довольно продолжительное время разрабатывается проблема роли каждого фактора в увеличении выпуска продукции и росте присваиваемых доходов. Еще в 20-е гг. американский экономист П. Дуглас утверждал, что 1 % прироста затрат труда увеличивает выпуск продукции в 3 раза больше, чем 1 % прироста капитала. В 50-е гг. другой американский экономист
Р. Солоу назвал ведущим фактором экономического роста НТП и пришел к выводу, что за счет этого фактора обеспечивается около 80 % роста производительности труда. Э. Л. Денисон конкретизировал данный вывод, отметив, в частности, что воздействие НТП на экономическое развитие примерно на 65 % осуществляется за счет накопленных знаний, а около 34 % — приходится на более эффективное размещение ресурсов и экономию факторов производства. Характерно, что оба ученых доминирующим фактором экономического прогресса называют развитие человека, требующее вложений (инвестиций) в «человеческий капитал», что совпадает с марксистским пониманием человека как главной производительной силы общества.
Следует отметить, что в западной экономической литературе нет единого мнения относительно даже основных трех факторов производства, то есть капитала, земли, труда. Так, американский экономист Ф. Махлуп убежден, что земля как бесценный дар природы не является капиталом.
Факторам производства свойственна определенная взаимозаменяемость, что обусловливает использование их различных комбинаций со стороны предпринимателей с целью снижения затрат производства. Например, вследствие чрезмерно высокой цены земли под строительство в крупных городах или ее ограниченности строятся высотные дома — небоскребы. Взаимозаменяемость факторов производства обусловлена ограниченностью большинства ресурсов, неодинаковой эффективностью их использования, различными потребительскими свойствами продукта, конструктивной особенностью изделия.
Марксистская политическая экономия четко разграничивает факторы производства и источники создания новой стоимости, в частности, прибавочной стоимости. Единственным источником последней считается труд, а средства производства, в том числе земля, — вещественными факторами производства потребительной стоимости, но не вновь созданной стоимости. Рабочую силу при этом считают личным фактором, который также принимает участие в создании потребительной стоимости. Вещественные факторы производства еще называют вещными, а рабочую силу — субъектным или личным фактором.
Вещные, или объективные факторы производства сами по себе не являются капиталом. Они превращаются в него лишь тогда, когда служат средством получения прибыли, материальным носителем определенной общественной формы, определенного производственного отношения. Так, средства производства — это материальный носитель постоянного капитала, и превращающиеся в него потому, что от них отчуждены наемные рабочие. Последние, чтобы обеспечить собственное существование и существование членов своих семей, вынуждены наниматься к владельцу средств производства. Средства производства в руках мелкого товаропроизводителя (фермера, ремесленника и т. п.), который не нанимает работников, не превращаются в капитал. Средства производства являются вещным фактором производства, принимают участие в создании потребительной стоимости товаров, но не стоимости и, соответственно, прибавочной стоимости не создают. Их стоимость, как и стоимость предметов труда, лишь переносится на созданный продукт конкретным трудом наемного работника, а значит, учитывается как овеществленный труд. Например, трудом токаря на деталь, которую он изготовил, постепенно и частично (по мере износа) переносится стоимость токарного станка. Физической производительностью, то есть способностью самим создавать часть дохода, средства производства не обладают.
Весьма показательно, что западная статистическая наука из всей совокупности средств производства, которые применяются в процессе производства, в годовой валовой продукт включает лишь перенесенную конкретным трудом (амортизированную) часть изношенных средств труда, а также стоимость сырья, материалов, и других использованных предметов труда. Это также является фактом признания того, что средства производства никакой стоимости не создают.
Сегодня обогащение экономической теории возможно на пути радикального пересмотра структуры производительных сил и категории «производительность труда».
К современной системе производительных сил, как уже отмечалось, следует наряду с вещными и личными факторами относить формы и методы организации производства, науку, используемые людьми новые силы природы и информацию. Эти элементы являются факторами которые обеспечивают преобразование вещества природы в соответствии с потребностями человека, создание духовных и материальных благ, рост производительности труда. Если объединить такой подход к рассмотрению структуры производительных сил с расширенным пониманием производительности труда, напрашивается вывод, что не сами названные факторы являются источниками определенной части национального дохода и, в частности, прибавочной стоимости, а труд людей в сфере производства, науки, информационного обеспечения, по совершенствованию форм и методов организации труда, использованию новых сил природы (например, атомной, термоядерной, солнечной энергии).
В этом случае становится ясно, что источником национального дохода, в частности, прибыли, является деятельность по организации производства, улучшению качества земли, сбор, сохранение и распространение информации, научная деятельность, особенно развитие знаний о наиболее эффективном использовании факторов производства и ресурсов. В таком контексте не вызывает возражения и тезис И. Шумпетера о том, что подобным фактором является деятельность предпринимателя по созданию новых товаров, замене техники, технологии и т. д. Тогда производителен (то есть производящий необходимые обществу услуги) и труд в сфере образования, управления народным хозяйством и в других сферах.
1.5 Антимонопольное законодательство
Антимонопольное законодательство — совокупность нормативных актов, направленных на ограничение свободы предпринимательской деятельности и свободы договора экономически влиятельных компаний. Наиболее часто ограничения затрагивают создание картелей или других механизмов поддержания цен и раздела рынков; крупные слияния и действия, которые могут существенно увеличить возможность продавца влиять на цену. На данный момент антимонопольные законы существуют в большинстве стран мира.
По мнению сторонников антимонопольного законодательства, оно защищает экономические интересы потребителей и способствует экономическому развитию. По мнению противников, антимонопольное законодательство является системой нарушения прав собственности и нередко или даже обычно приводит к негативным последствиям для потребителей и экономики в целом.[25, с. 142]
Реализация экономических реформ потребовала создания нового адекватного законодательства. Важнейшим комплексом законов, призванных обеспечивать эффективное продвижение реформ, становление и развитие рыночной экономики, являются законы, регулирующие отношения, влияющие на конкуренцию на рынках Российской Федерации, призванные обеспечивать предупреждение и пресечение монополистической деятельности и недобросовестной конкуренции.
Несмотря на относительно небольшой срок существования российского конкурентного законодательства, в истории его создания можно выделить несколько этапов.
1. Начальным этапом считается принятие в 1991г. Закона РСФСР
«О конкуренции и ограничении монополистической деятельности на товарных рынках». Закон о конкуренции определил основные положения государственной конкурентной, в том числе антимонопольной, политики, направленной на предупреждение и пресечение злоупотребления хозяйствующими субъектами доминирующим положением на соответствующих товарных рынках, формы недобросовестной конкуренции, а также пределы допустимой экономической концентрации производства и сбыта.
2. Второй этап — формирование конституционных основ конкурентного законодательства. Новая Конституция Российской Федерации, принятая всенародным голосованием 12 декабря 1993г., гарантировала единство экономического пространства, свободное перемещение товаров, услуг и финансовых средств, поддержку конкуренции, свободу экономической деятельности. [1,ст.8]
3. Третий этап в развитии конкурентного законодательства начался в ноябре 1994г. и связан с принятием нового Гражданского кодекса Российской Федерации. Так, ч. 2 п. 1 ст. 10 ГК РФ не допускает использование гражданских прав в целях ограничения конкуренции, а также злоупотребление доминирующим положением на рынке. Такое установление пределов осуществления гражданских прав согласуется с положением ч. 3 ст. 17 Конституции Российской Федерации о том, что осуществление прав и свобод человека и гражданина не должно нарушать права и свободы других лиц.
4. Четвертым этапом в развитии конкурентного законодательства можно считать создание ряда новых направлений Закона о конкуренции.
А. Ценовое регулирование деятельности хозяйствующих субъектов, занимающих доминирующее положение на рынке.
Б. Правовое оформление политики демонополизации.
В. Создание специального законодательства, развивающего правила добросовестной конкуренции применительно к отдельным сферам хозяйственного оборота.
5. Пятый этап связан с отменой монополии внешней торговли, либерализацией экспортно-импортной деятельности, которые потребовали обеспечения зашиты интересов российских товаропроизводителей в условиях конкуренции с импортерами.
6. Шестой этап — формирование законодательства о защите конкуренции на рынке финансовых услуг, так как российское конкурентное право нельзя было бы считать достаточно полным, если бы оно не охватывало такой важной сферы, как рынки банковских, страховых и иных услуг, связанных с пользованием денежными средствами юридических и физических лиц.
Обобщая обзор истории законодательства Российской Федерации, регулирующего развитие конкуренции, предупреждение и пресечение монополистической деятельности и недобросовестной конкуренции, следует констатировать, что к середине 1999г. его формирование в основном завершилось. Сегодня можно с полным основанием утверждать, что в стране складывается новая комплексная отрасль законодательства — конкурентное законодательство.
Об остроте проблемы свидетельствует практика антимонопольных законов. Принятый в 1995г. Закон РФ «О внесении изменений и дополнений в Закон РСФСР «О конкуренции и антимонопольной деятельности на товарных рынках» устанавливает перечень жестких запретов на действия государственных и местных органов управления, направленных на ограничение конкуренции дает ГКАП (Государственный Комитет Антимонопольной Политики) России широкие права и полномочия по контролю за соблюдением норм антимонопольного законодательства.
Федеральным органам исполнительной власти запрещается принимать акты и совершать действия, направленные на:
введение ограничений на создание новых хозяйственных объектов, а также установление запретов на осуществление отдельных видов деятельности;
установление запретов и иных ограничений на вывоз и продажу товаров из одного региона в другой;
выдачу хозяйственным субъектам указаний о приоритетном заключении договоров с определенным кругом покупателей;
предоставлять отдельным хозяйственным субъектам необоснованных льгот, ставящих их в преимущественное положение по отношению к другим предприятиям, действующих на данном рынке.
Анализ деятельности антимонопольных органов России показывает, что только за 1996г. они приняли к рассмотрению около тысячи заявлений по нарушению антимонопольного законодательства.
В течение последних лет сохраняется тенденция увеличения, как количества, так и удельного веса дел по фактам нарушения Закона о конкуренции, что свидетельствует о серьезности проблем, возникающих в процессе государственного регулирования предпринимательской деятельности, особенно на региональном и местном уровнях.
Практика показывает, что в различных субъектах Российской Федерации имеют место несколько видов нарушений антимонопольного законодательства. Так, «основным видом нарушений Закона о конкуренции является необоснованное препятствие осуществлению деятельности хозяйственных субъектов со стороны органов исполнительной власти – около 1/3 от общего количества рассмотренных по данной статье дел».
Во многих регионах Российской Федерации сохраняется практика необоснованного препятствования предпринимательской деятельности путем усложнения порядка лицензирования и произвольного расширения перечня видов деятельности, подлежащих лицензированию.
Раздел 2. Анализ конкурентоспособности предприятия на примере ООО «Клен»
2.1 Технико-экономическая характеристика ООО «Клен»
ООО «Клен» зарегистрировано постановлением главы администрации Козельского района №139 от 1 января 2000 года.
Руководитель предприятия Кузьмин Ю. В., высшим органом управления обществом является собрание участников. Общество раз в год проводит годовое собрание участников не зависимо от других собраний. Собрание созывается генеральным директором общества, ревизионной комиссией или по требованию не менее двух участников.
Собрание участников может в случае необходимости большинством голосов увеличить или уменьшить размер уставного капитала. На дату исследования уставной капитал зарегистрирован в суме 420000 тыс. рублей. Общество может прекратить свою деятельность:
По решению собрания участников.
По решению суда в случае неплатежеспособности или нарушением обществом действующего законодательства.
Общество создавалось в целях:
Участия в формировании товарного рынка.
Удовлетворения общественных потребностей в его продукции и услуг.
Получения прибыли.
Виды деятельности ООО «Клен»:
Изготовление фирменной атрибутики.
Изготовление проспектов и листовок.
Изготовление фирменных каталогов, брошюр и других печатных изделий.
Деятельность ООО «Клен» характеризуется в динамике следующими показателями
размещенными в таблице № 2.1
Таблица 2.1 Технико–экономическая характеристика предприятия
№ п/п
Наименование показателей
Прошлый год
Отчетный год
Изминения +/-
Темпы роста в %
1
Объем выпуска продукции и оказанных услуг
590000
610000
20000
103,4
2
Себестоимость продукции и оказанных услуг
490000
500000
10000
102,0
3
Прибыль от оказанных услуг и производств
90000
110000
20000
122,2
4
Численность работающих
35
48
13
137,1
5
Выработка на одного работающего
16857
12708
-4149
75,4
6
Среднегодовая стоимость основных производственных фондов(ОПФ)
730000
720000
-10000
98,6
7
Фондоотдача
80,8%
84,7%
3,9%
104,8
8
Фондореентабельность
12,3%
15,3%
3%
123,9
Исследуя основные показатели, характеризующие деятельность ООО «Клен» установлено следующее: в отчетном году объем выпуска продукции по сравнению с прошлым годом перевыполнен на 3,4%, при этом себестоимость продукции так же увеличилась, но темп роста себестоимости оказался ниже темпа роста объема выпуска продукции и оказанных услуг. Данный факт характеризует деятельность предприятия с положительной стороны. Снижение себестоимости на фактический выпуск продукции возможно произошло под влиянием интенсивных факторов:
1) Экономия материалов и комплектующих
2) Увеличение использования оборудования по мощности
Вместе с этим предприятие имеет неиспользованные резервы по наращиванию объемов продукции, о чем свидетельствует снижение в отчетном году выработки на 24,6%. В связи со снижением себестоимости по отношению к фактическому выпуску продукции произошел рост прибыли на 22.2%. Увеличение прибыли могло быть выше, если бы предприятие провело необходимые мероприятия по сокращению трудовых потерь.
Численность работающих в отчетном году увеличилась на 37,1%, тогда как выработка на одного рабочего в абсолютном исчислении уменьшилась на 4149. Нормальным считается, если быстрее растет производительность труда в сравнении со средней заработной платой из-за отсутствия показателя среднезаработной платы данные выводы не делаются.
Среднегодовая стоимость основных производственных фондов (ОПФ) в отчетном году снизилась на 1,4% или на 10000 условных единиц, данное снижение произошло вследствие вывода из эксплуатации морально и физически устаревшего оборудования. Предприятие используя собственные источники накопления капитала приобрело новое оборудование, но оно еще на дату исследования не было сдано в эксплуатацию.
В отчетном году фондоотдача увеличилась в сравнении с прошлым годом на 3,9%, данный рост произошел под влиянием роста объема продукции и снижения среднегодовой стоимости основных производственных фондов. Фондореентабельность так же выросла на 3%.
Проанализировав основные показатели ООО «Клен» приходим к выводу: предприятие работает стабильно, эффективно, вместе с этим у предприятия имеются неиспользованные резервы.
В целях вовлечения резервов предприятию необходимо:
1) Сократить внутрисменные простои
2) Ликвидировать непроизводительные выплаты в связи с простоем оборудования
3) В кратчайшие сроки ввести в действие закупленное оборудование после
чего внедрить многочисленную работу оборудования, даже если предприятию придется набрать дополнительную рабочую силу
2.2Анализ качества произведенной продукции
Важным показателем деятельности промышленных предприятий является качество продукции. Его повышение — одна из форм конкурентной борьбы, завоевания и удержания позиций на рынке. Высокий уровень качества продукции способствует повышению спроса на продукцию и увеличению суммы прибыли не только за счет объема продаж, но и за счет более высоких цен.[5, c. 113]
Качество продукции - понятие, которое характеризует параметрические, эксплуатационные, потребительские, технологические, дизайнерские свойства изделия, уровень его стандартизации и унификации, надежность и долговечность. Различают обобщающие, индивидуальные и косвенные показатели качества продукции.
Обобщающие показатели характеризуют качество всей произведенной продукции независимо от ее вида и назначения:
удельный вес новой продукции в общем ее выпуске;
удельный вес продукции высшей категории качества;
средневзвешенный балл продукции;
средний коэффициент сортности;
удельный вес аттестованной и неаттестованной продукции;
удельный вес сертифицированной продукции;
удельный вес продукции, соответствующей мировым стандартам;
удельный вес экспортируемой продукции, в том числе в высокоразвитые промышленные страны.
Индивидуальные (единичные) показатели качества продукции характеризуют одно из ее свойств:
полезность (жирность молока, зольность угля, содержание железа в руде, содержание белка в продуктах питания);
надежность (долговечность, безотказность в работе);
технологичность, т.е. эффективность конструкторских и технологических решений (трудоемкость, энергоемкость);
эстетичность изделий.
Косвенные показатели - это штрафы за некачественную продукцию, объем и удельный вес забракованной продукции, удельный вес зарекламированной продукции, потери от брака и др.
Первая задача анализа - изучить динамику перечисленных показателей, выполнение плана по их уровню, причины их изменения и дать оценку выполнения плана по уровню качества продукции.
Как видно из таблицы 2.2, за отчетный год на предприятии проделана определенная работа по улучшению качества продукции и повышении ее конкурентоспособности, о чем свидетельствует увеличение удельного веса продукции высшей категории качества.[4, с. 236]
Таблица 2.2 Анализ обобщающих показателей качества продукции
Показатель
Прошлый год
Отчетный год
план
факт
Средневзвешенный балл качества продукции
0,70
0,75
0,74
Удельный вес, в %:
Продукции высшей категории качества
75
76
78
Экспортируемой продукции
12,5
15,6
15,7
Забракованной продукции
0,55
0,40
0,50
Зарекламированной продукции
0,30
0,25
0,20
Потери от брака, тыс. руб.
450
350
420
По продукции, качество которой характеризуется сортом или кондицией, рассчитываются доля продукции каждого сорта (кондиции) в общем объеме производства, средний коэффициент сортности, средневзвешенная цена изделия в сопоставимых условиях. При оценке выполнения плана по первому показателю фактическую долю каждого сорта в общем объеме продукции сравнивают с плановой, а для изучения динамики качества - с данными прошлых периодов.
Средний коэффициент сортности можно определить двумя способами: отношением количества продукции I сорта к общему количеству; отношением стоимости продукции всех сортов к возможной стоимости продукции I сорта (таблица 2.3):
Отсюда коэффициент сортности: по плану — 0,833 (28 800/ 34 560), фактически - 0,908 (27 468/30 240). Выполнение плана по качеству - 109 % (0,908/0,833). Средневзвешенная цена по плану - 500 тыс. руб., фактически - 545 тыс. руб., что по отношению к плану также составляет 109 %.
Таблица 2.3 Анализ качества продукции
Сорт продукции
Цена за 1 туб,
руб.
Выпуск продукции.туб
Стоимость выпуска, руб.
план
факт
По цене I сорта
план
факт
план
факт
I
6000
2880
3528
17 280 .
21 168
17 280
21 168
II
5000
1728
1008
8640
5040
10 368
6048
III
2500
1152
504
2880
1260
6912
3024
Итого
5000
5760
5040
28 800
27 468
34 560
30 240
Вторая задача анализа - определение влияния качества продукции на стоимостные показатели работы предприятия: выпуск товарной продукции, выручку от реализации продукции и прибыль.
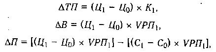
Расчет производится следующим образом:
Где:
ТП - выпуск товарной продукции
В - выручку от реализации продукции
П - прибыль
цо и Ц1 - соответственно цена изделия до и после изменения качества
Со и C1 - соответственно уровень себестоимости изделия до и после изменения качества;
k1 - количество произведенной продукции повышенного качества;
Vрп1 - объем реализации продукции повышенного качества.
Если предприятие выпускает продукцию по сортам и произошло изменение сортового состава, то вначале необходимо рассчитать, как изменились средневзвешенная цена и средневзвешенная себестоимость единицы продукции, а затем по приведенным выше алгоритмам определить влияние сортового состава на выпуск товарной продукции, выручку и прибыль от ее реализации.
Средневзвешенная цена рассчитывается следующим образом:
Таблица 2.4 Влияние сортового состава продукции на объем выпуска
Сорт продукции
Оптовая цена 1 туб, руб.
Структура продукции, %
Изменение средней
цены за счет структуры, руб.
план
факт
+, -
I
6000
50
70
+20
+1200
II
5000
30
20
-10
-500
III
2500
20
10
-10
-250
Итого
5000
100
100
X
+450
В связи с улучшением качества продукции (увеличением доли продукции I сорта и уменьшением соответственно доли продукции II и III сортов) средняя цена реализации по изделию выше плановой на 450 руб., а стоимость всего фактического выпуска — на 2268 тыс. руб.(450 руб. х 5040 туб).
Аналогичные расчеты делают по всем видам продукции, по которым установлены сорта, после чего результаты обобщаются.
Косвенным показателем качества продукции является брак. Он делится на исправимый и неисправимый, внутренний (выявленный на предприятии) и внешний (выявленный потребителями). Выпуск брака ведет к повышению себестоимости продукции, уменьшению объема товарной и реализованной продукции, снижению прибыли и рентабельности.
В процессе анализа изучают динамику брака по абсолютной сумме и удельному весу в общем выпуске товарной продукции; определяют потери от брака:
Таблица 2.5 Потери от брака
№ п/п
Показатель
тыс., руб
1
Себестоимость забракованной продукции
500
2
Расходы по исправлению брака
80
3
стоимость брака по цене возможного использования
150
4
Сумма удержаний с виновных лиц
10
5
Потери от брака(п1+п2-п3-п4)
420
Для определения потерь товарной продукции необходимо знать фактический уровень рентабельности. В примере стоимость товарной продукции в действующих ценах составляет 104 300 тыс. руб., а ее себестоимость - 84 168 тыс. руб. Отсюда фактический уровень рентабельности равен +23,9 % (104 300 - 84 168)/84 168 х 100). Это означает, что фактический уровень цены выше себестоимости продукции в 1,239 раза. Потери же товарной продукции равны 420 х 1,239 = = 520,4 тыс. руб., или 0,5 % от стоимости фактического выпуска.
Затем изучаются причины понижения качества и допущенного брака продукции по местам их возникновения и центрам ответственности и разрабатываются мероприятия по их устранению. Основными причинами понижения качества продукции являются плохое качество сырья, низкий уровень технологии и организации производства, квалификации рабочих, аритмичность производства и др.
2.3 Анализ использования технологического оборудования
Анализ работы оборудования базируется на системе показателей, характеризующих использование его численности, времени работы и мощности.
Различают оборудование наличное и установленное (сданное в эксплуатацию), фактически используемое в производстве, находящееся в ремонте и на модернизации, и резервное. Наибольший эффект достигается, если по величине первые три группы приблизительно одинаковы.
Для характеристики степени привлечения оборудования в производство рассчитывают следующие показатели:
коэффициент использования парка наличного оборудования:
коэффициент использования парка установленного оборудования:
Разность между количеством наличного и установленного оборудования, умноженная на плановую среднегодовую выработку продукции на единицу оборудования, - это потенциальный резерв роста производства продукции за счет увеличения количества действующего оборудования.
Для характеристики степени экстенсивной загрузки оборудования изучается баланс времени его работы. Он включает:
календарный фонд времени - максимально возможное время работы оборудования (количество календарных дней в отчетном периоде умножается на 24 ч и на количество единиц установленного оборудования);
режимный фонд времени (количество единиц установленного оборудования умножается на количество рабочих дней отчетного периода и на количество часов ежедневной работы с учетом коэффициента сменности);
плановый фонд - время работы оборудования по плану. Отличается от режимного временем нахождения оборудования в плановом ремонте и на модернизации;
фактический фонд отработанного времени.
Сравнение фактического и планового календарных фондов времени позволяет установить степень выполнения плана по вводу оборудования в эксплуатацию по количеству и срокам; календарного и режимного - возможности лучшего использования оборудования за счет повышения коэффициента сменности, а режимного и планового - резервы времени за счет сокращения затрат времени на ремонт.
Для характеристики использования времени работы оборудования применяются следующие показатели:
коэффициент использования календарного фонда времени:
коэффициент использования режимного фонда времени:
коэффициент использования планового фонда времени:
удельный вес простоев в календарном фонде:
Где:
Тф, Тп, Тр, Тк - соответственно фактический, плановый, режимный и календарный фонды рабочего времени оборудования;
ПР - простои оборудования.
Под интенсивной загрузкой оборудования подразумевается выпуск продукции за единицу времени в среднем на одну машину (1 машино-час). Показателем интенсивности работы оборудования является коэффициент интенсивной его загрузки:
Где:
ЧВф, ЧВпл - соответственно фактическая и плановая среднечасовая выработка.
Обобщающий показатель, комплексно характеризующий использование оборудования, - коэффициент интегральной нагрузки - представляет собой произведение коэффициентов экстенсивной и интенсивной загрузки оборудования:
В процессе анализа изучаются динамика этих показателей, выполнение плана и причины их изменения.
По группам однородного оборудования рассчитывается изменение объема производства продукции за счет его количества, экстенсивности и интенсивности использования:
Где:
Ki - количество i-ro оборудования;
Дi - количество отработанных дней единицей оборудования;
Ксмi- коэффициент сменности работы оборудования;
Пi— средняя продолжительность смены;
ЧBi -выработка продукции за один машино-час на i-м оборудовании.
Результаты факторного анализа показывают, что план по выпуску товарной продукции перевыполнен за счет увеличения количества оборудования и выработки продукции за один машино-час. Сверхплановые целодневные, внутрисменные простои оборудования и снижение коэффициента сменности вызвали уменьшение объема товарной продукции на сумму 51 тыс. руб., или на 8,7 % по отношению к плану. Следовательно, более полное использование оборудования на данном предприятии можно рассматривать как возможный резерв увеличения производства продукции.
2.4 Расчёт конкурентоспособности.
Спрос, как правило, определяет максимальную цену, которую фирма может
запросить за свой товар. Ну а минимальная цена определяется издержками
фирмы. Компания стремится назначить на товар такую цену, чтобы она
полностью покрывала все издержки по его производству, распределению и
сбыту, включая справедливую норму прибыли за приложенные усилия и риск.
Издержки фирмы бывают двух видов - постоянные и переменные. Постоянные издержки (известные также под названием «накладные расходы») - это расходы, которые остаются неизменными. Постоянные издержки присутствуют всегда, независимо от уровня производства. Переменные издержки меняются в прямой зависимости от уровня производства. В расчете на единицу продукции эти издержки обычно остаются неизменными. А переменными их называют потому, что их общая сумма меняется в зависимости от числа произведенных единиц товара.
Валовые издержки представляют собой сумму постоянных и переменных издержек при каждом конкретном уровне производства. Руководство стремится взимать за товар такую цену, которая как минимум покрывала бы все валовые издержки производства.
Максимальная цена может определяться спросом, а минимальная -
издержками, на установление фирмой среднего диапазона цен влияют цены
конкурентов и их рыночные реакции. Знаниями о ценах и товарах конкурентов фирма может воспользоваться в качестве отправной точки для нужд собственного ценообразования.[3, с. 261] Если ее товар аналогичен товарам основного конкурента, она вынуждена будет назначить цену, близкую к цене товара этого конкурента. В противном случае она может потерять сбыт. Если товар ниже по качеству, фирма не сможет запросить за него цену такую же, как у конкурента. Запросить больше, чем конкурент, фирма может тогда, когда ее товар выше по качеству. По существу, фирма пользуется ценой для позиционирования своего предложения относительно предложений конкурентов.
Себестоимость изготовления тиража полноцветных буклетов формата А 4, можно разбить на следующие статьи расходов:
1. Бумага – 13 %,
2. Расходные материалы (фотоплёнки, металлизированные офсетные пластины, краска, химикалии) – 24 %,
3. Предпечатная подготовка, печать и послепечатная обработка тиража – 5 %,
4. Переменные расходы – 38 %.
Средняя прибыль по заказам составляет 20 – 30%.
Таким образом, придерживаясь данной раскладки, экономическую деятельность фирмы можно считать вполне удовлетворительной. Но, исходя из особенностей
офсетной полиграфии, при увеличении тиража, с 2000 до 5000 экземпляров, резко начинают расти 1 и 3 основные статьи расходов.
Изготовление тиража на данной печатной машине становится экономически не
выгодно, т.к. печатный станок большего формата и большей цветности изготавливает подобный тираж за гораздо более короткий срок, и соответственно, более низкую стоимость.
Общее положение спасает другой экономический фактор: ни одна крупная
типография не возьмётся за изготовление тиража до 2000 экземпляров, из-за экономической нецелесообразности. Оборудование должно окупать себя, а на подобных тиражах об окупаемости полноцветной машины приходится просто забыть. Статьи 2 и 3 расходов будут таковы, что при обеспечении даже минимальной прибыльности тиража, он становится, просто неконкурентоспособен по стоимости.
К сожалению достаточно много средств, тратится на услуги фотовывода за
неимением своего оборудования. Аналогичная ситуация наблюдается во многих мелких типографиях.
На рынке работают два крупных и несколько мелких поставщиков бумаги для офсетной печати. К их услугам прибегают все без исключения типографии, и стоимость бумаги, закладываемая при расчёте цен на продукцию у всех одинаковая. Бумага в основном хорошего качества и поступает уже порезанная на несколько типоразмеров. Для ООО «Клен» наиболее выгоден формат 470 х 650мм, т.е. чуть больше формата А2.
При использовании бумаги такого формата количество отходов минимально.
К сожалению, подобный размер есть в наличии далеко не всегда и приходится
брать бумагу либо под заказ, либо больших форматов, что значительно менее выгодно из-за большого количества отходов. Стоимость этих отходов приходится закладывать в калькуляцию заказа, что отнюдь не удешевляет стоимость работ. Да и с подготовкой бумаги больших форматов к печати так же возникают некоторые проблемы. Механический нож для бумаги (гильотина) не рассчитан на формат больший 620 х 940мм и порой бумагу приходится резать практически вручную, подгоняя её под формат стола гильотины. Естественно это занимает дополнительное время и также влияет на стоимость тиража.
Краску все берут у одних и тех же поставщиков. В несколько
более выгодном положении находится «Ридо», который сам осуществляет
поставки расходных материалов в город, и соответственно его собственная
типография имеет при этом некоторое преимущество. Разнообразная химия
поставляется несколькими фирмами, от разных производителей и по совершенно
разным ценам. И, как всегда, самое дешевое – не есть самое лучшее.
Таким образом, можно сказать, что типография ООО «Клен» должна
занимать крайне незначительную долю рынка, выполняя работы по изготовлению
небольших тиражей одно и многоцветной полиграфии. Что на данный момент и
произошло. Не имея возможности конкурировать с крупными типографиями,
фирма «Клен» выбрала два основных направления, позволяющих вполне успешно вести конкурентную борьбу на уровне минитипографий. Это достаточно высокое
качество печати и оперативные сроки изготовления тиражей. Учитывая то, что
основной спрос на полиграфию возникает в преддверии проводимых предприятиями выставок и рекламных компаний, можно сказать, что
оперативность становится одним из главных факторов в выборе клиентом
подрядчика. Весьма способствует оперативности программа-калькулятор, позволяющая практически мгновенно обсчитывать клиенту тираж любой сложности. В некоторых типографиях, что бы узнать стоимость заказа, клиенту
порой необходимо ждать от нескольких часов до пары дней, что вряд ли кого
может обрадовать. Теперь, обращаясь непосредственно к ценовой политике типографий, можно на примере простейших таблиц посмотреть, как обстоит дело с
конкурентоспособностью ООО «Клен» на рынке.
Рекламный буклет, 2 фальца, 4+4, мелованная бумага 150 г/кв.м.
Таблица 2.6 Сравнительный анализ уровня цен на примере изготовления рекламного буклета (цены приведены в рублях за единицу изделия).
Типографии
Тираж
1000
3000
5000
НРЛ
7,48
3,59
2,78
Солид - Арт
6,96
3,57
3,07
Алга
6,38
3,62
3,26
Ридо
6,09
3,39
2,73
Клен
5,85
3,41
2,89
В нижеприведённой таблице даны сравнительные данные среднестатистической калужской типографии, и ООО «Клен».
Таблиц 2.7 Сравнительные цены
Тираж
500
1000
2000
3000
5000
Средние цены по Калуге
11,10
5,84
3,50
2,92
2,34
Цены ООО "Клен"
9,34
5,85
4,14
3,41
2,89
На приведённом примере можно оценить уровень цен калужских
производителей. Не смотря на то, что эти цены предоставляются только
рекламным агентствам, которые в свою очередь делают свою наценку для
клиентов, они всё равно несколько ниже козельских. Но ведь представитель
фирмы или предприятия не поедет в Калугу для того, чтобы заказать тираж
брошюр или буклетов. Ему значительно проще сделать всё на месте, вдобавок
очень немногие организации ориентируются в разнице цен козельских и
калужских полиграфистов. Как мы видим, отлично заметно преимущество небольшого станка перед широкоформатными машинами на небольшом тираже. Однако по мере роста тиража становится видно, что даже при общем снижении цены за единицу при увеличении тиража, буклет, изготовленный ООО «Клен» в процентном соотношении начинает отрываться от общего уровня цен. Начинает сказываться небольшой формат станка и его малая цветность. Даже при рассмотрении бланочной продукции, которая, казалось бы, является непосредственной специализацией станка, будет складываться приблизительно аналогичная ситуация. На небольших тиражах ООО «Клен» имеет довольно большое преимущество в цене, однако с увеличением тиража это преимущество быстро сходит на нет и, начиная от 5000 экземпляров бланков, цены становятся уже слабо конкурентными.
Исходя из большей производительности станков большего формата и
большей цветности, можно попытаться приобрести другой печатный станок.
Сейчас уже сложился рынок подержанного полиграфического оборудования,
стоимость которого порой в несколько раз ниже новой печатной машины.
В основном к продаже предлагаются станки, которые эксплуатировались в странах
Западной Европы, что оставляет их в очень приличном состоянии. Но даже при
условии продажи существующей печатной машины, для покупки более
производительного станка потребуется не менее 300000р. Кажется сумма не
очень большая, но при сложившемся уровне цен на полиграфию, этот станок не
сможет окупить себя в разумные сроки без дополнительных статей дохода.
Казалось бы ситуация складывается не очень благоприятная. Маленькие
тиражи разнообразной продукции в лучшем случае позволят покрыть переменные
издержки, не позволяя рассчитывать на экономическую прибыль. Однако
существует ряд факторов, которые позволяют фирме не только получать
прибыль, но и оставаться вполне конкурентоспособным предприятием.
Заключение
В данной работе произведен обзор видов и свойств конкуренции, материалов связанных с деятельностью правительства по регулированию конкуренции. Из выше перечисленного материала, следует, что: конкуренция является необходимым и определяющим условием нормального функционирования рыночной экономики. Но как любое явление имеет свои плюсы и минусы. К положительным чертам можно отнести: активизацию инновационного процесса, гибкое приспособление к спросу, высокое качество продукции, высокую производительность труда, минимум издержек. К негативным последствиям – «победа» одних и «поражение» других, различие в условиях деятельности, что ведет к нечестным приемам, чрезмерная эксплуатация природных ресурсов, экологические нарушения и др.
В целом же, конкуренция несет меньше негативных моментов, чем положительных; конкуренция - значительно меньшее «зло», чем монополия, злоупотребляющая своим положением на рынке.
Конкуренция - определяющее условие поддержания динамизма в экономике, и в условиях конкуренции создается больший ассортимент продукции при меньшей стоимости каждого вида по сравнению с монополией и плановой экономикой.
Без повышения уровня конкуренции невозможно осуществлять ни структурные преобразования в экономике на основе научно-технического прогресса, ни переход к новому качеству экономического роста. Конкуренцию следует оценивать не столько как функцию некоторых рыночных структур, сколько с точки зрения ее результатов. Конкуренция может быть ограниченной вследствие немногочисленности фирм, их размеров, степени концентрации производства. Но важнее знать, насколько подходят потребителю цены, качество товаров. Конкуренция должна быть прежде всего действенной и эффективной.
Проблемы, связанные с развитием различных форм конкуренции неоднозначны, так как реальная жизнь очень динамична и в ней существуют не только критерии экономической эффективности, но действуют и политические или социальные факторы. Обществу выгоднее иметь совершенного конкурента, чем монополиста, в то же время условия производства подталкивают предприятия к тому, чтобы иметь большую власть и влияние на рынок. Как отмечалось выше экономический прогресс - поступательное развитие всей экономической системы, каждого ее элемента: производительных сил, технологического способа производства; производственных отношений, в том числе отношений собственности; хозяйственного механизма. Следовательно без конкуренции не было бы стимула к развитию.
Список используемой литературы
Конституция Российской Федерации: принята всенародным голосованием 12 дек. 1993г. – М: Юрид. лит., 1993. – 61 с.
Федеральный закон о защите конкуренции от 1 декабря 2007 года N 318-ФЗ;принят Государственной Думой 8 июля 2006 года; одобрен Советом Федерации14 июля 2006 года.
Т.В. Муравьева Экономика фирмы учебное пособие пособие/Н.В. Звинцовская, Н.А. Волкова, Г.Н. Миференко – М.: Мастерство 2002. – 400с.
Савицкая Г.В. Анализ хозяйственной деятельности предприятия. Мн.; М.: ИП «Экоперспектива», 1997. – 355с.
Адам Смит. Исследование о природе и причинах богатства народов. Издательство социально-экономической литературы. М., 1962 – 654с.
Теория анализа хозяйственной деятельности /Под ред. В.В. Осмоловского. Мн.: Вышэйшая школа, 1989. – 322 с.
Анализ хозяйственной деятельности в промышленности/Под ред. В.И.Стражева. Мн.: Вышэйшая школа, 1998. – 411 с.
Баканов М.И., Шеремет А.Д. Теория анализа хозяйственной деятельности: Учеб. М.: Финансы и статистика, 1997. – 273 с.
Барнгольц С.Б. Экономический анализ хозяйственной деятельности на современном этапе развития. М.: Финансы и статистика, 1984. – 307с.
Дембинский Н.В. Вопросы теории экономического анализа. М.: Финансы, 1993. – 455 с.
Ильенкова Н.Д. Спрос: анализ и управление. М.: Финансы и статистика, 1997. – 422 с.
Ковалев А.П. Диагностика банкротства. М.: АО «Финстатинформ», 1995. – 329 с.
Курс экономического анализа /Под ред. М.И.Баканова, А.Д.Шеремета. М.: Финансы и статистика, 1984. – 500 с.
Муравьев А.И. Теория экономического анализа: проблемы и решения. М.: Финансы и статистика, 1988. – 436 с.
Панков Д.А. Бухгалтерский учет и анализ в зарубежных странах. Мн.: ИП «Экоперспектива», 1998. – 235 с.
Савицкая Г.В. Теория анализа хозяйственной деятельности. Мн.: ИСЗ,1996.
Шишкин А.П. и др. Бухгалтерский учет и финансовый анализ на коммерческих предприятиях: практическое руководство. М.: АО «Финстат-информ», 1995. – 342 с.
Хэлферт Эрик. Техника финансового анализа. М.: Аудит, ИО «ЮНИТИ», 1996. – 431 с.
В. В. Игнатущенко Оценка качества прибыли. М.: Деловой партнер, 2000. –165 с.
Дамари Р., Финансы и предпринимательство / Пер. с англ. Вышинский Е.В., Пипейкина В.П.: Елень, 1992. –222 с.
Курс экономической теории. Под ред. Чепурина М.Н., Киселевой Е.А. – Киров: АСА,2003-352 с.
Лебедева С.Н. и др. Экономика торгового предприятия: Учеб. пособие по спец. "Мир.экон.и междунар. экон. отн." для вузов/ С.Н.Лебедева, Н.А.Казиначикова, А.В.Гавриков; Подред.С.Н.Лебедевой.-2-е изд. - Мн.: Новое знание,2002– 325 с.
Советский энциклопедический словарь :научно-редакционный совет А.М. Прохоров, М.С. Гиляров, Е.М. Жуков, Н.Н. Иноземцев, И.Л. Кнунянц, П.Н. Федосеев, М.Б. Храпченко., издательство «Советская энциклопедия» Москва, 1980 – 1599с.
rudiplom.ru/lekcii/economika/econom_history/ История экономических учений – курс лекций, Москва 1997г.
ru.wikipedia.org/Антимонопольное законодательство – курс лекций, Москва 2009г.
Приложение 1.
Расчет показателей технико-экономической деятельности предприятия с помощью офисного приложения EXCEL
Рисунок 1
Рисунок 2
Нравится материал? Поддержи автора!
Ещё документы из категории экономика:
Чтобы скачать документ, порекомендуйте, пожалуйста, его своим друзьям в любой соц. сети.
После чего кнопка «СКАЧАТЬ» станет доступной!
Кнопочки находятся чуть ниже. Спасибо!
Кнопки:
Скачать документ