Обґрунтування проекту нового дочірнього виробничого спільного підприємства "Кипарис-Т"








































ДНІПРОПЕТРОВСЬКИЙ УНІВЕРСИТЕТ ЕКОНОМІКИ ТА ПРАВА
КАФЕДРА ЕКОНОМІКИ ПІДПРИЄМСТВА
ДИПЛОМНА РОБОТА
магістра
Обґрунтування проекту нового дочірнього виробничого спільного підприємства “Кипарис-Т”
Дніпропетровськ
2004
АНОТАЦІЯ
Дипломної роботи магістра
Тема дипломної роботи – „ОБГРУНТУВАННЯ ПРОЕКТУ НОВОГО ДОЧІРНЬОГО ВИРОБНИЧОГО СПІЛЬНОГО ПІДПРИЄМСТВА “КИПАРИС-Т” НА БАЗІ СПІЛЬНОГО ТОРГОВОГО ПІДПРИЄМСТ-ВА”КИПАРИС””
Науковий керівник
Об’єкт досліджень дипломної роботи: діяльність закритого акціонерного товариства спільне українсько-кіпрське підприємство «КИПАРИС»(м. Дніпропетровськ) за 2001 -2003 роки, виявлення основних проблем його економічного становища і шляхів подальшого розвитку, виконання розрахунків економічної ефективності капітальних інвестицій в диверсифікацію діяльності при створенні дочірнього спільного підприємства “КИПАРИС-Т” по виробництву(складанню з імпортних вузлів) телевізорів під торговою маркою іноземного інвестора “RAINFORD”.
Мета досліджень дипломної роботи: вивчення закономірностей та принципів фінансового механізму діяльності спільних підприємств у вигляді акціонерних товариств, оцінка конкурентного ринку телевізорів на Україні та перспектив завоювання сегментів ринку з новим типом телевізорів найнижчих реалізаційних цін.
КЛЮЧОВІ СЛОВА: СПІЛЬНЕ ПІДПРИЄМСТВО, ТОРГІВЛЯ, ІНОЗЕМНІ ІНВЕСТИЦІЇ, МАРКЕТИНГ РИНКУ, СЕГМЕНТ РИНКУ, ТЕЛЕВІЗОРИ
Дипломна робота магістра складається із вступу, трьох розділів, виснов-ків та списку літератури. Роботу подано на сторінках, містить 32 таблиці, 17 рисунків, додатки на 16 листах. Перелік використаної літератури містить 24 найменування.
ЗМІСТ
Вступ
Розділ 1. Теоретична частина. Особливості створення та функціонування підприємств з іноземними інвестиціями в Україні
1.1 Правове регулювання функціонування іноземних інвесторів в Україні
1.2 Заснування підприємства з іноземними інвестиціями у формі господарчого товариства та особливості його статусу в Україні
1.3 Основи бізнес-планування інвестування коштів в проекти створення нових виробництв
1.4 Сутність методів оцінки ефективності інвестиційних проектів
Розділ 2. Аналітична частина. Аналіз фінансового стану та виробничо-господарської діяльності українськоо-кіпрського СП „ КИПАРИС” у 2001 – 2002 роках
2.1 Загальна техніко-економічна характеристика підприємства СП “КИПАРИС” у 2001 –2002 роках
2.2 Аналіз складу і джерел утворення майна (активів)
2.3 Аналіз фінансових результатів діяльності
2.4 Коефіцієнтний аналіз показників фінансової діяльності
2.5. Оцінка імовірності банкрутства підприємства та доцільності диверсифікації діяльності
Розділ 3. Проектна частина. Аналіз ефективності інвестицій в створення дочірнього СП „КИПАРИС – Т” як проект диверсифікації діяльності СП “КИПАРИС” в Україні
3.1 Маркетинговий аналіз ринкового сегменту для створення дочірнього спільного виробничого підприємства СП “КИПАРИС-Т” по виробництву телевізорів
3.2 Вихідні дані по затратах проекту створення дочірнього підприємства
3.3 Розрахунки показників фінансового прогнозу результатів проекту створення дочірнього підприємства “КИПАРИС-Т”
3.4 Прогнозні об’єднані характеристики підприємств СП ”КИПАРИС” та дочірнього СП “КИПАРИС-Т”
Висновки
Перелік літератури
ВСТУП
Підприємство, створене відповідно до Господарського Кодексу України, в статутному фонді якого не менш як десять відсотків становить іноземна інвестиція, визнається підприємством з іноземними інвестиціями. Підприємство набуває статусу підприємства з іноземними інвестиціями з дня зарахування іноземної інвестиції на його баланс.
Іноземною інвестицією є цінності, що вкладаються іноземними інвесторами в об'єкти інвестиційної діяльності відповідно до законодавства України з метою отримання прибутку або досягнення соціального ефекту.
Іноземні інвестиції можуть вкладатися в об'єкти, інвестування в які не заборонено законами України. Підприємства з іноземними інвестиціями мають право бути засновниками дочірніх підприємств, створювати філії і представництва на території України і за її межами з додержанням вимог законодавства України та законодавства відповідних держав.
Законом можуть бути визначені галузі господарювання та/або території, в яких встановлюється загальний розмір участі іноземного інвестора, а також території, на яких діяльність підприємств з іноземними інвестиціями обмежується або забороняється, виходячи з вимог забезпечення національної безпеки.
Правовий статус і порядок діяльності підприємств з іноземними інвестиціями визначаються цим Кодексом, законом про режим іноземного інвестування в Україні, іншими законодавчими актами.
Інвестиція - господарська операція, яка передбачає придбання основних фондів нематеріальних активів, корпоративних прав та цінних паперів в обмін на кошти або майно. Інвестиції поділяються на капітальні, фінансові та реінвестиції.
Під капітальною інвестицією слід розуміти господарську операцію, яка передбачає придбання будинків, споруд, інших об'єктів нерухомої власності, інших основних фондів та нематеріальних активів, які підлягають амортизації згідно з Законом “Про оподаткування прибутку підприємств”.
Під фінансовою інвестицією слід розуміти господарську операцію, яка передбачає придбання корпоративних прав, цінних паперів, деривативів та інших фінансових інструментів. Фінансові інвестиції поділяються на прямі та портфельні.
Пряма інвестиція - господарська операція, яка передбачає внесення коштів або майна до статутного фонду юридичної особи в обмін на корпоративні права, емітовані такою юридичною особою.
Портфельна інвестиція - господарська операція, яка передбачає придбання цінних паперів, деривативів та інших фінансових активів за кошти на фондовому ринку (за винятком операцій із скупівлі акцій як безпосередньо платником податку, так і пов'язаними з ним особами, в обсягах, що перевищують 50 відсотків загальної суми акцій, емітованих іншою юридичною особою, які належать до прямих інвестицій).
На території України до суб'єктів підприємницької діяльності або інших юридичних осіб, їх філій, відділень, відокремлених підрозділів, включаючи постійні представництва нерезидентів (далі - підприємства), створених за участю іноземних інвестицій, незалежно від форм та часу їх внесення, застосовується національний режим валютного регулювання та справляння податків, зборів (обов'язкових платежів), встановлений законами України для підприємств, створених без участі іноземних інвестицій.
Підприємства, створені за участю іноземних інвестицій, а також об'єкти (результати) спільної діяльності на території України за участю іноземних інвестицій без створення юридичної особи, в тому числі на основі договорів (контрактів) про виробничу кооперацію, спільне виробництво, сумісну діяльність тощо, підлягають валютному і митному регулюванню та оподаткуванню за правилами, встановленими законодавством України з питань валютного і митного регулювання та оподаткування підприємств, створених без участі іноземних інвестицій.
Об’єкт досліджень дипломної роботи: детальний економічний аналіз діяльності закритого акціонерного товариства спільне українсько-кіпрське підприємство «КИПАРИС»(м. Дніпропетровськ) за 2001 -2003 роки, виявлення основних проблеми його економічного становища і шляхів подальшого розвитку, виконання розрахунків економічної ефективності капітальних інвестицій в диверсифікацію діяльності при створенні дочірнього спільного підприємства “КИПАРИС-Т” по виробництву(складанню з імпортних вузлів) телевізорів під торговою маркою іноземного інвестора “RAINFORD”.
Мета досліджень дипломної роботи: вивчення закономірностей та принципів фінансового механізму діяльності спільних підприємств у вигляді акціонерних товариств, оцінка конкуруючих економічних процесів ефективності розвитку спільного підприємства як підприємства із своїми законами розширеного відтворення, внутрішньої за зовнішньої системи ціноутворення та дивідендної політики, оцінка конкурентного ринку телевізорів на Україні та перспектив завоювання сегментів ринку з новим типом телевізорів найнижчих реалізаційних цін.
Актуальність досліджень дипломної роботи: з врахуванням великої кількості в Україні імпортних телевізорів, які складаються на вітчизняних складальних лініях (тільки 5% телевізорів імпортуються як готовий товар), зниження продажної ціни телевізора в умовах відсутності власної телевізійної промисловості України та ємності ринку до 1,5 млн. телевізорів на рік є безперечно перспективним напрямком диверсифікації діяльності торгового підприємства з своєю мережею супермаркетів реалізації та гарантійного обслуговування на базі цеху складання телевізорів.
Методи досліджень: проведення горизонтального(індексно-хронологіч-ного) та вертикального(структурно-хронологічного) аналізу балансу та фінансової звітності підприємства, аналіз фінансових коефіцієнтів, прогнозування інвестиційної привабливості методом дисконтованого аналізу ефективності діяльності створеного дочірнього спільного підприємства.
1 ТЕОРЕТИЧНА ЧАСТИНА. ОСОБЛИВОСТІ СТВОРЕННЯ ТА ФУНКЦІОНУВАННЯ ПІДПРИЄМСТВ З ІНОЗЕМНИМИ ІНВЕСТИЦІЯМИ В УКРАЇНІ
1.1 Правове регулювання функціонування іноземних інвесторів в Україні
Правовий господарський порядок в Україні формується на основі оптимального поєднання ринкового саморегулювання економічних відносин суб'єктів господарювання та державного регулювання макроекономічних процесів, виходячи з конституційної вимоги відповідальності держави перед людиною за свою діяльність та визначення України як суверенної і незалежної, демократичної, соціальної, правової держави.
Загальними принципами господарювання в Україні є[1]:
- забезпечення економічної багатоманітності та рівний захист державою усіх суб'єктів господарювання;
- свобода підприємницької діяльності у межах, визначених законом;
- вільний рух капіталів, товарів та послуг на території України;
- обмеження державного регулювання економічних процесів у зв'язку з необхідністю забезпечення соціальної спрямованості економіки, добросовісної конкуренції у підприємництві, екологічного захисту населення, захисту прав споживачів та безпеки суспільства і держави;
- захист національного товаровиробника;
- заборона незаконного втручання органів державної влади та органів місцевого самоврядування, їх посадових осіб у господарські відносини.
Суб'єкти господарювання мають право без обмежень самостійно здійснювати господарську діяльність, що не суперечить законодавству.
Суб'єкти господарювання підлягають державній реєстрації відповідно до Кодексу[1], при цьому держава здійснює контроль і нагляд за господарською діяльністю суб'єктів господарювання у таких сферах:
- збереження та витрачання коштів і матеріальних цінностей суб'єктами господарських відносин - за станом і достовірністю бухгалтерського обліку та звітності;
- фінансових, кредитних відносин, валютного регулювання та податкових відносин - за додержанням суб'єктами господарювання кредитних зобов'язань перед державою і розрахункової дисципліни, додержанням вимог валютного законодавства, податкової дисципліни;
- цін і ціноутворення - з питань додержання суб'єктами господарювання державних цін на продукцію і послуги;
- монополізму та конкуренції - з питань додержання антимонопольно-конкурентного законодавства;
- земельних відносин - за використанням і охороною земель; водних відносин і лісового господарства - за використанням та охороною вод і лісів, відтворенням водних ресурсів і лісів;
виробництва і праці - за безпекою виробництва і праці, додержанням законодавства про працю; за пожежною, екологічною, санітарно-гігієнічною безпекою; за дотриманням стандартів, норм і правил, якими встановлено обов'язкові вимоги щодо умов здійснення господарської діяльності;
- споживання - за якістю і безпечністю продукції та послуг;
- зовнішньоекономічної діяльності - з питань технологічної, економічної, екологічної та соціальної безпеки.
Кожний суб'єкт господарювання та споживач має право на захист своїх прав і законних інтересів. Права та законні інтереси зазначених суб'єктів захищаються шляхом:
- визнання наявності або відсутності прав;
- визнання повністю або частково недійсними актів органів державної влади та органів місцевого самоврядування, актів інших суб'єктів, що суперечать законодавству, ущемляють права та законні інтереси суб'єкта господарювання або споживачів; визнання недійсними господарських угод з підстав, передбачених законом;
- відновлення становища, яке існувало до порушення прав та законних інтересів суб'єктів господарювання;
- припинення дій, що порушують право або створюють загрозу його порушення;
- присудження до виконання обов'язку в натурі;
- відшкодування збитків;
- застосування штрафних санкцій;
- застосування оперативно-господарських санкцій;
- застосування адміністративно-господарських санкцій;
- установлення, зміни і припинення господарських правовідносин;
- іншими способами, передбаченими законом.
Підприємництво суб’єктів господарювання - це самостійна, ініціативна, систематична, на власний ризик господарська діяльність, що здійснюється суб'єктами господарювання (підприємцями) з метою досягнення економічних і соціальних результатів та одержання прибутку.
Підприємці мають право без обмежень самостійно здійснювати будь-яку підприємницьку діяльність, яку не заборонено законом.
Підприємництво здійснюється на основі:
- вільного вибору підприємцем видів підприємницької діяльності;
- самостійного формування підприємцем програми діяльності, вибору постачальників і споживачів продукції, що виробляється, залучення матеріально-технічних, фінансових та інших видів ресурсів, використання яких не обмежено законом, встановлення цін на продукцію та послуги відповідно до закону;
- вільного найму підприємцем працівників;
- комерційного розрахунку та власного комерційного ризику;
- вільного розпорядження прибутком, що залишається у підприємця після сплати податків, зборів та інших платежів, передбачених законом;
- самостійного здійснення підприємцем зовнішньоекономічної діяльності, використання підприємцем належної йому частки валютної виручки на свій розсуд.
Підприємництво в Україні здійснюється в будь-яких організаційних формах, передбачених законом, на вибір підприємця.
Порядок створення, державної реєстрації, діяльності, реорганізації та ліквідації суб'єктів підприємництва окремих організаційних форм визначається Кодексом та іншими законами.
Держава гарантує усім підприємцям, незалежно від обраних ними організаційних форм підприємницької діяльності, рівні права та рівні можливості для залучення і використання матеріально-технічних, фінансових, трудових, інформаційних, природних та інших ресурсів.
Установчими документами суб'єкта господарювання є рішення про його утворення або засновницький договір, а у випадках, передбачених законом, статут (положення) суб'єкта господарювання.
В установчих документах повинні бути зазначені найменування та місцезнаходження суб'єкта господарювання, мета і предмет господарської діяльності, склад і компетенція його органів управління, порядок прийняття ними рішень, порядок формування майна, розподілу прибутків та збитків, умови його реорганізації та ліквідації, якщо інше не передбачено законом.
У засновницькому договорі засновники зобов'язуються утворити суб'єкт господарювання, визначають порядок спільної діяльності щодо його утворення, умови передачі йому свого майна, порядок розподілу прибутків і збитків, управління діяльністю суб'єкта господарювання та участі в ньому засновників, порядок вибуття та входження нових засновників, інші умови діяльності суб'єкта господарювання, які передбачені законом, а також порядок його реорганізації та ліквідації відповідно до закону.
Статут суб'єкта господарювання повинен містити відомості про його найменування і місцезнаходження, мету і предмет діяльності, розмір і порядок утворення статутного та інших фондів, порядок розподілу прибутків і збитків, про органи управління і контролю, їх компетенцію, про умови реорганізації та ліквідації суб'єкта господарювання, а також інші відомості, пов'язані з особливостями організаційної форми суб'єкта господарювання, передбачені законодавством. Статут може містити й інші відомості, що не суперечать законодавству.
Статут (положення) затверджується власником майна (засновником) суб'єкта господарювання чи його представниками, органами або іншими суб'єктами відповідно до закону.
Суб'єкт господарювання підлягає державній реєстрації, крім випадків, встановлених Кодексом[1].
Державна реєстрація суб'єктів господарювання проводиться у виконавчому комітеті міської, районної у місті ради або в районній державній адміністрації за місцезнаходженням або місцем проживання даного суб'єкта, якщо інше не передбачено законом.
Для державної реєстрації суб'єкта господарювання подаються такі документи:
- рішення власника (власників) майна або уповноваженого ним (ними) органу у випадках, передбачених законом;
- установчі документи, передбачені законом для відповідного виду юридичних осіб;
- рішення Антимонопольного комітету України про згоду на створення, реорганізацію (злиття, приєднання) суб'єктів господарювання у випадках, передбачених законом;
- документ (документи), що засвідчує сплату засновником (засновниками) внеску до статутного фонду суб'єкта господарювання в розмірі, встановленому законом;
- реєстраційна картка встановленого зразка;
- документ, що засвідчує сплату коштів за державну реєстрацію.
При створенні у процесі приватизації та/або корпоратизації відкритих акціонерних товариств повинен також бути поданий звіт про наслідки підписки на акції, затверджений Державною комісією з цінних паперів та фондового ринку.
Державна реєстрація суб'єктів господарювання здійснюється у строк не більше десяти днів з дня подання документів, зазначених у цій статті. Реєструючий орган зобов'язаний протягом цього строку видати суб'єкту господарювання свідоцтво про його державну реєстрацію.
На печатках і штампах суб'єкта господарювання повинен зазначатись ідентифікаційний код, за яким цього суб'єкта включено до державного реєстру суб'єктів господарювання, або ідентифікаційний код громадянина-підприємця.
Свідоцтво про державну реєстрацію суб'єкта господарювання та копія документа, що підтверджує взяття його на облік в органах державної податкової служби, є підставою для відкриття рахунків в установах банків.
Відомості щодо державної реєстрації суб'єкта господарювання включаються до єдиного державного реєстру, відкритого для загального ознайомлення.
Перереєстрація суб'єкта господарювання проводиться у разі зміни форми власності, на якій засновано даний суб'єкт, або організаційної форми господарювання, або найменування суб'єкта господарювання і здійснюється в порядку, встановленому для його реєстрації.
Скасування (припинення) державної реєстрації суб'єкта господарювання здійснюється за його особистою заявою, а також на підставі рішення суду у випадках визнання недійсними або такими, що суперечать законодавству, установчих документів, або здійснення діяльності, що суперечить закону чи установчим документам, або в інших випадках, передбачених законом.
Скасування державної реєстрації припиняє господарську діяльність і є підставою для здійснення заходів щодо ліквідації суб'єкта господарювання.
Законодавством України можуть бути встановлені спеціальні правила державної реєстрації окремих організаційних форм господарювання.
Суб'єкти господарювання мають право відкривати свої філії (відділення), представництва без створення юридичної особи. Відкриття вказаних підрозділів не потребує їх реєстрації. Суб'єкт господарювання лише повідомляє про їх відкриття реєструючий орган шляхом внесення додаткової інформації в свою реєстраційну картку.
Припинення діяльності суб'єкта господарювання здійснюється шляхом його реорганізації (злиття, приєднання, поділу, перетворення) або ліквідації - за рішенням власника (власників) чи уповноважених ним органів, за рішенням інших осіб - засновників суб'єкта господарювання чи їх правонаступників, а у випадках, передбачених цим Кодексом, - за рішенням суду.
Підприємство - самостійний суб'єкт господарювання, створений компетентним органом державної влади або органом місцевого самоврядування, або іншими суб'єктами для задоволення суспільних та особистих потреб шляхом систематичного здійснення виробничої, науково-дослідної, торговельної, іншої господарської діяльності в порядку, передбаченому Кодексом[1]та іншими законами[2-9].
Підприємство, якщо законом не встановлено інше, діє на основі статуту, є юридичною особою, має відокремлене майно, самостійний баланс, рахунки в установах банків, печатку із своїм найменуванням та ідентифікаційним кодом, не має у своєму складі інших юридичних осіб.
Залежно від форм власності, передбачених законом, в Україні можуть діяти підприємства таких видів:
приватне підприємство, що діє на основі приватної власності громадян чи суб'єкта господарювання (юридичної особи);
підприємство, що діє на основі колективної власності (підприємство колективної власності);
комунальне підприємство, що діє на основі комунальної власності територіальної громади;
державне підприємство, що діє на основі державної власності;
підприємство, засноване на змішаній формі власності (на базі об'єднання майна різних форм власності).
У разі якщо в статутному фонді підприємства іноземна інвестиція становить не менш як десять відсотків, воно визнається підприємством з іноземними інвестиціями. Підприємство, в статутному фонді якого іноземна інвестиція становить сто відсотків, вважається іноземним підприємством.
Залежно від способу утворення (заснування) та формування статутного фонду в Україні діють підприємства унітарні та корпоративні.
Унітарне підприємство створюється одним засновником, який виділяє необхідне для того майно, формує відповідно до закону статутний фонд, не поділений на частки (паї), затверджує статут, розподіляє доходи, безпосередньо або через керівника, який ним призначається, керує підприємством і формує його трудовий колектив на засадах трудового найму, вирішує питання реорганізації та ліквідації підприємства. Унітарними є підприємства державні, комунальні, підприємства, засновані на власності об'єднання громадян, релігійної організації або на приватній власності засновника.
Корпоративне підприємство утворюється, як правило, двома або більше засновниками за їх спільним рішенням (договором), діє на основі об'єднання майна та/або підприємницької чи трудової діяльності засновників (учасників), їх спільного управління справами, на основі корпоративних прав, у тому числі через органи, що ними створюються, участі засновників (учасників) у розподілі доходів та ризиків підприємства. Корпоративними є кооперативні підприємства, підприємства, що створюються у формі господарського товариства, а також інші підприємства, в тому числі засновані на приватній власності двох або більше осіб.
Підприємства залежно від кількості працюючих та обсягу валового доходу від реалізації продукції за рік можуть бути віднесені до малих підприємств, середніх або великих підприємств.
Малими (незалежно від форми власності) визнаються підприємства, в яких середньооблікова чисельність працюючих за звітний (фінансовий) рік не перевищує п'ятдесяти осіб, а обсяг валового доходу від реалізації продукції (робіт, послуг) за цей період не перевищує суми, еквівалентної п'ятистам тисячам євро за середньорічним курсом Національного банку України щодо гривні.
Великими підприємствами визнаються підприємства, в яких середньооблікова чисельність працюючих за звітний (фінансовий) рік перевищує тисячу осіб, а обсяг валового доходу від реалізації продукції (робіт, послуг) за рік перевищує суму, еквівалентну п'яти мільйонам євро за середньорічним курсом Національного банку України щодо гривні.
Усі інші підприємства визнаються середніми.
У випадках існування залежності від іншого підприємства, підприємство визнається дочірнім.
Майно підприємства становлять виробничі і невиробничі фонди, а також інші цінності, вартість яких відображається в самостійному балансі підприємства.
Джерелами формування майна підприємства є:
- грошові та матеріальні внески засновників;
- доходи, одержані від реалізації продукції, послуг, інших видів господарської діяльності;
- доходи від цінних паперів;
- кредити банків та інших кредиторів;
- капітальні вкладення і дотації з бюджетів;
- майно, придбане в інших суб'єктів господарювання, організацій та громадян у встановленому законодавством порядку;
- інші джерела, не заборонені законодавством України.
Володіння і користування природними ресурсами підприємство здійснює в установленому законодавством порядку за плату, а у випадках, передбачених законом, на пільгових умовах.
Відносини підприємства з іншими підприємствами, організаціями, громадянами в усіх сферах господарської діяльності здійснюються на основі договорів.
Підприємство має право реалізовувати самостійно всю продукцію, яка не увійшла в державне замовлення або державне завдання, на території України і за її межами, якщо інше не передбачено законом.
Підприємство самостійно здійснює зовнішньоекономічну діяльність, яка є частиною зовнішньоекономічної діяльності України і регулюється законами України, іншими прийнятими відповідно до них нормативно-правовими актами.
Майном у Кодексі[1] визнається сукупність речей та інших цінностей (включаючи нематеріальні активи), які мають вартісне визначення, виробляються чи використовуються у діяльності суб'єктів господарювання та відображаються в їх балансі або враховуються в інших передбачених законом формах обліку майна цих суб'єктів.
Залежно від економічної форми, якої набуває майно у процесі здійснення господарської діяльності, майнові цінності належать до основних фондів, оборотних засобів, коштів, товарів.
Основними фондами виробничого і невиробничого призначення є будинки, споруди, машини та устаткування, обладнання, інструмент, виробничий інвентар і приладдя, господарський інвентар та інше майно тривалого використання, що віднесено законодавством до основних фондів.
Оборотними засобами є сировина, паливо, матеріали, малоцінні предмети та предмети, що швидко зношуються, інше майно виробничого і невиробничого призначення, що віднесено законодавством до оборотних засобів.
Коштами у складі майна суб'єктів господарювання є гроші у національній та іноземній валюті, призначені для здійснення товарних відносин цих суб'єктів з іншими суб'єктами, а також фінансових відносин відповідно до законодавства.
Товарами у складі майна суб'єктів господарювання визнаються вироблена продукція (товарні запаси), виконані роботи та послуги.
Особливим видом майна суб'єктів господарювання є цінні папери.
Суб'єкти господарювання в межах своєї компетенції та відповідно до встановленого законодавством порядку можуть випускати та реалізовувати цінні папери, а також придбавати цінні папери інших суб'єктів господарювання.
Цінним папером є документ встановленої форми з відповідними реквізитами, що посвідчує грошове або інше майнове право і визначає відносини між суб'єктом господарювання, який його випустив (видав), і власником та передбачає виконання зобов'язань згідно з умовами його випуску, а також можливість передачі прав, що випливають з цього документа, іншим особам.
В Україні можуть випускатися і перебувати в обігу пайові, боргові та інші цінні папери. У сфері господарювання у випадках, передбачених законом, використовуються такі види цінних паперів: акції, облігації внутрішніх та зовнішніх державних позик, облігації місцевих позик, облігації підприємств, казначейські зобов'язання, ощадні сертифікати, векселі, інші види цінних паперів, передбачені Кодексом[18] та іншими законами.
Господарськими товариствами визнаються підприємства або інші суб'єкти господарювання, створені юридичними особами та/або громадянами шляхом об'єднання їх майна і участі в підприємницькій діяльності товариства з метою одержання прибутку. У випадках, передбачених Кодексом[18], господарське товариство може діяти у складі одного учасника.
ЗАКОН УКРАЇНИ «Про інвестиційну діяльність»[4] визначає загальні правові, економічні та соціальні умови інвестиційної діяльності на території України та спрямований на забезпечення рівного захисту прав, інтересів і майна суб'єктів інвестиційної діяльності незалежно від форм власності, а також на ефективне інвестування народного господарства України, розвитку міжнародного економічного співробітництва та інтеграції.
Інвестиціями є всі види майнових та інтелектуальних цінностей, що вкладаються в об'єкти підприємницької та інших видів діяльності, в результаті якої створюється прибуток (доход) або досягається соціальний ефект.
Такими цінностями можуть бути:
- кошти, цільові банківські вклади, паї, акції та інші цінні папери;
- рухоме та нерухоме майно (будинки, споруди, устаткування та інші матеріальні цінності);
- майнові права, що випливають з авторського права, досвід та інші інтелектуальні цінності;
- сукупність технічних, технологічних, комерційних та інших знань, оформлених у вигляді технічної документації, навиків та виробничого досвіду, необхідних для організації того чи іншого виду виробництва, але не запатентованих ("ноу-хау");
- права користування землею, водою, ресурсами, будинками, спорудами, обладнанням, а також інші майнові права;
- інші цінності.
Інвестиції у відтворення основних фондів і на приріст матеріально-виробничих запасів здійснюються у формі капітальних вкладень.
Об'єктами інвестиційної діяльності можуть бути будь-яке майно, в тому числі основні фонди і оборотні кошти в усіх галузях та сферах народного господарства, цінні папери, цільові грошові вклади, науково-технічна продукція, інтелектуальні цінності, інші об'єкти власності, а також майнові права.
Інвестори - суб'єкти інвестиційної діяльності, які приймають рішення про вкладення власних, позичкових і залучених майнових та інтелектуальних цінностей в об'єкти інвестування. Інвестори можуть виступати в ролі вкладників, кредиторів, покупців, а також виконувати функції будь-якого учасника інвестиційної діяльності.
Інвестор самостійно визначає цілі, напрями, види й обсяги інвестицій, залучає для їх реалізації на договірній основі будь-яких учасників інвестиційної діяльності, у тому числі шляхом організації конкурсів і торгів.
Інвестор має право володіти, користуватися і розпоряджатися об'єктами та результатами інвестицій, включаючи реінвестиції та торговельні операції на території України, відповідно до законодавчих актів України.
ЗАКОН УКРАЇНИ „ Про режим іноземного інвестування” [ 7 ] визначає особливості режиму іноземного інвестування на території України, виходячи з цілей, принципів і положень законодавства України.
Іноземні інвестиції можуть здійснюватися у вигляді:
- іноземної валюти, що визнається конвертованою Національним банком України;
- валюти України - при реінвестиціях в об'єкт первинного інвестування чи в будь-які інші об'єкти інвестування відповідно до законодавства України за умови сплати податку на прибуток (доходи);
- будь-якого рухомого і нерухомого майна та пов'язаних з ним майнових прав;
- акцій, облігацій, інших цінних паперів, а також корпоративних прав (прав власності на частку (пай) у статутному фонді юридичної особи, створеної відповідно до законодавства України або законодавства інших країн), виражених у конвертованій валюті;
- грошових вимог та права на вимоги виконання договірних зобов'язань, які гарантовані першокласними банками і мають вартість у конвертованій валюті, підтверджену згідно з законами (процедурами) країни інвестора або міжнародними торговельними звичаями;
- будь-яких прав інтелектуальної власності, вартість яких у конвертованій валюті підтверджена згідно з законами (процедурами) країни інвестора або міжнародними торговельними звичаями, а також підтверджена експертною оцінкою в Україні, включаючи легалізовані на території України авторські права, права на винаходи, корисні моделі, промислові зразки, знаки для товарів і послуг, ноу-хау тощо;
- прав на здійснення господарської діяльності, включаючи права на користування надрами та використання природних ресурсів, наданих відповідно до законодавства або договорів, вартість яких у конвертованій валюті підтверджена згідно з законами (процедурами) країни інвестора або міжнародними торговельними звичаями;
- інших цінностей відповідно до законодавства України.
Іноземні інвестиції можуть здійснюватися у таких формах:
- часткової участі у підприємствах, що створюються спільно з українськими юридичними і фізичними особами, або придбання частки діючих підприємств;
- створення підприємств, що повністю належать іноземним інвесторам, філій та інших відокремлених підрозділів іноземних юридичних осіб або придбання у власність діючих підприємств повністю;
- придбання не забороненого законами України нерухомого чи рухомого майна, включаючи будинки, квартири, приміщення, обладнання, транспортні засоби та інші об'єкти власності, шляхом прямого одержання майна та майнових комплексів або у вигляді акцій, облігацій та інших цінних паперів;
- придбання самостійно або за участю українських юридичних або фізичних осіб прав на користування землею та використання природних ресурсів на території України;
- придбання інших майнових прав;
- господарської (підприємницької) діяльності на основі угод про розподіл продукції;
- в інших формах, які не заборонені законами України, в тому числі без створення юридичної особи на підставі договорів із суб'єктами господарської діяльності України.
Іноземні інвестиції можуть вкладатися в будь-які об'єкти, інвестування в які не заборонено законами України.
Для іноземних інвесторів на території України встановлюється національний режим інвестиційної та іншої господарської діяльності, за винятками, передбаченими законодавством України та міжнародними договорами України.
Іноземним інвесторам після сплати податків, зборів та інших обов'язкових платежів гарантується безперешкодний і негайний переказ за кордон їх прибутків, доходів та інших коштів в іноземній валюті, одержаних на законних підставах внаслідок здійснення іноземних інвестицій.
На території України підприємства з іноземними інвестиціями створюються і діють у формах, передбачених законодавством України[1], [3].
Майно, що ввозиться в Україну як внесок іноземного інвестора до статутного фонду підприємств з іноземними інвестиціями (крім товарів для реалізації або власного споживання), звільняється від обкладення митом.
При цьому митні органи здійснюють пропуск такого майна на територію України на підставі виданого підприємством простого векселя на суму мита з відстроченням платежу не більш як на 30 календарних днів з дня оформлення ввізної вантажної митної декларації.
Вексель погашається і ввізне мито не справляється, якщо у період, на який дається відстрочення платежу, зазначене майно зараховане на баланс підприємства і податковою інспекцією за місцезнаходженням підприємства зроблена відмітка про це на примірнику векселя.
Підприємство з іноземними інвестиціями самостійно визначає умови реалізації продукції (робіт, послуг), включаючи ціну на них, якщо інше не передбачено законодавством України. Продукція підприємств з іноземними інвестиціями не підлягає ліцензуванню і квотуванню за умови її сертифікації як продукції власного виробництва у порядку, встановленому Кабінетом Міністрів України.
Підприємства з іноземними інвестиціями сплачують податки відповідно до законодавства України.
1.2 Заснування спільного підприємства з іноземними інвестиціями у формі господарчого товариства та особливості його статусу в Україні
Міжнародним спільним підприємством (МСП) вважається організаційно-правова форма поєднання зусиль різнонаціональних партнерів у сферах інвестування, управління, виробництва продукції чи надання послуг, торгівлі, використання доходів, розподілу підприємницьких ризиків тощо [19].
Підприємство, створене відповідно до Кодексу [1], в статутному фонді якого не менш як десять відсотків становить іноземна інвестиція, визнається підприємством з іноземними інвестиціями. Підприємство набуває статусу підприємства з іноземними інвестиціями з дня зарахування іноземної інвестиції на його баланс.
Підприємство з іноземними інвестиціями самостійно визначає умови реалізації продукції (робіт, послуг), включаючи ціну на них, якщо інше не передбачено законодавством України. Продукція підприємств з іноземними інвестиціями не підлягає ліцензуванню і квотуванню за умови її сертифікації як продукції власного виробництва у порядку, встановленому Кабінетом Міністрів України [7],[8].
Підприємства з іноземними інвестиціями сплачують податки відповідно до законодавства України [2],[5],[6].
Мотиваційний механізм заснування МСП створюється на макро- та мікрорівні національної системи господарювання [14]. Попередні переговори щодо створення МСП, як правило, завершуються підписанням партнерами протоколу про наміри, в якому мають бути зазначені:
- загальні обсяги виробництва і поставок продукції на внутрішній та зовнішній ринки;
- розмір статутного фонду з відокремленням часток партнерів у ньому;
- співвідношення між власними та запозиченими коштами;
- можливий банк-кредитор;
наявність місцевої кваліфікованої робочої сили та потреба в залученні іноземного персоналу;
організація продажу виробів чи послуг, організація та тривалість післяпродажного обслуговування;
- трансферт(репатріація) прибутку іноземного партнера.
Перелік документів, які подаються ініціаторами створення СП
для його реєстрації в органах державної влади України:
1. Заява про намір створення СП.
2. Установчий договір.
3. Статут СП.
4. Техніко-економічне обгрунтування або бізнес-план.
5. Письмове погодження відповідного органу управління.
6. Згода місцевих органів державної влади.
7. Нотаріально завірені копії установчих документів, свідоцтва про державну реєстрацію юридичних осіб України і довідка банківської установи, що веде розрахунки.
Для іноземних інвесторів:
8. Документ, що підтверджує його реєстрацію в країні місцезнаходження. Цей документ повинен бути нотаріально засвідчений, переведений на українську мову і легалізований у встановленому порядку.
9. Рекомендаційний лист банківської установи іноземної фірми в країні місцезнаходження, що веде її розрахунки, з перекладом на українську мову і легалізований.
а) формування власного статутного капіталу акціонерного товариства
Акціонерним визнається товариство, яке має статутний фонд, поділений на визначену кількість акцій рівної номінальної вартості, і несе відповідальність за зобов'язаннями тільки майном товариства. Акціонери відповідають за зобов'язаннями товариства тільки в межах належних їм акцій [3].
При формуванні статутного капіталу використовуються цінні папери - грошові документи, що засвідчують право володіння або відносини позики, визначають взаємовідносини між особою, яка їх випустила, та їх власником і передбачають, як правило, виплату доходу у вигляді дивідендів або процентів, а також можливість передачі грошових та інших прав, що випливають з цих документів, іншим особам [9 ].
Цінні папери можуть бути іменними або на пред'явника. Іменні цінні папери, якщо інше не передбачено цим Законом або в них спеціально не вказано, що вони не підлягають передачі, передаються шляхом повного індосаменту (передавальним записом, який засвідчує перехід прав за цінним папером до іншої особи). Цінні папери на пред'явника обертаються вільно. Цінні папери можуть бути використані для здійснення розрахунків, а також як застава для забезпечення платежів і кредитів.
В Україні акціонерні товариства для формування власного капіталу можуть випускатися такі види цінних паперів [3],[9]:
а) пайові цінні папери (фіктивна форма відображення капіталу):
- акції;
б) боргові (довгострокові позики) цінні папери:
- облігації підприємств;
Акція - цінний папір без установленого строку обігу, що засвідчує дольову участь у статутному фонді акціонерного товариства, підтверджує членство в акціонерному товаристві та право на участь в управлінні ним, дає право його власникові на одержання частини прибутку у вигляді дивіденду, а також на участь у розподілі майна при ліквідації акціонерного товариства.
Акції можуть бути іменними та на пред'явника, привілейованими та простими. Громадяни вправі бути власниками, як правило, іменних акцій. Обіг іменної акції фіксується у книзі реєстрації акцій, що ведеться товариством. До неї має бути внесено відомості про кожну іменну акцію, включаючи відомості про власника, час придбання акції, а також кількість таких акцій у кожного з акціонерів.
По акціях на пред'явника у книзі реєструється їх загальна кількість.
Привілейовані акції дають власникові переважне право на одержання дивідендів, а також на пріоритетну участь у розподілі майна акціонерного товариства у разі його ліквідації. Власники привілейованих акцій не мають права брати участь в управлінні акціонерним товариством, якщо інше не передбачено його статутом. Привілейовані акції можуть випускатися із фіксованим у процентах до їх номінальної вартості щорічно виплачуваним дивідендом. Виплата дивідендів провадиться у розмірі, зазначеному в акції, незалежно від розміру одержаного товариством прибутку у відповідному році. У тому разі коли прибуток відповідного року є недостатнім, виплата дивідендів по привілейованих акціях провадиться за рахунок резервного фонду.
Якщо розмір дивідендів, що сплачуються акціонерам, по простих акціях перевищує розмір дивідендів по привілейованих акціях, власникам останніх може провадитися доплата до розміру дивідендів, виплачених іншим акціонерам.
Привілейовані акції не можуть бути випущені на суму, що перевищує 10 процентів статутного фонду акціонерного товариства. Порядок здійснення переважного права на одержання дивідендів визначається статутом акціонерного товариства.
Власник акції має право на частину прибутку акціонерного товариства (дивіденди), на участь в управлінні товариством (крім власника привілейованої акції), а також інші права, передбачені цим Законом, іншими законодавчими актами України, а також статутом акціонерного товариства.
Рішення про випуск акцій приймається засновниками акціонерного товариства або загальними зборами акціонерів акціонерного товариства. Випуск акцій акціонерним товариством здійснюється у розмірі його статутного фонду або на всю вартість майна державного підприємства (у разі перетворення його в акціонерне товариство). Додатковий випуск акцій можливий у тому разі, коли попередні випуски акцій були зареєстровані і всі раніше випущені акції повністю оплачені за вартістю не нижче номінальної. Забороняється випуск акцій для покриття збитків, пов'язаних з господарською діяльністю акціонерного товариства. Акції оплачуються в гривнях, а у випадках, передбачених статутом акціонерного товариства, також у іноземній валюті або шляхом передачі майна. Незалежно від форми внесеного вкладу вартість акції виражається у гривнях.
Дивіденди по акціях виплачуються один раз на рік за підсумками календарного року в порядку, передбаченому статутом акціонерного товариства, за рахунок прибутку, що залишається у його розпорядженні після сплати встановлених законодавством податків, інших платежів у бюджет та процентів за банківський кредит.
У статуті суспільства повинні бути визначений розмір дивіденду і (чи) вартість, виплачувана при ліквідації суспільства (ліквідаційна вартість) по привілейованих акціях кожного типу. Розмір дивіденду і ліквідаційна вартість визначаються у твердій грошовій чи сумі у відсотках до номінальної вартості привілейованих акцій. Розмір дивіденду і ліквідаційна вартість по привілейованих акціях вважаються визначеними також, якщо статутом суспільства встановлений порядок їхнього визначення.
Власники привілейованих акцій, по яких не визначений розмір дивіденду, мають право на одержання дивідендів нарівні з власниками звичайних акцій. Якщо статутом суспільства передбачені привілейовані акції двох і більш типів, то статутом суспільства повинна бути також установлена черговість виплати дивідендів і ліквідаційної вартості по кожному типу привілейованих акцій. Статутом суспільства може бути встановлено, що невиплачений чи не цілком виплачений дивіденд по привілейованих акціях визначеного типу, розмір якого визначений у статуті, накопичується і виплачуються згодом (кумулятивні привілейовані акції). У статуті суспільства можуть бути визначені також можливість і умови конвертації привілейованих акцій визначеного типу в звичайні акції чи привілейовані акції інших типів.
Акціонери - власники привілейованих акцій беруть участь у загальних зборах акціонерів із правом голосу при рішенні питань про реорганізацію і ліквідацію суспільства. Акціонери - власники привілейованих акцій визначеного типу здобувають право голосу при рішенні на загальних зборах акціонерів питань про внесення змін і доповнень у статут суспільства, що обмежують права акціонерів - власників цього типу привілейованих акцій, включаючи випадки визначення чи збільшення ліквідаційної вартості, виплачуваної по привілейованих акціях попередньої черги, а також надання акціонерам - власникам іншого типу привілейованих акцій переваг у черговості виплати дивіденду і (чи) ліквідаційної вартості акцій.
Акціонери - власники привілейованих акцій визначеного типу, розмір дивіденду по який визначений у статуті суспільства, за винятком акціонерів - власників кумулятивних привілейованих акцій, мають право брати участь у загальних зборах акціонерів із правом голосу з усіх питань його компетенції, починаючи зі збори, що назначені за річними загальними зборами акціонерів, на якому не було прийняте рішення про виплату дивідендів чи були прийняті рішення про неповну виплату дивідендів по привілейованих акціях цього типу. Право акціонерів - власників привілейованим акціям такого типу брати участь у загальних зборах акціонерів припиняється з моменту першої виплати по зазначених акціях дивідендів у повному розмірі.
Статут суспільства може передбачати право голосу по привілейованих акціях визначеного типу, якщо статутом суспільства передбачена можливість конвертами акцій цього типу в звичайні акції. При цьому власник такої привілейованої акції має кількість голосів, не перевищуючу кількість голосів по звичайних акціях, у які може бути конвертована приналежна йому привілейована акція.
Облігація - цінний папір, що засвідчує внесення її власником грошових коштів і підтверджує зобов'язання відшкодувати йому номінальну вартість цього цінного паперу в передбачений в ньому строк з виплатою фіксованого процента (якщо інше не передбачено умовами випуску). Облігації усіх видів розповсюджуються серед підприємств і громадян на добровільних засадах.
Облігації підприємств випускаються підприємствами усіх передбачених законом форм власності, об'єднаннями підприємств, акціонерними та іншими товариствами і не дають їх власникам права на участь в управлінні.
Облігації можуть випускатися іменними і на пред'явника, процентними і безпроцентними (цільовими), що вільно обертаються або з обмеженим колом обігу. Облігації підприємств повинні мати такі реквізити: найменування цінного паперу - "облігація", фірмове найменування і місцезнаходження емітента облігацій; фірмове найменування або ім'я покупця (для іменної облігації); номінальну вартість облігації; строки погашення, розмір і строки виплати процентів (для процентних облігацій); місце і дату випуску, а також серію і номер облігації; підпис керівника емітента або іншої уповноваженої на це особи, печатку емітента.
Крім основної частини до облігації може додаватися купонний лист на виплату процентів. Купон на виплату процентів повинен містити такі основні дані: порядковий номер купона на виплату процентів; номер облігації, по якій виплачуються проценти; найменування емітента і рік виплати процентів. Облігації, запропоновані для відкритого продажу з наступним вільним обігом (крім безпроцентних облігацій), повинні містити купонний лист.
Рішення про випуск облігацій підприємств приймається емітентом і оформляється протоколом. Акціонерні товариства можуть випускати облігації на суму не більше 25 процентів від розміру статутного фонду і лише після повної оплати усіх випущених акцій.
Випуск облігацій підприємств для формування і поповнення статутного фонду емітентів, а також для покриття збитків, пов'язаних з їх господарською діяльністю, не допускається.
б) Фінансовий механізм управління акціонерним підприємством
Фінанси підприємства – це сукупність економічних, грошових відносин, що виникають у процесі виробництва, розподілу і використання сукупного суспільного продукту, національного багатства, і зв'язані з утворенням, розподілом і використанням валового доходу, грошових нагромаджень і фінансових ресурсів підприємств [12].
До фінансових відносин, що визначають зміст даної категорії, прийнято відносити грошові відносини, що виникають у процесі розширеного відтворення, а саме:
між підприємствами й іншими суб'єктами господарювання;
між підприємствами і бюджетною системою;
між підприємствами і фінансово-кредитною системою;
усередині різних об'єднань підприємств;
усередині підприємства.
Роль фінансів підприємства полягає в наступному [10]:
1. Розподіляючи і перерозподіляючи національний доход і національне багатство на загальнодержавному рівні, фінанси підприємств забезпечують формування фінансових ресурсів країни, використовуваних для утворення бюджету і позабюджетних суспільних фондів.
2. У ході розподілу і перерозподілу національного доходу і національного багатства на рівні підприємств вони забезпечують сферу матеріального виробництва необхідними фінансовими ресурсами і коштами для безупинного процесу розширеного відтворення.
3. На рівні виробничих колективів за допомогою фінансів формуються такі грошові фонди, як фонди оплати праці і матеріального стимулювання, здійснюються програми соціального розвитку колективів підприємств.
4. Важливої є роль фінансів підприємств у збалансованості в народному господарстві між матеріальними і грошовими фондами, призначеними для цілей споживання і нагромадження. Від ступеня забезпечення такої збалансованості багато в чому залежать стабільність національної грошової одиниці, грошовий обіг, стан платіжно-розрахункової дисципліни в народному господарстві.
5. Безпосередній зв'язок фінансів підприємств і фінансів галузей народного господарства з усіма фазами відтворювального процесу обумовлює їх високу потенційну активність і велику можливість впливу на всі сторони господарювання.
6. Фінанси підприємств можуть служити важливим інструментом державного регулювання економіки. З їхньою допомогою здійснюється регулювання відтворення виробленого продукту, забезпечується фінансування розширеного відтворення на основі оптимального співвідношення між засобами, спрямованими на споживання і нагромадження.
Фінанси підприємств виконують три основні функції:
розподільну;
контрольну;
формування грошових доходів;
Під розподільною функцією фінансів підприємства варто розуміти здійснення ними своєї діяльності в процесі розподілу валового внутрішнього продукту підприємства.
Під контрольною функцією фінансів підприємства варто розуміти внутрішньо властиву їм здатність об'єктивно відбивати і тим самим контролювати стан економіки підприємства.
Фінансові відносини підприємства виникають тоді, коли на грошовій основі відбувається формування власних засобів підприємства, його доходів, залучення позикових джерел фінансування господарської діяльності, розподіл доходів, що утворяться в результаті цієї діяльності, їхнє використання на цілі розвитку підприємства.
Організація господарської діяльності вимагає відповідного фінансового забезпечення, тобто первісного капіталу, що утворюється з внесків засновників підприємства і приймає форму статутного капіталу. Це найважливіше джерело формування майна будь-якого підприємства.
При створенні підприємства статутний капітал направляється на придбання основних фондів і формування оборотних коштів у розмірах, необхідних для ведення нормальної виробничо - господарської діяльності, вкладається в придбання ліцензій, патентів, ноу-хау, використання яких є важливим доходним фактором. Таким чином, первісний капітал інвестується у виробництво, у процесі якого створюється вартість, що виражається ціною реалізованої продукції. Після реалізації продукції вона приймає грошову форму - форму виторгу від реалізації вироблених товарів, що надходить на розрахунковий рахунок підприємства.
Виторг - це ще не доход, але джерело відшкодування витрачених на виробництво продукції коштів і формування грошових фондів і фінансових резервів підприємства. У результаті використання виторгу з нього виділяються якісно різні складові частини створеної вартості.
Насамперед це зв'язано з формуванням амортизаційного фонду, що утворюється у виді амортизаційних відрахувань після того, як знос основних виробничих фондів і нематеріальних активів прийме грошову форму. Обов'язковою умовою утворення амортизаційного фонду є продаж зроблених товарів споживачу і надходження виторгу.
Оскільки матеріальну основу створюваного товару складають сировина, матеріали, покупні комплектуючі вироби і напівфабрикати, їхня вартість поряд з іншими матеріальними витратами, зносом основних виробничих фондів, заробітною платою працівників складають витрати підприємства з виробництва продукції, що приймають форму собівартості. До надходження виторгу ці витрати фінансуються за рахунок оборотних коштів підприємства, що не витрачаються, а авансуються у виробництво. Після надходження виторгу від реалізації товарів оборотні кошти відновлюються, а понесені підприємством витрати по виробництву продукції відшкодовуються.
Відокремлення витрат у виді собівартості дає можливість зіставити отриманий від реалізації продукції виторг і зроблені витрати. Зміст інвестування засобів у виробництво продукції складається в одержанні чистого доходу, і якщо виторг перевищує собівартість, то підприємство одержує його у виді прибутку.
Прибуток і амортизаційні відрахування є результатом кругообігу засобів, вкладених у виробництво, і відносяться до власних фінансових ресурсів підприємства, якими воно розпоряджається самостійно. Оптимальне використання амортизаційних відрахувань і прибутку по цільовому призначенню дозволяє відновити виробництво продукції на розширеній основі.
Призначення амортизаційних відрахувань - забезпечувати відтворення основних виробничих фондів і нематеріальних активів. На відміну від амортизаційних відрахувань прибуток не залишається цілком у розпорядженні підприємства, його значна частина у виді податків надходить у бюджет, що визначає ще одну сферу фінансових відносин, що виникають між підприємством і державою з приводу розподілу створеного чистого доходу.
Прибуток, що залишається в розпорядженні підприємства - це багатоцільове джерело фінансування його потреб, але основні напрямки його використання можна визначити як нагромадження і споживання. Пропорції розподілу прибутку на нагромадження і споживання визначають перспективи розвитку підприємства.
Амортизаційні відрахування і частина прибутку, що направляється на нагромадження, складають грошові ресурси підприємства, використовувані на його виробничий і науково - технічний розвиток, формування фінансових активів - придбання цінних паперів, внески в статутний капітал інших підприємств і т.п. Інша частина прибутку, використовується на нагромадження, направляється на соціальний розвиток підприємства. Частина прибутку використовується на споживання, у результаті чого виникають фінансові відносини між підприємством і особами - акціонерами, як зайнятими, так і не зайнятими на підприємстві. Оскільки фінанси підприємства як відносини є частиною економічних відносин, що виникають у процесі господарської діяльності, принципи їх організації визначаються основами господарської діяльності підприємств. Виходячи їх цього, принципи організації фінансів можна сформулювати в такий спосіб: самостійність в області фінансової діяльності, самофінансування, зацікавленість у підсумках фінансово - господарської діяльності, відповідальність за її результати, контроль за фінансово - господарською діяльністю підприємства.
г) Формування прибутку підприємства
Прибуток є однією з основних категорій товарного виробництва. Це передусім виробнича категорія, що характеризує відносини, які складаються в процесі суспільного виробництва [19].
Поява прибутку безпосередньо пов’язана з появою категорії “Витрати виробництва”. Прибуток – це та частина додаткової вартості продукту, що реалізується підприємством, яка залишається після покриття витрат виробництва.
Відособлення частини вартості продукції у вигляді витрат виступає в грошовому виразі як собівартість продукції.
Додатковий продукт – це вартість, створювана виробниками понад вартість необхідного продукту. додатковий продукт властивий усім суспільно-економічним формаціям і є однією з важливих умов їхнього успішного розвитку.
Прибуток – це частина додаткової вартості, виробленої і реалізованої, готової до розподілу. Підприємство одержує прибуток після того, як втілена у створеному продукті вартість буде реалізована і набере грошової форми. Об’єктивна основа існування прибутку пов’язана з необхідністю первинного розподілу додаткового продукту. Прибуток – це форма прояву вартості додаткового продукту. Прибуток є об’єктивною економічною категорією [12]. Тому на його формування впливають об’єктивні процеси, що відбуваються в суспільстві, у сфері виробництва й розподілу валового внутрішнього продукту.
Водночас прибуток – це підсумковий показник, результат фінаново-господарської діяльності підприємств як суб’єктів господарювання. Тому прибуток відбиває її результати і зазнає впливу багатьох чинників.
На формування абсолютної суми прибутку підприємства впливають: результати, тобто ефективність його фінансово-господарської діяльності; сфера діяльності; галузь господарства; установлені законодавством умови обліку фінансових результатів(Рис.1.1).
Отримання прибутку від реалізації продукції (товарі, робіт, послуг) залежить від здійснення основної діяльності суб’єктів господарювання. Прибуток є складовою частиною виручки від реалізації. Однак на відміну від виручки, надходження якої на поточний рахунок підприємства фіксується регулярно, обсяг отриманого прибутку визначається тільки за певний період (квартал, рік) на підставі даних бухгалтерського обліку.
Реально формування прибутку на підприємстві відбувається в міру реалізації продукції. Згідно із законодавчими актами України момент реалізації визначається за датою від вантаження продукції (товарів), а для робіт(послуг) – за датою фактичного виконання (надання) таких, або за датою зарахування коштів покупця на банківський рахунок постачальника.
На рис. 1.2 наведено структурно-логічну схему формування прибутку від реалізації продукції, а також названо основні показники, що впливають на прибуток від реалізації [24].
Прибуток від реалізації продукції безпосередньо залежить від двох основних показників: обсягу реалізації продукції та її собівартості. На зміну обсягу реалізації продукції впливає зміна обсягу виробництва, залишків нереалізованої продукції, частки прибутку в ціні продукції (рентабельність продукції).
Особливостью управління фінансами акціонерного підприємства є управління прибутком, оскільки він є джерелом виплати дивідендів акціонерам, тобто власникам акціонерного підприємства(Рис.1.4). Тому в акціонерному підприємстві нормативна рентабельність акціонерного капіталу має наступні вимоги із боку акціонерів:
дивіденди на просту акцію (після розподілу чистого прибутку та виділення дивідендів на 10 % привілейованих акцій за заздалегідь зазначеним процентом), повинні бути не нижчі за середній процент
доходності інвестицій капіталу в інших галузях економіки, включаючи норму банківського депозитного процента;
- дивіденди на просту акцію повинні враховувати процент інфляційного відшкодування зниження вартості інвестованого в уставний фонд капіталу;
Звідси формування прибутку в акціонерних підприємствах виконується не тільки на умовах самоокупності та самофінансування підприємства, але й виходячи з принципу економічної рентабельності відрахування частини чистого прибутку акціонерам, як їх доход на вкладений капітал.
Рис.1.3 Типовий розподіл чистого прибутку акціонерного товариства (після оподаткування)
1.3 Основи бізнес-планування інвестування коштів в проекти створення нових виробництв
Бізнес-план – це план розвитку підприємства, необхідний для освоєння нових сфер діяльності чи фірми для створення нових сфер бізнесу. Основними цілями бізнес-плану є [20]:
визначення ступеня життєздатності і майбутньої стійкості підприємства, зниження ризику підприємницької діяльності;
конкретизація перспектив бізнесу;
залучення уваги й інтересу потенційних інвесторів фірми, а також споживачів і постачальників;
придбання досвіду планування, показ підприємства в перспективі.
Бізнес-план необхідний, насамперед, для залучення уваги майбутніх інвесторів (наприклад, банків), як відправна крапка при веденні переговорів з майбутніми партнерами.
Першим етапом у розробці бізнес-плану є визначення джерел необхідної інформації. Такими джерелами можуть стати підручники по бізнесу-плануванню, урядові заклади, консалтингові й аудиторські фірми, галузеві видання і т.п.
Другий етап – визначення цілей розробки бізнес-плану. Цілі визначаються переліком проблем, які покликаний вирішити бізнес-план. Для більшої привабливості проекту має сенс сполучення внутрішніх і зовнішніх проблем діяльності підприємства, наприклад, пропозиція потенційним інвесторам (комерційним банкам, наприклад) не просто виступати кредитором, а повноправно брати участь у підприємницькому проекті, тобто мати частку в акціонерному капіталі, брати участь у розподілі прибутку і т.д.
Третій етап – визначення цільових читачів бізнес-плану: майбутніх інвесторів, якими можуть виступати акціонери, комерційні банки, венчурні капіталісти і т.д. У залежності від контингенту читачів у бізнес-плані необхідно виділити ті чи інші сторони діяльності фірми, щоб переконати інвесторів у тім, що вкладені кошти будуть раціонально використані і принесуть видимі результати.
Четвертий етап – установлення загальної структури створюваного документа. Звичайно бізнес-план містить у собі наступні складові частини:
– титульний лист і зміст. Титульний лист повинний містити заголовок плану, дату його підготовки, інформацію про укладача плану і для кого він був підготовлений. Зміст повинний давати чітке представлення про весь зміст бізнес-плану.
– резюме. Воно повинно містити в собі основні положення й ідеї бізнес-плану. Резюме повинне складатися з трьох частин: уведення (мети плану і коротко суть проекту), основного змісту (короткий опис усіх ключових моментів бізнес-плану, також рід діяльності, прогноз попиту, джерела фінансування і т.д.) і висновку (представлення факторів майбутнього успіху проекту, опис основних способів дії підприємця). Резюме повинне бути коротким і давати загальне представлення про план, а також воно повинно бути складено таким чином, щоб у читача виникло бажання продовжити читання бізнес-плану.
– історія бізнесу (якщо підприємство вже існує). Тут потрібно підкреслити успіхи фірми й окремих співробітників, розповісти про створення і діяльність фірми, про те, які продукти і послуги пропонує фірма на ринку, про роль вищого керівництва в діяльності підприємства і т.д.
– опис продуктів (послуг). Детальний опис майбутнього товару необхідно довести до зведення інвесторів, що зацікавлені у високому конкурентному потенціалі товару. В описі необхідно відбити способи застосування даного товару і його властивості, порівняння з аналогічною продукцією конкурентів, а також життєвий цикл товару. Увага повинна бути приділена також дизайну й упакуванню і мотивам, що будуть спонукувати покупців здобувати саме даний товар.
– аналіз положення справ у галузі. Опис зовнішнього середовища фірми і визначення ступеня її привабливості. Тут необхідно охарактеризувати розміри ринку і його стан, категорії потенційних покупців, чутливість ринку до різних внутрішніх і зовнішніх факторів, сезонних і циклічних коливань і т.д. Зробивши висновок про загальну привабливість ринку, потрібно визначити потенційну частку фірми в ньому, дати прогноз продажів продукції, як у грошових, так і в натуральних показниках.
– оцінка конкурентів і вибір конкурентної стратегії. Повинні бути визначені головні конкурентні сили в галузі і сформульовані основні варіанти конкурентних стратегій. По М.Портеру існують три конкурентні стратегії: а) – перевага у витратах (утримання витрат на низькому, недоступному для потенційних конкурентів рівні за рахунок економії на масштабі і досвіді виробництва); б) – диференціація (створення фірмою продукту чи послуги з унікальними властивостями, що найчастіше закріплені торговою маркою). в) – фокусування (зосередження уваги на одному із сегментів ринку, на особливій групі покупців, визначеній групі товарів чи на визначеному географічно секторі ринку). У бізнес-плані повинні бути описані обрані стратегії і їхнє конкретне застосування.
– план виробництва. Усі головні компоненти виробничої системи повинні бути описані в бізнес-плані. Крім того, план виробництва повинний включати економічні розрахунки витрат виробництва, повинні бути представлені основні методи виробництва і технології, загальна структура виробничого процесу. У плані виробництва вказується також яка сировина і матеріали необхідні, імена й адреси основних постачальників фірми, характеристики необхідних для організації виробництва потужностей і чи існують уже задіяні потужності, чи може підприємство розраховувати на ефект масштабу виробництва і яка передбачувана структура витрат, як здійснюється контроль якості, яким образом здійснюється вибір устаткування і яке устаткування використовується підприємством. Указується місце, де передбачається помістити підприємство (причини), а також якої кваліфікації робоча сила потрібно для ведення виробництва.
– план маркетингу. Цей план повинний охоплювати всі питання, зв'язані з ринком. Повинні бути представлені основні характеристики покупців на орієнтованому ринку підприємства, покупці повинні бути диференційовані в групи по різних ознаках (рівень доходів, демографічна ознака), і підприємство повинне визначити для себе, на який із сегментів ринку воно має намір орієнтуватися. У плані повинне вказуватися, на яку частку ринку приблизно може претендувати бізнес, чи буде мати місце гостра конкурентна боротьба чи підприємство спробує знайти свою нішу на ринку. Розкривається також методика розрахунку ціни на товар фірми, який чистий доход принесе фірмі обраний рівень ціни, які канали збуту буде використовувати фірма, як передбачається і чи передбачається взагалі організувати опісляпродажний сервіс.
– організаційний план. Тут указується форма власності і тип організаційної структури фірми, розглядаються питання керівництва і розподілу повноважень і відповідальності. Вказуються основні пайовики (акціонери) організації (іноді приводиться весь список), скільки акцій і якого класу було випущено і передбачається випустити, склад ради директорів і правління корпорації, як розподіляються повноваження серед керуючих фірми, які основні риси контрактів з менеджерами фірми, яка організаційна структура фірми і способи взаємодії підрозділів один з одним.
– фінансовий план. Містить у собі три основних планових документи: баланс підприємства, план прибутків й збитків і прогноз руху готівки.
Баланс фірми – зведена таблиця, що вказує джерела капіталу і засобу його розміщення. Звітний баланс є основою для аналізу фінансових показників підприємства.
Звіт про прибутки і збитки (форма №2) – відтворює підсумки діяльності фірми за визначений проміжок часу, також містить інформацію для фінансового аналізу. Тут фірма порівнює витрати і результати своєї діяльності, визначає величину чистого доходу і його розподіл.
Звіт про рух готівки – аналізує джерела і використання готівки, тобто грошові потоки. Зі звіту повинне бути ясно, яке кількість готівки фірма генерувала за минулий період, які джерела готівки і як фірма використовувало свою готівку.
Ще одна важлива складова фінансового плану – визначення джерел капіталу (фондів), необхідного для діяльності фірми, причому дані про джерела капіталу повинні бути ув'язані з використанням фондів. У плані повинні бути представлені:
передбачувана система фінансування і її інструменти (банківські кредити, векселі, облігації, опціони і т.д.);
величина відсотків і основних виплат по боргу;
гарантії чи заставу, що забезпечують безпеку фінансових угод;
показники фінансового важеля, що визначають рівень ризику проекту
список поточних кредитів фірми із сумами і термінами виплат по них;
потенційні податкові переваги того чи іншого способу фінансування бізнесу.
– план досліджень і розробок. Тут висвітлюється рівень витрат на дослідження і розробки (якщо фірма проводить такі), порівняння їх з відповідними витратами минулих періодів і фірм-конкурентів, кваліфікація, досвід і кількість персоналу у відділі досліджень і розробок, оснащеність цього відділу, реальні досягнення дослідницького підрозділу і його внесок у загальний успіх організації.
– оцінка і страхування ризику. Крім розрахунку інвестиційного ризику, у бізнес-плані має сенс виділити окремий відділ проблемам ризику, у якому потрібно провести загальну оцінку можливих ризиків, аналіз типів ризиків, їхніх джерел і моментів виникнення, а також розробити заходу для мінімізації збитку (особливо у випадках форс-мажорних обставин).
1.4 Сутність методів оцінки ефективності інвестиційних проектів
У проектному аналізі прийнятий метод зрівнювання різночасових грошей, так зване дисконтування [17].
Майбутня цінність Бс сьогоднішніх грошей визначається за формулою:
(1.1)
де С – сьогоднішня сума грошей, що інвестуються;
d – постійна норма дисконту, що дорівнює прийнятій для інвестора нормі прибутку на капітал;
t – тривалість розрахункового періоду (в роках);
Сьогоднішня цінність Сб майбутніх грошей визначається таким чином:
(1.2)
Перерахунок поточних і майбутніх сум в еквівалентній вартості шляхом дисконтування дозволяє визначити цінність проектів на основі поточних і майбутніх витрат і результатів. Підраховані за кожний рік життя проекту, вони дисконтуються, а потім підсумовуються з метою одержання загального показника цінності проекту, на основі якого роблять висновок щодо прийнятності проекту.
Критерії, що використовуються в аналізі інвестиційної діяльності, можна підрозділити на дві групи в залежності від того враховується чи ні часовий параметр: 1) засновані на дисконтованих оцінках; 2) засновані на облікових оцінках. До першої групи відносяться критерії:
чистий приведений ефект (Net Present Value, NPV);
індекс рентабельності інвестиції (Probability Index, PI);
внутрішня норма прибутку (Internal Rate of Return, IRR);
модифікована внутрішня норма прибутку (Modified Internal Rate of Return, MIRR);
дисконтований строк окупності інвестиції (Discounted Payback Period, DPP).
До другої групи відносяться критерії:
строк окупності інвестиції (Payback Period, PP);
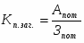
коефіцієнт ефективності інвестиції (Accounting Rate of Return, ARR).
а) Метод розрахунку чистого приведеного ефекту
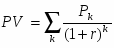
Цей метод заснований на зіставленні величини вихідної інвестиції (IC) із загальною сумою дисконтованих чистих грошових надходжень, генерованих нею протягом прогнозованого періоду. Оскільки приплив коштів розподілений у часі, він дисконтується за допомогою коефіцієнта r, встановлюваного інвестором самостійно виходячи зі щорічного відсотка повернення, який він хоче чи може мати на інвестований їм капітал. Припустимо робиться прогноз про те, що інвестиція (IC) буде генерувати протягом n років річні доходи в розмірі Р1, Р2, …, Рn. Загальна накопичена величина дисконтованих доходів (Present Value, PV) і чистий приведений ефект (Net Present Value, NPV= ЧДД –чистий дисконтований доход) відповідно розраховуються по формулах [13]:
(1.3)
(1.4)
Якщо NPV>0, то проект варто прийняти; якщо NPV<0, то проект варто відкинути; NPV=0, то проект ні прибутковий, ні збитковий. Дамо економічне трактування критерію NPV з позиції власників компанії, що по суті і визначає логіку критерію NPV:
якщо NPV<0, то у випадку прийняття проекту цінність компанії зменшиться, тобто власники компанії понесуть збиток;
якщо NPV=0, то у випадку прийняття проекту цінність компанії не зміниться, тобто добробут її власників залишиться на колишньому рівні;
якщо NPV<0, то у випадку прийняття проекту цінність компанії, а отже, і добробут її власників збільшиться.
Проект із NPV=0 має додатковий аргумент у свою користь – у випадку реа-лізації проекту добробут власників компанії не зміниться, але в той же час об-сяги виробництва зростуть, тобто компанія збільшиться в масштабах.
При прогнозуванні доходів по роках необхідно по можливості врахову-вати усі види надходжень як виробничого, так і невиробничого характеру, що можуть бути асоційовані з даним проектом.
Якщо проект припускає не разову інвестицію, а послідовне інвестування фінансових ресурсів протягом m років, то формула для розрахунку NPV моди-фікується в такий спосіб (з врахуванням впливу інфляції як на дисконтовані потоки інвестиції, так і на сгенеровані потоки прибутку інвестиційного проекту):
(1.5)
де j – прогнозований середній рівень інфляції.
При розрахунку NPV, як правило, використовується постійна ставка дисконтування, однак при деяких обставинах, наприклад, очікується зміна рівня дисконтних ставок, можуть використовуватися індивідуалізовані по роках коефіцієнти дисконтування. Якщо в ході імітаційних розрахунків приходиться застосовувати різні коефіцієнти дисконтування, то формула (1.5) не застосовується, і проект прийнятний при постійній дисконтній ставці може стати неприйнятним.
б) Метод розрахунку індексу рентабельності інвестиції
Цей метод є по суті наслідком попереднього. Індекс рентабельності (PI) = ІД(індекс доходності) розраховується по формулі [ 20 ]:
(1.6)
Якщо PI>1, то проект варто прийняти; якщо PI<1, то проект варто відкинути; якщо PI=1, то проект є ні прибутковим, ні збитковим.
Якщо проект припускає не разову інвестицію, а послідовне інвестування фінансових ресурсів протягом m років, то формула для розрахунку PI. модифікується в такий спосіб (з врахуванням впливу інфляції як на дисконтовані потоки інвестиції, так і на сгенеровані потоки прибутку інвестиційного проекту):
(1.7)
На відміну від чистого приведеного ефекту індекс рентабельності є відносним показником: він характеризує рівень доходів на одиницю витрат, тобто ефективність вкладень – чим більше значення цього показника, тим вище віддача кожної гривні, інвестованої в даний проект. Завдяки цьому критерію PI дуже зручний при виборі одного проекту з ряду альтернативних, що мають приблизно однакові значення NPV (зокрема, якщо два проекти мають однакові значення NPV, але різні обсяги необхідних інвестицій, те вигідніше той з них, що забезпечує велику ефективність вкладень), або при комплектуванні портфеля інвестицій з метою максимізації сумарного значення NPV.
в) Метод розрахунку внутрішньої норми прибутку інвестиції
Під внутрішньою нормою прибутку інвестиції (IRR= ВНД) розуміють значення коефіцієнта дисконтування r, при якому NPV проекту дорівнює нулю:
IRR = r, при якому NPV = f(r) = 0.
Іншими словами, якщо позначити IC=CF0, то IRR знаходиться з рівняння [ 20 ]:
(1.8)
За допомогою таблиць вибираються два значення коефіцієнта дисконтування r1
(1.9)
де r1 - значення табульованого коефіцієнта дисконтування, при якому
f(r1)>0 (f(r1)<0)); r2 - значення табульованого коефіцієнта дисконтування, при якому f(r2)<0 (f(r2)>0)).
г) Метод визначення строку окупності інвестицій
Цей метод, що є одним з найпростіших і широко використовуємих у світовій обліково-аналітичній практиці, не припускає тимчасової упорядкованості грошових надходжень [11],[12]. Алгоритм розрахунку строку окупності (СО) залежить від рівномірності розподілу прогнозованих доходів від інвестиції. Якщо доход розподілений по роках рівномірно, то строк окупності розраховується розподілом одноразових витрат на величину річного доходу, обумовленого ними. При одержанні дробового числа воно округляється убік збільшення до най-лижчого цілого. Якщо прибуток розподілений нерівномірно, то строк окупності розраховується прямим підрахунком числа років, протягом яких інвестиція буде погашена кумулятивним доходом. Загальна формула розрахунку показника СО має вид:
, при якому (1.10)
Нерідко показник СО = РР розраховується більш точно, тобто розглядається і дробова частина року; при цьому робиться припущення, що грошові потоки розподілені рівномірно протягом кожного року.
Тоді формула (11) модифікується для розрахунків як:
(1.11)
При враховуванні часового аспекту в розрахунок приймаються грошові потоки, дисконтовані по показнику WACC, а відповідна формула для розрахунку дисконтованого строку окупності (DPP) має вид:
, при якому (1.12)
Очевидно, що у випадку дисконтування строк окупності збільшується, тобто завжди DPP>PP. Іншими словами, проект прийнятний за критерієм СО може виявитися неприйнятним за критерієм DPP= ДСО [ 12 ].
Якщо проект припускає не разову інвестицію, а послідовне інвестування фінансових ресурсів протягом m років, то формула для розрахунку ДСО(DPP) модифікується в такий спосіб (з врахуванням впливу інфляції як на дисконтовані потоки інвестиції, так і на сгенеровані потоки прибутку інвестиційного проекту):
(1.13)
2 АНАЛІТИЧНА ЧАСТИНА. АНАЛІЗ ФІНАНСОВОГО СТАНУ ТА ВИРОБНИЧО-ГОСПОДАРСЬКОЇ ДІЯЛЬНОСТІ УКРАЇНО-КІПРСЬКОГО СП „ КИПАРИС” У 2001 – 2002 РОКАХ
2.1 Загальна техніко-економічна характеристика підприємства СП “КИПАРИС” у 2001 –2002 роках
Спільне Українсько-Кіпрське з іноземними інвестиціями підприємство “Кипарис” засновано на колективній формі власності (закрите акціонерне товариство) та зареєстроване розпорядженням виконкому Дніпропетровської міської Ради народних депутатів від 21.03.97 р. № 251.
Статутний фонд підприємства сформований за рахунок внесків Учасників. Розмір статутного фонду складає 6 446 246.0 грн., що складає 3 441 669.0 доларів США по курсу НБУ 1.873 грн. станом на 03.02.98 р.
Статутний фонд поділений на 64 462 простих акції вартістю номінала по 100 грн.
Іноземні засновники:
Компанія з обмеженою відповідальністю «Rainford Ltd-92 »(Кіпр).
Частка у статутному фонді іноземного інвестора становить 98,95%.
СП з ІІ “Кипарис” являється типовим сучасним підприємством оптово-роздрібної торгівлі та громадського харчування і має наступні торгівельні об”єкти:
- “Універсам на Перемозі”, який розташований на бульварі Слави,буд. 5;
- торгівельний центр “ Rainford”, розташований на вул.Чкалова;
- магазин “Кипарис”, розташований на вул.Паторжинського, 15;
- мережу магазинів на автозаправочних станціях, розташованих на вул.Набережна, 1, вул.Героїв Сталінграду, Донецьке шосе, вул. Боброва.
Крім того, фірма має власну міні-пекарню, та невеликий кондитерський цех, які розташовані в приміщені “Універсаму на Перемозі”.
В приміщеннях роздрібної торговлі (“Універсам на Перемозі” та в магазинах на автозаправочних станціях) налагоджена мережа реалізації продукції власного виробництва громадського харчування - кафе, бістро, закусочні.
Основні організаційні та економічні характеристики ЗАТ СП з ІІ “КИПАРИС” у 2001 – 2002 рока. наведені в табл.2.1 – 2.6.
Таблиця 2.1 – Основні реєстраційні дані 0024604984 ЗАТ СП З II "КИПАРИС"
Реєстрацiйнi данi
Код ЄДРПОУ:
0024604984
Назва українською мовою:
ЗАТ СП З II "КИПАРИС"
Назва іноземною мовою:
ЗАО СП С ИИ "КИПАРИС"
Місце основної реєстрації в органах податкової служби:
402 СДПI ПО РОБОТI З ВПП У М.ДНIПРОПЕТРОВСЬК (М.ДНIПРОПЕТРОВСЬК)
Дата основної реєстрації в ДПА:
21.03.1997
Крім того має платежі
Код інспекції
Назва інспекції
Дата реєстрації
Номер реєстрації
466
ДПI У КРАСНОГВАРДIЙСЬКОМУ Р-НI М.ДНIПРОПЕТРОВСЬК (КРАСНОГВАРДIЙСЬКИЙ Р-Н М.ДНIПРОПЕТРОВСЬК)
19.10.2001
№3456
Стан платника
Дата зміни стану платника
Стан платника
10.07.2002
ОСНОВНИЙ ПЛАТНИК
Дата реєстрації в держадміністрації:
21.03.1997
Орган державної реєстрації:
(4052092)
Статутний фонд (в грн.):
13882477,00
Орган управління:
(6414)ПIДПРИЄМСТВА УКРАЇНИ З IНОЗЕМНИМИ IНВЕСТИЦIЯМИ
Організаційно-правова форма:
(240)ЗАКРИТЕ АКЦІОНЕРНЕ ТОВАРИСТВО
Тип підприємств:
(405)ТОВАРИСТВО
Кількість співробітників:
Тип платника податків:
ГОЛОВНЕ ПІДПРИЄМСТВО
Форма власності:
(20)КОЛЕКТИВНА ВЛАСНІСТЬ
Форма фінансування:
(9)ЗМІШАНА
Таблиця 2.2 – Адресні дані 0024604984 ЗАТ СП З II "КИПАРИС"
Адреснi данi платника
Тип адреси
(0) юридична адреса
Назва населеного пункту
ДНIПРОПЕТРОВСЬК
Поштовий індекс
49000
Назва району міста
БАБУШКIНСЬКИЙ
Тип вулиці
ВУЛИЦЯ
Назва вулиці
ЧКАЛОВА
№ будинку
12
Таблиця 2.3 – Зареєстровані види діяльності 0024604984 ЗАТ СП З II
"КИПАРИС"
Код виду діяльностi
Назва виду діяльності
Ознака зовнішньоекономічної діяльності
14651
ВИРОБНИЦТВО ШВЕЙНИХ І ЕЛЕКТРОПОБУТО-ВИХ МАШИН І ПРИЛАДІВ (БЕЗ ВИРОБНИЦТВА ХОЛОДИЛЬНИКІВ І МОРОЗИЛЬНИКІВ)
14760
ПРОМИСЛОВІСТЬ ЗАСОБІВ ЗВ'ЯЗКУ
71130
ОПТОВА ТОРГІВЛЯ НЕДЕРЖАВНИХ ОРГАНІЗАЦІЙ, КРІМ СПОЖИВЧОЇ КООПЕРАЦІЇ
71130
ОПТОВА ТОРГІВЛЯ НЕДЕРЖАВНИХ ОРГАНІЗАЦІЙ, КРІМ СПОЖИВЧОЇ КООПЕРАЦІЇ
Займається зовнішньоекономічною діяльністю
71250
РОЗДРІБНА ТОРГІВЛЯ НЕДЕРЖАВНИХ ОРГАНІЗАЦІЙ, КРІМ СПОЖИВЧОЇ КООПЕРАЦІЇ
71500
ПОСЕРЕДНИЦЬКІ ПОСЛУГИ ПРИ КУПІВЛІ-ПРОДАЖІ ТОВАРІВ НАРОДНОГО СПОЖИВАННЯ
71500
ПОСЕРЕДНИЦЬКІ ПОСЛУГИ ПРИ КУПІВЛІ-ПРОДАЖІ ТОВАРІВ НАРОДНОГО СПОЖИВАННЯ
Займається зовнішньоекономічною діяльністю
72200
ЗОВНІШНЯ ТОРГІВЛЯ НЕДЕРЖАВНИХ ОРГАНІЗАЦІЙ
Займається зовнішньоекономічною діяльністю
80400
ПОСЕРЕДНИЦЬКІ ПОСЛУГИ ПРИ КУПІВЛІ-ПРОДАЖІ ПРОДУКЦІЇ ВИРОБНИЧО-ТЕХНІЧНОГО ПРИЗНАЧЕННЯ
86020
РЕМОНТ ПОБУТОВОЇ РАДІОЕЛЕКТРОННОЇ АПАРАТУРИ, ПОБУТОВИХ МАШИН, ПРИЛАДІВ ТА МЕТАЛОВИРОБІВ ЗА ЗАМОВЛЕННЯМ НАСЕЛЕННЯ
86210
ТРАНСПОРТНО-ЕКСПЕДИЦІЙНІ ПОСЛУГИ НА ЗАМОВЛЕННЯ НАСЕЛЕННЯ
87300
ЗАГОТКОНТОРИ ПО ЗБИРАННЮ МЕТАЛОБРУХТУ ТА УТИЛЮ
Таблиця 2.4 – Засновники та керівники 0024604984 ЗАТ СП З II "КИПАРИС"
Засновник
Код засновника-юридичної особи
Код засновника-фізичної особи
Сума внеску в статутний фонд
Юридична адреса засновника
ЦЕЙТЕЛЬМАН БОРИС ОЛЕКСАНДРОВИЧ
2459613937
5 000
49000 ДНIПРОПЕТРОВСЬК проспект ПЛЕХАНОВА,15/Б кв. 107
ТОВ "МIЛМ"
20228840
0
194 443
49098 ДНIПРОПЕТРОВСЬК вулиця МАЛИНОВСЬКОГО,14/А
МАРТИНОВ ОЛЕКСАНДР ЛЕОНIДОВИЧ
2074300153
5 000
49000 ДНIПРОПЕТРОВСЬК вулиця РОСТОВСЬКА,135
ТРИГУБ ОЛЕКСАНДР ВIТАЛIЙОВИЧ
2344000496
5 000
49000 ДНIПРОПЕТРОВСЬК вулиця МАЛИШЕВА,12кв. 11
ЛАНДМАН МИХАЙЛО ЗАЛМАНОВИЧ
2103300459
5 000
49000 ДНIПРОПЕТРОВСЬК вулиця КУЙБИШЕВА,5/А кв. 77
КОМПАНIЯ "РЕЙНФОРД Ю.К.ЛIМIТЕД"
3950146
0
13 668 034
КІПР
Посада
ПIБ
ДИРЕКТОР
МАРТИНОВ ОЛЕКСАНДР ЛЕОНIДОВИЧ
№ телефону
387403
ГОЛОВНИЙ БУХГАЛТЕР
СЕРДЮК IРИНА СЕМЕНIВНА
№ телефону
387403
Тип об'єкту
Призначення об'єкту
Населенний пункт
(247) КАФЕ
КАФЕТЕРIЙ УНIВЕРСАМ "НА ПОБЕДЕ"
ДНIПРОПЕТРОВСЬК
(321) МАГАЗИН
МАГАЗИН "КИПАРИС"
ДНIПРОПЕТРОВСЬК
(321) МАГАЗИН
ТЦ "РЕЙНФОРД", МАГАЗИН "ЕСКАДА", МАГАЗИН "ГАЛЕРЕЯ ОБУВИ"
ДНIПРОПЕТРОВСЬК
(321) МАГАЗИН
МАГАЗИН "БУМ"
ДНIПРОПЕТРОВСЬК
(321) МАГАЗИН
МАГАЗИН УНIВЕРСАМ "НА ПОБЕДЕ"
ДНIПРОПЕТРОВСЬК
(504) ТОРГОВИЙ КОМПЛЕКС
"РЕЙНФОРД"
ДНIПРОПЕТРОВСЬК
2.2 Аналіз складу і джерел утворення майна (активів)
Аналіз фінансово-економічного стану підприємства проводиться на основі його фінансових звітів [22],[23]:
Форма №1 “Баланс” – звіт про фінансовий стан, що відображає активи, зобов'язання і капітал підприємства на встановлену дату.
Форма №2 “Звіт про фінансові результати”, що містить дані про доходи, витрати і фінансові результати діяльності підприємства за звітний і попередній періоди.
Для кращого розуміння і аналізу досліджуваних статистичних даних, їх потрібно систематизувати, побудувавши хронологічні ряди, які називаються рядами динаміки або часовими рядами.
Кожний ряд динаміки складається з двох елементів [15]:
1) періодів або моментів часу, до яких відносяться рівні ряду(t);
2) статистичних показників, які характеризують інтенсивності рівнів ряду(Y).
У процесі аналізу рядів динаміки обчислюють і використовують наступні аналітичні показники динаміки: абсолютний приріст, темп зростання, темп приросту і абсолютне значення одного проценту приросту. Обчислення цих показників грунтується на абсолютному або відносному зіставленні між собою рівнів ряду динаміки. Рівень, який зіставляється, називають звітним, а рівень, з яким зіставляють інші рівні – базисним. За базу зіставлення приймають початковий (перший) рівень ряду динаміки. Якщо кожний наступний рівень зіставляють з попереднім, то отримують ланцюгові показники динаміки, а якщо кожний наступний рівень зіставляють з рівнем, що взятий за базу зіставлення, то одержані показники називають базисними.
Абсолютний приріст обчислюється як різниця між звітним і базисним рівнями і показує, на скільки одиниць підвищився чи зменшився рівень порівняно з базисним за певний період часу. Він виражається в тих же одиницях виміру, що й рівні динаміки.
або (2.1)
де yi – звітний рівень ряду динаміки; yi-1 – попередній рівень ряду динаміки;
y1 – початковий рівень ряду динаміки.
Темп зростання обчислюється як відношення зіставлюваного рівня з рівнем, прийнятого за базу зіставлення, і показує, у скільки разів (процентів) зрівнюваний рівень більший чи менший від базисного.
або (2.2)
Темп приросту визначається як відношення абсолютного приросту до абсолютного попереднього або початкового рівня і показує, на скільки процентів порівнювальний рівень більший або менший від рівня, взятого за базу порівняння.
або (2.3)
Абсолютне значення одного проценту приросту визначається шляхом ділення абсолютного приросту на темп приросту за один і той же період.
(2.4)
Середній абсолютний приріст визначається як середня арифметична проста з ланцюгових приростів за певні періоди і показує, на скільки одиниць в середньому змінився рівень порівняно з попереднім.
(2.5)
Середній темп зростання розраховується за формулою середньої геометричної:
(2.6)
Середній темп приросту визначається як різниця між середнім темпом зростання одиницею (якщо середній темп зростання вигляді коефіцієнта), бо 100 (якщо він у процентах)
(у вигляді коефіцієнтів); (2.7)
(у вигляді процентів).
Середній темп прирості показує, на скільки процентів збільшився або зменшився рівень порівняно з попереднім в середньому за одиницю часу.
У табл.1.А Додатку А представлені результати вертикального(структура статей балансу в % до загальної валюти балансу) і горизонтального(динаміка хро-нологічної зміни статті балансу, віднесена до значення в попередньому періоді) аналізу балансів СП ЗАТ з ІІ «КИПАРИС», що дозволяють аналізувати як дина-міку зміни сум статей балансу підприємства протягом року по кварталах, так і досліджувати зміну внутрішньої структури статей балансу [17].
Основні результати проведеного ретроспективного аналізу динаміки активів і пасивів балансу підприємства у вертикальному і горизонтально-хронологічному розрізах, дозволяють констатувати наступне:
1. За звітний період (2002 рік) у структурі пасивів балансу (джерел) виникли наступні зміни(відносно рівня 2001 року):
при загальному зростанні валюти балансу на +93,01 % (з 43,477 млн.грн. до 83,914 млн.грн.), власний капітал, який знаходиться в стадіїї формування підвищенного статутного фонду, зріс на 136,8 %(з 2,719 млн.грн до 6,440 млн.грн);
у звітному періоді доля власного капіталу підприємства в валюті балансу зросла з 6,25 % до 7,67 %;
довгострокові кредитні ресурси та спеціалізовані фонди майбутніх виплат в балансі займають значну зростаючу долю з 12,5%(2001) до 25,26 %(2002) та в 2-3 рази більше власного капіталу;
кредиторська заборгованість значно зросла на +44,86 % (з 31,896 млн.грн до 46,204 млн.грн.), а її доля в валюті пасивів зменшилася з 73,36 % в базовому періоді (на початок 2002 року) до 55,06 % у звітному періоді;
поточна заборгованість за довгостроковими зобов'язаннями (обслуговування довгострокових ресурсів) зросла з 3,041 млн.грн. до 4,175 млн.грн., займаючи структурну долю з 7,0%(2001) до 4,157%(2002);
підприємство стало оформлювати частину кредиторської заборгованості виданими векселями на суму 3,478 млн.грн., що становить структурну долю 4,14% в валюті пасивів;
загальна доля поточних запозичених ресурсів зменшилася з 81,25% у базовому році(2001) до 67,07 % у звітному році (2002);
У такий спосіб СП ЗАТ з ІІ «КИПАРИС» поступово впроваджує ресурсну політику традиційної переорієнтації зростаючих торгівельних підприємств з широкомасштабного високоризикового комерційного кредитування (за рахунок управління строками дебіторської та кредиторської заборгованості) на власний капітал та довгостроковий залучений капітал, застосовуючи механізми довгострокового банківського кредитування.
2. У структурі активів за звітний період (2002 рік) виникли наступні істотні зміни:
при загальному зростанні валюти балансу на +93,01 % (з 43,477 млн.грн. до 83,914 млн.грн.), необоротні активи зросли на + 3,45% (з 28,882 млн.грн. до 29,878 млн.грн.), а оборотні активи зросли на +270,28 % (з 14,593 млн.грн. до 54,035 млн.грн.);
доля необоротних активів в валюті балансу активів у звітному періоді знизилась з 66,43 % (базовий період) до 35,62 %, загальна доля оборотних активів в валюті балансу, відповідно, зросла з 33,57% (базовий період) до 64,39%;
доля запасів в валюті балансу активів підвищилась з 21,72%(базовий період) до 56,29% (звітний період);
доля дебіторської заборгованості за відпущену продукцію зменшилась в валюті балансу активів з 3,89%(базовий період) до 4,19% при зростанні суми дебіторської заборгованості на + 108,0 % (з 1,689 млн.грн. до 3,513 млн.грн.);
сума грошових коштів в касі у звітному періоді підвищилася до 1,102 млн.грн. при її значенні в базовому періодах 0,533 млн.грн., що становить 1,23 –1,31 % частину в валюті балансу;
Таким чином, проведений аналіз активів валюти балансу СП ЗАТ з ІІ “КИПАРИС” свідчить про різке підвищення долі оборотних активів за рахунок підвищення запасів торгового підприємства, при цьому аналіз пасивів балансу показує що придбання запасів забезпечено, в основному кредиторською заборгованістю перед поставщиками товарних запасів.
2.3 Аналіз фінансових результатів діяльності
При аналізі фінансових результатів діяльності використані Положення (стандарт) бухгалтерського обліку "Звіт про фінансові результати" (Форма 2), що обумовлюють зміст і форму Звіту, а також загальні вимоги до розкриття його статей [23]. Результати вертикально-горизонтального аналізу звіту про фінансові результати за 2002 рік - 2001 рік(базовий) наведені в табл.2.А, 3.А Додатку А.
Результати ретроспективного аналізу результатів фінансової діяльності і структури витрат підприємства за 2002 р.(звітний період) та, відповідно, за 2001 р.(базовий період), дозволяють констатувати наступне:
отриманий доход за реалізовану продукцію підвищився на +8,15 % з рівня 100,543 млн.грн.(за базовий 2001 рік) до 108,702 млн.грн. (за звітний 2002 рік);
доля собівартості відносно чистого доходу від реалізації з 96,48 – 98,41% у базовому році підвищилася до 99,79 – 99,83% у звітному (2002) році, що свідчить про мінімальний прибуток підприємства від основної діяльності;
матеріальні витрати на придбання товарів для продажу становлять відносно чистого дохода від реалізації долю з 93,32 – 94,74 % у базовому році до 88,68 – 93,17 % у звітному році, тобто ця стаття витрат займає
основну частину від 94,8% (2001) до 92,8%(2002) в собівартості реалізованої продукції;
оскільки підприємство займається, в основному, перепродажем товарів, то фактична сплачена сума податку ПДВ до бюджету, як різниця отриманого та сплаченого ПДВ становить 0,17 – 0,2 % від суми доходу від реалізації, тобто працює механізм мінімізації сплати податка ПДВ, характерний для чистого перепродажу товарів;
відносна доля валового прибутку від реалізації знизилась у звітному періоді з 1,595% (2001 - базова) до 0,202 % (2002 –звітна), а відносна доля балансового прибутку від всіх операцій підприємства у звітному періоді знизилася з 0,28% (2001- базова) до 0,168%(2002- звітна) від чистого доходу від реалізації продукції;
відповідно, дивідендна доходність акцій підприємства у звітному році знизилася з 1,53% річних(2001 – базова) до 0,99% річних (2002 – звітна),
що є явно недостатнім рівнем доходності при номінальній ставці вартості грошей по обліковій ставці НБУ – (7 - 9) % річних та ставках процентів по депозитах 13 – 17 % річних;
Аналіз ціноутворення при формуванні собівартості торгівельної діяльності на підприємстві СП ЗАТ з ІІ “КИПАРИС” в 2002 році показав, що:
- 90 відс. від загального обсягу закупок товарів здійснювалось по фіксованим цінам на підставі укладених угод з постачальниками, які входять до кола підприємств, які працюють під торговою маркою «Рейнфорд», з одержанням знижок в розмірі 1-5 %;
- 10 відс. від загального обсягу закупок товарів - по вільним договірним цінам від інших постачальників.
Товари, одержані по фіксованим цінам, СП з ІІ “Кіпаріс” реалізовувало по ціні придбання, а по договірним цінам - з націнкою до 25 %.
В громадському харчуванні націнка на продукцію складала 50 %, що підтверджується калькуляційними картками на продукцію власного виробництва.
Таким чином, слід відмітити, що знижка на закуплені товари в розмірі 1-5 % від фіксованої ціни не сприяла одержанню прибутку, а ледь покривала витрати, а так як основними постачальниками товарів являються підприємства, які входять до складу підприємств, працюючих під торговою маркою «Рейнфорд», можна зробити висновок, що засновник СП ЗАТ з ІІ “КИПАРИС” (група “Рейнфорд” -98% статутного фонду) регулює системою знижок доходи, витрати та прибуток, як самого підприємства, так і його партнерів – постачальників цієї ж групи.
2.4 Коефіцієнтний аналіз показників фінансової діяльності
В табл. 2.7 наведені алгоритми розрахунків показників рентабельності діяльності підприємства [16] з використанням форм фінансової звітності – Форма 1 “Баланс” та Форма 2 “Звіт про результати фінансової діяльності”:
Таблиця 2.7 - Алгоритми розрахунку показників рентабельності
№ п/п
Показник
Умовн
поз-ня
Формула
для розрахунку
Джерела інформації з форм фінзвітності
ПОКАЗНИКИ РЕНТАБЕЛЬНОСТІ
1
Рентабельність активів за прибутком від
звичайної діяльності
Rзв
Прибуток від звичайної діяльності / Валюта активів
Форма 2(190) / Форма1 (280)
2
Рентабельність капіталу (активів) за чистим прибутком
Rа
Чистий Прибуток / Валюта активів
Форма 2(220) / Форма1 (280)
3
Рентабельність власного капіталу
Rвк
Чистий Прибуток / Власний капітал
Форма 2(220) / Форма1 (380)
4
Рентабельність виробничих фондів
Rвф
Чистий Прибуток / Виробничі фонди
Форма 2(220) /Фор-ма1 (030+100+120)
5
Рентабельність реалізо-ваної продукції за прибутком від реалізації
Rq
Прибуток від реалізації / Виручка
Форма 2(050-070-080) /Форма 2 (035)
6
Рентабельність реалізованої продукції за прибутком від операційної діяльності
Rqоп
Прибуток від операційної діяльності / Виручка
Форма 2(100) /
Форма 2 (035)
7
Рентабельність реал. продукції за прибутком
Rqч
Чистий прибуток / Виручка
Форма 2(220) /
Форма 2 (035)
.8
Коефіцієнт стійкості економічного зростання
Ксез
Реінвестований прибуток / Власний капітал
Форма 2(100 - 335)* Ф.2(220)/100 /Форма 1 (380)
9
Коефіцієнт реінвестування
Кр
Реінвестований прибуток / Чистий прибуток
Форма 2(100 - 335)* Ф.2(220)/100 /Форма 2 (220)
10
Період окупності капіталу
Тк
Активи/Чистий прибуток
Форма 1(280) /
Форма 2 (220)
11
Період окупності власного капіталу
Твк
Власний капітал / Чистий прибуток
Форма 1(380) /
Форма 2 (220)
В табл. 2.8 наведені алгоритми розрахунків показників ділової активності діяльності підприємства з використанням форм фінансової звітності – Форма 1 “Баланс” та Форма 2 “Звіт про результати фінансової діяльності”[22],[23]:
Таблиця 2.8 - Алгоритми розрахунку показників ділової активності
№ п/п
Показник
Умовне
позначення
Формула
для розрахунку
Джерела інформації з форм фінзвітності
ПОКАЗНИКИ ДІЛОВОЇ АКТИВНОСТІ
1
Коефіцієнт трансформації
Кт
Чиста виручка від реалізації / Валюта активів
Форма 2(035) /Форма1 (280)
2
Фондовіддача
Фоф
Чиста виручка від реалізації / Основні виробничі фонди
Форма 2(035) /Форма1 (030)
3
Коефіцієнт оборотності обігових коштів (обороти)
Ко
Чиста виручка від реалізації / Обігові кошти
Форма 2(035) /Форма1 (260+270)
4
Період одного обороту обігових коштів (днів)
Чо
365/ Ко
365 / Ко
5
Коефіцієнт оборотності запасів (обороти)
Коз
Собівартість реалізації / Середні запаси
Форма 2(040) /Форма1 (100+120+130+140 +150)
6
Період одного обороту запасів(днів)
Чз
365 / Коз
365 / Коз
7
Коефіцієнт оборотності дебіторської заборго-ваності(обороти)
Кдз
Чиста виручка від реалізації / Середня дебіторська заборгованість
Форма 2(035) /Форма1 (050+170+180+190+200+210)
8
Період погашення дебіторської заборгованості (днів)
Чдз
365 / Кдз
365 / Кдз
9
Коефіцієнт оборотності готової продукції
Кгп
Чиста виручка від реалізації / Готова продукція
Форма 2(035) /Форма1 (130)
10
Період погашення кредиторської заборгованості (днів)
Чкз
Середня кредиторська заборгованість *360/ Собівартість реалізації
Форма 1(500+520+530 +550+580) /Форма 2 (040)
11
Період фінансового циклу (днів) - період обороту коштів
Чфц
Чфц= Чоц - Чкз
Чфц= Чоц – Чкз
12
Коефіцієнт оборотності власного капіталу(оборотність)
Квк
Чиста виручка від реалізації / Власний капітал
Форма 2(035) /Форма1 (380+430+630)
В табл. 2.9 наведені алгоритми розрахунків показників майнового стану підприємства з використанням форм фінансової звітності – Форма 1 “Баланс” та Форма 2 “Звіт про результати фінансової діяльності” [22],[23]:
Таблиця 2.9 - Алгоритми розрахунку показників майнового стану
№ п/п
Показник
Умовне
позначення
Формула
для розрахунку
Джерела інформації з форм фін звітності
ПОКАЗНИКИ МАЙНОВОГО СТАНУ
1.
Частка оборотних виробничих фондів в обігових коштах
Ч овф
Оборотні виробничі фонди/ Оборотні активи
Форма 1 (100+120+270) /Форма1 (260+270)
2
Частка основних засобів в активах
Ч оз
Залишкова вартість основних засобів / Валюта активів
Форма 1(030) / Форма1 (280)
3
Коефіцієнт зносу основних засобів
К зн
Знос основних засобів/ Первісна вартість основних засобів
Форма 1(032) / Форма1 (031)
4
Коефіцієнт оновлення основних засобів
К он
Збільшення за звітний період первісної вар-тості основних засобів/ Первісну вартість основних засобів
Форма 1((031к)-(031п)) / Форма1 (031п)
5
Частка довгострокових фінансових інвестицій в активах
Ч дф
Довгострокові фінансові інвестиції / валюта активів
Форма 1(040+045) /Форма1 (280)
6
Частка оборотних виробничих активів
Ч ова
Оборотні виробничі фонди/ Валюта активів
Форма 1(100+120+270) /Форма1 (280)
7
Коефіцієнт мобільності активів
К моб
Мобільні активи / Немобільні активи
Форма 1(260+270) /Форма1 (080)
Платоспроможність підприємства – це здатність підприємства впевнено сплачувати всі свої боргові зобов’язання згідно з встановленими строками або відповідно до договірних умов [17]. Її можна вивчати за минулий період, на якусь певну (звітну) дату або як майбутню можливість розрахувати у необхідні терміни за існуючими короткостроковими зобов’язаннями.
Платоспроможність підприємства визначається системою показників ліквідності оборотних активів балансу. Знаменник в усіх наведених показників один і той самий – поточні пасиви, тобто термінові невідкладні зобов’язання.
Показники ліквідності характеризують здатність фірми виконувати свої поточні (короткострокові) зобов’язання за рахунок поточних активів.
Коефіцієнт загальної ліквідності (Кл.заг.) (коефіцієнт покриття) – це відношення поточних активів (Апот) до поточних зобов’язань (Зпот):
, (2.8)
де: - поточні активи балансу (Форма 1 строка 260);
- поточні зобов ' язання балансу (Форма 1 строка 620);
Цей результат співвідноситься з одиницею і показує, скільки грошових одиниць поточних активів припадає на одну грошову одиницю поточних зобов’язань. При Кл.заг.<2 вважається, що платоспроможність підприємства невисока існує певний фінансовий ризик. Співвідношення 2:1 вважається нормальним, але для деяких сфер бізнесу воно може коливатись від 1,2 до 2,5 [19].
Коефіцієнт термінової ліквідності (Кл.терм.) – це відношення активів високої
ліквідності (Алікв) до поточних зобов’язань:
, (2.9)
де: Алікв - активи високої ліквідності = поточні активи – запаси (Форма 1 строки (260-100-110-120-130-140-150);
Коефіцієнт абсолютної ліквідності (Кл. абс.) характеризується відношенням грошових засобів та коротк. цінних паперів (Г,Цп) до поточних зобов’язань:
, (2.10)
де: Г,Цп – грошові засоби та короткострокові цінні папери (Форма 1 строки (230+240));
Значення цього коефіцієнта є достатнім, якщо він перевищує 0,2-0,25 [19].
Співвідношення короткострокової дебіторської та кредиторської заборгованостей – показує наскількі термінові надходження від боржників до підприємства відповідають терміновим вимогам кредиторів до підприємства:
, (2.11)
де: Здеб – короткострокова дебіторська заборгованість (Форма 1 строки
(160+170+180+190+200+210));
Зкред – короткострокова кредиторська заборгованість (Форма 1 строки (520+530+540));
Значення цього коефіцієнту є сприятливими, якщо він перевищує 1,25[19].
Однією з найважливіших характеристик фінансового стану підприємства є фінансова стійкість. Фінансова стійкість характеризує ступінь фінансової незалежності підприємства щодо володіння своїм майном і його використання.
В табл. 2.10 наведені алгоритми розрахунків показників фінансової стійкості підприємства з використанням форм фінансової звітності – Форма 1 “Баланс” та Форма 2 “Звіт про результати фінансової діяльності” [22],[23]:
Для оперативного розрахунку абсолютних показників фінансової стійкості(коефіцієнту покриття запасів оборотними коштами) вартість запасів (З) порівнюється з послідовно поширюваним переліком таких джерел фінансування [17]:
власні оборотні кошти (НВОК);
власні оборотні кошти і довгострокові кредити та позики (НВОК + Дп);
власні оборотні кошти, довго- та короткострокові кредити і позики
(НВОК + Дп + ДФЗ).
Відповідно до забезпеченості запасів згаданими варіантами фінансування можливі чотири типи фінансової стійкості [19]:
1. Абсолютна стійкість - для забезпечення запасів (З) достатньо власних оборотних коштів; платоспроможність підприємства гарантована: З < НВОК
2. Нормальна стійкість – для забезпечення запасів крім власних оборотних коштів залучаються довгострокові кредити та позики; платоспроможність гарантована: З < НВОК+Дп
3. Нестійкий фінансовий стан – для забезпечення запасів крім власних оборотних коштів та довгострокових кредитів і позик залучаються короткострокові кредити та позики; платоспроможність порушена, але є можливість її відновити: З < НВОК + Дп + ДФЗ
4. Кризовий фінансовий стан – для забезпечення запасів не вистачає “нормальних” джерел фінансування; підприємству загрожує банкрутство:
З > НВОК + Дп + ДФЗ
Забезпеченість запасів джерелами формування є сутністю фінансової стійкості, її зовнішнім проявом, а наслідком є платоспроможність (ліквідність).
Таблиця 2.10 - Алгоритми розрахунку показників фінансової стійкості
Показник
Умов.
позн.
Формула
для розрахунку
Джерела інформації з форм фінзвітності
ПОКАЗНИКИ ФІНАНСОВОЇ СТІЙКОСТІ
1
Власні обігові кошти
(робочий, функціонуючий капітал)
Рк
Оборотні активи – короткострокові
зобов ' язання
Форма 1(260+270-620-630)
2
Коефіцієнт забезпечення оборотних активів власними коштами
Кзвк
Власні обігові кошти / оборотні кошти
Форма 1(380+430-080) /Форма1 (260+270)
3
Маневреність робочого капіталу
Мрк
Запаси / Робочий капітал
Форма 1(100+120 +130+140+150) /Форма1 (260+270-620-630)
4
Маневреність власних обігових коштів
Мвок
Грошові Кошти / Власні обігові кошти
Форма 1(230+240) /Форма1 (380+430-080)
5
Коефіцієнт забезпечення власними обіговими коштами запасів
Кзап
Власні обігові кошти / Запаси
Форма 1(380+430-080) /Форма1 (100+120 +130+140+150)
6
Коефіцієнт покриття запасів
Кпз
"Нормальні" джерела покриття запасів / Запаси
Форма 1(380+430 +480-080+500+520+530+540) /Форма1 (100+120 +130+140+150)
7
Коефіцієнт фінансової незалежності (автономії)
Кавт
Власний капітал / Валюта Пас. Балансу
Форма 1(380+430+630) /Форма1 (640)
8
Коефіцієнт маневреності власного капіталу
Км
Власні обігові кошти / Власний капітал
Форма 1(380+430+630-080) /Форма1 (380+430+630)
9
Коефіцієнт концентрації позикового капіталу
Кпк
Позиковий капітал/Валюта пасивів
Форма 1(480+620) /Форма1 (640)
10
Коефіцієнт фінансової стабільності (коефіцієнт фінансування)
Кфс
Власні кошти / позикові кошти
Форма 1(380+430+630) /Форма1 (480+620)
12
Коефіцієнт фінансової стійкості
Кфст
Власний капітал + довгострокові зобов ' язання / Валюта пасивів
Форма 1(380+430+480+630) /Форма1 (640)
Результати розрахунків коефіціентів – показників фінансового стану згідно алгоритмів табл.2.7 –2.10 наведені в табл. 4.А –8.А Додатку А.
Як видно з результатів розрахунків показників ліквідності, платоспроможності та джерел покриття виробничих запасів СП ЗАТ з ІІ «КИПАРИС» (табл.6.А – 8.А Додатку А):
- на базову та звітні дати показники покриття запасів знаходяться в зоні кризового фінансового стану, тобто розмір запасів не відповідає оборотній частині власного капіталу підприємства (вона має негативне значення), а розмір залучених довгострокових кредитних банківських коштів у підприємства недостатній;
показники платоспроможності та ліквідності характеризуються:
а) коефіцієнт покриття (загальна ліквідність) у звітному періоді підвищився з 0,413 до 0,96, але не досяг рівня нормативу > 1,0, тобто підприємство – неліквідне;
б) коефіцієнти строкової ліквідності покриття активами запозичених поточних активів становлять 0,163 – 0,123, мають тенденцію до зниження у звітному періоді, та в 4 рази менше нормативних значень;
в) абсолютна ліквідність (готівкові кошти) – практично залишилася в 10 разів нижче нормативу, тобто в СП ЗАТ з ІІ «КИПАРИС» немає вільних готівкових коштів для взаєморозрахунків з кредиторами;
Як видно з результатів розрахунків показників рентабельності та фінансової стійкості в СП ЗАТ з ІІ «КИПАРИС» (табл.5.А Додатку А):
рентабельність активів та власного капіталу по чистому доходу та прибутку відносно базового року зменшилася у звітному році в кілька разів, при цьому підприємство малоприбуткове та працює на грані беззбитковості;
всі показники фінансової стійкості(фінансування, маневреності, незалежності), у звітному періоді дещо покращались, але не увійшли в діапазон, який характеризує нормальну фінансову стійкість підприємства;
Як видно з результатів розрахунків показників майнового стану та ділової активності в СП ЗАТ з ІІ «КИПАРИС» (табл.4.А Додатку А):
коефіцієнт трансформації активів у виручку від реалізації знизився з 2,31 у базовому періоді до 1,30 у звітному періоді;
знос основних фондів підвищився з 0,139 до 0,279 за рахунок повільного вводу нових основних фондів (+8,6% за рік);
коефіцієнт оборотності обігових коштів знизився з 6,89 у базовому періоді до 2,01 у звітному періоді, що відповідає підвищенню періоду 1-го обороту обігових коштів з 52,25 дня до 178,95 дня;
коефіцієнт оборотності запасів знизився з 11,36 у базовому періоді до 2,31 у звітному періоді, що відповідає зростанню періоду 1-го обороту запасів з 31,68 дня до 155,94 дня;
коефіцієнт оборотності дебіторської заборгованості зменшився з 59,52 у базовому періоді до 30,94 у звітному періоді, що відповідає підвищенню періоду 1-го обороту дебіторської заборгованості з 6,05 дня до 11,64 дня;
коефіцієнт оборотності кредиторської заборгованості зменшився більш ніж в 1,5 рази, що відповідає підвищенню періоду 1-го обороту (погашенню) кредиторської заборгованості з 114,21 дня до 164,54 дня;
мобільність активів у звітному періоді підвищилася з 0,366 до 0,644, що дозволяє переорієнтувати виробництво (надання послуг) підприємства;
Отримані характеристики ділової активності свідчать про негативні процеси в розвитку підприємства, що може бути результатом проблем з реалізацією накоплених запасів продукції.
Одним з шляхів відродження динамічного розвитку підприємства є диверсифікація його діяльності з підвищенням виробничого сектору, а відповідно ї долі добавленої вартості в ціні продукції (зниження собівартості продукції відносно ціни реалізації).
Як видно з отриманих результатів інвестування коштів в власний чи довгостроковий залучений капітал СП ЗАТ з ІІ “КИПАРИС” є життєво необхідним заходом для підвищення фінансової стійкості та прибутковості діяльності. Але інвестування коштів в підприємство, рівень дивідендів якого становить 1-2 %, є дуже проблематичним для інвесторів, тому необхідно розвивати нове високоприбуткове дочірнє підприємство, яке дозволить підвищити загальні характеристики головного та дочірнього підприємства.
2.5 Оцінка імовірності банкрутства підприємства та доцільності диверсифікації діяльності
Існує багато підходів до прогнозування фінансової неплатоспроможності суб'єктів господарювання. Будь-яка методика оцінювання кредитоспроможності є, по суті, методикою прогнозування банкрутства. У закордонній практиці поширення придбали дві моделі — Альтмана і Спрингейта, названі на честь їхніх авторів [16].
Модель Альтмана (розроблена в 1968 році і відома також за назвою «розрахунок Z-показника» — інтегрального показника рівня погрози):
(2.12)
де Х1 = (Поточні активи - Поточні пасиви) / Обсяг активу;
Х2 = Нерозподілений прибуток / Обсяг активу;
Х3 = Прибуток до виплати відсотків / Обсяг активу;
Х4 = Ринкова вартість власного капіталу / Позикові засоби;
Х5 = Виторг від реалізації / Обсяг активу;
При Z < 1,8 - імовірність банкрутства дуже висока;
1,8 < Z < 2,7 - імовірність банкрутства середня;
2,7 < Z < 2,99 - імовірність банкрутства невелика;
Z > 2,99 - імовірність банкрутства незначна.
Розрахунок інтегрального показника Альтмана за даними балансу СП ЗАТ з ІІ «КИПАРИС» за 2002 рік, дає наступні значення:
Таким чином, імовірність банкрутства СП ЗАТ з ІІ «КИПАРИС» по Альтману за результатами 2002 року дуже значна.
3. ПРОЕКТНА ЧАСТИНА. АНАЛІЗ ЕФЕКТИВНОСТІ ІНВЕСТИЦІЙ В СТВОРЕННЯ ДОЧІРНЬОГО СП „КИПАРИС – Т” ЯК ПРОЕКТ ДИВЕРСИФІКАЦІЇ ДІЯЛЬНОСТІ СП “КИПАРИС”
3.1 Маркетинговий аналіз ринкового сегменту для створення дочірнього спільного виробничого підприємства СП “КИПАРИС-Т” по виробництву телевізорів
Своє золоте століття українські виробники телевізорів пережили в радянські часи. Тоді вони без особливої напруги випускали по 3-3,5 млн. телевізійних приймачів у рік. Наприклад, у 1990 році українці виготовили 3,77 млн шт. кольорових і чорно-білих телевізорів. Телевізори “Електрон”, “Беріз-ка”, “Фотон”, “Весна”, “Оризон”, “Славутич” — усі вони на 99% збиралися з вітчизняних комплектуючих. Кінескопи, лампи, резистори, конденсатори, трансформатори і т.п. виготовлялися усередині країни.
За 10 років обсяги виробництва упали в десятки разів. Причини падіння обсягів виробництва — різке скорочення ринків збуту, технологічна і технічна відсталість наших підприємств, у той час як закордонні виробники переходили на випуск приймачів нового покоління. Після того як в Україну почав надходити імпортні телевізори, вітчизняний споживач став купувати більш якісні і надійні закордонні моделі. На жаль, наші виробники електронних комплектуючих не поспівали за розвитком світової телетехнології.
Від тодішньої цілісної системи телевиробництва майже нічого не залишилося. Вітчизняні підприємства, що раніше випускали кінескопи та інші телекомплектуючі, “лежать”. Сьогодні в Україні немає жодного телевізора, що складає тільки з “доморослих” комплектуючих. Навіть чорно-білі телевізори не можуть обійтися без закордонних складових.
У 2000-2002 роках обсяги споживчого ринку телевізійних приймачів у середньому збільшувалися в півтора разу щорічно. До таких висновків можна прийти, простеживши кількість імпортованих в Україну кінескопів і готових телевізорів. Наприклад, у 2001 році було завезено 976,7 тис. кінескопів і близько 50 тис. готових телевізорів. Тобто парк “телеустаткування” був оновлений більш ніж на мільйон одиниць.
Більшість телевізійних “іномарок”, продаваних в Україні, збирають на вітчизняних підприємствах. Відомі світові виробники телевізорів, перш ніж дозволити зборку телетехніки під своєю торговою маркою, тестують виробництво майбутнього компаньйона і тільки після цього дозволяють (чи не дозволяють) фірмі збирати і продавати “свої” телевізори.
В Україні реалізуються в основному три виробничо-збутові схеми випуску і просування телевізорів.
Перша — класична — виробник купує комплектуючі, збирає з них телевізор, а потім продає оптовикам чи прямо у розницю. У даному випадку всі питання, зв'язані з просуванням свого товару, звичайно вирішує виробник.
Друга схема — “давальницька”. Торгова фірма замовляє виробнику зборку телевізорів (часто під маркої торгової фірми). Замовники забезпечують складальне підприємство комплектуючими і розплачуються за послуги грошима чи товаром (який самі беруться реалізувати).
Третя схема — комплексна. Торгова компанія (мережа супермаркетів електроніки) організує власну складальну площадку, де “штампує” телевізори під своєю і/чи закордонними марками.
Для зменшення обсягів “підпільної” зборки телевізорів у 1998 році постановою Кабміну України була введена атестація телевиробництва. За станом на 16 квітня 2002-го року атестовано більш 20 підприємств.
До 2002 року держава особливих коректив у правила гри на телеринку не вносило. 11 квітня 2002 року Кабмін постановою №506 затвердив “Порядок гарантійного ремонту (обслуговування) чи гарантійної заміни технічно складних побутових товарів”. Документ опублікований у травні і набрав сили в червні 2002 року (см. БІЗНЕС №19 від 13.05.02 р., стор.56,57).
У 2001 році були прийняті нові митні правила, що фактично заборонили ввіз “готових” телевізорів. Згідно з цими правилами, мито почали стягувати не з телевізора взагалі, а з кожного дюйма екранної діагоналі. Імпорт готових “телешухляд” став приносити менше прибутку. Тому “телеоператори” переорієнтувалися на ввіз комплектуючих (фактично — телевізорів різного ступеня “зібраності”) і стали замовляти зборку телевізорів українським радіоелектронним підприємствам. Природно, таке перепрофілювання відбилося на статистиці. Якщо в 2001 році було імпортовано 202,8 тис. готових кольорових і чорно-білих телевізорів і 599 тис. кінескопів, то в 2002 році баланс змістився убік кінескопів: торік у країну було завезено 49,87 тис. телевізорів і 976,7 тис. кінескопів. Кінескопи імпортують в основному з Південної Кореї, Китаю, Туреччини, Малайзии, Таїланду, Литви, Польщі, Великобританії і Німеччині. Кінескопи в Україні не роблять узагалі, а телевізори в мізерних обсягах відправляють в основному в Молдавію і Туркменістан.
Останні 2-3 року спостерігається ріст українського ринку телевізорів. У 2002 році вітчизняний парк телетехніки обновився на 1-1,1 млн шт. Це на 40% більше, ніж у 2001 році. Споживач став купувати телевізори з плоским екраном. Ціни як правило, щорічно знижуються в середньому на 5%.
Сьогодні неправильно міркувати, що складальна технологія (деякі називають її навіть “отверточной”), що освоїли вітчизняні підприємства, нескладна. Зборка телевізорів науко- і капіталомістке виробництво. Щоб неї організувати, потрібно вкласти $1-3 млн
Основні характеристики ринку телевізорів в Україні:
- обсяг продажів за 3 місяці 2002 року — $25-30 млн (у роздрібних цінах), кількість операторів — 10-12 великих імпортерів, 300-350 великих магазинів;
- структура продажів — телевізори з екраном 14” — 6-7%, 20” — 20-22%, 21” — 53-55%, 25” — 2-4%, 29” — 8-10%, інші — 2-3% (у грошовому вираженні).
На рис.3.1 –3.6 наведені основні порівняльні характеристики існуючих телевізорів на ринку України – 2002 та впроваджуємих телевізорів марки „RAINFORD” в дочірньому спільному підприємстві СП „КИПАРИС-Т”.
Рис.3.7 Порівняльня таблиця цінових характеристик телевізорів “RAINFORD” та інших марок телевізорів з екраном 14” на ринку України
Рис.3.8 Порівняльня таблиця цінових характеристик телевізорів “RAINFORD” та інших марок телевізорів з екраном 20” на ринку України
Рис.3.9 Порівняльня таблиця цінових характеристик телевізорів “RAINFORD” та інших марок телевізорів з екраном 25” на ринку України
Рис.3.10 Порівняльня таблиця цінових характеристик телевізорів “RAINFORD” та інших марок телевізорів з екраном 29” на ринку України
Як видно з графіків рис.3.7 – 3.10, та з врахуванням статистики реалізації телевізорів на споживчому ринку України, основними ціновими конкурентами у впроваджуємої марки телевізорів “RAINFORD” на відповідних сегментах ринку є наведені в табл.3.1
Таблиця 3.1 – Результати цінового маркетинга ринку телевізорів
Сегмент ринку телевізорів
(по розмі-ру діагона-лі екрану)
Марки телеві-зорів, нижче ціною ніж “RAINFORD”
Марки телеві-зорів, рівні за ціною з “RAINFORD”
Марки телевізорів, вище ціною ніж “RAINFORD”
% частина реалізації сегменту ринку в загальному обсязі
14”
AKIRA
(на 5%)
JVC, PANASONIC, PHILIPS, THOMSON, TOSHIBA
(на 20-30%)
6-7 %
20-21”
DAEWOO
(на 5-10%)
DAEWOO
LG, SAMSUNG
(на 20-30%)
73 – 77 %
25”
WEST
(на 10%)
AKIRA,JVC,LG, PANASONIC, SAMSUNG, THOMSON
(на 20-130%)
2- 4 %
29”
SAMSUNG,
PHILIPS,
PANASONIC
(на 60-250%)
8 – 10 %
Таким чином, впроваджуємі телевізори “RAINFORD” при підтримці заявлених цін реалізації мають виграш як найдешевіші телевізори для всіх сегментів ринку.
3.2 Вихідні дані по затратах проекту створення дочірнього підприємства
В дійсному дипломному проекті наведені розрахунки ефективності диверсифікації діяльності торгового підприємства СП ЗАТ з ІІ „КИПАРИС” за рахунок створення дочірнього самостійного підрозділу СП „КИПАРИС – Т” – цеху по складанню кольорових телевізорів під власною маркою “RAINFORD” на орендованих спеціалізованих виробничих площадях бувшого радянського об’єднання по виробництву телевізорів „Весна” в м. Дніпропетровську (цех № 8 – цех космічного зв’язку) - третій основний шлях розвитку виробництва телевізорів в Україні.
В другій половині 2002 року компанією “Rainford Ltd” СП ЗАТ з ІІ “КИПАРИС” була поставлена конвеєрна лінія для збирання кольорових телевізорів фірми «Samsung», та налагоджена мережа постачальників, через які в 2003 році почали ввозитися комплектуючі деталі із Японії, Південної Кореї, КНДР та Турції для забезпечення виробництва кольорових телевізорів.
Джерелом залучення інвестицій є внесення в статутний фонд іноземним засновником СП обладнання виробничої лінії на суму 1,2 млн. доларів США (6,45 млн.грн.) та банківський кредит 1,0 млн.доларів США (5,33 млн.грн.) під гарантії іноземного засновника – групи “RAINFORD”(Кіпр) для СП ЗАТ з ІІ „КИПАРИС”.
Таблиці вхідних даних інвестиційного проекту
1. Додаткові інвестиції:
1.1 Іноземним засновником ввезене обладнання на суму 1,2 млн.доларів США як внесок в статутний фонд на умовах сплати щорічних дивідендів по ставці 15,6 % на протязі 5 років (кредит на придбання обладнання отриманий засновником в іноземному банку на Кіпрі на 5 років під 7,8% річних);
Валютний банківський кредит 1 млн.доларів США взятий під 17 % річних під гарантії іноземного засновника та витрачений - 300 тисяч доларів – на обладнання цеху та зборочно –тестировочний інструмент, 700 тисяч доларів – на оборотний капітал по придбанню партій імпортних комплектуючих для збирання телевізорів та поточні потреби виробництва;
1.3 Ринкова вартість ввезеного та додатково купленого обладнання через 5 років складе 10 % від первісної вартості;
1.4 Затрати на ліквідацію обладнання складуть 8 % від ринкової вартості через 5 років;
1.5 Повернення основної суми кредиту проводиться рівними долями з 1(першого) року по закінченню кожного з п'яти років;
1.6 Сплата процентів за користування кредитом – щорічна;
2. Випуск продукції:
В табл.3.2 наведена прогнозна виробнича програма з розподілом випуску телевізорів по розміру екрану та пропорціями випуску, які відповідають статистичним даним маркетингового етапу підготовки проекту.
3. Витрати:
В табл.3.3 наведені розрахунки статей змінних витрат собівартості згідно прогнозній виробничій програмі з розподілом випуску телевізорів по розміру екрану та пропорціями випуску, які відповідають статистичним даним маркетингового етапу підготовки проекту.
В табл.3.4 наведені розрахунки статей постійних витрат собівартості виробництва по роках проекту.
4. Норма доходу на капітал становить 12% річних (ставка банківського депозиту в валюті) при додатковому відрахуванні від суми чистого прибутку 15,6% вартості поствленого обладнання в статутний фонд іноземним акціонером (за поставку обладнання та гарантії кредиту).
5. Додаткові умови:
5.1 Тривалість життєвого циклу – 5 років(умовно), тобто за 5 років обладнання повністю амортизується(для податку на прибуток);
5.2 Амортизація обчислюється рівними частками протягом терміну служби(щорічними порціями);
5.3 Через 5 років обладнання демонтується та продається;
5.4 Виробнича площа під нове обладнання є, а для спрощення розрахунків амортизація будинку не враховується;
5.5 Всі інші затрати фірма сплачує з власних засобів;
5.6 Всі платежі припадають на кінець року;
5.7 Норма доходу на капітал прийнята традиційно;
5.8 Ставка податку на прибуток згідно з Законом України [2] – 25 %.
5.9 Умовно діяльність підприємства оптимізована таким чином, що сумарний податок на додану вартість дорівнює нулю (тобто частина продукції експортується, що додає бюджетне відшкодування, яке компенсує різницю суми отриманого за продукцію і виплаченого за сировину та послуги ПДВ)
5.10 Фонд нарахованої амортизації обладнання, віднесений на валові витрати, витрачається на повернення суми основного кредиту, при цьому згідно з Законом України “Про оподаткування прибутку підприємств”[2], оскільки кредит витрачений на придбання амортизуємих основних фондів, то його повернення не відноситься на валові витрати підприємства для оподаткування податком на балансовий прибуток.
3.3 Розрахунки показників фінансового прогнозу результатів проекту створення дочірнього підприємства “КИПАРИС-Т”
В табл. 3.5 приведений алгоритм та результати розрахунку ліквідної вартості обладнання, яке реалізується через 5 років(повного життєвого циклу):
Таблиця 3.5 – Чиста ліквідаційна вартість проекту СП „КИПАРИС-Т”
№ п/п
Показник
Формула розрахунку
Значення показника
Одиниці
1.
Ринкова вартість обладнання
6 955 000
грн.
2.
Витрати на придбання обладнання (кредит)
6 955 000
грн.
3.
Амортизація до ліквідації
6 955 000
75000
грн.
4.
Ринкова вартість ліквідуємого обладнання
695 500
7500
грн.
5.
Витрати на ліквідацію обладнання
55 640
600
грн.
6.
Операційний доход від ліквідації обладнання
639 860
6900
грн.
7.
Податок на доход
159 965
1725
грн.
8.
Чиста ліквідаційна вартість обладнання
479 895
5175
грн.
Таблиця 3.6 – Результати інвестиційної діяльності проекту СП „КИПАРИС-Т”
№
Значення показників на t - кроку діяльності
п/п
Показники
0 рік
1 рік
2 рік
3 рік
4 рік
5 рік
Т(лікв.)
1
Земля
0
0
0
0
0
0
0
2
Будинки, споруди
0
0
0
0
0
0
0
3
Обладнання
-6 955 000
0
0
0
0
0
479 895
4
Нематеріальні активи
0
0
0
0
0
0
0
5
Разом: вкладення в основний капітал
-6 955 000
0
0
0
0
0
479 895
6
Приріст власного оборотного капіталу за рахунок акціонерів(-), убуток при виплаті дивідендів акціонерам(+)
-3 745 000
7
Усього інвестицій ("-" – вкладено, " +" - повернуто інвесторам)
-10 700 000
479 895
В табл.3.7 приведені результати розрахунку операційної діяльності підприємства на основі вхідних даних.
Таблиця 3.7 – Результати операційної діяльності проекту СП „КИПАРИС-Т”
№
Значення показників на t - кроку діяльності
п/п
Показники
0 рік
1 рік
2 рік
3 рік
4 рік
5 рік
Т(лікв.)
Розрахунок валового доходу
1
Обсяг продажу, один.
0
13 000
19 500
29 250
43 875
21 938
0
2
Ціна продажу грн./один.
(Таблиця 3._)
3
Виручка від продажу, тис.грн.
0
12 973,8
19 460,6
29 190,9
43 786,4
21 893,2
639,9
Розрахунок валових витрат (для оподаткування)
4
Змінні витрати на оплату праці, тис.грн.
0
-417,3
-626,0
-938,9
-1 408,4
-704,2
0
5
Змінні витрати на оплату сировини та процес виготовлення, тис.грн.
0
-6 995,9
-10 493,9
-15 740,8
-23 611,3
-11 805,6
6
Постійні витрати(1), тис.грн.
0
-331,7
-331,7
-331,7
-331,7
-331,7
7
Амортизація обладнання (пост.витрати - фонд оплати повернення кредиту), тис.грн.
0
-1 391,0
-1 391,0
-1 391,0
-1 391,0
-1 391,0
0
8
Відсотки по кредитах, тис.грн.(пост.витрати)
0
-909,5
-727,6
-545,7
-363,8
-181,9
0
Розрахунок балансового прибутку для оподаткування
9
Балансовий прибуток, тис.грн.
0
2 928,3
5 890,5
10 242,8
16 680,3
8 118,6
10
Податок на прибуток, тис.грн.
0
-732,1
-1 472,6
-2 560,7
-4 170,1
-2 029,7
11
Проектований чистий прибуток(для начислення % долі дивідендів),тис.грн.
0
2 196,2
4 417,9
7 682,1
12 510,2
6 089,0
Розрахунок чистого операційного доходу (+ фонд амортизації)
12
Чистий доход від операцій (чистий прибуток + амортизація), тис.грн.
0
3 587,2
5 808,9
9 073,1
13 901,2
7 480,0
За результатами розрахунків інвестиційної та операційної діяльностей підприємства (табл.3.6, 3.7) розраховуємо результати фінансової діяльності підприємства та грошові потоки(табл.3.8).
Таблиця 3.8 – Результати фінансової діяльності проекту СП „КИПАРИС-Т”
п/п
Показники
0 рік
1 рік
2 рік
3 рік
4 рік
5 рік
Т(лікв.)
Розрахунки динаміки капіталізованого власного капіталу
1
Інвестиції власного капіталу, тис.грн.
0
0
0
0
0
0
0
2
Чистий Прибуток до капіталізації, тис.грн.
0
2 196,2
4 417,9
7 682,1
12 510,2
6 089,0
0
3
Виплата 15,6% дивідендів, тис.грн.
0
-1001,52
-1001,52
-1001,52
-1001,52
-1001,52
4
Власний накопиче-ний капітал проекту з капіталізацією прибутку, тис.грн.
0
1 194,7
4 611,1
11 291,6
22 800,3
27 887,8
Розрахунки динаміки запозичення та амортизаційного повернення коштів
6
Довгострокові кредити, тис.грн.
3 745,0
0,0
0,0
0,0
0,0
0,0
0,0
7
Амортизація+ліквідація обладнання (фонд оплати повернення кредиту),тис.грн.
0,0
1 391,0
1 391,0
1 391,0
1 391,0
1 391,0
0,0
8
Погашення заборгова-ності по кредитах, тис.грн.
0,0
-749,0
-749,0
-749,0
-749,0
-749,0
0,0
Результати фінансової діяльності
9
Сальдо фінансової діяльності, тис.грн.
3 745,0
5 581,7
9 640,1
16 962,6
29 113,3
34 842,8
10
Потік реальних грошей, тис.грн.
3 745,0
1 836,7
4 058,3
7 322,6
12 150,7
5 729,5
34 842,8
В табл. 3.9, 1.Б, 2.Б наведені розрахунки в “електронних таблицях” EXCEL-2000 послідовними приближеннями значення ВНД – внутрішньої норми доход-ності, тобто такого значення % зміни вартості грошей у часі, яка дозволяє вирів-няти дисконтовані інвестиції та чистий дисконтований доход підприємства, тобто ВНД – досягнута фактична рентабельність капіталу. За результатами наближень табл.1.Б,2.Б (Додаток Б) внутрішня норма дисконтування проекту розраховується як:
3.4 Прогнозні об’єднані характеристики підприємств СП ЗАТ з ІІ ”КИПАРИС” та дочірнього СП “КИПАРИС-Т”
В табл.1.В,2.В Додатку В наведені зведені характеристики балансів та звітів про фінансові результати СП ЗАТ з ІІ „КИПАРИС” та створеного СП „КИПАРИС-Т” за перший (2003 рік) роботи.
На рис.3.12 наведені результати розрахунків точки беззбитковості та запасу міцності для першого року впровадження інвестиційного проекту створення дочірнього спільного підприємства СП „КИПАРИС-Т”.
Рис.3.12 Графоаналітичний аналіз коефіцієнту запасу беззбитковості проекту за 1 рік експлуатації інвестиції
ВИСНОВКИ
Пільговий режим інвестиційної та іншої господарської діяльності для підприємств з іноземними інвестиціями з деякими змінами, внесеними Декретом Кабінету Міністрів України "Про режим іноземного інвестування", проіснував до 1996 року і був скасований Законом України "Про режим іноземного інвестування".
Структурний аналіз значимості іноземного інвестування в капітальні ін-вестиції показує, що іноземна доля щорічно з 1997 –2002 років не перевищує 5% від загального інвестування капітальних вкладень в Україні. Таким чином, іноземне інвестування української економіки України не є інвестиційно привабливим за причинами:
- повного зняття пільг (податкових та митних) з підприємств з іноземни-ми інвестиціями;
- низького експортного потенціалу виробництва в Україні, де основною статтею експорту є природна сировина низького рівня переробки;
- протиріччь у процесі приватизації інвестиційно привабливих об‘єктів з участю іноземних інвесторів та виставлення багатьох вимог до додаткового інвестування, тенденцій реприватизації з боку Фонду Держмайна;
- нерозвинутостю біржового ринка капіталів підприємств, що не дозволяє робити портфельні інвестиції з певними нарантіями доходності вкладеного капіталу та вільного перекладення інвестованого капіталу в інші галузі виробництва;
Інвестиційно найпривабливішими для іноземного інвестування в Україні є харчова промисловість та переробка сільськогосподарських продуктів - 795,9 млн. дол. (18,1 % від загального обсягу інвестицій), оптова торгівля і посередництво в торгівлі - 648,1 млн. дол. (14,7 %), фінансова діяльність - 361,3 млн. дол. (8,2 %), машинобудування (виробництво машин, електричного, транспортного та електронного устаткування) - 345,6 млн. дол. (7,8 %).
В дипломній роботі проаналізована діяльність спільного українсько-кіпрського торгового підприємства в м. Дніпропетровську СП ЗАТ з ІІ “КИПАРИС” (доля іноземної інвестиції – більше 98 % статутного фонду) та один із шляхів диверсифікації його діяльності при створенні дочірнього спільного виробничого підприємства “КИПАРИС-Т” по випуску кольорових телевізорів марки “RAINFORD” на базі імпортного складального комплексу та імпортних вузлів телевізорів.
Проведений у дипломній роботі ретроспективний економічний аналіз діяльності торгового СП ЗАТ з ІІ “КИПАРИС” за даними економіко-фінансової звітності за 2001-2002 р.р. дозволяє констатувати наступні характеристики його фінансового стану та інвестиційної привабливості:
1. За звітний період (2002 рік) у структурі пасивів балансу (джерел) виникли наступні зміни(відносно рівня 2001 року):
при загальному зростанні валюти балансу на +93,01 % (з 43,477 млн.грн. до 83,914 млн.грн.), власний капітал, який знаходиться в стадіїї формування підвищенного статутного фонду, зріс на 136,8 %(з 2,719 млн.грн до 6,440 млн.грн);
у звітному періоді доля власного капіталу підприємства в валюті балансу зросла з 6,25 % до 7,67 %;
довгострокові кредитні ресурси та спеціалізовані фонди майбутніх виплат в балансі займають значну зростаючу долю з 12,5%(2001) до 25,26 %(2002) та в 2-3 рази більше власного капіталу;
кредиторська заборгованість значно зросла на +44,86 % (з 31,896 млн.грн до 46,204 млн.грн.), а її доля в валюті пасивів зменшилася з 73,36 % в базовому періоді (на початок 2002 року) до 55,06 % у звітному періоді;
поточна заборгованість за довгостроковими зобов'язаннями (обслуговування довгострокових ресурсів) зросла з 3,041 млн.грн. до 4,175 млн.грн., займаючи структурну долю з 7,0%(2001) до 4,157%(2002);
підприємство стало оформлювати частину кредиторської заборгованості виданими векселями на суму 3,478 млн.грн., що становить структурну долю 4,14% в валюті пасивів;
загальна доля поточних запозичених ресурсів зменшилася з 81,25% у базовому році(2001) до 67,07 % у звітному році (2002);
У такий спосіб СП ЗАТ з ІІ «КИПАРИС» поступово впроваджує ресурсну політику традиційної переорієнтації зростаючих торгівельних підприємств з широкомасштабного високоризикового комерційного кредитування (за рахунок управління строками дебіторської та кредиторської заборгованості) на власний капітал та довгостроковий залучений капітал, застосовуючи механізми довгострокового банківського кредитування.
2. У структурі активів за звітний період (2002 рік) виникли наступні істотні зміни:
при загальному зростанні валюти балансу на +93,01 % (з 43,477 млн.грн. до 83,914 млн.грн.), необоротні активи зросли на + 3,45% (з 28,882 млн.грн. до 29,878 млн.грн.), а оборотні активи зросли на +270,28 % (з 14,593 млн.грн. до 54,035 млн.грн.);
доля необоротних активів в валюті балансу активів у звітному періоді знизилась з 66,43 % (базовий період) до 35,62 %, загальна доля оборотних активів в валюті балансу, відповідно, зросла з 33,57% (базовий період) до 64,39%;
доля запасів в валюті балансу активів підвищилась з 21,72%(базовий період) до 56,29% (звітний період);
доля дебіторської заборгованості за відпущену продукцію зменшилась в валюті балансу активів з 3,89%(базовий період) до 4,19% при зростанні суми дебіторської заборгованості на + 108,0 % (з 1,689 млн.грн. до 3,513 млн.грн.);
сума грошових коштів в касі у звітному періоді підвищилася до 1,102 млн.грн. при її значенні в базовому періодах 0,533 млн.грн., що становить 1,23 –1,31 % частину в валюті балансу;
Таким чином, проведений аналіз активів валюти балансу СП ЗАТ з ІІ “КИПАРИС” свідчить про різке підвищення долі оборотних активів за рахунок підвищення запасів торгового підприємства, при цьому аналіз пасивів балансу показує що придбання запасів забезпечено, в основному, кредиторською забор-гованістю перед поставщиками товарних запасів.
3. Результати ретроспективного аналізу результатів фінансової діяльності і структури витрат підприємства за 2002 р.(звітний період) та, відповідно, за 2001 р.(базовий період), дозволяють констатувати наступне:
отриманий доход за реалізовану продукцію підвищився на +8,15 % з рівня 100,543 млн.грн.(за базовий 2001 рік) до 108,702 млн.грн. (за звітний 2002 рік);
доля собівартості відносно чистого доходу від реалізації з 96,48 – 98,41% у базовому році підвищилася до 99,79 – 99,83% у звітному (2002) році, що свідчить про мінімальний прибуток підприємства від основної діяльності;
матеріальні витрати на придбання товарів для продажу становлять відносно чистого доходу від реалізації долю з 93,32 – 94,74 % у базовому році до 88,68 – 93,17 % у звітному році, тобто ця стаття витрат займає основну частину від 94,8% (2001) до 92,8%(2002) в собівартості реалізованої продукції;
оскільки підприємство займається, в основному, перепродажем товарів, то фактична сплачена сума податку ПДВ до бюджету, як різниця отриманого та сплаченого ПДВ становить 0,17 – 0,2 % від суми доходу від реалізації, тобто працює механізм мінімізації сплати податку ПДВ, характерний для чистого перепродажу товарів;
відносна доля валового прибутку від реалізації знизилась у звітному періоді з 1,595% (2001 - базова) до 0,202 % (2002 –звітна), а відносна доля балансового прибутку від всіх операцій підприємства у звітному періоді знизилася з 0,28% (2001- базова) до 0,168%(2002- звітна) від чистого доходу від реалізації продукції;
відповідно, дивідендна доходність акцій підприємства у звітному році знизилася з 1,53% річних(2001 – базова) до 0,99% річних (2002 – звітна), що є явно недостатнім рівнем доходності при номінальній ставці вартості грошей по обліковій ставці НБУ – (7 - 9) % річних та ставках процентів по депозитах 13 – 17 % річних;
4. Згідно з результатами розрахунків показників ліквідності, платоспро-можності та джерел покриття виробничих запасів СП ЗАТ з ІІ «КИПАРИС»:
- на базову та звітні дати показники покриття запасів знаходяться в зоні кризового фінансового стану, тобто розмір запасів не відповідає оборотній частині власного капіталу підприємства (вона має негативне значення), а розмір залучених довгострокових кредитних банківських коштів у підприємства недостатній;
показники платоспроможності та ліквідності характеризуються:
а) коефіцієнт покриття (загальна ліквідність) у звітному періоді підвищився з 0,413 до 0,96, але не досяг рівня нормативу > 1,0, тобто підприємство – неліквідне;
б) коефіцієнти строкової ліквідності покриття активами запозичених поточних активів становлять 0,163 – 0,123, мають тенденцію до зниження у звітному періоді, та в 4 рази менше нормативних значень;
в) абсолютна ліквідність (готівкові кошти) – практично залишилася в 10 разів нижче нормативу, тобто в СП ЗАТ з ІІ «КИПАРИС» немає вільних готівкових коштів для взаєморозрахунків з кредиторами;
5. Згідно з результатами розрахунків показників рентабельності та фінансової стійкості в СП ЗАТ з ІІ «КИПАРИС»:
рентабельність активів та власного капіталу по чистому доходу та прибутку відносно базового року зменшилася у звітному році в кілька разів, при цьому підприємство малоприбуткове та працює на грані беззбитковості;
всі показники фінансової стійкості(фінансування, маневренності, незалежності), у звітному періоді дещо покращались, але не увійшли в діапазон, який характеризує нормальну фінансову стійкість підприємства;
6. Згідно з результатами розрахунків показників майнового стану та ділової активності в СП ЗАТ з ІІ «КИПАРИС»:
коефіцієнт трансформації активів у виручку від реалізації знизився з 2,31 у базовому періоді до 1,30 у звітному періоді;
знос основних фондів підвищився з 0,139 до 0,279 за рахунок повільного вводу нових основних фондів (+8,6% за рік);
коефіцієнт оборотності обігових коштів знизився з 6,89 у базовому періоді до 2,01 у звітному періоді, що відповідає підвищенню періоду 1-го обороту обігових коштів з 52,25 дня до 178,95 дня;
коефіцієнт оборотності запасів знизився з 11,36 у базовому періоді до 2,31 у звітному періоді, що відповідає зростанню періоду 1-го обороту запасів з 31,68 дня до 155,94 дня;
коефіцієнт оборотності дебіторської заборгованості зменшився з 59,52 у базовому періоді до 30,94 у звітному періоді, що відповідає підвищенню періоду 1-го обороту дебіторської заборгованості з 6,05 дня до 11,64 дня;
коефіцієнт оборотності кредиторської заборгованості зменшився більш ніж в 1,5 рази, що відповідає підвищенню періоду 1-го обороту (погашенню) кредиторської заборгованості з 114,21 дня до 164,54 дня;
мобільність активів у звітному періоді підвищилася з 0,366 до 0,644, що дозволяє переорієнтувати виробництво (надання послуг) підприємства;
Отримані характеристики ділової активності свідчать про негативні процеси в розвитку підприємства, що може бути результатом проблем з реалізацією накоплених запасів продукції.
Імовірність банкрутства СП ЗАТ з ІІ «КИПАРИС» по Альтману за результатами 2002 року дуже значна, що підтверджують і результати детального економічного аналізу.
Одним з шляхів відродження динамічного розвитку підприємства є диверсифікація його діяльності з підвищенням долі виробничого сектору, а відповідно ї долі добавленої вартості в ціні продукції (зниження собівартості продукції відносно ціни реалізації). Але інвестування коштів в підприємство, рівень дивідендів якого становить 1-2 %, є дуже проблематичним для інвесторів, тому необхідно розвивати нове високоприбуткове дочірнє підприємство, яке дозволить підвищити загальні характеристики головного та дочірнього підприємства.
Реалізація 5-тирічного інвестиційного проекту диверсифікації діяльності створенням дочірнього підприємства по складальному виробництву телевізорів, проаналізована в дипломній роботі, показує свою ефективність та можливість не тільки завоювати новий сегмент ринку, але і значно підвищити показники рентабельності та фінансової стійкості традиційно фінансового нестійкого торгового підприємства.
Фінансовий аналіз 5-тирічного інвестиційного проекта створення дочірнього підприємства “КИПАРИС-Т” показав його високі очікуємі характеристики:
- чистий потік прибутку за 5 років - + 31,098 млн.грн.
- дисконтований(ставка 12%) чистий прибуток (NPV) – + 10,360 млн.грн.
- строк прямої окупності інвестицій (2,2 млн.грн.) – 1,72 роки
- строк дисконтованої окупності інвестицій – 2,54 роки(менше 5 років)
- індекс доходності інвестиції – 290,63%
- дисконтований індекс доходності інвестиції 196,83% (вище 100 %)
- коефіцієнт запасу стійкості по беззбитковості виробництва на першому
році становить 2,1 та далі підвищується при розвитку виробництва
На фоні реалізаціїї інвестиційно привабливої для інвестора щорічної виплати дивідендів 11,56% від рівня інвестиції, дозволяє досягнути внутрішньої норми доходності 38,2%, тобто інвестиційний проект повинен бути прийнятий як кредитором-банком, так і іноземним інвестором акціонерами.
Прогноз спільного балансу СП ЗАТ з ІІ “КИПАРИС” та дочірнього підприємства СП “КИПАРИС-Т” за 1 рік інвестиційного проекту показує наступні позитивні зміни за рахунок високої рентабельності дочірнього підприємства:
перехід від кризового стану фінансовой стійкості по джерелам покриття запасів до нестійкого стану, при якому коефіцієнт загальної ліквідності перевищив норматив 1,0 (0,413 –2001; 0,96-2002; 1,717-2003);
перехід з кризового до нормативного діапазону строкової ліквідності (платоспроможності) підприємства 0,7 –0,8 (0,163-2001;0,123-2002; 0,856-2003);
наближення з кризового до нормативного діапазону абсолютної (моментальної) ліквідності 0,2-0,35 (0,015-2001;0,02-2002;0,11-2003);
підвищення на 20% валового реалізаційного доходу (100,543 млн.грн. –2001;
108,70 млн.грн.- 2002; 126,16 млн.грн.-2003);
підвищення власного та довгострокового залученого капітала до рівня 50% від пасивів підприємства, що забезпечує необхідний рівень ресурсної незалежності та фінансової стійкості;
ПЕРЕЛІК ЛІТЕРАТУРИ
1. Господарський кодекс України // від 16 січня 2003 року N 436-IV(діє з 01.01.2004)
2. Закон України “Про оподаткування прибутку підприємств” // від 28.12.1994 N 334/94-ВР(із змінами та доповненнями станом на 27.11.2003 N 1344-IV)
3. Закон України “Про господарські товариства” / від 19 вересня 1991 року N 1576-XII/ від 17 травня 2001 року N 2409-III
4. ЗАКОН УКРАЇНИ “Про інвестиційну діяльність» // від 18 вересня 1991 року N 1560-XII (Із змінами і доповненнями, внесеними Законами України станом на 20 грудня 2001 року N 2899-III, Додатково див. Рішення Конституційного Суду України від 29 січня 2002 року N 1-рп/2002)
5. ЗАКОН УКРАЇНИ „Про податок на додану вартість „// від 3 квітня 1997 року N 168/97-ВР (Із змінами і доповненнями, внесеними Законами України від 7 березня 2002 року N 3118-III)
6. ЗАКОН УКРАЇНИ „Про усунення дискримінації в оподаткуванні суб'єктів підприємницької діяльності, створених з використанням майна та коштів вітчизняного походження // від 17 лютого 2000 року N 1457-III (Із змінами і доповненнями, внесеними Законом України від 20.12.2001 року N 2899-III)
7. ЗАКОН УКРАЇНИ „ Про режим іноземного інвестування” // від 19 березня 1996 року N 93/96-ВР(Із змінами і доповненнями, внесеними Законами України від 8 червня 2000 року N 1807-III)
8. Закон України “ Про зовнішньоекономічну діяльність” // від 16 квітня 1991 року N 959-XII (від 8 червня 2000 року N 1807-III).
9. Закон України “ Про цінні папери та фондову біржу” // від 18 червня 1991 року N 1201-XII (станом на 3 червня 1999 року N 719-XIV)
10. Баканов М.И., Шеремет А.Д. Теория экономического анализа: учебник. – М.: Финансы и статистика, 1996.
11. Бланк И. Инвестиционный менеджмент. – К.: МП «ИТЕМ» ЛТД, 1995.
12. Бойчук І.М. Харів П.С., Хопчан М.І. Економіка підприємств. – Львів: В-во “Сполом”, 1998.
13. Глазунов В.М. Финансовый анализ и оценка риска реальных инвестиций.– М.: «Финстат-Информ», 1997.
14. Економіка підприємств / За ред. Покропивного С. Ф.– К.: Хвиля-Прес, 1995.
15. Ефимова М.Р., Ганченко О.И., Петрова Е.В. Практикум по общей теории статистики: Учебное пособие. – Москва: Финансы и статистика, 2000.
16. Ізмайлова К.В. Фінансовий аналіз: Навч. посібник – К.: МАУП,2000.
17. Ковалев В.В. Финансовый анализ: Управление капиталом. Выбор инвестиций. Анализ отчётности. - М.: Финансы и статистика, 1996г.
18. Костіна Н.І., Алексєєв А.А., Василик О.Д. Фінансове прогнозування: методи і моделі. – К.: “Знання”, 1995.
19. Крейнина М.Н. Финансовое состояние предприятия. Методы оценки.- М.: ИКЦ «Дис», 1997.
20. Липсиц И.В., Косов В.В. Инвестиционный проект: методы подготовки и анализа. – М.: «БЕК», 1996.
21. Положення (стандарт) бухгалтерського обліку 1 "Загальні вимоги до фінансової звітності", Наказ Мінфіна України № 87 від 31.03.1999 + № 304 від 30.11.2000.
22. Положення (стандарт) бухгалтерського обліку 2 "Баланс", Наказ Мінфіна України № 87 від 31.03.1999 + № 304 від 30.11.2000.
23. Положення (стандарт) бухгалтерського обліку 3 " Звіт про фінансові результати «, Наказ Мінфіна України № 87 від 31.03.1999 + № 304 від 30.11.2000.
24. Тян Р.Б., Холод Б.І., Ткаченко В.А. Управління проектами.– Д.: ДАУБП, 2000
Нравится материал? Поддержи автора!
Ещё документы из категории экономика:
Чтобы скачать документ, порекомендуйте, пожалуйста, его своим друзьям в любой соц. сети.
После чего кнопка «СКАЧАТЬ» станет доступной!
Кнопочки находятся чуть ниже. Спасибо!
Кнопки:
Скачать документ