Определение показателей производительности труда и себестоимости единицы продукции




















































































































Практическая работа №1
1. Определите объект наблюдения, единицу наблюдения и единицу совокупности:
а) в отчетности по вводу объектов строительства, основных фондов и мощностей;
б) в отчетности по переписи поголовья скота на единоличных подворьях.
Решение:
Объект наблюдения – совокупность социально-правовых явлений и процессов, которые подлежат исследованию, или точные границы, в пределах которых будут регистрироваться статистические сведения.
Единица совокупности – это первичный элемент объекта статистического наблюдения, являющийся носителем признаков, подлежащих регистрации и основой ведущегося при обследовании счета.
Численность единиц совокупности характеризует объем и распространенность изучаемого явления.
Единица наблюдения – это та первичная ячейка, от которой должны быть получены необходимые статические сведения.
а) В отчетности по вводу объектов строительства, основных фондов и мощностей объектом наблюдения будут основные фонды, объекты строительства, станки и другие мощности. Единицей совокупности будут здания, сооружения, станки и другие основные фонды. Единицей наблюдения будут предприятия – хозяева единиц совокупности.
б) В отчетности по переписи поголовья скота на единоличных подворьях объектом наблюдения будет скот на единоличных подворьях. Единицей совокупности будут коровы, свиньи, бараны, козы и другой скот. Единицей наблюдения будут единоличные подворья – хозяева единиц совокупности.
Практическая работа №2
Имеются отчетные данные о работе 36 заводов отрасли за год (табл.2.1).
Таблица 2.1
№ завода
Произведено продукции, тыс. т.
Общая сумма затрат, млн.руб.
Среднесписочное число работников, чел.
1
900
810
6525
2
187
160
1712
3
416
400
3502
4
1105
860
7868
5
211
190
2835
6
1066
820
5632
7
610
510
3730
8
875
700
7645
9
1126
870
7779
10
136
150
1943
11
412
400
3912
12
794
610
5881
13
418
430
3805
14
275
290
3413
15
460
360
4111
16
1130
860
7755
17
718
650
5782
18
220
270
2815
19
559
510
3725
20
710
580
5680
21
331
380
2947
22
928
780
7993
23
318
330
3402
24
1270
980
7985
25
696
600
3680
26
1169
890
6335
27
968
790
8027
28
170
160
2406
29
566
520
5069
30
471
460
3703
31
460
470
4209
32
337
380
3530
33
448
450
4650
34
385
400
3198
35
251
290
2925
36
815
620
5902
1. На основе данных табл. 2.1:
а) вычислить показатели производительности труда и себестоимости единицы продукции (1 тонны);
б) произвести группировку предприятий по производительности труда, разделив их на 6 групп с равными интервалами. Составить таблицы по группам предприятий и сводную таблицу группировки. В сводной таблице каждую группу охарактеризовать:
- числом предприятий;
- суммарной численностью работников, общими объемами производства и суммарными затратами;
в) построить структурную таблицу, где показать структуру числа предприятий по числу, суммарным затратам, объемам производства и численности рабочих;
г) построить аналитическую таблицу, где показать взаимосвязь показателей;
д) по данным распределения предприятий построить график ряда распределения, вычислить среднее значение группировочного признака и его коэффициент вариации, указать моду и медиану ряда распределения.
Решение:
Производительность труда (ω) равна отношению произведенного объема продукции (Q) к среднесписочному числу работников (Т)
ω = Q / T
Себестоимость единицы продукции (С) равна отношению общей суммы затрат на производство (Z) к среднесписочному числу работников (Т)
С = Z / T
Рассчитаем производительность и себестоимость одной тонны продукции для каждого завода в отдельности, результаты приведем в таблице 2.2
Найдем также суммарные показатели произведенного объема продукции (Q), общих затрат на производство (Z) и численности работников (Т).
Показатели производительности труда и себестоимости единицы продукции в целом по всем заводам рассчитываются как отношение суммарных показателей.
= Q / T ; = Z / T
Приведем суммарные показатели в таблице 2.2.
Таблица 2.2
№ п/п
Произведено продукции, тыс.т.
Общая сумма затрат, млн.руб.
Среднесписочное число работников, чел.
Производительность труда, т./чел.
Себестоимость единицы продукции,
1
900
810
6525
137,9
900,00
2
187
160
1712
109,2
855,61
3
416
400
3502
118,8
961,54
4
1105
860
7868
140,4
778,28
5
211
190
2835
74,4
900,47
6
1066
820
5632
189,3
769,23
7
610
510
3730
163,5
836,07
8
875
700
7645
114,5
800,00
9
1126
870
7779
144,7
772,65
10
136
150
1943
70,0
1102,94
11
412
400
3912
105,3
970,87
12
794
610
5881
135,0
768,26
13
418
430
3805
109,9
1028,71
14
275
290
3413
80,6
1054,55
15
460
360
4111
111,9
782,61
16
1130
860
7755
145,7
761,06
17
718
650
5782
124,2
905,29
18
220
270
2815
78,2
1227,27
19
559
510
3725
150,1
912,34
20
710
580
5680
125,0
816,90
21
331
380
2947
112,3
1148,04
22
928
780
7993
116,1
840,52
23
318
330
3402
93,5
1037,74
24
1270
980
7985
159,0
771,65
25
696
600
3680
189,1
862,07
26
1169
890
6335
184,5
761,33
27
968
790
8027
120,6
816,12
28
170
160
2406
70,7
941,18
29
566
520
5069
111,7
918,73
30
471
460
3703
127,2
976,65
31
460
470
4209
109,3
1021,74
32
337
380
3530
95,5
1127,60
33
448
450
4650
96,3
1004,46
34
385
400
3198
120,4
1038,96
35
251
290
2925
85,8
1155,38
36
815
620
5902
138,1
760,74
Итого:
21911
18930
172011
127,4
863,95
При группировке с равными интервалами для расчета длины одного интервала применяется формула:
,
где h – длина одного интервала;
xmax – максимальное значение группировочного признака;
xmin – минимальное значение группировочного признака;
Найдем длину интервала:
т / чел.
Найдем, в какую группу попадает каждый завод и составим таблицы по группам:
Таблица 2.3 Данные заводов 1-ой группы
№ п/п
Произведено продукции, тыс.т.
Общая сумма затрат, млн.руб.
Среднесписочное число работников, чел.
Производительность труда, т./чел.
Себестоимость единицы продукции, руб.
5
211
190
2835
74,4
900,47
10
136
150
1943
70
1102,94
14
275
290
3413
80,6
1054,55
18
220
270
2815
78,2
1227,27
28
170
160
2406
70,7
941,18
35
251
290
2925
85,8
1155,38
Итого:
1263
1350
16337
77,3
1068,88
Таблица 2.4 Данные заводов 2-ой группы
№ п/п
Произведено продукции, тыс.т.
Общая сумма затрат, млн.руб.
Среднесписочное число работников, чел.
Производительность труда, т./чел.
Себестоимость единицы продукции, руб.
2
187
160
1712
109,2
855,61
11
412
400
3912
105,3
970,87
23
318
330
3402
93,5
1037,74
31
460
470
4209
109,3
1021,74
32
337
380
3530
95,5
1127,6
33
448
450
4650
96,3
1004,46
Итого:
2162
2190
21415
101,0
1012,95
Таблица 2.5 Данные заводов 3-ей группы
№ п/п
Произведено продукции, тыс.т.
Общая сумма затрат, млн.руб.
Среднесписочное число работников, чел.
Производительность труда, т./чел.
Себестоимость единицы продукции, руб.
3
416
400
3502
118,8
961,54
8
875
700
7645
114,5
800
13
418
430
3805
109,9
1028,71
15
460
360
4111
111,9
782,61
17
718
650
5782
124,2
905,29
20
710
580
5680
125
816,9
21
331
380
2947
112,3
1148,04
22
928
780
7993
116,1
840,52
27
968
790
8027
120,6
816,12
29
566
520
5069
111,7
918,73
30
471
460
3703
127,2
976,65
34
385
400
3198
120,4
1038,96
Итого:
7246
6450
61462
117,9
890,15
Таблица 2.6 Данные заводов 4-ой группы
№ п/п
Произведено продукции, тыс.т.
Общая сумма затрат, млн.руб.
Среднесписочное число работников, чел.
Производительность труда, т./чел.
Себестоимость единицы продукции, руб.
1
900
810
6525
137,9
900
4
1105
860
7868
140,4
778,28
9
1126
870
7779
144,7
772,65
12
794
610
5881
135
768,26
16
1130
860
7755
145,7
761,06
36
815
620
5902
138,1
760,74
Итого:
5870
4630
41710
140,7
788,76
Таблица 2.7 Данные заводов 5-ой группы
№ п/п
Произведено продукции, тыс.т.
Общая сумма затрат, млн.руб.
Среднесписочное число работников, чел.
Производительность труда, т./чел.
Себестоимость единицы продукции, руб.
7
610
510
3730
163,5
836,07
19
559
510
3725
150,1
912,34
24
1270
980
7985
159,0
771,65
Итого:
2439
2000
15440
158,0
820,01
Таблица 2.8 Данные заводов 6-ой группы
№ п/п
Произведено продукции, тыс.т.
Общая сумма затрат, млн.руб.
Среднесписочное число работников, чел.
Производительность труда, т./чел.
Себестоимость единицы продукции, руб.
6
1066
820
5632
189,3
769,23
25
696
600
3680
189,1
862,07
26
1169
890
6335
184,5
761,33
Итого:
2931
2310
15647
187,3
788,13
Таблица 2.9 Сводная таблица группировки
№ группы
Группы заводов по производительности труда (интервалы), т/чел.
Число заводов
Произведено продукции, тыс.т.
Общая сумма затрат, млн.руб.
Среднесписочное число работников, чел.
1
70
-
89,9
6
1263
1350
16337
2
89,9
-
109,8
6
2162
2190
21415
3
109,8
-
129,7
12
7246
6450
61462
4
129,7
-
149,6
6
5870
4630
41710
5
149,6
-
169,5
3
2439
2000
15440
6
169,5
-
189,4
3
2931
2310
15647
Итого
36
21911
18930
172011
Наибольшие объемы произведенной продукции, общую сумму затрат и суммарную численность работников имеет группа заводов №3.
Определим структуру объема производства, общей суммы затрат и численности работающих по группам. Результаты расчета представим в таблице.
Таблица 2.10 Структурная таблица.
№
Группы заводов по производительности труда
Число заводов
Произведено продукции
Общая сумма затрат
Среднесписочное число работников
шт.
% к итогу
тыс.т.
% к итогу
млн. руб.
% к итогу
чел.
% к итогу
1
70
-
89,9
6
16,7
1263
5,8
1350
7,1
16337
9,5
2
89,9
-
109,8
6
16,7
2162
9,9
2190
11,6
21415
12,4
3
109,8
-
129,7
12
33,3
7246
33,1
6450
34,1
61462
35,7
4
129,7
-
149,6
6
16,7
5870
26,8
4630
24,5
41710
24,2
5
149,6
-
169,5
3
8,3
2439
11,1
2000
10,6
15440
9,0
6
169,5
-
189,4
3
8,3
2931
13,4
2310
12,2
15647
9,1
Итого
36
100,0
21911
100,0
18930
100,0
172011
100,0
В аналитическую таблицу сведем средние показатели по численности работников, общей сумме затрат и выпуску продукции, а также показатели производительности труда и средней стоимости тонны продукции.
Таблица 2.11 Аналитическая таблица
№ группы
Группы заводов по производительности труда
Средний объем производства продукции, т
Общая сумма затрат в среднем на один завод,.
Средняя численность работников,
Производительность труда, т / чел.
Средняя стоимость единицы продукции,
1
70
-
89,9
210,50
225,00
2722,83
77,3
1068,88
2
89,9
-
109,8
360,33
365,00
3569,17
101,0
1012,95
3
109,8
-
129,7
603,83
537,50
5121,83
117,9
890,15
4
129,7
-
149,6
978,33
771,67
6951,67
140,7
788,76
5
149,6
-
169,5
813,00
666,67
5146,67
158,0
820,01
6
169,5
-
189,4
977,00
770,00
5215,67
187,3
788,13
Итого
608,64
525,83
4778,08
127,4
863,95
По аналитической таблице видим, что с ростом средней производительности труда возрастают средний объем производства и общие затраты. Это говорит о наличии прямой связи между показателями. Средняя себестоимость единицы продукции имеет обратную связь со средней производительностью труда.
Графиком интервального распределения является гистограмма. Построим график распределения предприятий:
Рис. 2.1 Гистограмма распределения заводов по производительности труда.
Найдем среднее значение признака по формуле для интервального ряда:
,
где – среднее значение признака;
xi – значение признака на интервале (середина интервала);
mi – частота повторения признака на интервале
Составим вспомогательную таблицу:
Таблица 2.12 Расчетная таблица для расчета среднего
№ группы
Группы заводов по производительности труда (интервалы) т/чел.
Число заводов, ni
Середина интервала, xi
ni * xi
1
70
-
89,9
6
79,95
479,7
2
89,9
-
109,8
6
99,85
599,1
3
109,8
-
129,7
12
119,75
1437
4
129,7
-
149,6
6
139,65
837,9
5
149,6
-
169,5
3
159,55
478,65
6
169,5
-
189,4
3
179,45
538,35
Итого
36
4370,7
= 4370,7 / 36 = 121,41 т / чел.
Найдем дисперсию признака по формуле:
,
где – дисперсия признака.
Составим вспомогательную таблицу:
Таблица 2.13 Расчетная таблица для расчета дисперсии
№ группы
Группы заводов по производительности труда (интервалы) т/чел.
Число заводов, ni
Середина интервала, xi
(хi – )
(хi – )2
ni * (хi – )2
1
70
-
89,9
6
79,95
– 41,46
1718,932
10313,59
2
89,9
-
109,8
6
99,85
– 21,56
464,8336
2789,002
3
109,8
-
129,7
12
119,75
– 1,66
2,7556
33,0672
4
129,7
-
149,6
6
139,65
18,24
332,6976
1996,186
5
149,6
-
169,5
3
159,55
38,14
1454,66
4363,979
6
169,5
-
189,4
3
179,45
58,04
3368,642
10105,92
Итого
36
29601,75
= 29601,75 / 36 = 822,27 (т / чел.)2
Среднее квадратичное отношение т / чел.
Коэффициент вариации .
Коэффициент вариации меньше 33% значит выборка однородная.
Мода – это наиболее часто повторяющееся значение признака, для группировки мода находиться по формуле :
гдех0 – начальное значение модального интервала;
fMo , fMo-1 , fMo+1 – частота появления признака соответственно в интервале модальном, предшествующем модальному и следующим за модальным;
h – длина интервала.
т / чел.
Найдем медиану выборки по формуле для интервального ряда :
гдех0 – начальное значение медианного интервала;
f’Mе-1 – накопленная частота в интервале предшествующем медианному
fMе – частота появления признака в медианном интервале;
h – длина интервала.
Найдем медиану выборки
т / чел.
Практическая работа №3
1. Имеются следующие данные о структуре и динамике производства на заводе стройдеталей в табл. 3.1.
Таблица 3.1
Условные обозначения видов продукции
Удельный вес видов продукции (%) в прошлом году
Темпы роста объемов производства, %
А
15,8
102,6
Б
10,2
110,2
В
25,0
108,7
Г
40,9
105,0
Д
8,1
118,0
Общий объем производства
100,0
106,6
Определите структуру производства в плановом году.
2. Фактическое и требуемое распределение рабочих по тарифным разрядам представлено в табл. 3.2
Таблица 3.2
Тарифный разряд
1
2
3
4
5
6
Итого
Фактическая численность, чел.
10
15
25
40
17
8
115
Требуемая структура, %
2
8
25
30
25
10
100
Постройте график ряда распределения фактически работающих 115 рабочих и сравните его с требуемой по составу работ структурой квалификаций.
Как называется этот график ряда распределения?
3. Совокупность состоит из 2 частей. Известно, что одна часть составляет от другой 50%. Рассчитайте структуру совокупности.
Решение:
1) Определим средневзвешенный по элементам структуры индекс роста продукции.
В этом случае весами будут выступать удельные веса видов продукции (выраженные в долях):
I = (i * dпр / 100)
Тогда удельный вес одной группы продукции можно найти как отношение произведения индивидуального индекса и удельного веса к средневзвешенному индексу:
dпл = (i * dпр) / I
Найдем удельные веса продукции в плановом году. Результаты расчетов представим в таблице 3.3
Таблица 3.3 Расчет структуры продукции в плановом периоде
Условные обозначения видов продукции
Удельный вес видов продукции (%) в прошлом году (dпр)
Темпы роста объемов производства, % (i)
i * dпр / 100
Удельный вес видов продукции (%) в плановом году (dпл)
А
15,8
102,6
16,21
15,13
Б
10,2
110,2
11,24
10,49
В
25
108,7
27,18
25,37
Г
40,9
105
42,95
40,09
Д
8,1
118
9,56
8,92
Общий объем производства
100
106,6
107,14
100
2) Найдем удельный вес i-го тарифного разряда (di) как отношение численности рабочих данного разряда (ni) к общей численности рабочих (n):
di = ni / n * 100%
Например, для перового разряда:
d1 = 10 / 115 * 100 = 8,7 %
Рассчитаем фактическую структуру распределения рабочих по тарифным разрядам.
Таблица 3.4
-
Тарифный разряд
1
2
3
4
5
6
Итого
Фактическая численность, чел.
10
15
25
40
17
8
115
Фактическая структура, %
8,7
13,04
21,74
34,78
14,78
6,96
100
Требуемая структура, %
2
8
25
30
25
10
100
Построенный график называется сравнительной диаграммой.
По диаграмме видим, что фактическая структура рабочих перераспределена в сторону низких разрядов по сравнению с требуемой структурой. На лицо нехватка высококвалифицированных кадров.
3) Совокупность состоит из 2 частей. Известно, что одна часть составляет от другой 50%. Рассчитайте структуру совокупности.
Найдем долю более крупной части в общей совокупности:
d1 = 100 / (100 + 50) * 100% = 66,67 % или 2/3
Найдем долю меньшей части в общей совокупности:
d2 = 50 / (100 + 50) * 100% = 33,33 % или 1/3
Практическая работа №4
Таблица 4.1
-
Интервал по зарплате, руб.
Число рабочих в группе, чел.
180-200
10
200-400
30
400-600
50
600-800
60
800-1000
145
1000-1200
110
1200-1400
80
1400-1600
15
Итого:
500
Рассчитайте методом моментов среднюю зарплату рабочих.
Определите модальное значение средней зарплаты.
Найдите медиану ряда распределения.
Решение:
Математическое ожидание распределения находиться как начальный момент первого порядка:
Для интервального ряда в качестве xi будут выступать середины интервалов.
Mx = (190 * 10 + 300 * 30 + 500 * 50 + 700 * 60 + 900 * 145 + 1100 * 110 + 1300 * 80 + 1500 * 15) / 500 = 455900 / 500 = 911,8 руб.
Мода – это наиболее часто повторяющееся значение признака, для интервального ряда мода находиться по формуле :
гдех0 – начальное значение модального интервала;
fMo , fMo-1 , fMo+1 – частота появления признака соответственно в интервале модальном, предшествующем модальному и следующим за модальным;
h – длина интервала.
Модальным является интервал с наибольшим числом рабочих (800 – 1000 руб.)
руб.
Медиана выборки находиться по формуле для интервального ряда :
гдех0 – начальное значение медианного интервала;
f’Mе-1 – накопленная частота в интервале предшествующем медианному
fMе – частота появления признака в медианном интервале;
h – длина интервала.
Медианным интервалом является интервал в котором накопленная частота превышает половину выборки. Для приведенного в табл. 4.1 ряда такой интервал 800 – 1000 руб.
Найдем медиану выборки
руб.
Практическая работа №5
В соответствии с макетом по данным табл. 2.1 постройте группировку предприятий по признакам: Х – производительность труда, Y – себестоимость единицы продукции.
Вычислите общую, внутригрупповые и межгрупповую дисперсии фондовооруженности труда; среднюю из внутригрупповых. Проверьте сложением дисперсий правильность Ваших расчетов.
Вычислите коэффициент детерминации.
Сделайте краткие выводы.
Решение:
Разделим выборку на 5 классов. Величины интервалов определим из формул:
, .
, .
Составим корреляционную таблицу
Таблица 5.1
X
Y
Итого
761
854
854
947
947
1041
1041
1134
1134
1227
70,0
93,9
0
2
1
2
2
7
79,03
93,9
117,7
3
2
4
1
1
11
108,36
117,7
141,6
5
2
3
0
0
10
128,76
141,6
165,4
4
1
0
0
0
5
152,60
165,4
189,3
2
1
0
0
0
3
187,63
Итого
14
8
8
3
3
36
-
788,24
899,46
1005,08
1095,03
1176,90
-
-
Значения в столбце и строке задают последовательность точек, которая иллюстрирует зависимость среднего значения результативного признака (у) от факторного признака (х) – эмпирическую линию регрессии.
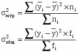
Общая и межгрупповая дисперсии находятся по формулам :
где - межгрупповая дисперсия;
- общая дисперсия.
- групповые средние;
- общая средняя;
ni - частота i-ой группы;
yi – i-й вариант признака;
fi – частота i-го варианта.
Общая дисперсия показывает вариацию результативного признака под воздействием всех факторов. Межгрупповая дисперсия показывает вариацию результативного признака, обусловленную вариацией группировочного. Средняя из внутригрупповых показывает вариацию результативного признака под воздействием факторов неучтенных при группировке. Средняя из внутригрупповых находиться по формуле средневзвешенной.
Все три вида дисперсий связаны правилом сложения трех дисперсий
= +
Таблица 5.2 Вспомогательные расчеты для расчета межгрупповой дисперсии
Группа по Х
ni
i
i –
(i – )2
ni · (i – )2
1
7
1059,93
140,83
19834,21
138839,45
2
11
954,44
35,35
1249,32
13742,47
3
10
872,27
-46,82
2192,57
21925,70
4
5
810,75
-108,34
11738,61
58693,07
5
3
797,54
-121,56
14775,75
44327,26
Итого
36
919,10
277527,95
= 277527,95 / 36 = 7709,11
Таблица 5.3 Вспомогательные расчеты для расчета общей дисперсии
-
Группа по Y
ni
yi
yi –
(yi – )2
ni · (yi – )2
1
14
807,39
-111,7
12478,2
174694,9
2
8
900,70
-18,4
338,6
2708,4
3
8
994,01
74,9
5610,9
44887,4
4
3
1087,31
168,2
28295,3
84885,9
5
3
1180,62
261,5
68391,7
205175,2
Итого
36
919,10
512351,8
= 512351,8 / 36 = 17820,82
Найдем внутригрупповую дисперсию по первой группе
Таблица 5.4 Расчетная таблица для расчета дисперсии по первой группе
-
№ п/п
y
y –
(y – )2
1
900,47
-159,46
25428,40
2
1102,94
43,01
1849,61
3
1054,55
-5,38
28,98
4
1227,27
167,34
28001,72
5
1037,74
-22,19
492,52
6
941,18
-118,75
14102,24
7
1155,38
95,45
9110,16
Сумма
7419,53
0
79013,63
= 79013,63 / 7 = 11287,66
Найдем внутригрупповую дисперсию по второй группе
Таблица 5.5 Расчетная таблица для расчета дисперсии по второй группе
-
№ п/п
y
y –
(y – )2
1
855,61
-98,83
9768,27
2
800,00
-154,44
23853,12
3
970,87
16,43
269,80
4
1028,71
74,27
5515,36
5
782,61
-171,83
29527,11
6
1148,04
193,60
37479,20
7
840,52
-113,92
12978,80
8
918,73
-35,71
1275,53
9
1021,74
67,30
4528,68
10
1127,60
173,16
29982,81
11
1004,46
50,02
2501,55
Сумма
10498,89
0
157680,22
= 157680,22 / 11 = 14334,57
Найдем внутригрупповую дисперсию по третьей группе
Таблица 5.6 Расчетная таблица для расчета дисперсии по третьей группе
№ п/п
y
y –
(y – )2
1
900,00
27,73
768,73
2
961,54
89,27
7968,42
3
778,28
-93,99
8834,87
4
768,26
-104,01
10818,91
5
905,29
33,02
1090,06
6
816,90
-55,37
3066,28
7
816,12
-56,15
3153,27
8
976,65
104,38
10894,35
9
1038,96
166,69
27784,22
10
760,74
-111,53
12439,83
Сумма
8722,74
0
86818,95
= 86818,95 / 10 = 8681,89
Найдем внутригрупповую дисперсию по четвертой группе
Таблица 5.7 Расчетная таблица для расчета дисперсии по четвертой группе
№ п/п
y
y –
(y – )2
1
836,07
25,32
640,90
2
772,65
-38,10
1451,91
3
761,06
-49,69
2469,49
4
912,34
101,59
10319,72
5
771,65
-39,10
1529,12
Сумма
4053,77
0
16411,15
= 16411,15 / 5 = 3282,23
Найдем внутригрупповую дисперсию по четвертой группе
Таблица 5.8 Расчетная таблица для расчета дисперсии по четвертой группе
№ п/п
y
y –
(y – )2
1
769,23
-28,31
801,64
2
862,07
64,53
4163,69
3
761,33
-36,21
1311,41
Сумма
2392,63
0
6276,74
= 6276,74 / 3 = 2092,25
Найдем среднюю из внутригрупповых :
= (11287,66 * 7 + 14334,57 * 11 + 8681,89 * 10 + 3282,23 * 5 + 2092,25 * 3) / 36 =346200,68 / 36 = 9616,69
Проверим правило сложения дисперсий
+ =
7709,11 + 9616,69 = 17325,8
= 17820,82
Т.е. правило сложения дисперсий выполняется.
Эмпирический коэффициент детерминации равен :
= 7709,11 / 17820,82 = 0,433
Т.е. 43,3 % вариации результативного признака объясняется вариацией факторного признака. Связь между показателями средняя.
Практическая работа №6
На основе данных табл. 2.1 и расчетов себестоимости (С) и производительности труда (ω) выполните следующие операции по расчету линии регрессии :
- нанесите на график корреляционного поля данные по 36 заводам;
- сделайте вывод о возможной форме связи между себестоимостью продукции и производительностью труда;
- для выбранной формулы с помощью метода наименьших квадратов рассчитайте величины коэффициентов;
- нанесите на график корреляционного поля полученную теоретическую линию регрессии;
- рассчитайте для данной формы связи необходимые показатели, характеризующие тесноту связи (корреляционное отношение или коэффициент корреляции) между себестоимостью продукции и производительностью труда.
Решение:
Построим корреляционное поле
По графику можно предположить наличие обратной связи между производительностью труда (х) и себестоимостью единицы продукции (у).
Рассчитаем параметры уравнения линейной парной регрессии.
Для расчета параметров a и b уравнения линейной регрессии у = а + bx решим систему нормальных уравнений относительно а и b :
По исходным данным рассчитываем х , у, ух , х2 , у2.
Таблица 6.1
-
№ п/п
y
x
yx
x2
y2
1
900
137,9
124110,00
19016,41
810000,00
2
855,61
109,2
93432,61
11924,64
732068,47
3
961,54
118,8
114230,95
14113,44
924559,17
4
778,28
140,4
109270,51
19712,16
605719,76
5
900,47
74,4
66994,97
5535,36
810846,22
6
769,23
189,3
145615,24
35834,49
591714,79
7
836,07
163,5
136697,45
26732,25
699013,04
8
800
114,5
91600,00
13110,25
640000,00
9
772,65
144,7
111802,46
20938,09
596988,02
10
1102,94
70
77205,80
4900,00
1216476,64
11
970,87
105,3
102232,61
11088,09
942588,56
12
768,26
135
103715,10
18225,00
590223,43
13
1028,71
109,9
113055,23
12078,01
1058244,26
14
1054,55
80,6
84996,73
6496,36
1112075,70
15
782,61
111,9
87574,06
12521,61
612478,41
16
761,06
145,7
110886,44
21228,49
579212,32
17
905,29
124,2
112437,02
15425,64
819549,98
18
1227,27
78,2
95972,51
6115,24
1506191,65
19
912,34
150,1
136942,23
22530,01
832364,28
20
816,9
125
102112,50
15625,00
667325,61
21
1148,04
112,3
128924,89
12611,29
1317995,84
22
840,52
116,1
97584,37
13479,21
706473,87
23
1037,74
93,5
97028,69
8742,25
1076904,31
24
771,65
159
122692,35
25281,00
595443,72
25
862,07
189,1
163017,44
35758,81
743164,68
26
761,33
184,5
140465,39
34040,25
579623,37
27
816,12
120,6
98424,07
14544,36
666051,85
28
941,18
70,7
66541,43
4998,49
885819,79
29
918,73
111,7
102622,14
12476,89
844064,81
30
976,65
127,2
124229,88
16179,84
953845,22
31
1021,74
109,3
111676,18
11946,49
1043952,63
32
1127,6
95,5
107685,80
9120,25
1271481,76
33
1004,46
96,3
96729,50
9273,69
1008939,89
34
1038,96
120,4
125090,78
14496,16
1079437,88
35
1155,38
85,8
99131,60
7361,64
1334902,94
36
760,74
138,1
105058,19
19071,61
578725,35
Итого
33087,56
4358,7
3907787,13
562532,77
31034468,27
Среднее
919,10
121,08
108549,6
15625,9
862068,6
Обозначение среднего
Найдем дисперсию переменных:
= 15625,9 – 121,082 = 966,75
= 862068,6 – 919,102 = 17325,8
Найдем параметры a и b уравнения линейной регрессии :
– 2,8
919,10 + 2,8 · 121,08 = 1261,03
Уравнение регрессии :
= 1261,03 – 2,8 · х
С увеличением средней производительности труда на 1 т / чел. себестоимость одной тонны уменьшается на 2,8 руб.
Нанесем линию регрессии на график корреляционного поля.
Рассчитаем линейный коэффициент парной корреляции:
– 0,667
Т.к. коэффициент близок к – 0,7, то связь средняя, близкая к сильной, обратная.
Практическая работа №7
Изменение объемов товарооборота и цен в 1985-1990 гг. приведено табл.7.1
Таблица 7.1
Годы
1985
1986
1987
1988
1989
1990
Изменение объемов товарооборота, млн. руб.
700
720
750
780
800
840
Цепной индекс цен
—
1,02
1,03
1,05
1,06
1,08
Рассчитайте:
а) показатели динамики объема товарооборота за эти годы (абсолютные приросты, темпы роста и прироста, их средние величины);
б) постройте график, определите вид функции и проведите операцию аналитического выравнивания. Теоретическую линию регрессии нанесите на график.
Решение:
Рассчитаем показатели динамики по следующим формулам:
Рассчитаем показатели динамики по следующим формулам:
Абсолютный прирост базисный:
i баз = Yi – Y1 ,
где Y1 – размер показателя в первом году, Yi – размер показателя в i-ом году. Абсолютный прирост цепной:
i цеп = Yi – Yi-1 ,
где Yi–1 – размер показателя в предшествующий i-му год.
Темп роста базисный:
Тр баз = (Yi / Y1)·100 .
Темп роста цепной:
Тр цеп = (Yi / Yi–1)·100 .
Темп прироста базисный:
Тпр баз = Тр баз – 100 .
Темп прироста цепной:
Тпр цеп = Тр цеп – 100 .
Рассчитанные показатели сведем в таблицу 7.2
Таблица 7.2 Показатели динамики объема товарооборота
Квартал
Объемы товарооборота, млн. руб.
Абсолютный прирост
Темп роста, %
Темп прироста, %
базисный
цепной
базисный
цепной
базисный
цепной
1985
700
0
-
100,0
-
0,0
-
1986
720
20
20
102,9
102,9
2,9
2,9
1987
750
50
30
107,1
104,2
7,1
4,2
1988
780
80
30
111,4
104,0
11,4
4,0
1989
800
100
20
114,3
102,6
14,3
2,6
1990
840
140
40
120,0
105,0
20,0
5,0
Нанесем данные на график динамики :
Рис. 7.1. Исходные данные.
По графику динамики можно предположить линейную зависимость между показателями.
Для определения основной тенденции ряда произведем выравнивание ряда динамики с помощью уравнения прямой:
Yi теор = а0 + а1ti ,
где Yi теор – рассчитанное выровненное значение производства электроэнергии, после подставления в уравнение значения ti . Для нахождения а0 и а1 решим следующую систему.
Для решения системы составим таблицу:
Таблица 7.3
Годы
Объемы товарооборота, млн. руб.
t
Y * t
t2
f(t)
1985
700
-5
-3500
25
695,71
1986
720
-3
-2160
9
723,43
1987
750
-1
-750
1
751,14
1988
780
1
780
1
778,86
1989
800
3
2400
9
806,57
1990
840
5
4200
25
834,29
Итого
4590
0
970
70
4590
а0 = 4590 / 6 = 765 и а1 = 970 / 70 = 13,857 .
Таким образом, f(t) = 765 + 13,857·t , для t= –5, –3, …, +3, +5, или f(t) = 668 + 27,714·t , для t = 1 , 2 , 3 , 4 , 5 , 6. а1 = 27,714 – показатель силы связи, т.е. за период 6 лет происходило увеличение товарооборота на 27,714 млн. руб. ежегодно. Изобразим исходный и выровненный ряды
Рис. 7.2. Исходный и выровненный ряды
По графику видно, что линейная функция очень точно совпадает с исходными данными.
Практическая работа №8
Имеются следующие данные о продаже картофеля на рынках города за 2 квартала (табл. 8.1).
Таблица 8.1
Рынки
2-й квартал
4-й квартал
Количество, ц
Модальная цена, руб. за 1 кг
Количество, ц
Модальная цена, руб. за 1 кг
1
120,0
7,0
180,0
8,5
2
140,0
8,0
160,0
8,1
3
140,0
9,0
180,0
8,5
На основе приведенных данных определите:
а) индекс средних цен;
б) индекс цен в постоянной структуре продаж;
в) индекс влияния на среднюю цену структурных изменений (изменения удельного веса рынков) в продаже картофеля;
г) изменение средних цен (в абсолютных величинах) в целом и за счет влияния отдельных факторов.
Решение:
Индексом переменного состава в статистике называют отношение двух средних величин. Найдем индекс переменного состава по следующей формуле:
,
где – индекс переменного состава;
– средняя цена картофеля в отчетном периоде;
– средняя цена картофеля в базисном периоде;
p1 – цена на картофель в отчетном периоде;
p0 – цена на картофель в базисном периоде;
q1 – физический объем проданного картофеля в отчетном периоде;
q0 – физический объем проданного картофеля в базисном периоде.
.
Индекс цен постоянного состава найдем как общий индекс цен по формуле:
,
где Ip – индекс цен.
Итак,
.
Индекс влияния структурных сдвигов находится по формуле :
.
Взаимосвязь индексов выражается формулой:
= Ip · Iвл.стр.сдв. .
Изменение средней себестоимости в целом :
Δ = –
Δ = 8,377 – 8,05 = 0,327 руб. за 1 кг
Изменение средней цены под влиянием изменения цены по разным рынкам:
Δ(Δp) = ·Ip –
Δ(Δp) = 8,05 * 1,047 – 8,05 = 0,378 руб. за 1 кг
Изменение средней цены под влиянием изменения структуры продаж :
Δ(стр.) = – ·Ip
Δ(стр.) = 8,377 – 8,05 * 1,047 = – 0,051 руб. за 1 кг
1
Нравится материал? Поддержи автора!
Ещё документы из категории экономика:
Чтобы скачать документ, порекомендуйте, пожалуйста, его своим друзьям в любой соц. сети.
После чего кнопка «СКАЧАТЬ» станет доступной!
Кнопочки находятся чуть ниже. Спасибо!
Кнопки:
Скачать документ