Методология планирования




















Методология планирования
Федеральное агентство по образованию
Байкальский государственный университет экономики и права
Кафедра Экономики и управления инвестициями и недвижимостью
Одобрено
Учебно-методической
комиссией БГУЭП
Учебно-методический комплекс по дисциплине
«ВНУТРИФИРМЕННОЕ ПЛАНИРОВАНИЕ»
(«Планирование на предприятии»)
Учебное пособие
Специальность 080502 Экономика и управление на предприятии (строительство)
Цикл общепрофессиональных дисциплин; компонент федеральный
Иркутск
Издательство БГУЭП
2009
УДК 005.51(075.8)
ББК 65.291.23я7
Ж 70
Печатается по решению редакционно-издательского совета
Байкальского государственного университета экономики и права
Учебно-методический комплекс обсужден и утвержден на заседании кафедры Экономики и управления инвестициями и недвижимостью (протокол № 3 от «02» ноября 2009 г.)
Составитель канд.экон.наук, доц. И.Б. Жижко
Рецензент канд.экон.наук, доц. С.А. Астафьев
СОГЛАСОВАНО
Декан факультета д-р экон.наук, проф. Н.В.Полякова
«25» ноября 2009 г.
Начальник УМУ канд. физ-мат.наук, проф. Н.В. Деренко
«28» ноября 2009 г.
Жижко И.Б.
Ж 70. Учебно-методический комплекс по дисциплине «Внутрифирменное планирование» («Планирование на предприятии»): учеб. пособие. – Иркутск: Изд-во БГУЭП, 2009. – 60 с.
ISBN
Учебно-методический комплекс по дисциплине составлен на основании Государственного образовательного стандарта высшего профессионального образования специальности 080502 Экономика и управление на предприятии (строительство), утвержденного 02.03.00. № 686.
Содержит программу курса, график учебного процесса, характеристику разделов и тем дисциплины, систему промежуточного и итогового контроля знаний, методические рекомендации по выполнению курсовой работы, методические указания по организации самостоятельной работы, списки рекомендуемой литературы.
Предназначен для студентов всех форм обучения специальности 080502 Экономика и управление на предприятии (строительство).
I. УЧЕБНАЯ ПРОГРАММА ДИСЦИПЛИНЫ
1. Пояснительная записка
Исследование возможности эффективного управления социально экономическими системами всегда актуально и составляет научно практический интерес. Цикличность экономического состояния предприятий и динамика изменения рыночной экономики предполагают использование различных инструментов управления в процессе структурных преобразований организационных систем.
В качестве объекта управления выступают и предприятия строительного производства, что позволяет их рассматривать в аспекте теории управления экономическими системами. Такие системы подвержены влиянию изменяющейся траектории движения макро и микроэкономических процессов и существуют в рамках общих принципов управления (системности, адаптивности, устойчивости, развития и др.), которые реализуются через функции управления.
Планирование как одна из функций управления представляет вид управленческой деятельности в системе: субъект управления – объект управления – внешняя среда. В процессе планирования определяется цель развития системы и разрабатывается программа ее достижения.
В экономической науке используется комплексный подход при изучении функций управления, включающих планирование, организацию, контроль и регулирование и обеспечивающих реализацию принципов управления системами. Взаимосвязь функций управления требует общего подхода к оценке качества их выполнения.
Планирование как функция управления предприятием направлено на обоснованную количественную оценку будущего развития (состояния) бизнеса.
Для осуществлений одной из функций управления — анализа результатов деятельности предприятия необходимо соответствие количественных характеристик плана показателям учета (бухгалтерский учет, налоговый учет, управленческий учет). Поскольку методология бухгалтерского и налогового учета регламентирована, то в планировании используются идентичные экономические показатели. Если учет регистрирует фактически произведенные хозяйственные операции, то планирование основывается не только на анализе ретроспективных результатов деятельности, но и учитывает состояние макроэкономики, рынка продукции и услуг. Информация для осуществления планирования включает внешнюю информацию (законодательные акты, макроэкономические показатели, состояние рынка и конкуренция) и внутреннюю информацию (договоры, ПСД, ресурсы, включая производственные мощности и технологии, нормативы затрат труда, расхода материалов, калькуляции затрат на эксплуатацию машин, сметы накладных расходов, бюджет доходов и расходов и др.).
Учебно-методический комплекс позволит студентам экономических вузов освоить основы планирования в управлении бизнес–процессами строительного производства и применить их в практической деятельности.
Предмет дисциплины: изучение методов планирования и показателей плана производственно хозяйственной деятельности подрядной строительной организации, которая осуществляет на основе договора подряда функции генерального подрядчика, а также обязанности субподрядной организации. Дана характеристика стратегическому (долгосрочный — 3 и более лет), среднесрочному (от 1 до 3 лет) и текущему плану на 1 год с разбивкой по кварталам. Определены методы расчета показателей оперативного плана на месяц, декаду.
С учетом форм организации строительного производства и периода прогноза планируются показатели: общий объем работ, объем работ по генподряду, объем работ, выполняемый собственными силами по договору генподряда и договору субподряда, объем работ, выполняемых субподрядными организациями.
В состав текущего плана включаются: производственная программа, план по труду и зарплате, план МТО, план эксплуатации строительных машин и механизмов, план накладных расходов, раздел планирования себестоимости и мероприятия по ее снижению, планирования налоговых платежей, а также финансовый план, инвестиционный план.
Дисциплина «Внутрифирменное планирование» дает студенту представление об экономических процессах, происходящих в строительстве, их закономерностях и тенденциях, позволяет использовать полученные знания в планировании строительного производства.
2. Цели и задачи изучения дисциплины
Целью изучения дисциплины является овладение методами планирования деятельности строительного предприятия для эффективного управления его ресурсами.
Задачи, вытекающие из цели преподавания курса, включают изучение методов оперативного прогнозного планирования показателей производственной программы, плана по труду и зарплате, использования машин и механизмов, материальных и финансовых ресурсов, себестоимости и прибыли, инвестиционного планирования с учетом макроэкономических процессов, тенденций на рынке строительной продукции.
Изучение курса планирования в строительной организации находится в тесной взаимосвязи с дисциплинами: «Экономика строительного предприятия и отрасли», «Организация строительного производства», «Бухгалтерский учет и аудит», «Финансовый менеджмент», «Анализ и диагностика финансово-хозяйственной деятельности предприятия», «Сметное дело и ценообразование в строительстве», «Управление рисками», «Маркетинг недвижимости», «Менеджмент фирмы».
3. Требования к усвоению дисциплины
В результате изучения дисциплины «Внутрифирменное планирование» студент должен иметь представление о действии экономических законов в строительстве, знать теоретические основы и закономерности планирования как функции управления деятельностью строительной организации в условиях рыночной экономики. Должны быть освоены методы количественной оценки планируемых показателей использования ресурсов строительной организации, ее финансовых результатов, эффективности бизнес-процессов строительного производства. Студент должен владеть терминологией, используемой в экономической деятельности предприятий строительной отрасли. Умение рассчитывать планируемые показатели инвестиционной деятельности создаст условия для успешного освоения материала в рамках взаимосвязанных специальных экономических дисциплин.
4. Содержание дисциплины
4.1 Содержание дисциплины, структурированное по видам учебных занятий с указанием их объемов в часах
Вид учебной работы
Количество часов по формам обучения
Очная
Заочная
Ускоренная
УС/2
УС/3
№№ триместров
4.1. – 4.2.
4.2. – 5.1.
1.2.–2.1.
2.1.–2.2
Аудиторные занятия:
72
22
22
22
лекции
48
22
22
22
семинарские занятия
24
–
–
–
Самостоятельная работа
78
128
128
128
ВСЕГО ЧАСОВ ПО ДИСЦИПЛИНЕ
150
150
150
150
Курсовая работа
(№ триместра)
4.2.
5.1.
2.1.
2.2.
Виды итогового контроля (экзамен, зачет) – №№ триместров
Экзамен – 4.2.
Экзамен – 5.1.
Экзамен – 2.1.
Экзамен – 2.2.
Распределение часов по темам и видам учебной работы
Форма обучения очная
Названия разделов и тем
Всего часов по учебному плану
Аудиторные занятия, в том числе
Самостоятельнаяработа
Лекции
Семинары
1. Введение в курс
2
2
-
-
12
4
2
6
8
2
-
6
16
4
4
8
5. Планирование затрат труда и заработной платы
14
4
2
8
6. Планирование механизации строительных работ и затрат на их выполнение
12
2
2
8
7. Планирование материально-технического обеспечения производства
14
4
2
8
20
8
4
8
9. Планирование прибыли предприятия
19
6
3
10
10. Финансовое планирование
17
6
3
8
11. Инвестиционное планирование
16
6
2
8
Итого
150
48
24
78
Форма обучения заочная
Названия разделов и тем
Всего часов по учебному плану
Аудиторные занятия, в том числе
Самостоятельная работа
Лекции
Семинары
1. Введение в курс
3
1
-
2
11
1
-
10
12
2
-
10
17
3
-
14
5. Планирование затрат труда и заработной платы
14
2
-
12
6. Планирование механизации строительных работ и затрат на их выполнение
14
2
-
12
7. Планирование материально-технического обеспечения производства
14
2
-
12
19
3
-
16
9. Планирование прибыли предприятия
16
2
-
14
10. Финансовое планирование
16
2
-
14
11. Инвестиционное планирование
14
2
-
12
Итого
150
22
-
128
Форма обучения ускоренная
Названия разделов и тем
Всего часов по учебному плану
Аудиторные занятия, в том числе
Самостоятельная работа
Лекции
Семинары
1. Введение в курс
3
1
-
2
11
1
-
10
12
2
-
10
17
3
-
14
5. Планирование затрат труда и заработной платы
14
2
-
12
6. Планирование механизации строительных работ и затрат на их выполнение
14
2
-
12
7. Планирование материально-технического обеспечения производства
14
2
-
12
19
3
-
16
9. Планирование прибыли предприятия
16
2
-
14
10. Финансовое планирование
16
2
-
14
11. Инвестиционное планирование
14
2
-
12
Итого
150
22
-
128
4.2 Содержание разделов и тем
Тема 1. Введение в курс
Структура курса, учебно-методическая и научная литература. Цели, задачи и предмет планирования. Взаимосвязанные с курсом дисциплины. Законодательная и нормативная база планирования.
Контрольные вопросы
1. Цели, задачи и предмет планирования.
2. Законодательная и нормативная база планирования.
Тема 2. Методология планирования
Планирование, как функция управления. Стратегическое, годовое и оперативное планирование деятельности строительного предприятия в условия экономических рисков. Структура, технология и приоритеты планирования. План для «себя» и инвесторов. Условия, определяющие стратегию планирования работы предприятия. Разработчики плана и информация. Попроцессный метод планирования и его регламент, ресурсы операционной деятельности, подходы к формированию системы сбалансированных показателей бизнес-процессов.
Контрольные вопросы
1. Стратегическое, годовое и оперативное планирование.
2. Условия, определяющие стратегию развития предприятия.
3. Планирование как функция управления.
4. Основы попроцессного метода планирования.
Тема 3. Инфраструктура планирования
Перспективы развития строительной отрасти, рынка строительной продукции. Диверсификация производства и его рентабельность. Современные формы участия строительного предприятия в инвестиционных проектах. Форма участия в бизнесе, как основа плановой и учетной политики предприятия. Информация и регламент планирования деятельности строительной организации.
Контрольные вопросы
1. Перспективы развития строительной отрасли и рынка строительной продукции.
2. Форма участия в бизнесе, как основа плановой и учетной политики предприятия.
3. Бухгалтерская, статистическая и иная информация о состоянии макроэкономики и рынка для реализации функции планирования.
Тема 4. Производственное планирование
Производственная мощность строительного предприятия. Производственная программа и ее многовариантность. Разделы производственной программы и ее показатели. Методика расчета плановых показателей. «Поведение» стоимостных показателей в условиях инфляции. Классификация объектов производственной программы. План производства строительной продукции в натуральных единицах измерения. Формы расчетов между участниками строительства. Годовое и оперативное планирование производственной программы во взаимосвязи с другими разделами плана строительного предприятия. Особенности планирования производственной программы субподрядной строительной организации.
Контрольные вопросы
1. Производственная программа и ее показатели.
2. Методы определения показателей производственной программы.
3. Расчеты между участниками строительства за готовую продукцию (этапы строительных работ).
4. Взаимосвязь показателей производственной программы с другими разделами плана.
5. Особенности планирования производственной программы субподрядной строительной организации.
Тема 5. Планирование затрат труда и заработной платы
Планирование численности и квалификационного состава работников предприятия. Показатели выработки и факторы, определяющие их величину. Методика расчета показателей выработки в годовом и оперативном плане. Планирование затрат на оплату труда рабочих и аппарата управления. Распределение плановых затрат на оплату труда при постатейном и поэлементном калькулировании себестоимости СМР. Планирование заработной платы в условиях инфляции и учет затрат в договорной цене на строительную продукцию. Динамика показателей выработки и средней заработной платы. Нормативная и информационная база планирования показателей по труду и заработной плате. Особенности планирования затрат труда и заработной платы в странах с развитой рыночной экономикой.
Контрольные вопросы
1. Планирование среднесписочной численности работников (рабочих и аппарата управления).
2. Показатели выработки и факторы, определяющие их величину.
3. Планирование затрат на оплату труда.
4. Динамика показателей выработки и средней зарплаты.
Тема 6. Планирование механизации строительных работ и затрат на их выполнение
Разделы и показатели плана. Планирование потребности в строительных машинах. Организационные формы выполнения механизированных работ. Затраты на эксплуатацию строительных машин и механизмов в годовом и оперативном плане. Структура затрат на эксплуатацию строительных машин с целью их группировки в поэлементном планировании себестоимости СМР. Планируемые затраты в договорной цене на строительную продукцию. Нормативная и информационная база планирования.
Контрольные вопросы
1. Планирование потребности в строительных машинах.
2. Организационные формы выполнения механизированных работ и планирование затрат на эксплуатацию строительных машин и механизмов.
Тема 7. Планирование материально-технического обеспечения производства
Разделы и показатели годового и оперативного плана. Потребность в материальных ресурсах и комплектация ими объектов строительства. Планирование запасов и затрат на материальные ресурсы. Учет фактора роста цен на материальные ресурсы. Структура затрат на материалы. Планирование потребности и затрат на транспорт. Методы расчета планируемых затрат на содержание складского хозяйства. Форма поставки материалов в планировании затрат материально-технического обеспечения строительного производства. Нормативная и информационная база планирования.
1. Разделы плана МТО.
2. Планирование запасов и затрат на материальные ресурсы.
3. Планирование потребности в транспортных средствах, а также затрат на перевозку и хранение строительных материалов.
Тема 8. Планирование себестоимости строительной продукции
Разделы и показатели плана себестоимости СМР. Смета накладных расходов. Методы планирования себестоимости. Постатейное и поэлементное планирование затрат на производство. План снижения затрат на производство. Методика расчета показателей снижения затрат по статьям и элементам себестоимости. Налоги и взносы в цене строительной продукции. Планирование налоговых платежей и страховых взносов, как элемента затрат на производство. Формирование договорной цены и затрат на производство в условиях инфляции. Нормативная и информационная база планирования. Планирование показателей затрат по объектам и операциям строительного производства.
Контрольные вопросы
1. Поэлементное и постатейное планирование себестоимости СМР.
2. План снижения затрат на производство.
3. Планирование налоговых платежей и страховых взносов, как элемента затрат на производство.
4. Смета накладных расходов.
5. Планирование показателей затрат по объектам и операциям строительного производства.
Тема 9. Планирование прибыли предприятия
Планирование финансовых результатов деятельности строительной организации на основе показателей выручки от продажи продукции и услуг, себестоимости продаж, валовой прибыли, управленческих расходов, прибыли от продаж, прочих доходов и расходов. Планируемая рентабельность. Прибыль от продажи строительной продукции, прибыль в незавершенном производстве. Методика планирования прибыли в цене строительных работ по объектам производственной программы на основе операционного менеджмента. Прибыль от реализации материальных ценностей и иных прочих доходов и расходов. Планирование прибыли от операций с ЦБ, валютных операций, аренды, совместной деятельности. Планирование использования прибыли. Налоговые платежи из прибыли. Прогноз использования прибыли предприятия как собственного источника финансовых ресурсов. Влияние инфляции на накопления предприятия и прогноз оборотных средств. Нормативная и информационная база планирования.
Контрольные вопросы
1. Планирование рентабельности строительного производства.
2. Планирование прибыли от продажи строительной продукции и в незавершенном производстве.
3. Налоговые платежи из прибыли.
4. Прибыль от операционной, инвестиционной и финансовой деятельности.
5. Планирование использования прибыли, как собственного источника финансирования.
6. Пообъектное планирование прибыли строительного производства.
Тема 10. Финансовое планирование
Годовой и оперативный план доходов и расходов строительной организации, разделы и показатели. Планирование оборотных средств с учетом условий оплаты готовой строительной продукцию, основы формирования денежного потока. Балансовый план, как прогноз состояния активов и пассивов строительного предприятия. Оценка эффективности оперативного планирования.
Контрольные вопросы
1. Планирование оборотных средств.
2. План денежных потоков.
3. План доходов и расходов.
4. Балансовый план.
Тема 11. Инвестиционное планирование
Инвестиционный план, его разделы и показатели. Содержание бизнес-план, показатели плана и их взаимосвязь. Цена капитала. Показатели эффективности инвестиционного плана.
Контрольные вопросы
1. Содержание инвестиционного плана.
2. Бизнес-план, его разделы и показатели.
3. Показатели оценки эффективности инвестиций.
5. Организация промежуточного и итогового контроля знаний
5.1 Система формирования 100-бальной оценки
I-II семестр
- контрольные работы: 6 работ х 5 баллов = 30 баллов;
- текущий контроль в виде тестирования: до 60 баллов;
- премиальные: до 10 баллов.
Экзамен — итого: до 100 баллов.
II семестр
Курсовая работа — до 100 баллов.
5.2 Образцы тестовых и контрольных заданий
Задание 1. Составить план доходов строительной организации на планируемый период.
Условия задания.
1. Компания производит два вида продукции:
- «А» — строительство индивидуального жилья;
- «Б» — строительство многоквартирного жилья.
2. Производственные мощности по продукции «А» — 40 тыс. м2 в год, по продукции «Б» — 60 тыс. м2 в год.
3. В прошлом году компания произвела 30 тыс. м2 индивидуального жилья (продукция А) и 50 тыс. м2 многоквартирного жилья (продукция Б).
4. Компания инвестирует в расширение мощностей для производства продукции «А» и доведет свои производственные мощности до 45 тыс. м2 жилья к началу третьего прогнозного года.
5. С учетом спроса прогноз роста продаж на 4 года составит
Год 1
Год 2
Год 3
Год 4
Продукция «А»
15%
10%
10%
5%
Продукция «Б»
10%
10%
5%
5%
6. Цена продажи для продукции «А» (1 м2 жилья) — 40 тыс. руб., для продукции «Б» (1 м2 жилья) — 30 тыс. руб. Ожидается, что цены на продукцию «А» будут расти в прогнозный период на 5% ежегодно, на продукцию «Б» останутся без изменения.
Показатели
Прошлый год
Прогноз на 1 год
Прогноз на 2 год
Прогноз на 3 год
Прогноз на 4 год
Объем продаж продукции «А», тыс. м2
30,0
Объем продаж продукции «Б», тыс. м2
50,0
Цена продажи «А», тыс. руб.
40,0
Цена продажи «Б», тыс. руб.
30,0
Выручка от продаж «А», тыс. руб.
1200
Выручка от продаж «Б», тыс. руб.
1500
Итого выручка от продаж
2700
Ежегодные темпы прироста выручки, %
Задание 2. Разнести затраты из постатейной себестоимости строительных работ по элементам затрат на общий объем работ планируемого периода
Показатели сметной себестоимости по статьям затрат
Сумма затрат и стоимость работ, выполняемых собственными силами
Сметная себестоимость по элементам затрат
Сумма затрат и стоимость общего объема работ
1.Затраты на материалы и конструкции:
1. Материальные затраты:
- отпускная цена
- услуги сторонних организаций
- транспортные расходы
- отпускная цена материалов и конструкций
- заготовительно-складские расходы, в т. ч.:
-затраты на топливо, э\энергию
а) зарплата работников
- запасные части на текущий ремонт основных средств
б) эксплуатационные расходы (содержание базы)
- затраты на материалы в составе накладных расходов
в) коммунальные платежи
г) амортизация основных средств
2. Основная заработная плата рабочих
2. Затраты на оплату труда
-рабочих сдельщиков
-рабочих–повременщиков, включая машинистов, рабочих обслуживающего хозяйства
-аппарата управления
3. Затраты на эксплуатацию машин и механизмов:
3.Отчисления на социальные нужды (в составе накладных расходов)
- зарплата машинистов
4. Амортизация основных средств
- топливо и электроэнергия
- основного производства
- затраты на текущий ремонт
- обслуживающего хозяйства
-амортизация
- офисных зданий и оборудования
4. Накладные расходы:
5. Прочие затраты:
- налоги, относимые на себестоимость
- налоги, относимые на себестоимость
- основная и дополнительная зарплата аппарата управления, дополнительная зарплата рабочих
- командировочные расходы
- отчисления на социальные нужды (страховые взносы)
- услуги связи
- амортизация основных средств
- обслуживание счета организации и др.
- коммунальные платежи
- материалы (канцтовары, устройство временных сооружений и др.)
- эксплуатационные расходы
- командировочные расходы
- услуги связи
- прочие расходы
Итого себестоимость
Сметная прибыль
Стоимость работ
Задание 3. Составить план денежного потока на прогнозный период
1. Выручка от продаж (темп прироста = 15%)
3,000
3,450
3,968
2. Себестоимость продаж (65% от выручки)
3. Валовая прибыль
4. Операционные (управленческие) расходы (20% от выручки)
5. Амортизация
200
220
240
6. Прибыль до выплаты процентов и налогов (прибыль от продаж)
7. Проценты
100
100
100
8. Налогооблагаемая прибыль
9. Налог на прибыль (20%)
10. Чистая прибыль (ЧП)
11. Денежный поток
12. Прирост дебиторской задолженности
100
95
105
13. Прирост запасов
30
40
50
14. Прирост кредиторской задолженности
140
150
160
15. Прирост долгосрочного долга
100
130
130
16. Капиталовложения
50
60
70
17. Чистый денежный поток
380
463
509
18. Денежные средства на начало (10% выручки)
300
345
397
19. Требуемый минимум денежных средств на конец периода
456
20. Свободный денежный поток (FCF)
5.3 Форма итогового контроля
Итоговый контроль проводится в виде сдача курсовой работы и экзамена во втором триместре. Оценка за курсовую работу определяется исходя из использования методов расчета плановых показателей деятельности строительной организации. Экзаменационная оценка определяется на основании результатов выполнения курсовой работы, практических заданий, ответов и выступлений на практических занятиях, а также ответа на экзаменационный билет в устной форме.
5.4 Перечень вопросов к экзамену
1. Цели, задачи и предмет планирования.
2. Законодательная и нормативная база планирования.
3. Стратегическое, годовое и оперативное планирование.
4. Условия, определяющие стратегию развития предприятия.
5. Планирование как функция управления.
6. Основы попроцессного метода планирования.
7. Перспективы развития строительной отрасли и рынка строительной продукции.
8. Форма участия в бизнесе, как основа плановой и учетной политики предприятия.
9. Бухгалтерская, статистическая и иная информация о состоянии макроэкономики и рынка для реализации функции планирования.
10. Производственная программа и ее показатели.
11. Методы определения показателей производственной программы.
12. Расчеты между участниками строительства за готовую продукцию (этапы строительных работ).
13. Взаимосвязь показателей производственной программы с другими разделами плана.
14. Особенности планирования показателей деятельности генподрядной и субподрядной строительных организаций.
15. Оценка влияния рынка на показатели производственной программы строительной организации.
16. Нормативное регулирование планирования строительного производства.
17. Планирование среднесписочной численности работников (рабочих и аппарата управления).
18. Показатели выработки и факторы, определяющие их величину.
19. Планирование затрат на оплату труда.
20. Динамика показателей выработки и средней зарплаты.
21. Планирование потребности в строительных машинах.
22. Организационные формы выполнения механизированных работ и планирование затрат на эксплуатацию строительных машин и механизмов.
23.Методы планирования затрат на эксплуатацию машин и механизмов.
24. Разделы плана МТО.
25. Планирование запасов и затрат на материальные ресурсы.
26. Планирование потребности в транспортных средствах, а также затрат на перевозку и хранение строительных материалов.
27. Поэлементное и постатейное планирование себестоимости СМР.
28. План снижения затрат на производство.
29. Планирование налоговых платежей и страховых взносов, как элемента затрат на производство.
30. Смета накладных расходов.
31. Планирование показателей затрат по объектам и операциям строительного производства.
32. Планирование рентабельности строительного производства.
33. Планирование прибыли от продажи строительной продукции и в незавершенном производстве.
34. Налоговые платежи из прибыли.
35. Прибыль от операционной, инвестиционной и финансовой деятельности.
36. Планирование использования прибыли, как собственного источника финансирования.
37. Пообъектное планирование прибыли строительного производства.
38. Планирование оборотных средств.
39. План денежных потоков.
40. План доходов и расходов.
41. Балансовый план.
42. Содержание инвестиционного плана.
43. Бизнес-план, его разделы и показатели.
44. Показатели оценки эффективности инвестиций.
5.5. Образцы экзаменационных билетов
Билет № 1
1. Оценка влияния рынка на показатели производственной программы строительной организации.
2. Методы планирования затрат на эксплуатацию машин и механизмов.
3. Задача.
Билет № 2
1. Нормативное регулирование планирования строительного производства.
2. Особенности планирования показателей деятельности генподрядной и субподрядной строительных организаций.
3. Задача.
II. Методические указания по изучению дисциплины
1. Методические указания по выполнению отдельных видов учебной работы.
Теоретическая подготовка (структура лекционного курса)
1. Основные положения и структура лекционного курса представлены следующими разделами.
2. Производственная программа строительной организации.
3. План повышения эффективности строительного производства (план организационно-технических мероприятий).
4. Расчет эффективности ОТМ по сокращению затрат труда.
5. Расчет эффективности ОТМ по снижению себестоимости.
6. Система показателей экономической эффективности строительного производства.
7. План по труду и заработной плате.
8. Планирование затрат на эксплуатацию машин и механизмов.
9. Планирование заработной платы.
10. Планирование материально-технического обеспечения.
11. Планирование запасов и затрат на материалы.
12. Планирование прибыли и себестоимости строительно-монтажных работ.
13. Планирование себестоимости.
14. Основные статьи накладных расходов.
15. Бизнес-план и оценка проектов.
16. Описание инфляции.
Практическая подготовка
(структура семинарских и практических занятий)
Структура семинарских и практических занятий определена теоретическими положениями изучаемой дисциплины. Содержание занятий направлено на освоение студентами методики расчета системы плановых показателей производственной программы строительной организации, а также ресурсов, обеспечивающих ее реализацию в условиях рынка. Разработка финансового плана основана на современных методиках стоимостного подхода к оценке эффективности деятельности предприятия.
2. Методические указания по организации самостоятельной работы
Самостоятельная работа студентов включает ознакомление с теоретическими положениями и практическими заданиями учебного пособия по дисциплине, методическими рекомендациями по выполнению курсовой работы. Кроме того, изучаются учебные материалы, указанные в качестве основной и дополнительной литературы. Согласно учебному пособию и методическим рекомендациям студент выполняет практические задания и курсовую работу.
3. Методические рекомендации по выполнению курсовой работы
3.1 Цель курсовой работы
Курсовая работа предусматривает углубленное изучение процессов и направлений оперативно-технического планирования на строительном предприятии; обобщает знания, полученные в ходе изучения курсов «Экономика строительного предприятия и отрасли», «Организация строительного производства» и «Сметное дело и ценообразование в строительстве»; представляет студентам богатый опыт самостоятельной работы с нормативными источниками информации. Цель курсовой работы — получение студентами практических навыков составления квартальных и годовых оперативных планов строительной организации при расчете производственной программы, планировании себестоимости и финансовых результатов деятельности.
3.2 Порядок выполнения курсовой работой
Исходные данные по курсовой работе являются индивидуальными для каждого студента и полностью содержатся в циклограмме, а также в расчетно-пояснительной записке к контрольной (курсовой) работе, выполняемой в рамках изучения курса «Организация строительного производства».
В процессе работы следует использовать рекомендованную литературу, а также ряд нормативных источников (СНИПы, ЕНИРы, ГЭСН, МДС), список которых приведен в соответствующих разделах данных методических указаний.
Законченная курсовая работа имеет полностью табличную форму и состоит из следующих разделов.
1. Производственная программа предприятия.
План ввода в действие мощностей и объектов.
План подрядных работ по заказчикам и объектам.
План подрядных работ по исполнителям.
План подрядных работ в натуральных показателях.
2. План организационно-технических мероприятий.
3. Планирование труда и заработной платы.
Калькуляция затрат труда и заработной платы.
Годовой баланс рабочего времени.
План по труду и заработной плате.
4. Планирование затрат на эксплуатацию машин и механизмов.
5. План материально-технического обеспечения.
6. Планирование накладных расходов.
Смета административно-хозяйственных расходов.
Смета накладных расходов.
7. Планирование себестоимости строительного производства.
Планирование себестоимости строительно-монтажных работ по статьям затрат.
Планирование себестоимости строительно-монтажных работ по элементам затрат.
8. Планирование финансовых результатов.
Расчет налоговых платежей.
План прибылей и убытков.
Выводы.
Список использованной литературы.
Все разделы представляются в виде одной или нескольких таблиц, согласно содержанию.
планирование строительный организация
3.3. Методические указания по разработке курсовой работы
3.3.1 Производственная программа предприятия
Производственная программа строительного предприятия представляет собой весь комплекс СМР, принятых к исполнению в плановом периоде согласно договорам подряда, ПСД, технологии производства работ. Изначально каждым студентом выбирается период длиною в год по циклограмме строительства серии жилых домов или иных объектов, разработанной в контрольной (курсовой) работе по курсу «Организация строительного производства». Все объекты и потоки строительства, попадающие в рамки данного периода, будут служить основой для дальнейших расчетов по составлению годового оперативного плана строительной организации.
3.3.1.1 План ввода в действие мощностей и объектов
План ввода в действие мощностей и объектов представлен в табл. 1.
Таблица 1
План ввода в действие мощностей и объектов
Наименование заказчиков и объектов
Вводимая мощность
Срок начала строительства
Срок окончания строительства
Мэрия г. Иркутска
Жилой дом № 1
В таблицу включаются все объекты, ввод которых предполагается в плановом периоде. Мощность объектов жилья исчисляется в м2 полезной площади.
3.3.1.2 План подрядных работ по заказчикам и объектам
План подрядных работ по заказчикам и объектам представлен в табл. 2.
Таблица 2
План подрядных работ по заказчикам и объектам, тыс. р
Наименование заказчиков и объектов
План на год
В том числе по кварталам
I
II
III
IV
УКС администрации г. Иркутска
Жилой дом № 1
Комплекс 1
Комплекс 2
……………..
Жилой дом № 2
……………..
В этом плане указываются заказчики и объекты с перечислением комплексов работ (выполняемых в плановом периоде). Заказчиком может выступать организация, уполномоченная инвестором на осуществление реализации инвестиционного проекта. Объемы строительно-монтажных работ указываются в рублях сметной стоимости в ценах 1991 г. или текущих ценах, в том объеме, в котором комплексы работ попадают в плановый период. Так же с помощью циклограммы производится разбивка плана работ по кварталам. Перечень видов работ, технология их производства, а также трудозатраты приводятся в контрольной (курсовой) работе курса «Организация строительного производства». Стоимость планируемого объема работ определяется по локальной смете, составленной базисно–индексным или ресурсным методом (в текущих ценах).
3.3.1.3 План подрядных работ по исполнителям
План подрядных работ по исполнителям разрабатывается в форме табл. 3.
Таблица 3 План подрядных работ по исполнителям, тыс. р
Наименование исполнителей
План на год
В том числе по кварталам
I
II
III
IV
Общий объем работ
Объем работ по генподряду
Объем работ собственными силами
Объем работ по субподряду
В том числе:
Предполагается, что строительная организация является генеральным подрядчиком в возведении объектов строительства. Выбор субподрядчиков осуществляется студентом самостоятельно. При этом необходимо учесть равномерную загруженность генподрядной организации в течение всего планового периода. Все расчеты для планирования себестоимости по статьям затрат производятся на объем строительно-монтажных работ, выполняемый собственными силами организации.
Объем строительно-монтажных работ каждого субподрядчика равен стоимости соответствующих его профилю видов работ. Например, для субподрядчика ООО «Сантехмонтаж» плановый объем работ на год будет складываться из стоимости всех видов сантехнических работ, выбранных из соответствующих комплексов. Для упрощения разбивки плановых объемов по кварталам используется предположение, что каждая работа является равноритмичной на протяжении всего потока (комплекса), в который она включена.
3.3.1.4 План подрядных работ в натуральных показателях
План подрядных работ в натуральных показателях (или физобъемы) рассчитывается в форме табл. 4.
Таблица 4 План подрядных работ в натуральных показателях
Наименование заказчиков и объектов
Ед. изм.
План на год
В т. ч. по кварталам
I
II
III
IV
1. Производство земляных работ
…………………………………..
В данном разделе производственной программы плановые объемы группируются и суммируются по комплексам, независимо от объектов. Каждый комплекс разбивается на виды работ, объемы которых на год и по кварталам рассчитываются в натуральных показателях согласно сметы.
3.3.2 План организационно-технических мероприятий
Данный план представляет собой комплекс научных, технических, организационных и управленческих решений с расчетом и обоснованием их эффективности.
В курсовом проекте студентам предлагается рассчитать план организационно-технических мероприятий, направленный на снижение себестоимости строительно-монтажных работ. Расчеты выполняются в форме табл. 5.
Таблица 5 План организационно-технических мероприятий
Мероприятия
Единица измерения
Количество
Себестоимость СМР наединицу работ
Себестоимость СМР на планируемый объем работ
Материалы
ЭМ
Основная
заработная плата рабочих
НР
Материалы
ЭМ
Основная
заработная плата рабочих
НР
1. Заменяемая работа (проектное решение)
100 м2
2. Планируемая работа (новое решение)
100 м2
Экономия (+), удорожание (–)
Итого
Алгоритм планирования следующий:
1) определяются работы, которые возможно с учетом требований технологии производства заменить на более эффективные, т. е. требующие меньших затрат с заданным в проекте качеством.
2) с использованием сметных нормативов определяются расходы по статьям затрат и трудозатраты на единицу работ и планируемый годовой объем работ;
3) рассчитывается эффективность предлагаемых мероприятий, которая складывается из:
а) снижения себестоимости строительно-монтажных работ как суммы абсолютных значений экономии по статьям затрат на планируемый объем каждой из заменяемых работ:
- материалы: экономия (–); увеличение (+);
- эксплуатация машин и механизмов: экономия (–); увеличение (+);
- основная заработная плата рабочих: экономия (–); увеличение (+);
Итого экономия прямых затрат, сумма: _____;
- накладные расходы: экономия (–); увеличение (+).
Размер накладных расходов по каждой работе рассчитывается на основе нормы, принятой в локальной смете;
б) снижение затрат труда.
Предложенные мероприятия могут привести к дополнительной косвенной экономии условно-постоянной части накладных расходов за счет снижения трудозатрат планируемой работы по сравнению с заменяемой.
Такая экономия рассчитывается по формуле:
где Нз — накладные расходы по заменяемой работе;
Тп — трудоемкость планируемой работы;
Тз — трудоемкость заменяемой работы.
Косвенная экономия накладных расходов суммируется с экономией накладных расходов, рассчитанной в пункте а).
Итого экономия себестоимости СМР, сумма:_
Полученный результат экономии планируемых мероприятий учитывается в разделе «Планирование себестоимости строительного производства».
3.3.3 Планирование труда и заработной платы
План по труду и заработной плате разрабатывается на основе показателей производственной программы, проектно-сметной документации, нормативов затрат труда.
В состав плана по труду и заработной плате включаются:
- плановые показатели производительности труда;
- среднесписочная численность рабочих и работников основного и вспомогательного производств, а также аппарата управления;
- затраты на оплату труда и средняя заработная плата различных категорий работников.
Планирование производится в три этапа.
3.3.3.1 Калькуляция затрат труда и заработной платы
Результат калькулирования должен быть представлен в курсовой работе в форме табл. 6.
Таблица 6 Калькуляция затрат труда и заработной платы
Наименование работ
Единица измерения
План на год
В том числе по кварталам
Затраты труда на ед., чел./ч
Затраты труда на год, объем чел./ч
В том числе по кварталам
Основная заработная плата рабочих на ед, объем, р.
Основная заработная плата рабочих на год, объем, р.
В том числе по кварталам
I
II
III
IV
I
II
III
IV
I
II
III
IV
1
2
3
4
5
6
7
8
9
10
11
12
13
14
15
16
17
18
19
Первые семь колонок табл. 6 являются копией табл. 4, т. е. показывают производственную программу строительного предприятия по комплексам и видам работ в натуральных показателях, выполняемым собственными силами.
Колонки с восьмой по тринадцатую представляют собой расчет нормативных затрат труда на плановый объем работ. Затраты труда на единицу работ принимаются из сметных нормативов и разработанной локальной сметы. В колонках с четырнадцатой по девятнадцатую рассчитывается основная заработной плата рабочих исходя их средней часовой тарифной ставки и планируемых затрат труда рабочих в плановый период. При производстве работ в зимний период необходимо увеличение основной заработной платы и трудозатрат на соответствующий коэффициент, рассчитанный в соответствии с общей частью ЕНИР. Общая сумма затрат на заработную плату рабочих-сдельщиков учитывает также дополнительную заработную плату в размере до 10%.
3.3.3.2 Баланс рабочего времени
Таблица 7 Баланс рабочего времени
Наименование показателей
Количество дней
В % к НФРВ
1. Общее количество дней
2. Количество нерабочих дней
3. Номинальный ФРВ
100
4. Невыходы на работу:
по болезни
5
отпуск по учебе
3
административный отпуск
1
очередной отпуск
10
административные отпуска
2
по метеоусловиям
2
5. Количество выходов на 1 рабочего в год
В том числе по кварталам
I
II
III
IV
Баланс рабочего времени составляется по форме табл. 7. Целью является расчет среднего количества выходов на работу за год (с разбивкой по кварталам) одного рабочего.
Ввиду отсутствия фактических данных о причинах и количестве невыходов на работу в табл.7 приведены примерные показатели процентов к номинальному фонду рабочего времени (НФРВ), используемые в курсовой работе.
3.3.3.3 План по труду и заработной плате
План по труду и заработной плате содержит ряд показателей, рассчитанных на основе производственной программы предприятия, калькуляции затрат труда и заработной платы, баланса рабочего времени.
Данный план имеет вид, показанный в табл. 8.
Таблица 8 План по труду и заработной плате
Показатели
Ед.изм.
План на год
По кварталам
I
II
III
IV
1. Объем работ с/силами
тыс. р.
2. Среднесписочная численность
чел.
- рабочих-сдельщиков
- рабочих-повременщиков
- аппарата управления
3. Выработка на одного работающего
тыс. р.
4. Средства на оплату труда
тыс. р.
- рабочих-сдельщиков
- рабочих-повременщиков
- аппарата управления
5. Средняя заработная плата на одного работающего
р.
6. Удельный вес заработной платы на 1 р. СМР
1. Объем строительно-монтажных работ собственными силами принимается из производственной программы (табл. 3).
2. Среднесписочная численность рабочих-сдельщиков определяется по формуле
.
Среднесписочная численность рабочих-повременщиков в данной курсовой работе включает количество машинистов башенных кранов, занятых на производстве строительных работ в планируемый период.
Среднесписочная численность работников аппарата управления рассчитывается как » 10% от общего числа сдельщиков и повременщиков, но не менее четырех человек. В курсовой работе возможно составление штатного расписания, согласно которому определяется численность и заработная плата аппарата управления.
3. Средства на оплату труда рабочих складываются из основной и дополнительной заработной платы рабочих-сдельщиков (итог калькуляции) и заработной платы повременщиков (в курсовой работе — машинистов башенных кранов (см. п. 4).
Средства на оплату труда аппарата управления рассчитываются исходя из среднемесячной заработной платы работников данной категории в отрасли в текущих ценах и среднесписочной численности. Расчет может быть произведен на основе штатного расписания.
3.4 Планирование затрат на эксплуатацию машин и механизмов
План затрат на эксплуатацию машин и механизмов составляется в форме табл. 9.
Таблица 9 Затраты на эксплуатацию машин и механизмов
Наименование строительных машин
Кол-во
Количество машино -смен за год
Цена 1 маш - см
---------------------------
ставка основной заработной платы ,машиниста, р.
Затраты на ЭММ
------------------------
Основная заработная плата машинистов, р.
1
2
3
4
5
В курсовой работе в составе строительных машин учитываются башенные краны, находящиеся на балансе строительной организации и используемые при монтаже коробки здания.
Количество башенных кранов определяется по циклограмме исходя из технологии и организации строительного производства в плановый период.
Количество машино-смен, соответственно, планируется исходя из количества кранов, числа дней работы каждого крана и сменности.
Цена одной машино-смены и основная заработная плата машиниста планируется согласно действующим сметным нормативам и рекомендациям, представленным в программных продуктах по ценообразованию, с учетом изменений текущих цен на рынке.
Итоговая сумма заработной платы машинистов учитывается в плане по труду и заработной плате в графе «затраты на оплату труда рабочих-повременщиков».
3.5 Планирование материально-технического обеспечения
В курсовой работе планирование затрат на материалы и конструкции осуществляется в форме ведомости, представленной в табл. 10.
Планирование производится в натуральных и стоимостных показателях. При планировании затрат на материалы и конструкции в ценах франко-приобъектный склад дополнительно учитываются транспортные и складские расходы.
Таблица 10 Планирование затрат на материалы и конструкции
Материалы
Единица измерения
Потребность на год
Стоимость 1 единицу (отпускная)
Затраты на материалы и конструкции
Основные материалы:
…
Итого основных материалов
Прочие материалы
Транспортные расходы
Складские расходы
Итого стоимость в ценах франко-приобъектный склад
Основой для определения потребности в материалах в курсовой работе служат: производственная программа предприятия, а также элементные сметные нормы, устанавливающие потребность в материалах на единицу работы. При определении стоимости материалов и конструкций учитываются рыночные цены, информация о которых представлена в прейскурантах заводов-изготовителей, оптовых баз, а также в других источниках, включая журнал «Индексы цен в строительстве». Затраты на «прочие материалы» планируются в стоимостном выражении в процентах (10-12%) от стоимости основных материалов и конструкций.
Так как при планировании затрат на материалы и конструкции используются цены «Франко-приобъектный склад», то необходимо учитывать транспортные и складские расходы в размере 10% и 15% соответственно.
3.6 Планирование накладных расходов
Планирование накладных расходов осуществляется путем составления сметы административно-хозяйственных расходов и общей сметы накладных расходов.
3.6.1 Смета административно-хозяйственных расходов
Административно-хозяйственные расходы являются основной статьей накладных расходов и составляют 50-60% их общей суммы. Смета административно-хозяйственных расходов представлена в табл. 11.
Таблица 11 Смета административно-хозяйственных расходов
Статьи расходов
%
руб.
Основная и дополнительная заработная плата аппарата управления
Отчисления на социальные нужды (ЕСН)
Канцелярские товары
5
Расходы на служебные командировки
10
Амортизация административного здания
5
Прочие (услуги связи и банка по обслуживанию счета)
10
Итого
100
Затраты на оплату труда работников аппарата управления включают основную и дополнительную заработную плату данной категории работников и принимается в размере, установленном в Плане по труду и заработной плате.
Отчисления на социальные нужды (ЕСН) определяются с учетом норматива, установленного в НК РФ, т. е. в размере 26% от основной и дополнительной заработной платы аппарата управления.
Остальные виды затрат планируются на основе фактических данных строительной организации, их рекомендуемые размеры в процентах к итогу административно-хозяйственных расходов указываются в табл. 11.
3.6.2 Смета накладных расходов
Общая смета накладных расходов включает расходы по четырем основным статьям и рассчитывается в форме табл. 12.
Вторая статья накладных расходов — «Затраты на обслуживание рабочих» — включает в себя:
1) дополнительную заработную плату рабочих;
2) отчисления на социальные нужды;
3) затраты на охрану труда и технику безопасности;
4) затраты на санитарно-бытовое обслуживание рабочих;
5) прочие.
Таблица 12 Смета накладных расходов
Статьи расходов
%
р.
1. Административно-хозяйственные расходы
60% НР
2. Затраты на обслуживание рабочих
20% НР
- дополнительная зарплата рабочих
- отчисления на социальное страхование
- затраты на охрану труда и технику безопасности
- затраты на санитарно-бытовое обслуживание рабочих
- прочее
3. Затраты на организацию производства
15% НР
- пожарная и сторожевая охрана
- благоустройство территории (затраты на временные нетитульные здания и сооружения)
- подготовка объекта к сдаче в эксплуатацию
- прочее
4. Прочие
5% НР
Итого
100%
Затраты на дополнительную заработную плату рабочих определяются на основе калькуляции затрат труда и заработной платы в плане по труду.
Отчисления в единый социальный налог (ЕСН) определяются на основе основной и дополнительной заработной платы рабочих (по данным плана по труду) и норматива отчислений в соответствии с налоговым кодексом (НК РФ).
Затраты на охрану труда и санитарно-бытовое обслуживание учитываются в плане на основе анализа фактических расходов за прошлые периоды. Затраты на охрану труда составляют примерно 2% от накладных расходов, санитарно-бытовое обслуживание — 1% от накладных расходов, прочие расходы как резерв на неучтенные затраты 5-6% от накладных расходов.
Третья статья — «Расходы на организацию производства» включают:
1) затраты на пожарную и сторожевую охрану объектов строительства определяются на основе договора как услуги сторонней организации в сумме, указанной в договоре. В случае отсутствия такого договора расходы состоят из заработной платы работников охраны и отчислений в единый социальный налог;
2) затраты на благоустройство территории строительной площадки (планировка, земляные работы, ограждения, временные нетитульные объекты) устанавливаются на основе фактических данных строительной организации и могут составлять 5-10% от накладных расходов;
3) подготовка объектов к сдаче в эксплуатацию также принимаются на основе фактических данных и составляют 1-2% накладных расходов;
4) прочие — резерв по третьей статье накладных расходов.
Четвертая статья — «Прочие накладные расходы» включает:
1) проценты за пользование кредитом и займом, учитываемые в соответствии с действующим законодательством в себестоимости производства и продажи продукции;
2) штрафные санкции по договорам, учитываемые в затратах;
3) другие расходы, не учтенные в первых трех статья накладных расходов, включая налоги, относимые на себестоимость продукции.
Общий размер накладных расходов устанавливается на основе сметных нормативов и планируемых затрат на заработную плату рабочих.
Сметный норматив накладных расходов устанавливается в локальной смете.
Накладные расходы могут иметь следующую структуру:
1) административно-хозяйственные расходы » 60% накладных расходов;
2) затраты на обслуживание рабочих » 20%;
3) затраты на организацию строительного производства » 15%;
4) прочие » 5%.
3.7 Планирование себестоимости и стоимости продукции
3.7.1 Планирование себестоимости строительно-монтажных работ по статьям затрат
Себестоимость строительно-монтажных работ по статьям затрат рассчитывается на основе данных производственной программы, плана по труду и заработной плате, плана затрат на эксплуатацию машин и механизмов, плана МТО, а также сметы накладных расходов. Себестоимость строительно-монтажных работ по статьям планируется без учета работ, выполненных субподрядчиками.
Плановая себестоимость строительно-монтажных работ рассчитывается путем корректировки сметной себестоимости на величину планового снижения (удорожания) себестоимости по статьям затрат на основе плана организационно-технических мероприятий. Корректировка производится в форме табл. 13.
Таблица 13 Планирование себестоимости по статьям затрат, тыс. р
№/п
Элементы затрат
Сметная стоимость
Экономия (удорожание)
Плановая себестоимость
1.
Затраты на материалы и конструкции
2.
Основная заработная плата рабочих
3.
Затраты на эксплуатацию машин и механизмов
4.
Накладные расходы
5.
Себестоимость СМР
6.
Прибыль
7.
Сметная стоимость СМР (планируемый объем работ собственными силами)
Плановая прибыль в объеме строительных работ, выполняемых собственными силами, определяется как сметная прибыль + экономия (– удорожание) затрат, предусмотренная планом организационно-технических мероприятий.
3.7.2 Планирование себестоимости строительно-монтажных работ по элементам затрат
В целях анализа, а также планирования финансовых результатов и налогообложения предусматривается поэлементное калькулирование себестоимости строительно-монтажных работ. Состав затрат, включаемых в элементы себестоимости работ регламентируется ПБУ 10/99 «Учет расходов организации».
Планирование себестоимости по элементам производится в форме табл. 14.
Услуги субподрядных организаций включаются в элемент «Материальные затраты», так же, как и любые услуги сторонних организаций производственного характера, в том числе транспортные.
Таблица 14 Планирование себестоимости по элементам затрат, тыс. р
№/п
Элементы затрат
Сметная стоимость
Экономия (удорожание)
Плановая себестоимость
1.
Материальные затраты
2.
Затраты на оплату труда
3.
Отчисления на социальные нужды (единый социальный налог)
4.
Амортизация основных средств
5.
Прочие расходы
6.
Себестоимость
7.
Прибыль
8.
Стоимость СМР (планируемый общий объем работ)
В элемент «Прочие расходы» включаются арендные платежи строительной организации, а также платежи по налогам, относимым на себестоимость строительной продукции, включая транспортный и земельный налоги.
Затраты корректируются на величину экономии (удорожания), полученной при планировании снижения себестоимости (план организационно-технических мероприятий) в поэлементной структуре согласно ПБУ 10/99 «Учет расходов организации». Плановая прибыль как разница между стоимостью планируемого общего объема работ и плановой себестоимостью, указанной в табл. 14, должна быть равна величине плановой прибыли, рассчитанной по итогам составления табл. 13.
3.8 Планирование финансовых результатов
3.8.1 Расчет налоговых платежей
Планирование налоговых платежей осуществляется в соответствии с действующим налоговым законодательством РФ. Для планирования финансовых результатов и составления плановых показателей в форме отчета о прибылях и убытках необходимо подразделять все налоговые выплаты на две группы:
- относимые на себестоимость;
- относимые на финансовые результаты.
Расчет налогов рекомендуется представить в форме табл. 15.
Таблица 15
Планирование налоговых выплат (общий режим налогообложения)
Наименование налогов
Формула расчета иставки
Расчет
Нормативный источник
1.Налоги, относимые на себестоимость:
ЕСН (страховые взносы)
Транспортный налог
Земельный налог
26% от ФОТ (в пределах установленного размера)
5 руб. с каждой лошадиной силы (от мощности двигателя)
В % от кадастровой стоимости 1 м2 земельного участка (в собственности, пользовании) и его размера
ФЗ от 24.07.09. №212-ФЗ
Гл. 28 НК РФ
Гл. 31 НК.РФ
2.Налоги, относимые на финансовые результаты:
Налог на имущество
Налог на прибыль
2,2% от среднегодовой стоимости основных средств
20% с доходов, уменьшенных на величину расходов
Гл. 30 НК РФ
Гл. 25 НК РФ
Налоги, относимые на себестоимость, учитываются в статье «Накладные расходы» и в элементе себестоимости «Прочие расходы».
Согласно учетной политике предприятия указанные расходы могут отражаться в составе «Управленческих расходов» Отчета о прибылях и убытках, если общехозяйственные расходы (счет 26) не включаются в производственную себестоимость (счет 20).
Платежи по налогу на имущество, относимые на финансовые результаты, отражаются по строке «Прочие расходы» Отчета о прибылях и убытках (стр. 100).
Плановые показатели финансовых результатов деятельности строительной организации рассчитываются в форме Отчета о прибылях и убытках (табл. 16). В качестве выручки от продажи строительных работ принимается общий объем работ планируемого периода как отгруженная Заказчику продукция.
Таблица 16
Отчет о прибылях и убытках
Наименование показатели
Код строки
Сумма, р.
I. Доходы и расходы по обычным видам деятельности
Выручка (нетто) от продажи товаров, продукции, работ услуг (за минусом НДС, акцизов, аналогичных обязательных платежей)
010
в том числе от продажи
011
012
013
Себестоимость проданных товаров, продукции, работ, услуг
020
в том числе проданных
021
022
023
Валовая прибыль
029
Коммерческие расходы
030
Управленческие расходы
040
Прибыль (убыток) от продаж
050
Проценты к получению
060
Проценты к уплате
070
Доходы от участия в других организациях
080
Прочие доходы
090
Прочие расходы
100
Прибыль (убыток) до налогообложения
120
Налог на прибыль и иные аналогичные платежи
130
Чистая прибыль (нераспределенная прибыль), (непокрытый убыток) планового периода
140
Итоговой характеристикой эффективности планируемой деятельности строительной организации является показатель рентабельности продаж как отношение чистой прибыли к выручке от реализации строительной продукции в планируемый период.
4. Список рекомендуемой литературы
4.1 Основная литература
1. Шеметов П.В. Менеджмент: управление организационными системами : Учеб. пособие / П.В. Шеметов. — М. : Издательство «Омега-Л», 2007.
2. Ковалев В.В. Финансовый анализ: Управление капиталом. Выбор инвестиций. Анализ отчетности / В.В. Ковалев. – М., 2005.
3. Поляков В.Г. Бизнес-планирование. Практическое руководство / В.Г. Поляков, В.Д. Маркова. – Новосибирск, 2005.
4. Уткин Э.А. Бизнес-план / Э.А. Уткин, А.И. Кочеткова. – М., 2005.
5. Каплан Р.С. Сбалансированная система показателей. От стратегии к действию / Р.С. Каплан, П. Дейвид. – М. : ЗАО «Олимп-Бизнес», 2005.
6. Царев В.В. Внутрифирменное планирование : Учебник для вузов / В.В. Царев. – СПб. : Изд-во «Питер», 2005.
7. Бухвалов М.И. Внутрифирменное планирование : Учебник / М.И. Бухвалов. – М. : Изд-во «Инфра-М», 2005.
4.2. Дополнительная литература
1. ФЗ «Об инвестиционной деятельности в форме капитальных вложений», Программа Консультант Плюс.
2. ПБУ «Учет доходов организации», Программа Консультант Плюс.
3. ПБУ «Учет расходов организации», Программа Консультант Плюс.
4. Налоговый кодекс РФ, Программа Консультант Плюс.
Краткий курс лекций
1. Производственная программа строительной организации
Производственная мощность строительного предприятия — максимально возможный объем строительно-монтажных работ, который может быть выполнен собственными силами и по генподряду (общий объем работ) в планируемом периоде при условии максимального использования всех ресурсов предприятия и современной технологии производства строительно-монтажных работ.
Производственная программа в течение года (квартала) ориентирована на фактический спрос на рынке и всегда меньше производственной мощности.
Производственная мощность может быть выражена в натуральных единицах.
Для определения производственной мощности рассчитывается потребность в производственных ресурсах.
Под производственными ресурсами понимаются ведущие строительные машины и механизмы, трудовые ресурсы.
Большинство строительных организаций производственные мощности определяют на основе данных о структуре работ, численности, рабочих и показателей выработки с учетом высокого качества выполненных работ и высокой технологии производства.
Пример: Расчет производственной мощности
Наименование видов строительства.
Удельный вес данного вида строительства в производственной программе
Выработка 1 рабочего (проект) руб./год
Число рабочих на 1 млн. руб.
По данному виду строительства
Средневзвешенная
1. Промышленное
50
115338
65,2
32,6
2. Жилищное
25
18940
52,8
13,2
3.Коммунальное
10
16130
62
6,2
4.Прочие объекты
15
14848
67,4
10,1
ИТОГО:
100
62,1
Среднегодовое число рабочих с учетом планируемого поступления и убытия в планируемом году составит 496 человек.
Производственная мощность по объемам собственными силами составит 7987 млн. руб. (466/62,1 х 100 000).
Субподрядные работы по проектно-сметной документации и практическим данным составит 40% от общего объема работ по генподряду или 67% от объема работ собственными силами (40/60 х 100).
Объем субподрядных работ составит 5351 млн. руб. (7987 х 0,67).
Производственная мощность по генподряду — 13338 млн. руб.
Производственная мощность, требующаяся для выполнения объемов работ определенного портфеля заказов на планируемый год, рассчитывается с учетом планового коэффициента использования производственной мощности.
Производственная программа включает:
1) план подрядных строительно-монтажных работ по объектам и заказчикам;
2) план подрядных строительно-монтажных работ по исполнителям;
3) плана подрядных строительно-монтажных работ по источникам финансирования;
4) плана подрядных строительно-монтажных работ в физических единицах измерения;
5) план ввода в действие мощностей и объектов (характеризует готовую продукцию).
Объекты производственной программы:
- по назначению: производственные, жилищные, социально-культурные, объекты коммунального хозяйства, торговой сферы и другие;
- по характеру: новое строительство, реконструкция, расширение, капремонт;
- по принадлежности объектов: строительство на заказ и собственное строительство;
- по времени начала работ: объекты вновь начинаемые и переходящие;
- по видам договоров (контрактов): договор подряда или прямой договор.
В программе строительно-монтажных работ должны быть увязаны по объемам работ и срокам их выполнения, работы, выполняемые как собственными силами, так и специализированными субподрядными организациями.
В производственной программе выделяются пусковые объекты и задельные.
По пусковым объектам предусматривается окончание работ в планируемом периоде в соответствии с договором или контрактом на строительстве, а также ППР, ПОС и графиком производства работ согласованной с субподрядной организацией.
В числе пусковых объектов могут быть переходящие из предыдущего периода (объем работ на планируемый период будет равен остатку работ на начало периода) и вновь начинаемые в плановом периоде (объем работ на планируемый период равен общему объему работ).
Объем строительно-монтажных работ по переходящим объектам определяется на основе стоимости работ и выполненных на начало планируемого периода.
Правильность определения объема строительно-монтажных работ по объектам зависти от данных актов на выполнение работы, на основании которых путем суммирования определенных объемов выполненных работ.
Планирование программы работ по объектам задела заключается:
1) в определении перечня объектов, на которых в планируемом периоде должен создаваться задел;
2) в определении объема работ, который должен быть выполнен на каждом объекте задела к концу планируемого периода.
После установления перечня объектов задела устанавливается объем работ, который должен быть выполнен к концу планируемого периода по каждому объекту задела, с этой целью предварительно рассчитывают нормативную степень готовности объектов по месяцам.
Темпы нарастания готовности объектов зависят от норм продолжительности строительства, рассчитанных на основе нормативных показателей затрат труда.
Пример: При продолжительности строительства 6 месяцев среднемесячный прирост готовности составляет 16,67% (100% / 6мес.). При 24 месяцах — 4,2%.
При расчете задела необходимо учитывать, что в начальный период строительства из-за его подготовки, темпы нарастания готовности объекта более низкие.
При планировании задела также необходимо учитывать создание на конец планируемого периода фронта работ для нормальной загрузки рабочих основных специальностей.
При разработке производственной программы объемы работ планируются по кварталам и месяцам. При этом показатель выработки может изменяться, но необходимо стремиться сохранить высококвалифицированные кадры рабочих.
В плане ввода в действие объектов указываются:
- заказчики;
- объекты;
- производственные мощности;
- начало и окончание строительства.
В плане подрядных строительно-монтажных работ по объектам и заказчикам указывается:
- заказчики и объекты;
- объем строительно-монтажных работ по каждому объекту по генподряду.
В плане подрядных строительно-монтажных работ по исполнителям указывается общий объем работ, объем работ по генподряду, объем работ по субподряду с перечнем всех субподрядных организаций (в стоимостном выражении).
В плане подрядных строительно-монтажных работ в физических единицах измерения указывается:
1) перечень строительных работ (в номенклатуре соответственно локальной смете);
2) единица измерения;
3) количество выполняемых работ.
Планирование объектов по источникам финансирования осуществляется в случае бюджетного финансирования.
План капитальных вложений составляется в случае, если предприятие осуществляет строительство, реконструкцию и техническое перевооружение за счет собственных и заемных средств. В плане указывается:
- объект строительства;
- сметная стоимость строительства, в т. ч. технологическая структура капитальных вложений;
- незавершенное строительство;
- объем строительства на планируемый период;
- сроки начала строительства и сроки ввода в действие объекта.
2. План повышения эффективности строительного производства (план организационно-технических мероприятий)
План повышения эффективности строительного производства представляет собой комплекс научных, технических, организационных и управленческих решений с расчетом и обоснованием их эффективности.
В годовых планах повышения эффективности разрабатываются конкретные организационно-технические мероприятия по повышению производства на год и рассчитываются показатели эффективности.
Эффективность ОТМ проявляется в нескольких формах:
- сокращение продолжительности строительства;
- уменьшение затрат труда и увеличение производительности труда;
- снижение материальных затрат, включая расход строительных материалов, энергии и топлива;
- увеличение фонда отдачи;
- ускорение оборачиваемости оборотных средств.
По мероприятиям, требующим дополнительных инвестиций, выполняется их расчет и дополнительные затраты учитываются при определении эффективности мероприятия.
Основными показателями плана ОТМ являются следующие показатели:
- перечень мероприятий;
- объем внедрения с указанием сроков реализации каждого мероприятия;
- расчет эффективности мероприятий;
- затраты на внедрение мероприятий;
- источники покрытия затрат (прибыль амортизационных отчислений).
Эффективность от всех мероприятий рассчитывается по двум показателям:
- снижение затрат труда;
- снижение себестоимости строительно-монтажных работ.
3. Расчет эффективности ОТМ по сокращению затрат труда
Экономия затрат труда обеспечиваемая внедрением ОТМ рассчитывается по формуле
где Тпр ,Тпл — трудоемкость единицы какого-либо вида работ при выполнении его соответственно традиционным и планируемым методам;
Мпл , Мпр — объем данного мероприятия (объем работ выполненных с применением данного мероприятия в предыдущий период и планируемый);
Опл, Опр — общий объем работ выполняемый собственными силами строительного предприятия в прошлый и в плановый период.
Эффективность всего комплекса ОТМ по сокращению затрат труда определяется как сумма результатов достигаемых от внедрения отдельного мероприятия.
Показатель экономии затрат труда учитывается при планируемой выработке.
Общая экономия затрат труда, которая обеспечивается мероприятиями плана ОТМ при неизменной структуре работ определяется:
Где Впр , Впл — средняя выработка одного рабочего в предыдущий и плановый период;
Я — число дней работы 1-го рабочего в плановом периоде (среднее нормативное).
Если в планируемом году структура работ существенно изменяется, то экономия затрат труда, которая должна обеспечиваться планом ОТМ, определяется по формуле
где Истр — уменьшение или увеличение трудоемкости работ в результате изменения их структуры. Значение этого показателя определяется расчетом средней трудоемкости работ при фактической и плановой структуре работ.
4. Расчет эффективности ОТМ по снижению себестоимости
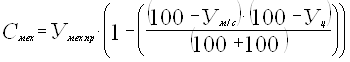
Снижение себестоимости СМР планируется в денежном выражении относительно фактически достигнутых затрат на производство и реализацию продукции, либо относительно сметной стоимости (в процентах к сметной себестоимости).
Затраты на производство СМР подразделяются на условно-постоянные и условно-переменные расходы и влияние ОТМ на эти затраты различны.
Снижение условно-переменных расходов определяется по формуле:
где Ппр ,Ппл — величина условно-переменных расходов на единицу данного вида работ при выполнении традиционными методами и планируемый.
Для использования результатов расчета, экономию условно-переменных расходов, рассчитывают по отдельным статьям прямых затрат.
Снижение уровня условно-постоянных расходов определяется по формуле
Где Пу-пр. — фактический уровень условно-постоянных расходов за прошлый период в процентах к сметной стоимости строительно-монтажных работ собственными силами;
Δ Оотм — планируемое увеличение объем работ за счет ОТМ.
Абсолютная сумма снижения условно-постоянных расходов определяется по формуле:
Для последующего планирования себестоимости строительно-монтажных работ по статьям затрат общее снижение условно-постоянных расходов может быть распределено по отдельным статьям в процентах пропорционально доле условно-постоянных части в каждой статье в общей сумме условно-постоянных расходов.
Общее снижение себестоимости строительно-монтажных работ определяется как сумма экономии по условно-постоянным и условно-переменным расходам.
В отличие от прямых затрат, зависящих в основном от объемов и методов производства работ, накладные расходы связанны с организацией производства работ.
Накладные расходы состоят из нескольких элементов затрат.
Уровень расходов по отдельным элементам или статьям зависит от различных показателей, главными из которых являются продолжительности строительства, производительности труда, удельный вес основной зарплаты рабочих в общих затратах на строительно-монтажных работы.
Каждый из этих факторов влияет на величину затрат по какой-либо группе накладных расходов и количественная зависимость уровня накладных расходов от этих факторов определяется по формулам:
Где Сп ,Св ,Сз — это снижение накладных расходов по сравнению с их уровнем в прошлый период в результате соответствующего сокращения продолжительности труда и относительного уменьшения затрат на основную заработную плату рабочих (выражается в процентах к стоимости строительно-монтажных работ);
Кп ,Кв ,Кз — коэффициенты выражающие доли накладных расходов, зависящих от соответствующих факторов;
Нпр — уровень накладных расходов (прошлый период в процентах к стоимости строительно-монтажных работ);
Ппл ,Ппр —средняя продолжительность строительства в прошлом и планируемом периоде;
Впл ,Впр —средняя выработка одного рабочего в рублях в прошлый и планируемый период;
Зпл , Зпр — удельный вес заработной платы рабочих в процентах к стоимости работ в прошлый и планируемый период.
Общее снижение накладных расходов в результате повышения выработки и сокращения сроков строительства работ, определяется по формуле
Для определения степени снижения накладных расходов за счет ОТМ по экономии основной заработной платы можно использовать сумму этой экономии рассчитанной в плане, при этом необходимо учитывать, что экономия основной заработной платы обуславливает снижение накладных расходов по двум статьям (дополнительной заработной платы рабочих, начисление заработной платы).
При разработке плана ОТМ обязательно указывают:
1) сроки внедрения мероприятий;
2) исполнителей;
3) потребность в финансовых ресурсах для их реализации.
План ОТМ разрабатывается в разрезе статей себестоимости строительно-монтажных работ и учитывается при планировании себестоимости строительно-монтажных работ, показатели по труду и заработной плате, показатели материально-технического обеспечения и планирования затрат на строительные машины.
Необходимые инвестиции для реализации плана ОТМ учитываются в плане капитальных вложений.
5. Система показателей экономической эффективности строительного производства
Планирование экономической эффективности производства осуществляется на основе взаимосвязанной системы показателей.
Эти показатели составляют 4 группы.
1. Обобщающие показатели:
- рентабельность производства;
- рентабельность затрат;
- темпы роста объема производства;
- удельный вес затрат на рубль строительно-монтажных работ.
2. Показатели эффективности использования труда:
- темпы роста производительности труда;
- объем производства продукции за счет роста выработки;
- удельный вес затрат на заработную плату на рубль строительно-монтажных работ.
3. Показатели эффективности использования основных фондов и оборотных средств:
- фондоотдача;
- фондоемкость;
- оборачиваемость основных средств;
- относительная и абсолютная экономия основных средств.
4. Показатели эффективности использования материальных затрат (абсолютные и относительные изменения материальных затрат, материальные затраты на рубль строительно-монтажных работ).
6. План по труду и заработной плате
В основу плана по труду и заработной платы положены показатели производственной программы, проектно-сметной документации, нормативы затрат труда.
В состав плана по труду и заработной платы включаются:
1) плановые показатели производительности труда;
2) среднесписочная численность рабочих и работников основного и вспомогательного производства;
3) затраты на оплату труда и средняя заработная плата различной категории работников.
Повышение производительности труда в строительстве измеряется ростом средней выработки в стоимостном выражении, при разработке плана определяется повышение выработки рабочих занятых на строительно-монтажных работах исходя из плана ОТМ по снижению трудоемкости работ.
При планировании необходимо учитывать изменения структуры работ, такт как показатель выработки рассчитывается в стоимостном выражении и зависит от уровня материалоемкости работ.
Влияние этого фактора на среднюю выработку, путем составления расчета, при котором определяется средняя выработка при структуре работ промышленного и планового периода.
Так как выработка в стоимостном выражении определяется, исходя из сметной стоимости строительно-монтажных работ, при планировании ее необходимо учитывать изменение сметной стоимости, которые могут быть обусловлены двумя причинами
1. Применение экономичных проектных решений.
Влияет на выработку в тех случаях, когда в результате применения новых проектных решений сметная стоимость снижается не в одинаковой степени по сравнению со снижением трудоемкости.
Если сметная стоимость снижается в меньшей степени, то выработка увеличивается.
Если сметная стоимость снижается в большей степени, то выработка уменьшается.
2. Снижение или повышение цен и тарифов.
Во всех случаях вызывает увеличение и снижение выработки.
Показатели выработки рассчитываются с поквартальной и месячной разбивкой при этом учитывается число рабочих дней, изменение структуры работ, а также увеличение затрат труда при производстве работ в зимний период.
При определении плановой выработки одного работника занятого на строительно-монтажных работах и в подсобном производстве учитываются работники аппарата управления.
При разработке годового плана рассчитывается численность рабочих на строительно-монтажных работ и других работах. Такой расчет необходим для составления плана подготовки специалистов и для расчета показателей себестоимости по отдельным статьям.
Для определения среднесписочной численности рабочих основного производства рассчитывается количества человеко-дней необходимых для выполнения строительных работ. Расчет составляется на объем работ собственными силами, затем определяют количество рабочих необходимых для выполнения работ за счет накладных расходов, рабочие на обслуживании строительных машин, рабочих складского хозяйства, рабочих по обслуживанию субподрядных организаций и рабочих подсобного производства.
Затраты труда на эти работы определяются прямым счетом, то есть физический объем умножается на нормы затрат труда на единицу продукции.
Рассчитанные таким образом затраты труда по основным строительно-монтажным работам увеличиваются на величину дополнительных затрат труда и заработной платы за работу в стесненных условиях, снижающих производительность труда.
Коэффициент стесненности определяется общей частью ЕНиР и составляет 1,1-1,5.
Кроме этого коэффициента дополнительно трудозатраты увеличиваются на условия производства работ в зимний период. Зависит от зимнего периода и типа строительных работ.
Работы, выполненные за счет накладных расходов:
1) устройство, ремонт и разборка временных нетитульных сооружений и приспособлений;
2) изготовление и ремонт малоценных и быстроизнашивающихся сооружений;
3) работы по устройству приспособлений, обеспечивающих безопасность труда;
4) работы, связанные с испытанием строительных материалов;
5) благоустройство строительной площадки, уборка территории и т. д.
Затраты труда на эти работы определяются в процентах от затрат труда по основным строительно-монтажных работам, исходя из практических данных, в пределах 5%.
Строительные предприятия, исходя из условий генподрядного договора, могут оказывать услуги субподрядным организациям, устройство временных сооружений, разгрузка строительных материалов, обеспечение охраны и т. д. В этом случае затраты труда на выполнение этих работ учитывают дополнительно к работам основного производства на основе практических данных в пределах равных трем процентам от трудоемкости основного производства.
Аналогично учитываются трудозатраты обслуживающего хозяйства.
Корректировка затрат труда может быть до 10%.
Если предприятие имеет подсобное производство, то его затраты труда рассчитываются на основе выполнения объема работ по плану и затрат труда на единицу (планируемая или нормативная).
После определения суммы затрат труда на производство строительных работ необходимо учитывать экономию или удорожание затрат труда по плану ОТМ.
Среднесписочная численность определяется путем деления трудоемкости (чел/дн) на дни работы одного рабочего в планируемый период.
Для определения числа дней работы составляется баланс календарного времени, где учитываются неизбежные неявки на работу, отпуска, болезни, прогулы и т.д.
Количество дней очередного отпуска рассчитывается исходя из установленной законом продолжительности основных и дополнительных отпусков.
Неявки, связанные с болезнью и прогулами учитываются по прошлой статистике.
Баланс календарного времени распределяется по кварталам и месяцам.
При планировании численности рабочих по кварталам следует избегать резкого изменения этого показателя, достигая ритмичности строительного производства.
Корректировка резких изменений производиться за счет изменения выработки.
Численность аппарата управления определяется в соответствии со штатным расписанием, утвержденным директором.
7. Планирование затрат на эксплуатацию машин и механизмов
Планирование затрат на эксплуатацию машин и механизмов осуществляется в зависимости от использования строительных машин, находящихся на балансе предприятия, либо арендуемой строительной техники.
Потребность в машинах и механизмах рассчитывается исходя из количества ведущих строительных машин и их выработки.
Количество строительных машин, зависящие от объема строительных работ определяются путем деления общей потребности в машино–сменах на плановый объем работ, деленной на количество смен работы машины.
Количество строительных машин прямо не зависящих от объемов строительных работ определяется исходя из потребности и технологии строительного производства по календарному графику работ.
Если строительные машины находятся в аренде, то затрат на их эксплуатацию определяются исходя из арендной платы по договору (включается в себестоимость в прочие затраты).
При определении затрат на эксплуатацию машин и механизмов собственного парка, количество машино–смен работы умножается на стоимость одной машино–смены, включающей основную заработную плату машинистов, единовременные затраты и другие эксплуатационные расходы. Планирование затрат на машины и механизмы показано в табл. 1.
Таблица 1 Планирование затрат на машины и механизмы
Наименование машин и механизмов (марка)
Количество машин в планируемый период
Количество смен на единицу работ
Количество машино – смен на объем работ планового периода
Цена машино –смены / зарплата машиниста
Затраты на эксплуатацию машин и механизмов на плановый период / затраты на оплату труда машинистов
Машины исходя из выработки
Машины исходя из технологии стр. производства
-
Итого на объем работ планового периода.
8. Планирование заработной платы
Средства на оплату труда планируется в соответствии с объемом работ собственными силами, показателем выработки, среднесписочной численности рабочих и работников и условиями оплаты труда на предприятии. При планировании заработной платы необходимо учитывать опережающие темпы роста выработки и среднюю заработную плату.
Показатели соотношения динамики производительности труда и заработной платы характеризуются соотношением темпов роста и прироста производительности труда и темпов роста заработной платы.
Влияние на среднюю заработную плату рабочих оказывает изменения структуры работ, которая равна сравнению средней заработной платы при структуре работ в прошлый и планируемый период.
Применение новых проектных решений также оказывает влияние на среднюю заработную плату, из-за повышения требований к квалифицированным работникам. Это влияние определяется также путем сравнения среднего разряда и средней тарифной ставки рабочих при традиции и новых методах производства работ.
Таки образом средняя заработная плата определяется теми же факторами, что и показатели производительности труда.
Общий размер средств на оплату труда равен сумме фонда оплаты труда работников, занятых на строительно-монтажных работах и в подсобном производстве, и фонд оплаты труда работников обслуживающих хозяйств.
При составлении плана осуществляется детальный расчет общего фонда заработной платы рабочих, состоящего из основной и дополнительной заработной платы.
Основная заработная плата: оплата по сдельным расценкам и тарифным ставкам на отдельные виды или комплексы работ с расчетом калькуляции затрат труда и заработной платы.
Дополнительные затраты на заработную плату: за работу в стесненных условиях и в зимний период.
Сумма основной заработной платы рабочих корректируется на экономию или удорожанию плана по ОТМ.
Сумма заработной платы рабочих занятых на работах, выполняемых за счет накладных расходов, рассчитывается исходя из часовых или сдельных тарифных ставок и объема работ.
При отсутствии таких данных могут быть использованы показатели заработной платы прошлого периода.
Заработная плата рабочих, занятых на обслуживании строительных машин складывается из заработной платы по обслуживанию машин, перемещению, монтажу и демонтажу. Основная заработная плата в плане по труду плюсуется к заработной плате (основной) рабочих, занятых на строительно-монтажных работах.
Заработная плата рабочих обслуживающих хозяйств может быть рассчитана прямым расчетом или в процентах.
Аналогично рассчитываются затраты на оплату труда рабочих подсобного производства.
В основную заработную плату также включаются затраты, связанные со сдельно-премиальной системой оплаты труда.
Дополнительная заработная плата включает:
- оплата очередных отпусков;
- доплата бригадирам из руководства бригадой; 10% от основной
- доплата за простой по атмосферным условиям.
Заработная плата аппарата управления устанавливается исполнительными органами, и индексируются по штатному расписанию.
Показатели по труду и заработной плате рассчитываются с поквартальной разбивкой. При этом необходимо учитывать, что в период сдачи объекта заказчику показатель выработки снизиться.
Аналогично может снижаться и уровень средней заработной платы.
9. Планирование материально-технического обеспечения
При разработке плана МТО решаются следующие задачи:
1) определение потребности в материальных и энергетических ресурсах;
2) расчет норм производительности запасов;
3) расчет объема комплектных поставок материалов и конструкций;
4) определение потребностей финансовых ресурсов для обеспечения строительных работ материалами;
5) определение источников получения материалов и конструкций и затрат на транспортировку.
План МТО должен быть сбалансирован с производственной программой, обеспечивать комплектные поставки в соответствии с технологией производства работ. Исходная информация: производственная программа, ПСД, включая ведомость потребности в материалах, спецификации сборных конструкций; нормы расхода материалов, стоимость перевозки 1 тонно-км собственным транспортом, размер арендных платежей за привлекаемый во временное пользование транспорт, железнодорожный тариф за перевозку 1 тн. груза, а также договоры на поставку материалов и конструкций, в которых определены условия поставки (собственный или привлеченный транспорт поставщика материалов), договоры на перевозку груза.
План МТО включает:
1) план МТО.
Состоит из двух частей.
В одной части показывается потребность в материальных ресурсах, в другой источники покрытия.
При определении потребности в строительных материалах учитывается снижение затрат на них по плану ОТМ.
Основные строительные материалы планируются в натуральных показателях в укрупненной номенклатуре:
- КЖ — конструкции бетонные и железобетонные;
- КМ — конструкции металлические;
- КД — конструкции деревянные и пиломатериалы;
- МИ — материалы изоляционные;
- МО — отделочные материалы;
- МЗ — метизы (гвозди, болты и т. д.).
Прочие материалы, потребность в которых не значительна, и составляет не более 15% общей потребности материалов, в плане рассчитывается в стоимостном выражении.
Потребность в стоимостных материалах устанавливается на основе проектно-сметной документации.
Потребность материалов определяется на объемы работ выполняемых собственными силами, на объемы подсобного и вспомогательного производства.
Сроки поставки материалов определяются на основе графиков производства работ.
При определении потребности учитывается также запасы строительных материалов и конструкций.
Источники покрытия потребности в материалах, указываемые в плане МТО, определяются на основе договора с поставщиками и на основе объема собственного производства строительных материалов (например, товарный бетон), находящихся на балансе предприятия. Выделяется транзитная и складская поставка.
Транзитная поставка — это поставка с завода изготовителя (поставщика) на стройплощадку минуя склад.
В плане МТО учитываются потребность на строительные работы, на подсобное производство и обслуживающие хозяйство;
2) план поставок материальных и энергетических ресурсов.
Включает показатели объема поставок материалов в стоимостных показателях при транзитной и складской формах.
Указывается общий объем поставок на год с разбивкой по кварталам.
После показателя общего объема поставок в стоимостном выражении указывается объем поставок материалов в укрупненной номенклатуре на год с разбивкой по кварталам;
3) план комплектации строительных работ.
Разрабатывается на основе нормативно-технологической документации (НТД), которая в свою очередь формируется на основе проектно-сметной документации и проекта производства работ.
НТД представляет собой перечень технологических комплектов, поставка которых необходима для выполнения укрупненных этапов строительных работ.
Из плана МТО укрупненная номенклатура материалов и конструкций расписывается в плане комплектующих в виде набора материалов необходимых для комплексов строительных работ.
10. Планирование запасов и затрат на материалы
Для обеспечения непрерывности производства строительных работ предприятие должно иметь запасы материалов и конструкций.
Величина запасов определяет потребность в оборотных средствах и в конечном итоге формирует денежные потоки.
Величина запасов материалов может быть выражена в абсолютном выражении, в виде некоторого количества находящегося на складе.
Абсолютная величина запаса не полностью характеризует обеспеченность предприятия материалами, поэтому, наряду с абсолютным значением запаса их принято измерять числом дней, в которые предприятие может работать без перебоев, расходуя данный запас. То есть величина запасов определяется в днях.
Зависимость между величиной запаса в днях (з) и абсолютной величиной запаса (З) выражается в формуле:
Где д — среднедневной расход данного материала определяемый делением годовой потребности на число календарных дней в году. В расчете может использоваться и иной плановый период.
Зная годовую потребность в материалах и запас в днях можно определить плановую абсолютную величину запасов.
В связи с высоким удельным весом затрат на материалы стоимости строительных работ и материалоемкости этих работ необходимо планировать производственные запасы и определить их необходимую минимальную величину. Различают текущий, гарантийный (сезонный) и подготовительный запасы.
Наибольший фактический запас не должен превышать перечисленные виды запаса и не должен опускаться ниже норматива подготовительного и текущего запасов, величина которых принимается как неснижаемый постоянный запас.
Требуемый объем поставки определяется исходя из годовой потребности, к которой добавляется планируемый производственный запас на конец года и вычитается наличие запаса на начало года.
Планирование затрат на материалы осуществляется для выполнения работ собственными силами.
Величина затрат на единицу материалов определяется исходя из формы расчетов с поставщиками и источников поступления материалов.
Материалы поставщиков-изготовителей оплачиваются по отпускным ценам. Доставка по действующим тарифам.
Затраты на материалы учитываются по цене франко-приобъектный склад.
Определение затрат на материалы прямым расчетом путем умножения цены единицы материалов на потребность в них, рассчитывается по материалам основной номенклатуры по 30-40 видам материалов и конструкций.
Затраты на остальные материалы определяются в процентах от стоимости основных материалов. Проценты устанавливаются, исходя из проектно-сметной документации, и составляют 10-15%.
Объемы поставок материалов определяют размер затрат на транспортировку их, а также на погрузку и разгрузку и потребность в транспортных средствах.
По каждому виду груза определяется вид транспортного средства и затраты на перевозку исходя из наличия, аренды или оказания услуг сторонних организаций (на основе объема поставок, определяется объем погрузо-разгрузочных работ).
Затраты на транспортировку материалов: собственным транспортом, арендованными транспортными средствами, транспортом поставщика.
Средние затраты на перевозку 1 тн-км различным транспортом собственного парка машин определяется исходя из объема перевозимого груза (строительных материалов и конструкции) и расстояния перевозки. При этом составляется калькуляция затрат на перевозку про каждому виду транспорта на весь перевозимый в плановый период (год, квартал, месяц и т. д.) груз, которые включают затраты на ГСМ, запчасти, зарплату водителей и начисления на нее, амортизацию основного средства, затраты на текущий ремонт и др. Полученная сумма затрат на плановый период делится на объем перевозки груза и применяется в виде дополнительных расходов к ценам поставщика. В сметной документации и плане определяются затраты на материалы и конструкции в ценах франко–приобъектный склад. Поэтому кроме транспортных расходов следует учитывать заготовительно-складские расходы в виде наценки (%) к отпускной цене завода–изготовителя или к цене иного поставщика (оптовая база). Размер наценки определяется из калькуляции затрат на заготовку и складирование материалов, а также содержание строительной базы (склада) предприятия. Общая сумма затрат, полученных в калькуляции делится на стоимость материалов, потребляемых в строительном производстве планового периода. Таким образом, рассчитывается средний размер складской наценки. Калькуляция ЗСР включает коммунальные и эксплуатационные расходы, затраты на оплату труда работников склада (базы), начисления на зарплату, амортизацию основных средств, затраты на охрану как услугу сторонней организации и др.
11. Планирование прибыли и себестоимости строительно-монтажных работ
Показатель прибыли является показателем, характеризующим результат деятельности предприятия, возможные объемы его инвестиций, дивидендную политику, кредитный рейтинг, стоимость акций предприятия.
Особенности формирования строительной продукции и расчетов за готовую продукцию вводит несколько понятий прибыли.
1. Прибыль реализуется лишь в процессе продажи готового объекта, а образуется на протяжении длительного периода строительства путем нарастания незавершенного строительного производства, в этом случае используется понятие нереализованной прибыли в незавершенном производстве (затраты + прибыль);
2. Прибыль от реализации продукции образовывается пообъектного, а не как результат всей деятельности предприятия, что требует пообъектного калькулирования себестоимости и расчета прибыли.
Кроме сказанного выше в строительной организации рассчитывается прибыль на планируемый объем строительно-монтажных работ, выполняемых собственными силами;
3. Прибыль, определяемая за счет всех видов деятельности, включая реализацию имущественная, сдачу в аренду и т. д. (балансовая прибыль);
Таким образом, различают:
1) прибыль о реализации продукции;
2) нереализованная прибыль;
3) валовая прибыль на плановый объем работ собственными силами;
4) балансовая прибыль.
Основной по размеру прибыль является прибыль от реализации. Ее плановая величина слагается из нереализованной прибыли в незавершенном строительном производстве на начало планируемого периода по сдаваемым в этом периоде объектам и планируемой экономией от снижения себестоимости по объектам планового периода.
Исходными данными для планирования прибыли являются:
- проектно-сметная документация;
- план подрядных работ;
- договора с заказчиками;
- план по себестоимости;
- лановые объемы незавершенного строительного производства.
Нереализованная прибыль в незавершенном строительном производстве предусматривается в плане на начало и конец планируемого периода. На начало ее сумма определяется исходя из объема ИЗП по сметной стоимости строительно-монтажных работ и его плановой стоимости.
Нереализованная прибыль на конец планируемого периода рассчитывается путем суммирования нереализованной прибыли в ИЗП по переходящим объектам на начало планируемого года, и экономии от снижения себестоимости с учетом сметной прибыли по работам, выполненным собственными силами на объектах планируемого периода.
Общий плановый объем ИЗП по работам, выполненных собственными силами на начало планируемого периода, определяется на основе отчетных или фактических данных на последнею отчетную дату и прогноза за период до начала планового года.
Объем ИЗП на конец планового периода определяется по формуле:
Где Опсс — объем работ плановый;
Рпсс — объем реализации плановый;
сс — собственными силами.
Валовая прибыль определяется путем вычитания из плановых объемов строительно-монтажных работ собственными силами, выполняемых в планируемом периоде, плановой себестоимости.
Балансовая прибыль. Особенности российского бухгалтерского учета, определяют плановые показатели прибыли, соответствующие показателям отчета о прибылях и убытках (Ф 2):
Плановые показатели прибыли
Показатели
План на год
в т.ч. по кварталам
1
2
3
4
1.
Выручка (нетто) от продажи продукции, работ и услуг
2.
Себестоимость продаж
3.
Валовая прибыль
4.
Коммерческие расходы
5.
Управленческие расходы
6.
Прибыль от продаж
7.
Проценты к получению
8.
Проценты к уплате
9.
Доходы от участия в других организациях
10
Прочие доходы
11
Прочие расходы
12
Налогооблагаемая прибыль
13
Налог на прибыль
14
Чистая прибыль
Строки указанной формы заполняются в соответствии с требованиями ПБУ.
Коммерческие расходы предназначены для торговых предприятий.
Проценты к уплате, учитываются в том случае, если предприятие занимает или отдает в долг денежные средства.
Под доходами от участия в других организациях понимаются доходы от участия в дочерних и зависимых обществах.
Прочие доходы и прочие расходы связаны с покупкой (продажей), сдачей в аренду, списания с баланса по причине морального износа, прекращение производства недающего продукцию.
В состав операционных доходов и расходов включаются курсовые разницы, в расходах, причитающихся к уплате налги, и сборы за счет финансовых результатов.
В составе прочих доходов также отражаются: кредиторская задолженность; депонентская задолженность, по которой срок исковой давности истек; сумма, поступившая в погашение дебиторской задолженности списанной в прошлые годы в убыток; признанные и непризнанные штрафы; присужденные штрафы, пени.
Прочие расходы также включают: суммы уценки запасов продукции; убытки от списания дебиторской задолженности, по которой срок исковой давности истек; присуждение и признанные нами штрафы, пени, неустойки за нарушение хозяйственных договоров.
Налог на прибыль составляет 20%.
Чистая прибыль является одним из источников собственных средств, направляемых на развитие строительной организации.
12. Планирование себестоимости
В годовых планах себестоимость строительно-монтажных работ определяется как в целом по предприятию, так и по отдельным объектам и исходя из стоимости работ по договору и проектно-сметной документации.
Планирование себестоимости осуществляется на основе Инструкции о составе затрат № 552.
Планирование осуществляется как по статьям, так и по элементам.
По статьям:
1) затраты на материалы и конструкции;
2) включают расходы предприятия на приобретение и доставку материалов на строительный объект;
3) основная заработная плата;
4) основная заработная плата рабочих, сдельщиков и повременщиков основного производства;
5) затраты на эксплуатацию машин и механизмов;
6) затраты, связанные с обслуживанием машин, занятых на производстве строительно-монтажных работ;
7) накладные расходы.
Планируется на основе сметы, включая затраты на организацию и обслуживание производства строительно-монтажных работ.
Сумма указанных статей, определяемая сметой в составе проектно-сметной документации, представляет собой сметную себестоимость.
При наличии мероприятий по снижению сметной или проектной себестоимости, сметная себестоимость уменьшается на размер планируемого снижения, таким образом, рассчитывается плановая себестоимость.
Себестоимость строительно-монтажных работ по элементам затрат
Показатели
Сметная стоимость
Снижение (–), удорожание (+) себестоимости
Плановая себестоимость
1. Материальные затраты.
2. Затраты на оплату труда.
3. Отчисления на социальные нужды.
4. Амортизация основных фондов.
5. Прочие.
Себестоимость работ
6. Сметная прибыль.
7. Стоимость СМР – всего.
Себестоимость строительных работ планируется в соответствии с Инструкцией о составе затрат № 552.
В строительстве существует несколько методов по планированию себестоимости по статьям затрат.
Нормативный.
Основывается на планово-производственных нормах расхода материалов, заработной платы, времени работы строительных машин, объема перевозок и т. д.
Нормативы определяются на единицу измерения конструктивных элементов, видов работ, укрупненных комплексов и объектов в целом.
Плановая величина накладных расходов определяется либо на основе сметы этих расходов и пообъектных нормативов, либо в процентах к прямым затратам.
Плановый уровень заготовительно-складских расходов определяется по плановому проценту стоимости материалов. Процент рассчитывается путем составления сметы заготовительно-складских расходов.
2. Метод прямого калькулирования затрат
Основан на разработке пообъектных плановых калькуляций. Его достоинством является наиболее полный и точный учет конкретных условий строительства путем калькулирования плановой себестоимости по каждой статье затрат с учетом плана ОТМ. Является трудоемким методом.
3. Метод, основанный на вычитании из сметной стоимости плановых накоплений сметной прибыли и планируемой себестоимости.
4. Пофакторный метод
Предусматривает расчет количественного изменения себестоимости в планируемом году по сравнению с базовым или прошлым периодом, в зависимости от основных факторов производства: объема строительно-монтажных работ, производительность труда, специализации, трудоемкости работ, эффективности использования основных средств и качества работ.
Для обеспечения реальности планируемого снижения себестоимости строительно-монтажных работ необходимо учитывать изменения структуры работ в планируемом периоде по сравнению с прошлым, а также увеличение затрат по отдельным статьям в зависимости от различных факторов.
Пофакторный метод учитывает возможное снижение себестоимости по следующим причинам:
4.1 Опережающего роста производительности труда по сравнению с ростом заработной платы. Определяется
,
где Упр — уровень затрат на основную заработную плату рабочих за прошлый период (в процентах от стоимости работ);
Рз — планируемый рост средней заработной платы рабочих (в процентах;
Рв — планируемый рост выработки на одного рабочего (в процентах).
4.2. По причине экономии строительных материалов из-за сокращения потерь при транспортировке, погрузке-разгрузке, хранению, а также возможности приобретения материалов по более низким ценам. Рассчитывается исходя из сокращения расходов материалов, а также намечаемого в плане снижения цен на материалы, при этом используется
,
Где Ум.пр. — уровень затрат на материалы в предыдущий период (в процентах от стоимости работ);
Ун — планируемое уменьшение расхода материалов (в процентах);
Уц — планируемое снижение цен на материалы (в процентах).
4.3 Улучшение использования строительных машин и транспортных средств. Определяется по формуле:
Где Умех.пр. — уровень расходов на эксплуатацию машин в прошлый период (в процентах от стоимости работ);
nу-п. — процент условно-постоянных расходов (амортизация машин, заработная плата рабочих обсуживающих машин);
Рмех. — планируемое повышение выработки (в процентах).
При предоставлении строительных машин специализированными организациями (аренда, пользование) снижение расходов на эксплуатацию машин, определяется исходя из относительного уменьшения числа машино-смен (повышение выработки машины) и снижения цен за одну машино-смену.
Где Ум/с — это относительное уменьшение числа машино-смен (в процентах);
Уц — снижение цен на одну машино0смену (в процентах).
Снижение себестоимости за счет эксплуатации машин рассчитывается по каждой машине отдельно.
4.4 Сокращение накладных расходов за счет относительного снижения затрат на оплату труда и ликвидации непроизводительных расходов.
Снижение накладных расходов рассчитывается по планируемому относительному снижению затрат на основную заработную плату рабочих и ликвидации непроизводительных расходов.
4.5. Сокращение условно-постоянных расходов. Определяется в результате увеличения объемов работ, обеспечивая ростом производительности труда
В общестроительных организациях доля условно-постоянных накладных расходов колеблется от 50 до 60%.
В специализированных организациях колеблется от 30 до 40%.
При планировании себестоимости необходимо учитывать возможное увеличение затрат по отдельным статьям в связи с пополнением парка машин и по другим причинам.
Увеличение расходов на эксплуатацию машин и фактических затрат на одну машино-смену определяется:
где Рп.мех. — планируемое увеличение парка машин (в процентах);
Ро — планируемое увеличение объема работ (в процентах).
Увеличение расходов на эксплуатацию строительных машин, вызываемое повышением механовооруженности строительно-монтажных работ, компенсируется относительным уменьшением затрат на заработную плату и накладные расходы.
При планировании себестоимости строительно-монтажных работ учитывается также изменения структуры работ.
Планирование снижения себестоимости распределяется по кварталам, месяцам, вследствие различных природных условий производительности труда и структуры выполняемых работ планового года.
Смета накладных расходов
Плановые суммы затрат по отдельным статьям накладных расходов определяются на основе специальных смет.
Дополнительная заработная плата определяется на основе показателей плана по труду.
Отчисления на социальные нужды берутся по установленным нормативам, расходы на санитарно-бытовое обслуживание рабочих — на основе специальных расчетов.
Амортизация основных средств на основе установленных в учетной политике норм.
При определении затрат по благоустройству строительной площадки, испытанию материалов, сдаче работ государственной комиссии целесообразно планировать на основе практических данных прошлых лет.
Затраты на охрану труда и технику безопасности, охрану площадки, благоустройству, по договору субподрядчикам, могут им возмещаться в установленном порядке.
13. Основные статьи накладных расходов
1. Административно-хозяйственные расходы.
2. Затраты на обслуживание рабочих.
3. Расходы на организацию производства.
4. Прочие накладные расходы.
При планировании прибыли определяется не только ее размер, но и направления использования:
- на развитие;
- на материальное поощрение работников;
- создание социальной сферы.
Расходы предприятия регулируются «Положением о составе затрат по производству и реализации продукции (работ, услуг), включаемых в себестоимость продукции…», ПБУ и налоговым законодательством.
Для развития предприятия нужны инвестиции в форме капитальных вложений, которые носят долгосрочный характер (когда проект реализуется и окупается более чем за один год).
Источниками долгосрочных инвестиций могут быть как собственные средства предприятия, так и заемные средства. Для того чтобы оценить реальность и окупаемость проекта, разрабатывается бизнес-план. Разработка такого плана может осуществляться с помощью программ «Project», «Expert», «Alt-invest».
Бизнес-план и оценка проектов
Определяют следующие причины необходимости разработки бизнес-плана:
1) сам процесс составления плана включает идею проекта, способствует предотвращению ошибок и определяет очередность действий;
2) бизнес-план является рабочим документом, который позволяет контролировать и управлять предприятием;
3) законченный бизнес-план является средством сообщения вашей идеи заинтересованным лицам.
Структура бизнес-плана:
1) обзорный раздел (резюме). В этом разделе дается краткий обзор бизнес-плана;
2) описание предприятия (история):
- дать правовую характеристику предприятия с указанием основных собственников, какой пакет является контрольным. За рубежом уделяется внимание тому, является ли менеджмент (управляющие) владельцами предприятия;
- начало деятельности предприятия и основные виды его деятельности. Основные события, повлиявшие на развитие предприятия;
- организационная структура и персонал;
- описание текущей и перспективной тенденции сбыта продукции;
- основные конкуренты и покупатели;
- уровень диверсификации производства;
- возможности рекламы нашей продукции.
Описание отрасли:
- определение отрасли, к которой относится предприятие;
- перечень продукции и услуг, предлагаемых данной отраслью;
- положение отраслевого рынка;
- общий объем продаж по отрасли;
- доля рынка, принадлежащая конкурентам;
- плюсы и минусы конкурентов.
Описание продукции, услуг:
- функциональное назначение продукции;
- свойства, отличающие эту продукцию от других;
- стоимость;
- соответствие стандартам;
- стадия развития продукта (идея, эскиз, производство);
- требования к подготовке пользователей;
- возможности для дальнейшего развития продукта.
Описание рынка:
- размеры рынка;
- тенденции развития рынка;
- история его возникновения;
- доля рынка, принадлежащая нашему предприятию;
- экспортный потенциал продукции;
- характеристика потребителей и стратегия сбыта;
Конкурентоспособность продукции предприятия.
Производственная деятельность. В разделе описывается технологический процесс:
- производственная мощность;
- потребность и условия приобретения оборудования;
- потребность в основных средствах (пассивных);
- потребность в сырье и условия его поставки;
- доступность источников энергии;
- подготовка производства и требования к квалификации специалистов.
График выполнения работ (календарный план). Прогноз сроков мероприятий и потребности в финансовых ресурсах для их реализации. Включает следующие стадии:
- регистрацию предприятия (для нового бизнеса);
- получение денежных средств из различных источников;
- осуществление капитальных вложений;
- покрытие потребности в рабочей силе (персонале);
- изготовление опытной партии продукции;
- оценка качества выпускаемой продукции;
- создание сети сбыта продукции;
- работа с заказчиками.
Финансовый план. Включает документы:
- план прибылей и убытков;
- плановый баланс;
- план денежных потоков;
- предоставляются показатели платежеспособности и ликвидности предприятия. Здесь же отражаются прогнозируемые показатели эффективности проекта.
- результаты маркетинговых исследований;
- заключение аудиторов о достоверности финансовой отчетности;
- технические характеристики продукции;
- гарантийные письма и контракты с поставщиками и потребителями продукции;
- договоры аренды;
- лицензионные соглашения;
- заключение служб госнадзора по вопросам экологии и безопасности;
- отзывы авторитетных организаций.
Разработка бизнес-плана начинается с характеристики окружающей среды, в которой будет работать предприятие или бизнес.
Описание инфляции
Экономическая ситуация стран с переходной рыночной экономикой сопровождается нестабильностью цен и с проблемами прогнозирования денежных потоков в реальной и номинальной стоимости. Поэтому при разработке бизнес-плана необходимо учитывать возможные темпы инфляции, как в пессимистическом, так и в оптимистическом варианте. Более того, в бизнес-плане учитывается инфляция на различные виды затрат, так как темпы роста цен на различные группы товаров, участвующих в проекте могут различаться в несколько раз. Для анализа эффективности проекта делается прогноз показателей инфляции по видам ресурсов и по годам в течение срока реализации проекта.
Инфляция может быть описана группой нескольких показателей, характеризующих изменение стоимости по статьям затрат и проекта:
- курс рубля по отношению к доллару США. Он указывается на предполагаемую дату начала проекта. Чаще этой датой является дата разработки проекта;
- инфляция обменного курса рубля по отношению к доллару. Под курсовой инфляцией подразумевается прогнозируемый уровень роста или падения соотношения курсов валют (руб./долл.) в процентах за год;
- инфляция на сбыт. Прогнозируемый рост или снижение цен на предполагаемую продукцию и услуги в процентах за год, в рублях на внутреннем рынке и долларах на внешнем. В случае превышения темпов роста цен на сбыт над темпами общей инфляции может сложиться ситуация, когда цены на внутреннем рынке превысят уровень мировых цен. Поэтому если срок проекта достаточно длительный, то разрабатываются несколько вариантов прогноза изменения цен и соотношения курсов валют;
- инфляция на переменные издержки (стоимость продукции). Прогнозируемый рост или снижение цен в процентах за год на материалы и другие переменные затраты за исключением сдельной зарплаты в рублях — в случае приобретения на внутреннем рынке и долларах — на внешнем;
- инфляция на заработную плату. Прогнозируемый рост или снижение уровня заработной платы в процентах за год для местных работников — в рублях, для иностранных — в долларах;
- инфляция на постоянные (накладные) расходы. Характеризуется ростом или снижением затрат на различные виды (статьи) накладных расходов;
- инфляция на основные фонды.
К описанию окружающей среды также относятся сведения, характеризующие условия платежей и расчетов. Например, дебиторская задолженность в днях. Здесь указывается среднее время задержки платежей. Кредиторская задолженность в днях. Указывается среднее время задержки оплаты за поставленную продукцию.
В описание окружающей среды также входит раздел налогообложения. Кратко делается характеристика налогов системы. Указываются косвенные, прямые налоги, которые необходимо рассчитывать и уплачивать при реализации данного проекта.
К окружающей среде относят и условия предоставления займов. Указывается: тенденция изменения процентов по краткосрочным и долгосрочным займам и уровень процентных ставок на начало проекта и возможные тенденции их изменения.
Стоимость 1 чел.-часа рабочих-строителей в зависимости от разряда работ во 2 квартале 2010 г
Разряд работы
Стоимость чел./часа, руб.
Разряд работы
Стоимость чел./часа, руб.
Разряд работы
Стоимость чел./часа, руб.
1
2
3
4
5
6
1
78,79
2,7
91,36
4,4
111,96
1,1
79,53
2,8
92,10
4,5
113,53
1,2
80,16
2,9
92,95
4,6
115,12
1,3
80,80
3
93,79
4,7
116,60
1,4
81,54
3,1
94,94
4,8
118,18
1,5
82,17
3,2
96,11
4,9
119,77
1,6
82,81
3,3
97,38
5
121,35
1,7
83,54
3,4
98,54
5,1
123,47
1,8
84,18
3,5
99,71
5,2
125,47
1,9
84,80
3,6
100,86
5,3
127,47
2
85,55
3,7
102,02
5,4
129,59
2,1
86,39
3,8
103,29
5,5
131,60
2,2
87,13
3,9
104,46
5,6
133,71
2,3
87,98
4
105,62
5,7
135,72
2,4
88,82
4,1
107,20
5,8
137,72
2,5
89,67
4,2
108,78
5,9
139,83
2,6
90,51
4,3
110,37
6
141,84
Для расчета стоимости 1 чел.-часа рабочих-строителей в зависимости от разряда работ использованы данные Иркутскстата о сpедней заработной плате в расчете на одного работника по Иркутской области по отрасли «строительство» и величина прожиточного минимума согласно постановлению Правительства Иркутской области от 30.04.2010 г. № 83-ПП «Об установлении величины прожиточного минимума по Иркутской области за 1 квартал 2010 года» с учетом прогнозных индексов цен производителей на внутреннем рынке на 1 квартал 2010 г., установленных Минэкономразвития России на 27.11.2009.
Часовая оплата труда рабочих-строителей и рабочих, управляющих строительными машинами, включает в себя все виды выплат и вознаграждений, входящих в состав фонда оплаты труда (состав затрат на оплату труда по отдельным статьям расходов приведен в МДС 83-1.99, приложение № 1).
Среднемесячная норма рабочего времени – 165,58 час.
Нравится материал? Поддержи автора!
Ещё документы из категории экономика:
Чтобы скачать документ, порекомендуйте, пожалуйста, его своим друзьям в любой соц. сети.
После чего кнопка «СКАЧАТЬ» станет доступной!
Кнопочки находятся чуть ниже. Спасибо!
Кнопки:
Скачать документ