Оценка бизнеса














































































































































































































РАЗДЕЛ I. ОСНОВНЫЕ ПОНЯТИЯ ОЦЕНКИ БИЗНЕСА
Глава 1. Основы оценки предприятия
1.1. Цели оценки и виды стоимости
Цели оценки
Цель оценки - расчет и обоснование рыночной стоимости предприятия.
Оценка предприятия не является самоцелью, она подчинена решению определенной, конкретной задачи. Оценщику необходимо знать задачу, ради которой производится оценка, только тогда он может правильно выбрать нужный методический инструментарий.
Наиболее характерные случаи, когда возникает потребность в оценке стоимости предприятия:
1) продажа предприятия;
2) продажа части. имущества предприятия (земельных участков, зданий, сооружений);
3) реорганизация (слияние, разделение, и т. п.) и ликвидация предприятия (проводимые как по решению его собственников, так и по решению арбитражного суда при банкротстве предприятия);
4) купля-продажа акций предприятия на рынке ценных бумаг (покупка предприятия или его части, находящихся в акционерной собственности);
5) купля-продажа доли (вклада) в уставном капитале товарищества или общества с ограниченной ответственностью (доля оценивается в денежных единицах);
6) передача предприятия в аренду: оценка стоимости важна для назначения арендной платы и осуществления последующего выкупа арендатором (если это предусмотрено договором аренды);
7) осуществление инвестиционного проекта развития предприятия, когда для его обоснования необходимо знать исходную стоимость предприятия;
8) получение кредита под залог имущества предприятия (ипотеки);
9) страхование имущества предприятия;
10) определение налоговой базы для исчисления налога на имущество;
11) переоценка основных фондов.
Таким образом, обоснованность и достоверность оценки стоимости имущественного комплекса во многом зависит от того, насколько правильно определена область использования оценки: купля-продажа, получение кредита, страхование, налогообложение и т.д.
Виды стоимости
Стоимость любого имущества можно определить двумя тесно связанными между собой способами: во-первых, как некоторое количество какого либо другого имущества (имеется в виду денежный эквивалент), на которое это имущество можно обменять, и, во-вторых, на текущую стоимость доходов, которые ожидает получить в будущем владелец имущества.
Важно проводить различия между понятиями стоимость, затраты и цена.
Стоимость - мера того, сколько покупатель (инвестор) будет готов заплатить за оцениваемую собственность. Затраты - мера издержек, необходимых для того, чтобы создать объект собственности, сходный с оцениваемым. Эти затраты могут не отличаться от той суммы, которую будет готов заплатить возможный покупатель. В зависимости от ряда факторов, включая потребности покупателя, наличие равноценных объектов и активность других покупателей, эти затраты могут быть выше или ниже стоимости на определенную дату оценки.
Стоимость и цена равны между собой только в условиях совершенного рынка. Стоимость в применении к имуществу представляет собой ожидаемую цену, которая должна быть результатом конкретных условий. Цена совершившийся факт, отражающий то, сколько было затрачено на покупку сходных объектов в прошлых сделках. Только сделав анализ, оценщик может утверждать, является ли текущая выплаченная или полученная цена отражением стоимости имущества.
Существуют четыре основных условия, при которых возникает стоимость: спрос, полезность, дефицитность и возможность передачи прав собственности.
Спрос - количество товара (услуг) или объектов собственности, которое может быть куплено на рынке за определенный период времени. Увеличение спроса влечет за собой рост цен.
Полезность. Полезностью называется способность товаров (услуг) или объектов собственности удовлетворять определенные человеческие потребности. Чем больше потребностей способна удовлетворить данная вещь, тем больше будет спрос на нее. Рост полезности обычно сопровождается :увеличением цены.
Дефицитность. Несмотря на большой спрос и высокую полезность, никакое имущество не будет иметь стоимости до тех пор, пока не будет дефицитным.
Возможность передачи прав собственности. Любая вещь только становится товаром (и, соответственно, приобретает стоимость), когда существует возможность передачи прав собственности на нее.
В силу различных потребностей и выполняемых функций на практике, оценщиком используются следующие основные виды стоимости.
Обоснованная рыночная стоимость - цена, характерная для данного вида имущества на конкурентном и открытом рынке. Предполагает свободную конкуренцию, когда и покупатель, и продавец действуют экономически рационально и сознательно, обладая необходимой информацией и не испытывая каких-либо внешних принуждений в сделке. Эта стоимость используется в случаях, связанных с отчуждением и передачей прав собственности.
Нормативно рассчитываемая стоимость - стоимость имущественного комплекса, рассчитываемая на основе утвержденных соответствующими органами управления методик и нормативов. При этом применяются единенные шкалы нормативов (ставок, коэффициентов, удельных цен) для рассматриваемых типов имущественных комплексов. Примером нормативно рассчитываемой стоимости является налогооблагаемая стоимость имущества предприятия. Налоговой базой для - исчисления налога на имущество предприятия служит среднегодовая остаточная- стоимость основных средств, нематериальных активов, запасов и затрат. Для расчета налогооблагаемой стоимости берутся отражаемые в активе баланса остатки по соответствующим счетам ,имущества предприятия бухгалтерского учета. Другой пример нормативно рассчитываемой стоимости _ определение стоимости земельного участка для исчисления земельного налога. Существуют утвержденные ставки налога в тенге с одного квадратного метра и корректирующие, коэффициенты, учитывающие различные характеристики земель или участков.
С точки зрения системы бухгалтерского учета различают стоимость балансовую, подразделяемую на первоначальную, восстановительную и остаточную.
Балансовая стоимость – затраты на строительство или приобретение элемента собственных основных средств предприятия, числящегося на его балансе.
Первоначальная стоимость отражается в учетных документах на момент ввода объекта в эксплуатацию на данном предприятии. Находящийся в эксплуатации объект имущества учитывается по первоначальной стоимости либо до момента, когда он подвергается реконструкции или модернизации, либо до момента официально назначенной переоценки фондов.
Восстановительная стоимость - стоимость воспроизводства ранее созданных основных средств в современных условиях. Оценщиком рассчитывается полная восстановительная стоимость элементов основных фондов методом замещения, то есть по современной рыночной стоимости аналогичных объектов.
Остаточная стоимость. Если из балансовой стоимости вычесть накопленную за период эксплуатации сумму износа, то получим остаточную стоимость. Остаточная. стоимость может иметь рыночный характер, если ее оценку ведут по ценам вторичного рынка.
В зависимости от порядка оценки различают стоимость воспроизводства и стоимость замещения.
Стоимость воспроизводства - стоимость точной копии оцениваемого объекта имущества, приобретаемого или воспроизводимого в настоящее время по действующим ценам и из тех же или очень похожих материалов.
Стоимость замещения - текущая стоимость производства аналогичного объекта собственности, эквивалентного по полезности оцениваемому объекту.
Различают.. стоимость имущественного комплекса продолжающего функционировать, и ликвидационную стоимость.
Стоимость имущественного комплекса, продолжающего функционировать – стоимость такого объекта купли-продажи, который после совершения сделки будет по-прежнему функционировать и приносить доход.
Ликвидационная стоимость представляет собой цену, с которой вынужден согласиться владелец при продаже имущества в срок меньше разумно приемлемого для рынка.
В зависимости. от ситуации оценки различают также несколько видов стоимости: инвестиционную, потребительную, страховую, утилизационную.
Инвестиционная стоимость- стоимость имущественного комплекса, если его рассматривать как инвестиционный вклад в реализацию какого-либо инвестиционного проекта.
Потребительная стоимость. Она отражает стоимость, или важность объекта собственности для конкретного владельца, который может и не иметь намерений выставлять его открытом рынке. Стоимость в использовании определяется как стоимость экономического товара для его владельца-потребителя и основана на эффективности его использования {в форме дохода, полезности, удобств).
Страховая стоимость - рыночная стоимость объекта, определяемая для целей страхования и отражаемая в страховом договоре.
Утилизационная стоимость -стоимость утилизируемых материальных активов, достигших. Предельного состояния вследствие полного износа или чрезвычайного события потерявших свою первоначальную полезность.
2.2 Принципы оценки стоимости
Можно выделить три группы принципов оценки:
основанные на представлениях собственника;
связанные с эксплуатацией собственности;
обусловленные действием рыночной среды.
Большое количество принципов не означает, что можно применить их все сразу. В каждом случае выделяются основные и вспомогательные принципы.
Когда речь идет о принципах, то появляются лишь основные закономерности поведения субъектов рыночной экономики. В реальной жизни целый ряд факторов может искажать их действие. К примеру, государственное вмешательство иногда искажает реализацию тех или иных принципов оценки.
Несовершенство рыночных отношений, характерное для этапа перехода к рыночной экономике, еще больше деформирует действие принципов оценки. По этим причинам принципы оценки отражают лишь тенденцию экономического поведения субъектов рыночных отношений, а не гарантируют такого поведения.
Вместе с тем, по мере развития в нашей стране рыночных отношений действие объективных принципов оценки бизнеса будет усиливаться.
Рассмотрим первую группу принципов.
Ключевым критерием стоимости любого объекта собственности является его полезность. Бизнес обладает стоимостью только в том случае, когда может быть полезен реальному потенциальному собственнику.
Полезность для каждого потребителя индивидуальна, но качественно и количественно определена во времени, в пространстве и стоимости. Однако как общую полезность объекта для собственника в рыночной экономике можно выделить его способность приносить доход.
Полезность бизнеса — это его способность приносить доход в данном месте и в течение данного периода времени. Чем больше полезность, тем выше величина оценочной стоимости.
Принцип полезности заключается в том, что чем больше предприятие способно удовлетворять потребность собственника, тем выше его стоимость.
С точки зрения любого пользователя оценочная стоимость предприятия не должна быть выше минимальной цены на аналогичное предприятие с такой же полезностью.
Кроме того, за объект не разумно платить больше, чем может стоить создание нового объекта с аналогичной полезностью в приемлемые сроки. И еще один аспект применения принципа полезности: если инвестор анализирует поток дохода, то максимальная цена будет определяться посредством изучения других потоков доходов с аналогичным уровнем риска и качества.
При этом замещающий объект не обязательно должен быть точной копией, но должен быть похож на оцениваемый объект, и собственник рассматривает его как желаемый заменитель.
Границы «пространства одинаково желаемых заменителей» определяются потребностями и желанием пользователя. Предположим, что некоторый субъект хочет приобрести в свою собственность кондитерское предприятие, производящее конфеты.
При этом он сравнивает цены на аналогичные предприятия с ценами на фабрики, производящие печенье, пряники, пастилу и хлеб. Кроме того, покупатель не всегда ограничен бизнесом одного и того же типа. Таким образом, можно выделить еще один методологический принцип оценки стоимости предприятия — это принцип замещения. Он определяется следующим образом: максимальная стоимость предприятия определяется наименьшей ценой, по которой может быть приобретен другой объект с эквивалентной полезностью.
Из принципа полезности вытекает еще один принцип оценки — принцип ожидания или предвидения.
Конечно, прошлое и настоящее бизнеса являются важным, однако его экономическую оценку определяет будущее. Прошлое и настоящее состояние бизнеса являются лишь исходной основой, ключом к пониманию будущего поведения.
Полезность любого бизнеса, предприятия определяется тем, во сколько сегодня оцениваются прогнозируемые будущие выгоды (доходы). На оценке предприятия непосредственно сказывается представление о чистой отдаче от функционирования предприятия и ожидаемая выручка от перепродажи.
При этом очень важна величина, качество и продолжительность ожидаемого будущего потока дохода. Однако ожидания относительно этого потока могут меняться. Принцип ожидания можно определить следующим образом. Ожидание — это определение текущей стоимости дохода или других выгод, которые могут быть получены в будущем от владения данным предприятием.
Вторая группа принципов оценки обусловлена эксплуатацией собственности и связана с представлением производителей.
Доходность любой экономической деятельности определяется четырьмя факторами производства: землей, рабочей силой, капиталом и управлением. Доходность бизнеса — это результат действия всех четырех факторов, поэтому стоимость предприятия как системы определяется на основе оценки дохода.
Для оценки предприятия нужно знать вклад каждого фактора в формирование дохода предприятия. Отсюда следует еще один принцип оценки — принцип вклада, который сводится к следующему: включение любого дополнительного актива в систему предприятия экономически целесообразно, если получаемый прирост стоимости предприятия больше затрат на приобретение этого актива.
Каждый фактор должен быть оплачен из доходов, создаваемых данной деятельностью. Поскольку земля физически недвижима, факторы рабочей силы, капитала и управления должны быть привлечены к ней. Это означает, что сначала должна быть произведена компенсация за эти факторы, и остаточная сумма денег идет в оплату пользования земельным участком ее собственнику.
Остаточная продуктивность может быть результатом того, что земля позволяет пользователю извлекать максимальные доходы или до предела уменьшать затраты. Например, предприятие будет оценено выше, если земельный участок будет обеспечивать более высокий доход, или если его положение позволяет минимизировать затраты. Остаточная продуктивность земельного участка определяется как чистый доход, отнесенный к земельному участку, после того как оплачены расходы на менеджмент, рабочую силу и эксплуатацию капитала. Это принцип остаточной продуктивности.
Факторы производства оцениваются не сами по себе, а с учетом периода их воспроизводства, места в обороте капитала. С этой точки зрения устаревшее технологическое оборудование потребует полной замены, оплаты демонтажа и монтажа нового оборудования, что должно учитываться при оценке стоимости предприятия.
И, наоборот, высококвалифицированный состав рабочей силы должен оцениваться с точки зрения изменения или неизменности вида производственной деятельности; высококвалифицированных работников, имеющих большой опыт работы на устаревшем оборудовании, труднее переучить. Все эти факторы должны быть учтены покупателем.
Изменение того или иного фактора производства может увеличивать или уменьшать стоимость объекта. Из этого важного положения экономической теории вытекает еще один принцип оценки бизнеса, содержание которого можно свести к следующему: по мере добавления ресурсов к основным факторам производства, чистая отдача имеет тенденцию увеличиваться быстрее темпа роста затрат, однако после достижения определенной точки общая отдача, хотя и растет, однако уже замедляющимися темпами.
Это замедление происходит до тех пор, пока прирост стоимости не станет меньше, чем затраты на добавленные ресурсы. Этот принцип базируется на теории предельного дохода и называется принципом предельной производительности.
Предприятие является системой, одной из закономерностей развития и существования которой является сбалансированность, пропорциональность ее элементов. Наибольшая эффективность предприятия достигается при объективно обусловленной пропорциональности факторов производства. Различные элементы системы предприятия должны быть согласованны между собой по пропускной способности и другим характеристикам. Добавление какого-либо элемента в систему, приводящее к нарушению пропорциональности, приводит к росту стоимости предприятия.
Итак, при оценке стоимости предприятия необходимо учитывать принцип сбалансированности (пропорциональности), согласно которому максимальный доход от предприятия можно получить при соблюдении оптимальных величин факторов производства.
Одним из важных моментов действия данного принципа является соответствие размеров предприятия потребностям рынка. Так, если предприятие является слишком большим для удовлетворения потребностей рынка, то его эффективность падает, особенно если затруднена доставка ресурсов или товаров.
Третья группа принципов напрямую обусловлена действием рыночной среды.
Ведущим фактором, влияющим на ценообразование в рыночной экономике, является соотношение спроса и предложения. Если спрос и предложение находятся в равновесии, то цены остаются стабильными и могут совпадать со стоимостью, особенно в условиях совершенного рынка.
Если рынок предлагает незначительное число прибыльных предприятий, т. е. спрос превышает предложение, то цены на них могут превысить их стоимость. Если на рынке имеет место избыток предприятий-банкротов, то цены на их имущество окажутся ниже реальной рыночной стоимости.
В долгосрочном аспекте спрос и предложение являются относительно эффективными силами в определении направления изменения цен. Но в короткие промежутки времени силы спроса и предложения могут и не иметь возможности эффективно работать на рынке имущества предприятий. Рыночные искажения могут быть следствием монопольного положения собственников. Кроме того, на этот рынок могут влиять государственные механизмы контроля. Например, органы власти могут установить контроль над продажей предприятий.
Как уже отмечалось, полезность определена во времени и пространстве. Рынок учитывает эту определенность, прежде всего, через цену. Если предприятие соответствует рыночным стандартам, характерным в данное время для данной местности, то цена на него будет колебаться вокруг среднерыночного значения; если же объект не соответствует требованиям рынка, то это, как правило, отражается через более низкую цену на данное предприятие.
С действием такой закономерности связан другой принцип — принцип соответствия, согласно которому предприятия, которые не соответствуют требованиям рынка по оснащенности производства, технологии, уровню доходности и т. д., скорее всего, будут оценены ниже среднего.
С принципом соответствия связаны принципы регрессии и прогрессии. Регрессия имеет место, когда предприятие характеризуется излишними применительно к данным рыночным условиям улучшениями. Рыночная цена такого предприятия вероятно не будет отражать его реальную стоимость и будет ниже реальных затрат на его формирование. Прогрессия имеет место, когда в результате функционирования соседних объектов, например, объектов, обеспечивающих улучшенную инфраструктуру, рыночная цена данного предприятия, скорее всего, окажется выше его стоимости.
На ценообразование влияет конкуренция. Если отрасль, в которой действует предприятие, приносит избыточную прибыль, то в свободной рыночной экономике в эту область пытаются проникнуть и другие предприниматели. Это увеличит предложение в будущем и снизит норму прибыли.
В настоящее время многие наши предприятия получают сверхприбыли только в результате своего монополистического положения и по мере обострения конкуренции их доходы будут заметно сокращаться. Отсюда вытекает, что при оценке стоимости предприятий следует учитывать степень конкурентной борьбы в данной отрасли в настоящее время и в будущем.
Содержание принципа конкуренции сводится к следующему: если ожидается обострение конкурентной борьбы, то при прогнозировании будущих прибылей данный фактор можно учесть либо за счет прямого уменьшения потока доходов, либо путем увеличения фактора риска, что опять же снизит текущую стоимость будущих доходов.
Стоимость бизнеса определяется не только внутренними факторами, но, во многом, — внешними. Стоимость предприятия, стоимость его имущества в значительной мере зависит от состояния внешней среды, степени политической и экономической стабильности в стране. Отсюда следует, что при оценке предприятия необходимо учитывать принцип зависимости от внешней среды.
Изменение политических, экономических и социальных сил влияет на конъюнктуру рынка и уровень цен. Вследствие этого стоимость предприятия изменяется.
Следовательно, оценка стоимости предприятия должна проводиться на определенную дату. В этом заключается суть принципа изменения стоимости. Из этого принципа следует, что для того, чтобы рассмотреть возможные способы использования данного предприятия, необходимо исходить из условий рыночной среды. Спрос на рынке, возможности развития бизнеса, местоположение и другие факторы определяют альтернативные способы использования данного предприятия.
При рассмотрении альтернатив развития может возникнуть вопрос об экономическом разделении имущественных прав на собственность, если таковое позволит увеличить общую стоимость. Экономическое разделение имеет место, если права на объект можно разделить на два или более имущественных интереса, в результате чего общая стоимость объекта возрастает. Принцип экономического разделения гласит, что имущественные права следует разделить и соединить таким образом, чтобы увеличить общую стоимость объекта.
Результатом такого анализа является определение наилучшего и наиболее эффективного использования собственности, иначе говоря, определение направления использования собственности предприятия, которое юридически, технически осуществимо и которое обеспечивает собственнику максимальную стоимость оцениваемого имущества.
В этом заключается принцип наилучшего и наиболее эффективного использования. Данный принцип применяется, если оценка проводится в целях реструктурирования. Если же целью оценки является определение стоимости действующего предприятия без учета возможных изменений, то данный принцип не применяется.
Обобщим выше изложенное:
Основные общеэкономические принципы связанные с:
представлением владельца об имуществе;
рыночной средой;
эксплуатацией имущества.
Принципы, связанные с представлением владельца об имуществе
Данная группа включает принцип полезности, замещения, ожидания.
Принцип полезности. Объект собственности не может иметь стоимости, если он не вызывает желания владеть им, поэтому имущественный комплекс обладает стоимостью только тогда, когда он полезен потенциальному собственнику, то есть способен удовлетворить его потребности в течение определенного времени.
Принцип замещения. Все объекты собственности; несмотря на их разнообразие, являются сопоставимыми с точки зрения своей способности удовлетворять определенные потребности владельца или приносить ему доход. Никто не заплатит за объект собственности больше суммы затрат на его восстановление.
Принцип ожидания. Инвестор вкладывает средства в объект сегодня, так как ожидают от объекта собственности получения потока доходов в будущем.
Принципы, связанные с рыночной средой
Принцип соответствия между, спросом и предложением. Изменение цен на имущество зависит от изменения величины спроса и величины предложения.
Основные закономерности:
если спрос постоянен, а предложение увеличивается, то цены уменьшаются;
если спрос постоянен, а предложение уменьшается, то цены увеличиваются;
если предложение. постоянно, а спрос растет, то цены растут
если предложение постоянно, а спрос уменьшается, то цены уменьшаются
Цена стабильна тогда, когда между спpосом. И предложением на рынке устанавливается соответствие.
Принцип конкуренции. .Конкуренция на рынке недвижимости возникает среди покупателей, продавцов, арендаторов и арендодателей, которые заключают сделки о купле-продаже имущества или арендный договор. Каждый объект собственности конкурирует с другими объектами имеющими аналогичное функциональное назначение. Прибыль порождает конкуренцию, а избыточная прибыль имеет тенденцию стимулировать разрушительную конкуренцию. Прибыль определяется как часть чистого дохода, произведенного объектом собственности сверх издержек на рабочую силу, капитал, управление и землю (то есть факторы производства). Отсутствие конкуренции создает монополистическую ситуацию.
Принцип изменения стоимости. Объекты собственности постоянно претерпевают изменения. Они изнашиваются, изменяется техника, технология, сырьевая база. Характер использования земли изменяется под влиянием государства и частного сектора. Экономические условия открывают новые возможности, колеблются объем денежной массы и процентные ставки.
Принципы, связанные с эксплуатацией имущества
Принцип факторов производства, Имущественный комплекс является производственной системой, доходность которой определяется четырьмя факторами: менеджментом, трудом, капиталом и землей.
Принцип остаточной продуктивности. В основе стоимости земли лежит его остаточная продуктивность. Любой вид экономической деятельности требует наличия следующих факторов: менеджмента, труда, капитала и земли. Каждый фактор должен быть оплачен из чистых доходов.
Принцип вклада. Вклад - сумма прироста стоимости хозяйственного объекта в результате внесения какого-либо нового фактора, а не фактические затраты на сам этот фактор.
Принцип сбалансированности. Максимальная стоимость объекта собственности достигается или сохраняется тогда, когда факторы производства экономически сбалансированы. Стоимость объекта собственности зависит от сбалансированности четырех элементов: ренты, труда (заработной платы), капитала (инвестиций, вклада), координации управления (менеджмента).
Определение принципа: любому объекту собственности соответствуют оптимальные суммы различных факторов производства при сочетании которых достигается максимальная стоимость имущества.
Принцип наиболее эффективного использования - синтез всех трех групп принципов, которые были рассмотрены. Из возможных вариантов выбирается вариант наилучшего и наиболее эффективного использования имущественного комплекса, который физически возможен, достаточно обоснован и финансово осуществим, при котором наиболее полно реализуются функциональные возможности имущественного комплекса, который приводит к наивысшей стоимости объекта. Именно этот вариант используется для оценки стоимости.
2. 3 Факторы, влияющие на стоимость имущества предприятия
Факторы
Характеристики
Физические, окружающая среда, местоположение
Местоположение: климат, ресурсы, топография, грунты, почва; по отношению к деловому центру, местам приложения труда, жилым территориям, автодороге, железной дороге, побережью, зеленым массивам, коммунальным учреждениям; состояние дорог и т. д.
Собственно участка: размеры, форма, площадь, топография, подъезды, благоустройство, вид использования по зонированию, сервитут, общий вид, привлекательность, и т.д.
Зданий и сооружений: количество; тип, год, качество постройки; стиль, планировка, конструкции и т.д.
Экономические
Общее состояние мировой экономики; экономическая ситуация в стране, регионе, местном уровне; финансовое состояние предприятий
Спроса: уровень занятости, величина заработной платы и доходов, платежеспособность, наличие источников финансирования, ставка%, ставка арендной платы, издержки при формировании продаж
Предложения: площадь имеющейся на продажу земли; количество объектов, выставленных на продажу; затраты на СМР; затраты на обеспечение финансирования; налоги
Социальные
Базовые потребности в приобретении земли, объектов недвижимости, предприятий
Базовые потребности в общении с окружающими, отношение к соседним объектам и их владельцам, чувство собственности
Тенденции изменения численности населения, размера семьи, омоложение или старение
Тенденции изменения образовательного уровня, уровня преступности
Стиль жизни, уровень жизни
Административные
(политические),юридические
Налоговая, финансовая политика
Предоставление разного рода льгот
Контроль землепользования, ставок арендной платы
Зонирование: запретительное, ограниченное или либеральное
Строительные нормы и правила: ограничительные или либеральное
Услуги муниципальных служб: дороги, благоустройство, инженерное оборудование, общественный транспорт, школы, охрана здоровья и безопасность, противопожарная служба
Контрольные тесты:
1. Что может быть объектом оценки?
1)все перечисленное
2)природные ресурсы;
3)инвестиционные проекты;
4)бизнес;
5) недвижимость;
2. Чем обусловлена потребность в оценке стоимости объектов и прав собственности?
всем перечисленным
возникновением и развитием фондового рынка;
развитием системы страхования;
переходом коммерческих банков к выдаче кредитов под залог имущества;
процессами приватизации;
3. Максимальная стоимость объекта определяется наименьшей ценой, по которой может быть приобретен другой объект с эквивалентной полезностью – это…..
принцип замещения;
принцип полезности;
принцип остаточной стоимости;
принцип ожидания;
принцип изменения стоимости.
4. Что из ниже перечисленного не соответствует определению ликвидационной стоимости:
стоимость, учитывающая индивидуальные требования конкретного инвестора;
стоимость, рассчитанная на основе реализации активов предприятия;
разность между выручкой от продажи активов предприятия по отдельности;
стоимость, рассчитанная по конкретному факту;
стоимость, рассчитанная для предприятия, которое находится в состоянии банкротства.
5.Стоимость имуществом за вычетом суммы накопленного износа на определенную дату называется?
1)остаточной
2)рыночной
3)ликвидационной
4)балансовой
5)среди предъявленных ответов нет правильного
Глава 2. Временная оценка денежных потоков
Стоимость собственности, приносящей доход, определяется текущей стоимостью денежных потоков, которые ожидается получать в различные периоды времени в будущем.
Временная теория стоимости денег исходит из предположения, что деньги, являясь товаром, со временем меняют свою стоимость и, как правило, обесцениваются. Изменения со временем стоимости денег происходят под влиянием целого ряда факторов. Важнейшими факторами можно назвать инфляцию и способность денег приносить доход при условии их разумного инвестирования в альтернативные проекты. Следует особо подчеркнуть, что денежные суммы имеют неодинаковую стоимость во времени даже в отсутствие инфляции. Например, сегодняшняя ценность 10 тысячи тенге которая лежит у вас в бумажнике, и 10 тысячи тенге, которая будет вам выплачена в виде заработной платы через 1 месяц, неодинакова, хотя номинально суммы равны. Имеющуюся тысячу вы можете сегодня поместить на срочный депозит в банк (или инвестировать в любой приносящий доход актив) и спустя месяц получить доход от процентов, скажем, 500 тенге. Отсюда важное правило: чем дальше в будущем отстоят от нас предполагаемые денежные суммы, тем меньше их сегодняшняя ценность. Для правильного и точного определения стоимости денег во времени необходимо учитывать ряд факторов: (1) номинальные денежные суммы; (2) сроки инвестирования (накопления дохода); (3) периодичность начисления процентов (дохода); (4) ставку дохода (ее могут называть ставкой или нормой процента, а также ставкой или нормой дисконтирования – это все синонимы).
2.1.Будущая стоимость единицы (накопленная сумма единицы)
Данная функция позволяет определить будущую стоимость суммы, которой располагает инвестор в настоящий момент, исходя из предполагаемой ставки дохода, срока накопления и периодичности начисления процентов. Различают технику простого и сложного процента.
Простой процент начисляется только один раз в конце срока депозитного договора.
Пример:
Вклад в 10.000 долл. внесен на счет под 12% годовых. Какая сумма будет на счете к концу второго года?
10.000*(1+0,12*2)=12,400
Сложный процент предполагает начисление процентов не только на сумму первоначального взноса, но и на сумму процентов, накопленных к концу каждого периода.
Рассмотрим процесс накопления в динамике.
Год
Накопленная сумма (долл.)
1.
10.000*112%=11.200
2.
11.200*112%=12.544
Базовая формула для расчета будущей стоимости:
где
FV - будущая стоимость (стоимость в какой-то определенный момент времени в будущем);
PV - текущая стоимость (стоимость на сегодняшний день; в практическом смысле – на дату оценки)
i - ставка процента
n - число периодов начисления процентов
При PV=1, формула имеет вид:
На данном рисунке показана известная нам величина текущей стоимости PV=1, горизонтальная ось изображает срок накопления денежных сумм, а на момент времени n показана неизвестная нам будущая стоимость FV, которую можно определить по указанной формуле.
Поскольку сложный процент применяется очень часто и широко, были разработаны стандартные таблицы, содержащие предварительно рассчитанные факторы сложного процента. Фактором называется число, которое, будучи перемноженным на заданное число, дает искомый результат. В таблице факторы будущей стоимости показаны в колонке 1.
Более частое начисление процента.
Нередко период накопления короче года. Начисление процентов может происходить раз в полгода, в квартал, раз в месяц и т. д. В данном случае необходима корректировка базовой формулы будущей стоимости. При корректировке число лет, на протяжении которых происходит накопление, умножается на частоту начисления процентов в течение одного года, а номинальная ставка процента делится на частоту начисления.
FV=PV*(1+i/m)n*m, где
m - частота начисления процента
Пример:
На вклад в 10.000 долл. процент начисляется раз в квартал. Годовая ставка процента равна 12. Какая сумма будет на счете в конце второго года?
10.000*(1+0,12/4)2*4=10.000*1,2668=12.668
Вопросы для контроля
1. Стоимость земельного участка, купленного за 20.000 долл., повышается на 15% в год (по сложному проценту). Сколько он будет стоить через пять лет?
Ответ:
20.000*2,011357=40.227,14
2.2. Текущая стоимость единицы
Текущая стоимость единицы – это величина, обратная накопленной сумме единицы. Это сегодняшняя стоимость единицы, которая должна быть получена в будущем.
Процесс определения текущей стоимости единицы (его также называют дисконтированием; не путать с дисконтом – скидкой!) аналогичен процессу накопления дохода от процентов, но имеет обратную направленность во времени: от будущего к настоящему. То есть мы определяем, сколько нужно сегодня вложить в приносящий периодический доход от процентов актив, чтобы в конкретный момент времени в будущем получить заранее заданную сумму. При определении текущей стоимости ставку процента, по которой начисляется периодический доход, чаще называют ставкой дисконтирования.
Функция текущей стоимости единицы дает возможность определить стоимость суммы в данный момент, если известна ее величина в будущем, число периодов и ставка процента.
где
PV - текущая стоимость;
FV - будущая стоимость;
i - ставка процента (ставка дисконтирования)
n - число периодов начисления процентов
Фактор текущей стоимости единицы в таблице показан в колонке 4.
При FV =1, формула имеет вид
Данный рисунок иллюстрирует известную будущую стоимость FV=1 в момент времени n. Требуется определить неизвестную текущую стоимость PV в нулевой момент времени, то есть на сегодняшний день.
Пример:
При 10%-ой ставке процента текущая стоимость 100.000 долл., ожидаемых к получению через год, равна?
100.000*0,909091=90909,1
Проверка:
Если сегодня инвестор вкладывает 90909,1 долл. и в течение следующего года может получить чистый доход в 10%, т. е. 9090,91, то через год его капитал будет составлять 100.000 долл. (90909,1+9090,91)
Вопросы для контроля
3. Какую сумму следует сегодня депонировать в банке, начисляющем 12% годовых при ежемесячном накоплении, для того, чтобы через 4 года получить 10.000 долл.?
Ответ:
10.000*0,62026=6202,6
4. Сколько надо положить на счет в банке под 20% годовых, чтобы через десять лет купить квартиру за 120.000 долл.?
Ответ:
120.000*0,161506=19380,72
2.3.Текущая стоимость аннуитета
Аннуитет - это денежный поток, в котором равные суммы выплачиваются через одинаковые промежутки времени. Различают аннуитет обычный и авансовый. Обычный - возникает в конце периода начисления процентов, а авансовый - в начале.
Текущая стоимость обычного аннуитета при заданной ставке дисконтирования может быть рассчитана путем оценки каждого платежа в отдельности. При этом сумма каждого платежа умножается на соответствующий фактор текущей стоимости единицы. Текущая стоимость аннуитета обозначается а(n,i).
На рисунке показано как несколько аннуитетных платежей, по отдельности равных 1, преобразуются в неизвестную величину текущей стоимости аннуитета на нулевой момент времени.
Пример:
Ежегодный платеж по аренде составляет 300.000 долл. Ставка дисконтирования равна 10%. Какова текущая стоимость платежей за пять лет?
Решение:
Текущая стоимость аннуитета равна
300000*3,7908=1137240 долл.
Авансовый аннуитет
Для того, чтобы фактор обычного аннуитета превратить в фактор авансового аннуитета, необходимо взять фактор обычного аннуитета для потока доходов, укороченного на один период, и добавить к нему единицу. При добавлении единицы учитывается первое поступление, которое не следует дисконтировать. При сокращении потока на один период во внимание принимается текущая стоимость остальных платежей.
Пример: На протяжении четырех лет уплачивается арендная плата в сумме 3.000 долл. Платеж осуществляется в начале каждого года. Ставка дисконта равна 15%. Определить текущую стоимость арендных платежей.
Решение: 3000*(2,28323+1) = 9849,69 долл.
Вопросы для контроля
5. Какова текущая стоимость ипотечного кредита, предусматривающего выплату 1000 долл. в конце каждого года на протяжении 5 лет? Ставка дисконта равна 10%
Ответ: 1000*3,79079=3790,79
6. Ежемесячные платежи по аренде поступают в начале каждого месяца в размере 5000 долл. Приемлемая годовая ставка дисконта - 15%. Какова текущая стоимость платежей за 8 месяцев?
Ответ: 5000*(6,66273+1) = 38313,65
Использование двух факторов
Доход, ожидаемый от собственности, часто состоит из двух частей:
1. поток доходов от текущей деятельности;
2. единовременная сумма от перепродажи актива.
Оценка инвестиционной привлекательности требует в ряде случаев дифференциации ставок дисконта в зависимости от уровня риска тех или иных операций. Учет различий в уровне риска требует от оценщика использования соответствующих ставок дисконта.
Пример: Владелец бензоколонки предполагает в течение пяти лет получать ежегодный доход в сумме 30.000 долл. В конце пятого года он планирует продать бензоколонку за 100.000 долл.
Прогнозирование доходов от эксплуатации собственности имеет большую степень точности, чем прогнозирование цены продажи, поэтому ставки дисконта равны соответственно 10% и 15%.
Определить текущую стоимость совокупного дохода от бензоколонки.
Решение:
1. Текущая стоимость потока дохода от эксплуатации
30.000*3,79079=113.723,7 долл.
2. Текущая стоимость дохода от продажи
100.000*0,49718 = 49.718 долл.
3. Текущая стоимость совокупного дохода
113.723,7 + 49.718 = 162.441,7 долл.
Потоки доходов от собственности могут увеличиваться или уменьшаться. Оценка повышающихся или снижающихся потоков доходов с использованием сложного процента может быть проведена различными путями.
Пример: Аренда магазина принесет его владельцу в течение первых трех лет ежегодный доход в 750.000 долл. В последующие пять лет доход составит 950.000 долл. в год. Определить текущую стоимость совокупного дохода, если ставка дисконта равна 10%.
Решение:
Вариант №1
В данном случае текущая стоимость совокупного дохода равна текущей стоимости потока доходов в 750.000 долл. за первые три года и потока доходов в 950.000 долл. за последующие пять лет.
1. Рассчитаем текущую стоимость арендных платежей за первые три года.
750.000*2,48685 = 1.865.137 долл.
2. Определим текущую стоимость арендной платы за последующие пять лет. Фактор текущей стоимости аннуитета в этом случае будет равен разности факторов, соответствующих рыночному и начальному периоду возникновения измененной суммы арендной платы по отношению к текущему, т. е. нулевому периоду. Повышенная аренда поступала с конца третьего по конец восьмого периода, следовательно в расчетах должны быть использованы факторы - 2,48685 и 5,33493.
950.000 *(5,33493-2,48685)=2.705.676 долл.
3. Суммарная текущая стоимость арендной платы
1.865.137 + 2.705.676 = 4.570.813 долл.
Вариант №2
арендная плата
Текущая стоимость суммарного потока доходов равна разности потока доходов в 950.000 долл., полученного за все восемь лет, и несуществующего потока доходов в 200.000 долл. (950-750) за первые три года.
Решение:
1. Рассчитаем текущую стоимость дохода от аренды, исходя из предположения, что все 8 лет она составляла ежегодно 950 тыс. долл.
950.000*5,33493 = 5.068.184 долл.
2. Рассчитаем текущую стоимость завышенной суммы аренды, которая существовала три года.
200.000*2,48685 = 497.370 долл.
Текущая стоимость арендной платы за 8 лет составляет
5.068.184 – 497.370 = 4.570.814 долл.
Вариант №3
арендная плата
Этот вариант решения предполагает, что текущая стоимость совокупного дохода равна сумме дохода в 750.000 долл. за восемь лет и превышения в 200.000 долл., достигнутого в последние пять лет аренды.
Решение:
1. Рассчитаем текущую стоимость доходов от аренды в 750.000 долл. за восемь лет.
750.000*5,33485 = 4.001.137 долл.
2. Рассчитаем текущую стоимость дополнительного дохода от аренды, полученного за последние пять лет.
200.000*(5,33485-2,48685) = 569.600 долл.
3. Текущая стоимость полученной арендной платы
4.001.137 + 569.600 = 4.570.737 долл.
Если полученные результаты имеют некоторые расхождения, то это является следствием округлений, допускаемых при расчетах.
2.4. Взнос на амортизацию единицы
Данная функция используется для определения величины одного аннуитетного платежа при известной текущей стоимости серии таких платежей. (На практике это нужно для расчета величин платежей по ипотечным кредитам, погашаемым равными выплатами). Эта функция является обратной функции текущей стоимости аннуитета. Величина искомого платежа обозначается как РМТ. Если известна основная сумма кредита (текущая стоимость серии платежей на момент “0”), следует использовать обратную формулу 1/a(n,i) для расчета величины одного платежа PMT- денежной суммы, которую необходимо вносить в конце каждого периода времени для того, чтобы выплатить весь кредит с учетом процентов. Кредит будет погашаться или “амортизироваться” равными платежами. Величина РМТ=1/ a(n,i) называется взносом на амортизацию единицы.
Текущую стоимость PV=1 можно рассматривать как сумму, “превращающуюся” в серию платежей, каждый из которых равен 1/ a(n,i). Предположим, что на счет в банке положена сумма, равная 1, при условии накопления i% за каждый период. В конце периода 1 сумма равная 1/ a(n,i), может быть снята со счета, а на остаток на счете будет начисляться процент. Аналогично, в конце периода 2 со счета может быть снята сумма, равная 1/ a(n,i), и так далее, включая период n. В конце периода n, когда будет произведен последний платеж, равный 1/ a(n,i), остаток на банковском счете будет равен 0.
В таблицах данный фактор показан в колонке 6.
Таблицы амортизации
Рассмотрим кредит, основная сумма которого равна PV, и который должен быть погашен равными платежами PMT=PV/ a(n,i) за периоды 1, 2, ..., n. Каждый платеж, включает выплату как процентов, так основной суммы займа. Процентные выплаты будут направляться на обслуживание долга; они не уменьшают остаток основной суммы кредита. Остальная часть платежа пойдет на выплату (сокращение) основной суммы долга. Какую часть платежа составляет выплата процента, и какую часть - выплата основной суммы долга?
Наиболее распространенный способ определения структуры платежа по кредиту заключается в том, что из него вычитается процент, подлежащий выплате в данный период, а оставшаяся часть платежа считается равной выплате основной суммы кредита.
Предположим, что Bal(k) - это остаток по кредиту после того, как в конце периода k был произведен очередной платеж. Начальная сумма кредита Bal(0)=PV. В конце первого периода должен быть выплачен процент по кредиту в сумме, равной i*PV=i Bal(0). Если из периодичного платежа PMT вычесть процентные выплаты iBal(0), то получим часть платежа, идущую на погашение основной суммы долга. Новый остаток по кредиту на конец первого периода (начало второго периода) будет равен первоначальному остатку за вычетом выплат основной суммы долга, т. е. Bal(1)= Bal(0)-(PMT-i Bal(0)). В целом, процент, который должен быть выплачен по кредиту в конце периода k, равен i Bal(k-1), поэтому за период k основной долг уменьшится на следующую величину:
PR(k)=PMT-i Bal(k-1)
Где PR (k) – выплата основной суммы долга за период k
Новый остаток в конце периода k будет равен:
Bal(k)= Bal(k-1)-PR(k)= Bal(k-1)-(PMT-i Bal(k-1))
Последний платеж в конце периода n сведет остаток долга к нулю, т. е. PR(n)= Bal(n-1) и Bal(n)=0.
Расчет структуры периодического платежа обычно проводится в следующей форме:
ТАБЛИЦА АМОРТИЗАЦИИ/ГРАФИК ПОГАШЕНИЯ КРЕДИТА
Период
Остаток на начало периода
Платеж
Выплаты процента
Выплаты основной суммы долга
Остаток на конец периода
1
PV
PMT
iPV
PMT-iPV
Bal(1)
2
Bal(1)
PMT
i Bal(1)
PMT-i Bal(1)
Bal(2)
...
...
...
...
...
...
n-1
Bal(n-2)
PMT
i Bal(n-2)
PMT-i Bal(n-2)
Bal(n-1)
n
Bal(n-1)
PMT
i Bal(n-2)
PMT-i Bal(n-1)
0
Вопросы для контроля
7. Какими должны быть ежегодные платежи по ипотеке в 100.000 долл. при 12% годовых ? Выплата производится раз в год, срок погашения кредита 25 лет.
Решение:
100.000*0,1275=12750
8. Рассчитать ежемесячные платежи в погашение кредита, предоставленного в сумме 2.500.000 тенге. на два года при номинальной годовой ставке 96%.
Решение:
n=2*12=24
i=96:12=8
0,094978*2500=237.445
9. Каким должен быть ежегодный платеж в погашение 1000-долларового кредита, предоставленного под 10% годовых на четыре года? Составьте график амортизации.
Решение:
1000*0,3154708=315,4708
Период
Остаток на начало периода
Платеж
Выплаты процента
Выплаты основной суммы долга
Остаток на конец периода
1.
1000
315,4708
100
215,4708
784,5292
2.
784,5292
315,4708
78,45,92
237,0179
547,5113
3.
547,5113
315,4708
54,75113
260,7197
286,7916
4.
286,7916
315,4708
28,67916
286,7916
0
2.5. Накопление единицы на период (будущая стоимость аннуитета)
Предположим, что вместо рассмотрения текущей стоимости серии равновеликих платежей, нужно знать будущую стоимость, которая должна быть получена в конце периода n за счет внесения равных платежей через промежутки времени t=1, 2, ..., n. Данная практика депонирования равных взносов на протяжении серии временных периодов и накопления их до определенной будущей суммы, называется формированием “фонда возмещения”. Каждая денежная сумма, положенная на соответствующий счет, будет в течение n периодов накапливаться в будущую стоимость, а сумма этих будущих стоимостей и будет общей накопленной стоимостью фонда возмещения. Если каждый платеж в фонд равен единице, то общая будущая сумма называется накоплением единицы за период и обозначается s(n,i).
Поскольку формула накопления единицы за период просто обозначает текущую стоимость единичного аннуитета как будущую стоимость в конце периода n, то мы получаем:
В таблице данный фактор показан в колонке 2.
Рисунок иллюстрирует накопление искомой будущей стоимости аннуитета s (n,i) в момент времени n, складывающейся из отдельных аннуитетных платежей, каждый из которых равен 1.
Вопросы для контроля
10. Молодожены накапливают деньги для первоначального взноса за дом. Если в конце каждого месяца они будут вносить 100 долл. на банковский счет, приносящий 10% годовых при ежемесячном начислении процентов, то сколько средств у них будет через пять лет?
Ответ: 100*77,437072=7743,7072
11. На сберегательный депозит в банке под 9% годовых с ежемесячным начислением процентов в начале каждого месяца вносится по 1500 долл. Определить, какая сумма будет на счету к концу четвертого месяца.
Ответ: 4,022556*1500=6034
2.6. Фактор фонда возмещения
Фактор фонда возмещения определяет величину аннуитетного платежа, необходимого для получения заданной будущей стоимости. Эта функция является обратной функции накопления единицы за период. Для получения обратной функции нам известна необходимая стоимость накопленного фонда FV в конце периода n; мы рассчитываем величину периодического платежа PMT для накопления фонда возмещения за периоды 1, 2, ..., n до желаемой величины, равной FV. Этот платеж называется фактором фонда возмещения и обозначается SFF:
Фактор фонда возмещения SFF “дисконтирует” будущую стоимость фонда возмещения FV обратно в серию равновеликих платежей. Если в конце периода n вы ожидаете получить сумму, равную единице, то это будет эквивалентно получению серии равных платежей SFF=s(n,i) за периоды 1, 2, ..., n.
В таблице данный фактор показан в колонке 3.
Вопросы для контроля
12. Какую одинаковую сумму необходимо ежегодно в течение пяти лет откладывать в банк, начисляющий 10% годовых, чтобы купить квартиру за 300 тыс. долл.?
Ответ:
0,1637975*300.000=49139,25
13. Господин Каймакбаев Д. предполагает через пять лет купить гараж за 16 000 тыс. тенге. Какую сумму необходимо в конце каждого года откладывать в банк под 10%, если первоначальный взнос составил 4000 тыс. тенге.?
Ответ:
1. 4000*1,611051=6442040
2. 16.000.000-6442040=9557690
3. 9557690*0,1637975= ?
2.7. Взаимосвязь между различными функциями
Расчет факторов всех шести функций основан на использовании базовой формулы сложного процента. Главным условием, обеспечивающим математическую взаимосвязь между функциями, является предположение, что начисленный процент не снимается с депозитного счета и капитализируется.
Основная функция
Обратная функция
Будущая стоимость единицы (колонка 1)
Текущая стоимость единицы (кол. 4)
PV=1/ (1+i)^n
Накопление единицы за период (будущая стоимость аннуитета) (кол. 5)
Фактор фонда возмещения (кол. 2)
Текущая стоимость аннуитета (кол. 5)
Взнос на амортизацию единицы (кол. 6)
Сумма фактора фонда возмещения (кол. 3) и ставки периодического процента равна взносу на амортизацию единицы (кол. 6). Это соотношение показывает, что взнос на амортизацию единицы является суммой двух элементов: доход на инвестиции и возврат инвестированных средств. Рассчитывая платежи по кредиту на основе взноса на амортизацию единицы, заемщики выплачивают в течение срока кредита основную сумму плюс процент. В том же случае, когда выплачивается лишь процент, однако основная сумма долга не погашается вплоть до истечения срока кредита, заемщик может вносить в каждый период на отдельный счет определенную сумму рассчитанную по фактору фонда возмещения. С учетом того, что фонд возмещения приносит процент по той же ставке, что и полученный кредит, по окончании срока последнего остаток фонда возмещения может быть использован для погашения остатка задолженности.
Взнос на амортизацию единицы (кол. 6) соотносится со ставкой процента таким образом, что взнос должен всегда превышать периодическую ставку процента вне зависимости от срока кредита. В том случае, если каждый платеж по кредиту не превышает обязательный периодический процент, кредит не будет погашен периодическими платежами.
Аналогично текущая стоимость обычного аннуитета (кол. 5) никогда не может превысить фактор, равный частному от деления денежной единицы на периодическую ставку процента.
Контрольные тесты:
1. Какая функция показывает равновеликий периодический платеж, необходимый для полной амортизации кредита?
взнос за амортизацию денежной единицы
накопленная сумма единицы;
накопление единицы за период;
фактор фонда возмещения;
текущая стоимость обычного аннуитета;
2. Как называется денежный поток, в котором все суммы равновеликие?
аннуитет;
актив;
пассив;
рента;
дисконтирование
3.Что такое аннуитет?
денежный поток, в котором все суммы равновеликие;
вероятность получения в будущем дохода;
денежный поток, в котором все суммы различаются по величине;
денежный поток, в котором все суммы возникают через равновеликие отрезки времени;
процентное соотношение между денежным потоком и чистым доходом.
4. Что такое ликвидность?
возможность быстрого превращения активов предприятия в денежные средства;
обеспеченность запасов и затрат собственными источниками;
количество оборотов дебиторской задолженности за год;
эффективность хозяйственной деятельности предприятия;
соотношение между собственными и заемными средствами.
5. Укажите единственно верное утверждение о дисконтировании.-
позволяет рассчитать настоящую(приведенную) стоимость при заданном периоде, процентной ставке и конкретной сумме;
сумма, возникающая в определенной хронологической последовательности;
вероятность получения в будущем дохода;
доход, получаемый ежегодно при вложении капитала;
Глава 3. Технология оценки стоимости предприятия
Процесс оценки – это последовательность действий, выполняемых в ходе определения стоимости. Оценка стоимости бизнеса – сложный и трудоёмкий процесс, состоящий из нескольких этапов. Его можно разделить на следующие стадии:
1. Определение проблемы.
2. Предварительный осмотр объекта и заключение договора на оценку.
3. Сбор и анализ данных.
4. Применение трёх подходов к оценке объекта.
5. Согласование результатов, полученных с помощью различных подходов.
6. Подготовка отчёта и заключения об оценке.
Рассмотрим основные и наиболее важные этапы проведения оценки недвижимости. Соблюдение всех необходимых условий процесса оценки приводит к наилучшим результатам.
1 Этап. Определение проблемы. Задача оценки объекта недвижимости определяется четырьмя составляющими, к числу которых относятся идентификация объекта или объектов, которые подлежат оценке; определение оцениваемых прав собственности; определение цели проведения оценки; установление даты, на которую производится оценка.
1. Идентификация объекта недвижимости. При идентификации объекта недвижимости указываются его наименование, инвентаризационный номер, местоположение и другие реквизиты, и фактические характеристики.
2. Выявление предмета оценки. Важнейший момент при осуществлении оценки объекта недвижимости – выявление предмета оценки, то есть того, что подлежит оценке, - весь комплекс имущественных прав на недвижимость или некоторые имущественные права.
3. Определение даты оценки. Дата оценки – это момент времени, в который выполняется оценка. С течением времени стоимость объектов недвижимости изменяется. Например, существуют сезонные колебания цен на недвижимость в зависимости от времени года. Причём изменения в короткие промежутки времени могут быть значительными. В связи с этим необходимо установить с самого начала дату оценки. Это может быть дата его осмотра, дата судебного разбирательства, связанного с разделением имущественного комплекса.
Дата оценки стоимости объекта важна также при использовании сравнительного подхода к оценке, когда стоимость оцениваемого объекта сравнивается с данными сопоставимых сделок. Используя данные по сопоставимым объектам, важно знать дату их оценки. В случае если оценка объекта недвижимости производится в связи с судебным разбирательством, например в связи с неплатёжеспособностью предприятия, дату оценки может определить суд.
4. Формулирование цели и функции оценки. Определение цели оценки – очень важный этап. От цели оценки зависит выбор её методики. Неправильно сформулированная цель влечёт за собой использование неадекватной методики оценки и ошибочный результат. В связи с этим в отчёте по оценке необходимо указать, что данная оценка действительна лишь для цели или целей, указанных в данном отчёте. Использование полученных результатов в других целях некорректно. Например, методы оценки объекта недвижимости для налогообложения имущества отличаются от методов, используемых для оценки при его ликвидации.
Цель оценки определить вид стоимости, которую требуется определить. Функция оценки – это сфера её последующего использования. Например, оценка необходима для помощи продавцу или покупателю в определении цены объекта недвижимости.
5. Ознакомление заказчика с ограничительными условиями. На первой стадии оценки необходимо ознакомить заказчика с основными ограничительными условиями, которые сопровождают оценку стоимости объекта недвижимости. Они формулируются для защиты интересов заказчика и эксперта-оценщика. Часть их при необходимости следует отражать в отчёте об оценке, чтобы избежать в будущем в отношениях между заказчиком и экспертом-оценщиком конфликтных ситуаций.
Ниже приведены некоторые основные ограничительные условия оценки стоимости объектов недвижимости.
1. При подготовке отчёта об оценке объекта используются прогнозные данные о будущих прибылях и амортизационных отчислениях, полученные от заказчика.
2. Финансовые и технико-экономические характеристики объекта, используемые в оценке, берутся или рассчитываются на основе бухгалтерской отчётности без проведения специальной аудиторской проверки её достоверности и инвентаризации имущества.
3. В процессе оценки специальная юридическая экспертиза документов, касающихся прав собственности на оцениваемые объекты, не проводится.
4. Прогнозы, содержащиеся в отчёте, основаны на текущих рыночных условиях и предполагаемых краткосрочных факторах, влияющих на изменение спроса и предложения и сохраняющихся в прогнозный период экономической ситуации. Однако эти прогнозы подвержены изменениям из-за меняющихся условий в будущем.
5. Данная оценка действительна лишь на дату оценки, указанную в данном отчёте, и для целей, указанных в нём.
6. Заказчик гарантирует: любая информация, суждения, аналитические разработки эксперта-оценщика и другие материалы настоящего отчёта будут использованы им исключительно в соответствии с целями задания на оценку.
7. Эксперт-оценщик и заказчик гарантируют конфиденциальность информации, полученной ими в процессе оценки объекта недвижимости, за исключением случаев, предусмотренных действующим законодательством РК.
8. Отчёт об оценке должен рассматриваться как ограниченное исследование, в котором эксперт-оценщик не соблюдал всех требований к оценке, предусмотренных стандартов по оценке.
9. Заключение и отчёт об оценке объекта недвижимости представляют собой точку зрения эксперта-оценщика без каких-либо гарантий с его стороны в отношении последующей реализации имущества.
10. Эксперт-оценщик не представляет никаких гарантий и обязательств по поводу сохранности имущества и отсутствия нарушений действующего законодательства.
11. Заказчик обеспечивает эксперта-оценщика всей необходимой для оценки информацией, включая технический паспорт объекта, балансовые отчёты и отчеты о результатах деятельности за последние четыре года, текстами договоров с третьими лицами, документами, подтверждающими право собственности на имущество, и другими документами. Эксперт- оценщик имеет право получать требуемую для оценки информацию об объекте недвижимости непосредственно в государственных органах управления.
При невозможности получить в полном объёме документы и информацию, необходимые для оценки, в том числе от третьих лиц, эксперт- оценщик должен отразить это в своём отчёте. Эксперт-оценщик не несёт ответственности за выводы, сделанные на основе документов и информации, содержащих недостоверные сведения.
12. Заказчик обеспечивает личное ознакомление эксперта-оценщика с объектом недвижимости и возможность анкетирования администрации.
2 Этап. Предварительный осмотр объекта и заключение договора на оценку. Вторая стадия оценки – это предварительный осмотр объекта и заключение договора на оценку. Эта стадия оценки включает:
- предварительный осмотр объекта и знакомство с его администрацией;
- определение исходной информации и её источников;
- определение состава группы экспертов-оценщиков;
- составление задания на оценку и календарного плана;
- подготовку и подписание договора на оценку.
1. Предварительный осмотр объекта и знакомство с его администрацией. На этой стадии оценки объект предварительно осматривается, и эксперт знакомится с его администрацией. Предварительный осмотр объекта лучше провести с одним из опытных представителей заказчика, чтобы, осматривая объект, попытаться больше узнать у него о предыстории развития объекта, выпускаемой им продукции, его физическом состоянии, квалификации работников и руководителей предприятия, психологическом климате в коллективе, перспективах развития предприятия, более глубоко понять, что представляет собой данный объект.
Важно на этом этапе оценки определить представителя заказчика, который будет формулировать задание, подписывать договор об оценке и осуществлять приёмку отчёта, обеспечивать исходной информацией. Важно также определить эксперта-оценщика, ответственного за подготовку и сдачу отчёта заказчику.
2. Определение исходной информации и её источников. На данном этапе необходимо определить типы данных, используемых для оценки, а также их источники. Это могут быть сведения о рынке, на котором функционирует объект, данные о других аналогичных объектах, финансовые и технико-экономические показатели деятельности предприятия и перспектив его развития на ближайшее будущее, данные о социальных, политических, правовых, экономических и экологических факторах, влияющих на стоимость оцениваемого объекта. Самый распространённый способ представления общих данных – это разбивка их на подразделы, касающиеся рынка и сектора рынка, на котором функционирует объект, вида продукции, цен на неё, местоположение объекта (то есть данные о городе, районе, где расположен объект). Преимущество данного способа представления информации заключается в том, что, собрав и систематизировав информацию один раз, её можно использовать для проведения оценок и других объектов. В настоящее время, когда рынок, связанный с оценочной деятельностью, не развит, сбор информации для объектов недвижимости – наиболее трудоёмкая часть всего процесса оценки. Определив виды данных, необходимых для оценки, важно выявить источники их получения. Это могут быть управленческие службы заказчика, специальные периодические издания, государственные органы управления, специальная справочная литература. При заключении договора на оценку объектов недвижимости необходимо указать состав документов, которые заказчик должен представить эксперту-оценщику к определённому сроку, с тем, чтобы он смог начать оценку объекта.
3. Определение состава группы экспертов-оценщиков. Ответственный за проведение оценки эксперт-оценщик должен определить состав группы экспертов, которые будут участвовать в оценке стоимости объектов недвижимости. Небольшой объект недвижимости может оценивать один эксперт. Если объект крупный, то для оценки необходимо привлечь несколько человек-экономистов, специалистов по маркетингу, технических экспертов, экологов.
4. Составление задания на оценку и календарного плана. Задание на оценку, как правило, подготавливает эксперт-оценщик. Практика показывает, что заказчик из-за отсутствия достаточных знаний в области оценки делает это не достаточно чётко. Недостаточная чёткость формулировки целей и функций оценки – основная причина ошибок и конфликтных ситуаций в отношениях между заказчиком и экспертом-оценщиком. Задание на оценку включает следующее: имя заказчика, имя эксперта-оценщика, предмет оценки, дату оценки, цель и функцию оценки, применяемый стандарт стоимости, календарный план, особые условия.
Приведённый выше состав задания на оценку имеет примерный характер. В каждом случае эксперт-оценщик уточняет состав задания на оценку, исходя из конкретных особенностей объекта оценки. В процессе оценки возможны отклонения от задания или дополнения к нему. Эти случаи фиксируются экспертом-оценщиком докладными записками заказчику. Копии докладных записок прилагаются к отчёту об оценке.
Задание на оценку должно быть приложено к отчёту об оценке. Разработка и подписание заказчиком и экспертом-оценщиком подробного календарного плана оценки – важный этап, организующий стороны на целенаправленную работу.
Продолжительность оценки объекта недвижимости зависит от величины объекта. В среднем продолжительность оценки объекта недвижимости составляет 2-3 недели. Однако при работе с крупными объектами продолжительность оценки может быть значительно больше.
5. Подготовка и подписание договора на оценку. Процесс подготовки и подписания договора на оценку имеет особенности, обусловленные предметом и объектом оценки, возможностями заказчика и квалификацией эксперта-оценщика.
3 Этап. Сбор и обработка информации. Для определения рыночной стоимости объекта используется следующая информация: титул собственности и регистрационные данные по объекту, физические характеристики объекта, данные о взаимосвязи объекта с инфраструктурой, экономические факторы, характеризующие объект. Источниками этой информации могут быть городские, районные комитеты и органы, где регистрируются сделки с объектами недвижимости, риэлтерские фирмы, ипотечные кредитные организации, оценочные фирмы, периодическая печать.
4 Этап. Выбор методологии оценки. Четвертая стадия процесса оценки – это выбор методов оценки. При реализации этой стадии обосновывается возможность применения определённых подходов и методов, применимых для оценки данного конкретного объекта недвижимости.
В рыночных условиях хозяйствования используются три общепринятых подхода к оценке стоимости объектов недвижимости: затратный, доходный и сравнительный (или рыночный), на основе которых определяются различные виды стоимости объекта - рыночная, инвестиционная, восстановительная, стоимость замещения. Методы оценки недвижимости зависят от принимаемого подхода.
Каждый из подходов может быть реализован несколькими методами. Выбор подходов и методов, используемых при оценке конкретной недвижимости, определяется целью оценки, выбранной базой оценки и характером объекта.
Доходный подход базируется на определении стоимости объекта оценки на основе текущей стоимости ожидаемых доходов от владения этим объектом. Основными методами доходного подхода являются: метод прямой капитализации дохода и метод дисконтирования денежного потока. Метод прямой капитализации применяется в случаях, когда прогнозируемый годовой чистый операционный доход является постоянным и не имеет чётко выраженной тенденции к изменению, а период его получения не ограничен во времени. Метод дисконтирования денежного потока (непрямой капитализации) применяется в тех случаях, когда прогнозируемые денежные потоки от использования объекта оценки являются не одинаковыми по величине и непостоянны на протяжении выбранного периода прогнозирования. Методы доходного подхода целесообразно применять при рыночных базах оценки стоимости объекта.
Затратный подход базируется на определении суммы затрат на воспроизводство или замещение объекта оценки на дату оценки с дальнейшей её корректировкой на сумму его износа и обесценения. Основными методами затратного подхода являются: метод воспроизводства и метод замещения функциональным аналогом. Практически оба метода этого подхода идентичны и различаются лишь процедурой определения либо валовой стоимости воспроизводства, либо валовой стоимости замещения объектом аналогом. Затратный подход рекомендуется применять, когда замещение объекта оценки путём его воссоздания физически возможно и экономически целесообразно, а также для оценки специализированных объектов, рынок купли-продажи которых отсутствует.
Сравнительный подход базируется на сравнительном анализе цен продажи объектов, подобных объекту оценки, и внесении соответствующих корректировок с целью учёта отличий между объектами аналогами и объектом оценки, в результате чего определяется стоимость оцениваемого объекта. Сравнительный подход рекомендуется для определения стоимости при наличии активного рынка данного вида объектов.
Выбор подходов и методов является прерогативой оценщиков. Нормативные документы по оценке рекомендуют применять при оценке конкретного объекта как можно больше подходов и методов в каждом подходе, а при невозможности применения того или иного подхода и метода — давать чёткие пояснения таких ограничений.
Оценка прав пользования или владения земельным участком и оценка улучшений (зданий, сооружений), составляющие также часть этой стадии оценки, которая выполняется с применением определённых оценочных процедур и приёмов.
5 Этап. Согласование результатов оценки. Пятая стадия процесса оценки, разрешение противоречий в результатах, полученных при оценке стоимости недвижимости различными методами и определение наиболее вероятной оценочной стоимости объекта. При этом окончательный вывод делают по совокупности их результатов, которые, как правило, должны быть близкими. Существенные расхождения указывают либо на ошибки в оценках, либо на несбалансированность рынка.
Полезно знать, что нормативными документами по оценке запрещается согласовывать результаты путём расчёта средней арифметической величины стоимостей, полученных от использования нескольких методов, а также то, что аргументация процедуры согласования должна быть в обязательном порядке изложена в Отчёте.
6 Этап. Составление отчёта об оценке. Это завершающая стадия процесса оценки. Отчёт должен содержать: объём оцениваемых прав, цель оценки, вид определяемой стоимости, дату оценки и дату составления отчёта, краткое описание методологии оценки, описание объекта оценки и его ближайшего окружения, расчёты стоимости объекта оценки одним или несколькими методами, согласование результатов отчёта и обоснование окончательно выбранной оценочной стоимости. В конце отчёта должен быть приведён сертификат-свидетельство, указывающий на то, что оценка проведена объективно и выполнена лично данным оценщиком. В качестве приложений к отчёту могут быть приведены некоторые исходные данные, копии использованных в работе документов, отдельные расчёты, фотографии объекта или отдельных его элементов, а также копии документов, подтверждающих профессиональную квалификацию оценщика.
Любой отчёт об оценке достоверен лишь в полном объёме и лишь в указанных в нём целях. Ни заказчик, ни эксперт не могут использовать отчёт или какую-либо его часть иначе, чем это предусмотрено целью оценки.
Оплата услуг эксперта-оценщика. В основу определения размера оплаты услуг эксперта-оценщика может быть положена фиксированная цена, либо почасовая оплата. Фиксированная цена определяется исходя из величины фиксированного процента от балансовой стоимости недвижимости. Обычно эта величина составляет до 10%. Фиксированная цена не оказывает влияния на результаты оценки стоимости недвижимости и может быть использована в качестве основы для оплаты услуг эксперта-оценщика.
Если после проведения оценки от эксперта-оценщика требуется выступить на суде в качестве независимого эксперта, например в ходе слушания дела, то оплата его услуг должна быть почасовой, не зависящей от исхода судебного разбирательства. Размер оплаты услуг эксперта-оценщика зависит от многих факторов, в том числе от сложности и масштабности объекта оценки, опыта, имиджа и квалификации эксперта-оценщика, финансовых возможностей заказчика.
Подготовив проект договора на оценку стоимости недвижимости, эксперт-оценщик представляет его заказчику для ознакомления. В качестве приложения к договору прилагается задание на оценку.
Итоговые контрольные задачи к разделу.
В нижеследующих задачах под процентной ставкой понимается годовая процентная ставка, если не оговорено иное.
1. Какова будущая стоимость 1 000 долл., вложенных под 13% годовых на 18 месяцев, при ежегодном накоплении процента?
Ответ:
2. Какими должны быть ежегодные платежи по ипотечному кредиту в 250.000 долл. при 13% годовых? Срок погашения - 30 лет.
Ответ:
3. Ежеквартальные платежи по аренде поступают в начале каждого квартала в размере 20 000 долл. Текущая ставка процента составляет 12%, а приемлемая годовая ставка дисконтирования - 15%. Какова текущая стоимость платежей за 8 лет?
Ответ:
4. Ипотечный кредит в 100 000 долл. предусматривает периодическую выплату одного только процента. Однако, через 10 лет должна быть единовременно погашена вся основная сумма кредита. Заемщик хочет ежегодно вносить в специальный фонд, приносящий процент, определенную сумму с тем, чтобы иметь возможность через 10 лет погасить долг. На остаток в фонде ежегодно начисляется 8%. Какую сумму должен ежегодно вносить заемщик в фонд погашения кредита?
Ответ:
5. Текущая стоимость обычного аннуитета сроком 5 лет равна 1.000 долл. Какова величина каждого аннуитетного платежа, если ставка процента равна 10%?
Ответ:
6. Вы решили на свое 30-летие подарить себе дорогой автомобиль. Сегодняшняя цена такой машины составляет 25.000 долл. По вашим оценкам, цена будет возрастать на 3% ежегодно до момента покупки. Сейчас вам 25 лет, и у вас есть возможность зарабатывать 11% годовых на ваши сбережения. Какую сумму вам требуется откладывать в конце каждого из последующих 5 лет, чтобы иметь возможность к сроку купить автомобиль?
Ответ:
7. Объект недвижимости будет приносить 10 000 долл. арендной платы в конце каждого из следующих 5 лет; затем в течение 10 лет ежегодный платеж составит 12 500 долл., он также будет вноситься в конце каждого года. Ожидается, что в конце пятнадцатого года объект будет продан за 125 000 долл. За какую сумму сегодня целесообразно было бы сегодня продать объект при требуемой ставке дохода 12% годовых, начисляемых ежегодно?
Ответ:
8. В 1958 г. ежегодная стоимость обучения в престижном американском университете составляла 1.800 долл. Через 30 лет, в 1988 г. она составила уже 13.700 долл. Каков был средний темп прироста стоимости обучения за 30 лет?
Ответ:
9.Если ежегодная ставка процента составляет 20%, за сколько лет данная сумма утроится (с округлением до целых значений лет)?
Ответ:
10.Предположим, что сумма 3.000 долл. помещена на депозит с номинальной годовой процентной ставкой 8%. Начисление процентов ежеквартальное. Каков будет остаток депозита через 6 лет?
Ответ:
Контрольные тесты:
1. При росте цен в условиях инфляции применяется следующий метод учета запасов
по себестоимости последних по времени закупок
по средней себестоимости;
по себестоимости первых по времени закупок;
по полной себестоимости;
по себестоимости;
2. Какой риск относится к внутренним рискам?
административный;
политический;
нет верного ответа;
инфляционный;
ценовой.
3. Что такое балансовая стоимость?
затраты на строительство или приобретение объекта собственности;
стоимость объекта собственности, рассматриваемая как совокупная стоимость материалов, содержащихся в нем без дополнительного ремонта;
стоимость близкого аналога рассматриваемого объекта;
стоимость активов и пассивов объекта;
стоимость сформировавшегося объекта как единого целого
РАЗДЕЛ 2. ОСНОВНЫЕ ПОДХОДЫ К ОЦЕНКЕ БИЗНЕСА
Глава 4. Доходный подход к оценке бизнеса
Оценка рыночной стоимости с использованием доходного подхода основана на преобразовании доходов, которые, как ожидается, оцениваемый актив будет генерировать в процессе оставшейся экономической жизни в стоимость. С теоретической точки зрения источник дохода может быть любым: аренда, продажа, дивиденды, прибыль. Главное, чтобы он был продуктом оцениваемого актива.
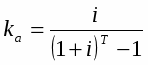
С помощью этого подхода возможна и целесообразна оценка тех активов, которые используются или могут использоваться в интересах извлечения дохода (недвижимость, акции, облигации, векселя, нематериальные активы и т.п.). Основные принципы оценки доходного актива — принцип ожидания и принцип замещения. Принцип ожидания для данного подхода является основным методообразующим принципом. Он гласит, что стоимость актива определяется нынешней (сегодняшней, текущей) ценностью (PV — от англ. present value) всех его будущих доходов.
Чем выше доходный потенциал оцениваемого актива, тем выше
его стоимость. При этом анализ доходов должен осуществляться на протяжении всей оставшейся экономической жизни актива при условии его использования в течение этого периода наиболее эффективным образом.
В соответствии с принципом замещения максимальная стоимость актива не должна превышать наименьшей цены, по которой может быть приобретен другой аналогичный актив с эквивалентной доходностью. Данный принцип является аналогом экономического принципа альтернативности инвестиций.
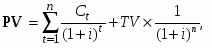
В рамках доходного подхода различают метод прямой капитализации и метод капитализации доходов по норме отдачи на капитал (рис. 4.1). В основе этих методов лежит анализ и оценка чистого операционного дохода и коэффициента капитализации или дисконтирования.
При прямой капитализации осуществляется оценка чистого операционного дохода первого года использования актива при условии, что он находится в стадии генерации типичных доходов, и оценка коэффициента капитализации для преобразования дохода в текущую стоимость, а в методе капитализации по норме отдачи на капитал — прогноз чистого операционного дохода в процессе использования актива, включая чистый доход от реверсии (продажи) в конце прогнозного периода, оценку коэффициента дисконтирования и определение суммы текущих стоимостей этих доходов.
Рис. 4.1. Классификация методов оценки по доходу.
Отличаются эти методы способами анализа и построения потока доходов и коэффициентов их преобразования в текущую стоимость.
В методе прямой капитализации для оценки рыночной стоимости чистый доход первого года от использования актива делится на коэффициент капитализации, полученный на основе анализа данных о коэффициентах капитализации доходов активов, аналогичных оцениваемому активу. При этом нет необходимости оценивать тенденцию изменения дохода во времени, а при оценке коэффициента капитализации — учитывать отдельно его составляющие: норму отдачи на капитал и норму его возврата. Предполагается, что учет тенденций всех составляющих оцениваемого актива заложен в рыночных данных. Необходимо отметить, что метод прямой капитализации применим для оценки действующих активов, используемых наиболее эффективным образом и не требующих на дату оценки больших по длительности капиталовложений в ремонт или реконструкцию.
При оценке же методом капитализации по норме отдачи на капитал отдельно учитывается тенденция изменения чистого дохода во времени и анализируются отдельно все составляющие коэффициента капитализации.
4.1. Метод прямой капитализации доходов
В рамках доходного подхода к оценке недвижимости возможно применение одного из двух методов:
прямой капитализации доходов;
дисконтированных денежных потоков.
В основе данных методов лежит предпосылка, что стоимость недвижимости обусловлена способностью оцениваемого объекта генерировать потоки доходов в будущем. В обоих методах происходит преобразование будущих доходов от объекта недвижимости в его стоимость с учетом уровня риска, характерного для данного объекта. Различаются эти методы лишь способом преобразования потоков дохода. При использовании метода капитализации доходов в стоимость недвижимости преобразуется доход за один временной период, а при использовании метода дисконтированных денежных потоков - доход от ее предполагаемого использования за ряд прогнозных лет, а также выручка от перепродажи объекта недвижимости в конце прогнозного периода.
Достоинства и недостатки методов определяются по критериям:
типом, качеством и обширностью информации, на основе которой проводится анализ;
способностью учитывать конкурентные колебания;
способностью учитывать специфические особенности объекта, влияющие на его стоимость (месторасположение, размер, потенциальная доходность);
Метод капитализации доходов используется если:
потоки доходов стабильны длительный период времени, представляют собой положительную величину;
потоки доходов возрастают устойчивыми темпами.
Результат, полученный данным методом, представляет собой стоимость всего объекта недвижимости, состоящую из стоимости зданий, сооружений, и из стоимости земельного участка. Базовая формула расчета имеет следующий вид:
(4.1.)
где, С – стоимость объекта недвижимости (д.е.);
ЧОД – чистый операционный доход.
Таким образом, метод капитализации доходов представляет собой определение стоимости недвижимости через перевод годового (или среднегодового) чистого операционного дохода в текущую стоимость.
Данный метод нецелесообразно применять в следующих ситуациях:
при нестабильных потоках доходов;
для оценки недвижимости, находящейся в стадии реконструкции или незавершенного строительства.
В казахстанских условиях основная проблема, с которой сталкивается оценщик - «информационная непрозрачность» рынка недвижимости, прежде всего отсутствие информации по реальным сделкам продажи и аренды объектов недвижимости, эксплуатационным расходам, отсутствие статистической информации по коэффициенту загрузки на каждом сегменте рынка по регионам. В результате расчет ЧОД и коэффициента (ставки) капитализации - превращается в очень сложную задачу.
Основные этапы процедуры оценки методом капитализации доходов:
Определение ожидаемого годового (или среднегодового) дохода, в качестве дохода, генерируемого объектом недвижимости при его наилучшем и наиболее эффективном использовании.
Расчет коэффициента капитализации.
Определение стоимости объекта недвижимости на основе чистого операционного дохода и коэффициента капитализации путем деления ЧОД на коэффициент капитализации.
Остановимся подробно на каждом из вышеперечисленных этапов.
Расчет ожидаемого чистого операционного дохода.
Оценщик недвижимости работает со следующими уровнями дохода:
ПВД (потенциальный валовой доход);
ДВД (действительный валовой доход);
ЧОД (чистый операционный доход);
ДП до уплаты налогов (денежный поток до уплаты налогов) – чистый операционный доход за вычетом расходов по обслуживанию ипотечного кредитования, если оно имеет место.
Потенциальный валовой доход (ПВД) - доход, который можно получить от недвижимости, при 100%-ом использовании без учета всех потерь и расходов. Основной источник дохода от объекта недвижимости – это доход от сдачи площадей в аренду. Соответственно, ПВД зависит от площади оцениваемого объекта и установленной арендной ставки и рассчитывается по формуле:
ПВД = S Cа (4.2.)
где, S - площадь, сдаваемая в аренду, м2;
Са - арендная ставка за 1 м2.
Договор аренды представляет собой основной источник информации о приносящей доход недвижимости. Аренда - предоставление арендатору (нанимателю) имущества за плату во временное владение и пользование. Право сдачи имущества в аренду принадлежит его собственнику. Арендодателями могут быть лица, уполномоченные законом или собственником сдавать его в аренду. Одним из основных нормативных документов, регламентирующих арендные отношения является гражданский кодекс РК .
Оценщик в процессе работы опирается на следующие положения последнего:
по договору аренды здания или сооружения арендатору одновременно с передачей прав владения и пользования такой недвижимостью передаются права пользования той частью земельного участка, которая занята этой недвижимостью и необходима для ее использования, даже в том случае, когда земельный участок, на котором находятся арендованные здания или сооружения продается другому лицу;
если срок аренды в договоре не определен, то договор аренды считается заключенным на неопределенный срок;
передача имущества в аренду не является основанием для прекращения или применения прав третьих лиц на это имущество. При заключении договора аренды арендодатель обязан предупредить арендатора о всех правах третьих лиц на сдаваемые в аренду имущество (сервитуте, праве залога и т.п.). В противном случае арендатор вправе требовать уменьшения арендной платы либо рассмотрения договора и возмещения убытков.
Договор аренды здания или сооружения:
заключается в письменной форме на срок не менее года, подлежит государственной регистрации и считается заключенным с момента такой регистрации.
предусматривает согласованные сторонами условия и размеры арендной платы, без которой договор аренды считается незаключенным.
если арендатор произвел за счет собственных средств и с согласия арендодателя улучшения арендованного имущества, неотделимые без вреда для имущества, то он имеет право после прекращения договора на возмещение стоимости этих улучшений, если иное не предусмотрено договором аренды. Стоимость неотделимых улучшений арендованного имущества, произведенных арендатором без согласия арендодателя, возмещению не подлежит.
арендатор вправе с согласия арендодателя сдавать арендованное имущество в субаренду, предоставлять арендованное имущество в безвозмездное использование, а также отдавать арендные права в залог или вносить их в качестве вклада в уставной капитал.
Величина арендной ставки, как правило зависит от местоположения объекта, его физического состояния, наличия коммуникаций, срока аренды и т.д.
Арендные ставки бывают:
контрактными (определяемыми договором об аренде);
рыночными (типичными для данного сегмента рынка в данном регионе).
Рыночная арендная ставка представляет собой ставку, преобладающую на рынке аналогичных объектов недвижимости, т.е. является наиболее вероятной величиной арендной платы, за которую типичный арендодатель согласился бы сдать, а типичный арендатор согласился бы взять это имущество в аренду. Это гипотетическая сделка. Рыночная арендная ставка используется при оценке полного права собственности, когда, по существу, недвижимостью владеет, распоряжается и пользуется сам владелец (каков был бы поток доходов, если бы недвижимость была бы сдана в аренду). Контрактная арендная ставка используется для оценки частичных имущественных прав арендодателя. В этом случае, оценщику целесообразно проанализировать арендные соглашения с точки зрения условий их заключения. Все арендные договора делятся на следующие большие группы:
с фиксированной арендной ставкой (используются в условиях экономической стабильности);
с переменной арендной ставкой (пересмотр арендных ставок в течение срока договора используется, как правило, в условиях инфляции);
с процентной ставкой (когда к фиксированной величине арендных платежей добавляется процент от дохода, получаемого арендатором в результате использования арендованного имущества).
Метод капитализации доходов целесообразно использовать в случае заключения договора с фиксированной арендной ставкой, в остальных случаях - корректнее использовать метод дисконтированных денежных потоков.
Действительный валовой доход - это потенциальный валовой доход за вычетом потерь от простоя площадей, которые не удалось сдать в аренду и задолженности по арендной плате с добавлением прочих доходов от нормального рыночного использования объекта недвижимости (например, доходов от платных автостоянок или гаражей).
ДВД = ПВД - потери + прочие доходы (4.3.)
Обычно эти потери выражают в процентах по отношению к потенциальному валовому доходу. Потери рассчитываются по ставке, определяемой для типичного уровня управления на данном рынке, т.е. берется рыночный показатель. Но это возможно только в условиях наличия значительной информационной базы по сопоставимым объектам. В отсутствии таковой для определения коэффициента недозагрузки (недоиспользования) (Кнд) оценщик прежде всего анализирует ретроспективную и текущую информацию по оцениваемому объекту, т.е. существующие арендные договора по срокам действия, частоту их перезаключения, величину периодов между окончанием действия одного арендного договора и заключения следующего (период, в течении которого единицы объекта недвижимости свободны) и на этой основе рассчитывает коэффициент недоиспользования объекта недвижимости:
(4.4.)
Кзагрузки = 1 - Кнд (4.5.)
где, Дn - доля единиц объекта недвижимости (это может быть стандартный офис, или торговое помещение, или квартира), по которым в течение года перезаключаются договора;
Тс - средний период в течение которого единица объекта недвижимости свободна;
Na - число арендных периодов в году (обычно месяцы или кварталы).
Определение коэффициента недоиспользования осуществляется на базе ретроспективной и текущей информации, поэтому для расчета предполагаемого ДВД полученный коэффициент должен быть скорректирован с учетом возможной загрузки площадей в будущем, которая зависит от следующих факторов факторов:
общеэкономической ситуации;
перспектив развития региона;
стадии цикла рынка недвижимости;
соотношения спроса и предложения на оцениваемом региональном сегменте рынка недвижимости.
Коэффициент загрузки зависит от различных типов недвижимости (отелей, магазинов, многоквартирных домов и т.д.). При эксплуатации объектов недвижимости желательно поддерживать коэффициент загрузки на высоком уровне, т.к. значительная часть операционных расходов является постоянной и не зависящей от уровня загрузки.
Оценщик делает поправку на потери при сборе платежей, анализируя ретроспективную информацию по конкретному объекту с последующим прогнозированием данной динамики на перспективу (в зависимости от перспектив развития конкретного сегмента рынка недвижимости в регионе):
(4.6.)
Где Кп – коэффициент потерь при сборе платежей
Па – сумма потерь при сборе платежей
ПВД – потенциальный валовой доход
Опираясь на ретроспективную и текущую информацию, оценщик может рассчитать коэффициент недоиспользования и потерь при сборе арендных платежей с последующей корректировкой для прогнозирования величины действительного валового дохода:
(4.7)
Па - потери при сборе арендной платы;
Пнд - потери от недоиспользования площадей;
ПВД - потенциальный валовой доход.
Помимо потерь от недоиспользования и потерь при сборе арендных платежей необходимо учесть прочие расходы, получение которых можно увязать с нормальным использованием данного объекта недвижимости в целях обслуживания, в частности, арендаторов (например: доход от сдачи в аренду автомобильной стоянки, склада и т.д.) и не включаемых в арендную плату.
Чистый операционный доход - действительный валовой доход за минусом операционных расходов (ОР) за год (за исключением амортизационных отчислений).
ЧОД = ДВП – ОР (4.8)
Операционные расходы – это расходы необходимые для обеспечения нормального функционирования объекта недвижимости и воспроизводства действительного валового дохода.
Операционные расходы принято делить на:
условно-постоянные расходы;
условно-переменные, или эксплуатационные расходы;
расходы на замещение, или резервы (эти расходы относятся к текущему и капитальному ремонту).
К условно-постоянным относятся расходы, размер которых не зависит от степени эксплуатационной загруженности объекта и уровня предоставленных услуг:
налог на имущество;
страховые взносы (платежи по страхованию имущества);
заработная плата обслуживающего персонала (если она фиксирована вне зависимости от загрузки здания) плюс налоги на данную заработную плату.
К условно-переменным расходам относятся расходы, размер которых зависит от степени эксплуатационной загруженности объекта и уровня предоставленных услуг:
коммунальные;
на содержание территории;
на текущие ремонтные работы;
расходы по обеспечению безопасности;
расходы на управление (обычно принято определять величину расходов на управление в процентах от действительного валового дохода) и т.д.
К расходам на замещение относятся расходы на периодическую замену быстроизнашивающихся улучшений (кровля, покрытие пола, санитарно-техническое оборудование, электроарматуру), денежные средства которые резервируются на счете (хотя большинство владельцев недвижимости в действительности этого не делает). Резерв на замещение рассчитывается оценщиком с учетом стоимости быстроизнашивающихся активов, продолжительности срока их полезной службы, а также процентов, начисляемых на аккумулируемые на счете средства. Если не учесть резерва на замещение, то чистый операционный доход будет завышенным.
Расчеты коэффициента капитализации.
Существует несколько методов определения коэффициента капитализации:
с учетом возмещения капитальных затрат (с корректировкой на изменение стоимости актива);
связанных инвестиций или техника инвестиционной группы;
прямой капитализации.
Определение коэффициента капитализации с учетом возмещения капитальных затрат.
Коэффициент капитализации состоит из двух частей:
Ставки дохода на капитал (инвестиции), являющейся компенсацией инвестору за вложение своих денежных средств с учетом различных факторов риска и других факторов, связанных с конкретными инвестициями;
Нормы возврата капитала для погашения суммы первоначальных вложений. Причем этот элемент коэффициента капитализации применяется только к изнашиваемой части активов (то есть к зданиям и сооружениям, но не к земле, которая не подвергается износу).
Ставка дохода на капитал (она равнозначна ставке дисконтирования) строится методом кумулятивного построения и состоит из: (4.9)
безрисковой ставки дохода;
+
премии за риск вложения в недвижимость;
+
премии за низкую ликвидность недвижимости;
+
премии за инвестиционный менеджмент (управление инвестициями в недвижимость считается более сложной и рискованной деятельностью, чем управление инвестициями в финансовые активы - отсюда и дополнительная премия).
Безрисковая ставка доходности - ставка дохода от вложений в высоко ликвидные активы, т.е. эта ставка, которая отражает «фактические рыночные возможности вложения денежных средств фирм и частных лиц без какого то бы ни было риска не возврата». На самом деле, несмотря на название, безрисковая ставка предполагает не отсутствие риска вообще, а минимальный уровень риска, характерный для данного рынка.
Безрисковая ставка используется в качестве базовой, к которой добавляются остальные (ранее перечисленные) составляющие - поправки на различные виды риска, связанные с особенностями оцениваемой недвижимости.
Для определения безрисковой ставки можно пользоваться как казахстанскими, так и западными показателями по безрисковым операциям. Безрисковой ставкой по западной методике считается ставка доходности по долгосрочным (10-20 лет) правительственным облигациям на мировом рынке (США, Германия, Япония и т.д.). При использовании данной безрисковой ставки, к ней необходимо прибавить премию за риск инвестирования в РК (страновой риск).
В процессе оценки необходимо учитывать, что номинальные и реальные (то есть, включающие и не включающие инфляционный компонент) безрисковые ставки могут быть как тенговые, так и валютные. При пересчете номинальной ставки в реальную и наоборот целесообразно использовать формулу американского экономиста Фишера, выведенную им еще в 30-е годы:
Rн = Rр + Jинф. + Rр Jинф. (4.10)
(4.11)
где, Rн - номинальная ставка;
Rр - реальная ставка;
Jинф. - годовые темпы прироста инфляции.
Важно отметить, что при использовании номинальных (включающих инфляционный компонент) потоков доходов коэффициент капитализации (и ее составные части) должны быть рассчитаны в номинальном выражении, а при реальных (за вычетом инфляции) потоках доходов - реальном. Для преобразования номинальных потоков доходов в реальные нужно номинальную величину разделить на соответствующий индекс цен, то есть выраженное в процентах отношение уровня цен за тот год, в котором возникнут денежные потоки к уровню цен базового периода.
Например. Объект недвижимости, сданный на условиях чистой аренды, будет приносить по 1000 долл. ежегодно в течении 2-х лет. Индекс цен в текущем периоде равен 140% и ожидается, что в следующем году он составит 156,7%, а через год 178,5%. Для преобразования номинальных величин в реальные, их необходимо выразить в ценах базисного года. Построим базисный индекс цен для каждого из трех лет. Индексы цен текущего года равны 140/140 = 1, для прогнозного периода: первый год - 156,7/140 = 1,119; второй год - 178,5/140 = 1,275.
Таким образом, реальная величина номинальной 1000 долл., которая будет получена в первом прогнозном году, равна 1000 долл./1,119 = 893,65 долл., во 2-м году (1000 долл./1,275) = 784,31 долл.).
В результате инфляционной корректировки происходит приведение ретроспективной информации, используемой в оценке, к сопоставимому виду, а также учет инфляционного роста цен при составлении прогнозов денежных потоков.
Расчет различных составляющих премии за риск:
надбавка за низкую ликвидность учитывает невозможность незамедлительного возврата вложенных в объект недвижимости инвестиций и по экспертным оценкам большинства источников обычно принимается на уровне 3-5 процентных пунктов.
надбавка за риск вложения в недвижимость учитывает возможность случайной потери потребительской стоимости объекта и может быть принята в размере нормы страховых отчислений в страховых компаниях высшей категории надежности.
надбавка за инвестиционный менеджмент. Чем более рискованны и сложные инвестиции, тем более компетентного управления они требуют. Надбавку за инвестиционный менеджмент целесообразно рассчитывать с учетом коэффициента недогрузки и потерь при сборе арендных платежей.
Коэффициент капитализации включает ставку дохода на инвестиции и норму возврата капитала. Если сумма капитала, вложенного в недвижимость, останется неизменной и будет возвращаема при ее перепродаже, норма возврата капитала равна нулю. Коэффициент капитализации (Rк) будет равен норме дохода на инвестиции R.
R k = R d (4.12)
где, Rk - коэффициент капитализации;
Rd - ставка дисконтирования (норма дохода на инвестиции).
Существует общая формула расчета коэффициента капитализации для различных сценариев изменения стоимости недвижимости:
Rk = R + Крек, (4.13)
где - изменение стоимости актива (со знаком + если стоимость уменьшается, со знаком – если стоимость актива увеличивается), Крек – норма возврата капитала, рассчитываемая одним из трех подходов –Ринга, Инвуда, Хоскольда.
Если прогнозируется снижение стоимости недвижимости с течением времени, то возникает необходимость учета в коэффициенте капитализации возврата основной суммы инвестированного капитала (процесса рекапитализации). В этом случае коэффициент капитализации состоит из нормы дохода на инвестиции и нормы возврата капитала, в некоторых источниках именуемой коэффициентом рекапитализации. Тем самым оценщик предполагает, что часть чистого операционного дохода направляется на возврат первоначальных инвестиций, формируя так называемый фонд возмещения с процентной ставкой Yp – нормой реинвестирования. Средства фонда постоянно реинвестируются для обеспечения полного возврата первоначальных инвестиций в объект в конце срока владения им (следует отметить, что фонд возмещения может быть как реальным, так и условным: собственник недвижимости решает вопрос о его формировании, но оценщик должен всегда учитывать фонд возмещения в расчетах.).
4.2. Способы возмещения инвестиционного капитала (метод Ринга, метод Инвуда, метод Хоскольда)
Существуют три способа возмещения инвестированного капитала при полной потере объектом стоимости к концу срока владения:
прямолинейный возврат капитала (метод Ринга);
возврат капитала по фонду возмещения и ставке дохода на инвестиции (метод Инвуда). Его иногда называют аннуитетным методом;
возврат капитала по фонду возмещения и безрисковой ставке процента (метод Хоскольда).
Метод Ринга. Этот метод целесообразно использовать, когда ожидается, что возмещение основной суммы будет осуществляться равными частями. Годовая норма возврата капитала рассчитывается путем деления 100%-ой стоимости актива на остающийся срок полезной жизни, то есть это величина обратная сроку службы актива. В этом случае считается, что средства, направляемые в фонд возмещения, не реинвестируются. Формула коэффициента капитализации принимает следующий вид:
Rk = Rd + 1/n, (4.14.)
где n - оставшийся срок экономической жизни
Например. Условия инвестирования:
Срок службы объекта - 5 лет;
R - ставка доходности инвестиций -12%;
Сумма вложений капитала в недвижимость 10000 тенге.
Требуется определить коэффициент капитализации по методу Ринга.
Решение: Ежегодная прямолинейная норма возврата капитала составит 20%, т.к. за 5 лет будет списано 100% актива (100 : 5 = 20). В этом случае коэффициент капитализации составит 32% (12% + 20% = 32%).
Возмещение основной суммы капитала с учетом требуемой ставки доходности инвестиций отражено в таблице 4.1.
Таблица 4.1. Возмещение инвестируемого капитала по методу Ринга.
№ п/п
Остаток капиталовложений на начало периода
Возмещение капиталовложений
Доход на инвестированный капитал (12%)
Общая сумма дохода
1
10000
2000
1200
3200
2
8000
2000
960
2960
3
6000
2000
720
2720
4
4000
2000
480
2480
5
2000
2000
240
2240
Всего за 5 лет
10000
3600
13600
Возврат капитала происходит равными частями в течение срока службы объекта недвижимости.
Метод Инвуда используется если сумма возврата капитала реинвестируется по ставке доходности инвестиции. В этом случае норма возврата как составная часть коэффициента капитализации равна фактору фонда возмещения при той же ставке процента, что и по инвестициям
Rk = R + SFF(n,Y), где (4.15)
SFF - фактор фонда возмещения;
Y = R - ставка дохода на инвестиции.
Например. Условия инвестирования:
срок владения объектом - 5 лет;
дохода на инвестиции составляет 12%.
требуется определить коэффициент капитализации.
Решение: Коэффициент капитализации рассчитывается как сумма ставки дохода на инвестиции 0,12 и фактора фонда возмещения (для 12%, 5 лет) 0,1574097. Коэффициент капитализации равен 0,2774097 .
Таблица 4.2. Возмещение инвестированного капитала по методу Инвуда.
№ п/п
Остаток основной суммы капитала на начало года
Общая сумма возмещения
в том числе
% на капитал
Возмещение основной суммы
1
10000
2774,10
1200
1574,10
2
8425,90
2774,10
1011,11
1762,99
3
6662,91
2774,10
799,55
1974,55
4
4688,36
2774,10
562,60
2211,50
5
2476,86
2774,10
297,22
2476,88
Метод Хоскольда. Используется в тех случаях, когда ставка дохода первоначальных инвестиций несколько высока, что маловероятно реинвестирование по той же ставке. Для реинвестируемых средств предполагается получение дохода по безрисковой ставке
Rk = R + SFF(n,Yб), где (4.16)
Yб - безрисковая ставка процента
Например. Инвестиционный проект предусматривает ежегодный 12%-ый доход на инвестиции (капитал) в течение 5 лет. Суммы в счет возврата инвестиций могут быть без риска реинвестированы по ставке 6%. Определить коэффициент капитализации.
Решение: Если норма возврата капитала равна 0,1773964, что представляет собой фактор фонда возмещения для 6% за 5 лет, то коэффициент капитализации равен 0,2973964 (0,12 + 0,1773964).
Если прогнозируется, что инвестиции потеряют стоимость лишь частично, то коэффициент капитализации рассчитывается несколько иначе, поскольку частично возмещение капитала производится за счет перепродажи недвижимости. а частично за счет текущих доходов.
Например. Прогнозируется продажа объекта недвижимости через 5 лет за 50% его первоначальной цены. Ставка дохода на инвестиции составляет 12%. Требуется определить коэффициент капитализации.
Решение: По методу Ринга норма возврата капитала равна 10% (50% : 5 лет); Rk = 0,1 (норма возврата капитала) + 0,12 (ставка доходности инвестиций) = 0,22 = 22%.
По методу Инвуда норма возврата капитала определяется путем умножения фактора фонда возмещения на процент потери первоначальной цены недвижимости.
50%-ная потеря 0,1574097 = 0,07887
Rk = 0,07887 (норма возврата капитала) + 0,12 (ставка дохода на инвестиции) = 0,19887 = 19,87%.
При падении цены актива, вне зависимости от того рассчитывается ли норма возврата капитала методом Ринга, Хоскольда, или Инвуда ставка доходности инвестиций меньше ставки капитализации
Rk R
Если при вложении инвестиций в недвижимость инвестор рассчитывает на то, что в будущем цена недвижимости возрастает, то расчет строится на прогнозе инвестора о повышении цены земли, зданий, сооружений под влиянием увеличения спроса на отдельные виды недвижимости или из-за роста инфляции. В связи с этим появляется необходимость учета в ставке капитализации прироста стоимости капиталовложений.
Например. Требуемая ставка дохода на капитал равна 12%. Прирост цены недвижимости к концу 5 лет составит 40%.
Решение: В случае повышения стоимости инвестиционных средств выручка от продажи не только обеспечивает возврат всего вложенного капитала, но и приносит часть дохода, необходимого для получения 12% ставки дохода на капитал. Поэтому коэффициент капитализации должен быть уменьшен с учетом ожидаемого прироста капитала. Рассчитаем отложенный доход: 0,4 0,1574 (фактор фонда возмещения за 5 лет при 12%) = 0,063. Из ставки доходности инвестиций на капитал вычитается отложенный доход и, таким образом, определяется коэффициент капитализации.
Rk = R - SFF (n,Y), где (4.17)
- процент прироста цены актива
Таким образом, если прогнозируется прирост стоимости актива, то ставка дисконтирования будет больше ставки капитализации.
Rk R
Метод рыночной экстракции.
Основываясь на рыночных данных по ценам продаж и значений ЧОД сопоставимых объектов недвижимости, можно вычислить коэффициент капитализации:
(4.18)
где, ЧОД - чистый операционный доход i-го объекта-аналога
Vi - цена продажи i-го объекта-аналога
В этом методе нет отдельного учета возврата капитала и дохода на капитал.
Таблица 4.3. Расчет коэффициента капитализации Rk методом рыночной выжимки.
Показатель
Объект
№ 1
№ 2
№ 3
№ 4
Цена продажи (долл.)
120000
90000
140000
75000
ЧОД (долл.)
20750
15000
25500
12000
Общий коэффициент капитализации
0,172
0,166
0,182
0,160
Среднее значение общего коэффициента капитализации
0,17
При всей внешней простоте применения этот метод расчета вызывает определенные сложности - информация по ЧОД и ценам продаж относится к категории непрозрачной информации.
Данный метод расчета коэффициента капитализации используется только в условиях устойчивого рынка. При растущем рынке коэффициент капитализации снижается.
Методы расчета коэффициента капитализации с присутствием заемных средств раассмотрены ниже.
Таким образом, специфика метода капитализации доходов заключается в следующем:
в текущую стоимость переводится чистый операционный доход за один временной период (при условии, что величины будущих доходов постоянны);
не рассчитывается цена реверсии;
коэффициент капитализации рассчитывается для недвижимости:
профинансированной собственным капиталом - методом рыночной выжимки, либо методом определения коэффициента капитализации с учетом возмещения капитальных затрат;
профинансированной с привлечением заемного капитала - методом связанных инвестиций.
Преимущества метода прямой капитализации заключаются в его относительной простоте и удобстве применения для оцненки объектов, сданных в долгосрочную аренду надежным арендаторам, а также в том, что этот метод непосредственно отражает рыночную конъюнктуру, так как при его применении анализируется с точки зрения соотношения дохода (I) и стоимости (V), как правило, большое количество сделок с недвижимостью (когда коэффициент капитализации определяется методом рыночной выжимки).
Недостатки метода прямой капитализации состоят в том, что
применение его затруднительно, когда отсутствует информация о рыночных сделках, и не проведен экономический анализ соотношения дохода и стоимости;
метод не рекомендуется применять, если объект недостроен, не вышел на уровень стабильных доходов или если объект серьезно пострадал в результате форс-мажорных обстоятельств и требует серьезной реконструкции.
4.3. Метод дисконтированных денежных потоков
Метод дисконтированных денежных потоков (ДДП) позволяет оценить объект в случае получения от него нестабильных денежных потоков, моделируя характерные черты их поступления. Данный метод является более универсальным, чем метод капитализации доходов. Применяется метод ДДП, когда:
предполагается, что будущие денежные потоки будут существенно отличаться от текущих;
существуют данные, позволяющие обосновать размер этих будущих потоков от недвижимости;
потоки доходов и расходов носят сезонный характер;
оцениваемая недвижимость – крупный многофункциональный коммерческий объект;
объект недвижимости строится или только что построен и вводится (или введен в действие).
Метод дисконтированных денежных потоков позволяет оценить стоимость недвижимости на основе текущей стоимости дохода, состоящего из прогнозируемых денежных потоков и остаточной стоимости.
Для применения метода ДДП необходимы следующие данные:
длительность прогнозного периода;
прогнозные величины денежных потоков, включая остаточную стоимость (реверсию) – то есть выручку от продажи объекта недвижимости в конце срока владения;
ставка дисконтирования;
Алгоритм расчета метода ДДП.
1. Определение прогнозного периода зависит от объема информации, достаточной для долгосрочных прогнозов. Тщательно выполненный прогноз позволяет предсказать характер изменения денежных потоков на более долгий срок.
В международной оценочной практике средняя величина прогнозного периода 5 – 10 лет, тогда как для российских условий типичной величиной будет период длительностью 3 – 5 лет. Это реальный срок, на который можно сделать обоснованный прогноз.
2. Прогнозирование величин денежных потоков, включая реверсию, требует:
а) тщательного анализа на основе финансовой отчетности, представляемой заказчиком о доходах и расходах от объекта недвижимости, ретроспективном периоде;
б) изучения текущего состояния рынка недвижимости и динамики изменения его основных характеристик;
в) прогноз доходов и расходов на основе реконструированного отчета о доходах.
При оценке недвижимости методом ДДП рассчитывается несколько уровней дохода от объекта (для каждого прогнозного года):
потенциальный валовый доход;
действительный валовый доход;
чистый операционный доход;
денежный поток до уплаты налогов;
денежный поток после уплаты налогов.
Последний уровень дохода используется для оценки крайне редко, поскольку здесь речь идет о подоходном налоге собственника (или налоге на прибыль предприятия, если собственник – юридическое лицо), величина которого, и, соответственно, величина денежного потока зависит и от других источников дохода.
В качестве дисконтируемого уровня дохода чаще всего используются две величины: ЧОД - если требуется оценить стоимость объекта в целом, то есть стоимость всего инвестированного капитала безотносительно его источников; и денежный поток до уплаты налогов (ДПДН) – если требуется оценить стомость собственного капитала, инвестированного собственником. ДПДН и ЧОД отличаются на величину расходов по обслуживанию долга (ипотечного кредита).
ПРОГНОЗ ДЕНЕЖНЫХ ПОТОКОВ ОТ ЭКСПЛУАТАЦИИ ОБЪЕКТА НЕДВИЖИМОСТИ (складской комплекс общей площадью 114708 кв. м; отапливаемая площадь 65449 кв.м., незастроенная площадь земельного участка 21,88 га)
Длительность прогнозного периода 3 года; ставки арендной платы рассчитываются с учетом рыночной информации по аренде складских помещений, темпы роста ставок арендной платы (2%), поправки на недосбор и недозагрузку по трем годам прогнозного периода и первого года постпрогнозного периода примем следующие:
Таблица 4.4. Динамика недосбора и недозагрузки.
Недозагрузка
Недосбор
1
2
3
4
1
2
3
4
25%
20%
10%
6%
15%
10%
5%
5%
РАСХОДЫ:
1.Налоги.
Общая величина налога на землю составит 56992$, округленно 57000$. Предполагается, что величина налога на землю будет оставаться постоянной в течение прогнозного периода и по его окончании.
2. Налог на имущество (здания, сооружения) рассчитывается от балансовой стоимости этого имущества (в размере 2%). Предполагается, что земельные участки застроены наилучшим и эффективным способом, то есть в прогнозный период не будут строиться новые улучшения. Размер налога по периодам останется неизменным.
3. Коммунальные платежи.
Размер коммунальных платежей рассчитывается на основании данных, полученных с аналогичных складских комплексов в пересчете на доллары США:
Таблица 4.5. Расчет коммунальных услуг
электроэнергия - $0,25/кв.м./год;
$28677
(114708 * 0,25)
отопление, горячее водоснабжение - $0,35/кв. м./год;
$29907
(65449 * 0,35)
водопровод, канализация - $0,6/кв. м./год.
$68825
(114708 * 0,6)
уборка помещений и прилегающих территорий - $0,8/кв.м./год и $250/га/год соответственно
$97236
(114708 * 0,8 + 21,88 * 250)
ИТОГО:
$224645
Предполагается, что величина коммунальных платежей с каждым годом будет увеличиваться на 4%.
4. Отчисления на оплату труда.
Эти затраты рассчитываются на основе данных прошлых периодов. Так, заработная плата всего персонала составит 90000$, а представительские расходы, суточные и подъемные - 15000$. В прогноз закладываются следующие темпы роста этих статей:
Таблица 4.6. Темпы роста
Зарплата
5%
Представительские расходы, суточные и подъемные
0
5.Охрана.
Крупный складской комплекс требует охраны и предполагает выделение значительных сумм на организацию такой системы. В эту статью включаются расходы на организацию пропускного режима, патрулирование, эксплуатацию охранных систем и оборудования. В среднем необходимо выделять $10000 в месяц на охрану одного складского комплекса. Для оцениваемого объекта расходы на охрану составят $10000*12=$120000 в год.
Предполагается, что расходы на охрану объектов будут постепенно возрастать.
Таблица 4.7. Динамика изменения расходов на охрану и рекламу услуг объекта (в тыс.$).
ОХРАНА
РЕКЛАМА УСЛУГ
1
2
3
4
1
2
3
4
120
125
130
140
14
12
10
8
Резервный фонд на восстановление (на текущий ремонт).
Величина данной статьи берется в прямой зависимости от ПВД (8%).
6.Управление.
Расходы на управление учитываются независимо от того, кто управляет недвижимостью – сам владелец или управляющий по контракту. Принято определять величину этих расходов в процентах от ДВД (7%).
7.Реклама услуг.
Для сдачи складских помещений в аренду требуется проводить маркетинговые исследования рынка недвижимости, арендных ставок, приходится давать рекламу, проводить поиск арендатора. Такие затраты сейчас в среднем, по экспертным оценкам, составляют $14000 в год для складских комплексов. Для оцениваемого объекта расходы на рекламу составят $14000 в год.
Предполагается, что расходы на рекламу будут постепенно снижаться.
8. Обязательное страхование недвижимости.
Эта строка тоже рассчитывается на основе данных прошлых периодов и в пересчете в доллары США составляет 30000 единиц. Предполагается, что данная величина останется неизменной, так как по оцениваемым объектам не планируется в ближайшие три года вводить новые здания или сооружения.
9. Оплата услуг сторонних организаций.
Проведенный анализ показал, что наиболее вероятны следующие темпы роста данных услуг:
Таблица 4.8. Оплата услуг сторонних организаций
Услуги организаций
нотариальных, юридических и аудиторских организаций
3%
коммерческих банков
2%
Прочих организаций
0%
10.Прочие расходы. Их величину примем равной 5% ДВД, что характерно для большинства аналогичных объектов.
ЧОД равен ДВД минус все операционные расходы. Денежный поток до уплаты налогов - ЧОД минус расходы на обслуживание долга (в нашем примере объект недвижимости не обременен долгосрочными кредитами) минус отчисления на капиталовложения (принимаем эту величину равной 20% ЧОД).
Таблица 4.9. Пример расчета денежного потока от эксплуатации объекта недвижимости
Прогноз денежного потока от эксплуатации объекта недвижимости
Прогнозный период
Постпрогнозный период
Расчет денежного потока
1
2
3
4
ПВД
8805000
8981100
9160722
9343936
Поправка на недозагрузку
25%
20%
10%
6%
Поправка на недосбор платежей
15%
10%
5%
5%
Прочие доходы
0
0
0
0
ДВД
5613188
6466392
7832417
8344135
Операционные расходы, в т.ч.
2538493
2677154
2878387
2983173
1.Налоги:
445000
445000
445000
445000
а) налог на землю
57000
57000
57000
57000
б) налог на имущество
388000
388000
388000
388000
2.Коммунальные платежи:
224645
233630,8
242976
252695,1
а)электроэнергия
28677
б)отопление, гор.вода
29907
в)водопровод, канализация
68825
г)уборка территории
97236
3. Оплата труда работников, в т.ч.
134070
140023,5
146274,7
152838,4
а)непосредственно зарплата
94500
99225
104186,3
109395,6
б)отчисления с зарплаты
24570
25798,5
27088,43
28442,85
в)представительские расходы и т.д.
15000
15000
15000
15000
4.Охрана
120000
125000
130000
140000
5. Резервный фонд на восстановление
704400
718488
732857,8
747514,9
6.Управление
392923,1
452647,4
548269,2
584089,5
7.Реклама услуг
14000
12000
10000
8000
8.Обязательное страхование недвижимости
30000
30000
30000
30000
9.Оплата услуг сторонних организаций:
222795
227044,9
231388,6
235828,3
а)юридические и аудиторские услуги
29400
30282
31190,46
32126,17
б)банковские услуги
168395
171762,9
175198,2
178702,1
в)прочие услуги
25000
25000
25000
25000
10.Прочие расходы
280659,4
323319,6
391620,9
417206,8
ЧОД
3074695
3789238
4954030
5360962
Капиталовложения (20% ЧОД)
614939
757847,6
990806
1072192
Обслуживание кредита
0
0
0
0
Денежный поток (ДП) до уплаты налогов
2459756
3031390
3963224
4288770
Следующий важный этап – расчет стоимости реверсии.
Стоимость реверсии можно спрогнозировать:
назначением цены продажи, исходя из анализа текущего состояния рынка, из мониторинга стоимости аналогичных объектов и предположений относительно будущего состояния объекта;
принятием допущений относительно изменения стоимости недвижимости за период владения;
капитализацией дохода за год, следующий за годом окончания прогнозного периода, с использованием самостоятельно рассчитанной ставки капитализации.
В учебном примере денежный поток в постпрогнозный период капитализируем по ставке 21%. Стоимость реверсии равна: 4288770 : 0,21 = 20422714$
Определение ставки дисконтирования.
Порядок определения ставки дисконтирования соответствует рассмотренному в подразделе 4.1.
Казахстанские оценщики ставку дисконтирования чаще всего рассчитывают методом кумулятивного построения (формула 4.9). Это объясняется наибольшей простотой расчета ставки дисконтирования по методу кумулятивного построения в текущих условиях рынка недвижимости. Предположим, что, безрисковая ставка составляет 6%, премии за риск вложения в недвижимость и недостаточную ликвидность недвижимости – по 4%, а премия за инвестиционный менеджмент – 2%. Тогда, в соответствии с указанной формулой, ставка дисконтирования составит 16%.
Расчет стоимости объекта недвижимости методом ДДП по формуле:
где: PV – текущая стоимость,
Ci – денежный поток периода t,
it – ставка дисконтирования денежного потока периода t,
TV – стоимость реверсии или остаточная стоимость
Остаточная стоимость или стоимость реверсии должна быть продисконтирована (по фактору последнего прогнозного года) и прибавлена к сумме текущих стоимостей денежных потоков.
Таким образом, стоимость объекта недвижимости равна:
текущая стоимость прогнозируемых денежных потоков плюс текущая стоимость остаточной стоимости (реверсии). В нашем примере она составит около 20 000 000.
Контрольные тесты
Какая функция показывает равновеликий периодический платеж, необходимый для полной амортизации кредита?
1)взнос за амортизацию денежной единицы
2)накопленная сумма единицы;
3)накопление единицы за период;
4)фактор фонда возмещения;
5)текущая стоимость обычного аннуитета;
Какой из стандартов стоимости предполагает наличие у оценщика собственных знаний по поводу оцениваемого объекта?
внутренней (фундаментальной)стоимости
обоснованной рыночной стоимости;
обоснованной стоимости;
инвестиционной стоимости;
нет правильного ответа
Как называется денежный поток, в котором все суммы равновеликие?
аннуитет;
актив;
пассив;
рента;
дисконтирование
Что такое аннуитет?
денежный поток, в котором все суммы равновеликие;
вероятность получения в будущем дохода;
денежный поток, в котором все суммы различаются по величине;
денежный поток, в котором все суммы возникают через равновеликие отрезки времени;
процентное соотношение между денежным потоком и чистым доходом.
Что такое ликвидность?
возможность быстрого превращения активов предприятия в денежные средства;
обеспеченность запасов и затрат собственными источниками;
количество оборотов дебиторской задолженности за год;
эффективность хозяйственной деятельности предприятия;
соотношение между собственными и заемными средствами.
Глава 5. Сравнительный подход к оценке бизнеса
Особенностью сравнительного подхода к оценке собственности является ориентация итоговой величины стоимости, с одной стороны, на рыночные цены купли-продажи акций, принадлежащих сходным компаниям; с другой стороны, на фактически достигнутые финансовые результаты. В настоящей главе особое внимание уделяется:
• Теоретическому обоснованию сравнительного подхода, сфере его применения, особенностям конкретных методов.
• Критериям отбора сходных предприятий.
• Характеристике важнейших ценовых мультипликаторов.
• Основным этапам формирования итоговой величины стоимости.
• Выбору величин мультипликаторов, взвешиванию промежуточных результатов, внесению поправок.
5.1. Общая характеристика сравнительного подхода
Оценка имущества предприятия базируется на использовании трех основных подходов: доходного, затратного и сравнительного. Каждый из этих подходов отражает разные стороны оцениваемой компании, опирается на специфическую информацию, вместе с тем применение того или иного подхода возможно лишь при наличии необходимых условий.
Информация, используемая в том или ином подходе, отражает либо настоящее положение фирмы, либо ее прошлые достижения, либо ожидаемые в будущем доходы.
Сравнительный подход предполагает, что ценность собственного капитала фирмы определяется той суммой, за которую она может быть продана при наличии достаточно сформированного рынка. Другими словами, наиболее вероятной ценой стоимости оцениваемого бизнеса может быть реальная цена продажи сходной фирмы, зафиксированная рынком.
Теоретической основой сравнительного подхода, доказывающей возможность его применения, а также объективность результативной величины, являются следующие базовые положения.
Во-первых, оценщик использует в качестве ориентира реально сформированные рынком цены на сходные предприятия, либо их акции. При наличии развитого финансового рынка фактическая цена купли-продажи предприятия в целом или одной акции наиболее интегрально учитывает многочисленные факторы, влияющие на величину стоимости собственного капитала предприятия. К таким факторам можно отнести соотношение спроса и предложения на данный вид бизнеса, уровень риска, перспективы развития отрасли, конкретные особенности предприятия и многое другое, что, в конечном счете, облегчает работу оценщика, доверяющего рынку.
Во-вторых, сравнительный подход базируется на принципе альтернативных инвестиций. Инвестор, вкладывая деньги в акции, покупает, прежде всего, будущий доход. Производственные, технологические и другие особенности конкретного бизнеса интересуют инвестора только с позиции перспектив получения дохода. Стремление получить максимальный доход на вложенный капитал при адекватном уровне риска и свободном размещении инвестиций обеспечивает выравнивание рыночных цен.
В-третьих, цена предприятия отражает его производственные и финансовые возможности, положение на рынке, перспективы развития. Следовательно, в сходных предприятиях должно совпадать соотношение между ценой и важнейшими финансовыми параметрами, такими как прибыль, дивидендные выплаты, объем реализации, балансовая стоимость собственного капитала. Отличительной чертой этих финансовых параметров является их определяющая роль в формировании дохода, получаемого инвестором.
Сравнительный подход обладает рядом преимуществ и недостатков, которые должен учитывать профессиональный оценщик. Основным преимуществом сравнительного подхода является то, что оценщик ориентируется на фактические цены купли-продажи сходных предприятий. В данном случае цена определяется рынком, т.к. оценщик ограничивается только корректировками, обеспечивающими сопоставимость аналога с оцениваемым объектом. При использовании других подходов оценщик определяет стоимость предприятия на основе произведенных расчетов.
Сравнительный подход базируется на ретроинформации и, следовательно, отражает фактически достигнутые предприятием результаты производственно-финансовой деятельности, в то время как доходный подход ориентирован на прогнозы относительно будущих доходов.
Другим достоинством сравнительного подхода является реальное отражение спроса и предложения на данный объект инвестирования, поскольку цена фактически совершенной сделки наиболее интегрально учитывает ситуацию на рынке.
Вместе с тем сравнительный подход имеет ряд существенных недостатков, ограничивающих его использование в оценочной практике.
Во-первых, базой для расчета являются достигнутые в прошлом финансовые результаты. Следовательно, метод игнорирует перспективы развития предприятия в будущем.
Во-вторых, сравнительный подход возможен только при наличии самой разносторонней финансовой информации не только по оцениваемому предприятию, но и по большому числу сходных фирм, отобранных оценщиком в качестве аналогов. Получение дополнительной информации от предприятий аналогов является достаточно сложным и дорогостоящим процессом.
В-третьих, оценщик должен делать сложные корректировки, вносить поправки в итоговую величину и промежуточные расчеты, требующие серьезного обоснования. Это связано с тем, что на практике не существует абсолютно одинаковых предприятий. Поэтому оценщик обязан выявить эти различия и определить пути их нивелирования в процессе определения итоговой величины стоимости. Возможность применения сравнительного подхода в первую очередь зависит от наличия активного финансового рынка, поскольку подход предполагает использование данных о фактически совершенных сделках. Второе условие — это открытость рынка или доступность финансовой информации, необходимой оценщику. Третьим необходимым условием является наличие специальных служб, накапливающих ценовую и финансовую информацию. Формирование соответствующего банка данных облегчит работу оценщика, поскольку сравнительный подход является достаточно трудоемким и дорогостоящим.
5.2. Методы сравнительного подхода
Сравнительный подход предполагает использование трех основных методов, выбор которых зависит от целей, объекта и конкретных условий оценки.
1. Метод компании-аналога.
2. Метод сделок.
3. Метод отраслевых коэффициентов.
Рассмотрим содержание, оптимальную сферу и необходимые условия применения каждого метода
Метод компании-аналога, или метод рынка капитала, основан на использовании цен, сформированных открытым фондовым рынком.
Базой для сравнения служит цена одной акции акционерных обществ открытого типа. Следовательно, в чистом виде данный метод используется для оценки миноритарного пакета акций.
Метод сделок, или метод продаж, ориентирован на цены приобретения предприятия в целом либо его контрольного пакета акций. Это определяет наиболее оптимальную сферу применения данного метода — оценка 100%-го капитала, либо контрольного пакета акций.
Метод отраслевых коэффициентов, или метод отраслевых соотношений, основан на использовании рекомендуемых соотношений между ценой и определенными финансовыми параметрами. Отраслевые коэффициенты обычно рассчитываются специальными аналитическими организациями на основе длительных статистических наблюдений за соотношением между ценой собственного капитала предприятия и его важнейшими производственно-финансовыми показателями. На основе анализа накопленной информации и обобщения результатов были разработаны достаточно простые формулы определения стоимости оцениваемого предприятия.
Например, цена бензозаправочной станции колеблется в диапазоне 1,2—2,0 месячной выручки от реализации.
Цена предприятия розничной торговли формируется следующим образом: 0,75—1,5 величины чистого годового дохода увеличивается на стоимость оборудования и запасов, которыми располагает оцениваемое предприятие.
В данной главе будет подробно рассматриваться метод компании-аналога. Это связано с тем, что технология применения метода компании-аналога и метода сделок практически совпадает, различие заключается только в типе исходной ценовой информации: либо цена 1 акции, не дающей никаких элементов контроля, либо цена контрольного пакета, включающая премию за элементы контроля. Определенную сложность представляет ситуация, в которой объект оценки и имеющаяся у оценщика достоверная исходная информация не совпадают. Например, надо оценить контрольный пакет предприятия в условиях, когда ценовая информация по аналогам представлена только фактически проданными миноритарными пакетами. Следовательно, в данном случае оценщик должен провести необходимую корректировку и увеличить предварительно рассчитанную стоимость на величину премии за контроль. Более подробно эти вопросы будут рассмотрены далее.
Метод отраслевых коэффициентов пока не получил достаточного распространения в отечественной практике, поскольку отсутствует необходимая информация, накопленная за период достаточно длительного наблюдения в условиях относительно стабильного рынка. Суть сравнительного подхода к определению стоимости компании заключается в следующем. Выбирается предприятие, аналогичное оцениваемой фирме, которое было недавно продано. Затем рассчитывается соотношение между рыночной ценой продажи предприятия-аналога и каким-либо его финансовым показателем. Данное соотношение называется ценовым мультипликатором. Для получения рыночной стоимости собственного капитала необходимо умножить аналогичный финансовый показатель оцениваемой компании на расчетную величину ценового мультипликатора. Например, необходимо оценить предприятие, получившее в последнем финансовом году чистую прибыль в размере 100 млн. тенге. Аналитик располагает достоверной информацией о том, что недавно была продана сходная компания за 3000 млн. тенге., ее чистая прибыль за аналогичный период составила 300 млн. тенге.
1. Рассчитаем по компании-аналогу соотношение рыночной цены и чистой прибыли 3 000 : 300 = 10.
2. Определим стоимость оцениваемой компании: 100 х 10 = 1 000 млн тенге.
Однако, несмотря на кажущуюся простоту, этот метод требует высокой квалификации и профессионализма оценщика, т.к. предполагает внесение достаточно сложных корректировок для обеспечения максимальной сопоставимости оцениваемой компании с аналогами. Кроме того, оценщик должен определить приоритетные критерии сопоставимости, исходя из конкретных условий, целей оценки, качества информации.
Сравнительный подход к оценке бизнеса во многом схож с методом капитализации доходов. В обоих случаях оценщик определяет стоимость компании, опираясь на величину дохода кампании. Основное отличие заключается в способе преобразования величины дохода в стоимость компании. Метод капитализации предполагает конвертацию годового дохода в стоимость при помощи коэффициента капитализации. Коэффициент капитализации, построенный на основе рыночных данных, используется как делитель. Сравнительный подход также оперирует рыночной ценовой информацией и величиной дохода, достигнутого сходной фирмой. Однако в данном случае доход умножается на величину соотношения между ценой и доходом.
Основные этапы оценки предприятия методом компании-аналога:
I этап. Сбор необходимой информации.
II этап. Сопоставление списка аналогичных предприятий.
III этап. Финансовый анализ.
IV этап. Расчет ценовых мультипликаторов.
V этап. Выбор величины мультипликатора, которую целесообразно применить к оцениваемой компании.
VI этап. Определение итоговой величины
взвешивания промежуточных результатов.
VII этап. Внесение итоговых корректировок. стоимости методом
Основные принципы отбора предприятий-аналогов
Оценка бизнеса методом компании-аналога основана на использовании двух типов информации.
1. Рыночная (ценовая) информация.
2. Финансовая информация.
Рыночная информация включает данные о фактических ценах купли-продажи акций компании, сходной с оцениваемой фирмой, а также информацию о количестве акций в обращении. Число акций, на которое поделен собственный капитал компании, оказывает прямое влияние на стоимость одной акции. Две компании, имеющие одинаковую ценность собственного капитала, могут иметь различную стоимость одной акции, если их число в сравниваемых компаниях различно.
Качество и доступность ценовой информации зависит от уровня развития фондового рынка. Формирование отечественного фондового рынка не завершено, однако целый ряд агентств публикуют периодические бюллетени о состоянии финансовых рынков, предложениях на покупку/продажу ценных бумаг некоторых фирм, исследования активности рынков акций крупнейших предприятий по отраслям. Кроме того, необходимую информацию можно найти на соответствующих сайтах Интернет. В связи с тем, что казахстанский фондовый рынок характеризуется слабой активностью, информационной закрытостью, отсутствием достоверных сведений о фактической цене сделки практикующие оценщики достаточно часто используют цены спроса и предложения на акции аналогичных предприятий.
Финансовая информация прежде всего представлена официальной бухгалтерской и финансовой отчетностью, а также дополнительными сведениями, перечень которых определяется непосредственно оценщиком в зависимости от конкретных условий оценки. Дополнительная информация позволит определить степень сходства аналогов с оцениваемой компанией. На ее основе оценщик может провести необходимые корректировки, устраняющие различия в финансовых и производственных параметрах, методах ведения учета и составления отчетности, выявить излишек или недостаток собственного оборотного капитала, наличие нефункционирующих активов, внести поправки на экстраординарные события и т. д. Финансовая информация должна быть представлена отчетностью за текущий год и предшествующий период. Ретроинформация собирается обычно за 5 лет. Однако этот период может быть другим, если условия деятельности предприятия будут существенно отличаться от тех, в которых оно работает на момент оценки. Следует подчеркнуть, что финансовая информация должна быть собрана не только по оцениваемой компании, но и по аналогам. Корректировке подлежит вся отчетность по полному списку предприятий, отобранных оценщиком, поэтому сравнительный подход является чрезвычайно трудоемким и дорогостоящим. Кроме того, как показывает практика, тщательный анализ информации может дать отрицательный результат. Оценщик приходит к заключению об отсутствии необходимого сходства и невозможности применения данного метода, хотя время и деньги потрачены.
Финансовая информация, публикуемая одновременно с ценовой, обычно содержит минимальные сведения о компании. Поэтому более подробные данные могут быть получены оценщиком на основании письменного запроса либо непосредственно на предприятии в ходе собеседования. Состав необходимой финансовой информации зависит от конкретного объекта оценки, стратегии и методологии оценщика, а также стадии отбора аналогов.
Процесс отбора сопоставимых компаний осуществляется в три этапа. На первом этапе определяется так называемый круг «подозреваемых». В него входит максимально возможное число предприятий, сходных с оцениваемой фирмой. Поиск таких компаний начинается с определения основных конкурентов, просмотра списка слившихся и приобретенных компаний за последний год. Возможно использование электронных баз, однако такая информация нуждается в дополнительных сведениях, т.к. не бывает достаточно полной. Критерии сопоставимости на этом этапе достаточно условны и обычно ограничиваются сходством отрасли.
На втором этапе составляется список «кандидатов». Поскольку аналитику требуется дополнительная информация сверх официальной отчетности, он должен собрать ее непосредственно на предприятиях-аналогах. Поэтому первоначальный список может сократиться из-за отказа некоторых фирм в представлении необходимых сведений, а также из-за плохого качества, недостоверности представленной информации. Критерии отбора должны соответствовать важнейшим характеристикам фирм. Если аналог отвечает всем критериям, то он может использоваться на последующих этапах оценки. Окончательное решение о степени сопоставимости предприятий принимает оценщик.
На третьем этапе составляется окончательный список аналогов, который позволит аналитику определить стоимость оцениваемой фирмы. Включение предприятий в этот список основано на тщательном анализе дополнительно полученной информации. На этом этапе аналитик ужесточает критерии сопоставимости и оценивает такие факторы, как уровень диверсификации производства, положение на рынке, характер конкуренции и т. д.
Состав критериев сопоставимости определяется условиями оценки, наличием необходимой информации, приемами и методами, наработанными оценщиком. На практике невозможно проанализировать все факторы, по которым осуществляется окончательный отбор, однако критерий отраслевого сходства является обязательным. Рассмотрим некоторые критерии отбора.
Отраслевое сходство. Список потенциально сопоставимых компаний всегда принадлежит одной отрасли, однако не все предприятия, входящие в отрасль или предлагающие свои товары на одном рынке, сопоставимы. Оценщик должен учитывать следующие дополнительные факторы:
Уровень диверсификации производства. Если какое-либо предприятие выпускает один вид продукта или какой-то товар существенно доминирует в производстве и обеспечивает 85% общей прибыли, а сравнимая компания ориентирована на широкий круг товаров и услуг, либо рассматриваемый продукт дает не более 20% от общей массы прибыли, то такие компании не являются для оценщика сопоставимыми.
Возможность перепрофилирования производства и заменимость производимых продуктов. Так технологическое оборудование одного из предприятий может обеспечивать производство только конкретного продукта. В случае изменения ситуации на рынке, такое предприятие будет нуждаться в серьезном техническом перевооружении. Аналог выпускает сходный продукт на оборудовании, которое можно легко переналадить для производства новых товаров. Следовательно, предприятия не одинаково прореагируют на изменение ситуации на рынке.
Зависимость результатов деятельности от одних и тех же экономических факторов. Стоимость капитала строительных компаний, работающих в районах массового строительства и в отдаленных экономических районах, будет существенно отличаться при достаточном сходстве других критериев, таких как численность работающих, состав парка строительных машин и механизмов. Необходимо отметить, что аналитик, выявив различия, может либо вычеркнуть предприятие из списка аналогов, либо рассчитать величину корректировки цены аналога для определения стоимости оцениваемой компании.
Стадия экономического развития оцениваемой компании и аналогов. Опытная компания, проработавшая не один год, имеет неоспоримые преимущества и дополнительную прибыль за счет стабильного функционирования, хорошей клиентуры и поставщиков сырья и т. д.
Размер является важнейшим критерием, оцениваемым аналитиком при составлении окончательного списка аналогов. Оценка размера компании определяется по таким параметрам, как степень капитализации, численность персонала, объем реализованной продукции и услуг, объем прибыли, число филиалов и так далее. Однако принятие решения о включении компании в список только на основе размера может привести оценщика к неправильным выводам, так как объективно закрытые компании, наиболее часто нуждающиеся в оценке, обычно меньше, чем открытые. Кроме того, оценщик должен учитывать, что более крупная компания не будет автоматически иметь большую прибыль только за счет своего размера. Поэтому оценщик должен в первую очередь учитывать факторы, обеспечивающие величину прибыли:
Географическая диверсификация — крупные компании обычно имеют более разветвленную сеть потребителей своей продукции, тем самым уменьшается риск нестабильности объемов продаж. Количественные скидки — крупные компании закупают сырье в большем объеме, чем небольшие фирмы, и получают при этом значительные скидки. Кроме того, аналитик должен иметь в виду, что коэффициент использования оборудования в крупных компаниях лучше. Поэтому мультипликатор, рассчитанный для открытой компании, должен быть скорректирован и понижен для оценки закрытой компании.
Ценовые различия по сходным товарам — крупные компании зачастую имеют возможность устанавливать более высокие цены, так как потребитель предпочитает приобретать товар у хорошо зарекомендовавших себя фирм, оплачивая, по сути, товарный знак, гарантирующий качество. В конечном счете данный фактор оказывает влияние на уровень выручки от реализации и величину ценового мультипликатора.
Перспективы роста. Оценщик должен определить фазу экономического развития предприятия, поскольку она оказывает влияние на соотношение доли дивидендных выплат и доли чистой прибыли, направляемой на развитие предприятия. Оценивая перспективы роста компании, аналитик должен учитывать влияние трех основных факторов:
• Общий уровень инфляции.
• Перспективы роста, отрасли в целом и индивидуальные возможности развития конкретной фирмы в рамках отрасли.
• Динамика доли предприятия на рынке.
Эксперт должен внимательно изучить конкурентные преимущества и недостатки оцениваемой компании по сравнению с аналогами. Финансовый риск. Уровень финансового риска оценивается на основании следующих критериев:
• Структура капитала или соотношение собственных и заемных средств.
• Уровень ликвидности или возможности оплачивать текущие обязательства текущими активами.
• Кредитоспособность фирмы или ее способность привлекать заемные средства на выгодных условиях.
Качество менеджмента. Анализ этого фактора является наиболее сложным, так как проводится на основе косвенных данных, таких как качество отчетной документации, возрастной состав, уровень образования, опыт, зарплата управленческого персонала, а также место компании на рынке.
Решение вопроса о возможности использования зарубежных компаний в качестве аналогов осложняется несколькими причинами. Во-первых, это зачастую несопоставимые объемы реализации и других финансово-производственных показателей отечественных и зарубежных компаний. Данное несоответствие можно частично нивелировать с помощью проведения процедуры логарифмирования показателей для устранения эффекта масштаба.
Во-вторых, это различия в условиях хозяйствования казахстанских и зарубежных компаний, которые, в первую очередь, определяются макроэкономическими параметрами, а также различиями в системе учета хозяйственных операций и результатов финансово-хозяйственной деятельности. Выявленная несопоставимость требует внесения поправок, учитывающих различия в макроэкономической и политической ситуации в странах (поправка на страновой риск), и трансформацию бухгалтерской отчетности. При больших объемах выборки, последняя процедура представляется достаточно трудоемкой. Размер поправки на страновой риск зачастую носит субъективный характер и неадекватно учитывает постоянно меняющуюся ситуацию казахстанской политической и экономической жизни. Третья проблема связана с неразвитостью казахстанского фондового рынка и другими причинами «недооцененности» казахстанских компаний на отечественном рынке. Здесь практикующие оценщики расходятся во мнениях. Часть экспертов придерживается позиции, которая говорит о необходимости использования информации о зарубежных компаниях для того, чтобы избежать неоправданного занижения стоимости казахстанских предприятий. Практика показывает, что результаты, полученные по зарубежным аналогам, как правило, превышают результаты расчета стоимости по отечественным компаниям в несколько раз. Остальные считают, что данный подход не отражает реальной рыночной стоимости казахстанских компаний на рынке в конкретный момент, так как акции других предприятий продаются и покупаются на отечественном фондовом рынке по более низкой цене.
Перечень критериев сопоставимости, приведенный выше, не является исчерпывающим, и эксперт имеет возможность самостоятельно дополнять список дополнительными факторами. Оценщик редко находит компании абсолютно идентичные с оцениваемой, поэтому на основе анализа критериев он может сделать один из двух альтернативных выводов:
• компания сопоставима с оцениваемой по ряду характеристик и может быть использована для расчета мультипликаторов;
• компания недостаточно сопоставима с оцениваемой и не может быть использована в процессе оценки.
Эксперт должен в письменной форме объяснить, почему он сделал данное заключение.
Итоговый список должен включать не менее трех аналогичных компаний. Оценщик может использовать зарубежные компании в качестве аналогов, однако в этом случае необходимо убедиться, что уровень производства сходен с оцениваемым российским предприятием, трансформировать отчетность и скорректировать расчетную величину ценового мультипликатора на уровень странового риска.
Сопоставление финансовых показателей оцениваемой компании и фирм-аналогов. Сравнительный подход к оценке предприятия предполагает использование уже существующих в казахстанской практике приемов и методов финансового анализа. Оценщик анализирует балансы, отчеты о прибылях и убытках, дополнительную информацию, рассчитывает финансовые коэффициенты. Финансовый анализ является важнейшим компонентом определения сопоставимости аналогичных компаний с оцениваемым предприятием. Отличительные черты финансового анализа при сравнительном подходе проявляются в следующем:
во-первых, только по результатам финансового анализа оценщик принимает решение о сопоставимости и включении тех или иных фирм в список компаний-аналогов;
во-вторых, финансовый анализ позволяет определить место или ранг оцениваемой компании среди аналогов;
в-третьих, финансовый анализ является основой для внесения необходимых корректировок, обеспечивающих нужное сходство оцениваемой компании с аналогами;
в-четвертых, финансовый анализ позволяет обосновать степень доверия оценщика к конкретному виду ценового мультипликатора в их общем числе и в конечном счете определить вес каждого варианта стоимости при выведении итоговой величины.
По результатам финансового анализа составляется так называемая Сводная таблица финансовых коэффициентов, которая должна отражать следующую информацию:
Таблица 5.1. Сводные финансовые коэффициенты
Компания Финансовые коэффициенты
1. Аналог № 1
2. Аналог № 2
3. Аналог № 3
4. Аналог № 4
5. Аналог №5
6. Оцениваемая компания
7. Среднеарифметическое значение
8. Медиана
9. Место оцениваемой компании
Таблица составляется в произвольной форме, однако она должна содержать по оцениваемой компании и полному списку аналогов расчетную величину наиболее важных финансовых коэффициентов, например, таких, как:
• Доля чистой прибыли в выручке от реализации;
• Доля собственного капитала в суммарных источниках финансирования фирмы;
• Коэффициенты ликвидности;
• Коэффициенты оборачиваемости активов.
В связи с тем, что значение показателей по аналогам и оцениваемой фирме, вероятнее всего, будет существенно различаться, для принятия последующих решений, кроме расчетных фактических значений финансовых коэффициентов по аналогам и оцениваемой фирме, необходимо в таблицу включить вспомогательные показатели, такие как среднее арифметическое значение и медиана. Чрезвычайно важно на завершающем этапе финансового анализа определить место, занимаемое оцениваемой компанией среди отобранных аналогов по каждому из представленных показателей. Совокупность занимаемых мест служит основой для определения итогового рейтинга оцениваемой фирмы.
Материалы данной таблицы будут использованы аналитиком на этапе выбора величины ценового мультипликатора для оцениваемого бизнеса.
Характеристика ценовых мультипликаторов
Основным инструментом определения рыночной стоимости собственного капитала предприятия сравнительным подходом являются ценовые мультипликаторы.
Ценовой мультипликатор отражает соотношение между рыночной ценой предприятия и каким-либо его показателем, характеризующим результаты производственной и финансовой деятельности.
В качестве таких показателей можно использовать не только прибыль, но и денежный поток, дивидендные выплаты, выручку от реализации и некоторые другие.
Ценовой мультипликатор рассчитывается по всем аналогичным предприятиям.
Для оценки рыночной стоимости оцениваемой компании выбранная аналитиком величина ценового мультипликатора используется как множитель к ее аналогичному показателю.
Для расчета ценового мультипликатора необходимо:
1. Определить величину капитализации или рыночную стоимость собственного капитала компании аналога. Для этого рыночная цена акции аналогичной компании умножается на число акций в обращении. Это даст нам значение числителя в формуле. Цена акции берется на последнюю дату, предшествующую дате оценки, либо она представляет среднюю величину между максимальной и минимальной ценой за последний месяц.
2. Вычислить необходимые финансовые показатели: прибыль, выручку от реализации, стоимость чистых активов и другие. Это даст нам величину знаменателя. В этом качестве может выступать показатель финансовых результатов либо за последний отчетный год, либо за последние 12 месяцев, либо средняя величина за несколько лет, предшествующих дате оценки.
В оценочной практике используются два типа ценовых мультипликаторов: интервальные и моментные.
К первому типу можно отнести мультипликаторы:
1. «Цена/прибыль».
2. «Цена/денежный поток».
3. «Цена/ дивидендные выплаты».
4. «Цена/выручка от реализации».
К моментным мультипликаторам относят:
1. «Цена/балансовая стоимость».
2. «Цена/ чистая стоимость активов».
Деление ценовых мультипликаторов на интервальные и моментные важно с точки зрения используемого в расчетах числа акций в обращении. Так при расчете интервальных ценовых мультипликаторов необходимо рассчитать среднее число акций в обращении за такой же период, какой использовался при определении конкретного показателя. Например, если чистая прибыль рассчитывалась как средняя величина за три последних года, то необходимо рассчитать среднее число акций в обращении за те же годы.
Рассмотрим порядок расчета, сферу и основные условия применения ценовых мультипликаторов.
Мультипликаторы «цена/прибыль», «цена/денежный поток»
Данная группа мультипликаторов является самым распространенным способом оценки, т.к. информация о прибыли оцениваемой компании и предприятий-аналогов является наиболее доступной. Для расчета мультипликатора может использоваться любой показатель прибыли, который может быть получен аналитиком в процессе ее распределения. Поэтому, кроме показателя чистой прибыли, можно использовать прибыль до налогообложения, прибыль до уплаты процентов и налогов и т.д. Основное требование — полная идентичность используемого показателя для аналога и оцениваемой фирмы, т.е. мультипликатор, исчисленный на основе прибыли до уплаты налогов, нельзя применять к прибыли до уплаты процентов и налогов. Мультипликатор «цена/прибыль» существенно зависит от методов ведения бухгалтерского учета, поэтому, если в качестве аналога выступает зарубежная компания, необходимо привести систему распределения прибыли к единым стандартам. Только после проведения всех необходимых корректировок можно достигнуть необходимого уровня сопоставимости, позволяющего использовать мультипликатор.
В качестве базы для расчета мультипликатора можно использовать не только сумму прибыли, полученную в последний год перед датой оценки. Оценщик может использовать среднегодовую величину прибыли, исчисленную за последние пять лет. Оценочный период может быть увеличен или уменьшен в зависимости от имеющейся информации и наличия экстраординарных ситуаций, искажающих основную тенденцию в динамике прибыли.
Базой расчета мультипликатора «Цена/денежный поток» может служить любой показатель прибыли, увеличенный на сумму начисленной амортизации. Следовательно, аналитик может использовать несколько вариантов данного мультипликатора.
В процессе оценки аналитик стремится исчислить максимальное число мультипликаторов, поскольку применение их к финансовой базе оцениваемой компании приведет к появлению нескольких вариантов стоимости, существенно отличающихся друг от друга. Диапазон полученных результатов может быть достаточно широким. Поэтому большое число используемых мультипликаторов поможет оценщику выявить область наиболее обоснованной величины. Данное суждение основано на математических методах. Однако существуют экономические критерии, обосновывающие степень надежности и объективности того или иного мультипликатора.
Например, крупные предприятия лучше оценивать на основе чистой прибыли. Мелкие компании — на основе прибыли до уплаты налогов, поскольку в этом случае устраняется влияние различий в налогообложении. Ориентация на мультипликатор «Цена/денежный поток» предпочтительна при оценке предприятий, в активах которых преобладает недвижимость. Если предприятие имеет достаточно высокий удельный вес активной части основных фондов, более объективный результат даст использование мультипликатора «Цена/прибыль».
Наиболее распространенной ситуацией применения мультипликатора «Цена/денежный поток» является убыточность либо незначительная величина прибыли, а также несоответствие фактического полезного срока службы основных фондов предприятия периоду амортизации, принятому в финансовом учете. Это возможно в случае, когда стоимость активов будет незначительной, хотя прослужат они довольно долго.
Мультипликатор «Цена/дивиденды»
Данный мультипликатор может рассчитываться как на базе фактически выплаченных дивидендов, так и на основе потенциальных дивидендных выплат. Под потенциальными дивидендами понимаются типичные дивидендные выплаты, рассчитанные по группе сходных предприятий на основе сравнения их фактических дивидендных выплат и чистой прибыли.
Возможность применения того или иного мультипликатора данной группы зависит от целей оценки. Если оценка проводится в целях поглощения предприятия, то способность выплачивать дивиденды не имеет значения, т.к. она может прекратить свое существование в привычном режиме хозяйствования. При оценке контрольного пакета оценщик ориентируется на потенциальные дивиденды, т.к. инвестор получает право решения дивидендной политики. Фактические дивидендные выплаты важны при оценке миноритарного пакета акций, поскольку инвестор не сможет заставить руководство компании увеличить дивиденды даже при наличии достаточного роста прибыли.
Мультипликатор «Цена/дивиденды» на практике используется достаточно редко, несмотря на доступность необходимой для расчета информации. Это связано с тем, что порядок выплаты дохода инвесторам в открытых и закрытых компаниях существенно различается. В закрытых обществах собственники могут получать денежную выгоду в виде различных выплат, снижения арендной платы и т.д. Мультипликатор «Цена/дивиденды» целесообразно использовать, если дивиденды выплачиваются достаточно стабильно как в аналогах, так и в оцениваемой компании, либо способность компании платить дивиденды может быть обоснованно спрогнозирована. Оценщик должен удостовериться, что сумма дивидендов рассчитана по годовой процентной ставке, даже если дивиденды выплачиваются ежеквартально.
Мультипликатор «Цена/выручка от реализации»; «Цена/физический объем»
Данный мультипликатор используется довольно редко, в основном для проверки объективности результатов, получаемых другими способами.
Хорошие результаты мультипликатор «Цена/выручка от реализации» дает при оценке предприятий сферы услуг (реклама, страхование, ритуальные услуги и т.д.). Мультипликатор «Цена/выручка от реализации» не зависит от методов ведения бухгалтерского учета. Несомненным достоинством данного мультипликатора является его универсальность, которая избавляет оценщика от необходимости проведения сложных корректировок, применяемых при расчете мультипликатора «Цена/прибыль».
Если целью оценки является поглощение компании, то лучше ориентироваться на мультипликатор «Цена/выручка от реализации», так как он исключает возможность повышения цены за счет кратковременного роста прибыли, обеспечиваемого усилиями финансового менеджера. Однако в этом случае оценщик должен тщательно изучить стабильность объема выручки от реализации в будущем. Поскольку поглощение компании сопровождается, как правило, сменой управленческого аппарата, это может привести к полной замене производственного персонала и падению объемов реализации. Особенность применения мультипликатора «Цена/выручка от реализации» заключается в том, что оценщик должен обязательно учитывать структуру капитала оцениваемой компании и аналогов. Если соотношение собственных и заемных средств существенно отличается, то оценку лучше проводить на основе рыночной стоимости инвестированного капитала.
Схема оценки предприятий с различным соотношением собственных и заемных средств
1. По компании-аналогу рассчитывается инвестированный капитал как сумма рыночной стоимости собственного капитала и долгосрочных обязательств.
2. Рассчитывается бездолговой мультипликатор как отношение инвестированного капитала к финансовому показателю аналога. 3. По оцениваемому предприятию определяется величина инвестированного капитала: адекватный финансовый показатель оцениваемого предприятия умножается на расчетную величину бездолгового мультипликатора.
4. Рассчитывается рыночная стоимость собственного капитала оцениваемого предприятия как разность инвестированного капитала и стоимости долгосрочных обязательств оцениваемой компании. Мультипликатор «Цена/физический объем» является разновидностью мультипликатора «Цена/выручка от реализации». В этом случае цена сопоставляется не со стоимостным, а с натуральным показателем, который может отражать физический объем производства, размер производственных площадей, количество установленного оборудования, а также любую другую единицу измерения мощности.
Мультипликатор «Цена/балансовая стоимость»
Для расчета мультипликатора «Цена/балансовая стоимость» в качестве финансовой базы используется балансовая стоимость либо всех, либо чистых активов аналогичных компаний на дату оценки или на последнюю отчетную дату. Данный мультипликатор относится к так называемым моментным показателям, поскольку используется информация о состоянии на конкретную дату, а не за определенный отрезок времени.
Оптимальная сфера применения данного мультипликатора — оценка холдинговых компаний либо оценка в случае необходимости срочной продажи крупного пакета акций, входящего в состав портфеля ценных бумаг оцениваемой компании.
Финансовой базой для расчета является либо величина чистых активов, либо полная стоимость активов оцениваемой компании и компаний-аналогов. Причем за основу можно брать как информацию официальных балансовых отчетов компаний, так и скорректированную величину, полученную оценщиком расчетным путем.
Мультипликатор «Цена/чистая стоимость активов» можно применять в том случае, если соблюдаются все следующие условия: а) оцениваемая компания имеет значительные вложения в собственность: недвижимость, ценные бумаги, газовое или нефтяное оборудование;
б) основной деятельностью компании является хранение, покупка и продажа такой собственности. Управленческий и рабочий персонал добавляет к продукции в этом случае незначительную стоимость. Если применение мультипликатора «Цена/чистая стоимость активов» возможно, то, оценивая сопоставимость, оценщик должен дополнительно учитывать следующие факторы:
а) необходимо проанализировать по аналогам и оцениваемой компании долю прибыли в выручке от реализации, так как решение о купле-продаже акций может привести к искусственному росту прибыли в последний год;
б) оценщик должен изучить по всему списку сравниваемых компаний структуру активов, используя различные признаки классификации, такие как виды активов, местоположение и т.д.;
в) весьма важным представляется анализ чистых активов всех компаний, позволяющий определить наличие и долю в них акций, представляющих контрольные пакеты дочерних фирм;
г) необходимо оценить ликвидность всех финансовых активов компании, так как соотношение долей акций, принадлежащих открытым и закрытым компаниям, является определяющим признаком сопоставимости.
Процесс формирования итоговой величины стоимости состоит из трех основных этапов:
• выбор величины мультипликатора, которую целесообразно использовать для оцениваемой компании;
• согласование предварительных результатов рыночной стоимости, полученных в результате использования различных видов ценовых мультипликаторов;
• внесение итоговых корректировок.
Выбор величины мультипликатора является наиболее сложным и ответственным этапом, требующим особенно тщательного обоснования, зафиксированного впоследствии в отчете об оценке, представляемом заказчику. Поскольку одинаковых компаний не существует, диапазон величины одного и того же вида ценового мультипликатора, рассчитанного по всему списку компаний-аналогов, может быть достаточно широким. Аналитик прежде всего отсекает экстремальные величины мультипликатора и рассчитывает его среднюю и медианную величину по аналогам.
Выбор величины ценового мультипликатора производится на основе анализа фактических средних и медианных значений по каждому финансовому коэффициенту, а также позиции оцениваемой компании по элементу сравнения. Методика поиска аналогов сводится к отбору компаний, чьи показатели наиболее близки к оцениваемой по таким критериям, как:
• структура балансового отчета;
• отчеты о финансовых результатах;
• значения финансовых коэффициентов.
Для отбора аналогов можно предложить математическое обоснование: отбираются компании-аналоги, показатели которых не превышают заданного отклонения по всему диапазону значений от показателя оцениваемой компании, как в сторону уменьшения, так и в сторону увеличения. В этом случае перечень сопоставимых компаний уменьшается, однако экономическая логика не всегда совпадает с математическим расчетом и в этом случае всем элементам сравнения придается равное значение.
Затем к оценке привлекаются результаты финансового анализа, сосредоточенные в так называемой «Сводной таблице финансовых коэффициентов» Для выбора величины конкретного вида ценового мультипликатора аналитик использует финансовые коэффициенты, наиболее тесно с ним связанные. На основе сопоставления величин финансового коэффициента определяется положение (ранг) оцениваемой фирмы среди аналогичных компаний. Выбор значения ценового мультипликатора для оцениваемой компании с использованием данных «Сводной таблицы финансовых коэффициентов» производится обычно экспертным путем. Для этих целей можно применять методику графического сравнения значений финансовых коэффициентов оцениваемой компании с адекватными финансовыми показателями компаний-аналогов с целью определения места занимаемого оцениваемой компанией. Анализируются минимальное и максимальное значение коэффициента по всему списку аналогов, а также рассчитанное среднее и медианное значение. Можно предложить математическое обоснование: например, коэффициент ликвидности, min значение 0,95 принимаем за 0%, max значение 4,2 за 100%. Тогда значение показателя по оцениваемой компании, равное 1,34, в процентах будет составлять 8,92% = (1,34 — 0,95)/ (4,2 — 0,95).
Затем оценщик проводит графическое сравнение значений мультипликаторов по аналогам с наиболее близкими значениями рассчитанных минимальных, максимальных и медианных величин финансовых коэффициентов. Обычно выбирается не конкретная величина ценового мультипликатора, а диапазон наиболее объективных значений. Например, если диапазон значений финансовых коэффициентов оцениваемой компании по сравнению с аналогами — ниже среднего, итоговое значение мультипликатора будет определяться в диапазоне: среднее или ниже среднего.
Метод компании-аналога предполагает использование ценовой информации с фондового рынка по открытым акционерным обществам, поэтому выбранную величину ценового мультипликатора рекомендуется скорректировать (уменьшить) в связи с более низким уровнем капитализации оцениваемой компании.
Согласование предварительных результатов рыночной стоимости. Сравнительный подход позволяет использовать аналитику максимальное число всех возможных видов мультипликаторов, следовательно, в процессе расчета будет получено столько же вариантов стоимости. Если аналитик в качестве итоговой величины предложит простую среднюю всех полученных величин рыночной стоимости собственного капитала, то это будет означать, что он одинаково доверяет всем мультипликаторам.
Наиболее объективным приемом определения итоговой величины рыночной стоимости является метод взвешивания. Оценщик в зависимости от конкретных условий, целей и объекта оценки, степени доверия к той или иной информации придает каждому мультипликатору и, соответственно, варианту стоимости свой вес. На основе такого взвешивания получается итоговая величина стоимости, которая может быть взята за основу для проведения последующих корректировок.
Таблица 5.2. Взвешивание предварительной величины стоимости
Мультипликатор
Предварительная стоимость
Удельный вес
Промежуточный результат
1.Цена/чистая прибыль
55
0,6
33
2.Цена/денежный поток
46
0,3
13,8
3.Цена/балансовая стоимость
40
0,1
4,0
Итоговая величина стоимости
50,8
Внесение итоговых корректировок
Итоговая величина стоимости, полученная в результате применения всей совокупности ценовых мультипликаторов, должна быть откорректирована в соответствии с конкретными условиями оценки бизнеса. Наиболее типичными являются следующие поправки.
Портфельная скидка представляется при наличии не привлекательного для покупателя характера диверсификации активов. Аналитик при определении окончательного варианта стоимости должен учесть имеющиеся нефункционирующие активы, например непроизводственного назначения.
Если в процессе финансового анализа выявлена либо недостаточность собственного оборотного капитала, либо экстренная потребность в капитальных вложениях, полученную величину необходимо вычесть.
Возможно применение скидки на низкую ликвидность.
В некоторых случаях вносится поправка в виде премии за предоставляемые инвестору элементы контроля. Данная поправка обеспечивает универсальность метода компании-аналога, так как позволяет применять его для оценки контрольной доли собственного капитала.
Сравнительный подход, несмотря на достаточную сложность и трудоемкость расчетов и анализа, является неотъемлемым приемом определения обоснованной рыночной стоимости. Результаты, полученные данным способом, имеют наиболее объективную рыночную основу, качество которой зависит от возможности привлечения широкого круга компаний-аналогов. Следовательно, основным фактором, сдерживающим применение в российской практике метода компании-аналога и метода сделок, является отсутствие достаточной и достоверной ценовой и финансовой информации по отечественным компаниям-аналогам. Однако появление в последние годы фирм, специализирующихся на сборе и анализе подобной информации, а также различных электронных источников является существенным прорывом в данном направлении. Таким образом, дальнейшее развитие оценочной инфраструктуры будет способствовать расширению сферы использования сравнительного подхода.
Контрольные тесты
Какая функция сложного процента применяется для определения величины взноса в погашение самоамортизирующегося кредита?
периодический взнос на погашение кредита
будущая стоимость единицы
текущая стоимость единицы
текущая стоимость аннуитета
будущая стоимость аннуитета
Укажите единственно верное утверждение о дисконтировании.-
позволяет рассчитать настоящую(приведенную) стоимость при заданном периоде, процентной ставке и конкретной сумме
сумма, возникающая в определенной хронологической последовательности
вероятность получения в будущем дохода
доход, получаемый ежегодно при вложении капитала
нет правильного ответа
Какой риск относится к внутренним рискам?
административный
политический
нет верного ответа
инфляционный
ценовой
При росте цен в условиях инфляции применяется следующий метод учета запасов
по себестоимости последних по времени закупок
по средней себестоимости
по себестоимости первых по времени закупок
по полной себестоимости
по себестоимости
Что такое обычный денежный поток?
денежный поток, в котором все суммы различаются по величине
денежные суммы, возникающие в определенной хронологической последовательности
денежный поток, в котором все суммы равновеликие
денежный поток, возникающий в начале периода
нет правильного ответа
Риск связанный с конкретной приносящей доход собственности который может быть связан с экономическими и институциональными условиями на рынке:
Систематический риск (sistematic risk)
Несистематический риск (unsistematic risk)
Статичный риск (static risk)
Динамичный риск (dynamic risk)
Нединамичный риск (undynamic risk)
Глава 6. Оценка бизнеса затратным подходом
Процедура оценки бизнеса затратным подходом заключается в выявлении неучтенных (функционирующих и/или нефункционирующих) активов и переоценке всех располагаемых компанией активов по рыночной стоимости. Причем, если оценивается доля бизнеса принадлежащая акционерам, из стоимости активов вычитаются обязательства, также переоцененные по рыночной стоимости (состав которых также дополнен неучтенными обязательствами или обременениями в случае их обнаружения).
Описанная выше схема оценки бизнеса затратным подходом является устоявшейся и общепринятой. Результат этой оценки впоследствии принимается во внимание при формировании мнения об итоговой величине стоимости бизнеса вместе с результатами оценки полученными другими подходами. Казалось бы, все это вполне правильно и не вызывает никаких сомнений. Хотя, пожалуй, те или иные сомнения («разброд и шатания» в умах) присутствуют почти всегда, даже в таком вопросе. Это касается, например, адекватной оценки неучтенных на балансе нематериальных активов и гудвилла компании. В этой связи автор настоящей публикации хочет обозначить ряд факторов, учет которых необходим при оценке бизнеса затратным подходом.
Начнем с гудвилла компании. Обычно гудвиллу «приписывают» стоимость, полученную как разница между результатами доходного и сравнительного подходов с одной стороны, и результатом затратного подхода, с другой стороны. Однако при такой оценке теряется смысл в результате затратного подхода, ибо его результат с учетом так оцененного гудвилла всегда будет практически совпадать с результатами других подходов. Поэтому представляется целесообразным в рамках затратного подхода осуществлять оценку стоимости гудвилла чисто затратным подходом, независимо от других подходов. Одним из таких способов может стать интервьюирование специалистов по маркетингу и пиару. Некоторые подобные высококлассные специалисты могут дать экспертное заключение о том, сколько времени и денежных средств требуется для того, чтобы компания «с нуля» обросла определенным количеством связей с контрагентами по бизнесу (тем количеством, которое имеет оцениваемая компания) и эффективной узнаваемостью на рынке вообще, и среди целевой аудитории в частности, а также досконально изучила рынок своей продукции и потребителей. Если эти затраты сильно разнесены во времени и в регионе сильная инфляция, затраты на формирование гудвилла следует индексировать. В то же время поскольку отнюдь не все подобные вложения оказываются эффективными и, кроме того, подобные инвестиции подвержены сильному обесцениванию ввиду влияния эффектов зашумления и «короткой потребительской памяти», эти вложения также следует амортизировать. Корректировки инвестиций в гудвилл – индексация и амортизация, - частично нивелируют друг друга, но все же, как правило (при отсутствии гиперинфляции), влияние амортизации существенно превышает воздействие инфляции. Итог суммарных скорректированных затрат на создание эффективной узнаваемости, связей и репутации, которыми обладает оцениваемая компания, следует трактовать как оценку стоимости гудвилла , определенную затратным подходом, и следовательно, ее необходимо прибавлять к стоимости других оцениваемых активов компании.
Теперь перейдем к рассмотрению другого вопроса, связанного с оценкой бизнеса затратным подходом. Сам по себе затратный подход оперирует понятием стоимости и принципом замещения: если какой-либо объект можно каким-то образом создать дешевле, чем предлагаемая за него цена продавца-собственника объекта, то так и надо поступать – создавать самостоятельно. Если же затраты на самостоятельное создание объекта превышают цену продавца целевого объекта, либо создать этот объект самостоятельно по каким-либо причинам не представляется возможным, объект, при его надобности, целесообразно купить на рынке. При такой схеме упускается из рассмотрения, как минимум, один нюанс, а именно – издержки упущенных возможностей. Применение затратного подхода учитывает фактор времени при переоценке активов и обязательств посредством индексации внеоборотных активов и дисконтирования ряда запасов и обязательств. Однако потенциальный покупатель, решив, руководствуясь принципом замещения, самостоятельно «построить» бизнес, затратит на это не только прямые издержки обусловленные покупкой активов по рыночной стоимости, но и вмененные издержки – за время самостоятельного «строительства» бизнеса инвестор потеряет прибыль, которую он мог бы получать, если купил бы этот бизнес уже функционирующим. Кроме этого, необходимо также принимать во внимание специфические риски, присущие молодым компаниям при выходе на рынок: приобретая готовый бизнес, покупатель-инвестор избавляется от рисков начального этапа. И последнее, что следует принять во внимание при формировании мнения о рыночной стоимости бизнеса – наиболее вероятной цене сделки между продавцом и покупателем, - это скидка, позволяющая покупателю получать выгоду от сделки . Сразу же оговоримся, что данная скидка – не догма, покупатель в процессе торгов стремится ее выторговывать, однако не факт, что продавец согласится ее предоставить: если бы такая скидка существовала всегда, действовал бы арбитраж, позволяющий «выковывать» деньги из воздуха, что быстро «съело» бы саму возможность как таковую - все кинулись бы заниматься покупкой и продажей готовых бизнесов.
С учетом вышеизложенного скорректированная стоимость функционирующего бизнеса, полученная на основе затратного подхода, составит:
Р=З + G3 + УВ + RP - ∆ (6.1)
где Р – стоимость функционирующего бизнеса,
З – стоимость скорректированных по рыночной стоимости материальных и идентифицированных нематериальных активов (чистых активов) бизнеса, определенных в рамках затратного подхода,
Gз – стоимость гудвилла компании, определенная затратным подходом,
УВ – стоимостный эквивалент упущенной выгоды, возникающей из-за недополучения прибыли на этапе становления бизнеса «с нуля»,
RP – стоимостный эквивалент специфических рисков этапа становления (превышения сметы расходов, повышенной вероятности полной или частичной потери осуществленных инвестиционных затрат),
∆ - скидка на уторговывание.
Следует отметить, что определение стоимости бизнеса согласно (6.1) подразумевает эффективное функционирование с определенной положительной рентабельностью. Если же бизнес только что создан и не приносит своим владельцам прибыль, для потенциального покупателя такого бизнеса нет принципиальной разницы между покупкой такого бизнеса и созданием его с нуля. Поэтому в подобной ситуации компоненты УВ и RP в (6.1) будут близки к нулю. Наибольший интерес в (6.1) представляют компонента упущенной выгоды (УВ) и стоимостный эквивалент специфических рисков этапа становления (RP).
Рассмотрим их подробнее. Планирование создания бизнеса с нуля до определенной стадии можно разбить на несколько этапов: этап регистрации компании и приобретения активов, этап отладки, найма и обучения персонала – до момента начала реализации готовой продукции, этап выхода на уровень безубыточности, и наконец этап выхода на плановую рентабельность Rп. Если для простоты рассмотрения разбить весь цикл создания бизнеса с нуля всего на два этапа – этап отсутствия прибыли (t0, t1) и этап роста прибыли с нуля до планового уровня рентабельности (t1, t2), то оценка стоимостного эквивалента упущенной выгоды может осуществляться по следующей формуле:
УВ= З(t0, t1) х {(1+Rn) в степени {(t1-td1)/T} х (1+Rn(1-k) в степени {(t2-t1)/T} -1}+3(t1, t2) х {(1+Rn(1-k) в степени {(t2-td2)/T}) -1} (6.2)
где З(t0, t1) – общие затраты осуществленные на этапе (t0, t1),
З(t1, t2) – общие затраты осуществленные на этапе (t1, t2), причем,
З(t0, t1)+ З(t1, t2) = З + Gз, (6.3)
Rп – плановый уровень рентабельности (рентабельность (ROE) готового бизнеса или объектов-аналогов),
kRп – средний уровень рентабельности на этапе (t1, t2), 0 < k < 1.
td1 – дюрация инвестиций на этапе (t0, t1),
td2 – дюрация инвестиций на этапе (t1, t2),
T – фактор размерности времени приводящий показатель степени в безразмерную форму и приводящий его же (показатель степени) к годовому интервалу,
t1 – момент начала зарабатывания компанией прибыли,
t2 – момент выхода компании на плановый уровень рентабельности Rп.
Наличие компоненты RP в (6.1) с позиции затратного подхода означает возможность дополнительных непредвиденных расходов, характерных для этапа первоначального становления (в т.ч. дополнительные издержки УВ, могущие возникнуть из-за затягивания прохождения бизнесом определенных промежуточных подэтапов на этапе становления). По мнению автора, оценка параметра RP может осуществляться двумя способами. Во-первых, можно ориентироваться на стоимостный эквивалент премии за риск вложений в малые компании, учитывая тот факт, что вновь создаваемые компании, как правило, являются небольшими компаниями. Во-вторых, можно оценить различие в статистике банкротств компаний находящихся на стадии становления и компаний со среднестатистическим для рынка сроком от момента образования до текущего момента. Получив значение разницы вероятностей банкротства, ее следует трансформировать в относительную рисковую надбавку (дополнительную рисковую надбавку, отражающую только специфические риски вновь образуемой компании), после чего преобразовать ее в абсолютное (стоимостное) выражение.
Представленный выше модифицированный затратный подход (назовем его так) схож со структурой моделей EBO и EVA: и здесь и там есть две компоненты – компонента капитала/инвестированного капитала и компонента доходов. Однако в отличие от EBO и EVA модифицированный затратный подход ограничивает суммирование доходов интервалом (t0, t2), что при условии положительной рентабельности капитала приводит к получению более низкого значения стоимости бизнеса по сравнению с результатами оценки полученными в рамках модели EBO/ EVA, но более высокого по сравнению со стоимостью, получаемой при использовании традиционного затратного подхода. То есть применение модифицированного затратного подхода снижает разрыв между результатами оценки затратным и доходным подходами, и, следовательно, повышает адекватность итоговой оценки стоимости бизнеса. Если потенциальный покупатель бизнеса оценивает для себя инвестиционную стоимость объекта-мишени, ориентируясь на доходный подход, и при этом он может убедить собственника мишени продать ее по цене определенной на базе модифицированного затратного подхода, чистая приведенная стоимость такой сделки будет для него положительной.
Контрольные вопросы и тесты и задачи
В каких случаях для оценки недвижимости необходимо применение прежде всего затратного подхода?
Назовите основные этапы оценки недвижимости затратным подходом.
Дайте определение восстановительной стоимости.
Какие методы расчета восстановительной стоимости Вам известны?
Что такое прибыль застройщика и чем она отличается от прибыли подрядчика?
Какой из методов расчета восстановительной стоимости показывает наиболее точные результаты?
Имеются ли понятийные различия в терминах “стоимость” и “затраты”?
Опишите структуру сводного сметного расчета.
Чем характеризуется износ объектов недвижимости?
Охарактеризуйте основные виды износа и методы их расчета.
Какой из ниже перечисленных методов относится к затратному подходу
метод чистых активов;
метод капитализации;
метод сделок;
метод арбитража;
метод ЛИФО
Выберите единственно верное определение временной оценки денежных потоков.
приведение денежных сумм, возникающих в разное время к сопоставимому виду;
отрезок времени, в течение которого производится оценка;
денежный поток, который оценивается в данное время;
все верно;
нет правильного ответа
Что предполагает затратный подход в оценочной деятельности?
анализ балансовых счетов предприятия и их корректировку;
анализ практики продаж объектов в отрасли;
прямое сравнение аналогичных объектов;
анализ доходов и затрат
нет правильного ответа
Что включает технология оценки недвижимости затратным методом?
все перечисленные стадии
оценку стоимости земельного участка
оценку стоимости восстановления или замещения улучшений
вычет накопленного улучшениями износа
суммирование стоимости земельного участка и улучшений
Задачи
Определите общий накопленный износ (% износа) объекта недвижимости, исходя из следующих данных:
цена продажи объекта составила 90000;
исходя из анализа продаж земли, участок имеет оценочную стоимость в 30000;
анализ затрат показывает, что полная стоимость воспроизводства здания составляет 110000.
Известна следующая информация:
Гостиницы
Офисные здания
Торговые здания
Затраты на строительство, $
1800000
1400000
1500000
Чистый операционный доход, $
200000
160000
140000
Коэффициент капитализации
Для зданий
Для земли
14%
10%
14%
10%
14%
10%
Участок земли пригоден по нормам зонирования для строительства офисного, торгового или гостиничного здания.
Определите остаточную стоимость земли.
Оцените стоимость жилого объекта недвижимости площадью в 1600 кв.м., используя затратный подход:
Затраты на строительство дома - 60$/кв.м.
Затраты на строительство гаража площадью 360 кв.м. - 30$/кв.м.
Затраты на строительство других сооружений - 8500$
Устранимый физический износ - 11000$
Неустранимый физический износ - 4000$
Устранимый функциональный износ - 6000$
Стоимость земли, исходя из сопоставимых продаж - 38000$
Какова общая расчетная стоимость объекта в соответствии с затратным подходом?
Найти функциональный износ здания из-за несоответствия лифтов современным требованиям. Восстановительная стоимость лифтов составляет 350000$. Установка лифтов была произведена 10 лет назад. Затраты на демонтаж составят 25000$, а монтаж новых лифтов обойдётся в 150000$. Общая срок физической жизни старых лифтов составляет 25 лет.
Стоимость свободного земельного участка равна 400000$. Здание, площадью 4000 кв.м. построено 7 лет назад. Срок его экономической жизни - 90 лет. Средняя стоимость строительства 1м2 составляет 650$. Прибыль инвестора 25%. Оценить объект затратным подходом.
РАЗДЕЛ 3. ОЦЕНКА СТОИМОСТИ РАЗЛИЧНЫХ ВИДОВ ИМУЩЕСТВА ПРЕДПРИЯТИЯ
Глава 7. Особенности оценки земли
7.1. Принципы оценки земли и его регулирование
Первую группу образуют ринципы, основанные на редставлениях потенциальных земельных собственников.
Исходным принципом оценки рыночной стоимости земель различного назначения выступает принцип полезности, который означает, что чем больше земельный участок способен удовлетворить потребности собственника, тем выше его полезность и стоимость.
Экономические принципы оценки земли условно можно разделить на четыре группы: (см. рис. 7.1).
С позиции потенциально собственника Обусловленные процессом эксплуатации Обусловленные рыночной средой
П Р И Н Ц И П Ы
3 группа 2 группа 1 группа
Полезность Замещение Ожидание Спрос и предложение Конкуренция Соответствие Изменение внешней среды Остаточная продуктивность Предельная производительность Сбалансированность Разделение
4 группа
Лучшее и наиболее эффективное использование
Рис. 7.1. Принципы оценки земли
В экономической оценке полезность определяется величиной и сроками получения доходов или других выгод от использования земли, таких как эксплуатация в особом режиме или связь с историческими ценностями.
Необходимо особо подчеркнуть, что земля выступает в качестве общественного блага, поскольку она служит местом обитания и условием жизни людей, выполняя важнейшую экологическую функцию. Поэтому весь земельный фонд страны не может являться объектом коммерческого использования. Он включает земли различного целевого назначения, которые удовлетворяют на только индивидуальные, но и общественные потребности.
Принцип замещения означает, что стоимость земельного участка зависит от того, имеются ли на рынке аналогичные или заменяющие его участки. Данный принцип учитывает возможность альтернативного выбора для покупателя, то есть при наличие определенного количества однородных земельных участков самым высоким спросом будут пользоваться участки с наименьшей ценой. Кроме того, принцип замещения определяет максимальную стоимость земли.
Принцип замещения наиболее полно реализуется в новых поселениях, районах массовой жилой и дачной застройки, где высок уровень стандартизации архитектурных и градостроительных проектов и преобладают однотипные земельные участки.
Принцип ожидания определяет тем, какой доход или удобства от использования земельного участка, включая выручку от последующей продажи, ожидает получить потенциальный покупатель (инвестор).
Данный принцип лежит в основе оценки стоимости земельных участков доходным подходом, когда оценочная стоимость определяется как сумма текущих стоимостей будущих доходов. По отношению к земле сельскохозяйственного назначения принцип ожидания проявляется в том, что стоимость участка отражает капитализированную величину ожидаемой ренты от сельскохозяйственного производства.
Вторая группа принципов оценки обусловлена процессом использования земли и включает принципы остаточной продуктивности, предельной производительности и сбалансированности.
Согласно классической теории экономики, разработанной первоначально для сельскохозяйственных земель, доход, приписываемый земле, трактуется как остаточный, а стоимость земли определяется величиной остаточного дохода.
Как известно процесс любого производства представляет собой соединение четырех групп факторов: земли, труда, вещественного капитала и предпринимательских способностей (менеджмента). Так как земля неподвижна, то труд, капитал и управление должны быть привлечены к ней. Поэтому собственник земли сначала должен оплатить расходы по привлечению других факторов производства, после чего оставшийся доход может быть отнесен к земле .
Таблица 7.1. - Остаточная продуктивность земли
Факторы производства
Факторы компенсации
Труд
Вещественный капитал (здания, сооружения, оборудование и технические средства)
Менеджмент
Земельный участок
Зарплата, комиссионные вознаграждения
Процент на вложенный капитал плюс амортизация
Прибыль, вознаграждение управляющим
Остаток дохода, приходящийся на земельный участок
Принцип остаточной продуктивности раскрывает особое положение земли в системе факторов производства и объясняет, почему ее остаточная стоимость может быть подвержена колебаниям.
Принцип предельной производительности гласит: добавление факторов производства или улучшений к земельному участку эффективно до тех пор, пока чистая отдача увеличивается быстрее затрат.
Принцип сбалансированности предполагает, что все факторы, обусловливающие полезность или доходность какого-либо земельного участка, сбалансированный между собой таким образом, что достигается максимальная стоимость земли.
Принцип разделения элементов недвижимости и имущественных прав на них. Он означает, что физические элементы земельной недвижимости и имущественные права на них можно разделять и соединять таким образом, чтобы достигнуть максимальной стоимости объекта. При разделении физических элементов земельной недвижимости и имущественных прав на них возможны следующие варианты:
Пространственное разделение: разделение прав на воздушное пространство, на почвенный слой земли, на подземное пространство с недрами, на водные ресурсы прибрежных полос, на разбиение земельного массива на отдельные участки;
Разделение по видам имущественных прав: аренда, ограниченное использование, ипотека, внесение в уставные фонды предприятий, эмиссионное обеспечение для выпуска акций;
Разделение по времени владения или пользования: краткосрочная и долгосрочная аренда, бессрочное пользование, пожизненное владение, право хозяйственного ведения и оперативного управления.
Третья группа принципа оценки земли отражает действие рыночной среды и включает принципы спроса и предложения, конкуренции, соответствия, изменения внешней среды.
Принцип спроса и предложения выражает взаимозависимость между растущей потребностью в земельных участках, в процессе социально-экономического развития общества и природной ограниченностью их предложения.
Спрос (D) на земельные участки формируются под влиянием многочисленных факторов, подразделяющихся на:
Экономические – темпы экономического роста, развитие инфраструктуры и транспорта, уровень занятости населения, величина доходов и цен, отраслевая и региональная структура производства и др;
Демографические – численность и плотность населения в данном регионе, возрастной и профессиональный состав, миграция населения, размер семьи и др;
Природно-климатические – продолжительность времен года, водный режим, физические характеристики участка (тип почвы, рельеф, формы участка) и др;
Административные – территориально-экономическое зонирование, политика государства в области налогов, цен, кредита, правовое регулирование земельного рынка.
Предложение (S) земли в целом выступает как фиксированная величина, ограниченная самой природой. В этом проявляется одна из особенностей земли как свободно не воспроизводимого товара. Взаимодействие спроса и предложения на землю в краткосрочном периоде представлено на рис.7.2.
В то же время отмечается устойчивая структурная тенденция перераспределения земли по категориям пользователей.
Цена
S
P D
Q Количество
Рис. 7.2.. Взаимодействие спроса и предложения на землю
Таким образом предложение земельных участков, пользующихся наибольшим рыночным спросом – земли под застройку, - имеет тенденцию к росту за счет сокращения лесного фонда и земель запаса. Графически кривая предложения земель указанной категории не является вертикальной линией, то есть абсолютно неэластичной, а имеет низкую эластичность (см. рис.7.3).
Цена
S
p1 D2
p2 D
Q Q1 Количество
Рис. 7.3. Предложение земель
Принцип спроса и предложения, как основа механизма рыночного саморегулирования объясняет большие различия в цене земельных участков в зависимости от их целевого назначения и местоположения, то есть находящихся в населенных пунктах и за их пределами, в центре и на окраине городов. Вследствие неразвитости земельного рынка и наличия ограничений на всех уровнях административной власти, цены на землю пока еще недостаточно отражают требования принципа спроса и предложения.
Принцип конкуренции означает, что цены на земельные участки устанавливаются посредством постоянного соперничества субъектов рынка, которые стремятся к получению максимальной прибыли.
Учет принципа конкуренции проявляется в том, что если на земельном рынке ожидается обострение соперничества, то оценщик или уменьшает величину прогнозируемых доходов, или повышает степень риска. Кроме того, если собственник получает доход, превышающий среднерыночную величину, т вероятность его дальнейшего поступления требует тщательного обоснования, например заключения договоров долгосрочной аренды.
Принцип соответствия подразумевает, что максимальная рыночная стоимость земли возникает тогда, когда имеется совместимый характер землепользования различных участков сельскохозяйственного назначения, а также достаточный уровень архитектурной однородности или сходства с окружающими объектами в использовании, по размеру и стилю земельных участков населенных пунктов.
Принцип соответствия требует определенного местоположения участка с точки зрения приобретения материально-технических средств или продажи товаров и услуг.
При выборе местоположения земельного участка необходимо принимать во внимание внешние объекты, существование которых может создать неудобства и нанести вред планируемой застройке.
Принцип изменения внешней среды предполагает учет при оценке земельных участков возможных изменений экономических, социальных, юридических условий, при которых используется земля, и внешнего окружения.
Влияние вышеуказанных принципов оценки обобщает принцип лучшего и наиболее эффективного использования (ЛНЭИ). ЛНЭИ означает, что из возможных вариантов использования земельного участка выбирается тот, при котором наиболее полно реализуется функциональные возможности имущественного комплекса. Именно этот вариант и применяется для оценки стоимости земли.
Таким образом, рыночная стоимость земельного участка зависит от альтернативных вариантов его использования, а не только от текущего землепользования. Данный принцип является обобщающим для оценки рыночной стоимости земли, так как позволяет определить вариант, приносящий максимально возможный доход от земельного участка независимо от того, застроен участок или нет, и какие строения находятся на нем на дату оценки.
ЛНЭИ определяется как использование, которое:
а) является законодательно разрешенным, то есть соответствует юридическим нормам, включая нормы землепользования и охраны окружающей среды, градостроительные ограничения, требования по охране памятников истории архитектуры, благоустройству прилегающей территории;
б) физически осуществимым;
в) финансово выполнимым;
г) обеспечивает наивысшую стоимость земельного участка.
ЛНЭИ рассматривается в два этапа: во-первых, земельного участка как свободного, во-вторых, участка земли с существующими улучшениями.
7.2. Методы оценки земли
Экономическое содержание доходного подхода. Доходный подход к оценке земельных участков включает методы, позволяющие получить оценку стоимости земли, исходя из ожидаемых потенциальным покупателем доходов. Данный подход применим только к земельным участкам, приносящим доход. В основе доходного подхода лежат три принципа: принцип ожидания, принцип спроса и предложения и принцип замещения. Типичный инвестор или предприниматель приобретает земельный участок в ожидании получения будущих денежных доходов или других выгод. При этом стоимость земельного участка может быть определена путем капитализации годового дохода, приносимого участком земли, или дисконтирования ожидаемых будущих доходов и выручки от последующей перепродажи.
Капитализация представляет собой деление дохода от использования земельного участка на соответствующую ставку капитализации, в результате чего величина дохода превращается в стоимость земельного участка.
Расчеты стоимости земли методом капитализации основаны на использовании следующей формулы:
Техника расчетов доходным подходом сложна, поскольку доходы распределены во времени и могут существенно изменяться, а ставка капитализации зависит от состояния экономики и особенно ее финансовой системы, правового регулирования земельного рынка. Использование доходного подхода требует проведения широких экономических и рыночных исследований для определения значений ставки капитализации, а также знания основ и финансовой математики.
При анализе доходов и расходов можно использовать как ретроспективные (за прошлые периоды), так и прогнозные данные. При этом данные можно брать как до, так и после налогообложения. Главное условие, которое необходимо соблюдать при расчетах, - потоки денежных средств от использования оцениваемого и сопоставимого земельных участков должны определяться на одинаковой основе. Неправильно сравнивать потоки, рассчитанные на основе ретроспективных данных, с потоками, определенными на основе прогнозных данных, то же самое относится и к учету налогообложения.
Метод прямой капитализации дохода
Доходный подход включает метод прямой капитализации дохода и капитализацию дохода по периодам, или метод дисконтированных денежных потоков.
Метод прямой капитализации дохода основан на определении дохода от владения земельным участком и делением его на ставку капитализации.
Капитализация дохода по периодам строится на определении потоков доходов за весь период владения и приведения этих потоков к текущей стоимости. При оценке земли данный метод используется редко. При использовании метода прямой капитализации дохода необходимо определить величину дохода и ставку капитализации.
В зависимости от целевого назначения земельного участка в качестве дохода могут выступать:
рента для оценки сельскохозяйственных и лесных земель;
часть дохода от имущественного комплекса, приходящаяся на застроенный земельный участок;
арендная плата для оценки земель поселений;
доход от прироста стоимости земельного участка, получаемый при его продаже в будущем или при его залоге под ипотечный кредит.
Сложной проблемой доходного подхода является определение величины ставки капитализации. В отличие от ставки капитализации, рассчитываемой для изнашивающейся недвижимости (зданий, сооружений и т.п.) и состоящей из двух частей - ставки дохода и возмещения капитала, ставка капитализации для земли включает только первую часть.
На практике сложилось три подхода к расчету ставки капитализации, первоначально разработанных для капитализации земельной ренты, то есть оценки сельскохозяйственных земель.
Первый подход - это рассмотрение земельного участка как разновидности денежного капитала и соответственно производят расчет ставки капитализации, исходя из характеристик денежного рынка на дату оценки. Например, в Испании доходность с гектара по каждой выращиваемой культуре капитализируется под 3%-средняя учетная ставка в Испании.
Второй подход - расчет ставки капитализации методом кумулятивного построения. В качестве примера рассмотрим расчет ставки капитализации при оценке городских земель в Алматы. Ставка капитализации включает следующие составные части:
безрисковую ставку - например, процентную ставку банка по валютным вкладам;
региональный риск;
• риск ликвидности- это риск, связанный с возможностью, возникновения потерь при реализации объекта недвижимости из-за недостаточной развитости или неустойчивости рынка.
Третий подход - метод рыночной выжимки (анализ сравнительных продаж). Данный метод прост, но требует достоверной информации об объектах сравниваемых продаж.
Ставка капитализации равна доходу, деленному на цену продажи по объектам-аналогам. Желательно рассчитывать среднее значение по нескольким продажам сопоставимых земельных участков.
К ограничениям в использовании метода капитализации относятся неравномерность получаемых доходов, нестабильность цен, большой разброс продажных цен и доходов среди аналогичных земельных участков на рынке. Использование метода капитализации доходов целесообразно при оценке земельных участков, приносящих постоянный или равномерно изменяющийся доход.
Одним из методов доходного подхода является капитализация земельной арендной платы. Под арендой понимается предоставление земельного участка арендодателем во временное владение и/или пользование арендатору (юридическому или физическому лицу) за плату на определенный срок. Земельная арендная плата - это денежная сумма, выплачиваемая за право пользования земельным участком. Как регулярный поток дохода, земельная арендная плата может переводиться в стоимость методом прямой капитализации. Исходные данные для капитализации получают из анализа рыночной информации о ценах продажи участков земли, аналогичных оцениваемому участку или величин арендной платы.
Распределение дохода между земельным участком и расположенными на нем зданиями и сооружениями
Для оценки земельных участков, застроенных коммерческими объектами, может использоваться техника остатка дохода, приходящегося на земельный участок. Согласно принципу остаточной продуктивности земли, зданиям и сооружениям, построенным на земле за счет привлечения капитала, рабочей силы и управления, отдается приоритет при распределении дохода. Оставшийся после покрытия всех затрат на привлечение других факторов доход приписывается земельному участку.
При применении техники остатка дохода для земли должна быть известна стоимость зданий и сооружений, а доход, приходящийся на землю, определяется как остаток после удовлетворения требований в доходу для зданий и сооружений.
Техника остатка для земли используется в тех случаях, когда здания и сооружения сравнительно новые или еще не построены. Их стоимость или предполагаемые затраты на строительство могут быть определены с высокой степенью точности, так же как и продолжительность их полезной жизни. Данный метод может быть применен для определения варианта лучшего и наиболее эффективного использования земельного участка.
Оценка земельного участка на основе сравнительного подхода
Экономическое содержание сравнительного подхода
Сравнительный подход широко используется в странах с развитым земельным рынком, особенно для оценки свободных земельных участков и участков с индивидуальной жилой застройкой. Подход основывается на систематизации и сопоставлении информации о ценах продажи аналогичных земельных участков, то есть на принципе замещения. Сравнительный подход предполагает, что рациональный покупатель за выставленный на продажу земельный участок заплатит сумму не больше чем та, за которую можно приобрести аналогичный по площади и местоположению участок земли. Поэтому цены, недавно уплаченные за сопоставимые объекты, отражают рыночную стоимость оцениваемого участка земли.
Принцип замещения исходит из того, что рынок является открытым и конкурентным, что на нем взаимодействует достаточное количество продавцов и покупателей, которые действуют в соответствии с типичной мотивацией, экономически рационально и в собственных интересах, не находясь под посторонним давлением. Также подразумевается, что земельный участок будет приобретаться на типичных для данного рынка условиях финансирования и находиться на рынке в течение достаточного периода времени, чтобы быть доступным для потенциальных покупателей.
Основные этапы метода сравнительного анализа продаж
Метод сравнительного анализа продаж включает следующие этапы.
Этап 1. Выявление недавних продаж: сопоставимых объектов на соответствующем сегменте земельного рынка. Оценщик изучает земельный рынок, проводит его сегментирование и определяет, к какому сегменту рынка относится объект оценки. Сегментирование рынка - это процесс разбивания рынка на сектора, расположенные на одной и той же географической территории, имеющие аналогичные или конкурирующие варианты землепользования, схожие характеристики объектов и субъектов.
К характеристикам типичного для данного сегмента земельного участка относятся:
зонирование и разрешенные варианты землепользования;
потребительские свойства земель;
местоположение;
передаваемые юридические права собственности и др.
Характеристики типичного субъекта для данного сегмента земельного рынка включают:
инвестиционную мотивацию;
платежеспособность;
социально-юридический статус;
источники и формы финансирования;
предпочтения покупателей и др.
В результате сегментирования земельные участки делятся на:
используемые для целей садоводства и огородничества;
используемые для ведения личного подсобного хозяйства;
используемые для индивидуального жилищного строительства;
используемые для строительства гаражей;
под объектами коммерческой недвижимости и т.п.
После сегментирования оценщик выявляет недавние продажи сопоставимых земельных участков на соответствующем сегменте земельного рынка, собирая информацию о ценах, котировках, спросе и предложении по продаже аналогичных участков земли. Рыночная информация о сделках купли-продажи земельных участков может классифицироваться по однородным группам, исходя из таких признаков, как: территориальное положение, возможный вариант землепользования, потребительские свойства. Это позволяет по каждому сегменту сгруппировать продажи земельных участков с аналогичными вариантами использования или такими вариантами землепользования, которые конкурируют между собой на данной географической территории.
Для сравнения используется несколько проданных земельных участков. Обычно достаточно от трех до пяти аналогов, но большее число повышает достоверность оценки. В мировой практике метод сравнения стоимости основан, по крайней мере, на ценах трех недавних сделок или на текущих ценах шести предложений.
Этап 2. Проверка информации о сделках с земельными участками. Отбор информации в целях повышения ее достоверности и получения подтверждения того, что совершенные сделки произошли в типичных рыночных условиях. Данные, собранные о продажах сравнимых земельных участков, должны быть подтверждены одним из участников сделки (покупателем или продавцом) или посредником.
Кроме того, при выборе объекта-аналога обращают внимание на типичный срок экспозиции, независимость субъектов сделки, инвестиционную мотивацию. Инвесторы должны иметь аналогичные мотивы, а покупаемые земельные участки одинаковое назначение. Для определения возможного использования объекта оценки следует учитывать нормы зонирования. Например, если два земельных участка находятся в разных зонах, исключающих их одинаковое использование, они не могут рассматриваться как сравнимые.
Этап 3. Сравнение оцениваемого земельного участка с участками, проданными на рынке, и внесение поправок с учетом различий между оцениваемым и каждым из сравниваемых участков.
В той мере, в какой оцениваемый земельный участок отличается от сопоставимого участка, в цену последнего необходимо внести поправки, чтобы определить, за какую цену он мог бы быть продан, если бы обладал теми же характеристиками, что и оцениваемый участок. При корректировке фактических цен продаж сравниваемых объектов поправки производятся в цене сопоставимого участка. При этом необходимо ответить на вопрос: "За какую цену был бы продан сопоставимый земельный участок, обладай он теми же характеристиками, что и оцениваемый участок?" Когда сравнимый земельный участок уступает оцениваемому участку, фактическая цена продажи первого должна быть увеличена до той величины, за какую он был бы продан, обладая более высокими характеристиками оцениваемого земельного участка.
Оценка земельного участка путем сравнения с другими проданными участками земли может проводиться двумя способами: по элементам сравнения или с помощью единиц сравнения.
Элементами сравнения называют характеристики земельных участков и условий заключения сделок с ними, которые влияют на величину цены продажи. Путем анализа сравнительных продаж определяется стоимость типичного (стандартного) земельного участка, который выступает затем основой расчета стоимости других участков земли. В качестве типичного земельного участка может использоваться как реальный, так и гипотетический участок.
Для лучшей организации процесса сравнения рекомендован стандартный порядок анализа элементов сравнения. При сравнении земельных участков обычно рассматривают шесть элементов.
Права собственности. Поправка вносится при отягощении прав покупателя залогом или долгосрочной арендой.
Условия финансирования. Условиями сделки могут быть выплаты продавцом процента от кредита.
Условия продажи, корректировка на которые отражает не типичные для рынка отношения между продавцом и покупателем, а также обстоятельства, когда продавец и покупатель принимают свои решения относительно продажи или покупки земельного участка.
Дата продажи. При сравнении даты оценки с датой продажи аналогов, определяется, осуществлялась ли сопоставимая продажа при таких же или изменившихся рыночных условиях. При этом могут вноситься две поправки, одна, учитывающая динамику
цен продаж на данный вариант землепользования, и другая – на местоположение земельного участка. Поправки обычно вносятся поквартально, за исключением периодов резких скачков цен.
5. Местоположение. При сопоставлении местоположения участков анализируется влияние окружения на конкурентоспособность участков на рынке по физическим, социальным, экономическим и даже политическим факторам.
Если сопоставимый участок находится в том же районе, что и оцениваемый, поправки, как правило, не вносятся. В редких случаях, когда участок расположен на краю района и на него воздействуют выгодные либо негативные факторы, ни один из которых не затрагивает оцениваемого участка, необходимо вносить поправку. Если сопоставимый участок находится в другом районе, то необходимо провести анализ возможных различий между этими районами. Например, при жилой застройке учитываются такие факторы, как транспортная доступность, инженерное обеспечение, экология, престижность. Величина поправки вычисляется на основе анализа парных продаж.
6. Физические характеристики. В процессе сравнения выявляются и рассматриваются только крупные физические различия, при этом необходим личный осмотр каждого из сопоставимых земельных участков, наиболее точная корректировка на отличия физических характеристик осуществляется методом корреляционно-регрессивного анализа.
При внесении поправки на размер участка определяется зависимость цены продажи одной сотки от площади земельного участка.
Способ типичного (стандартного) земельного участка широко используется для оценки участков приблизительно одного размера, которые сильно отличаются по элементам сравнения, например, садоводческих, огороднических и дачных некоммерческих объединений граждан.
Способ единицы сравнения. Поскольку земельные участки, приносящие доход, часто различаются по площади и размеру имеющихся улучшений, при проведении сравнения проданных участков с оцениваемым участком цены продаж выражаются в стоимости единицы сравнения. Единица сравнения используется также для быстрой информации инвесторов или потенциальных покупателей.
Например, стоимость земельного участка - 600 дол.
за одну сотку или стоимость жилья - 700 дол. за один квадратный метр площади.
При сделках с незастроенными земельными участками используются следующие единицы сравнения:
Цена за I га - при продажах больших массивов земли сельскохозяйственного или лесного назначения под промышленное использование, при разделении земельных массивов на стандартные участки.
Цена за 1 кв. м - при продажах земли в центрах городов под коммерческую застройку. Участки должны быть сопоставимы по важнейшим признакам: для офисных зданий - это доступ к транспортным магистралям и местам парковки, к другим офисным зданиям, банкам и т.п.; для складских помещений - доступ к транспортным коммуникациям.
Цена за один фронтальный метр часто применяется при оценке земли, предназначенной для торговых предприятий, а также предприятий сферы обслуживания. Общая стоимость земельного участка считается пропорциональной длине его границы по какой-либо улице или шоссе.
Цена за лот - цена за стандартные по форме и размеру земельные участки в районах массовой жилой или дачной застройки. Колебания цен на стандартные по размеру и форме участки могут быть вызваны перепадами в рельефе, дренажными проблемами или опасностью паводков.
Цена за единицу плотности. Нормативные акты по зонированию обычно ограничивают плотность застройки на различных участках. На некоторых сегментах рынка это приводит к тому, что цена котируется на основе максимальной плотности, разрешенной нормами зонирования, например на основе количества разрешенных для строительства единиц жилья.
При использовании метода единицы сравнения на основе ряда фактических продаж определяется средняя стоимость единицы сравнения для каждой однородной группы земельных участков. Средняя стоимость определяется путем расчета медианы (середины ранжированного ряда) или среднеарифметической величины цены продажи в расчете на одну единицу сравнения. Вели по какой-либо однородной группе земельных участков имеется мало сделок, то ее можно объединить с близкой по ценовому значению и целевому использованию другой группой участков. Метод единицы сравнения применяется в случаях, когда участки сильно отличаются друг от друга по размерам, но относительно схожи по другим параметрам.
При правильном применении методы типичного (стандартного) участка и единицы сравнения должны давать приблизительно одинаковые оценки земельных участков. Преимуществом метода типичного участка является то, что в его основе лежит подход сравнения продаж, которой позволяет учесть различия по элементам сравнения.
Преимуществом метода единицы сравнения является его относительная простота и легкость. Особенно широко метод используется при освоении новых земельных массивов и стандартной застройке.
Этап 4. Анализ приведенных цен аналогов и выведение итоговой величины рыночной стоимости оцениваемого земельного участка. После внесения корректировок в цены отобранных аналогов, полученные результаты должны быть согласованы для итоговой оценки стоимости земельного участка. Простой расчет средней арифметической величины цен отобранных аналогов применяется редко. Для получения более точного результата берется формула средневзвешенной величины.
Для определения рыночной стоимости земельного участка рассматривают следующую информацию:
титул собственности и регистрационные данные по земельному участку, сервитуты;
категорию земель, в границах которых расположен земельный участок;
физические характеристики участка;
данные о взаимосвязи участка с окружением;
экономические факторы, характеризующие участок.
Источниками таких данных могут быть городские, районные и поселковые земельные комитеты и органы, где осуществляется регистрация сделок с земельными участками: риелторские фирмы, специализирующиеся на сделках с недвижимостью; ипотечные кредитные организации;/оценочные фирмы; периодическая печать и другие источник. При этом необходимо меть в виду, что публикуемые в периодической печати цены на продаваемые земельные участки - это цены продавца, которые выше фактических
цен сделок.
Оценка методом сравнения продаж является наиболее объективной в тех случаях, когда имеется достаточно сопоставимой информации по прошедшим на рынке сделкам.
Как показывает практика, метод сравнения продаж дает неудовлетворительные результаты в условиях высоких темпов инфляции, при недостатке данных о рыночных продажах сопоставимых объектов или их низкой достоверности, а также при резких изменениях экономических условий.
Оценка земельного участка при недостаточном количестве продаж
Когда продаж незастроенных земельных участков недостаточно для использования метода сравнения продаж, приходится обращаться к косвенным менее надежным способам. Успешное их применение требует проведения тщательного анализа исходной информации и определенного опыта оценщика.
Метод переноса (или соотнесения), который предполагает, что для каждого типа застройки земельного участка существует определенная пропорция между стоимостью земли и стоимостью улучшений.
Метод переноса основан на установлении соотношения между стоимостью земли и стоимостью возведенных на ней строений. Цена продажи объекта недвижимости разделяется на две части - стоимость зданий и стоимость земельного участка. Для каждого типа застройки земельного участка в данной местности существует устойчивая пропорция между стоимостью земли и стоимостью сооружений. Этот факт подтверждается принципами сбалансированности и предельной производительности.
Если в районе оценки нет достаточного числа продаж неосвоенных земельных участков, то можно подобрать сопоставимый район с имеющимися продажами как застроенных, так и незастроенных земельных участков. Определив типичное соотношение между стоимостью земли и общей стоимостью объекта недвижимости (долю земли), его переносят для анализа продаж аналогичных земельных участков в районе, где производится оценка.
Оценка земельного участка на основе затратного подхода
Экономическое содержание и основные этапы метода изъятия
Затратный подход к оценке рыночной стоимости земельного участка исходит из того, что инвестор, проявляя должное благоразумие, не заплатит за участок большую сумму, чем та, в которую обойдется приобретение соответствующего участка и возведение на нем аналогичного по назначению и полезности здания в приемлемый для строительства период. Затратный подход включает метод изъятия, метод определения затрат на освоение и оценку по затратам на инфраструктуру.
Метод изъятия (извлечения) определяет рыночную стоимость собственно земельного участка как разницу между рыночной стоимостью всего объекта недвижимости, то есть земельного участка с улучшениями, и восстановительной стоимостью улучшений, за вычетом их износа. Данный метод расчета стоимости земельного участка основывается на технике остатка для земли.
Основные этапы оценки земельного участка методом изъятия.
Первый этап. Определение рыночной стоимости земельного участка с улучшениями на основании изучения рынка и сравнительных продаж. Если не хватает информации по сопоставимым продажам, в качестве исходных величин вместо цен продаж можно использовать экспертные оценки стоимости аналогичных объектов недвижимости (жилого дома, офисного, торгового или складского здания, коттеджа и т.п.).
Второй этап. Расчет восстановительной стоимости возведения зданий и сооружений, аналогичных тем, которые расположены на земельном участке. Для расчета восстановительной стоимости могут использоваться стоимость воспроизводства или стоимость замещения.
Стоимость воспроизводства - это затраты на строительство точной копии оцениваемого объекта с использованием тех же строительных материалов, по той же панировке, но в текущих рыночных ценах. Если определение стоимости воспроизводства невозможно или нецелесообразно, то рассчитывается стоимость замещения.
Стоимость замещения - это затраты в текущих рыночных ценах на строительство объекта в той же полезности, но с использованием современных оборудования, материалов и планировки. Таким образом, стоимость воспроизводства определяется издержками на строительство точной копии объекта, а стоимость замещения - издержками на создание современного объекта-аналога.
Затраты на строительство состоят из трех частей: прямых издержек, косвенных издержек и прибыли предпринимателя.
Прямые издержки - это расходы, непосредственно связанные со строительными работами. Они включают: стоимость строительного оборудования и материалов, заработную плату рабочих, стоимость эксплуатации строительных машин, стоимость временных сооружений и инженерных сетей в период строительства, прибыль и накладные расходы подрядчика.
Косвенные издержки - это расходы, которые необходимы для организации и сопровождения процесса строительства. К ним относятся: затраты на проектирование, подготовку территории строительства, все виды налогов, затраты на отвод земельного участка, проценты по кредитам, расходы на рекламу, страховые платежи.
Прибыль предпринимателя - это денежное вознаграждение, которое ожидает получить предприниматель в виде премии за использование своего капитала, инвестированного в строительный проект.
Третий этап. Определение величины физического, функционального и внешнего износа зданий и сооружений, расположенных на оцениваемом земельном участке.
Под физическим износом понимается уменьшение стоимости зданий или сооружений в результате физического разрушения, то есть потери их элементами своих первоначальных свойств. Физический износ возникает под воздействием эксплуатационных или природных факторов.
Функциональный износ - это несоответствие характеристик зданий или сооружений современным требованиям рынка к планировке, техническому оснащению и дизайну. Он происходит под воздействием научно-технического прогресса в области архитектуры и строительства и проявляется в устаревшей архитектуре зданий, старом инженерном обеспечении и т.п.
Внешний износ вызывается неблагоприятными изменениями внешних по отношению к зданию или сооружению факторов. Он приводит к уменьшению стоимости зданий и сооружений в результате негативных изменений в области земельного законодательства, налогообложения, страхования, окружающей среды, общего упадка района местоположения и др.
Физический и функциональный износ делится на устранимый и неустранимый, внешний износ, как правило, неустраним. Все вместе эти виды износа образуют накопленный износ здания или сооружения.
Четвертый этап. Вычитание из восстановительной стоимости зданий и сооружений величины накопленного износа для получения их остаточной (фактической) стоимости на дату оценки.
Пятый этап. Определение рыночной стоимости собственно земельного участка путем изъятия (вычитания) из рыночной стоимости объекта недвижимости в целом (жилого дома, офисного или торгового здания, складского сооружения, коттеджа) остаточной (фактической) стоимости строений.
Для более точной оценки стоимости земельных участков методом изъятия целесообразно использовать данные по нескольким однотипным объектам недвижимости, которые необходимо скорректировать на имеющиеся между ними различия по элементам или единицам сравнения.
При проведении всех расчетов необходимо учесть временные факторы, инфляционные процессы и привести стоимость всех затрат на дату оценки.
Достоинством метода изъятия являются его ясность и доказательность заложенных в нем принципов. Он широко применяется при определении лучшего и наиболее эффективного использования земельного участка как свободного. Кроме того, это единственный метод определения рыночной стоимости собственно земельного участка в случаях, когда на рынке отсутствуют достоверные данные о совершенных сделках с аналогичными незастроенными земельными участками.
Метод изъятия приводит к объективным результатам, если можно точно оценить величины восстановительной стоимости улучшений (зданий и сооружений) и их совокупного износа при условии относительного равновесия спроса и предложения на соответствующем сегменте рынка недвижимости.
Ограниченность метода изъятия заключается в том, что он может дать необъективную оценку стоимости зданий и сооружений, возраст которых превышает 10-15 лет, поскольку с течением времени вероятность воспроизводства устаревшего объекта недвижимости уменьшается, а сложность расчета накопленного износа возрастает. Притом в условиях высокой инфляции очень сложно точно рассчитать стоимость затрат на воспроизводство зданий и сооружений, не говоря уже о стоимости воспроизводства всех улучшений городских земель с выделением доли, приходящейся на оцениваемый земельный участок.
Метод определения затрат на освоение
К затратному подходу относится метод определения затрат на освоение, который применяется, главным образом, к незастроенной земле. Данный метод определяет общую стоимость земли при предположении, что она будет разделена на отдельные земельные участки, которые будут проданы. Из денежной выручки от продажи участков вычитаются все издержки на их освоение и, таким образом, определяется стоимость неосвоенной земли.
Метод определения затрат на освоение применяется, когда лучшим и наиболее эффективным использованием является разделение земельного массива на отдельные участки. Разбивка большого земельного массива на отдельные участки - широко распространенная практика, поскольку способствует более эффективному использованию земли. Проблема Определения стоимости земли, предназначенной для разделения, является актуальной для любого растущего города или поселка и применяется при массовой жилой или дачной застройке.
Процесс разделения земли в первую очередь включает производственные и торговые операции. На застройку жилыми домами огромное влияние оказывает окружающая среда.
Этапы применения метода определения затрат на освоение.
Первый этап. Определение размеров индивидуальных участков исходя из юридических и физических возможностей, а также экономической целесообразности. В первую очередь размеры и благоустройство земельных участков должны отвечать рыночным стандартам, сложившимся в данной местности.
Второй этап. Расчет стоимости освоенных участков.
Данный расчет осуществляется или путем анализа сопоставимых участков, которые недавно были аналогичным образом освоены, или методом сопоставимых продаж.
Третий этап. Расчет всех затрат на освоение, определение предполагаемого периода застройки земельных участков.
Затраты на освоение включают: инженерные расходы по расчистке, разметке и окончательной подготовке земли, расходы по устройству дорог, тротуаров, инженерных сетей, дренажа и коммунальных сооружений. К ним также относятся оплата налогов, страхования, прибыль и накладные расходы подрядчика, расходы на продажу и рекламу.
Четвертый этап. Вычет затрат на освоение и вычет предпринимательской прибыли из предполагаемой выручки от продажи участков. Основой для расчета предполагаемой выручки от продажи является стоимость одного земельного участка, определенная методом сравнения продаж с учетом корректировок на различия (если они есть). Из цены продажи земельного участка вычитаются все затраты на освоение, включая затраты на продажу и предпринимательскую прибыль.
Пятый этап. Определение периода времени, необходимого на освоение и продажу; выбор ставки дисконтирования, которая отражает риск, связанный с периодом предполагаемого освоения и продажи; дисконтирование чистого дохода от продажи земельных участков, исходя из периода продажи земельных участков, для получения текущей стоимости неосвоенной земли.
Оценка земли исходя из затрат на воспроизводство инфраструктуры
Для земель поселений оценка может проводиться исходя из затрат на воспроизводство инфраструктуры. К таким затратам относятся инженерная подготовка территории, издержки на создание и ремонт систем водоснабжения, канализации, теплоснабжения, электроснабжения газоснабжения, телефонизации, строительство улично-дорожной сети и объектов социально-культурного назначения. При оценке земель населенных пунктов необходимо рассчитать величину указанных затрат на воспроизводство улучшений городских земель, то есть всей инженерной инфраструктуры города или поселка с выделением доли, приходящейся на оцениваемый земельный участок.
Глава 8. Виды недвижимого имущества и его оценка
8.1. Понятие и признаки недвижимости.
Употребляя термин "недвижимость" мы считаем, что прекрасно понимаем о чем идет речь. В действительности внешняя видимость далеко не совпадает с юридической сущностью недвижимости, которая во многом определяется особенностями экономического развития страны, сложившимся историческими традициями и другими условиями.
Понятие недвижимости не сводится только к дефиниции, те. каткому указанию одних существенных признаков, а является синтезом, суммой знаний о предмете. У нас, как и в других странах мира, недвижимость определяют в основном через объем понятия - перечень предметов (вещей) и вещных прав, включаемых в него. В соответствии с Гражданским кодексом Республики Казахстан к недвижимым вещам (недвижимое имущество, недвижимость) относятся: здания, сооружения, многолетние насаждения и иное имущество прочно связанное с землей; то есть объекты, перемещение которых без несоразмерного ущерба их назначению невозможно). В то же время казахстанское законодательство включает в недвижимое имущество и приравненные к нему вполне движимые вещи (воздушные и морские суда, суда внутреннего водного плавания, космические объекты), это связано с целесообразностью распространения на них специального правового режима, установленного для действительно недвижимых объектов, называемых "имущественный комплекс" (табл.8.1).
В теории и практике следует различать понятие недвижимого имущества как материального (физического) объекта и как комплекса экономико-правовых и социальных отношений, обеспечивающих специальный порядок распоряжения им и особую устойчивость прав. .
Любой объект недвижимости в реальной действительности существует в единстве, физических, экономических, социальных и правовых свойств, каждое из которых может в соответствующих условиях выступать в качестве основного (определяющего) в зависимости от жизненных ситуаций, целей и стадий анализа.
Географическая концепция отражает физические (технические характеристики
недвижимости: конструкцию и материал строении, размеры, местоположение, климат, плодородие почв; улучшения, окружающую среду и другие параметры. Все объекты, недвижимости подвергается воздействию физических, химических, биологических, техногенных и других процессов. В результате постепенно изменяются их потребительские качества и функциональная пригодность, состояние которых учитывается при совершении сделок, владении и пользовании имуществом.
Экономическая концепция рассматривает недвижимость как эффективный объект инвестирования и надежный инструмент генерирования дохода. Основные экономические элементы недвижимого имущества - стоимость и цена - первично возникают из его полезности, способности удовлетворить различные потребности и интересы людей. За счет налогообложения владельцев недвижимости формируются муниципальные бюджеты и реализуются социальные программы.
На юридическом уровне недвижимость - совокупность публичных и частных прав, устанавливаемых государством с учетом отечественных особенностей и международных норм. Частные права могут быть неделимыми или частичными (совместное имущество) и разделенными на основе физического гoризонтального и вертикального разграничения имущества на подземные ресурсы, поверхность земельных участков, строения на них и воздушное пространство. В Казахстане, как и в других странах мира, законодательно гарантировано частным лицам право покупать, продавать, сдавать в аренду или передавать имущество, либо права на владение и пользование им другим гражданам и предприятиям, Т.е. свободно распоряжаться своей собственностью (ст.l0 ГКРК). Однако, когда частная собственность на недвижимость приходит в противоречие с общественными интересами, она перестает относиться к юрисдикции частного права. Закон (ст.255 ГКРК) предусматривает изъятие у частных лиц для государственных или муниципальных нужд земельного участка вместе с расположенными на нем зданиями и сооружениями путем выкупа или продажи с публичных торгов. Существуют и другие формы государственного регулирования владения и пользования недвижимостью: строительные ограничения, система зонирования, требования по охране окружающей среды и Т.д. .
Социальная роль недвижимого имущества состоит в удовлетворении физиологических, психологических, интеллектуальных и других потребностей людей. Все, что нужно человеку для выживания и достойной жизни, он получает в конечном счете от земли. Владение недвижимостью престижно в общественном сознании и необходимо для формирования цивилизованного среднего социального слоя. Таблица 8.1.
В мировой практике под недвижимостью понимается земельный участок и все, что находится под ним с проекций к центру земли, и все что находится над ним, продленное в космос, включая постоянные объекты, присоединенные к нему природой (деревья, вода и др.) или человеком, а также право на эти объекты.
Таблица 8.1 Недвижимое имущество, недвижимость.
Отдельные объекты
Сложные объекты
Земельные участки
Участки недр
Обособленные водные объекты
Все что прочно связанно с землей, в том числе:
Леса;
Многолетние насаждения;
Сооружения.
Приравненные к недвижимости, подлежащие государственной регистрации:
Воздушные и морские суда;
Суда внутреннего плавания;
Космические объекты.
Иные предметы, наделенные статусом недвижимости по закону
Предприятия в целом как имущественный комплекс, включая:
Земельные участки;
Здания и сооружения;
Инвентарь и оборудование;
Сырье и продукцию;
Требования и долги;
Нематериальные активы;
Информация;
И т.д.
В общем случае частный собственник земельного участка считается владельцем и всех его составных частей: природных ресурсов в виде минеральных залежей, находящихся в недрах под участком, и соответствующего воздушного пространства над участком. Но собственник имеет право распоряжаться таким объемом воздушного пространства над землей, который он может разумно использовать с учетом законодательных ограничений, и в частности, полного суверенитета правительства над навигационным воздушным пространством страны, т.е. право, а воздушное пространство является ограниченным. Не абсолютно и право собственника участка на недра. В ряде районов (штатах) США права на подземные минеральные ресурсы принадлежат государству, а не собственнику недвижимости.
Не государственные субъекты собственности на землю в Казахстане имеют права не на все недра, соответствующие их земельному участку, а только на общераспространенные полезные ископаемые (глина, песок и т.п.) Залежи угля, нефти, руды и т.д. не включается в состав недвижимого имущества частника, так как и воздушное пространство над участком.
Каждый объект недвижимости и все"они вместе взятые имеют существенные (родовые) признаки, позволяющие отличить их от движимых вещей, и видовые, характеризующие особенности объектов по однородным группам (схема 8.2.).
Схема 8.2. Основные признаки недвижимости
Признаки
Содержание (состояние)
Существенные (родовые)
Степень подвижности
Абсолютная неподвижность, неперемещаемость в пространстве без ущерба функциональному назначению
Связь с землей
Прочная физическая и юридическая
Форма функционирования
Натурально-вещественная и стоимостная
Состояние потребительской формы в процессе использования
Не потребляется, сохраняется натуральная форма в течении всего срока эксплуатации
Длительность кругооборота (долговечность)
Многократное использование, а земли – бесконечно при правильном использовании
Способ переноса стоимости в производственном процессе или потери потребительских свойств
Постепенно по мере износа и накопления амортизационных отчислений
Общественное значение
Пользование объектом часто затрагивает интересы многих граждан и других собственников, интересы которых защищаются государством
Видовые (частные)
Технические и технологические характеристики (местоположение, функциональное назначение состояние и по.)
Определяются конкретными частными показателями в зависимости от вида недвижимости и целесообразности распространения на другое имущество
Основные фундаментальные свойства недвижимости - неподвижность и материальность или непотребляемость, на которых базируется все остальные ее родовые и видовые признаки.
Фиксчерс - это движимые предметы, прикрепленные к земле или размещенные в здания_ и сооружениях так, что они стали неотъемлемой частью объекта недвижимости (например, оборудование отопительной системы и водопроводы, электрооборудование, лифт, вторые металлические двери). ЧЭТЛ - любой набор прав и интересов, не составляющих в сумме полное (абсолютное) право собственности на недвижимость или ее составные части. Это права аренды, хозяйственного ведения, преимущественного приобретения, специальное право на участие в управлении приватизируемыми предприятиями ("золотая акция") и т.д.
8.2. Специфика недвижимости как товара
Неотъемлемым условием определения рыночной стоимости недвижимости является анализ особенностей функционирования рынка недвижимости, которые оказывают существенное влияние на поток доходов за период владения, уровень риска инвестирования и возможную цену продажи объекта недвижимости на конкретную дату в будущем, являющихся информационным обеспечением доходного подхода. Учет специфики рынка недвижимости позволит более обоснованно оценить текущее влияние основных ценообразующих параметров на величину стоимости по аналогам и оцениваемому объекту в рамках рыночного подхода. Кроме того, определение инвестиционной привлекательности недвижимости, как объекта для инвестирования (если оценка заказывается потенциальным инвестором), требует обязательного прогнозирования тенденций развития рынка недвижимости. Знание оценщиком сегмента рынка конкретного объекта недвижимости позволяет ему выработать критерии для изучения, отбора и интерпретации сопоставимости других объектов недвижимости.
Сравнительный анализ характеристик рынка недвижимости и прочих секторов инвестиционного рынка (финансовый, товарный и др.) позволяет определить ряд наиболее существенных различий. Рынки недвижимости отличаются от других рынков экономическими характеристиками и эффективностью по таким наиболее существенные параметрам, как:
товар
формирование цены
способы финансирования сделки
степень ликвидности
баланс спроса и предложения
число потенциальных покупателей
информированность участников сделки
методы регулирования
надежность прогнозирования рыночной ситуации
Объект недвижимости в отличие от обычных товаров является специфическим товаром. Две особенности недвижимости определяют реакцию рынка на спрос и предложение: уникальность (неповторимость) и неподвижность объектов. Даже в типовой застройке (по единому проекту) каждое здание занимает свой участок земли, имеющий неповторимую топографическую привязку. Ввиду неподвижности объектов они не могут, как другой товар, из места с низким спросом быть перенесены в место повышенного спроса. И покупатели чаще всего не могут переместиться в места большего предложения. Поэтому недвижимость c точки зрения места состоит из сегментированных рынков. Земля при этом, как объект недвижимости и товар, обладает дополнительной особой характеристикой – вечностью. Вечность земли приводит к тому, что при ее оценке нет необходимости учитывать возможность ее физического износа. Так как недвижимость является уникальной по своему местоположению и с экономической точки зрения нетранспортабельной, она как товар обладает ограниченной заменяемостью и, следовательно, для нее характерна ограниченная эластичность спроса.
На рынке недвижимости равновесие спроса и предложения, как правило, явление очень редкое. Данное обстоятельство делает процедуру оценки рыночной стоимости достаточно сложным процессом. Продавцы и покупатели на обычном рынке гораздо более информированы, чем на рынке недвижимости, о состоянии рынка, поведении других участников, качестве продукта, его возможных заменах и т.д. Исходя из этого, на рынке недвижимости сделки осуществляются, как правило, с участием посредников-консультантов: оценщиков, брокеров, юристов. На обычном рынке предметами торговли являются сами товары в физическом их выражении. На рынке недвижимости предметами сделки и, следовательно, предметами оценки являются имущественные права на объекты недвижимости (право собственности, право аренды, субаренды, залога и др.), представляющие собой достаточно сложную категорию с юридической и экономической точки зрения.
Сравнивая обычный товарный рынок и рынок недвижимости с точки зрения цены и ее структуры необходимо отметить следующее.
Цена представляет собой денежное выражение стоимости товара в сфере производства либо стоимости услуг в сфере обслуживания. На рынке недвижимости товаром является совокупность имущественных прав на объект недвижимости: владение, пользование, распоряжение и др. Наиболее часто предметом сделки выступает либо полное право собственности, включающее всю триаду прав (владение, пользование и распоряжение), или право пользоваться объектом недвижимости в течение какого-то времени за определенную плату, которая называется арендной платой.
Если предметом сделки является имущественное право в виде полного права собственности на объект недвижимости, то в результате сделки один участник сделки полностью теряет права на него, получая за него денежный эквивалент, а другой - становится собственником объекта недвижимости, передав за него продавцу денежные средства. В данном случае можно говорить о том, что товаром является продукт в виде объекта недвижимости. Если же предметом сделки является имушественное право в виде права пользоваться объектом недвижимости в течение какого-то времени за определенную плату, то в результате сделки продавец не теряет право владеть и распоряжаться объектом недвижимости (например, продать его), а лишь на время и за определенное вознаграждение (арендную плату) он лишается физического владения объектом недвижимости. То есть в этом случае продается услуга за пользование объектом недвижимости.
Итак, условно мы можем говорить о двух наиболее распространенных формах товара на рынке недвижимости: товара как продукта и товара как услуги. Оба товара имеют свою цену и, очевидно, свою структуру цены. Более того, эти цены, как правило, связаны между собой. Например, собственник объекта недвижимости, предлагая его в аренду, при определении стоимости этой услуги будет ориентироваться на окупаемость первоначальных инвестиций в объект недвижимости, т.е. на затраты по созданию или приобретению объекта недвижимости. А при его продаже определит стоимость объекта, ориентируясь на его доходность.
Сегментация рынков недвижимости.
Конкретные сегменты рынка недвижимости характеризуются видом использования имущества, местоположением, потенциалом приносимого дохода, типичными характеристиками арендаторов, инвестиционной мотивацией и другими признаками, признаваемыми в процессе обмена недвижимого имущества. В свою очередь, рынки недвижимости испытывают влияние разнообразных факторов социального, экономического, государственного и экологического характера.
Рынок недвижимости подразделяется на сегменты исходя из назначения недвижимости и ее привлекательности для различных участников рынка. Сегменты, в свою очередь, подразделяются на подсегменты в соответствии с предпочтениями покупателей и продавцов, на которые влияют социальные, экономические, государственные и экологические факторы. Исследование сегментов рынка недвижимости проводится по таким параметрам, как местоположение, конкуренция, а также спрос и предложения, которые относятся к общим условиям рынка недвижимости.
Разбиение рынка недвижимости на отдельные сегменты проводится в соответствии с преобладающими потребностями участников рынка, инвестиционной мотивацией, местоположением, сроком фактического функционирования объекта, физическими характеристиками, дизайном, особенностями зонирования недвижимости.
Принципы классификации объектов, положенные в основу сегментации рынков недвижимости, подчинены конкретным задачам
процедуры оценки и требуют всестороннего учета характеристик оцениваемой недвижимости.
В зависимости от назначения (направления использования) объекта недвижимости, рынок можно разделить на пять сегментов:
1. Жилая недвижимость (многоквартирные дома, коттеджи, таунхаусы, квартиры и комнаты).
2. Коммерческая недвижимость (офисные, торговые, складские здания, гостиницы, рестораны).
3. Промышленная недвижимость (здания и сооружения промышленных предприятий).
4. Незастроенные земельные участки различного назначения (городские земли, сельскохозяйственные и охотничьи угодья, заповедники, зоны разработки полезных ископаемых).
5. Недвижимость специального назначения (объекты, как правило, не являющиеся предметом рыночного оборота в силу специфики назначения, например церкви, школы, тюрьмы и др.).
В зависимости от состояния земельного участка, рынок недвижимости можно разделить на:
1. Застроенные земельные участки.
2. Незастроенные земельные участки, пригодные для последующей застройки.
3. Незастроенные земельные участки, не пригодные для последующей застройки.
В зависимости от степени готовности:
1. Незастроенные земельные участки.
2. Готовые объекты.
3. Не завершенные строительством объекты.
4. Объекты, нуждающиеся в реконструкции.
Каждый из перечисленных сегментов рынка недвижимости, в свою очередь, может быть разделен на специализированные подсегменты, для которых могут быть выделены существенные и особенные ценовые характеристики.
8.3. Необходимость оценки недвижимости
Формирование рыночной инфраструктуры казахстанской экономики предполагает, в числе прочего, создание и развитие института оценки собственности. В странах с развитой рыночной экономикой отдельные сегменты общенационального рынка являются неоднородными и функционируют с различной степенью эффективности. Товарные рынки и рынки ценных бумаг являются относительно наиболее эффективными, поскольку, во-первых, цены сделок складываются стихийно, то есть объективно (исключительно под влиянием факторов спроса и предложения ), а, во-вторых, сделки происходят в одном месте, в достаточно больших количествах и с однородным товаром. В то же время, существуют рынки, товар на которых не является абсолютно однородным, сделки происходят в разных местах, неупорядоченно в пространстве и во времени. Примером может служить рынок недвижимости. На таких рынках отсутствуют последовательные текущие котировки цен, что очень затрудняет положение продавцов и покупателей. Вот здесь и приходит на помощь независимый оценщик, обладающий профессиональными знаниями и опытом, позволяющими производить объективную оценку рыночной стоимости этого товара.
В Казахстане в соответствии с гражданским кодексом к недвижимым вещам (недвижимое имущество, недвижимость) относятся земельные участки, участки недр, обособленные водные объекты и всё, что прочно связано с землёй, т.е. объекты, перемещение которых без несоразмерного ущерба их назначению невозможно, в том числе леса, многолетние насаждения, здания, сооружения и др. Законом к недвижимым вещам может быть отнесено и иное имущество.
В теории оценки, характеризуя недвижимость, для обозначения земли используют термин «земельный участок» или просто «участок» – обособленная территория земли в границах, зарегистрированная в поземельной книге (земельном кадастре) под уникальным идентификационным номером (кадастровым номером). А для обозначения участка земли со зданиями, строениями или сооружениями употребляется термин «улучшенный земельный участок». Связано это с тем, что термин «улучшения» является более полной характеристикой объекта недвижимости, так как включает в себя не только здания, строения и сооружения, но и многолетние насаждения, подземные и надземные коммуникации, т.е. все улучшения земельного участка. При этом под улучшениями земельного участка понимается, как правило, все, что неразрывно связано с землей и повышает ее рыночную стоимость.
С точки зрения оценки, следует различать термины: недвижимость и недвижимое имущество. Под недвижимостью, как правило, понимают материальный объект, созданный природой (земельный участок) или руками человека (здания, строения, сооружения), т.е. принимают во внимание физическую суть объекта собственности. Недвижимое имущество – это совокупность объекта и имущественных прав на него (интересы, польза и права, связанные с владением, пользованием, распоряжением недвижимостью), т.е. говорят о экономико-правовой характеристике объекта недвижимости.
Объектами рынка недвижимости, стало быть, являются права на собственность, связанные с объектами, а субъектами рынка недвижимости физические и юридические лица, включая государство, покупающие или продающие права на объекты недвижимости.
Объем (набор) прав на объекты недвижимости в разных странах различен: от абсолютного (полного) права на недвижимую собственность до права прохода по чужой территории. Под полным правом собственности понимается право владеть, пользоваться и распоряжаться собственностью в рамках, не противоречащих местному законодательству. Полное право собственности обладает наивысшей рыночной стоимостью.
Право собственности в Казахстане определяется главой ГК «собственник вправе владеть, пользоваться и распоряжаться землей, как и любым имуществом, постольку, поскольку соответствующие земли на основании закона не исключены из оборота или не ограничены в обороте».
Из вышесказанного следует, что товаром на рынке недвижимости и, следовательно, объектом оценки, является не объект недвижимости, а совокупность имущественных прав на него. Интересной с теоретической точки зрения и важной в практическом плане является проблема оценки отдельных правомочий, перечисленных в гражданском кодексе: владеть, пользоваться и распоряжаться. При отсутствии прямых указаний в ГК на объем прав и обязанностей, связанных с этими правомочиями, каждая такая оценка должна быть связана с тщательным правовым и экономическим анализом договоров, закрепляющих за субъектом хозяйственной деятельности эти правомочия.
В условиях рыночной экономики оценка стоимости недвижимости может производиться в целом ряде ситуаций. К таковым относятся:
сделка купли-продажи;
получение кредита под залог имущества;
налогообложение (подоходное, поимущественное, наследства);
страхование имущества;
раздел собственности (например, в случае расторжения брака);
внесение имущества в уставной капитал предприятия и т.д.
В общем виде стоимость, которой оперируют в оценке, может быть разделена на две категории: стоимость в обмене и стоимость в пользовании.
Стоимость в обмене – это цена, устанавливающаяся на свободном, открытом и конкурентном рынке на основе равновесия факторов предложения и спроса. Иногда ее именуют объективной стоимостью. Наиболее распространенной формой стоимости в обмене является рыночная стоимость (чаще определяется при продаже собственности).
Стоимость в пользовании – это стоимость собственности для конкретного пользователя или группы пользователей. В силу связи этой стоимости с потребностями конкретного пользователя ее иногда называют субъективной стоимостью. Наиболее часто встречающейся разновидностью стоимости в пользовании является инвестиционная стоимость (чаще определяется при покупке).
Отличие стоимости в обмене от стоимости в пользовании состоит в том, что стоимость в пользовании есть характеристика собственности с точки зрения ее конкретного владельца (нынешнего или потенциального), и ее величина полностью определяется предпочтениями одного лица. Стоимость в обмене, напротив, имеет место только при продаже собственности (состоявшейся или предполагаемой), и для ее определения необходимо мнение, как минимум, двух сторон – участников сделки.
В большинстве случаев задачей оценщика является определение рыночной стоимости недвижимости.
В соответствии с законом «Об оценочной деятельности» под рыночной стоимостью объекта оценки понимается « ... наиболее вероятная цена, по которой данный объект оценки может быть отчужден на открытом рынке в условиях конкуренции, когда стороны сделки действуют разумно, располагая всей необходимой информацией, а на величине цены сделки не отражаются какие-либо чрезвычайные обстоятельства», т.е. когда:
одна из сторон сделки не обязана отчуждать объект оценки, а другая сторона не обязана принимать исполнение;
стороны сделки хорошо осведомлены о предмете сделки и действуют в своих интересах;
объект оценки представлен на открытый рынок в форме публичной оферты;
цена сделки представляет собой разумное вознаграждение за объект оценки и принуждения к совершению сделки в отношении сторон сделки с чьей-либо стороны не было;
платеж за объект оценки выражен в денежной форме».
Из определения рыночной стоимости, принятого на федеральном уровне, следует, что необходимо различать термины «цена» и «рыночная стоимость». Цена представляет собой, с одной стороны, некоторый исторический свершившийся факт, зафиксированный в договоре о сделке, и, с другой стороны, цена является индикатором (показателем) рыночной стоимости, поскольку последняя формируется на базе реальных цен сделок. Рыночная стоимость является наиболее вероятной ценой, выраженной в денежной форме. Следует также различать термины «затраты» и «вклад в рыночную стоимость». Затраты измеряются деньгами, потраченными на создание каких-либо улучшений объекта недвижимости, а вклад в рыночную стоимость измеряется деньгами, которые рынок заплатит за созданные улучшения. Затраты могут быть равны, больше или меньше вклада в рыночную стоимость. Соотношение между ними определяется спросом и предложением на рынке на данные улучшения.
Методы оценки рыночной стоимости недвижимости.
Выделяют три основных метода оценки рыночной стоимости недвижимости:
метод сравнения
затратный метод
метод капитализации доходов.
Метод сравнительного анализа продаж.
Основной метод оценки – это метод сравнительного анализа продаж. Этот метод применим в том случае, когда существуют реальные продажи, когда именно рынок формирует цены, и задача оцнещиков заключается в том, чтобы анализировать этот рынок, сравнивать аналогичные продажи и таким образом получать стоимость оцениваемого объекта. Метод построен на сопоставлени предлагаемого для продажи объекта с рыночными аналогами. Однако для этой работы необходим уже сформировавшийся рынок земли и недвижимости.
Метод сравнения продаж применяется при наличии достаточного колличества достоверной информации о сделках купли-продажи объектов, аналогичных оцениваемому. При этом критерии для выбора объектов сравнения является аналогичное наилучшее и наиболее эффективное использование.
Последовательность применения метода сравнительного анализа продаж.
.Выделяются недавние продажи сопоставимых объектов на соответствующем рынке. Источниками информации являются: собственное досье оценщика, итернет, электронная база данных, риэлторские фирмы, досье брокеров по недвижимости, архивы кредитных учереждений (ипотечные банки), страховые компании, строительно-инвестиционные компании, территориальные управления по несостоятельности и банкродству.
Проверка информации о сделках: подтверждение сделки одним из основных участников (покупателем или продавцом ) или агентом риэлторской компании; выявление условий продажи.
Корректировка стоимости сопоставимых объектовы.
Корректировка может производится в трех основных формах: в денежном выражении, процентах, по общей групперовке.
Важным моментом при использовании сравнительного метода является согласование результатов сопоставления оцениваемой недвижимости. Не допускается арифметическое усреднение полученных данных. Принятой процедурой является изучение каждоо результата и внесение суждения омере его сопоставимости с оцениваемой недвижимостью. Чем меньше количество и величена вносимых поправок, тем больший вес имеет данная продажа в процессе итога согласования.
В качестве едениц сравнения принимают измерители, традиционно сложившиеся на местном рынке. Для оценки одого и того же объекта могут быть применены одновременно несколько едениц сравнения.
При проведении сравнительного анализа в качестве еденицы сравнения применяются:
цена за единицу площади;
цена за единицу участков земли вдоль магистрали;
цена за участок;
цена за единицу площади помещений, подлежащей сдаче в аренду;
цена за единицу общей площади помещений;
цена за единицу объема сооружения;
цена за комнату;
цена за квартиру;
цена за единицу приносящий доход;
К элементам сравнения относят характеристики объектов недвижимости, которые вызывают изменения цен на недвижимость. К объектам, подлежащим обязательному учету, относят:
состав передаваемых прав собственности;
условия финансирования сделки купли-продажи;
условия продажи;
время продажи;
место расположение;
физические характеристики;
экономические характеристики;
характер использования;
компоненты стоимости, не связанные с недвижимостью.
Корректировки цен продажи сравниваемых объектов производится в следующем порядке:
в первую очередь производится корректировки, относящиеся к условием сделки и состояние рынка, которые производятся путем применения каждой последующей корректровки к предыдущему результату;
во вторую очередь производятся корректировки, относящиеся непосредственно к объекту недвижимости, которые производятся путем применения указанных корректировок к результату, полученному после корректировки на условия рынка, в любом порядке.
Для определения величин корректировок, в зависимости от наличия и достоверности рыночной информации, применяются количественные и качественные методики. Обоснование принимаемых в расчет корректировок является обязательным. Окончательное решение о величине результата, определенного метода сравнения продаж, применяется на основании анализа скорректированных цен продажи объектов сравнения, имеющих наибольшее сходство с объектом оценки.
Метод оценки по затратам.
Этот метод к земле практически не применим. Может использоваться лишь в исключительных случаях оценки земли неразрывно от произведенных на ней улучшений. Считается, что земля постоянна и не расходуема, а затратный метод применяется дя оценки искусственных объектов, созданных человеком. При оценке этим методом стоимость земли складывается со стоимостью улучшений ( зданий, сооружений), а земля оценивается отдельно другими методами.
Затратный метод основывается на изучении возможностей инвестора в приобретении недвижимости и исходит из того, что инвестор, проявляя должную благоразумность, не заплатит за объект большую сумму, чем та, в которую обойдется получение соответствующего участка под застройку и возведение анологичного по назначению и качеству здания в обозримый период без существенных издержек.
Данный метод оценки может привести к объективным результатам, если возможно точно оценить величины стоимости и износа объекта при условии относительного равновесия спроса и предложения на рынке недвижимости.
Затратный метод оценки недвижимости реализуется в следующей последовательности:
определение стоимости участка земли;
определение стоимости возведения новых аналогичных зданий и сооружений восстановительной или замещающей стоимости ;
определение величины накопленного износа зданий и сооружений;
определение рыночной стоимости недвижимости затратным методом, как суммы стоимости участка земли и восстановительной или заменяющей стоимости зданий и сооружений за минусом накопленного износа.
Применение затратного метода необходимо при анализе нового строительства; реконструкции здания; оценки для целей налогооблажения;для выявления сверхдоходов при оценке недвижимости; при оценке для целей страхования; оценке последствий стихийных бедствий; оценке специальных зданий и сооружений.
Метод капитализации доходов.
Метод капитализации основан на анализе наиболее эффективного использования недвижимости, и этот анализ связан с определением того вида использования, который будет приносить владельцу максимальный доход.
Метод капитализации дохода при оценке рыночной стоимости недвижимости реализуется в следующей последовательности:
прогнозирование будущих доходов;
капитализация будущих доходов.
Будущие доходы, генерируемые объектом недвижимости, делятся на два типа: доходы от операционной (эксплуатационной) деятельности в везультате коммерческих арендных отношений и доходы от реверсии.
Доходы от операционной деятельности прогнозируется путем составления (гипотического) отчета о доходах. Доход от реверсии прогнозируется:
непосредственным назначением абсолютной величины реверсии;
назначением относительного изменения стоимости недвижимости за период владения;
с применением терминального коэффициента капитализации.
Исходной предпосылкой метода прямой капитализации является постоянство и бесконечность капитализируемого дохода. В методе прямой капитализации настоящая стоимость будущего потока доходов определяется как отношение годового дохода, приходящегося на право собственности или интересс, к коэффициенту капитализации для данного права собственности.
Для расчета стоимости полного права собственности определение общего коэффициента капитализации производится на основе рыночных данных. В зависимости от наличия от исходной информации, применяются:
анализ сравнительных продаж;
расчет с использованием коэффициента покрытия долга.
При расчетах настоящей стоимости без учета условий финансирования метод капитализации по норме отдачи формализуется либо в виде анализа дисконтированных денежных потоков, либо в виде расчетных моделей капитализации.
В последнее время спрос на услуги оценщиков и их профессиональную подготовку в Казахстане стал интенсивно расти. Это обусловлено и недавними событиями в финансовой сфере, когда попытки создания механизма кредитования через страхование кредитов потерпели фиаско: банки много потеряли на липовом страховании. В случае с недвижимостью, которая берется банком в залог при выдаче кредита, потери практически невозможны. Таким образом, рынки недвижимости и капитала становятся неразрывными компонентами экономики в целом.
Естественно, что со стороны банков возник большой интерес к таким операциям. И все они нуждаются в квалифицированной оценке недвижимости, проводящие страхование по реальной стоимости объектов недвижимости.
Оценка необходима также в рамках региональной налоговой политики. Во всем мире основой системы местного налогообложения служит налог на недвижимость, за счет этого налога формируется около 70 процентов местного бюджета. Конечно, с развитием самого рынка, с появлением реальных стоимостей возможен переход к такой системе налогообложения, которая бы стимулировала развитие рынка недвижимости и обеспечила бы вместе с тем пополнение местных бюджетов. Этим объясняется и безусловный интерес к оценке, проявляемый со стороны местных администраций.
Стоимость услуг по профессиональной оценке сильно различается в зависимости от типов оцениваемых объектов, сложности работ и, разумеется, от того, какие именно специалисты привлекаются к проведению оценки. Обычно стоимость услуг измеряется либо в часах, помноженных на тариф почасовой оплаты, либо зависит от величины объекта, но никогда не привязывается к его стоимости.
Глава 9. Сравнительный подход в оценке недвижимости
9.1. Особенности применения сравнительного подхода
Сравнительный подход к оценке недвижимости базируется на информации о недавних сделках с аналогичными объектами на рынке и сравнении оцениваемой недвижимости с аналогами.
Исходной предпосылкой применения сравнительного подхода к оценке недвижимости является наличие развитого рынка недвижимости. Недостаточная развитость рынка недвижимости, а также, если оцениваемый объект недвижимости является специализированным, либо обладает исключительными выгодами или обременениями, не отражающими общее состояние рынка, применение этого подхода нецелесообразно.
Сравнительный подход базируется на трех основных принципах оценки недвижимости: спроса и предложения, замещения и вклада. На основе этих принципов оценки недвижимости в сравнительном подходе используется ряд количественных и качественных методов выделения элементов сравнения и измерения корректировок рыночных данных сопоставимых объектов для моделирования стоимости оцениваемого объекта.
Основополагающим принципом сравнительного подхода к оценке недвижимости является принцип замещения. Он гласит, что при наличии на рынке нескольких схожих объектов рациональный инвестор не заплатит больше суммы, в которую обойдется приобретение недвижимости, аналогичной полезности.
Основные этапы оценки недвижимости сравнительным подходом:
1. Изучают состояние и тенденции развития рынка недвижимости и особенно того сегмента, к которому принадлежит данный объект. Выявляются объекты недвижимости, наиболее сопоставимые с оцениваемым, проданные относительно недавно.
Собирается и проверяется информация по объектам-аналогам; анализируется собранная информация и каждый объект - аналог сравнивается с оцениваемым объектом.
На выделенные различия в ценообразующих характеристиках сравниваемых объектов вносятся корректировки в цены продаж сопоставимых аналогов.
4. Согласовываются скорректированные цены объектов-аналогов и выводится итоговая величина рыночной стоимости объекта недвижимости на основе сравнительного подхода.
На первом этапе необходимо сегментирование рынка, то есть разбиение рынка на сектора, имеющие сходные объекты и субъекты.
Сходные объекты:
по назначению использования,
качеству,
передаваемым правам,
местоположению;
физическим характеристикам.
Сходные субъекты:
по платежеспособности,
возможностям финансирования,
инвестиционной мотивации.
Сопоставимые объекты должны относиться к одному сегменту рынка недвижимости; сделки с ними осуществлены на типичных для данного сегмента условиях включающих:
срок окупаемости,
независимость субъектов сделки,
инвестиционную мотивацию.
В частности, необходимо отслеживать следующие моменты:
Срок экспозиции - время, которое объект находится на рынке. Срок экспозиции отличается для разных сегментов рынка и зависит в немалой степени от качества объектов. Например, в Алматы усредненный срок экспозиции для жилых квартир он равен примерно одному месяцу, для офисных зданий - от полутора до трех месяцев. Если объект был продан за период времени гораздо меньший стандартного срока экспозиции, это свидетельствует о заниженной цене. Если объект находился на рынке значительно дольше стандартного срока экспозиции, цена - завышена. В обоих случаях сделка не является типичной для сегмента рынка и не должна рассматриваться в качестве сравнимой.
Независимость субъектов сделки.
Не считаются рыночными сделками (данные по ним не могут использоваться для сравнения) следующие:
сделки с объектами, отягощенными залогом или иными обязательствами;
продажи имущества умерших лиц;
продажи с целью избежать отчуждения заложенного имущества и т.д.;
а также сделки, в которых покупатель и продавец:
находятся в родственных отношениях;
являются представителями холдинга и независимой дочерней компании;
имеют иную взаимозависимость и взаимозаинтересованность;
Инвестиционная мотивация определяется:
аналогичными мотивами инвесторов;
аналогичное наилучшее и наиболее эффективное использование объектов;
степенью износа здания.
Например, покупка здания для организации в нем офиса не может использоваться в качестве аналога, если здание планируется использовать под гостиницу, т.к. ожидаемые потоки доходов и расходов будут иными.
Объект, степень износа которого составляет более 80%, не может быть использован по своему профилю без проведения капитального ремонта. Поэтому покупка здания с износом более 80% происходит с иной мотивацией по сравнению с покупкой здания с меньшим износом. В первом случае - это, как правило, покупка прав на строительство нового объекта.
Основные критерии выбора сопоставимых объектов-аналогов (ценообразующие факторы):
Права собственности на недвижимость
Условия финансирования
Условия и время продажи
Местоположение
Физические характеристики
Права собственности
Обычной рыночной практикой является продажа недвижимости вместе с существующими арендными договорами. При этом, если договорная арендная плата отличается от рыночной, покупатель будет в течение оставшегося срока договора аренды получать денежные потоки, отличающиеся от рыночных. Учет разницы между рыночной и договорной арендной платой при определении стоимости недвижимости называется корректировкой на права собственности. Исходным при корректировке является положение о том, что полное право собственности определяется при рыночной арендной плате и доступном текущем финансировании.
2. Условия финансирования сделки
Под нетипичными условиями финансирования сделки, как правило, понимают кредитование покупки недвижимости по льготным ставкам, которые ниже рыночных. При таких условиях финансирования сделки купли - продажи объекта недвижимости необходим тщательный анализ, в результате которого вносится соответствующая поправка к цене данной сделки, основанная на разнице в ставках по кредиту.
3. Условия продажи и время продажи
Время продажи – один из основных элементов сравнения сопоставимых продаж. Для внесения корректировки на данную характеристику в цену продажи объекта - аналога, необходимо знать тенденции изменения цен на рынке недвижимости с течением времени.
Корректировка на условия продажи отражает нетипичные для рынка отношения между продавцом и покупателем. Продажа может произойти по цене ниже рыночной, если продавцу необходимо срочно реализовать собственность или если на него оказывается давление (судебное разбирательство, дело о банкротстве и т.п.).
4. Местоположение - необходимый элемент сравнения сопоставимых продаж, поскольку оказывает существенное воздействие на стоимость оцениваемого объекта.
5. Физические характеристики объекта недвижимости - размеры, вид и качество материалов, состояние и степень изношенности объекта и другие характеристики, на которые так же вносятся корректировки.
Единицы сравнения (измерения ценообразующих факторов)
Поскольку объекты недвижимости различаются по размеру и составу, при проведении сравнения проданных объектов с оцениваемым объектом неизбежны большие сложности и требуется приведение имеющихся данных к некоему общему знаменателю. Таким общим знаменателем, как правило, служит цена объекта в расчете на единицу площади.
Различными сегментами рынка недвижимости используются различные единицы сравнения.
Единицы сравнения земельных участков:
цена за 1 га;
цена за сотку;
цена за 1 кв.метр.
Единицы сравнения зданий:
цена за 1 кв.м. общей площади;
цена за 1 фронтальный метр;
цена за 1 кв.м. чистой площади, подлежащей сдаче в аренду;
цена за 1 куб.м.
В качестве экономической единицы сравнения при оценке проектов на основе соотношения дохода и цены продажи может использоваться валовой рентный мультипликатор или общий коэффициент капитализации.
9.2. Классификация и суть поправок
Классификация вводимых поправок основана на учете разных способов расчёта и внесения корректировок на различия, имеющиеся между оцениваемым объектом и сопоставимым аналогом.
Процентные корректировки вносятся путем умножения цены продажи объекта-аналога или его единицы сравнения на коэффициент, отражающий степень различий в характеристиках объекта-аналога и оцениваемого объекта. Если оцениваемый объект лучше сопоставимого аналога, то к цене последнего вносится повышающий коэффициент, если хуже - понижающий коэффициент.
К процентным поправкам можно отнести, например, корректировки на местоположение, износ, время продажи.
Стоимостные корректировки
а) Денежные корректировки, вносимые к единице сравнения (1 Га, единица плотности, 1 сотка), изменяют цену проданного объекта-аналога на определенную сумму, в которую оценивается различие в характеристиках объекта-аналога и оцениваемого объекта. Поправка вносится положительная, если оцениваемый объект лучше сопоставимого аналога, если хуже - применяется отрицательная поправка.
К денежным поправкам, вносимым к единице сравнения, можно отнести корректировки на качественные характеристики, а также корректировки, рассчитанные статистическими методами.
б) Денежные корректировки, вносимые к цене проданного объекта-аналога в целом, изменяют её на определенную сумму, в которую оценивается различие в характеристиках объекта-аналога и оцениваемого объекта.
К денежным поправкам, вносимым к цене проданного объекта- аналога в целом, следует отнести корректировки на наличие или отсутствие дополнительных улучшений (складских пристроек, стоянок автотранспорта и пр.)
Расчёт и внесение поправок
Для расчёта и внесения поправок применяются множество различных методов, среди которых можно выделить следующие:
методы, основанные на анализе парных продаж;
экспертные методы расчёта и внесения поправок;
статистические методы.
Метод парных продаж
Под парной продажей подразумевается продажа двух объектов, в идеале являющихся точной копией друг друга за исключением одного параметра (например - местоположения), наличием которого и объясняется разница в цене этих объектов. Данный метод позволяет рассчитать поправку на вышеупомянутую характеристику и применить его для корректировки цены продажи сопоставимого с объектом оценки объекта-аналога на этот параметр.
Ограниченность применения данного метода объясняется сложностью подбора объектов парной продажи, поиском и проработкой большого количества информации.
Например, известны цены сделок купли-продаж по трем аналогичным (сравнимым) квартирам, две из которых находятся в центре города и одна в Айнабулаке (табл. 9.1.)
Таблица 9.1 Исходные данные по сделкам купли-продаж квартир
.
Характеристики (элементы) сравнения
Оцениваемый объект
Продажа
I
Продажа
II
Продажа III
1. Местоположение
Айнабулак
Айнабулак
Центр
Центр
2. Состояние квартиры
хорошее
среднее
хорошее
среднее
3. Цена сделки купли-продажи, у.е./м2
?
600
960
800
При проведении корректировки цены купли-продажи 1 м2 общей площади по сравнимым объектам для определения стоимости единицы площади оцениваемой квартиры в Айнабулаке необходимо учитывать, что представленные две характеристики (элементы) сравнения аддитивны, т.е. не имеют взаимного влияния. Следовательно, можно проводить корректировки в любом независимом порядке.
Обоснование корректировок.
1. Местоположение. Выбираем пару сравнимых продаж: I – III. Данная пара различается лишь по одному элементу сравнения – местоположению (состояние квартир этой пары одинаково). Величина корректировки составит: 600 – 800 = -200 у.е.
2. Состояние квартир. Выбираем пару сравнимых продаж II – III. Данная пара отличается лишь по одному элементу сравнения – состоянию (местоположение квартир этой пары одинаково). Величина корректировки составит: 960 – 800 = 160 у.е.
Определив значения величин корректировок сравнимых продаж, построим таблицу корректировок, проведем соответствующие корректировки и, наконец, установим значение скорректированных цен купли-продажи по трем сравнимым продажам (табл. 9.2.).
Таблица 9.2. Таблица корректировок
Характеристики (элементы) сравнения
Оцениваемый объект
Продажа
I
Продажа
II
Продажа III
1. Цена, у.е./м2
?
600
960
800
2. Местоположение
Айнабулак
Айнабулак
Центр
Центр
3. Корректировки на местоположение
0
-200
-200
4. Состояние квартир
хорошее
среднее
хорошее
среднее
5.Корректировка на состояние квартир
160
0
160
6. Итоговая корректировка
160
-200
-40
7. Скорректированные цены продаж
760
760
760
Таким образом, скорректированные цены купли-продажи по сравнимым объектам указывают на стоимость 1 м2 общей площади оцениваемой квартиры в Айнабулаке в 760 у.е. Сделаем некоторые пояснения по введению положительных и отрицательных значений корректировок. Так, по продажам квартир II и III, расположенных в центре города сделаны отрицательные корректировки (-200). Это предопределяется отрицательным вкладом в стоимость квартиры, расположенной в центре города, и условным «переносом» ее в Айнабулак, где расположена оцениваемая нами квартира. Положительные корректировки (+160) по продаже I и III предопределяется «переходом» этих квартир из состояния «неплохое» в состояние «хорошее», в котором находится оцениваемая нами квартира.
Экспертные методы расчета и внесения поправок
Основу экспертных методов расчёта и внесения поправок, обычно процентных, составляет субъективное мнение эксперта-оценщика о том, насколько оцениваемый объект хуже или лучше сопоставимого аналога.
Обозначим стоимость объекта оценки - Х, а цену продажи сопоставимого аналога примем равной - 1.0
Если объект лучше аналога на 15%, тогда цена аналога должна увеличиться на те же 15%:
Х = 1.0 +15% 1.0 = 1.0 (1 + 0.15) = 1.15
Оцениваемый объект хуже аналога на 15%, цена аналога уменьшиться:
Х = 1.0 - 15% 1.0 = 1.0 (1.0 - 0.15) = 0.85
Аналог лучше оцениваемого объекта на 15%.Цена аналога должна уменьшиться:
= Х + 15% Х = Х (1 + 0.15 ) , Х = 0.87
Аналог на 15% хуже оцениваемого объекта. Цена аналога должна вырасти:
= Х - 15% Х = Х (1.0 - 0.15) , Х = 1 / 0.85 = 1.18
Экспертными методами расчета и внесения поправок обычно пользуются, когда невозможно рассчитать достаточно точные денежные корректировки, но есть рыночная информация о процентных различиях.
Статистические методы расчёта поправок
Суть метода корреляционно-регрессионного анализа состоит в допустимой формализации зависимости между изменениями цен объекта недвижимости и изменениями каких-либо его характеристик.
Данный метод трудоёмок и требует для своего применения достаточно развитого рынка недвижимости, т.к. не предполагает анализ большого количества репрезентативных выборок из базы данных.
Пример последовательности внесения поправок и получение скорректированного результата
Процентные корректировки вносятся всегда первыми - к каждой предыдущей, уже скорректированной величине цены сопоставимой продажи.
Вносятся денежные корректировки, последовательность внесения которых не имеет значения.
В ряде случаев денежные корректировки, вносимые к цене аналога в целом, должны вноситься перед процентными. Например, если корректировки на условия финансирования или на право собственности рассчитаны как абсолютные денежные, то они применяются для корректировки цен аналогов первыми.
Пусть необходимо скорректировать цену аналога общей площадью в 1000 кв.м. и проданного за 500000 у.е. Последовательность внесения поправок и выведение итоговой стоимости представлены в Таблице 9.3.
Таблица 9.3. Стоимость объекта с учетом поправок
№
Элементы сравнения
Величина
обоснованно-
вводимых поправок
Стоимостное выражение
поправок,
скорректированная цена, $
Цена продажи аналога
500000
Поправка на передаваемое право собственности
+4%
+20000
Скорректированная цена
520000
Поправка на условия
финансирования
-2%
-10400
Скорректированная цена
509600
Поправка на условия
продажи
+3%
+15288
Скорректированная цена
524888
Поправка на изменение
экономических условий
+5%
+26244
Скорректированная цена
551132
Поправка на
местоположение
+4%
+22045
Скорректированная цена
573177
Поправка на износ
-6%
-34391
Скорректированная цена
538787
Поправка на наличие дополнительных улучшений
(денежная к цене в целом)
-35000
Скорректированная цена
503787
Поправка на масштаб
(денежная к един. сравнения)
-160
ИТОГОВАЯ СТОИМОСТЬ
343787
9.3. Оценка на основе соотношения дохода и цены продажи
В этом случае в качестве единиц сравнения применяются следующие единицы сравнения:
Валовой рентный мультипликатор (ВРМ).
Общий коэффициент капитализации (ОКК).
Валовой рентный мультипликатор - это отношение продажной цены или к потенциальному валовому доходу (ПВД), или к действительному валовому доходу (ДВД).
Для применения ВРМ необходимо:
а) оценить рыночный валовой (действительный) доход генерируемый объектом;
б) определить отношение валового (действительного) дохода к цене продажи по сопоставимым продажам аналогов;
в) умножить валовой (действительный) доход от оцениваемого объекта на усредненное (средневзвешенное) значение ВРМ по аналогам.
Вероятная цена продажи оцениваемого объекта рассчитывается по формуле:
Цоб = ПВДо ВРМа == ПВДо ()/m (9.1.)
где Цоб - вероятная цена продажи оцениваемого объекта;
ПВДо - валовой (действительный) доход от оцениваемого объекта;
ВРМа - усредненный валовой рентный мультипликатор по аналогам;
Цiа - цена продажи i-го сопоставимого аналога;
ПВДiа - потенциальный валовой доход i-го сопоставимого аналога;
m – количество отобранных аналогов.
Например. Необходимо оценить объект недвижимости с ПВД в 150000.В банке данных имеются сведения о недавно проданных аналогах (см. табл. 9.4.)
Таблица 9.4 Расчет валового рентного мультипликатора.
Аналог
Цена продажи, $
ПВД
ВРМ
А
800000 /
160000 =
5
В
950000 /
175000 =
5.43
С
650000 /
135000 =
4.8
ВРМ (усредненный по аналогам) = (5 + 5.43 + 4.8) / 3 = 5
Цоб =$150000 * 5 = $750000
ВРМ не корректируют на удобства или другие различия между объектом оценки и сопоставимыми аналогами, так как в основе расчета ВРМ положены фактические арендные платежи и продажные цены, в которых уже учтены указанные различия.
Метод достаточно прост, но имеет следующие недостатки:
может применяться только в условиях развитого и активного рынка недвижимости;
в полной мере не учитывает разницу в рисках или к нормах возврата капитала между объектом оценки и его сопоставимым аналогом;
не учитывает также вполне вероятную разницу в чистых операционных доходах сравниваемых объектов.
Общий коэффициент капитализации
Основные этапы расчета стоимости объекта:
Подбор сопоставимых (в т. ч. по степени риска и доходам) продаж в данном сегменте рынка недвижимости;
Общий усредненный коэффициент капитализации (ОКК) определяется отношением чистого операционного дохода (ЧОД) сопоставимого аналога к его продажной цене:
Ккап = ()/m (9.2.)
где Ккап - общий коэффициент капитализации;
ЧОДiа - чистый операционный доход i-го сопоставимого аналога;
Цiа - цена продажи i-го сопоставимого аналога;
m – количество отобранных аналогов.
Далее, вероятная цена продажи объекта оценки будет определяться формулой:
Цоб = ЧОДо / Ккап= ЧОДо / ()/m (9.3.)
где ЧОДо - чистый операционный доход от оцениваемого объекта.
Например. Оценивается объект недвижимости с прогнозируемым ЧОД в размере $50000.
Таблица 9.5. Информация о сделках купли-продажи
Аналог
Чистый операционный доход, $
Продажная цена, $
Расчетный Ккап.
А
5000
35000
-
В
40000
500000
0,08
С
Доход за истекший год 35000
350000
-
Аналоги А и С не могут быть использованы для расчёта, так как у первого величина ЧОД не сопоставима с величиной ЧОД оцениваемого объекта, а у второго вообще указан доход за прошлый год. Вероятная цена продажи оцениваемого объекта будет равна:
Цоб = $50000 / 0.08 = $625000 .
Анализ полученных расчётов и итоговое заключение о вероятной цене объекта методом сравнительного подхода к оценке недвижимости.
Заключительным этапом сравнительного подхода к оценке недвижимости является анализ произведённых расчётов с целью получения итоговой величины стоимости оцениваемого объекта. При этом необходимо:
Тщательно проверить использованные для расчёта данные по сопоставимым продажам и их скорректированные величины.
Провести согласование скорректированных величин сопоставимых продаж путём расчёта средневзвешенной (среднеарифметической) величины.
Каждой скорректированной величине сопоставимой продажи произвольно присваивается условный удельный вес в процентах, так чтобы сумма удельных весов составляла 100%. Наибольший вес присваивается скорректированным величинам цен тех отобранных аналогов, к которым вводилось меньшее количество и величина поправок. Иначе говоря, наибольший вес при согласовании результатов корректировок будут иметь те аналоги, которые наиболее сопоставимы с оцениваемым объектом. Затем скорректированные величины продаж умножаются на свои удельные веса, и полученные результаты суммируются.
Расчёт среднеарифметической величины оправдан в том случае, если:
количество отобранных аналогов минимально;
величины их скорректированных цен достаточно близки.
Рассчитанная оценщиком средневзвешенная величина будет являться в большинстве случаев итоговой вероятной ценой продажи оцениваемого объекта, которая может быть округлена в допустимых пределах в каждом конкретном случае.
3. В тех случаях, когда один из сопоставимых объектов продаж существенно ближе к объекту оценки, чем остальные (минимальное число корректировок и абсолютная величина суммарной корректировки), оценщик может выбрать его стоимость в качестве базовой для определения стоимости объекта оценки, не проводя взвешивания.
Например. Анализ трех сопоставимых продаж и последующее внесение корректировок и “взвешивания” позволил вывести итоговую цену в 528000$ (табл. 9.6.).
Таблица 9.6. Выведение итоговой цены
Объект
Скорректированная цена, $
Веса
Взвешенная цена,$
А
573234
40%
229294
В
642143
10%
64214
С
468673
50%
234337
Средне-взвешенная
527845
ИТОГОВАЯ
528000
Контрольные вопросы:
Какие основные единицы сравнения используются в сравнительном подходе?
Назовите основные критерии применения метода парных продаж, используемые в сравнительном подходе?
Возможна ли корректировка элементов (характеристик) оцениваемого объекта недвижимости при моделировании его стоимости с помощью сравнительного подхода?
Чем отличаются количественные и качественные методы расчета и внесения корректировок при применении сравнительного подхода? В каких случаях возможно использование лишь качественных методов применения корректировок?
Какое количество сопоставимых объектов недвижимости необходимо и достаточно для реализации метода анализа парных данных в сравнительном подходе?
Какими достоинствами и недостатками обладает метод валового рентного мультипликатора?
Какие основные статистические характеристики используются при подготовке исходных рыночных данных и анализе скорректированных цен продаж сопоставимых объектов недвижимости на предмет оценки достоверности моделируемой стоимости оцениваемого объекта недвижимости в сравнительном подходе?
Дисконтирование и приведение притока средств от инвестиции к текущей стоимости по заранее определенной ставке дисконта
1)Чистая текущая стоимость (NPV)
2)Общая ставка дохода (OAR)
3)Ставка денежных поступлений на собственный капитал (EDR)
4)Чистый располагаемый доход (NSI)
5)Валовой рентный мультипликатор (GRM)
9. Вид дохода облагаемый налогом по обычным ставкам и может достигать 70% для частных лиц
1)Обычный доход
2)Доход от продажи долгосрочных капитальных активов
3)Налогооблагаемый доход
4)Доход от пассивной деятельности
5)Доход от перепродажи
10.Если стоимость купленных с использованием кредитов активов не повышается или если выгоды от них не превышают процента по ссудам, левередж является
1)«отрицательным»
2)«нейтральным»
Глава 10 Оценка стоимости машин и оборудования
10.1 Основные понятия оценки машин и оборудования
В настоящее время все более возрастает роль заключений об оценке имущественных прав, выполненных независимыми оценочными компаниями, при принятии собственниками либо менеджерами компаний различных управленческих решений в отношении основных средств (ОС) предприятия. Одним из трудных вопросов стоимостных оценок ОС является анализ влияния стоимости машин и оборудования на себестоимость продукции, налогообложение, величину чистых активов и другие показатели финансово-экономической деятельности предприятия.
Машины и оборудование (М и О) большинства предприятий сильно изношены. Значительная часть М и О по бухгалтерским данным имеет 100-процентный износ, однако активно эксплуатируется и, следовательно, имеет рыночную стоимость. Другая часть, напротив, практически не имея бухгалтерского износа, имеет фактически нулевую стоимость за счет функционального, морального и (или) экономического устаревания.
При большом количестве единиц машин и оборудования на предприятиях (от нескольких тысяч на средних предприятиях до десятков тысяч на крупных) особенно часто возникают вопросы определения стоимости как отдельных единиц, так и групп М и О (что гораздо чаще), а также всего парка машин и оборудования в целом. Важен не только вопрос величины стоимости на конкретную дату, но и прогноз изменения стоимости во времени, а также изменения стоимости после значительных дат (например, после дефолта и т. д.).
При этом собственник либо управляющий, как правило, имеет интуитивное представление о стоимости как отдельных ОС, групп, либо всех фондов целиком. Задача оценщика еще на этапе предпроектных работ по оценке - понять, насколько интуитивные представления заказчика совпадают с реальностью. В результате дальнейших работ по оценке подробные расчеты должны подтвердить выводы оценщика, полученные из экспресс-анализа. Одним из главных препятствий на пути оценщика, как правило, стоит невозможность получения полного перечня исходных данных (их более 50 наименований) и отсутствие однозначной идентификации объекта оценки.
Еще недалеко то время, когда вторичного рынка имущества практически не существовало, впрочем, как и первичного. После приобретения по разнарядке оборудования, оно, как правило, оседало у своего первого же владельца вплоть до списания. В редких случаях происходила смена владельца (так же, как и при его приобретении, осуществлявшаяся по распоряжению "сверху"). Оборудование передавалось безвозмездно "с баланса на баланс", в лучшем случае оно продавалось по фиксированной расчетной цене - остаточной стоимости.
В настоящее время можно смело утверждать, что имущественный рынок, первичный и вторичный, действует и оборудование на нем является наиболее распространенным и активным товаром. Появился рынок - появилась потребность в оценке. Оценка в свою очередь выдвинула требования в четкой идентификации объектов оценки. Идентификация - это выявление технических характеристик и свойств объектов и отнесение их к определенному классу (группе) основных средств. Эта информация впоследствии служит исходными данными для расчетов стоимости объектов (табл. 10.1). Учитывая большое разнообразие и количество единиц оборудования даже в пределах одного среднего предприятия, очевидно, что эта задача стала одной из самых ответственных и трудоемких в процессе оценки.
Таблица 10.1- Перечень исходных данных, используемых в различных методах оценки оборудования
1
Однородный объект (аналог)
28
Среднемесячная заработная плата в промышленности на исходный момент
2
Цена однородного объекта (аналога)
29
Среднемесячная зарплата в промышленности на дату оценки
3
Масса однородного объекта (аналога)
30
Собственные затраты производителя по сборке объекта из частей
4
Рентабельность однородного объекта (аналога)
31
Группы сложности оцениваемых объектов или его составных частей
5
Объем однородного объекта (аналога)
32
Количество узлов в оцениваемом объекте
6
Площадь однородного объекта (аналога)
33
Удельные затраты на изготовление и приобретение комплектующих изделий, приходящиеся на один "вход-выход"
7
Мощность однородного объекта (аналога)
34
Удельная зарплата на один технологический узел
8
Производительность однородного объекта (аналога)
35
Косвенные накладные расходы (% от основной заработной платы)
9
Исходная цена оцениваемого объекта
36
Удельные затраты на комплектующие изделия (% от стоимости материалов)
10
Базисная цена оцениваемого объекта
37
Коды ЕНАО оцениваемых объектов
11
Масса оцениваемого объекта
38
Время (месяц, год) зафиксированной исходной цены
12
Рентабельность оцениваемого объекта
39
Структура и вид цены
Продолжение таблицы 10.1
13
Объем оцениваемого объекта
40
Цена товарного знака
14
Площадь оцениваемого объекта
41
Стоимость дополнительных устройств
15
Мощность оцениваемого объекта
42
Данные для определения годовой выручки
16
Производительность оцениваемого объекта
43
Данные для определения годовых затрат
17
Состав конструкции объекта оценки (устройства, блоки, агрегаты и т. п.)
44
Данные о стоимости зданий
18
Цены всех частей, входящих в конструкцию оцениваемого объекта
45
Данные о стоимости сооружений
19
Индексы приведения исходной стоимости к базисной
46
Данные о стоимости земли
20
Индексы приведения стоимости на 01.01.95 к уровню цен по состоянию на 01.01.91
47
Реальная ставка дисконта
21
Индексы приведения цен от базисного года к уровню на дату оценки
48
Ставка капитализации для земли
22
Индекс цен производителей на продукцию черной металлургии
49
Нормативный срок службы объекта
23
Индекс цен производителя на продукцию цветной металлургии
50
Фактический срок службы объекта
24
Индекс цен на продукцию электроэнергетики
51
Балансовая стоимость машинного комплекса
25
Индекс цен производителей на продукцию промышленности стройматериалов
52
Балансовая стоимость отдельных единиц оборудования
26
Индекс цен производителя на продукцию машиностроения
53
Первоначальная цена объекта
27
Единые отраслевые укрупненные нормативы удельных затрат на материалы, комплектующие изделия, зарплату основных рабочих, косвенные расходы, приходящиеся на единицу измерения влияющего фактора
Объекты оценки машин и оборудования
Рынок машин и оборудования широко структурирован, и каждая группа оборудования имеет свой сектор имущественного рынка.
Значительная часть машин и оборудования в силу своей специфичности или специфичности производства, в котором оно занято, имеет ограниченный открытый рынок. В целом рынок машин и оборудования очень подвижен по сравнению с рынком недвижимости, что объясняется систематическим активным обновлением ассортимента машиностроительной продукции и выпуском более совершенных образцов взамен морально устаревших. Принадлежащие предприятию и эксплуатируемые им машины и оборудование относятся к основным фондам и являют собой совокупность материально-вещественных ценностей, которые используются в течение длительного времени в натуральной форме в качестве средств производства.
Первичным объектом оценки является инвентарный объект - законченный предмет или комплекс предметов со всеми приспособлениями и принадлежностями, относящимися к оцениваемому объекту.
В инвентарный объект, относящийся к силовым и рабочим машинам, производственному оборудованию, входят: фундамент, все приспособления к ним, принадлежности, приборы, индивидуальные ограждения и собственно сама машина или технологическое оборудование.
Таким образом, объектами оценки машин и оборудования могут быть:
1. Функционально самостоятельные машины, агрегаты и установки;
2.Технологические комплексы, объединяющие в соответствии с технологическим процессом технологические машины и вспомогательные устройства в поточные и автоматические линии;
3.Машинный или станочный парк производственного структурного подразделения, представляющий собой совокупность инвентарных объектов.
Машины и оборудование по выполняемому ими назначению в хозяйственной деятельности определяются как активная часть основных фондов, а недвижимость (здания и сооружения) - как пассивная часть.
Виды рыночной стоимости машин и оборудования
Конечная цель оценки - расчет на конкретную дату обоснованной стоимости объектов - в существенной мере зависит также от ситуации на рынке. В зависимости от ситуации в экономической, политической, торговой и производственной сферах возникает потребность в определении различных видов стоимости. Ситуация оценки - это конкретные обстоятельства и условия, вызвавшие необходимость оценки.
Оценка стоимости оборудования и машин обычно требует оценки таких видов стоимости, как рыночная стоимость, стоимость первоначальная, восстановительная, остаточная, ликвидационная, утилизационная и страховая.
Понятие рыночной стоимости лежит в основе всей оценочной деятельности. Определение этого вида стоимости сформулировано в Федеральном законе "Об оценочной деятельности в РК": "под рыночной стоимостью объекта оценки понимается наиболее вероятная цена, по которой данный объект оценки может быть отчужден на открытом рынке в условиях конкуренции, когда стороны сделки действуют разумно, располагая всей необходимой информацией, а на величине цены сделки не отражаются какие-либо чрезвычайные обстоятельства, то есть когда:
одна из сторон сделки не обязана отчуждать объект оценки, а другая сторона не обязана принимать исполнение;
стороны сделки хорошо осведомлены о предмете сделки и действуют в своих интересах;
объект оценки представлен на открытый рынок в форме публичной оферты;
цена сделки представляет собой разумное вознаграждение за объект оценки и принуждения к совершению сделки в отношении сторон сделки с чьей-либо стороны не было;
платеж за объект оценки выражен в денежной форме".
Международная практика оценки машин и оборудования предполагает использование трех видов рыночной стоимости:
обоснованная рыночная стоимость при продолжающемся использовании;
обоснованная рыночная стоимость установленного оборудования;
обоснованная рыночная стоимость при перемещении.
В оценке машин и оборудования часто задача оценки может состоять в оценке только стоимости воспроизводства или стоимости замещения объекта.
Стоимость воспроизводства объекта оценки - сумма затрат в рыночных ценах, существующих на дату проведения оценки, с учетом износа объекта оценки.
Стоимость замещения объекта оценки - сумма затрат на создание объекта, идентичного объекту оценки, в рыночных ценах, существующих на дату проведения оценки с применением идентичных материалов и технологии, с учетом износа объекта оценки.
Инфляция и другие структурные сдвиги в экономике приводят к тому, что основные фонды предприятий обесцениваются. Не обеспечиваются нужные объемы накоплений средств для воспроизводства основных фондов.
Основным назначением стоимости воспроизводства и стоимости замещения является начисление бухгалтерского износа (амортизации), расчет налогов и статистический учет национального богатства. Для того чтобы избежать искажений действительных значений этих величин, необходима регулярная переоценка основных фондов.
Для того чтобы определить полную стоимость замещения или воспроизводства, необходимо учитывать износ: именно он определяет потерю стоимости объекта в процессе эксплуатации. Снижение стоимости вследствие частичной потери работоспособности из-за физического старения объекта называется физическим износом.
Снижение стоимости, связанное с потерей, уменьшением конкурентоспособности на рынке, называют моральным износом; он определяется одномоментно с появлением объекта-конкурента.
Снижение стоимости в связи с изменением экономической, социальной или политической ситуации носит название внешнего или экономического износа (устаревания).
Машины и оборудования – это материальные объекты собственности, не относящиеся к недвижимости. Они часто относятся к движимому имуществу и могут существовать как отдельные объекты или часть системы, выполняющей определенную функцию.
Транспортное средство- это устройство, предназначенное для перевозки по дорогам людей, грузов и установленного на нем оборудования.
Рыночная стоимость – это расчетная величина, равная денежной сумме, за которую предполагается переход имущества из руки в руки на дату оценки в результате коммерческой сделки между добровольным покупателем и добровольным продавцом после адекватного маркетинга; при этом полагается, что каждая из сторон действовала компетентно, расчетливо и без принуждения.
Полная стоимость воспроизводства – совокупность затрат, требующихся на воспроизводство новой точной копии объекта собственности из тех же или очень похожих материалов, рассчитанная в текущих ценах.
Полная стоимость замещения – текущая стоимость нового аналогичного объекта, эквивалентного по полезности оцениваемому объекту.
Планомерная ликвидационная стоимость – расчетная валовая величина, выраженная в денежном эквиваленте, которую ожидается получить от продажи имущества при условии, что у продавца есть некоторый разумный период времени для поиска покупателя (покупателей) и что он обязан продавать имущество в том виде, как оно есть, в том месте, где оно находится. Эту стоимость также называют стоимостью упорядоченной ликвидации.
Стоимость ускоренной ликвидации – расчетная величина, выраженная в денежном эквиваленте, которую ожидается получить от открытой продажи имущества, проведенной должным образом с адекватной рекламой, при условии, что продавец обязан продавать имущество срочно в том виде, как оно есть, и в том месте, где оно находится.
Страховая стоимость- это рыночная стоимость оборудования, определяемая при страховании и фиксируемая в страховом полисе (договоре).
Таможенная стоимость- в общем случае это цена для исчисления таможенной пошлины по ставке тарифа, установленной в процентном отношении к цене объекта.
Утилизационная стоимость- это стоимость выработавшего свой ресурс и списываемого оборудования. Утилизационная стоимость включает в себя стоимость агрегатов, узлов и систем, как отслуживших свой срок и реализуемых по цене металлолома, так и еще годных для использования.
Цели и принципы оценки машин и оборудования. Цель оценки – составить заключение о стоимости.
При оценке машин и оборудования используется следующие принципы:
полезность – это способность актива удовлетворять потребности пользователя в данном месте и в течении данного периода времени.
замещение – расчетливый и осведомленный покупатель не заплатит за объект собственности больше, чем он может заплатить за другую собственность эквивалентного качества и полезности.
предвидение – стоимость создается ожиданием выгод, которые могут быть получены в будущем.
вклад – стоимость отдельного компонента измеряется его вкладом в стоимость всего объекта собственности или той величиной, которая должна быть вычтена из стоимости всего объекта в случае его отсутствия.
сбалансированность – все факторы производства должны находиться в таком соотношении, чтобы доходы от объекта были максимальны.
соответствие – стоимость объекта создается и сохраняется тогда, когда его характеристики соответствуют потребностям рынка.
предложение и спрос – цена собственности растет при увеличении спроса и снижается при увеличении предложения, а когда предложение и спрос сбалансированы, рыночная стоимость обычно отражает затраты на производство.
конкуренция – существует взаимовлияние двух или более потенциальных продавцов по совершению продажи.
изменение – стоимость объекта не остается постоянной и меняется с течением времени и под воздействием других факторов, влияющих на объект.
наиболее эффективного использования – тот вариант использования, который обеспечит объекту наибольший чистый доход в течение заданного периода времени, т.е. тот вариант использования, выбранный среди разумных, возможных и законных альтернативных вариантов, который является физический возможным, достаточно обоснованным и финансово осуществимым и приводит к наивысшей стоимости объекта.
Процесс оценки. Процесс оценки машин и оборудования состоит из следующих этапов:
Постановка задачи
Определение вида стоимости
Определение объекта оценки и сбор информации.
Расчет оценочной стоимости машин и оборудования
Согласование результатов оценки и оформление отчета
Постановка задачи. На данном этапе оценщик обсуждает ситуацию, при которой возникла необходимость проведения оценки.
Оценщику необходимо:
- определить, какая собственность подлежит оценке;
- обсудить, как будут использованы результаты оценки;
- определить дату оценки, на которую проводятся все расчеты;
- установить все возможные ограничения и допущения, при которых
полученные результаты будут справедливы.
- разработать план проведения оценочных работ.
Определение вида стоимости. При оценке машин и оборудования применяются различные виды стоимости.
Оценщик должен определить и предложить клиенту тот вид стоимости, который наилучшим образом соответствует поставленной цели.
Используются следующие зависимости между целью оценки и видом стоимости:
- передача прав собственности – обоснованная рыночная стоимость;
- страхование – полная стоимость воспроизводства или замещения за вычетом физического износа;
- вклад в уставной капитал – обоснованная рыночная стоимость;
- финансирование, лизинг – обоснованная рыночная стоимость, стоимость упорядоченной ликвидации, стоимость ускоренной ликвидации;
- расторжение партнерства – обоснованная рыночная стоимость;
- налогообложение партнерства – обоснованная рыночная стоимость.
Определение объекта оценки и сбор информации. На этом этапе оценщик проводит идентификацию собственности, имеющихся документов на объект, его комплектность, работоспособность и фактическое состояние на месте установки объекта.
При идентификации объекта оценки необходимо составить описание, которое имеет следующую структуру:
- наименование, модель (марка) объекта;
- назначение и принцип действия;
- масса и габариты;
- основные технические характеристики, позволяющие определить
потребительские свойства объекта;
- характеристика системы управления;
- комплектация, включая приспособления и инструменты;
- год изготовления и дата ввода в эксплуатацию;
- сведения об установке на фундамент и подключение к энергетическим и информационным сетям;
- сведения о ремонте и техническом обслуживании, замене его отдельных узлов и агрегатов;
- наименование и реквизиты изготовителя.
При систематизации и классификации машин и оборудования можно использовать стандартную классификацию, применяемую в бухгалтерском учете.
Необходимо определить затраты на воспроизводство, на дату оценки, новой точной копии объекта или на создание аналога; провести анализ рынка оцениваемого оборудования; определить доход, который может быть получен от эксплуатации объекта в будущем.
10.2 Методы оценки машин и оборудования.
При определении стоимости объекта используются три основных подхода: затратный, рыночный и доходный.
Затратный подход
Затратный подход основан на определении стоимости производства и реализации точной копии или равноценной замены объекта как нового в текущих ценах и определении потери стоимости в связи с физическим, функциональным и экономическим износом.
Затратный метод применяется при оценке:
- машин и оборудования специального назначения;
- объектов, изготовленных по индивидуальным заказам.
- объектов, не имеющих аналогов на рынке.
Затратный подход реализуется в следующих методиках:
Расчет по цене однородного объекта
Индексный метод оценки
Метод поэлементного расчета.
Расчет по укрупненным нормативам
Расчет по цене однородного объекта.
В основе данного метода лежит предположение о том, что себестоимость изготовления однородного объекта близка к себестоимости оцениваемого объекта, если они похожи по конструкции, используемым материалам и технологии изготовления.
Если однородный объект пользуется спросом на рынке и цена на него известна, то можно предположит, что полная себестоимость изготовления однородного объекта (сп.од) будет равна:
, (10.1)
где Цод - цена однородного объекта;
Ндс , Нпр – ставка налогов на добавленную стоимость и прибыль соответственно;
Кр – показатель рентабельности продукции, т.е. доля чистой прибыли и торговой наценки по отношению к цене.
При определении Кр можно пользоваться следующими рекомендациями:
кр = 0.25 – 0.35 – для продукции, пользующейся повышенным спросом,
кр = 0.1.- 0.25 – для продукции, имеющей средний спрос,
кр = 0.05. – 0.1 – для продукции с малым спросом.
Полная себестоимость оцениваемого объекта (Сп) с учетом различия в массе конструкции определяется по следующей формуле:
, (10.2)
где G и Gод – масса конструкции оцениваемого и однородного объектов соответственно.
Далее рассчитывают восстановительную стоимость оцениваемого объекта (Sв) по формуле:
, (10.3)
Индексный метод оценки.
Данный метод позволяет приводить базовую стоимость объекта к современному уровню цен с помощью корректирующих индексов по следующей формуле:
С = С0 * I, где
С – искомая стоимость объекта;
С0 – базовая стоимость объекта;
I – индекс изменения цен по соответствующей группе машин и оборудования за период между датой оценки и исходным моментом.
В качестве базовой стоимости объекта может использоваться восстановительная стоимость. В качестве индексов изменения цен могут использоваться коэффициенты Агентства по статистике РК, а также индексы общей и промышленной инфляции, валютные курсы.
Метод поэлементного расчета.
Этот метод применим в тех случаях, когда оцениваемый объект может быть собран из нескольких составных частей.
Последовательность работ при данном методе следующая:
Анализируется структура объекта и составляется перечень его основных частей (устройств, блоков, агрегатов), которые могут быть приобретены отдельно.
Собирается информация о ценах по каждой части объекта. Если цена относится к разным моментам времени, то их индексируют.
Рассчитывается себестоимость объекта (С) по формуле:
сп= (1 + ксоб) * aj * Цj, (10.4)
где aj – количество комплектующих частей типа j
Цj – рыночная стоимость одной части типа j
ксоб – коэффициент, учитывающий собственные затраты изготовителя.
Определяют восстановительную стоимость Sв
, (10.5)
где нпр – ставка налога на прибыль,
кр – показатель рентабельности продукции (см. метод расчета по цене однородного объекта).
Расчет по укрупненным нормативам
Данный метод предполагает использование нормативов затрат, заранее рассчитанных для нескольких объектов, похожих на оцениваемый по технологии изготовления, используемым материалам и организации производства. Нормативы затрат- это удельные показатели, определяющие расход какого-либо ресурса на единицу влияющего фактора.
Определение износа машин и оборудования.
Износ машин и оборудования означает потерю стоимости объекта в процессе его эксплуатации или длительного хранения, научно-технического процесса и экономической ситуации в целом. Поэтому при оценке машин и оборудования затратным методом учитываются физический износ, функциональное и экономическое устаревание.
Физический износ.
Для определения величины физического износа используются следующие методы:
метод эффективного возврата,
метод экспертизы состояния,
метод поэлементного расчета,
прямой метод.
Метод эффективного возраста.
Оценщик экспертным методом, учитывая фактическое состояние
машины, исходя из ее внешнего вида, условий эксплуатации и других факторов определяет остающийся срок службы (Тост). Определив из технической документации эффективный возраст из выражения:
Тэф = Тн – Тост, (10.6)
где Тн – нормативный срок службы.
Физический износ Фи определяется по формуле:
, (10.7)
Метод экспертизы состояния.
Данный метод позволяет определить физический износ в соответствии с разработанной оценочной шкалой. Для повышения степени достоверности могут быть привлечены несколько экспертов.
Физический износ определяется из зависимости:
Фи = Фиj * аj , где
Фиj - значение износа, согласно мнению j – го эксперта;
аj - весомость мнения j- го эксперта;
Весомость мнений экспертов определяется из условия Σ аj = 1
Метод поэлементного расчета.
Данный метод основан на определении износа для отдельных элементов машин и оборудования в общей себестоимости объекта. Затем определяется физический износ объекта в целом по формуле:
, (10.8)
где fi – физический износ i – го элемента,
Сi , – себестоимость i – го элемента и объекта в целом соответственно.
– нормативный срок службы i- го элемента и объекта в целом соответственно.
Прямой метод.
Данный метод применением в тех случаях, когда известны стоимости новых машин и оборудования (Сн) и затраты (З), которые необходимо произвести для того, чтобы довести объект до нового состояния.
При этом износ определятся из выражения:
, (10.9)
Выбор метода определения физического износа при оценке конкретного объекта зависит от достоверности, доступности исходной информации и квалификации эксперта оценщика.
Функциональное устаревание.
Функциональное устаревание – потеря стоимости, вызванная появлением новых изделий и технологий. Рассматривают две категории функционального устаревания:
- функциональное устаревание, обусловленное избытком капитальных затрат,
- функциональное устаревание, обусловленное избыточными эксплуатационными расходами.
Функциональное устаревание, обусловленное избыточными капитальными затратами возникает, когда эксплуатационная производительность машин и оборудования из-за технических или технологических условий меньше расчетной, то есть объект недоиспользуется.
Величину обесценения (W) можно определить по следующей зависимости:
, (10.10)
где W – обесценение от недоиспользования;
Р, р – реальная и расчетная производительность соответственно;
n – величина фактора «экономии на размере».
Функциональное устаревание, обусловленное избыточными эксплуатационными расходами характеризуется повышенной, по сравнению с новым, потребностью действующего оборудования в энергетических и материальных затратах, более высокой трудоемкостью обслуживания и ремонта и т.п.
Порядок расчета этого обесценения:
определение ежегодных эксплуатационных расходов по оцениваемому объекту.
Определение ежегодных операционных расходов при эксплуатации современного аналогичного оборудования.
Определение разницы затрат на эксплуатацию.
Учет влияния налогов.
Определение отстающего срока экономической жизни объекта или времени на устранение недостатков.
Расчет текущей стоимости ежегодных будущих потерь для остающегося срока жизни объекта по соответствующей ставке дисконтирования.
Экономическое устаревание.
Экономическое устаревание – потеря стоимости, обусловленная влиянием внешних факторов.
Оценщик должен глубоко разобраться в ситуации на предприятии, в сложных отраслях техники, учесть региональные и местные особенности. Экономическое устаревание может быть вызвано общеэкономическими и внутриотраслевыми изменениями, сокращением спроса на определенный вид продукции, сокращением предложения или ухудшением качества сырья, рабочей силы, вспомогательных систем, сооружений и коммуникаций, а также правовыми изменениями, муниципальным постановлением и административным распоряжением.
При расчете экономического устаревания используют принцип замещения, т.е. с учетом полезности объекта.
Потерю стоимости объекта по экономическим причинам (Иэ) определяют через недоиспользование:
, (10. 11)
где Р,р – реальная и расчетная производительность объекта соответственно;
n – величина фактора «экономии на размере».
Рыночный подход.
Рыночный подход основан на определении обоснованной рыночной цены объекта, аналогичного оцениваемому объекту.
При использовании данного метода сопоставление проводится:
с точным аналогом, продающимся на вторичном рынке;
с приблизительным аналогом, продающимся на вторичном рынке, с внесением корректирующих поправок при отсутствии точного аналога;
с новым аналогичным оборудованием с внесением поправок на износ при отсутствии вторичного рынка.
Информационное обеспечение оценочной деятельности. При проведении оценки оценщик использует следующую информацию:
реальные цены известных сделок купли-продажи нового и подержанного оборудования;
цены прейскурантов производителей или дилеров;
цены предложений, полученные в результате письменных или устных запросов;
индексы цен;
Источниками информации при этом являются:
личные связи;
пресса и специализированные издания;
письменный или устный запрос;
общеэкономические и отраслевые издания.
Выбор аналога. Для выбора аналога рекомендуется определить интегральный показатель степени близости (Р).
Показатель (Р) рассчитывается с учетом приоритетности технических характеристик, влияющих на стоимость, сравниваемых объектов по следующей формуле:
Р = а1е1* . . .* аnen , (10.12)
где , если j – ая характеристика считается возрастающей.
, если j – ая характеристика считается убывающей.
Роj - значение j – ой характеристики оцениваемого объекта,
Раj – значение j – ой характеристики аналога,
ej - весовые коэффициенты, определяемые экспертно.
В качестве аналога выбирается тот кандидат в аналоги, для которого модуль разницы (Р -1) имеет наименьшее значение.
Определение поправок и корректировок. После определения аналога оценщик должен внести поправки в стоимость аналога. Все поправки вносятся к аналогу, а не к объекту оценки.
Отличия в технических характеристиках учитываются интегральным показателем степени схожести Р может добавляться поправочный коэффициент р, учитывающий суммарное влияние неучтенных характеристик.
Несовпадение даты оценки с датами определения цен аналогов следует учитывать по известным индексам цен, индексам инфляции или курсу доллара.
Расчет стоимости машин и оборудования рыночным методом.
Оценочная стоимость машин и оборудования методом рыночных сравнений определяется по следующей формуле:
С = Са * Р * I * р, (10.13)
где Са – рыночная цена выбранного аналога;
I – индекс изменения цен за период между датой оценки и датой определения рыночной стоимости;
p – поправочный коэффициент, учитывающий суммарное влияние неучтенных характеристик.
Следующий доходный подход.
Доходный подход основан на определении рыночной цены, исходя из дохода, который может быть получен от эксплуатации объекта в будущем.
Применение доходного подхода требует прогнозирования будущих доходов за несколько лет работы предприятия. При этом трудно определить часть дохода, относящуюся к машинам и оборудованию, так как доход создается всей производственной системой, всеми ее активами.
Данный метод включает метод дисконтирования денежных потоков и метод прямой капитализации дохода.
Метод прямой капитализации дохода.
Этот метод предполагает определение стоимости объекта на основе чистого дохода за определенный период времени и ставки капитализации и включает следующие этапы:
определение чистого дохода от использования объекта,
определение приемлемой для инвестора ставки капитализации,
определение стоимости объекта на основе чистого дохода и ставки капитализации.
Определение чистого дохода.
Чистый доход определяется как разность между валовым доходом, т.е. выручкой от реализации, и суммой затрат на производство и реализацию продукции. При этом в сумму затрат не входят амортизационные отчисления.
Определение ставки капитализации.
Ставка капитализации может быть определена на основе анализа собранных на рынке данных о чистом доходе и стоимости объекта по имевшим место продажам.
Ставка капитализации (r) может быть определена также по формуле
, (10.14)
где – ставка дисконтирования,
– коэффициент амортизации
Ставка дисконтирования включает в себя среднюю для Казахстана ставку банковского процента на капитал, надбавки за риск и низкую ликвидность. Значения этих показателей определяются условиями на финансовом рынке и особенностями рынка выпускаемой продукции.
Коэффициент амортизации для машин и оборудования определяются из модели фонда возмещения:
, (10.15)
где T- нормативный срок службы машин и оборудования.
Расчет стоимости объекта методом прямой капитализации.
Стоимость объекта оценки определяется по формуле:
, (10.16)
где D- чистый доход
r- ставка капитализации
При наличии капиталовложений в улучшение объекта в размере К применяется зависимость:
, (10.17)
Метод дисконтирования чистых доходов.
Этот метод точнее других позволяет определить рыночную стоимость предприятия, но широкое практическое применение его осложняется проблемами, возникающими при проведении достаточно точного прогнозирования. При реализации метода дисконтирования чистых доходов для оценки машин и оборудования соблюдаются следующий состав и последовательность действий:
Определение чистого дохода от функционирования
производственной системы, выделение машинного комплекса, которую нужно оценить. Чистый доход определяется как разность между валовым доходом и суммой затрат на производство и реализацию продукции. При этом в сумму затрат не входят амортизационные отчисления.
Расчет текущей стоимости производственной системы.
Текущая стоимость производственной системы определяется по соотношению:
, (10.18)
где D- чистый доход, получаемый от эксплуатации всей системы
i – ставка дисконта,
CM- остаточная стоимость имущества производственной системы к концу последнего года службы машинного комплекса.
Ставка дисконта определяется при использовании собственного и заемного капитала, определяется из выражения:
i=Eie+Mim , (10.19)
где E- доля собственного капитала в капитале компании,
Mim – доля заемного капитала
ie, im – ставка дохода на собственный и заемный капитал соответственно.
Определение стоимости машинного комплекса.
Стоимости машинного комплекса Смаш определяется вычитанием из стоимости всей системы стоимости земли, зданий и сооружений:
Смаш=С-Сзем-Сзд , (10.20)
где Сзем- стоимость земли
Сзд – стоимость зданий и сооружений.
Определение стоимости единицы оборудования
Если нужно определить стоимость единицы оборудования в составе машинного комплекса, то это делают с помощью долевого коэффициента:
Сед=Смаш*Вед, (10.21)
где Вед - долевой коэффициент для оцениваемой единицы машин и оборудования. Вед равен доле балансовой стоимости единицы в стоимости машинного комплекса в целом.
Согласование результатов оценки и оформление отчета.
На этом этапе оценщик принимает окончательное решение об оценочной стоимости, которая была определена в задании на оценку. Оценщик должен проанализировать полученные результаты, выяснить причины, приведшие к расхождению, и по результатам такого анализа, а может быть, и дополнительного исследования принять окончательное решение о величине оценочной стоимости.
Отчет об оценке, который оценщик предоставляет клиенту, является конечным результатом проведенного исследования¸ анализа и расчетов. Форма и последовательность отчета не регламентируются.
Отчет об оценке должен содержать:
Заголовок
Дату оценки
Определение оценочных терминов и понятий
Описание оцениваемой собственности
Описание процесса производства
Оценочную методологию
Выводы и заключения
Сделанные допущения и ограничивающие условия
Дату написания отчета
Сертификацию
Контрольные тесты:
1. Эксперт-оценщик определил стоимость машины тремя методами. По затратному подходу получилось 2800 у.е., по доходному 3200 у.е., по сравнительному 3600 у.е. Какой из трех величин следует учесть при условии, что оценка проводилась с целью сдачи машины в аренду:
A) 3200 у.е.;
B) 2800 .у.е.;
C)3600 у.е.;
D)3350 у.е.;
Е )среди предъявленных ответов нет правильного.
2. Каков размер ежегодных амортизационных платежей, если стоимость оборудования составляет 1000 у.е., срок службы - 10 лет при использовании равномерного метода начисления амортизации:
A) 100 у.е.\ год;
B) 50 у.е.\ год;
C) 200 у.е.\ год;
D) 1000 у.е.\ год;
Е ) среди предъявленных ответов нет правильного.
3. Каков размер ежемесячных амортизационных платежей, если стоимость оборудования для установления емкостей составляет 12 000 у.е., выработка технологического ресурса происходит через 25 лет, используя равномерный метод:
A) 40 у.е. в месяц;
B) 480 у.е. в месяц;
C) 200 у.е. в месяц;
D) 80 у.е. в месяц;
Е ) среди предъявленных ответов нет правильного.
4. Каким образом изменится рыночная стоимость автомобиля при условии введения усовершенствования, улучшающего функциональность автомобиля, но не являющегося «родным» для данного вида имущества:
A) уменьшает;
B) увеличивает;
C) не влияет на рыночную стоимость;
D) влияет в исключительных случаях;
Е ) среди предъявленных ответов нет правильного.
5. Кто является потребителем услуг оценщика?
A) заказчик;
B) исполнитель;
C) ответчик;
D) начальник;
Е ) среди предъявленных ответов нет правильного.
6. Метод основанный на анализе цен покупки и продажи, сложившихся в текущий момент на первичном и вторичном рынках называется:
A) сравнительным;
B) затратным;
C) доходным;
D) комбинированным;
Е ) среди предъявленных ответов нет правильного.
Глава 11. Особенности оценка транспортных средств
11.1. Предмет, объект и задачи исследования транспортных средств
Согласно Правилам дорожного движения Республики Казахстан под транспортным средством понимается устройства, предназначенное для перевозки по дорогам людей, грузов или оборудования, установленного на нем. В соответствии с Гражданско-процессуальным кодексом РК по своему функциональному назначению транспортные средства относятся к движимому имуществу. Однако их четкое отнесение к движимому имуществу в законодательстве Республики Казахстан отсутствует. При возникновении имущественных споров транспортное средство может быть отнесено к имуществу, за которое юридические или юридическое лицо несут имущественную ответственность.
Следовательно, к одному из подвидов инженерно-экономического исследования объектов недвижимого и движимого имущества можно отнести инженерно-экономическое исследования транспортных средств.
К задачам инженерно-экономическое исследования транспортные средства можно отнести следующие:
-какова причина и время изменения потребительских свойств объекта (образования имеющихся на транспортных средствах повреждений), имели ли они место в процессе рассматриваемого ДТП или каких либо других обстоятельствах;
- каков механизм и размер уценки (уменьшение стоимости) объекта в результате изменения состояния (повреждения при ДТП).
Первая задача может быть решена путем назначения и поведения транспортно - трассологической и автотехнической экспертизы, в процессе которой устанавливаются одномоментность или различные периоды образования повреждений транспортного средства, не им6еющие отношения к рассматриваемому происшествию, а также путем назначения экспертизы по исследованию транспортных средств, в процессе которого устанавливаются общее техническое состояние транспортные средства, и его соответствие (несоответствие) требованием безопасности.
Вторая задача может быть решена путем назначения и поведения товароведческой экспертизы в процессе которой устанавливается механизм и размер (процент) уценки и стоимость транспортных средств на основе общепринятых методов оценки (затратного, сравнительного, доходного).
Сама процедура оценки не является наукой в чистом виде, когда при одних и тех же исходных данных всегда получается один и тот же результат, т.е. на лицо отсутствие нового выводного знания. Однако на результаты оценки оказывают влияния множеству субъективных факторов (квалификация лица, проводящего оценку, его интуиция, его понимание ситуации, дар предвидения и т.п.). Следовательно, деятельность по оценке имущества (объектов) можно назвать ремеслом, поскольку она находится на грани науки и искусства. Вследствие этого результаты оценки одного и того же объекта, полученные несколькими лицами, независимыми друг от друга, как правело не совпадают.
Исходя из теории и практики судебной экспертизы, а так же сложившейся практике и гражданского судопроизводства следует, что основная масса дел, рассматриваемых в судах по имущественным спорам или о возмещении ущерба владельцам транспортного средства, поврежденных при ДТП, требует проведения исследований, на уровне ремесла, поскольку для суда, при принятие решения по делу в целом, необходимо располагать сведениями о состоянии ТС или стоимости (сумме) восстановительного ремонта.
Как указывалось выше, определение остаточной стоимости транспортного средства или суммы восстановительного ремонта не может быть отнесено к судебно-экспертной деятельности и по этому рассмотрение дел данной категории в судах должно осуществляться с привлечением специалистов (экспертов), имеющих соответствующую подготовку.
В связи с выше перечисленным, в настоящей работе вводятся новое понятие эксперта, как носителя специальных знаний, который может использоваться в социально-экономической и правовой областях деятельности областях деятельности общества:
Эксперт – носитель специальных знаний в области науки, технике и т.д., который привлекается для решения различных задач на этапе досудебного разбирательства.
Эксперт может быть привлечен для решения соответствующих задач участниками процесса или судом в соответствии c гражданско-процессуальным правом.
К задачам эксперта – автотовароведа относятся:
- изучение и раскрытие закономерности ценообразования на исследуемом рынке;
- изучение и раскрытие закономерности снижения стоимости транспортного средства в результате эксплуатации, транспортировки, хранения, механического, термического, химического, и т.д. воздействия;
- исследования соответствия транспортного средства нормативно-технической, технологической, конструктивной, сопроводительной и другой документации, требование экологической безопасности;
-установление причин и времени изменение потребительских свойств объекта (образования имеющихся на транспортном средстве повреждений), имели ли они место в процессе рассматриваемого ДТП или каких либо других обстоятельствах;
-изучение механизма и размера уценки (уменьшение стоимости) объекта в результате изменения соответствия (повреждения при ДТП).
В заключениях эксперта устанавливаются непосредственно лишь промежуточные (побочные) обстоятельства (например: стоимость восстановительного ремонта автомобиля после ДТП) по отношению к главному факту (например: факт ДТП, виновность сторон) и оно выступает как косвенное доказательство.
Основной любой методике оценки является размер снижения стоимости (амортизация) в процессе эксплуатации транспортного средства. Нормы амортизации должны носить универсальный характер для любой сферы деятельности.
11.2 Общая характеристика легковых автомобилей
К легковым автомобилям относят пассажирские автомобили вместимостью до 8 человек, включая водителя. Основными отечественными заводами-изготовителями их являются: Волжский автозавод (ВАЗ), г.Тольятти; запорожский автомобильный завод (ЗАЗ), г.Запорожье; производственное объединение «Ижмаш», г.Ижевск; Горьковский автозавод (ГАЗ), г.Нижний Новгород, а также в г. Таразе; Ульяновский автозавод (УАЗ), г.Ульяновск; Луцкий автомобильный завод (ЛуАЗ), г.Луцк, «Шкода» г. УстьКаменогорск, «НИВА» г. Семипалатинск и т.д.
Главными классификационными признаками для легковых автомобилей являются масса снаряженного автомобиля и рабочий объем двигателя.
Основной номенклатурной характеристикой для конкретных разновидностей автомобилей является индекс модели. Принятая система обозначений включает сокращенное название завода-изготовителя, индекс класса автомобиля, номер его модели и модификацию, разновидность исполнения (например, ВАЗ-21083-01). Полный товарный адрес включает индекс и торговую марку рассматриваемой модели (например, ВАЗ-2121 Нива).
При характеристике типажа конкретных моделей по классам важнейшими ассортиментными признаками являются: предназначение автомобиля, колесная формула и компоновка, тип кузова (с числом мест и дверей).
Предназначение выражает функциональные возможности данной модели в части передвижения в различных дорожных условиях. По данному признаку различают автомобили общего назначения и автомобили повышенной проходимости.
Автомобили общего назначения предназначены для движения по дорогам различных категорий, преимущественно по автотрассам.
Автомобили повышенной проходимости могут двигаться вне дорог, предназначены для эксплуатации преимущественно в условиях сельской местности.
Проходимость автомобиля существенно зависит от конструктивного показателя, называемого «колесная формула».
Колесная формула указывает общее количество колес автомобиля (для легковых – обычно 4) и количество приводных (ведущих) колес. Автомобили общего назначения, как правило, имеют колесную формулу «4 х 2», то есть из четырех колес автомобиля ведущими являются два; автомобили повышенной проходимости конструируются по формуле «4 х 4» , то есть со всеми ведущими колесами. С колесной формулой увязывается компоновка автомобиля в целом.
Компоновка характеризует место расположения двигателя. Количество и положение приводных осей, конструкцию силовой и ходовой части автомобиля в целом. В легковых автомобилях отечественного производства применяются следующие компоновочные схемы:
Заднее приводная с передним расположением двигателя (классическая) «4 х 2» - двигатель располагается спереди (продольно кузову над осью передних колес), привод на ведущие колеса задней оси осуществляется посредством карданного вала, расположенного в нише пола кузова. Примеры: ВАЗ-21013, ВАЗ-2105 и др.;
Заднее приводная с задним расположением двигателя «4 х 2» - двигатель расположен в заднем отсеке кузова автомобиля, ведущими являются также колеса задней оси, которая находится рядом с двигателем. Пример: ЗАЗ-968М;
Переднее приводная «4 * 2» - двигатель и трансмиссия располагаются непосредственно над передней осью, представляя собой общий силовой узел с выводом крутящего момента на передние ведущие колеса. Весь узел при этом компактно размещается в передней части кузова и ниша в полу кузова не требуется. Примеры: ВАЗ-2108, Москвич-2141 и др.;
Полно приводная «4 * 4» - расположение двигателя и привода на заднюю ось аналогично классической схеме, для привода передней оси имеется раздаточная коробка и второй карданный вал. Пример: ВАЗ-2121, УАЗ-31512.
В настоящее время наиболее целесообразной для автомобилей малых классов считается переднее приводная компоновочная схема - прежде всего в силу высокого коэффициента полезного использования внутреннего объема кузова. В среднем классе этот показатель не так важен и здесь сохраняется в основном классическая компоновка.
Тип кузова определяется по взаиморасположению внутренних объемов, базе (расстояние между осями автомобиля), количеству рядов сидений и боковых дверей, возможности открытия (или снятия) верха, доступу в багажное отделение и в значительной мере – по внешней конфигурации.
Современные легковые автомобили в основном выпускаются с кузовами типа «седан», «хэтчбек» и «универсал».
«Седан» - закрытый двух- или четырех дверной кузов с двумя рядами сидений. Багажник полностью отделен от салона, доступ к багажнику - через специальную крышку (капот багажника).
Таблица 11.3 Типаж легковых автомобилей
Класс
Группа
Число мест
Классификационные признаки
Масса снаряженного автомобиля, кг.
Рабочий объем двигателя, л.
Особо малый
Малый
Средний
Большой
1
2
1
2
3
2+2
4
5
5
5
5
5 – 7
До 600
600 – 700
700 – 850
850 – 950
950 – 1050
1050 – 1500
1500 и более
До 0,85
0,85 – 1,1
1,1 – 1,3
1,3 – 1,5
1,5 – 1,8
1,8 – 3,5
3,5 и более
Менее распространенными названиями кузовов данного типа являются: «нотчбек», «салун», «берлина», «лимузин».
«Хэтчбек» - закрытый двух- или четырех дверной кузов с наклонной задней стенкой, в которой имеется открывающийся наверх люк, то есть «нечетная дверь». Багажник отделен горизонтальной съемной полкой в задней части салона. Задний ряд сидений может откидываться, при этом увеличивается пространство для размещения багажа. Менее распространенные названия кузовов данного типа: «комби», «лифтбек» и «свингбек».
«Универсал» - закрытый двух- или четырех дверной грузопассажирский кузов, в котором помещение для груза выполнено в общем объеме с салоном и может значительно увеличиваться путем складывания заднего ряда сидений. Доступ к багажу – через дополнительную дверцу («нечетную дверь») в заднем торце кузова. К «универсалам» относятся: ВАЗ-2121 (с двумя боковыми дверями), ВАЗ-2104 (с четырьмя боковыми дверями). Кузова данного типа называются также «стейшн вэгон», «фамильяле», «эстейт» и «бреак».
За последние годы самое широкое распространение в мире получили кузова типа «хэтчбек», сочетающие достоинства «седана» и «универсала», занимающие промежуточное положение между ними.
Потребительские свойства легковых автомобилей. В настоящее время в особо малом и малом классах производятся в основном переднее приводные автомобили с кузовами типа «хэтчбек». Рассмотрим их более подробно.
Особо малый класс представлен автомобилями ВАЗ-1111 и ЗАЗ-1102.
Ока ВАЗ-1111 – переднее приводной малогабаритный (длина – 3,2м), легкий и экономичный автомобиль, предназначенный для деловых поездок по городу и в хороших дорожных условиях. При малых внешних габаритах внутри кузова типа «хэтчбек» относительно свободно умещаются четыре взрослых человека, при сложенных задних сидениях объем багажника - около 0,5м3 . Двухцилиндровый двигатель с рабочим объемом всего 649см3 развивает мощность 30л.с., что достаточно для движения со скоростью 120 км/ч. При этом жидкостное охлаждение обеспечивает устойчивый температурный режим работы двигателя даже в экстремальных условиях. Низкий уровень шума в салоне – 77дБ (А) – также выгодно отличает этот автомобиль от предыдущих моделей данного класса в отношении комфортабельности. Автомобиль снабжен вакуумным усилителем привода тормозов, галогенными фарами, эффективным отоплением салона и другими элементами комфортабельности и безопасности, применяемыми обычно в автомобилях более высокого класса. Съемные передние крылья значительно повышают ремонтопригодность кузова, особенно в отношении антикоррозионной обработки. Кузов быстро и легко трансформируется в «грузовой вариант».
Таврия ЗАЗ-1102. особенностями кузова являются высокие аэродинамические качества, современный внешний вид и выгодное сочетание жесткости и прочности конструкции с малой собственной массой. Компоновка кузова позволяет при данных габаритных размерах автомобиля достичь наибольшего полезного объема. Размещение силового агрегата спереди позволяет создать вместительный багажник сзади, а поперечное расположение двигателя экономит длину моторного отсека и за счет этого дает возможность увеличить длину пассажирского салона. При меньшей, чем у модели ЗАЗ-968М (на 40 мм), длине автомобиля ЗАЗ-1102 имеет большую длину пассажирского салона и в 1,5 раза больший объем багажника.
Четырехцилиндровый двигатель жидкостного охлаждения мощностью 50 л.с. имеет довольно высокие значения крутящего момента в зоне малых частот вращения. Коробка передач – пятиступенчатая (5-я передача – для снижения расхода топлива в условиях равномерного магистрального движения). Использование прогрессивных технических решений по всем агрегатам автомобиля позволило добиться существенного снижения его снаряженной массы: 710 кг у ЗАЗ-1102 по сравнению с 840 кг у ЗАЗ-968М. За счет этого значительно улучшены как топливная экономичность, так и динамические показатели.
Малый класс представлен автомобилями Лада – Спутник ВАЗ-2108, ВАЗ-2109 и автомобилем Москвич АЗЛК-2141.
Спутник ВАЗ-2108 – наиболее массовый автомобиль этого класса. Благодаря компоновке с поперечным расположением силового агрегата и передними ведущими колесами этот автомобиль стал компактнее и легче. Кроме того, более эффективно используется пространство в автомобиле, повышены курсовая устойчивость и проходимость машины по дорогам со скользким покрытием, исключены заносы из-за пробуксовки колес, обеспечен высокий уровень пассивной безопасности при лобовом ударе и низкий уровень шумов и вибраций. Технические и технологические решения, воплощенные в этой машине, обеспечивают комплекс потребительских качеств, определяющих современный легковой автомобиль.
По сравнению с прежними моделями ВАЗа салон на 60 мм длиннее (хотя габаритная длина автомобиля сократилась на 120 мм), сократились размеры туннеля на полу в результате перехода на новую компоновочную схему. Габаритная ширина машины не изменилась, однако благодаря гнутым боковым стеклам ощутимо выросла внутренняя ширина салона на уровне плеч. Кузов «хэтчбек» легко трансформируется из пассажирского в грузопассажирский вариант. Багажный отсек отделен от салона складывающейся полкой, которая поднимается при открывании двери задка. Для перевозки более крупного багажа или груза задние сидения могут быть сложены.
Система отопления и вентиляции обеспечивает подачу воздуха одновременно в несколько точек салона и обеспечивает равномерный прогрев всего объема салона и его стекол. Существенно повлияли на улучшение комфорта передние анатомические сидения с подголовниками и механизмом бесступенчатой регулировки наклона их спинок. При продольном перемещении подушка одновременно приподнимается и поворачивается относительно горизонтали. Взаимное расположение рычагов, кнопок, педалей, руля, приборов подчинено созданию наибольших удобств для управления. В целом улучшена обзорность и снижен по сравнению с ВАЗ-2105 уровень шума в салоне – на 7 дБ (А). Хорошая аэродинамика обеспечила высокие скорость и приемистость ВАЗ-2108. автомобиль требует меньше корректирующих движений рулем, позволяет быстрее и безопаснее преодолевать повороты, особенно на скользких дорогах. Общее уменьшение массы ВАЗ-2108 обеспечивается применением более рациональной компоновочной схемы и широким использованием алюминия – для радиатора и других деталей, а также пластических масс (около 80 кг). Сократились потери, связанные с сопротивлением воздуха, и расход топлива. Двигатель по мощности практически равноценен силовому агрегату ВАЗ-2105, но на 20 кг легче его, имеет новый карбюратор, систему зажигания и целый ряд усовершенствований. Система встроенных датчиков сигнализирует о падении уровня тормозной жидкости, опасном износе тормозных накладок, затянутом стояночном тормозе, падении давления масла, разрядке аккумулятора. Избранная для кузова силовая схема обеспечивает сохранение жизненного пространства салона при ударах спереди, сзади, с боков и в то же время гасит энергию ударов.
В числе мер антикоррозионной защиты – более стойкая грунтовка панелей перед окраской, специальная обработка закрытых полостей, нанесение защитной пленки из эпоксидного состава при окончательной обработке кузова.
Внешний вид автомобиля своеобразен благодаря клинообразной форме двух объемного кузова с гнутыми боковыми стеклами и минимальному количеству хромированных декоративных элементов. Для ВАЗ-2108 характерны большие углы наклона лобового и заднего стекол, ярко выраженные отформованные кромки колесных проемов, блок фары, наружная поверхность которых как бы вливается в формообразующую поверхность кузова.
Спутник ВАЗ-2109 имеет по две двери с каждой стороны, что облегчает посадку и выход пассажиров; разделяющая двери центральная стойка кузова смещена вперед, благодаря чему увеличилось расстояние между стойкой и подушкой заднего сидения; изменилось также положение верхних точек крепления ремней безопасности и они меньше стесняют при поездке.
Для ВАЗ-2109 и его модификаций освоено производство бензобаков из пластмассы. Не уступая в прочности металлическим, пластиковые емкости легче, более технологичны и безопасны.
Среди конструктивных особенностей, повышающих безопасность и комфортабельность ВАЗ-2109, - гидра корректор фар. Он снижает их слепящее действие, помогает правильно освещать дорогу независимо от загрузки автомобиля. Улучшение микроклимата в салоне обеспечивают дефлекторы вытяжной вентиляции в рамках неподвижных боковых окон. Панели обивки на боковинах и двери задка придают салону больший комфорт.
Москвич АЗЛК-2141 – пятиместный автомобиль, его салон на 140 мм шире и на 100 мм длиннее салона автомобиля Москвич -2140. Такое сочетание размеров и массы достигается благодаря применению компоновки автомобиля с приводом на передние колеса. Конструкция передней подвески типа «реечный руль», эффективная тормозная система с плавающими скобами дисковых тормозов передних колес и рычажно-пружинная задняя подвеска обеспечивают безопасность и комфортабельность. Силовой агрегат, состоящий из двигателя, сцепления, коробки передач и главной передачи, выполнен в одном блоке.
Трансформируемое заднее сиденье и легкосъемная средняя часть полки, отделяющей багажник, расширяют возможности автомобиля для перевозки габаритных грузов. Объем багажного отделения может быть увеличен с 0,4 до 1,7 м3.
Контроль качества легковых автомобилей. Перед отгрузкой автомобилей покупателям завод-изготовитель обязан:
провести консервацию автомобилей согласно заводской инструкции по эксплуатации и в соответствии с технологическим процессом;
залить в бак топливо по установленной техническими условиями норме;
отключить аккумуляторную батарею от «массы»;
наклеить на ветровое стекло с внутренней стороны ярлык с указанием мест расположения и количества пломб, а также с отметкой вида применяемого топлива и состояния аккумуляторной батареи (с электролитом, без электролита);
закрыть стекла и двери кузова;
произвести пломбирование, исключающее доступ в кузов и багажное отделение, к двигателю и аккумуляторной батарее.
Проведение операций по подготовке автомашин к отгрузке должно быть выполнено торговыми предприятиями при приемке с учетом вышеперечисленных требований без разборки агрегатов и механизмов. Качество автомобилей подтверждается соответствующими документами и клеймом ОТК завода.
Качество всех материалов, полуфабрикатов и комплектующих изделий, изготовленных другими заводами, определяют по внешнему виду, наличию клейм технического контроля заводов-поставщиков, сертификатам или паспортам. Заводы-изготовители гарантируют исправность автомобиля в целом, а также нормальную работу всех его агрегатов, механизмов и деталей в течение установленного для каждой модели срока (указывается в ТУ).
При приемке необходимо проверить комплектность автомобиля, так как каждая машина продается с комплектом инструментов и принадлежностей (запасное колесо, банка с краской в цвет кузова, домкрат, насос для накачки шин, лопатка для монтажа шин, манометр шинный, лампа переносная, ключи разных размеров, сумки инструментальные и так далее). Все контрольно-диагностические операции проводятся в процессе предпродажной подготовки автомобилей.
11.3. Особенности расчета оценки рыночной стоимости подержанных автотранспортных средств с учетом их технического состояния
Расчет оценки рыночной стоимости подержанных автотранспортных средств с учетом их физического и морального износа, замены агрегатов транспортного средства, разукомплектации, переоборудования и эксплуатационных дефектов проводится многомерным косвенным методом по формуле
+
(11.1)
Где — рыночная стоимость подержанного не разукомплектованного автотранспортного средства в работоспособном состоянии, на котором не производились замена агрегатов и переоборудование, а также отсутствуют неисправности и эксплуатационные дефекты, на дату оценки в месте оценки, тг.;
n — число агрегатов (узлов, систем, механизмов) базовой комплектации, замененных на аналогичные, на дату оценки, единицы;
— стоимость нового i-го агрегата (узла, системы, механизма) базовой комплектации, установленной при замене аналогичного агрегата, на дату оценки в месте оценки, тг.;
—физический износ автотранспортного средства и дату оценки, %;
—физический износ i-го агрегата (узла, системы, механизма) базовой
комплектации, установленного при замене аналогичного агрегата, на дату
оценки, %;
w — общее число агрегатов (узлов, систем, элементов) базовой комплектации, отсутствующих на автотранспортном средстве на дату оценки вследствие его разукомплектации (кроме замененных при переоборудовании);
— стоимость нового /-го агрегата (узла, системы, элемента) базовой
комплектации, отсутствующего на автотранспортном средстве вследствие
его разукомплектации (кроме замененных при переоборудовании), на
дату оценки в месте оценки, тг.;
— затраты на установку 1-го агрегата (узла, системы, элемента) базовой
комплектации, отсутствующего на автотранспортном средстве вследствие его разукомплектации, на дату оценки в месте оценки, тг.;
s — число единиц оборудования, дополнительно установленного при
переоборудовании автотранспортного средства взамен агрегатов (узлов,
систем, механизмов) базовой комплектации, на дату оценки;
— стоимость нового t-го оборудования, дополнительно установленного при переоборудовании автотранспортного средства взамен агрегатов (узлов,
систем, механизмов) базовой комплектации, на дату оценки в месте оценки, тг.;
— затраты на переоборудование автотранспортного средства при замене агрегата (узла, системы, механизма) базовой комплектации на дополнительно установленное t-е оборудование, на дату оценки в месте оценки, тг.;
— физический износ t-го оборудования, дополнительно установленного при переоборудовании автотранспортного средства взамен агрегатов (узлов, систем, механизмов) базовой комплектации, на дату оценки, %;
— стоимость нового агрегата (узла, системы, механизма) базовой
комплектации, который заменен при переоборудовании автотранспортного средства на t-е оборудование, на дату оценки в месте оценки, тг.;
— моральный износ автотранспортного средства на дату оценки, %;
m — число единиц оборудования, дополнительно установленного при
переоборудовании автотранспортного средства без замены, агрегатов (узлов, систем, механизмов) базовой комплектации, на дату оценки;
—стоимость нового j-го оборудования, дополнительно установленного при переоборудовании автотранспортного средства без замены агрегатов (узлов, систем, механизмов) базовой комплектации, включая затраты на установку, на дату оценки в месте оценки, тг.;
— физический износ j-го оборудования, дополнительно установленного при переоборудовании автотранспортного средства без замены агрегатов (узлов, систем, механизмов) базовой комплектации, на дату оценки, %;
— стоимость устранения отказов, неисправностей и эксплуатационных
дефектов на дату оценки в месте оценки, тг.
Оценка стоимости подержанного не разукомплектованного автотранспортного средства в работоспособном состоянии, на котором не производились замена агрегатов и переоборудование, а также отсутствуют неисправности и эксплуатационные дефекты, может определяться прямым или одномерным косвенным методом.
Расчет оценки прямым методом проводится на основе результатов выборочного наблюдения стоимости объекта оценки на вторичном рынке автотранспортных средств.
В том случае, когда проведение выборочного наблюдения стоимости невозможно из-за отсутствия необходимых данных для вторичного рынка идентичных автотранспортных средств, расчет оценки стоимости выполняется одномерным косвенным методом по формуле
= (11.2)
Где — стоимость нового автотранспортного средства базовой
комплектации на дату оценки в месте оценки, тенге.
Расчет оценки стоимости нового автотранспортного средства базовой комплектации может осуществляться прямым или одномерным косвенным методом.
Величина определяется методом расчета физического износа с контролем технического состояния, нормативным методом с корректированием, расчетным методом с учетом возраста и пробега с начала эксплуатации, методом амортизационных отчислений.
Метод расчета физического износа с контролем технического состояния целесообразно применять при наличии у оценщика возможности проведения инструментального контроля (диагностики) технического состояния автотранспортного средства, для которого нормативно-технической документацией установлен норматив пробега (срока службы) до списания.
Нормативный метод с корректированием приемлем для оценки физического износа автотранспортных средств, для которых
нормативно-технической документацией установлены нормативы
пробега (срока службы) до списания и имеется информация о факторах, влияющих на нормативный пробег (срок службы).
Расчетный метод с учетом возраста и пробега с начала эксплуатации целесообразно использовать для оценки физического износа автотранспортных средств, для которых нормативно- технической документацией не установлены нормативы пробега (срока службы) до списания.
Метод амортизационных отчислений имеет смысл применять в отдельных случаях для оценки физического износа автотранспортных средств, принадлежащих юридическим лицам. Указанные методы используются также для расчета физического износа агрегатов, узлов, систем и других элементов автотранспортных средств.
Метод расчета физического износа с контролем технического
состояния является наиболее точным и обоснованным. Если нормативно-технической документацией для автотранспортного средства установлен нормативный пробег до списания (капитального ремонта), то расчет физического износа проводится по формуле
(11.3)
Где — эффективный пробег автотранспортного средства с начала эксплуатации на дату оценки, тыс. км;
— нормативный пробег до списания (капитального ремонта) автотранспортного средства, тыс. км.
Если нормативно-технической документацией для автотранспортного средства установлен нормативный срок службы до списания (капитального ремонта), то расчет физического износа выполняется по формуле
(11.4)
— эффективный возраст автотранспортного средства на
дату оценки, годы (моточасы);
— нормативный срок службы до списания (капитального ремонта) автотранспортного средства, годы (моточасы).
Значения эффективного пробега (возраста) на дату оценки определяются по результатам инструментального контроля (диагностики) технического состояния автотранспортного средства. При таком контроле определяются фактические значения диагностических параметров для основных агрегатов и узлов автотранспортного средства, которые сравниваются с их начальными и предельно допустимыми значениями. По результатам их комплексной оценки устанавливается уровень фактического технического состояния автотранспортного средства и соответствующее ему значение пробега (возраста), которое принимается в качестве эффективного пробега (возраста). При инструментальном контроле транспортное средство также проверяется на соответствие требованиям безопасности дорожного движения. Результаты контроля (диагностики) фиксируются в диагностической карте, которая должна быть представлена в приложении к отчету об оценке. Рекомендации по проведению инструментального контроля (диагностики) технического состояния транспортных средств, значения диагностических параметров, а так требования к техническому состоянию автотранспортных средств содержатся в нормативных документах.
Значения нормативных пробегов до списания (капитального ремонта) автотранспортных средств приведены в приложении.
Расчет физического износа автотранспортного средства, для которого нормативно-технической документацией установлен нормативный пробег до списания (капитального ремонта), нормативным методом с корректированием выполняется по формуле
(11.5)
— фактический пробег с начала эксплуатации автотранспортного средства на дату оценки, тыс. км;
— коэффициент корректирования нормативного пробега (нормативного срока службы) до списания в зависимости от условий эксплуатации;
— коэффициент корректирования нормативного пробега (нормативного срока службы) до списания в зависимости от модификации автотранспортного средства и организации его работы;
— коэффициент корректирования нормативного пробега (нормативного срока службы) до списания в зависимости от природно-климатических условий.
Расчет физического износа автотранспортного средства, для которого нормативно-технической документацией установлен нормативный срок службы до списания (капитального ремонта), нормативным методом с корректированием проводится по формуле
Где — фактический возраст (срок службы) автотранспортного средства на
дату оценки, годы (моточасы).
Дата производства (выпуска) автотранспортного средства
определяется по данным регистрационных документов (паспорт транспортного средства, свидетельство о его регистрации и т.п.), идентификационного номера (VIN), справочников и т. д.
Фактический пробег автотранспортного средства с начала эксплуатации на дату оценки определяется по спидометру. Если спидометровое оборудование неисправно или его состояние не соответствует требованиям нормативного документа, фактический пробег с начала эксплуатации находится расчетным путем.
Расчет пробега с начала эксплуатации легковых автомобилей импортного производства, выполняется на основе данных.
Для легковых автомобилей-такси отечественного и импортного производства среднегодовой пробег принимается равным 90 тыс. км.
Расчет пробега с начала эксплуатации легковых автомобилей, частично эксплуатировавшихся за рубежом, проводится на основе данных по формуле
(11.6)
Где — продолжительность эксплуатации легкового автомобиля за рубежом, годы;
— среднегодовой пробег легкового автомобиля за рубежом для i-го года эксплуатации тыс. км;
— возраст легкового автомобиля на дату оценки годы;
— среднегодовой пробег легкового автомобиля для i-го года эксплуатации
тыс. км.
Для отечественных грузовых автомобилей и грузовых автомобилей импортного производства, фактический пробег с начала эксплуатации рассчитывается по формуле
(11.7)
Где — продолжительность эксплуатации грузового отечественного или импортного автомобиля на дату оценки, годы;
m — число видов перевозок, на которых использовался грузовой отечественный или импортный автомобиль, единицы;
— среднегодовой пробег грузового отечественного или импортного автомобиля для j-го вида перевозок, тыс. км;
— доля пробега грузового отечественного или импортного автомобиля для j-го вида перевозок, %.
Среднегодовой пробег грузового отечественного автомобиля для j-го вида перевозок определяется по данным. Для грузового автомобиля импортного производства — также в соответствии с данными на основе выбора его отечественного аналога; доля пробега грузового отечественного или импортного автомобиля для j-го вида перевозок — на основе данных, указанных в справке, представляемой и заверяемой заказчиком услуг по оценке.
Для грузовых автомобилей, эксплуатировавшихся частично за рубежом, фактический пробег с начала эксплуатации вычисляется по формуле
(11.8)
— продолжительность эксплуатации грузового автомобиля за рубежом, годы;
d — число видов перевозок, на которых использовался грузовой автомобиль за рубежом, единицы;
— среднегодовой пробег грузового автомобиля за рубежом для l-го вида перевозок, тыс. км;
— доля пробега грузового автомобиля для l-го вид; перевозок за рубежом.
Среднегодовой пробег грузового автомобиля для l-го вида перевозок в Германии определяется поданным: доля пробега грузового автомобиля для l-го вида перевозок в Германии — на основе данных, указанных в справке представляемой и заверяемой заказчиком услуг по оценке; среднегодовой пробег грузового автомобиля для других стран без учета вида перевозок — по данным..
Для отечественных автобусов и автобусов импортного производства, фактический пробег с начала эксплуатации рассчитывается по формуле
(11.9)
Где — продолжительность эксплуатации отечественного или импортного автобуса на дату оценки, годы;
h — число видов перевозок, на которых использовался отечественный или импортный автобус, единицы;
— среднегодовой пробег отечественного или импортного автобуса для/-го вида перевозок, тыс. км;
— доля пробега отечественного или импортного автобуса для /-го вида перевозок, %.
Среднегодовой пробег отечественного или импортного автобуса для f-го вида перевозок определяется по данным табл.; доля пробега отечественного или импортного автобуса для f-го вида перевозок – на основе данных, указанных в справке, представляемой и заверяемой заказчиком услуг по оценке.
Среднегодовой пробег маршрутных микроавтобусов и троллейбусов принимается равным 50 тыс. км.
Для автобусов эксплуатировавшихся частично за рубежом, фактический пробег с начала эксплуатации находится по формуле
(11.10)
где — продолжительность эксплуатации автобуса за рубежом, годы;
х — число видов перевозок, на которых использовался автобус за рубежом, единицы;
— среднегодовой пробег автобуса за рубежом для g-го вида перевозок, тыс. км;
— доля пробега автобуса для g-го вида перевозок за рубежом.
Среднегодовой пробег автобуса для g-го вида перевозок в Германии принимается равным: для городских и пригородных перевозок — 65 тыс. км, для туристических перевозок — 95 тыс. км, для междугородных перевозок — 135 тыс. км. Доля пробега автобуса для g-го вида перевозок определяется на основе данных, указанных в справке, представляемой и заверяемой заказчиком услуг по оценке; среднегодовой пробег автобуса для других стран без учета вида перевозок — по данным табл..
При определении фактического пробега с начала эксплуатации специальных автотранспортных средств рассчитывается дополнительная составляющая пробега, учитывающая работу их двигателя для привода в действие специального навесного оборудования в стационарных условиях. Указанная составляющая прибавляется к пробегу, определенному по спидометру, и рассчитывается по формуле
(11.11)
Где — фактическая наработка двигателя специального автотранспортного средства при его работе в стационарных условиях для приведения в действие специального оборудования на дату оценки, моточас;
— коэффициент приведения наработки двигателя в стационарных условиях к пробегу автотранспортного средства, км/моточас. !
Наработка двигателя специального автотранспортного средства, используемого в стационарных условиях для привода в действие специальной техники или оборудования, на дату оценки определяется по счетчику моточасов или на основании справки, представляемой и заверяемой заказчиком услуг по оценке автотранспортного средства. Значения коэффициентов приведения наработки двигателя в стационарных условиях к пробегу для специальных автотранспортных средств представлены в табл. 11.2.
Таблица 11.2 Коэффициенты приведения наработки двигателя в стационарных условиях к пробегу специального автотранспортного средства
Тип автотранспортного средства
Коэффициент , км/моточас
Грузовые автомобили и автобусы
25
Пожарные автомобили
50
Гусеничные машины, специальные
колесные шасси и тягачи
15
Трактора колесные
10
Трактора гусеничные
5
Фактическое значение пробега с начала эксплуатации специального автотранспортного средства, у которого измерение фактической наработки конструктивно предусмотрено только в моточасах, может быть рассчитано по формуле через фактическое значение наработки.
При расчете фактического пробега с начала эксплуатации мототранспортных средств их среднегодовой пробег принимается равным 10 тыс. км. В общем случае, учитывающем частичную эксплуатацию мототранспортного средства за рубежом, его пробег с начала эксплуатации вычисляется по формуле
(11.12)
Где — продолжительность эксплуатации мототранспортного средства за рубежом, годы;
— среднегодовой пробег мототранспортного средства за рубежом, тыс. км;
— продолжительность эксплуатации мототранспортного средства, годы.
Среднегодовой пробег мототранспортного средства за рубежом определяется поданным табл..
Возраст автотранспортного средства на дату оценки определяется по регистрационным документам.
Величина коэффициентов установлена положением. Коэффициент имеет следующие значения: для 1-й категории условий эксплуатации - 1,0; для 2-й - 0,9; для 3-й - 0,8; для 4-й - 0,7; для 5-й - 0,6. Категория условий эксплуатации определяется в соответствии с их классификацией, приведенной в приложении 19, в зависимости от дорожного покрытия, рельефа местности и условий движения автотранспортных средств.
Коэффициент имеет следующие значения: базовый автомобиль-1,00; седельный тягач - 0,95; автомобиль с одним прицепом - 0,90; автомобиль с двумя прицепами или автомобиль-самосвал при работе на плечах ездки свыше 5 км - 0,85; автомобиль-самосвал с одним прицепом или при работе на коротких плечах ездки (до 5 км) - 0,80; автомобили – самосвалы с двумя прицепами — 0,75.
Коэффициент имеет следующие значения для районов с (различным видом климата: умеренно теплый, умеренно теплый влажный, теплый влажный - 1,1; умеренный - 1,0; жаркий сухой, очень жаркий сухой, умеренно холодный - 0,9; холодный - 0,8; очень холодный - 0,7. Для районов с высокой агрессивностью окружающей среды по отношению к автомобилям (в основном побережье морей и океанов), а также при постоянном использовании автомобилей для перевозки химических грузов, вызывающих интенсивную коррозию деталей, значение коэффициента снижается на 10%.
Расчет физического износа с учетом возраста и пробега автотранспортного средства с начала эксплуатации проводится по формуле
(11.13)
где — функция, зависящая от возраста и фактического пробега автотранспортного средства с начала его эксплуатации.
Физический износ гусеничных тракторов устанавливается равным 12% в год, колесных тракторов — 10% в год независимо от пробега. Физический износ прицепов для легковых автомобилей и жилых автомобилей (типа автомобиль-дача) принимается равным 8% в год независимо от пробега.
При наличии информации только о продолжительности эксплуатации или только о пробеге с начала эксплуатации автотранспортного средства, являющегося собственностью юридического лица, его физический износ может быть рассчитан в соответствии с нормами амортизации. Расчет в данном случае проводится по формулам
(11.14)
(11.15)
Где — норма амортизационных отчислений по пробегу % на 1000 км пробега;
— годовая норма амортизационных отчислений, %
При расчете оценки рыночной стоимости подержанного автотранспортного средства замена агрегатов базовой комплектации на аналогичные учитывается при условии, что она произведена на агрегаты той же модели. Рекомендуется учитывать замену основных агрегатов, стоимость которых в новом состоянии с учетом затрат на замену на дату оценки в месте оценки составляет не менее 5% , а также замену шин и аккумуляторов. Она должна быть подтверждена документально или фактически (запись в паспорте автотранспортного средства для номерных агрегатов, оплаченный заказ-наряд предприятия по техническому обслуживанию и ремонту автотранспортных средств, запись в сервисной книжке, маркировка даты выпуска агрегата или узла более поздняя, чем дата выпуска автотранспортного средства и т. п.).
Расчет оценки стоимости нового агрегата (узла, системы, механизма) базовой комплектации, установленного при замене аналогичного агрегата, на дату оценки проводится прямым или одномерным косвенным методом. Для использования одномерного косвенного метода необходимо на основе статистического исследования стоимости агрегатов автотранспортных средств построить зависимости, подобные той, которая представлена формулой (11.16). Физический износ i-го агрегата (узла, системы, механизма) базовой комплектации , установленного при замене аналогичного агрегата, на дату оценки определяется методом расчета физического износа с контролем технического состояния, нормативным методом с корректированием и расчетным методом с учетом возраста и пробега с начала эксплуатации. При замене агрегата базовой комплектации на капитально отремонтированный агрегат величина рассчитанного физического износа дополнительно увеличивается на 20%.
При оценке физического износа i-го агрегата с контролем технического состояния расчет износа на дату оценки проворятся по формуле
(11.16)
Где — эффективный пробег (возраст, наработка) агрегата с даты замены на дату оценки, определенный по результатам контроля технического состояния, тыс. км (годы, моточасы);
— нормативный пробег (срок службы) агрегата до списания (капитального ремонта) на дату оценки, тыс. км (годы, моточасы).
Значения эффективного пробега (возраста, наработки) на дату оценки определяются по результатам контроля технического состояния (диагностики) агрегатов автотранспортного средства. При этом необходимо учитывать критерии списания (направления на капитальный ремонт) агрегатов. Агрегат автотранспортного средства направляется на капитальный ремонт или списывается по следующим критериям:
базовая и основные детали требуют ремонта с полной разборкой агрегата;
работоспособность агрегата не может быть восстановлена по техническим причинам или ее восстановление путем проведения текущего ремонта экономически нецелесообразно. Текущий ремонт предназначен для обеспечения работоспособности агрегата посредством восстановления или замены всех его деталей, кроме базовых.
При проведении оценки автотранспортного средства высота рисунка протектора новой шины определяется следующим образом. Сначала устанавливаются модель и типоразмер шин автотранспортного средства по маркировке на боковине шины. В соответствии с методикой, приведенной в Правилах эксплуатации автомобильных шин, определяется тип рисунка протектора шины. Для установленных модели, типоразмера и рисунка протектора по данным приложения находится числовое значение высоты рисунка протектора новой шины.
Для восстановленных шин высота рисунка протектора принимается равной 80% высоты рисунка протектора новой логичной шины.
Фактическая высота рисунка протектора для каждой и определяется как среднее арифметическое значение измерений в 4—6 точках средней части беговой дорожки протектора при помощи глубиномера или штангенциркуля.
Минимально допустимая высота рисунка протектора и по условиям безопасности дорожного движения составляет легковые автомобили — 1,6 мм; грузовые автомобили — 1мм, автобусы — 2 мм; мотоциклы и мопеды — 0,8 мм. Для прицепов устанавливаются нормы минимально допустимой высоты рисунка протектора шин, аналогичные нормам для шин транспортных средств — тягачей.
Дополнительный износ шины , обусловленный наличием повреждений и дефектов, для различных их видов имеет следующие значения:
выкрашивания, сколы, трещины на протекторе или трещины боковины без обнажения — 10%;
местный износ (пятнистость) протектора — 15%.
Расчет дополнительного износа шины (%) определяемого сроком ее эксплуатации, проводится по формуле
(11.17)
где — срок эксплуатации шины, годы.
Для шин, не пригодных к дальнейшей эксплуатации и восстановлению, устанавливается физический износ, равный 100%.
Срок эксплуатации определяется по дате изготовления шины в соответствии с заводской маркой по ГОСТ-4754-80. Для восстановленных шин дата восстановления указывается на боковине или в плечевой зоне протектора.
Расчет по формуле проводится для каждой шины автотранспортного средства (включая запасное колесо). При этом в формуле каждая шина, с учетом ее стоимости и физического износа, рассматривается отдельно. Стоимость камерной дины равна стоимости шины с камерой. Стоимость восстановленной покрышки равна сумме стоимости восстановительного ремонта и залоговой стоимости покрышки, подлежащей восстановлению.
Физический износ аккумуляторной батареи определяется по формуле
(11.18)
Где — фактический срок эксплуатации аккумуляторной
батареи на дату оценки, годы;
— нормативный срок службы аккумуляторной батареи до замены (списания), годы.
Фактический срок службы аккумуляторной батареи определяется продолжительностью периода между датой оценки автотранспортного средства и датой ее изготовления, которая известна но маркировке, нанесенной на корпус аккумуляторной батареи сбоку (сверху) или выполненной в виде цифровой набивки на перемычках и выводных клеммах (полюсах). На аккумуляторных батареях иностранного производства может применяться буквенно-цифровая маркировка даты изготовления, где буква соответствует месяцу, а цифра — году изготовлениия (например, маркировка А8 обозначает дату изготовления- январь 1998 г.). Аккумуляторные батареи отечественного производства имеют маркировку даты изготовления, состоящую из двух пар цифр, первая из которых обозначает номер месяца, а вторая — год выпуска (например, маркировка 01.98 обозначает дату изготовления — январь 1998 г.). Кроме того, на аккумуляторных батареях отечественного производства может использоваться маркировка, которая принята на импортных аккумуляторных батареях. В качестве дополнительной информации используется маркировка даты изготовления моноблоку (корпуса), которая обычно наносится на его днище.
Срок службы аккумуляторной батареи до замены (списания) рекомендуется принимать равным:
4 годам — при среднегодовом пробеге автотранспортного средства до 40 тыс. км включительно;
3 годам — при среднегодовом пробеге автотранспортного средства более 40 тыс. км.
Оценка стоимости нового l-го агрегата (узла, системы, элемента) базовой комплектации, отсутствующего на дату оценки на автотранспортном средстве в результате его разукомплектации (кроме замененных при переоборудовании), определяется прямым или одномерным косвенным методом.
Оценка стоимости установки l-го агрегата (узла, системы, элемента) базовой комплектации, отсутствующего на дату оценки в месте оценки на автотранспортном средстве вследствие его разукомплектации, рассчитывается многомерным косвенным методом посредством составления калькуляции затрат.
При учете оборудования, дополнительно установленного при переоборудовании автотранспортного средства взамен агрегатов (узлов, систем, механизмов) базовой комплектации, следует проверить у заказчика наличие свидетельства о соответствии конструкции автотранспортного средства требованиям безопасности, выданного ГИБДД по результатам контроля за внесением изменений в конструкцию оцениваемого автотранспортного средства. При отсутствии такого документа, подтверждающего соответствие оцениваемого автотранспортного средства требованиям нормативных правовых актов в области обеспечения его безопасности, указанный факт следует отразить в отчете об оценке и согласовать с заказчиком необходимость учета указанного вида переоборудования при оценке автотранспортного средства.
Оценка стоимости нового t-го оборудования, дополнительно установленного при переоборудовании автотранспортного средства взамен агрегатов (узлов, систем, механизмов) базовой комплектации, определяется прямым или одномерным косвенным методом.
Физический износ t-го оборудования, дополнительно установленного при переоборудовании автотранспортного средcтва взамен агрегатов (узлов, систем, механизмов) базовой комплектации, на дату оценки определяется в соответствии с данными о дате его установки и нормативном сроке службы. Фактический срок службы дополнительно установленного оборудования должен быть подтвержден документально (чек, паспорт и пр.). Если данные о нормативном сроке службы отсутствуют, годовой физический износ принимается равным 10%.
Оценка стоимости нового агрегата (узла, механизма, системы) базовой комплектации, который заменен при переоборудовании автотранспортного средства на t-е оборудование, рассчитывается прямым или одномерным косвенным методом.
Оценка затрат на переоборудование автотранспортного средства с заменой агрегата (узла, механизма, системы) базовой комплектации на дополнительно установленное t-е оборудование на дату оценки в месте оценки определяется многомерным косвенным методом на основе калькуляции затрат.
В общем случае расчет морального износа автотранспортного средства проводится по формуле
(11.19)
Где — р-й фактор, учитываемый при определении морального износа автотранспортного средства, %.
Значение первого фактора, учитывающего прекращение на дату оценки производства автотранспортного средства, вычисляется по формуле
(11.20)
где — срок, прошедший с даты снятия автотранспортного средства с производства до даты оценки, годы.
Значение фактора морального износа , учитывающего прекращение выпуска запасных частей к автотранспортному средству, равно 20%.
Значение фактора моральною износа , учитывающего попадание ранее (до даты оценки) автотранспортного средства в дорожно-транспортное происшествие, равно 5%.
Значение фактора морального износа , учитывающего количество владельцев автотранспортного средства (более 3 владельцев по данным регистрационных документов), равно 20%.
К видам оборудования, дополнительно устанавливаемого при переоборудовании автотранспортного средства без замены агрегатов (узлов, систем, механизмов) базовой комплектации, относятся дополнительное газобаллонное оборудование, противотуманные фары, подушки безопасности, чехлы на сиденья, кондиционер, подкрылки, катализатор, магнитола, проигрыватель компакт-дисков, другая автоаудиотехника, охранные и противоугонные системы, автономная печка для грузовых автомобилей, дополнительный бензобак, лебедка, багажник, скамейка в кузове, тент на кузов и другие виды оборудования.
Стоимость нового j-го оборудования, дополнительно установленного при переоборудовании автотранспортного средства без замены агрегатов (узлов, систем, механизмов) базовой комплектации, включает затраты на установку. Оценка стоимости самого оборудования определяется прямым или одномерным косвенным методом. Оценка затрат на установку рассчитывается многомерным косвенным методом посредством составления калькуляции затрат.
Физический износ j-го оборудования, дополнительно установленного при переоборудовании автотранспортного средства без замены агрегатов (узлов, систем, механизмов) базовой комплектации, на дату оценки определяется в соответствии данными о дате его установки и нормативном сроке службы. Фактический срок службы дополнительно установленного оборудования должен быть подтвержден документально (чек, паспорт и пр.). Если данные о нормативном сроке службы отсутствуют, считается, что годовой физический износ равен 10%.
В качестве отказов, неисправностей и эксплуатационных дефектов при оценке рыночной стоимости автотранспортного редства учитываются:
повреждения и неисправности, при которых запрещается эксплуатация автотранспортных средств по условиям безопасности дорожного движения и экологической безопасности;
отказы и неисправности автотранспортного средства, не влияющие на безопасность дорожного движения и экологическую безопасность и приведшие к потере работоспособности или ухудшению функциональных и эксплуатационных характеристик автотранспортного средства, его агрегатов, узлов, механизмов систем;
эксплуатационные дефекты, приведшие к ухудшению внешнего вида автотранспортного средства и вида внутри салона (кабины), моторного и багажного отделений из-за воздействия климатических и дорожных условий эксплуатации, факторов вешней среды, агрессивных по отношению к автотранспортному средству, нарушения правил эксплуатации, некачественного технического обслуживания и ремонта, воздействия водителя и пассажиров при пользовании автотранспортным средством.
При оценке автотранспортного средства учитываются отказы, неисправности и эксплуатационные дефекты дополнительно установленного оборудования.
Отказы, неисправности и эксплуатационные дефекты, связанные с физическим износом, основными причинами которого являются процессы трения, пластические деформации и усталостные разрушения, не учитываются.
Потеря работоспособности, ухудшение функциональных и эксплуатационных характеристик автотранспортного средства агрегатов, узлов, механизмов и систем из-за отказа и не исправностей устанавливается в результате проверки его функциональных характеристик на ходу, а также проверки функциональных характеристик агрегатов, узлов, механизмов и систем. Основными внешними признаками неисправностей являются, повышение уровня вибрации или шума, детонация, стук (при включении, выключении и движении), нестабильность работы, значительный люфт, прорыв газов, пробуксовка, ослабление крепления, натяжения или соединения, перегрев, показания контрольных приборов (завышенные, заниженные, нестабильные или их отсутствие), течь топливно-смазочных материалов и спецжидкостей.
Эксплуатационные дефекты, приведшие к ухудшению внешнего вида автотранспортного средства и вида внутри салона (кабины), моторного и багажного отделений из-за воздействий климатических и дорожных условий эксплуатации, фактора внешней среды, агрессивных по отношению к автомобилю нарушения правил эксплуатации, некачественного технического обслуживания и ремонта, воздействия водителя и пассажиров при пользовании автотранспортным средством, разделяются на две группы и учитываются в зависимости от величины износа автотранспортного средства.
Независимо от величины износа автотранспортного средства учитываются следующие виды эксплуатационных дефектов:
мелкие механические повреждения (вмятины, неровности, риски, царапины и т. д.) кузова, кабины, оперения, салона, моторного и багажного отделений, не являющиеся следствием дорожно-транспортного происшествия или аварийного случая;
трещины, сколы и риски на стекле, приборах светотехники, на пластмассовых и пластиковых деталях;
следы некачественного технического обслуживания и ремонта, рихтовки, правки, подгонки, ремонтной сварки элементов кузова, рамы и других элементов автотранспортного средства;
повреждения шин, к которым относятся пробои и (или) порезы протектора или боковин, запрессовка твердых включений с повреждением слоев каркаса, повреждения борта, потеря герметичности бескамерных шин, повреждение или обрыв вентиля;
негерметичность емкостей и систем, соединительных трубопроводов, нарушение герметичности соединений трубопроводов, разрыв шлангов;
оплавление, выгорание и обгорание пластмассовых и пластиковых деталей.
При условии, что износ автотранспортного средства на дату оценки не превышает 50%, учитываются следующие виды эксплуатационных дефектов:
следы и последствия коррозии, устанавливаемые в первую очередь при осмотре следующих элементов автотранспортного средства:
наружной поверхности кузова (включая всю наружную облицовку), состоящей из крыши, передней и задней части, боковин, наружной части дверей, багажника, вентиляционных люков, низа обивки;
поверхностей кузова, обращенных к полотну дороги, включая основание кузова, арки и кожухи колес, оперение, подножки, облицовку днища кузова;
поверхностей, ограниченных внутренним объемом кузова:
наружной поверхности каркаса, пола кузова, наружной облицовки со стороны салона, наружных частей дверей и вентиляционных люков, обращенных к салону, внутренних поверхностей багажника, инструментального и аккумуляторного ящиков, внутренней поверхности наружной обшивки, пола и др.;
поверхностей, образующих замкнутый объем (деталей коробчатого сечения), внутренней поверхности каркаса, коробов жесткости, дверей, вентиляционных люков, моторного отсека, корпуса фар, сигнальных и габаритных фонарей;
хромоникелевых покрытий таких элементов, как бамперы, дверные ручки, молдинги;
закрытых полостей, карманов, щелей, зазоров, мест точечной сварки, постановки заклепок, болтов и узких щелях (0,2- 0,7 мм), крепление металлической обивки к каркасу, постановки болтов и самонарезающихся винтов, сопряжения дюралевых и других облицовочных материалов с металлическим каркасом и нижней металлической облицовкой мест под декоративными плёнками во фланцевых, винтовых соединениях;
трещены элементов кузова, рамы и других деталей, швов пайки и сварки (не являющиеся следствием дорожно-транспортного происшествия или аварийного случая);
загрязнение и повреждение обивки салона (кабины) и сидений кузова автомобиля и прицепа, тента, сидений покрывочных материалов мототранспортных средств;
потускнение (потеря глянца), расслоение, растрескивание, вздутие, отслаивание, вспучивание, различие по тону лакокрасочных и других защитных покрытий;
выкрашивание и отклеивание пластмассовых, пластиковых и других неметаллических деталей (материалов);
загрязнение и замасливание подкапотного отсека, внутренней поверхности багажника;
ослабление крепления агрегатов, дверей, сидений и других узлов и элементов автотранпортного средства.
Расчёт оценки стоимости устранения отказов, неиспраностей и эксплуатационных дефектов проводится многомерным косвенным методом по формуле
(11.20)
Где— стоимость работ по ремонту (восстановлению) на дату оценки в месте оценки, тг.;
— стоимость материалов на оценки в месте оценки, тг.;
— стоимость запасных частей на дату оценки в месте оценки, тг.
Оценки стоимости работ по ремонту (восстановлению), стоимости материалов и стоимости запасных частей рассчитываются прямым или косвенным методом.
Значение оценки рыночной стоимости подержанного автотранспортного средства должно соответствовать следующим условиям:
(11.21)
Где — утилизационная стоимость автотранспортного средства в месте оценки на дату оценки, тг.
Контрольные тесты:
К какой безопасности относится устройство сигнализации?
A) послеаварийной безопасности
B) пассивной безопасности;
C) активной безопасности;
D) экологической;
Е ) среди предъявленных ответов нет правильного.
Определение размера материального ущерба при ДТП основано на положениях:
A) по теории удара в механике;
B) по нормированию времени на выполнение единицы
конструктивного элемента;
C) по нормированию труда и заработной платы;
D) по вероятности;
Е ) среди предъявленных ответов нет правильного.
Из каких этапов состоит процесс оценки ТС:
A) определение технической и экономической составляющей;
B) определение экономической составляющей;
C) определение технической составляющей;
D) определение продажной стоимости;
Е ) среди предъявленных ответов нет правильного.
Который из нижеперечисленных видов деятельности не может быть отнесен к судебно-экспертной деятельности?
A) определение остаточной стоимости;
B) определение суммы ущерба;
C) определение виновной стороны;
D) определение меры пресечения;
Е ) среди предъявленных ответов нет правильного.
Какая стоимость является базовой для расчета таможенных платежей в РК
A) таможенная;
B) балансовая;
C) рыночная;
D) ликвидированная;
Е ) среди предъявленных ответов нет правильного.
К какому методу относится равномерное списание изношенной стоимости объекта в течении всего срока его службы
A) прямолинейному;
B) кумулятивному;
C) ;производственному
D) регрессивному;
Е ) среди предъявленных ответов нет правильного.
Какой из нижеперечисленных методов начисления амортизации не учитывают морального старения оборудования?
A) равномерный;
B) регрессивный;
C) кумулятивный;
D) производственный;
Е ) среди предъявленных ответов нет правильного.
Какой из нижеперечисленных методов в полной мере учитывает и моральное и физическое устаревание оборудования или ТС?
A) кумулятивный;
B) равномерный;
C) регрессивный;
D) производственный;
Е ) среди предъявленных ответов нет правильного.
Необходимо ли при проведение процедуры оценки осуществлять обязательный осмотр машины, оборудования или ТС?
A) да, обязательно;
B) нет, не обязательно;
C) не обязательно, на усмотрение эксперта;
D) не обязательно, на усмотрение заказчика;
Е ) среди предъявленных ответов нет правильного.
Глав 12. Оценка нематериальных активов предприятия
12.1. Нематериальные активы организации и их использование
В соответствии СБУ к нематериальным активам относят имущество, которое одновременно отвечает следующим условиям:
не имеет материально-вещественной структуры;
может быть идентифицировано от другого имущества;
предназначено для использования в производстве продукции, при выполнении работ или оказании услуг либо для управленческих нужд организации;
используется в течение длительного времени (свыше 12 месяцев или в течение обычного операционного цикла, если он превышает 12 мес.);
не предполагается последующая перепродажа данного имущества;
способно приносить организации экономическую выгоду;
имеются надлежащие оформленные документы, подтверждающие существование самого актива и исключительные права организации на результаты интеллектуальной деятельности.
В соответствии с перечисленными условиями к нематериальным активам относят следующие объекты интеллектуальной собственности:
исключительное право патентообладателя на изобретение, промышленный образец, полезную модель;
авторское право на программы для ЭВМ, базы данных;
имущественное право автора или иного правообладателя на топологии интегральных микросхем;
исключительное право владельца на товарный знаки знак обслуживания, наименование места происхождения товаров;
исключительное право патентообладателя на селекционные достижения.
В составе нематериальных активов учитываются также деловая репутация организации и организационные расходы (расходы, связанные с образованием юридического лица, признанные в соответствии с учредительными документами частью вклада участников в уставный капитал).
В состав нематериальных активов не включаются интеллектуальные и деловые качества персонала организации, их квалификация и способность к труду, поскольку они неотделимы от своих носителей и не могут быть использованы без них.
Практическое использование нематериальных активов в экономическом обороте предприятий есть, по сути, процесс коммерциализации инновационной сферы, который условно можно свести к следующим стадиям .
Первая стадия - это грамотная классификация объектов интеллектуальной собственности, на базе которой должна формироваться предварительная оценка их рыночной стоимости. Однако в настоящее время предприятия либо ее не выполняют, либо делают это по-дилетантски. Поэтому необходима профессиональная разработка базовых методологических и методических рекомендаций.
Вторая стадия - это включение стоимости объектов нематериальных активов в состав имущества предприятий по бухгалтерскому счету 04 «Нематериальные активы». В соответствии с законодательством эти средства подлежат амортизации: ежемесячно относятся на себестоимость продукции (работ, услуг) по нормам, которые рассчитывает предприятие (фирма) исходя из первоначальной стоимости и срока их полезного использования, но не более срока деятельности самого предприятия), затем реализуются и оседают на расчетном счете предприятия. В дальнейшем они используются исключительно на развитие данного производства, на вознаграждение авторам разработок, и потому не должны облагаться налогами.
Третья стадия - коммерциализации нематериальных активов заключается:
· в активном выходе предприятий на рынок научно-технической продукции;
· в умении найти своего покупателя, овладевать искусством предпринимателя, т.е. самому искать заказчика (потребителя) для своей идеи или разработки;
· в умении рекламировать их;
· в умении писать в журналы, пробиваться на телевидение и т.д. .
12. 2. ЦЕЛИ И ЗАДАЧИ ОЦЕНКИ СТОИМОСТИ НЕМАТЕРИАЛЬНЫХ АКТИВОВ
Хозяйствующему субъекту любой фирмы собственности необходимо уметь грамотно анализировать ситуацию на рынке продукции (услуг), вести учет тенденций спроса на свои разработки или продукцию (услуги), закреплять за собой рыночную «нишу» и быть серьезно подготовленным в области предпринимательской деятельности, маркетинга, знать правовые, юридические основы отношений с партнерами .
Тактика игнорирования подобных действий неизбежно обернется для предприятий в будущем полной потерей конкурентной способности их продукции на внешних и внутренних рынках.
Практическое же использование нематериальных активов в экономическом обороте предприятий, превращение их в конкретный механизм для коммерческой оценки результатов интеллектуального труда, интеллектуальной собственности дает возможность современному предприятию (фирме):
· изменить структуру своего производственного капитала за счет увеличения доли нематериальных активов в стоимости новой продукции и услуг, увеличив их наукоемкость, что сыграет определенное значение для повышения конкурентной способности продукции и услуг;
· экономически эффективно и рационально использовать незадействованные и лежащие «мертвым грузом» нематериальные активы, которыми все еще располагают многие предприятия, фирмы, НИИ, научно-исследовательские лаборатории и т.д..
Можно привести наиболее характерные случаи, когда становится явной потребность в оценке нематериальных активов предприятия, а также всего имущества предприятия в целом:
Купля-продажа акций предприятия на рынке ценных бумаг. Покупка предприятия, находящегося в акционерной собственности, есть покупка всех акций, эмитированных данным предприятием. Чтобы держать предприятие под контролем, можно не скупать все его акции, а купить только контрольный пакет акций. Но независимо от того, покупается ли контрольный или неконтрольный пакет акций, инвестор тогда уверен в своем решении, когда знает стоимость предприятия и долю этой стоимости, приходящуюся на контрольный пакет акций.
Купля-продажа доли (вклада) в уставном капитале товарищества или общества с ограниченной ответственностью. В отличие от предыдущего случая доля оценивается не числом акций, а в денежных единицах.
Передача всего предприятия в аренду. Оценка стоимости важна для назначения арендной платы и осуществления последующего выкупа арендатором (если это предусмотрено договором аренды).
Реорганизация (слияние, разделение, поглощение и т.п.) и ликвидация предприятия, проводимые как по решению собственников предприятия, так и при решении арбитражного суда при банкротстве предприятия.
Продажа предприятия целиком на аукционе или по конкурсу, осуществляемая при процедуре банкротства или при приватизации государственного предприятия.
Осуществление инвестиционного проекта развития предприятия, когда для его обоснования необходимо знать исходную стоимость имущества. В частности, такая проблема возникает перед инвестором при проведении санации несостоятельного предприятия .
Получение кредита под залог всего имущества предприятия (ипотека).
Оценка стоимости фирменного товарного знака или других средств индивидуализации предприятия и его продукции (услуг) производится:
при их перекупке, приобретении другой фирмой;
при предоставлении франшизы новым компаньонам, когда расширяется рынок сбыта и увеличивается объем продаж;
при определении ущерба, нанесенного деловой репутации предприятия незаконными действиями со стороны других предприятий;
при использовании их в качестве вклада в уставный капитал создаваемого общества или товарищества;
при определении стоимости нематериальных активов, «гудвилла», для общей оценки стоимости предприятия.
Таким образом, обоснованность и достоверность оценки стоимости нематериальных активов во многом зависит от того, насколько правильно определена область использования оценки: купля-продажа, получение кредита, страхование, налогообложение и т. д.
12.3. МЕТОДЫ ОЦЕНКИ НЕМАТЕРИАЛЬНЫХ АКТИВОВ
Методы оценки нематериальных активов
3.1 Доходный подход
3.2Сравнительный подход
3.3Затратный подход
Оценка (определение стоимости) нематериальных активов зависит от способа их приобретения. Нематериальные активы могут быть внесены в качестве вклада в уставный капитал, приобретены за плату у других организаций, получены безвозмездно или созданы на самом предприятии. Поэтому оценка может быть произведена по договоренности сторон, исходя из затрат на приобретение, по рыночной стоимости, по стоимости изготовления .
Первоначальная стоимость нематериальных активов, внесенных в счет вклада в уставный (складочный) капитал организации, определяется исходя из их денежной оценки, согласованной учредителями (участниками) организации, если иное не предусмотрено законодательством .
Первоначальная стоимость нематериальных активов, приобретенных за плату, определяется как сумма всех фактических расходов на приобретение (за исключением налогов на добавленную стоимость и иных возмещаемых налогов) и приведение их в состояние, пригодное для использования в запланированных целях .
Первоначальная стоимость нематериальных активов, полученных организацией по договору дарения (безвозмездно), соответствует их рыночной стоимости на дату принятия к бухгалтерскому учету.
Первоначальная стоимость нематериальных активов, созданных самой организацией, рассчитывается как сумма всех фактических расходов на их создание, изготовление (израсходованные материальные ресурсы, оплата труда, услуги сторонних организаций, патентные пошлины, связанные с получением патентов, свидетельств, и т.п.), за исключением налогов на добавленную стоимость и иных возмещаемых налогов .
Первоначальная стоимость нематериальных активов, полученных по договорам, предусматривающим исполнение обязательств (оплату) неденежными средствами, определяется исходя из стоимости товаров, переданных или подлежащих передаче организацией. Стоимость этих товаров устанавливают исходя из цены, по которой в сравнимых обстоятельствах обычно организация определяет стоимость аналогичных товаров.
Стоимость нематериальных активов, по которой они приняты к бухгалтерскому учету, не подлежит изменению, кроме случаев, установленных законодательством .
Оценка нематериальных активов, стоимость которых при приобретении определена в иностранной валюте производится в рублях путем пересчета иностранной валюты по курсу Центрального банка ., действующему на дату приобретения организацией объектов по праву собственности, хозяйственного ведения, оперативного управления.
В оценке нематериальных активов можно использовать три основных подхода: доходный; затратный; сравнительный.
3.1. ДОХОДНЫЙ ПОДХОД.
В соответствии с доходным подходом стоимость объекта нематериальных активов принимается на уровне текущей стоимости тех преимуществ, которые имеет предприятие от его использования. В качестве примера можно привести метод освобождения от роялти, который используется для оценки стоимости патентов и лицензий. Роялти – это периодическое отчисление лицензеру (продавцу) за пользование интеллектуальной собственностью. Обычно роялти составляет 5-20 % дополнительной прибыли, получаемой предприятием, купившим интеллектуальную собственность. Если объект интеллектуальной собственности является основой нового продукта (технологии), роялти может составлять до 50 %.
На доходный подход опираются два наиболее распространенных метода: метод дисконтированных доходов и метод прямой капитализации. Это наиболее универсальные методы, применимые к любым видам имущественных комплексов .
Метод дисконтированных доходов предполагает преобразование по определенным правилам будущих доходов, ожидаемых инвестором, в текущую стоимость оцениваемых нематериальных активов. Будущие доходы включают:
периодический денежный поток доходов от эксплуатации нематериальных активов на протяжении срока владения; это чистый доход инвестора, получаемый им от владения собственностью (за вычетом подоходного налога) в виде дивидендов, арендной платы и т.п.;
денежные поступления от продажи нематериальных активов в конце срока владения, то есть будущая выручка от перепродажи нематериальных активов (за вычетом издержек по оформлению сделки).
Чтобы понять сущность метода дисконтированных доходов, коснемся таких понятий, как сложный процент, накопление, дисконтирование и аннуитет.
Вложенный капитал как бы самовозрастает по правилу сложных процентов. При этом можно указать некоторую норму (ставку) дохода, которая указывает на прирост единицы капитала по истечении определенного периода (года, квартала, месяца). В методе дисконтированных доходов норму дохода называют ставкой дисконта.
Метод прямой капитализации достаточно прост и в этом его главное и единственное достоинство. Однако он статичен, будучи привязанным к данным одного наиболее характерного года, и поэтому требуется особое внимание к правильному выбору показателей чистого дохода и коэффициентов капитализации. Расчет текущей стоимости нематериальных активов данным методом выполняется в три последовательных этапа:
расчет ежегодного чистого дохода.
выбор коэффициента капитализации. Коэффициент капитализации должен быть увязан с ранее выбранным показателем капитализируемого дохода.
расчет текущей стоимости нематериальных активов .
3.2. СРАВНИТЕЛЬНЫЙ ПОДХОД.
Сравнительный подход используется при оценке рыночной стоимости нематериальных активов исходя из данных о недавно совершенных сделках с аналогичными нематериальными активами.
Сравнительный подход может применяться для тех видов нематериальных активов, сделки по которым часто совершаются на рынке. Исходной информацией для расчета стоимости объекта служат цены продажи аналогичных объектов
Метод базируется на принципе замещения, согласно которому рациональный инвестор не заплатит за данный объект больше, чем стоимость доступного к покупке аналогичного объекта, обладающего такой же полезностью, что и данный объект. Поэтому цены продажи аналогичных объектов служат исходной информацией для расчета стоимости данного объекта .
Расчеты методами, использующими сравнительный подход осуществляются по следующим этапам.
Этап 1. Изучение соответствующего рынка и сбор информации о недавних сделках с аналогичными объектами на данном рынке. Точность расчетов в значительной мере зависит от количества и качества собранной информации. Когда информации достаточно, необходимо убедиться, что проданные объекты действительно сопоставимы с оцениваемыми нематериальными активами по своим функциям и параметрам.
Этап 2. Проверка информации. Необходимо убедиться, прежде всего в том, что цены не искажены какими-либо чрезвычайными обстоятельствами, сопутствовавшими состоявшимся сделкам. Проверяется также достоверность информации о дате сделки, физических и других характеристиках аналогичных объектов.
Этап 3.Сравнение оцениваемого объекта с каждым из аналогичных объектов и выявление отличия по дате продажи, потребительским характеристикам, местоположению, исполнению, наличию дополнительных элементов и т.д. Все различия должны быть зафиксированы и учтены.
Этап 4. Расчет стоимости данных нематериальных активов путем корректировки цен на аналогичные нематериальные активы. В той мере, в какой оцениваемый объект отличается от аналогичного, в цену последнего вносят поправки с тем, чтобы определить, по какой цене мог быть продан объект, если бы обладал теми же характеристиками, что и оцениваемый объект. При анализе цен аналогичных объектов могут применяться следующие расчетные процедуры:
1) определение стоимости дополнительных элементов путем парных сравнений;
2) определение корректирующих коэффициентов, учитывающих различия между объектами по отдельным параметрам;
3) расчет стоимости по удельным стоимостным показателям, единым для определения группы аналогичных объектов;
4) расчет стоимости с помощью мультипликатора дохода;
5) расчет стоимости с помощью корреляционных моделей.
Определение стоимости дополнительных элементов осуществляется путем сравнения цен у двух групп объектов: имеющих и не имеющих эти элементы. Например, таким образом можно определить стоимость вспомогательных устройств к станкам, вспомогательных сооружений к зданиям и т.п.
Определение корректирующих коэффициентов используется тогда, когда сравниваемые нематериальные активы различаются по отдельным техническим и размерным параметрам. Качество и уровень функционирования, комфортности, удобства обслуживания – все эти характеристики можно учесть в стоимости введения соответствующих повышающих или понижающих коэффициентов.
Расчет стоимости по удельным показателям – способ, применяемый в тех случаях, когда сравниваемые объекты функционально однородны, но существенно различаются по размеру и мощности. При этом выводятся удельные цены на выбранную единицу.
Способ расчета стоимости с помощью мультипликатора дохода, представляющего собой отношения цены аналогичного объекта к ежегодному доходу его владельца; применим к тем нематериальным активам, функционирование которых приносит доход. Если оценивают нематериальные активы предприятия в целом, то применяют мультипликатор Р/Е (цена к доходу на акцию), если оценивают нематериальные активы, включающие только недвижимость предприятия, то расчет ведут с помощью мультипликатора валового рентного дохода GRM, который представляет собой отношение цены аналогичного объекта к валовой ренте его владельца. Порядок расчета такой. Для каждого аналогичного объекта рассчитывают мультипликатор дохода, затем выводят усредненное значение мультипликатора для всей группы объектов. Стоимость данного объекта получают умножением усредненного мультипликатора на прогнозируемую величину дохода от данного объекта.
Расчет стоимости нематериальных активов с помощью корреляционной модели возможен в том случае, когда имеется достаточно большое количество аналогичных объектов и можно путем статистической обработки информации построить корреляционную модель, описывающую зависимость вероятной цены объекта от 2-2 его основных параметров .
3.3. ЗАТРАТНЫЙ ПОДХОД.
На основе затратного подхода определяют стоимость воспроизводства. При использовании затратного подхода нематериальные активы оцениваются как сумма затрат на их создание, приобретение и введение в действие.
Хотя при затратном подходе оцененная стоимость может значительно отличаться от рыночной стоимости, так как между затратами и полезностью нет прямой связи, тем не менее встречается немало случаев, когда оправдан именно затратный подход (например:
- для исчисления налога на имущество,
- для целей страхования отдельных составляющих имущества,
- при судебном разделе имущества между собственниками,
- при распродаже имущества на открытых торгах,
- для бухгалтерского учета основных фондов;
- при переоценке основных фондов.)
Где фондовый рынок только формируется и рыночная информация почти отсутствует, затратный подход часто оказывается единственно возможным.
Главный признак затратного подхода — это поэлементная оценка, то есть оцениваемые нематериальные активы расчленяются на составные части, делается оценка каждой части, а затем стоимость всех нематериальных активов получают суммированием стоимостей его частей. При этом исходят из того, что у инвестора в принципе есть возможность не только купить данные нематериальные активы, но и создать их из отдельно покупаемых элементов.
В зависимости от характера оцениваемых нематериальных активов применяют различные методы затратного подхода. Поэтому здесь речь идет об общей последовательности расчетов по данному подходу, выполняемых в несколько этапов.
Этап 1. Анализ структуры нематериальных активов и выделение их составных частей (компонентов), оценка стоимости которых будет производиться дифференцированно различными методами. Если нужно оценить предприятие в целом, а не только его нематериальные активы, то в нем выделяют такие компоненты как: основные фонды (земля, здания, сооружения, машины и оборудование), оборотные материальные средства, денежные средства.
Этап 2. Выбор наиболее походящего метода оценки стоимости для каждого компонента нематериальных активов и выполнение расчетов. Для определения стоимости земельного участка применяют специальные методы, известные из теории оценки недвижимости, или расчеты ведут по ценам за 1 м2, применяемым при исчислении земельного налога.
Этап 3. Оценка реальной степени износа компонентов нематериальных активов. Термин «износ» в теории оценки понимается как утрата полезности объекта, а следовательно и его стоимости по различным причинам, то есть не только вследствие фактора времени. Этот термин в ином смысле употребляется в бухгалтерском учете, где под износом или амортизацией понимается механизм переноса издержек на себестоимость продукции на протяжении нормативного срока службы объекта .
В практике оценки различают два вида износа: физический износ и моральный износ.
Физический износ означает потерю физических возможностей объекта в процессе его эксплуатации. Реальный физический износ оценивается следующими методами:
по эффективному возрасту;
по индексам снижения потребительских свойств;
по снижению чистого дохода (прибыли) в процессе эксплуатации.
Моральный износ характеризует потерю конкурентоспособности и соответственно стоимости, в связи с появлением на рынке новых более совершенных аналогов. Моральный износ принято подразделять на:
технологический,
функциональный,
внешний.
Технологический износ является следствием влияния на стоимость достижений научно-технического прогресса в области конструкции, технологии, материалов.
Функциональный износ есть следствие уменьшения функциональных возможностей оцениваемого объекта в сравнении с новым аналогом.
Внешний износ проявляется в том, что объект в какой-то момент перестает отвечать новым требованиям и ограничениям, например, по экологическим причинам, безопасности и т.д.
Основным методом определения морального износа является метод сравнения с новым, более совершенным объектом.
Этап 4. Расчет остаточной стоимости компонентов нематериальных активов и суммарная оценка остаточной стоимости всех нематериальных активов. Остаточная стоимость на дату оценки получается вычитанием из стоимости размера накопленного износа.
Применительно к таким объектам, как ноу-хау и изобретения, аннуитетом служат платежи роялти, то есть ежегодно выплачиваемые предприятием-лицензиатом суммы обладателю ноу-хау или патента (лицензиару), согласно заключенному между ними договору.
Фактически роялти — вознаграждение продавцу, определенное по фиксированной ставке, проценту от дохода, прибыли или стоимости в зависимости от договоренности субъектов сделки. Обычно роялти берется в размере от пяти до двадцати процентов дополнительной прибыли, полученной предприятием, купившим и использовавшим нематериальные активы. Но это справедливо лишь для крупномасштабных производств и для случаев, когда помимо данных нематериальных активов в технологии производства нового или обновленного продукта задействованы также несколько других. Когда же нематериальные активы в рассматриваемой технологии являются единственным и главным элементом новизны, оригинальности или экономичности выпускаемой продукции, то эти проценты существенно занижают фактическую стоимость нематериальных активов.
Роялти, выполняя функцию определителя не стоимости нематериальных активов, а размера вознаграждения, как фиксированный процент от прибыли распространяется на весь жизненный цикл данных нематериальных активов.
Роялти как элемент расчета размера вознаграждения имеет глубокий экономический смысл, стимулируя владельца нематериальных активов поддерживать его реализацию в производстве, постоянно его адаптировать к изменяющимся условиям производства и рыночной конъюнктуры.
Ставка роялти такова, что выплаты по ней обычно не являются для производителя ощутимой потерей, а владельцу нематериальных активов периодически начисляется относительно высокая сумма. Поэтому ставки роялти определены, с точки зрения автора, как стихийно сложившийся и принятый в международной практике компромисс между интересами производителя и изобретателя, владельца и покупателя. Причем этот компромисс исторически сложился во времена полного диктата производителя и относительной слабости правовых и рыночных позиций изобретателей и владельцев нематериальных активов. В прежнее время организация внедрения нововведений представляла большую проблему. И если на данном производстве владельцу патента отказывали во внедрении, то шансов внедрить нематериальные активы в другом месте, как правило, было крайне мало.
Сейчас положение в мире существенно меняется в пользу владельцев нематериальных активов:
различные компании и фирмы организуют системы поиска, генерации и фильтрации полезных идей;
создается множество венчурных фирм;
нематериальные активы закладываются в многочисленные инвестиционные проекты;
информационные системы и издания рекламируют новые высокоэффективные идеи.
Дальновидные бизнесмены продают ценные патенты лишь при острой необходимости и в последнюю очередь. Хорошие идеи стали «сытно» кормить своих владельцев, превратились в дорогой товар .
Методология оценки нематериальных активов с использованием роялти предполагает знание всего жизненного цикла объекта, реально предсказать который бывает почти невозможно. Тем более не удается обычно достоверно рассчитать массу прибыли по всем жизненному циклу нематериальных активов ввиду того, что, как правило, не удается обосновать ожидаемое моральное старение нематериальных активов. Поэтому использование роялти для расчетов стоимости нематериальных активов представляется неэффективным.
Более правильным представляется расчет стоимости нематериальных активов с использованием массы прибыли за некий обозримый период (лишь несколько лет). Но прибыль, полученную от реализации данных нематериальных активов, было бы разумнее делить поровну между продавцом и покупателем нематериальных активов в течение определенного срока, владельцем нематериальных активов и производителем продукции, его содержащей.
Проблема определения платежей за использование ноу-хау, изобретения или другого объекта интеллектуальной собственности заключается в том, что для их внедрения в производство требуются инвестиции. Чистый доход от использования ноу-хау или изобретения является частью чистого дохода от реализации определенного инвестиционного проекта. Поэтому сначала разрабатывается инвестиционный проект, составляется бизнес-план, в котором рассчитывают ожидаемый ежегодный чистый доход. Затем выделяют ту часть чистого дохода, которую можно отнести к используемому объекту интеллектуальной собственности. Применяемый при этом долевой коэффициент рассчитывается с учетом фактора получения экономии. Так, применение ноу-хау или изобретения дает прирост чистого дохода предприятия за счет таких факторов, как снижение себестоимости продукции, увеличения объема продаж, увеличения цены за продукцию за счет роста качества. Нужно также иметь ввиду, что применение некоторых ноу-хау позволяет снизить величину налога на прибыль.
Задача упрощается, если инвестиции не требуются. Например, что при оценке стоимости товарного знака, приобретаемого предприятием у другой авторитетной фирмы, достаточно рассчитать прирост чистого дохода предприятия вследствие увеличения цены и расширения рынка сбыта, но при этом нужно вычесть дополнительные расходы на удовлетворение требований обладателя товарного знака. Кстати, стоимость товарного знака может измеряться значительной суммой.
Особое внимание следует обратить на выбор ставки дисконта. Как уже отмечалось, ставка дисконта складывается из безрисковой ставки и премии за риск.
Когда оцениваются объекты интеллектуальной собственности, премия за риск выбирается повышенной, так как вложения в эти объекты отличаются большой рискованностью.
Срок полезного применения объекта интеллектуальной собственности оценивается предприятием самостоятельно и зависит от сроков старения передаваемых знаний (опыта) и возможного раскрытия их конфиденциальности. Этот период соответствовать двадцатилетнему периоду действия патента РФ на изобретение или семнадцатилетнему сроку действия патента США. При определении срока действия договор на передачу ноу-хау в международной практике принятым считается срок, равный пяти годам, а по отдельным договорам он изменяется в пределах от двух до десяти лет.
Стоимость деловой репутации предприятия или гудвилла определяется методом избыточной рентабельности, который можно рассматривать как частный случай метода капитализации. Оценку гудвилла выполняют как составную процедуру оценки стоимости предприятия в целом. Исходят из того положения, что гудвилл – это те нематериальные активы, благодаря которым рентабельность собственного капитала предприятия превышает среднеотраслевую рентабельность. Расчеты выполняют в такой последовательности:
1. Анализируют данные о результатах деятельности предприятий отрасли, к которой относится данное предприятие, и вычисляют среднее по отрасли значение показателя рентабельности собственного капитала (отношение чистой прибыли к собственному капиталу предприятия).
2. Определяют чистую прибыль предприятия при среднеотраслевом уровне рентабельности, для чего среднеотраслевой показатель рентабельности умножают на собственные средства предприятия.
3. Определяют избыточную прибыль; при этом из фактической чистой прибыли вычитается чистая прибыль при среднеотраслевой рентабельности.
4. Методом капитализации, то есть делением избыточной прибыли на коэффициент капитализации определяют стоимость гудвилла.
Имеется целый ряд нематериальных активов, стоимость которых может быть оценена только на основе затратного подхода. Методом расчета сметных затрат определяется и учитывается стоимость таких нематериальных активов, как целевые организационные расходы, стоимость результатов НИОКР, стоимость промышленных образцов, стоимость лицензий на право заниматься определенными видами деятельности и т.д. Стоимость определяется как итог затрат по схеме расходов плюс прибыль.
ТЕСТЫ ДЛЯ РУБЕЖНОГО КОНТРОЛЯ:
Который из нижеперечисленных видов деятельности не может быть отнесен к судебно-экспертной деятельности?
определение остаточной стоимости
определение суммы ущерба
определение виновной стороны
определение меры пресечения
нет правильного ответа
Какой из нижеперечисленных методов начисления амортизации не учитывают морального старения оборудования?
равномерный
регрессивный
кумулятивный
производственный
нет правильного ответа
Какой из нижеуказанных методов основан на определении текущей стоимости объекта как совокупности будущих доходов:
доходный метод
затратный метод
сравнительный метод
синтетический метод
нет правильного ответа
Составление калькуляции используется как инструментарий при оценке:
затратным методом
доходным методом
сравнительным методом
синтетическим методом
нет правильного ответа
Стоимость имуществом за вычетом суммы накопленного износа на определенную дату называется?
остаточной
рыночной
ликвидационной
балансовой
среди предъявленных ответов нет правильного
Какой из нижеперечисленных методов оценки движимого имущества требует наличия большой информационной базы данных:
сравнительный
затратный
доходный
синтетический
среди предъявленных ответов нет правильного
Показатель позволяющий рассчитывать текущую стоимость в будущую называется:
коэффициентом капитализации
ставкой дисконта
ставкой рефинансирования
коэффициентом сжатия
среди предъявленных ответов нет правильного
Кто является потребителем услуг оценщика?
заказчик
исполнитель
ответчик
начальник
среди предъявленных ответов нет правильного
Метод основанный на анализе цен покупки и продажи, сложившихся в текущий момент на первичном и вторичном рынках называется:
сравнительным
затратным
доходным
комбинированным
среди предъявленных ответов нет правильного
Учет износа происходит на:
вторичном рынке движимого имущества
первичном рынке движимого имущества
расширенном рынке движимого имущества
мнимом рынке движимого имущества
среди предъявленных ответов нет правильного
Если А - процент износа детали, Н – глубина износа детали, мм,то как определить К коэффициент износа детали:
К=А/Н;
К=Н/А;
К=(А-Н)/100%;
К=(Н=А)/100%;
среди предъявленных ответов нет правильного.
Износ и устаревание, которое целесообразно устранить с экономической точки зрения:
Устранимый износ
Неустранимый износ
Физический износ
Функциональное устаревание
Экономическое устаревание
Текущая стоимость нового объекта, являющаяся по своим характеристикам наиболее близким аналогом оцениваемого объекта:
Полная стоимость замещения
Полная восстановительная стоимость
Стоимость остаточного замещения
Страховая стоимость
Инвестиционная стоимость
Минимальные совокупные затраты (в текущих ценах), необходимые для замены данного объекта аналогичным другим объектом:
Полная стоимость замещения
Полная восстановительная стоимость
Стоимость остаточного замещения
Сраховая стоимость
Инвестиционная стоимость
При определении этой стоимости рассматривается не весь совокупный износ, а лишь износ, учитываемый для целей страхования:
Сраховая стоимость
Полная восстановительная стоимость
Полная стоимость замещения
Стоимость остаточного замещения
Инвестиционная стоимость
Стоимость собственности для конкретного инвестора, или группы инвесторов при определенных целях инвестирования:
Инвестиционная стоимость
Полная восстановительная стоимость
Полная стоимость замещения
Стоимость остаточного замещения
Страховая стоимость
Независимо от используемой классификации при оценке оборудования рекомендуется группировать его по следующим группам:
Все ответы верны
Основное технологическое
Вспомогательное
Подъемно-транспортное
Офисное
Потеря стоимости, вызванная появлением новых технологий:
Функциональный износ
Моральный износ
Технологический износ
Экономическое обесценивание
Экономическое устаревание
Износ вызванный повышенными инвестиционными издержками:
Моральный износ
Технологический износ
Экономическое обесценивание
Функциональный износ
Экономическое устаревание
Износ делающий рассматриваемое оборудование ненужным в принципе в рамках новой технологии:
Технологический износ
Моральный износ
Экономическое обесценивание
Функциональный износ
Экономическое устаревание
Потеря стоимости, вызванная крупными отраслевыми, региональными, мировыми технологическими и политическими изменениями:
Экономическое обесценивание
Моральный износ
Технологический износ
Функциональный износ
Неустранимый износ
Подвид физического износа по времени протекания:
Равномерный и непрерывный
Глобальный
Устранимый
Технический
Локальный
Какие из следующих работ следует рассматривать в качестве заключении о стоимости машин и оборудования:
Все ответы верны
Экспресс-анализ
Кабинетный анализ
Анализ гипотетических ситуаций
Анализ нематериальных активов
Распространенная практика для получения быстрого мнения о стоимости машин и оборудования:
Экспресс-анализ
Кабинетный анализ
Анализ гипотетических ситуаций
Анализ нематериальных активов
Анализ без инспекции
Величина, выраженная в денежном эквиваленте, которую можно получить от продажи имущества, реализуемого как совокупность материалов, которые в нем содержатся:
Стоимость скрапа (лома)
Восстановительная стоимость
Затраты на восстановление
Страховая стоимость с учетом износа
Страховая стоимость замещения
Величина, выраженная в денежном эквиваленте, которую ожидается получить от продажи бывших активов или их составных компонентов для альтернативного использования:
Остаточная ликвидационная стоимость
Восстановительная стоимость
Затраты на восстановление
Страховая стоимость с учетом износа
Страховая стоимость замещения
Способность актива удовлетворять потребности пользователя в данном месте и в течении данного периода времени:
Полезность
Замещение
Предвидение
Вклад
Сбалансированность
Принцип лежащий в основе трех подходов к оценке любого актива:
Замещение
Предвидение
Вклад
Сбалансированность
Полезность
Метод оценки оборудования на принципе подстановки или замещения, который подразумевает, что разумный инвестор не заплатит за оцениваемое имущество, чем стоит его замещение:
Метод рыночных сравнений
Затратный метод
Метод капитализации дохода
Статический подход
Динамический подход
Ресурсно-технологические модели оценки включают в себя:
Все ответы верны
Искомую стоимость объекта оценки
Количество комплектующих узлов и агрегатов типа j
Рыночная стоимость одного узла типа j
Суммарная стоимость нерасшифрованной
Восстановительная стоимость включает в себя:
Все ответы верны
Действующую оптовую цену
Заготовительно-складские расходы
Стоимость транспортных расходов
Стоимость фундаментов под оборудование
Методы определения таможенной стоимости товара государств – участников СНГ включают:
Все ответы верны
Метод определения таможенной стоимости товара
Метод по цене сделки с ввозимыми товарами
Метод по цене сделки с идентичными товарами
Метод по цене сделки с однородными товарами
Метод расчета амартизации на основе дроби, которая меняется с течением времени в применении к первоначальной балансовой стоимости актива:
Кумулятивный метод
Метод убывающего остатка
Прямолинейный метод
Д)Теория текущей стоимости
Метод амортизации по фонду возмещения
Метод для расчета износа основанный на фундаментальной концепции оценочной стоимости:
Теория текущей стоимости
Метод убывающего остатка
Прямолинейный метод
Кумулятивный метод
Метод амортизации по фонду возмещения
Метод амортизации основанный на общепризнанном принципе сложного процента:
Метод амортизации по фонду возмещения
Метод убывающего остатка
Прямолинейный метод
Кумулятивный метод
Е)Теория текущей стоимости
Оцененная сумма в денежных единицах, которая обычно может быть реализована на открытом аукционе в условиях вынужденной продажи:
Ликвидационная стоимость
Стоимость упорядоченной ликвидации
Обоснованная рыночная стоимость объекта
Ликвидационная стоимость установленного оборудования
Упорядоченная ликвидационная стоимость
Прогнозируемая денежная сумма, которую можно получить исходя из предложения, что все оборудование будет продано целиком со всеми устройствами:
Ликвидационная стоимость установленного оборудования
Стоимость упорядоченной ликвидации
Обоснованная рыночная стоимость объекта
Упорядоченная ликвидационная стоимость
Ликвидационная стоимость
Стоимость единиц машин и оборудования для пользователя, которая получена путем сравнения оцениваемых объектов с аналогичными объектами:
Обоснованная рыночная стоимость объекта в пользовании вне нынешнего местоположения
Стоимость упорядоченной ликвидации
Ликвидационная стоимость установленного оборудования
Упорядоченная ликвидационная стоимость
Ликвидационная стоимость
Сумма валовой выручки, которую можно получить в результате продажи оцениваемых активов:
Упорядоченная ликвидационная стоимость
Обоснованная рыночная стоимость объекта в пользовании вне нынешнего местоположения
Обоснованная рыночная стоимость объекта
Ликвидационная стоимость установленного оборудования
Ликвидационная стоимость
Величина затрат на ремонт, на восстановление до начального состояния:
Затраты на восстановление
Восстановительная стоимость
Страховая стоимость с учетом износа
Страховая стоимость замещения
Стоимость скрапа (лома)
Аналоговая стоимость – это?
стоимость замещения;
стоимость восстановительного ремонта;
среднерыночная стоимость;
страховая стоимость;
среди предъявленных ответов нет правильного.
Вид обязательно проводимой деятельности
технический сервис
ремонт
диагностика
контрольные работы
предварительный ремонт
Стоимость аналога транспорта оцениваемого, покупаемого или перерабатываемого на данный момент
стоимость переработки
стоимость замещения
остаточная стоимость
рыночная стоимость
таможенная стоимость
Важный принцип, определяющий логику любого покупателя-инвестора:
Предвидение
Замещение
Вклад
Сбалансированность
Полезность
Что может быть объектом оценки?
все перечисленное
природные ресурсы
инвестиционные проекты
бизнес
недвижимость
Чем обусловлена потребность в оценке стоимости объектов и прав собственности?
всем перечисленным
возникновением и развитием фондового рынка
развитием системы страхования
переходом коммерческих банков к выдаче кредитов под залог имущества
процессами приватизации
Какая функция показывает равновеликий периодический платеж, необходимый для полной амортизации кредита?
взнос за амортизацию денежной единицы
накопленная сумма единицы
накопление единицы за период
фактор фонда возмещения
текущая стоимость обычного аннуитета
Какой из стандартов стоимости предполагает наличие у оценщика собственных знаний по поводу оцениваемого объекта?
внутренней (фундаментальной)стоимости
обоснованной рыночной стоимости
обоснованной стоимости
инвестиционной стоимости
нет правильного ответа
Как называется денежный поток, в котором все суммы равновеликие?
аннуитет
актив
пассив
рента
дисконтирование
К нематериальным активам предприятия не относится.
незавершенное строительство
фирменное имя
товарные знаки
патенты
лицензии
Максимальная стоимость объекта определяется наименьшей ценой, по которой может быть приобретен другой объект с эквивалентной полезностью – это…..
принцип замещения
принцип полезности
принцип остаточной стоимости
принцип ожидания
принцип изменения стоимости
Что из ниже перечисленного не соответствует определению ликвидационной стоимости:
стоимость, учитывающая индивидуальные требования конкретного инвестора
стоимость, рассчитанная на основе реализации активов предприятия
разность между выручкой от продажи активов предприятия по отдельности
стоимость, рассчитанная по конкретному факту
стоимость, рассчитанная для предприятия, которое находится в состоянии банкротства
Что такое аннуитет?
денежный поток, в котором все суммы равновеликие
вероятность получения в будущем дохода
денежный поток, в котором все суммы различаются по величине
денежный поток, в котором все суммы возникают через равновеликие отрезки времени
процентное соотношение между денежным потоком и чистым доходом
Что такое ликвидность?
возможность быстрого превращения активов предприятия в денежные средства
обеспеченность запасов и затрат собственными источниками
количество оборотов дебиторской задолженности за год
эффективность хозяйственной деятельности предприятия
соотношение между собственными и заемными средствами
Какая функция сложного процента применяется для определения величины взноса в погашение самоамортизирующегося кредита?
периодический взнос на погашение кредита
будущая стоимость единицы
текущая стоимость единицы
текущая стоимость аннуитета
будущая стоимость аннуитета
Укажите единственно верное утверждение о дисконтировании.-
позволяет рассчитать настоящую(приведенную) стоимость при заданном периоде, процентной ставке и конкретной сумме
сумма, возникающая в определенной хронологической последовательности
вероятность получения в будущем дохода
доход, получаемый ежегодно при вложении капитала
нет правильного ответа
Какой риск относится к внутренним рискам?
административный
политический
нет верного ответа
инфляционный
ценовой
Что такое балансовая стоимость?
затраты на строительство или приобретение объекта собственности
стоимость объекта собственности, рассматриваемая как совокупная стоимость материалов, содержащихся в нем без дополнительного ремонта
стоимость близкого аналога рассматриваемого объекта
стоимость активов и пассивов объекта
стоимость сформировавшегося объекта как единого целого
В чем заключается суть принципа полезности?
объект имеет стоимость, так как обладает определенной полезностью
соответствие конкурентоспособности требованиям
определение текущей стоимости дохода, который может быть получен в будущем
полезность определяет конъюнктуру на рынке
полезность приносит доход
При росте цен в условиях инфляции применяется следующий метод учета запасов
по себестоимости последних по времени закупок
по средней себестоимости
по себестоимости первых по времени закупок
по полной себестоимости
по себестоимости
Какой из ниже перечисленных методов относится к затратному подходу
метод чистых активов
метод капитализации
метод сделок
метод арбитража
метод ЛИФО
Виды и формы аренды недвижимости
Все перечисленные виды и формы аренды имеют право на существование
Полная аренда
Частичная аренда
Свободная аренда
Целевая аренда
Стандарт обоснованной стоимости предполагает
равную доступность информации для производителя и потребителя
недоступность информации для оценщика
общедоступность информации для оценщиков
равную доступность информации всем эмитентам
нет правильного ответа
Риск непредсказуемого изменения темпов роста цен?
инфляционный
страховой
финансовый
общеэкономический
политический
Что такое обычный денежный поток?
денежный поток, в котором все суммы различаются по величине
денежные суммы, возникающие в определенной хронологической последовательности
денежный поток, в котором все суммы равновеликие
денежный поток, возникающий в начале периода
нет правильного ответа
Что относится к нематериальным активам?
патенты, гудвилл
земельный участок
здания и сооружения
транспортные средства
незавершенное строительство и неустановленное оборудование
Риск связанный с конкретной приносящей доход собственности который может быть связан с экономическими и институциональными условиями на рынке:
Систематический риск (sistematic risk)
Несистематический риск (unsistematic risk)
Статичный риск (static risk)
Динамичный риск (dynamic risk)
Нединамичный риск (undynamic risk)
С помощью какой функции сложного процента можно определить, какую сумму необходимо поместить на депозит под 10% годовых, чтобы через 5 лет накопить 1500 долларов США?
дисконтирование
текущая стоимость единичного аннуитета
будущая стоимость единицы
периодический взнос на погашение кредита
периодический взнос в фонд возмещения
Что из ниже перечисленного соответствует определению ликвидационной стоимости?
Разность между выручкой от продажи активов предприятия на рынке и издержками на ликвидацию
Стоимость активов, равная большей из двух величин –потребительной стоимости активов для данного владельца и стоимости их реализации
разность между выручкой от продажи активов предприятия по отдельности
стоимость, рассчитанная по конкретному факту
стоимость, учитывающая индивидуальные требования конкретного инвестора
Выберите единственно верное определение временной оценки денежных потоков.
приведение денежных сумм, возникающих в разное время к сопоставимому виду
отрезок времени, в течение которого производится оценка
денежный поток, который оценивается в данное время
все верно
нет правильного ответа
Что предполагает затратный подход в оценочной деятельности?
анализ балансовых счетов предприятия и их корректировку;
анализ практики продаж объектов в отрасли;
прямое сравнение аналогичных объектов;
анализ доходов и затрат
нет правильного ответа
Экономический принцип, гласящий, что при наличии нескольких сходных или соразмерных объектов тот, который имеет наименьшую цену, пользуется наибольшим спросом –это
принцип замещения
принцип соответствия
принцип регрессии и прогрессии
принцип полезности
нет правильного ответа
Действительный валовой доход определяется как
доход, получаемый от недвижимости при полной её загруженности без учёта потерь и расходов
доход, получаемый от недвижимости при полной её загруженности минус потери от недозагрузки помещений, смены арендаторов и неплатежей арендаторов
это доход, получаемый от недвижимости при полной её загруженности, минус потери от недозагрузки помещений, неплатежей арендаторов и минус операционные расходы
это потенциальный валовой доход за вычетом всех потерь и расходов
все ответы неверны
Экономический принцип, определяющий сумму, на которую увеличивается или уменьшается стоимость оцениваемого объекта?
вклада
замещения
полезности
прогрессии и регрессии
соответствия
Основными методами оценки недвижимости являются
классический, системно-аналитический, прогностический
классический
системно-аналитический
прогностический
технологический
Что включает технология оценки недвижимости затратным методом?
все перечисленные стадии.
оценку стоимости земельного участка
оценку стоимости восстановления или замещения улучшений
вычет накопленного улучшениями износа
суммирование стоимости земельного участка и улучшений
В каких случаях используется затратный подход при оценке стоимости объектов недвижимости?
в условиях пассивного рынка, когда нет аналогичных продаж
для целей налогообложения
наравне с другими подходами, для более полного определения стоимости
для целей страхования
во всех указанных случаях
Что такое оценка?
научно обоснованное мнение эксперта-оценщика о стоимости оцениваемого объекта
процесс погашения долга в течение определенного времени
разница между валовой выручкой и издержками производства
научно обоснованное мнение налогового инспектора о надбавке к издержкам производства
нет верного ответа
Определите единственно верное положение об информационном обеспечении оценки.
все стадии оценки объекта связаны с анализом собранной информации
наиболее важной информацией для оценки является внутренняя информация об уровне инфляции
к внешней информации относятся данные об оцениваемом объекте
внутренней информации относятся данные о ставках налогообложения
один из способов сбора внешней информации – анкетирование персонала
Принципы оценки, лежащие в основе сравнительного метода оценки.
все перечисленные
замещение
спрос и предложение
пропорциональность
зависимость
Что такое сервитут?
юридически закрепленное право владельца одного участка на строго определенный способ использования части территории участка другого владельца
юридическое понятие, которое означает совокупность прав собственности на недвижимое имущество
конкурсная форма проведения подрядных торгов
право на получение дохода от использования имущества
нет верного определения
Что такое временная оценка денежных потоков?
приведение денежных сумм, возникающих в разное время, к сопоставимому виду
отрезок времени, в течение которого проводится оценка
денежный поток, который оценивается в данное время
денежные суммы, которые возникают в определенной последовательности
нет правильного ответа
В чем суть принципа полезности?
объект имеет стоимость, так как обладает определенной полезностью
соответствие конкурентным требованиям
определение текущей стоимости дохода, который может быть получен
полезность определяет конъюнктуру рынка
полезность приносит доход
Что такое физический износ?
потеря стоимости за счет ухудшения физического состояния объекта
потеря стоимости из-за морального устаревания
потеря стоимости из-за изменения ситуации на рынке
потеря стоимости за счет изменения финансовых условий
потеря стоимости из-за изменения законодательных условий
Назовите три основных метода оценки
сравнительный, доходный, затратный
сравнительный, доходный, комиссионный
сравнительный, затратный, арендный
затратный, доходный, приватизационный
затратный, инвестиционный, сравнительный
Оценочная деятельность в Республике Казахстан регулируется
законом об оценочной деятельности в Республике Казахстан
законом о банкротстве
законом об акционерных обществах
законом о хозяйствующих субъектах
среди предъявленных ответов нет правильного
Какая из шести функций сложного процента позволяет определить будущую стоимость периодических равновеликих взносов?
будущая стоимость аннуитета;
периодический взнос на накопление фонда;
периодический взнос в погашение кредита;
текущая стоимость аннуитета;
дисконтирование.
Оценочная деятельность требует лицензирования?
да;
нет;
возможно;
не обязательно;
среди предъявленных ответов нет правильного.
Стоимость объекта собственности, рассматриваемая как совокупная стоимость материалов?
скраповая;
балансовая;
нормативно рассчитываемая;
эффективная;
ликвидационная.
Какой метод учета запасов применяется в условиях инфляции?
по себестоимости;
по средней себестоимости;
по себестоимости первых по времени закупок;
по полной себестоимости;
любой метод.
Что предполагает стандарт обоснованной стоимости?
равную доступность информации для производителя и потребителя;
общедоступность информации;
разную доступность информации разным инвесторам;
доступность информации независимому оценщику;
равную доступность информации для всех инвесторов.
Снижение первоначальной стоимости объекта в результате его физического и морального износа вследствие его эксплуатации или выработки технологического ресурса называется
амортизацией
авторизацией;
аккредитацией;
апелляцией;
анимацией.
Юридически обеспеченная возможность осуществлять фактическое обладание имуществом?
право владения;
право пользования;
право распоряжения;
право собственности;
право оперативного управления собственностью.
Разрешение, выдаваемое владельцем другому лицу на промышленное использование изобретения – это:
лицензия
патент
смежное право
регистрация
нет верного ответа
Потребность в оценке стоимости предприятия возникает в случаях:
все ответы верны
продажи предприятия
продажи части имущества предприятия
реорганизации предприятия
ликвидация предприятия
Затраты на приобретение основных фондов предприятия, числящихся на его балансе – это:
балансовая стоимость
первоначальная стоимость
восстановительная стоимость
страховая стоимость
инвестиционная стоимость
Установление текущей стоимости доходов, которые могут быть получены в будущем от владения собственностью:
принцип ожидания
принцип замещения
принцип полезности
принцип конкуренции
нет верного ответа
К факторам, влияющим на оценку стоимости имущества относят:
все ответы верны
социальные
экономические
политические
физические
К политическим факторам, влияющим на оценку стоимости имущества, относится:
нет верного ответа
климат
ресурсы
почва
земля
Для отдельного объекта собственности, находящегося в общем имущественном комплексе, применяется показатель:
чистый операционный доход
чистая прибыль
чистый денежный поток
амортизация
нет верного ответа
Расчет стоимости имущества производят по формуле:
доход / стоимость капитализации
стоимость капитализации * доход
стоимость капитализации / доход
стоимость капитализации + доход
нет верного ответа
Текущая стоимость инвестиций, возвращенных в конце инвестиционного периода – это:
реверсия
внутренняя норма прибыли
капитализация
стоимость имущества
нет верного ответа
Ставка дисконта рассчитывается как:
сумма безрисковой ставки и премии за риск
разность между безрисковой ставкой и премией за риск
произведение безрисковой ставки и премии за риск
отношение безрисковой ставки к премии за риск
нет верного ответа
Отрезок времени, в течение которого объект можно использовать , извлекая прибыль – это:
срок экономической жизни
срок физической жизни
эффективный возраст
срок оставшейся экономической жизни
нет верного ответа
При определении денежных потоков рекомендуемый срок прогнозирования составляет:
5 года
3 года
4 года
2 лет
нет верного ответа
Цены специально организованных рынков качественно однородных товаров:
биржевые
справочные
импортные
мировые
нет верного ответа
Деньги или денежный эквивалент, который покупатель готов обменять на какой-либо предмет или объект:
Стоимость
Затраты
Цена
Заемная стоимость
Страховая стоимость
Принцип оценки недвижимости, связанный с землей, зданиями и сооружениями:
Остаточная продуктивность
Соответствие
Предложение и спрос
Конкуренция
Зависимость
Способность недвижимости удовлетворять потребности пользователя в данном месте и в течении данного периода времени:
Полезность
Замещение
Ожидание
Остаточная продуктивность
Вклад
Оптимальные суммы различных факторов производства, присочитании которых достигается максимальная стоимость земли:
Сбалансированность
Экономический размер
Экономическое разделение
Зависимость
Соответствие
Когда прибыли на рынке превышают уровень, необходимый для оплаты факторов производства, на данном рынке обостряется конкуренция, что, в сою очередь, приводит к снижению среднего уровня чистых доходов:
Конкуренция
Экономическое разделение
Зависимость
Изменение
Соответствие
Процесс оценки может быть разделен на этапы, к этапу «Сбор и проверка информации» относят:
Анализ построек
Анализ
Предложения об условиях выполнения задания
Логические рассуждения и суждения
Искомый вид стоимости.
Цена, выраженная в деньгах или денежном эквиваленте, на которую согласятся готовые к сделке покупатель и продавец:
Обоснованная рыночная стоимость
Доход от продажи долгосрочного капитального актива
Плата за управление
Рыночная цена
Рыночная рента
Расчетные инструменты, которые могут быть применены для оценки прогнозируемых доходов от инвестиций:
Дисконтирование
Суммы денежных средств
Осознанные риск
Ставка дохода
Накопление
Обязательство представить объект собственности в качестве обеспечения долга:
Закладная
Первая ипотека
Младшие закладные
Субординация
Залоговое участие
Право на пользование объектом, принадлежащим другому лицу, в определенных целях:
Сервитуты
Право пожизненного владения
Арендные соглашения
Опцион
Контракт на титул
Право государственных органов ограничивать варианты использования собственности, тем самым не допуская строительства определенных зданий и сооружений:
Правила зонирования
Изъятие
Строительные правила
Требования охраны окружающей среды
Конфискация
Дисконтирование и приведение притока средств от инвестиции к текущей стоимости по заранее определенной ставке дисконта:
Чистая текущая стоимость (NPV)
Валовый рентный мультипликатор (GRM)
Общая ставка дохода (OAR)
Ставка денежных поступлений на собственный капитал (EDR)
Чистый распологаемый доход (NSI)
Вид дохода облагаемый налогом по обычным ставкам и может достигать 70% для частных лиц:
Обычный доход
Доход от продажи долгосрочных капитальных активов
Налогооблогаемый доход
Доход от пасивной деятельности
Доход от перепродажи
Если стоимость купленных с использованием кредитов активов не повышается или если выгоды от них не превышают процента по ссудам, левередж является:
«отрицательным»
«нейтральным»
«положительным»
«титпичным»
«нетиричным»
Использование заемных средств для финансирования покупки недвижимости или других активов:
Финансовый левередж
Равномерный аннуитет
Ипотека с равномерными выплатами
Пожизненный аннуитет
Пожизненное владение
Финансовый институт участвующий в бизнесе, связанном с приносящей доход недвижимостью, активно выдающий строительные кредиты под собственнось любых видов:
Коммерческие банки (CB)
Компании по страхованию жизни (LIC)
Сберегательные и кредитные ассоциации (S&L)
Взаимосберегательные банки (MSB)
Трасты по инвестициям в недвижимость (REIT)
Вид ипотечного кредита предусматривающего выплаты основной суммы и процентов по обслуживанию долга плюс «кикер»:
«Совместное участие»
Кредти с «шаровым» платежем
Кредит с фиксированными выплатами основной суммы
«Нарастающие платежи»
«Обратный аннуитет»
Соотношение между ежегодными требованиями по ипотечному кредиту и первоначальной основной суммой кредита, выраженное десятичной дробью или в процентах для кредитов с равномерными платежами:
Кредитная постоянная
Залоговое право «мастерового»
Закладная, или ипотека
Ипотечный коэффициент
Обязательство по ипотеке
Ипотечный кредит при котором сумма процентов прибавляется к основной сумме, и результат делится на число месяцев для определения ежемесячных выплат:
«Добавленный процент»
«Канадский ролл-овер»
«Завершающая ипотека»
«Переменная ставка»
«Ипотека с участием кредитора в приросте стоимости»
Возможность потери от физических или гуманитарных факторов, которая может быть актуарно ожидаема:
Статичный риск (static risk)
Систематический риск (sistematic risk)
Несистематический риск (unsistematic risk)
Динамичный риск (dynamic risk)
Нединамичный риск (undynamic risk)
Финансовый коэффициент «собственного капитала» анализа недвижимости это соотношение:
Стоимость собственного капитала/Стоимость собственности
Стоимость зданий и сооружений/Общие затраты или стоимость
Основная сумма ипотечного кредита/Стоимость собственности
Потери при сборе арендной платы/Потенциальный валовой доход
Операционные расходы и обслуживание долга/Потенциальный валовой доход
Мультипликатор валовых рентных платежей:
Цена покупки/Валовый рентный доход (потенциальный или действительный)
Чистый операционный доход/Ежегодные платежи по обслуживанию долга
Чистый операционный доход/Цена покупки
Ежегодные платежи по обслуживанию долга/основная сумма ипотечного кредита
Чистый операционный доход за вычетом расходов по обслуживанию долга/Инвестиции в собственный капитал.
Для оценки уровня производительности труда применяется система…
обобщающих, частных и вспомогательных показателей
обобщающих показателей
частных показателей
вспомогательных показателей
нет верного ответа
К объектам гражданских прав, возникающих в процессе оценочной деятельности, относится:
недвижимое, движимое имущество, работы, услуги
недвижимое имущество
движимое имущество
работы, услуги
нет верного ответа
Уменьшение стоимости имущества вследствие потери им способности использоваться по своему прямому назначению – это:
рыночный метод
метод срока жизни
метод разбиения
все предыдущие ответы верны
нет верного ответа
Способ определения износа:
экспертный, нормативный, стоимостной
экспертный
нормативный
стоимостной
нет верного ответа
Оригинально оформленный отличительный знак – это:
товарный знак
изобретение
промышленный образец
полезная модель
нет верного ответа
Стадия создания продукта включает:
разработку изделия
освоение производства
стабилизацию продаж
организацию системы сбыта
нет верного ответа
Инновации, являющиеся новыми для отрасли, называются:
пионерными
радикальными
инкрементальными
все предыдущие ответы верны
нет верного ответа
Внедрение новых технологических процессов и форм организации операций называется:
процессом инновации
инкрементальными инновациями
продуктовыми инновациями
все предыдущие ответы верны
нет верного ответа
На стадии освоения продукта происходит:
организация системы сбыта
уменьшение прибыльности продукта
разработка технологических процессов производства продукта
уменьшение дохода
нет верного ответа
Объектом гражданских прав, возникающих при оценочной деятельности, является:
информация
машины
объекты интеллектуальной собственности
все ответы верны
недвижимое имущество
Стоимость точной копии оцениваемого объекта по действующим ценам – это:
стоимость замещения
стоимость воспроизводства
ликвидационная стоимость
все предыдущие ответы верны
нет верного ответа
Вторичная стоимость массы материалов, из которых состоит оцениваемый объект – это:
утилизационная
страховая
ликвидационная
все предыдущие ответы верны
нет верного ответа
Способность объекта собственности удовлетворять потребность владельца:
принцип полезности
принцип замещения
принцип ожидания
все предыдущие ответы верны
нет верного ответа
Уменьшение стоимости имущества вследствие потери его элементами своих первоначальных свойств - это:
физический износ
функциональный износ
внешний износ
все предыдущие ответы верны
нет верного ответа
Период времени, в течение которого объект реально существует – это:
срок физической жизни
срок экономической жизни
эффективный возраст
срок оставшейся экономической жизни
нет верного ответа
Предложение по усовершенствованию техники – это:
рационализаторское предложение
полезная модель
промышленный образец
изобретение
нет верного ответа
Патент на изобретение действует в течение:
1. 25 лет
2. 20 лет
3. 15 лет
4. 10 лет
5. 5 лет
Фондоемкость
отношение стоимости основных фондов к объему выполненной работы
отношение стоимости основных фондов к численности работников
произведение стоимости основных фондов на объем работы
произведение суммы расходов на объем выполненной работы
отношение суммы расходов к стоимости основных фондов
Фондооснащенность
отношение стоимости основных фондов на производительную площадь
отношение производственной площади к стоимости фондов
стоимости основных * производственную площадь
произведение производственной площади на фондовооруженность
отношение основных фондов к фондоемкости
Амортизационный срок службы
период, в течение которого стоимость подвижного состава полностью переносится на выполняемую транспортную продукцию
оптимальный срок службы минус нормативный срок службы
фактический срок службы минус нормативный срок службы
фактический срок службы минус оптимальный срок службы плюс нормативный срок службы
СПИСОК ЛИТЕРАТУРЫ
Брейли Р., Майерс С. Принципы корпоративных финансов / Пер. с англ., - М.: ЗАО "Олимп-Бизнес", 1997. Второе (дополненное) издание – 2004.
Глоссарий к международным и европейским стандартам оценки на русском языке и англо-русский словарь / Микерин Г.И., Павлов Н.В. - М.,: ИНТЕРРЕКЛАМА, 2003
Гражданский кодекс Республики Казахстан от 1 июля 1999 года (Особенная часть);
Гражданский кодекс Республики Казахстан от 1 июля 1999 года (Особенная часть);
Грязнова А. Оценка имущества. А., 2000.
Европейские стандарты оценки / Микерин Г.И., Павлов Н.В., Артеменков И.Л. – М., Российское общество оценщиков, 2003
Забота о Земле. Стратегия устойчивого существования”, 1991г.
Закон РК «Об оценочной деятельности в РК», Астана, 30 ноября 2000 года, № 109-11 ЗРК.
Закон Республики Казахстан от 16 апреля 1997 года "О жилищных отношениях";
Закон Республики Казахстан от 30 июня 1998 года "О регистрации залога движимого имущества";
Земельный кодекс Республики Казахстан от 20 июня 2003 года № 442-II
Истоки и перспективы”. Зеленый мир N 22, 1995 г.
Международные стандарты оценки (Шестое издание 2003) / Пер. с англ. Микерин Г.И., Артеменков И.Л., Павлов Н.В. - М.,: Российское общество оценщиков, 2004
Международные стандарты оценки / Микерин Г.И., Павлов Н.В. М.,: ИНТЕРРЕКЛАМА, 2003
Методологические основы оценки стоимости имущества (Учебное пособие) / Микерин Г.И., Гребенников В.Г., Нейман Е.И. - М.,: ИНТЕРРЕКЛАМА, 2003
Микерин Г.И., Недужий М.И., Павлов Н.В., Яшина Н.Н. Том 1. Международные стандарты оценки: перевод, комментарии, дополнения. Том 2. Глоссарий к Международным стандартам оценки М., «НОВОСТИ», 2000
Особенности оценочной деятельности применительно к условиям Новой экономики (Хрестоматия) / Козырев А.Н., Макаров В.Л. М.,: ИНТЕРРЕКЛАМА, 2003
Оценка бизнеса: Учебник Под ред.Грязновой А 2002г
Оценка стоимости нематериальных активов и интеллектуальной собственности (Учебное пособие) / Козырев А.Н., Макаров В.Л. М.,: ИНТЕРРЕКЛАМА, 2003
Постановление Кабинета Министров Республики Казахстан от 17 августа 1992 года № 683 «О порядке ведения Государственного земельного кадастра и мониторинга земель в РК» п.5
Путин В.В. Минерально-сырьевые ресурсы в стратегии развития экономики. Использование и охрана природных ресурсов. 2000. № 3. С. 3.
Роберт Н. Холт Основы оценки в деятельности предприятий. М., 2000.
Рындин А.Б, Шамаев В.И. Основы оценки движимого и недвижимого имущества - М.: Финансы и статистика 1995.
Указ Президента Республики Казахстан, имеющий силу закона, от 31 августа 1995 года, "О банках и банковской деятельности в Республике Казахстан";
Указ Президента Республики Казахстан, имеющий силу закона, от 31 августа 1995 года, "О банках и банковской деятельности в Республике Казахстан";
Финансовый менеджмент: Теория и практика. Учебник под редакцией Е.С.Стояновой. М.: ерспектива 2002.
Финансы и инвестиции. Англо-русский и русско-английский толковый словарь. «Пособия Эрнст энд Янг» (Учебное пособие) / Микерин Г.И., Павлов Н.В. – М.: Джон Уайли энд Санз, 1995
Шевчук А. Экономический механизм охраны природы. - Экология и бизнес”, 1993г.
Экология, охрана природы и экологическая безопасность. Учебное пособие для системы повышения квалификации и переподготовки государственных служащих. Под общей редакцией проф. В.И. Данилова-Данильяна. — М.: Изд-во МНЭПУ, 1997.
Экономика недвижимости Дияров С.К. 2003 Кызылорда
Приложение 1-1
Типовое заключение
по оценке земельного участка, принадлежащего залогодателю на праве собственности
«Утверждаю»
Заключение по оценке на сумму 136 324 доллара США
залоговая стоимость
__________________________________
должность курирующего Руководителя Банка (Филиала)
____________ ____________________
подпись ф.и.о.
25 января 2002
дата месяц год
Заключение по оценке по проекту ТОО «сcc»
наименование проекта
Дата проведения оценки: 25 января 2002 года
Курс Национального банка РК: 1 доллар США = 151,30 тенге
Заемщик: ТОО «СCC»
сумма займа: 250 000 долларов США
срок займа: 1 год
ставка вознаграждения: 18 %
cрок до первого платежа по вознаграждению: 270 дней
Залогодатель: ТОО «СCC»
предмет залога и место его расположения: земельный участок (право собственности), г. Алматы, ул.Фурманова, 157
Оценка произведена на основании произведенного обследования объекта и предоставленных документов:
Акта на право собственности на земельный участок №0015789 от 15.03.2001;
Договора купли-продажи земельного участка б/н от 15.02.2001;
Платежного поручения №125 от 20.02.2001;
Справки налогового комитета по Медеускому району г.Алматы №1/78 от 22.01.2002;
Документов, подтверждающих объемы, стоимость и оплату работ по улучшению земельного участка (перечень см. ниже).
1. Описание предмета залога
Предлагаемый в залог земельный участок располагается на углу ул.Фурманова и Хаджи Мукана. Район расположения характеризуется развитой инфраструктурой (имеются транспортные магистрали и развязки, необходимые инженерные коммуникации), застроен преимущественно зданиями жилого и, частично, офисного назначения, имеются предприятия розничной торговли, общественного питания, службы быта, досуга и отдыха.
Район признан экологически чистым.
Земельный участок площадью 0,8295 га (8 295 кв.м) находится в праве собственности ТОО «СCC» согласно предоставленным документам.
Форма земельного участка правильная, прямоугольная, ориентировочные размеры в плане 50 на 150 метров. Протяженная линия (150 м) располагается вдоль ул.Хаджи Мукана.
Собственником выполнены работы по улучшению земельного участка:
выполнена планировка поверхности;
проложены и подведены центральные наружные сети холодного и горячего водоснабжения, канализации и отопления, электросеть.
В отношении коммерческого использования земельного участка следует отметить следующее:
На дату проведения обследования (24.01.2002) начаты работы по устройству котлована для здания, предполагается строительство универсального торгового комплекса, вся площадь земельного участка, в соответствие с проектом, будет занята зданием, элементами благоустройства и местом для парковки автотранспорта. Таким образом, в случае выполнения проекта, дополнительное коммерческое использование объекта невозможно.
В случае невыполнения объекта возможно использование земельного участка для строительства жилых или офисных зданий.
Таким образом, учитывая местоположение земельного участка, его площадь и наличие подведенных инженерных систем привлекательность данного объекта можно расценивать как выше среднего.
2. Оценка предмета залога
Оценка земельного участка доходным методом не рассматривалась ввиду неразвитости рынка аренды земли.
2.1. Рыночный метод
Для определения стоимости земельного участка использован метод сравнительного анализа продаж сопоставимых объектов с последовательным внесением поправок к стоимости.
Технология расчета следующая:
Определены сопоставимые с оцениваемым земельные участки и сумма предложения их реализации (использована информация, публикуемая в периодических специализированных изданиях «Крыша», «Из рук в руки);
Определена цена предложения реализации сопоставимых земельных участков за 1 кв.м;
К цене предложения реализации определена поправка на условия продажи (скидка при возможном заключении сделки купли-продажи) в размере 5% и определена скорректированная цена;
Последовательно определены поправки (оцениваемый участок принимается за 100%) и на основании поправок скорректированы цены:
поправка на размеры (площадь и в плане),
поправка на местоположение объекта,
поправка на улучшения (инженерные сети, планировка, балгоустройство);
Определена средняя цена за 1 кв.м земельного участка на базе последних скорректированных цен;
Стоимость оцениваемого земельного участка определена посредством умножения его площади на среднюю цену 1 кв.м:
Параметры
Сопоставимые объекты
1
2
3
Площадь, га
1,0250
0,6530
0,4850
Площадь, соток
102,50
65,30
48,50
Площадь, кв.м
10 250
6 530
4 850
Размеры в плане, м х м
100 х 100
130 х 50
80 х 60
Месторасположение
Жибек жолы / Барибаева
Достык / Сатпаева
Аль Фараби / Водозаборная
Инженерное обеспечение
нет
холодная и горячая вода, отопление, канализация, энергосеть
холодная вода, канализация, энергосеть
Благоустройство
озеленение
озеленение
вертикальная планировка
Цена предложения реализации, USD
250 000,00
150 000,00
100 000,00
Цена предложения реализации, USD/кв.м
24,39
22,97
20,62
Поправка на условия продажи, %
-5,00%
-5,00%
-5,00%
Скорректированная цена, USD/кв.м
23,17
21,82
19,59
Поправка на размеры, %
-2,00%
2,00%
5,00%
Скорректированная цена, USD/кв.м
22,71
22,26
20,57
Поправка на местоположение, %
-1,00%
1,00%
3,00%
Скорректированная цена, USD/кв.м
22,48
22,48
21,18
Поправка на улучшения, %
3,00%
1,00%
2,00%
Скорректированная цена, USD/кв.м
23,15
22,71
21,61
Средняя цена, USD/кв.м
22,49
Площадь земельного участка, кв.м
8 295
Стоимость земельного участка, USD
186 550,57
Стоимость земельного участка, KZT
28 225 100,90
Таким образом, стоимость земельного участка определенная рыночным методом составляет 28 225 101 тенге или 186 551 доллар США по курсу Национального Банка РК на дату проведения оценки.
2.2. Затратный метод
Стоимость земельного участка затратным методом определена на основании издержек осуществленных собственником на приобретение объекта и осуществление улучшений.
Согласно договора купли-продажи земельного участка б/н от 15.02.2001 и платежного поручения №125 от 20.02.2001 стоимость выкупа земельного участка в собственность составляет 20 000 000 тенге.
Общие затраты, вместе с издержками на проведение улучшений (согласно предоставленным документам) составляют:
Документ - основание
Документ об оплате
Сумма
KZT
USD
1
Договор купли-продажи земельного участка б/н от 15.02.2001
п/п №125 от 20.02.2001 - за земельный участок
20 000 000,00
132 187,71
2
Акт приемки выполненных работ №1 от 24.04.2001
П/п №304 от 1.05.2001 - за вертикальную планировку
5 000 000,00
33 046,93
3
Акт приемки выполненных работ №2 от 25.05.2001
П/п №337 от 1.06.2001 - за устройство внешних сетей водопроа и канализации
2 500 000,00
16 523,46
4
Акт приемки выполненных работ №3 от 20.06.2001
П/п №359 от 3.07.2001 - за устройство внешних сетей отопления и горячей воды
4 300 000,00
28 420,36
5
Акт приемки выполненных работ №4 от 28.07.2001
П/п №378 от 5.08.2001 - за устройство внешних кабельных электросетей
1 800 000,00
11 896,89
ВСЕГО
33 600 000,00
222 075,35
Таким образом, стоимость земельного участка определенная затратным методом составляет 33 600 000 тенге или 222 075 долларов США по курсу Национального Банка РК на дату проведения оценки.
3. заключение
3.1. Итоговая оценочная стоимость
Учитывая произведенные расчеты и выводы, итоговая стоимость земельного участка определена на основании расчетов произведенных рыночным и затратным методами.
При определении итоговой стоимости использован способ математического взвешивания результатов разных методов. Ввиду того, что при расчетах:
Рыночным методом - использованы реальные данные о ценах сопоставимых объектов и учтены различия в их характеристиках при оценке – значению стоимости придана достоверность 100%;
Затратным методом - учтены фактические издержки на приобретение земельного участка и произведенные улучшения, но определенная стоимость не отражает ликвидности объекта – значению стоимости придана достоверность 30%:
Значение, USD
Достоверность %
Доля
Значение
Рыночный метод
186 550,57
100,00%
0,7692
143 500,44
Затратный метод
222 075,35
30,00%
0,2308
51 248,16
Итоговая оценочная стоимость, USD
130,00%
1,0000
194 748,59
Итоговая оценочная стоимость, KZT
29 465 462,23
Итоговая оценочная стоимость земельного участка составляет 29 465 462 тенге или 194 749 долларов США по курсу Национального Банка РК на дату оценки.
3.2. Залоговая стоимость
Залоговая стоимость земельного участка определена на основании итоговой оценочной стоимости с учетом понижающего коэффициента (учитывающего специфику обеспечения) в размере 0,70:
USD
KZT
Итоговая стоимость
194 748,59
29 465 462,23
Понижающий коэффициент
0,70
Залоговая стоимость
136 324.02
20 625 823.56
Залоговая стоимость земельного участка составляет 20 625 824 тенге или 136 324 доллара США по курсу Национального Банка РК на дату оценки.
3.3. Расчет оптимальной суммы кредитования
Исходные данные
Валюта для расчета
USD
Курс Национального Банка РК, тенге
151,30
Срок до первого платежа по вознаграждению, дней
270
Годовая ставка вознаграждения
18,00%
Повышенная ставка вознаграждения (за 3 месяца)
6,75%
Ставка расходов по реализации предмета залога
3,00%
Ставка сбора с аукционных продаж
3,00%
Ставка налога на добавленную стоимость
16,00%
Расчет оптимальной суммы кредитования
Наименование статьи
Сумма
KZT
USD
Залоговая стоимость
20 625 823.56
136 324.02
Основной долг
13 722 785.87
90 699.18
Плановое вознаграждение
1 852 576.09
12 244.39
Вознаграждение по повышенной ставке
1 051 336.93
6 948.69
Расходы по реализации предмета залога
618 774.71
4 089.72
Сбор с аукционных продаж
618 774.71
4 089.72
Налог на добавленную стоимость
2 844 941.18
18 803.31
Итого
20 709 189.48
136 875.01
Оптимальная сумма кредитования
13 722 785.87
90 699.18
_________________________ __________________ _____________________
должность исполнителя подпись ф.и.о.
тел._______________________
Согласовано:
_________________________ __________________ _____________________
долж. руководителя подразделения подпись ф.и.о.
Приложение 1-2
Типовое заключение
по оценке жилого дома
«Утверждаю»
Заключение по оценке на сумму 116 686 долларов США
залоговая стоимость
__________________________________
должность курирующего Руководителя Банка (Филиала)
____________ ____________________
подпись ф.и.о.
9 января 2002
дата месяц год
Заключение по оценке по проекту ТОО «ССС»
наименование проекта
Дата проведения оценки: 9 января 2002 года
Курс Национального банка РК: 1 доллар США = 151,00 тенге
Заемщик: ТОО «ССС»
сумма займа: 250 000 долларов США
срок займа: 1 год
ставка вознаграждения: 18 %
срок до первого платежа по вознаграждению: 90 дней
Залогодатель: Ахметов Алихан Алиевич
предмет залога и место его расположения: жилой дом с земельным участком, г.Алматы, Медеуский район, п. Кок Тобе-2, ул. Кыз Жибек, 22
Оценка произведена на основании осмотра объекта и предоставленных документов (копии):
Технический паспорт на жилой дом от 26.11.1999;
Свидетельство о Государственной регистрации прав на недвижимое имущество и сделок с ним № 3957 от 28.12.1999;
Акт на право собственности на земельный участок № 0103192 от 24.12.1999;
Справка адресного стола о составе семьи 03.01.2000.
1. ОПИСАНИЕ обеспечения
В качестве обеспечения предлагается жилой дом в 3-х уровнях, 1991 года постройки, расположенный по адресу: г. Алматы, Медеуский район, п. Кок Тобе-2, ул. Кыз Жибек, 22. Площадь прилегающего земельного участка (в праве собственности) составляет 0,21 га (2 100 кв.м).
Предлагаемый в залог жилой дом в гражданско-правовых сделках (купля-продажа, дарение, обмен и т.д.) ранее не участвовал и построен залогодателем, располагается в предгорной зоне.
Район расположения характеризуется развитой инфраструктурой (имеются транспортные магистрали и развязки, необходимые инженерные коммуникации), застроен преимущественно зданиями жилого и, частично, офисного назначения, имеются предприятия розничной торговли, общественного питания, службы быта, досуга и отдыха.
Район экологически чистый.
Комнаты изолированные, ванная комната и туалет раздельные, общая площадь жилого дома составляет 450,4 кв.м (жилая 154,1 кв.м), в том числе:
Цокольный этаж
1 этаж
2 этаж
Помещение
Площадь, кв.м
Помещение
Площадь, кв.м
Помещение
Площадь, кв.м
Служебная
35,7
Жилая комната
40,9
Жилая комната
13,80
Служебная
40,1
Жилая комната
13,0
Жилая комната
36,00
Служебная
19,6
Кухня
19,7
Жилая комната
18,00
Служебная
7,9
Коридор
3,3
Жилая комната
17,50
Служебная
20,2
Кладовка
19,1
Жилая комната
14,90
Служебная
12,7
Прихожая
33,9
Холл
35,90
Лестничная клетка
9,3
Баня
4,0
Санузел
5,20
Туалет
1,6
Туалет
3,70
Бассейн
15,1
Лестн. клетка
9,3
Итого
145,5
Итого
159,9
Итого
145,0
Конструктивные элементы здания в хорошем состоянии:
фундамент – железобетонный ленточный;
наружные стены – кирпич;
внутренние перегородки – бетон, кирпич;
перекрытия – железобетонные сборные;
кровля скатная – металлический профнастил (окрашен);
оконные проемы – деревянные со стеклопакетами;
дверные проемы – деревянные филенчатые, входная бронированная.
Элементы отделки – в целом в хорошем состоянии:
внутренняя поверхность стен – штукатурка, левкас, окраска;
потолки – подвесные (гипсокартон), левкас;
полы – бетонные, паркет.
Инженерное обеспечение – в хорошем состоянии:
холодное водоснабжение и водоотведение – центральное;
электроснабжение центральное;
отопление, горячее водоснабжение – автономное (котел на дизельном топливе и твердом топливе);
телефонизация – имеется;
вентиляция – в кухне и санузлах, приточно-вытяжная, самотечная;
кондиционирование – нет;
охранная сигнализация – нет;
пожарная сигнализация – нет.
Благоустройство территории:
мощение – асфальт;
ограждение – металлический забор из прутьев;
освещение – имеется;
озеленение – газон, фруктовые и хвойные деревья;
надворные постройки и сооружения – навес для автомашины.
Использование объекта:
На дату проведения оценки указанный объект используется по назначению, проживает семья залогодателя.
2. ОЦЕНКА ОБЕСПЕЧЕНИЯ
Оценка обеспечения не производилась:
доходным методом, – так как метод учитывает полезность (доходность объекта), но не учитывает его ликвидности;
затратным методом – затраты на сооружение объекта не отражают реальной рыночной стоимости.
2.1. Рыночный метод
Ввиду того, что рынок недвижимости в настоящее время достаточно сформирован, наиболее приемлемой стоимостью может считаться значение определенное рыночным методом.
В качестве сравнительных показателей, использовалась цена предложения о продаже сопоставимых домов, по данным, опубликованным в периодических специализированных изданиях («Крыша», «Из рук в руки»).
Порядок расчета следующий:
определены сопоставимые объекты, их важнейшие характеристики и стоимость реализации;
определена цена реализации за 1 кв.м общей площади объектов;
определены и последовательно внесены поправки к цене:
на условия продажи (предполагается скидка при фактическом заключении сделки купли-продажи),
на местоположение,
на конструктивные элементы,
на элементы отделки,
на инженерное обеспечение,
на земельный участок.
определена средняя цена за 1 кв.м общей площади на базе последних скорректированных цен;
на основании средней цены определена стоимость оцениваемого объекта:
Характеристики
1 объект
2 объект
3 объект
Место расположения строения
г. Алматы, Медеуский район, Коктобе-2
г. Алматы, Медеуский район, Малая Станица
г. Алматы, Медеуский район, Горный Гигант
Количество уровней
3
3
3
Общая площадь, кв.м.
350,0
320,0
700,0
Жилая площадь, кв.м.
150,0
220,0
290,0
Кухня, кв.м.
28,0
23,0
30,0
Ванная, санузел
раздельные, 2 шт.
раздельные, 2 шт.
раздельные, 3 шт.
Комнаты
изолированные
изолированные
изолированные
Материал стен
кирпич
кирпич
Кирпич
Наружная отделка
штукатурка, левкас, покраска
штукатурка байрамикс
сплитеррный кирпич
Внутренняя отделка
штукатурка, кафель, паркет
гипсокартон, кафель, паркет
штукатурка, покраска, линолеум
Инженерное обеспечение
отопление и горячее водоснабжение - центр.; холодная вода и канализация - центр.; электроснабжение, газ, телефонизация
отопление и горячее водоснабжение - автоном.; холодная вода и канализация - центр.; электроснабжение, газ, телефонизация
отопление и горячее водоснабжение - центр.; холодная вода и канализация - центр.; электроснабжение
Земельный участок, кв.м
1 200,0
900,0
1 000,0
Благоустройство территории и надворные постройки
ограждение, озеленение, мощение, бассейн
ограждение, озеленение, мощение
ограждение, озеленение, мощение
Стоимость, USD
120 000,00
90 000,00
200 000,00
Цена, USD/кв.м
342,86
281,25
285,71
Поправка на условия продажи, %
-10%
-10%
-5%
Скорректированная цена, USD/кв.м
308,57
253,13
271,43
Поправка на местоположение, %
0%
20%
10%
Скорректированная цена, USD/кв.м
308,57
303,75
298,57
Поправка на конструктивные элементы, %
0%
0%
0%
Скорректированная цена, USD/кв.м
308,57
303,75
298,57
Поправка на элементы отделки, %
0%
0%
0%
Скорректированная цена, USD/кв.м
308,57
303,75
298,57
Поправка на инженерное обеспечение, %
0%
0%
0%
Скорректированная цена, USD/кв.м
308,57
303,75
298,57
Поправка на земельный участок (размеры, благоустройство), %
5%
8%
7%
Скорректированная цена, USD/кв.м
324,00
328,05
319,47
Средняя цена, USD/кв.м
323,84
Общая площадь жилого дома, кв.м
450,40
Стоимость, USD
145 857,75
Стоимость, KZT
22 024 520,32
Таким образом, стоимость жилого дома с земельным участком определенная рыночным методом составляет 22 024 530 тенге или 145 858 долларов США по курсу Национального Банка РК на дату проведения оценки.
3. ЗАКЛЮЧЕНИЕ
3.1. Итоговая оценочная стоимость
Итоговая оценочная стоимость жилого дома с земельным участком определена на основании значения полученного рыночным методом и составляет 22 024 520 тенге или 145 858 долларов США по курсу Национального Банка РК на дату проведения оценки.
3.2. Залоговая стоимость
Залоговая стоимость жилого дома с земельным участком определена на основании итоговой оценочной стоимости с учетом понижающего коэффициента (учитывающего специфику обеспечения) в размере 0,80:
USD
KZT
Итоговая стоимость
145 857.75
22 024 520.32
Понижающий коэффициент
0.80
Залоговая стоимость
116 686.20
17 619 616.26
Залоговая стоимость жилого дома с земельным участком составляет
17 619 616 тенге или 116 686 долларов США по курсу Национального Банка РК на дату проведения оценки.
3.3. Расчет оптимальной суммы кредитования
Исходные данные
Валюта для расчета
USD
Курс Национального Банка РК, тенге
151,30
Срок до первого платежа по вознаграждению, дней
90
Годовая ставка вознаграждения
18,00%
Повышенная ставка вознаграждения (за 3 месяца)
6,75%
Ставка расходов по реализации предмета залога
3,00%
Ставка сбора с аукционных продаж
3,00%
Ставка налога на добавленную стоимость
16,00%
Расчет оптимальной суммы кредитования
Наименование статьи
Сумма
KZT
USD
Залоговая стоимость
17 619 616.26
116 686.20
Основной долг
12 668 464.65
83 897.12
Плановое вознаграждение
570 080.91
3 775.37
Вознаграждение по повышенной ставке
893 601.83
5 917.89
Расходы по реализации предмета залога
528 588.49
3 500.59
Сбор с аукционных продаж
528 588.49
3 500.59
Налог на добавленную стоимость
2 430 291.90
16 094.65
Итого
17 619 616.26
116 686.20
Оптимальная сумма кредитования
12 668 464.65
83 897.12
___________________ __________________ _____________________
должность исполнителя подпись ф.и.о.
тел._______________________
Согласовано:
_________________________ __________________ _____________________
долж. руководителя подразделения подпись ф.и.о.
Приложение 1-3
Типовое заключение по оценке квартиры
«Утверждаю»
Заключение по оценке на сумму 10 133 доллара США
залоговая стоимость
__________________________________
должность курирующего Руководителя Банка (Филиала)
____________ ____________________
подпись ф.и.о.
29 января 2002
дата месяц год
Заключение по оценке
по кредитной заявке КАЙМАКПАЕВА В.В.
Фамилия И.О.
Дата проведения оценки: 29 января 2002 года
Курс Национального банка РК: 1 доллар США = 151,30 тенге
Заемщик: Каймакпаев Владимир Владимирович
сумма займа: 10 000 долларов США
срок займа: 10 лет
ставка вознаграждения: 10%
Залогодатель: Каймакпаев Владимир Владимирович
предмет залога и место его расположения: трехкомнатная квартира, г. Алматы, Медеуский район, мкр. Самал-2, дом 12, кв. 15.
Оценка произведена на основании осмотра объекта и предоставленных документов (копии):
Договор купли-продажи от 15.09.2001;
Технический паспорт (План квартиры) от 22.10.2001;
Справка адресного стола о составе семьи от 25.01.2002.
1. ОПИСАНИЕ обеспечения
В качестве обеспечения предлагается трехкомнатная квартира, расположенная на четвертом этаже девятиэтажного здания 1986 года постройки, по адресу: г. Алматы, Медеуский район, мкр. Самал-2, дом 12 кв. 15.
Согласно предоставленной Справке о составе семьи от 25.01.2002 в указанной квартире проживают четыре человека, в том числе один ребенок, не достигший 16-тилетнего возраста.
Комнаты изолированные, ванная комната и туалет раздельные, общая площадь квартиры составляет 66,5 кв.м (жилая 45,0 кв.м), в том числе:
№
Помещение
Площадь, кв.м
1
Жилая комната
15,00
2
Жилая комната
13,00
3
Жилая комната
17,00
4
Кухня
7,10
5
Кладовка
2,10
6
Коридор
7,50
7
Ванная комната
3,20
8
Туалет
1,60
Итого
66,50
Конструктивные элементы здания в хорошем состоянии:
фундамент – железобетонный ленточный;
каркас – железобетонный монолитно-сборный;
наружные стены – кирпич;
внутренние перегородки – кирпич;
перекрытия – железобетонные сборные;
кровля скатная – мягкая (рубероид) совмещенная;
Элементы отделки квартиры – в целом в хорошем состоянии:
оконные проемы – деревянные двойные со спаренными переплетами;
дверные проемы – деревянные филенчатые, входная – металлическая.
внутренняя поверхность стен – комнаты – обои, кухня, ванная и санузел – кафель;
потолки – левкас;
полы – линолеум.
Инженерное обеспечение – в хорошем состоянии:
холодное водоснабжение и водоотведение – центральное;
электроснабжение – центральное;
отопление, горячее водоснабжение – центральное;
телефонизация – имеется;
вентиляция – в кухне и санузле, приточно-вытяжная, самотечная;
лифт – имеется;
охранная сигнализация – нет;
пожарная сигнализация – нет.
Использование объекта:
На дату проведения оценки указанная квартира используется по назначению, проживает семья залогодателя.
2. ОЦЕНКА ОБЕСПЕЧЕНИЯ
Оценка обеспечения не производилась:
доходным методом – так как метод учитывает полезность (доходность объекта), но не учитывает его ликвидности;
затратным методом – затраты на сооружение объекта не отражают реальной рыночной стоимости.
Согласно Договору купли-продажи от 15.09.2001 стоимость данной квартиры составляла 3 200 000 тенге.
2.1. Рыночный метод
Ввиду того, что рынок недвижимости в настоящее время достаточно сформирован, наиболее приемлемой стоимостью может считаться значение определенное рыночным методом.
В качестве сравнительных показателей, использовалась цена предложения о продаже сопоставимых квартир, по данным, опубликованным в периодических специализированных изданиях («Крыша», «Из рук в руки»).
Порядок расчета следующий:
определены сопоставимые объекты, их важнейшие характеристики и стоимость реализации;
определена цена реализации за 1 кв.м общей площади объектов;
определены и последовательно внесены поправки к цене:
на условия продажи (предполагается скидка при фактическом заключении сделки купли-продажи),
на местоположение,
на конструктивные элементы,
на элементы отделки,
на инженерное обеспечение,
на этаж (этажность).
определена средняя цена за 1 кв.м общей площади на базе последних скорректированных цен;
на основании средней цены определена стоимость оцениваемого объекта:
Характеристики
1 объект
2 объект
3 объект
Место расположения строения
г. Алматы, Медеуский район, мкр. Самал-2
г. Алматы, Медеуский район, мкр. Самал-2
г. Алматы, Медеуский район, мкр. Самал-2
Этаж (этажность)
1(9)
4(9)
8(8)
Общая площадь, кв.м.
65,0
63,0
70,0
Жилая площадь, кв.м.
48,0
45,0
49,0
Кухня, кв.м.
9,0
7,8
8,0
Ванная, санузел
раздельные
раздельные
раздельные
Комнаты
изолированные
изолированные
изолированные
Материал стен
кирпич
монолит
кирпич
Внутренняя отделка
штукатурка, покраска, кафель, паркет
гипсокартон, покраска, кафель, паркет
штукатурка, обои, кафель, линолеум
Инженерное обеспечение
отоплен., гор.и хол.водоснаб., канализация, эл/снаб., газ, телефон
отоплен., гор.и хол.водоснаб., канализация, эл/снаб., телефон
отоплен., гор.и хол.водоснаб., канализация, эл/снаб., газ, телефон
Стоимость, USD
19 000,00
17 000,00
22 000,00
Цена, USD/кв.м
292,31
269,84
314,29
Поправка на условия продажи, %
-10%
-10%
-10%
Скорректированная цена, USD/кв.м
263,08
242,86
282,86
Поправка на местоположение, %
0%
0%
10%
Скорректированная цена, USD/кв.м
263,08
242,86
311,14
Поправка на конструктивные элементы, %
0%
15%
0%
Скорректированная цена, USD/кв.м
263,08
279,29
311,14
Поправка на элементы отделки, %
0%
0%
0%
Скорректированная цена, USD/кв.м
263,08
279,29
311,14
Поправка на инженерное обеспечение, %
0%
0%
0%
Скорректированная цена, USD/кв.м
263,08
279,29
311,14
Поправка на этаж (этажность), %
3%
0%
3%
Скорректированная цена, USD/кв.м
270,97
279,29
320,48
Средняя цена, USD/кв.м
290,24
Общая площадь квартиры, кв.м
66,50
Стоимость, USD
19 301,23
Стоимость, KZT
2 920 275,79
Таким образом, стоимость трехкомнатной квартиры, определенная рыночным методом составляет 2 920 276 тенге или 19 301 доллар США по курсу Национального Банка РК на дату проведения оценки.
3. ЗАКЛЮЧЕНИЕ
3.1. Итоговая оценочная стоимость
Итоговая оценочная стоимость трехкомнатной квартиры определена на основании значения полученного рыночным методом и составляет 2 920 276 тенге или 19 301 доллар США по курсу Национального Банка РК на дату проведения оценки.
3.2. Залоговая стоимость
Залоговая стоимость трехкомнатной квартиры определена на основании итоговой оценочной стоимости с учетом понижающего коэффициента (учитывающего специфику обеспечения) в размере 0,70, и за вычетом доли лиц проживающих в указанной квартире и не достигших 16-тилетнего возраста:
USD
KZT
Итоговая стоимость
19 301,23
2 920 275,79
Понижающий коэффициент
0,70
Состав семьи, чел.
4
Дети до 16-ти лет, чел.
1
Доля детей
0,25
Залоговая стоимость
10 133,14
1 533 144,79
Залоговая стоимость трехкомнатной квартиры составляет 1 533 145 тенге или 10 133 доллара США по курсу Национального Банка РК на дату проведения оценки.
_________________________ __________________ _____________________
должность исполнителя подпись ф.и.о.
тел._______________________
Согласовано:
_________________________ __________________ _____________________
долж. руководителя подразделения подпись ф.и.о.
Приложение 1-4
Типовое заключение
по оценке транспортного средства
«Утверждаю»
Заключение по оценке на сумму 6 972 доллара США
залоговая стоимость
_________________________________
должность курирующего Руководителя Банка (Филиала)
____________ ____________________
подпись ф.и.о.
9 января 2002
дата месяц год
Заключение по оценке по проекту ТОО «ссс»
наименование проекта
Дата проведения оценки: 9 января 2002 года
Курс Национального банка РК: 1 доллар США = 148,55 тенге
Заемщик: ТОО «ССС»
сумма займа: 10 000 долларов США
срок займа: 1 год
ставка вознаграждения: 18%
срок до первого платежа по вознаграждению: 30 дней
Залогодатель: ТОО «ММ»
Предмет залога и его местонахождение (парковка): автомобиль Toyota Camry, г.Алматы, ул. С.Ковалевской, 31, производственная база ТОО «Марум»
Оценка произведена на основании визуального осмотра и предоставленных документов (копии):
Справка об остаточной стоимости основных средств на 5.01.2002;
Технический паспорт (Свидетельство о регистрации транспортного средства) № AD00008027 от 28.08.2001;
Информационная справка (Форма №3) № 01/1455 от 30.11.2001 об отсутствии залога на транспортное средство.
1. ОПИСАНИЕ И ОЦЕНКА ОБЕСПЕЧЕНИЯ
Согласно предоставленным документам в залог предлагается легковой автомобиль Toyota Camry, 1998 года выпуска, государственный номер А 920 KSM.
Описание основных характеристик приводится ниже в сравнительной таблице.
ОЦЕНКА ОБЕСПЕЧЕНИЯ
Оценка обеспечения не производилась:
доходным методом, – так как объект самостоятельно доход не приносит;
затратным методом – затраты на изготовление объекта не отражают его рыночной стоимости.
Остаточная стоимость предлагаемого в залог транспортного средства составляет 2 079 700 тенге.
2.1. Рыночный метод
Ввиду того, что рынок автотранспорта настоящее время достаточно сформирован, наиболее приемлемой будет стоимость определенная рыночным методом.
В качестве сравнительных показателей, использовалась цена предложений о продаже сопоставимой специализированной техники, по данным, опубликованным в периодических специализированных изданиях («Колеса», «Основные средства»):
Характеристики оцениваемого и сопоставимых объектов
Оцениваемый объект
1 объект
2 объект
3 объект
Марка, модель
Toyota Camry
Toyota Camry
Toyota Camry
Toyota Camry
Год выпуска
1998
1998
1998
1997
Гос.регистрац. номер
А 920 KSM
***
***
***
Номер двигателя
5S0759754
***
***
***
Номер кузова
SXV200221076
***
***
***
Тип и цвет кузова
Седан, белый
Седан, зеленый
Седан, белый
Седан, серый металлик
Объем и мощность двигателя, куб.см/ кВт
2200/110/н.у.
2200/*/*
2200/*/*
2200/*/*
Салон
Кожанный
***
Велюр
***
Коробка передач
Автомат, 5-ти ступ.
***
Мех., 5-ти ступ.
Автомат, 5-ти ступ.
Привод
Передний
Передний
Передний
Передний
Стеклоподъемники
С эл/приводом на передних дверях
***
***
***
Кондиционер
Имеется
Имеется
Имеется
Имеется
Люк
Имеется
***
***
***
Магнитола
Имеется
Имеется
Имеется
Имеется
Центральный замок
Имеется
Имеется
Имеется
Имеется
Подушки безопасности
4 шт., передние и боковые
***
2 шт., передние
***
Гидроусилитель руля
Имеется
Имеется
Имеется
Имеется
Наружные зеркала
С эл/приводом, обогреваемые
С эл/приводом, обогреваемые
С эл/приводом, обогреваемые
С эл/приводом, обогреваемые
Топливная система
Инжектор
***
***
***
Осветительные приборы
Функционируют
***
***
***
Система охлаждения
Водяная
Водяная
Водяная
Водяная
Тормозная система
Дисковая
Дисковая
Дисковая
Дисковая
Ходовая часть
В хорошем состоянии
***
***
***
Техосмотр
Пройден до 2002
***
***
***
Пробег (на текущую дату), км
67 647
62 000
55 000
84 000
Текущее состояние
Хорошее
хорошее
хорошее
хорошее (свежепригн.)
Цена предложения, USD
12 700,00
13 500,00
14 300,00
Порядок расчета следующий:
определены сопоставимые объекты, их важнейшие характеристики и стоимость реализации;
определены и последовательно внесены поправки к цене:
на условия продажи (предполагается скидка при фактическом заключении сделки купли-продажи),
на год выпуска,
на текущее состояние,
на пробег,
на дополнительное оборудование,
определена средняя цена на базе последних скорректированных цен;
на основании средней цены определена стоимость оцениваемого объекта:
1 объект
2 объект
3 объект
Цена предложения, USD
12 700,00
13 500,00
14 300,00
Поправка на условия продажи, %
-10%
-10%
-10%
Скорректированная цена, USD
11 430,00
12 150,00
12 870,00
Поправка на год выпуска, %
0%
0%
8%
Скорректированная цена, USD
11 430,00
12 150,00
13 899,60
Поправка на текущее состояние, %
0%
0%
-20%
Скорректированная цена, USD
11 430,00
12 150,00
11 119,68
Поправка на пробег, %
-3%
-5%
10%
Скорректированная цена, USD
11 087,10
11 542,50
12 231,65
Поправка на дополнительное оборудование, %
0%
0%
0%
Скорректированная цена, USD
11 087,10
11 542,50
12 231,65
Средняя цена, USD
11 620,42
Стоимость автомобиля Toyota Camry определенная рыночным методом составляет 1 726 213 тенге или 11 620 долларов США по курсу НБ РК на дату проведения оценки:
USD
KZT
Стоимость, определенная рыночным методом
11 620,42
1 726 212,80
3. ЗАКЛЮЧЕНИЕ
3.1 Оценочная стоимость
Оценочная стоимость техники предлагаемой в залог определена на основании значения полученного рыночным методом и составляет 1 726 213 тенге или 11 620 долларов США по курсу Национального Банка РК на дату проведения оценки.
3.2. Залоговая стоимость
Залоговая стоимость техники определена на основании итоговой оценочной стоимости с учетом понижающего коэффициента (учитывающего специфику обеспечения) в размере 0,60.
Оценочная стоимость
11 620,42
1 726 212,80
Понижающий коэффициент
0,60
Залоговая стоимость
6 972,25
1 035 727,68
Залоговая стоимость автомобиля Toyota Camry составляет 1 035 728 тенге или 6 972 доллара США по курсу Национального Банка РК на дату проведения оценки.
3.3 Расчет оптимальной суммы кредитования
Исходные данные
Валюта для расчета
USD
Курс Национального Банка РК, тенге
148,55
Срок до первого платежа по вознаграждению, дней
30
Годовая ставка вознаграждения
18,00%
Повышенная ставка вознаграждения (за 3 месяца)
6,75%
Ставка расходов по реализации предмета залога
3,00%
Ставка сбора с аукционных продаж
3,00%
Ставка налога на добавленную стоимость
16,00%
Расчет оптимальной суммы кредитования
Наименование статьи
Сумма
KZT
USD
Залоговая стоимость
1 035 727,68
6 972,25
Основной долг
766 696,30
5 161,20
Плановое вознаграждение
11 500,44
77,42
Вознаграждение по повышенной ставке
52 528,28
353,61
Расходы по реализации предмета залога
31 071,83
209,17
Сбор с аукционных продаж
31 071,83
209,17
Налог на добавленную стоимость
142 858,99
961,69
Итого
1 035 727,68
6 972,25
Оптимальная сумма кредитования
766 696,30
5 161,20
_________________________ __________________ _____________________
должность исполнителя подпись ф.и.о.
тел._______________________
Согласовано:
_________________________ __________________ _____________________
долж. руководителя подразделения подпись ф.и.о.
Примечание: Настоящее типовое заключение применимо для всех видов транспортных средств.
Нравится материал? Поддержи автора!
Ещё документы из категории экономика:
Чтобы скачать документ, порекомендуйте, пожалуйста, его своим друзьям в любой соц. сети.
После чего кнопка «СКАЧАТЬ» станет доступной!
Кнопочки находятся чуть ниже. Спасибо!
Кнопки:
Скачать документ