Прибыль и ее распределение. Расчет тарифов
1










































Содержание
1. Прибыль как экономическая категория. Понятие прибыли. Прибыль и ее использование предприятием. Распределение прибыли. 2
2. Основные недостатки действующих железнодорожных тарифов и основное направление совершенствования тарифов. Расчет тарифов с учетом основных направлений совершенствования тарифов. 7
3. Принципы взаимоотношения субъектов строительного рынка. Состав цен на строительную продукцию. 10
Задача 1 17
Задача 2 19
Задача 3 21
Задача 4 22
Задача 5 26
Задача 6 28
Задача 7 31
Список литературы 38
1. Прибыль как экономическая категория. Понятие прибыли. Прибыль и ее использование предприятием. Распределение прибыли.
Прибыль занимает одно из центральных мест в общей системе стоимостных показателей и рычагов управления экономикой. Она является мерилом оценки деятельности предприятия, источником его развития, самофинансирования, материального поощрения труда работников. Таким образом, прибыль - это основной многозначный оценочный показатель результатов работы предприятия в условиях становления и развития рыночного механизма хозяйствования.
Прибыль как экономическая категория отражает чистый доход, созданный в сфере материального производства и другой предпринимательской деятельности. В процессе кругооборота фондов часто стоимость продукции обособляется в форме себестоимости и чистого дохода. Себестоимость общественного продукта показывает всю совокупность затрат живого и овеществленного труда и находит выражение в стоимости продукции. Себестоимость выражает сумму расходов на производство продукции и ее реализацию, т.е. показывает, во что обходится предприятию производство и реализация продукции.
Чистый доход - это специфическая форма, которую принимает продукт для общества в условиях существования товарно-денежных отношений. Но иногда чистый доход и продукт для общества, создаваемый в конкретной отрасли или на предприятии, количественно могут не совпадать. Это связано с отклонением цен от стоимости. Чистый доход общества создается работниками материального производства. Он воплощает в себе прибавочный труд, отдаваемый трудящимся для удовлетворения общественных потребностей, но также воплощает в себе часть необходимого труда, заключенного в общественных фондах потребления. На уровне предприятия чистый доход принимает форму прибыли.1
Прибыль предприятия есть результат его работы, который в стоимостной форме характеризует экономический уровень его хозяйствования. Прибылью называют ту часть чистого дохода общества, которая создается и реализуется на данном предприятии, непосредственно зависит от его производственной деятельности. Прибыль предприятия предназначается как на его нужды, так и поступает государству для общенародных целей. Прибыль предприятия используется на увеличение его оборотных средств, финансирование капитальных вложений, на улучшение материального и культурного уровня работников.
Прибыль предприятий торговли и сферы услуг - это часть чистого дохода общества, создаваемая в материальном производстве и трудом работников этих предприятий, связанным с продолжением процесса производства в сфере обращения.
Различают несколько понятий прибыли: прибыль от реализации, балансовая и чистая прибыль.
Объектом распределения является балансовая прибыль предприятия. Под ее распределением понимается направление прибыли в бюджет и по статьям использования на предприятии. Законодательно распределение прибыли регулируется в той ее части, которая поступает в бюджеты разных уровней в виде налогов и других обязательных платежей. Определение направлений расходования прибыли, остающейся в распоряжении предприятия, структуры статей ее использования находится в компетенции предприятия. Принципы распределения прибыли можно сформулировать следующим образом:
- прибыль, получаемая предприятием в результате производственно-хозяйственной и финансовой деятельности, распределяется между государством и предприятием как хозяйствующим субъектом;
- прибыль для государства поступает в соответствующие бюджеты в виде налогов и сборов, ставки которых не могут быть произвольно изменены. Состав и ставки налогов, порядок их исчисления и взносов в бюджет устанавливаются законодательно;
- величина прибыли предприятия, оставшейся в его распоряжении после уплаты налогов, не должна снижать его заинтересованности в росте объема производства и улучшении результатов производственно-хозяйственной и финансовой деятельности;
- прибыль, остающаяся в распоряжении предприятия, в первую очередь, направляется на накопление, обеспечивающее его дальнейшее развитие, и только в остальной части — на потребление.
На предприятии распределению подлежит чистая прибыль, т. е. прибыль, оставшаяся в распоряжении предприятия после уплаты налогов и других обязательных платежей. Из нее взыскиваются санкции, уплачиваемые в бюджет и некоторые внебюджетные фонды.
Распределение чистой прибыли отражает процесс формирования фондов и резервов предприятия для финансирования потребностей производства и развития социальной сферы. Распределение чистой прибыли — одно из направлений внутрифирменного планирования, значение которого в условиях рыночной экономики возрастает. Порядок распределения и использования прибыли на предприятии фиксируется в уставе предприятия и определяется положением, которое разрабатывается соответствующими подразделениями экономических служб и утверждается руководящим органом предприятия.
Прибыль предприятия распределяется по различным направлениям. Пропорции распределения прибыли определяются экономическими нормативами, установленными государством или предприятием. Законодательно определяют нормативы платежей в бюджет, во внебюджетные фонды. Часть нормативов определяют сами предприятия. Государство через порядок предоставления налоговых льгот стимулируют направление прибыли на капитальное вложение производственного и непроизводственного характера, на благотворительные цели, финансирование природоохранных мероприятий, расходов по содержанию объектов и учреждений специальной сферы и др. Законодательно ограничивается размер резервного фонда предприятий, регулируется порядок формирования резерва по сомнительным долгам.2
Фонд развития производства предназначается на возмещение расходов, связанных с научно-исследовательскими, проектными, конструкторскими и технологическими работами, разработкой и освоением новых видов продукции и технологических процессов, совершенствованием технологии и организации производства, модернизацией оборудования, техническим перевооружением и реконструкцией действующего производства, расширением предприятия и др. Взносы предприятий из прибыли в качестве вкладов учредителей в создание уставного капитала других предприятий, средства, перечисленные союзам, ассоциациям, концернам, в состав которого входит предприятие, также считают использованием прибыли на развитие.
Фонд социального развития образуется для накопления и расходования средств по эксплуатации социально-бытовых объектов, находящихся на балансе предприятия, строительству объектов непроизводственного назначения, организации и развитию подсобного сельского хозяйства, приведению оздоровительных, культурно-массовых мероприятий и т.п.
Из фонда материального поощрения выплачиваются единовременные поощрения за выполнение особо важных производственных заданий, премии за создание, освоение и внедрение новой техники, материальная помощь работникам, единовременные пособия ветеранам труда, уходящим на пенсию, надбавки к пенсиям, компенсации удорожания стоимости питания в связи с повышением цен и др.
Остаток прибыли, не использованный на увеличение имущества и нераспределенная прибыль прошлых лет свидетельствует о финансовой устойчивости предприятия.
Использование прибыли обуславливается организационно-правовой формой предприятий. Так, полное товарищество не является юридическим лицом и поэтому не уплачивает налог на прибыль.
В смешанном товариществе налог на прибыль вносится в бюджет в соответствии с порядком, установленным для юридических лиц Часть прибыли направляется вкладчикам в доле, соответствующей их вкладам в капитал товарищества, на развитие предприятия и другие цели. Остаток прибыли распределяется между действительными членами.
Прибыль товарищества с ограниченной ответственностью облагается налогом и распределяется в порядке, установленном для юридических лиц По результатам работы за год каждому участнику выплачивается доля прибыли, соответствующая его вкладу в уставный капитал, после внесения в бюджет налогов и других обязательных платежей и взносов, оставшаяся часть прибыли направляется на развитие предприятия и материальное поощрение работников.
Распределение прибыли, ее налогообложение, выплата дивидендов по акциям и процентов по облигациям в акционерных обществах закрытого и открытого типа производятся в общеустановленным порядке.
Хозяйственные объединения, союзы (ассоциации) в качестве источников имеют: отчисления предприятий на их содержание и доходы от хозяйственной деятельности.
Перечисляемые предприятиями средства могут направляться в целевые фонды, порядок образования и использования которых определяется положениями, утверждаемыми объединениями. Поскольку объединение является юридическим лицом, с полученной прибыли от хозяйственной деятельности оно уплачивает налоги, другие платежи и обязательства, а остаток прибыли используют по своему усмотрению.3
2. Основные недостатки действующих железнодорожных тарифов и основное направление совершенствования тарифов. Расчет тарифов с учетом основных направлений совершенствования тарифов.
Тарифы на железных дорогах представляют собой цены плат и сборов, взимаемые за перевозки грузов, пассажиров, почты, грузобагажа и другие услуги транспорта. Расходы железных дорог и транспортные издержки отраслей народного хозяйства и предприятий различных форм собственности покрываются тарифными поступлениями, составляющими доходы транспорта.4
Действующие железнодорожные тарифы подразделяются на грузовые и пассажирские. По экономической сущности и принципам построения они имеют некоторое различие. Тарифы на грузовые перевозки являются частью системы оптовых цен, а на пассажирские перевозки – частью системы розничных цен, так как в основном эти перевозки оплачиваются из личных доходов населения. В основе построения тарифов, как и других оптовых и розничных цен, лежит стоимость перевозок. Это относится как к перевозкам грузов, так и пассажиров. Однако оптовые и розничные цены росли в ходе экономических реформ более быстрыми темпами, чем грузовые и пассажирские тарифы. Для преодоления отставания динамики тарифов от роста цен и заработной платы была разработана методика ежемесячной одновременной индексации цен, заработной платы и тарифов. Однако после некоторой стабилизации цен разрыв между уровнем тарифов и издержками усугубился спадом производства. К тому же, из-за относительно высокого уровня тарифов железная дорога стала терять своих клиентов, которые переходили на другие виды транспорта.5
Существующий уровень пассажирских тарифов с учетом предоставляемых льгот различным слоям населения не обеспечивает компенсацию всех расходов отрасли, связанных с пассажирскими перевозками. Убытки от них хотя и сократились, но продолжают компенсироваться за счет грузовых тарифов.
В данный момент сфера железнодорожных перевозок сохраняет естественно-монопольный характер и поэтому, в соответствии с действующим законодательством, сохраняется государственное регулирование как в сфере железнодорожных перевозок, так и в сфере услуг по использованию инфраструктуры железнодорожного транспорта общего пользования. Затраты, предоставляемые монополистом при обосновании тарифа, собираются на основе бухгалтерского, а не управленческого учёта. Детализация статей расходов не обеспечивает понимания фактически понесённых затрат на конкретную услугу. Например, расчёт железнодорожных тарифов на основе среднесетевых затрат и множественное перекрёстное субсидирование (по типам грузов, направлениям, видам и дальности перевозок, по регионам и т.д.) делает методически невозможным назначение цены на конкретную услугу, исходя из реально понесённых расходов перевозчика. Обоснование провозной платы фактически подменяется вынужденным признанием государством совокупных расходов, заявленных монополистом как общественно необходимых, с последующим их распределением по видам деятельности.6
В структуре железнодорожного тарифа сейчас нельзя выделить долю, перечисляемую в качестве возможного вознаграждения собственнику имущества, которое может использоваться монополистом в его деятельности. Это неизбежно ограничивает инвестиции в железные дороги только бюджетными и собственными средствами компании. Осуществленные на частные инвестиции улучшения транспортной инфраструктуры (вспомогательные пути, станции, эстакады и т.д.) могут использоваться и обслуживаться дорогами только в случае передачи объектов на баланс. Также нельзя выделять в едином железнодорожном тарифе вознаграждение третьим лицам, оказывающим услуги потребителям в комплекте транспортных железнодорожных услуг.
Если для обслуживания потребителя на железнодорожной станции необходимо оказать 26 видов услуг, которые может предоставить железная дорога, но в тариф входят 14, то остальные оказываются монополистом без ограничения по цене, либо аффилированными с ним компаниями. Невозможность выделить в едином железнодорожном тарифе структуру услуг объективно тиражирует монополизм по технологической цепочке и связанным хозяйственным действиям.7
В соответствии с Программой структурной реформы на железнодорожном транспорте одной из задач реформирования является совершенствование тарифной политики. Указанной программой предусматривается реформирование системы тарифов на железнодорожные перевозки и системы государственного тарифного регулирования.
Разработка нового прейскуранта является одной из важнейших задач реформирования системы железнодорожных тарифов, при этом следует обеспечить, в том числе, и проведение сравнительного анализа и оценки альтернативных моделей формирования и регулирования тарифов. Не менее важными направлениями работы в этой области являются:
- совершенствование общей схемы построения тарифов, включая разработку концепции новой тарифной системы, методологических принципов и методов формирования системы тарифов в соответствии с Программой структурной реформы на железнодорожном транспорте, правил управления тарифной системой, тарифных руководств и системы тарифов и сборов за дополнительные операции; •
- разработка финансово-экономической модели, позволяющей оценить влияние тарифной системы на макроэкономические показатели и результаты хозяйственной деятельности различных отраслей народного хозяйства;
- организация дифференцированного тарифного регулирования в разных секторах железнодорожных перевозок, совершенствование механизма индексации регулируемых тарифов на основе формирования бюджетов субъектов естественных монополий.8
3. Принципы взаимоотношения субъектов строительного рынка. Состав цен на строительную продукцию.
Все субъекты строительного рынка и элементы его инфраструктуры находятся во взаимной связи и взаимоотношениях. Они реализуют свои экономические интересы не по приказу, как это было в условиях административно-командной системы управления, а на договорной основе. При этом экономическая ответственность сторон отражается в хозяйственных и подрядных договорах, контрактах, соглашениях о намерениях и т.п.
Реализация рыночных отношений в строительном комплексе имеет особенности, являющиеся следствием с одной стороны, общих для всех отраслей капитального строительства характерных признаков, а именно: привязка к земле, сравнительно длительные сроки создания продукции, большие единовременные затраты и т.д., с другой – особенности, вызванные спецификой вида (отрасли) строительной деятельности.
Строительно-монтажные организации, занятые в жилищно-гражданском строительстве, функционируют в основном на региональных (местных) рынках, в то время как занятые в производственном строительстве работают как в определенных регионах, так и на других территориях. Что же касается промышленности строительных материалов (не местных), производства строительных машин и механизмов, технологического оборудования, то здесь рынок имеет межрегиональный ареал своей деятельности.
Уровень развития рыночных отношений в строительстве можно оценить относительно того, в какой мере в этой сфере реализуются наиболее значимые принципы и условия функционирования рыночной экономики. Такими принципами и условиями являются: принцип рыночных форм ценообразования на продукцию и услуги; либерализация предпринимательской деятельности; наличия различных форм собственности с преобладанием частной; демонополизации и концентрации производства; открытость внутреннего и внешнего рынка; договорных форм взаимоотношений между хозяйствующими субъектами; исключительного права собственника по регулированию деятельности хозяйствующих субъектов, создания и функционирования инфраструктуры и др.
Все эти принципы и условия в той или иной мере реализуются в сфере строительства. Так, в строительстве применяются свободные договорные цены на продукцию и услуги. Они устанавливаются по соглашению между производителями и потребителями продукции. В том случае, если производители продукции по определенным критериям относятся к монополистам, то формирование цен обеспечивается рядом мер со стороны органов власти и главным образом антимонопольным законодательством. Можно говорить о том, что не всегда эффективно используются антимонопольные меры по отношению к поставщикам сырья, изделий и конструкций, которые являются монополистами на региональных рынках и завышают цены на продукцию. Однако принцип рыночных форм ценообразования в строительстве в целом реализуется.9
В настоящее время в системе ценообразования в строительстве произошли существенные изменения. Это связано с тем, что изменились формы собственности инициаторов и участников инвестиционного процесса, источники финансирования инвестиционных проектов, появились новые формы и методы заключения контрактов между заказчиками и подрядчиками на основе договорных цен, на конкурсной основе. 10
Результатом этих изменений стал новый подход к ценообразованию в строительстве, сформулированный в «Основных положениях (концепции) ценообразования в строительстве в условиях развития рыночных отношений» (Письмо Минстроя РФ от 22.10.93 г. № БЕ 19-21/12). В данном документе говорится, что основными задачами новой системы ценообразования и сметного нормирования в строительстве являются: формирование свободных (договорных) цен на строительную продукцию, их экономическая оптимизация и государственное регулирование через цены на отдельные виды ресурсов; обеспечение полного набора сметных нормативов и различных условий их применения при самостоятельности субъектов инвестиционной деятельности; определение стоимости строительства на разных этапах инвестиционного цикла.
В соответствии с современной методологией ценообразования создана единая система методических документов, основным из которых является Методика определения стоимости строительной продукции на территории РФ (МДС 81-35.2004), разработана и введена в действие сметно-нормативная база в строительстве 2001 г. Все это дает возможность формировать договорные цены на строительную продукцию, определять ее сметную стоимость на различных стадиях инвестиционного процесса, что обеспечивает вариантный и гибкий подход к определению цены строительной продукции без чрезмерной централизации и жесткой регламентации.
Ценообразование в строительстве исходит из общих для всех отраслей принципов. В условиях рынка оно проходит общие этапы ценообразования: выбор объекта ценообразования, определение спроса и предложения, анализ издержек, анализ цен конкурентов, выбор метода ценообразования и установление окончательной цены.
Но механизм ценообразования в строительстве имеет следующие специфические особенности:
- в формировании цены на строительную продукцию одновременно участвуют проектировщик, заказчик и подрядчик;
- характер строящихся зданий и сооружений индивидуальный;
- стоимость строительной продукции зависит от местных условий строительства;
- длительность производственного цикла строительного процесса;
- высокая материалоемкость строительной продукции;
- специфические особенности учета сметной прибыли и стоимости эксплуатации машин и механизмов;
- стоимость строительной продукции определяется сметой, составляемой на основе проекта, сметных норм и других данных.11
Эти особенности приводят к необходимости применения нестандартных подходов в области ценообразования на строительную продукцию. Формирование стоимости строительной продукции происходит не спонтанно, а последовательно: начиная с возникновения идеи строительства объекта и заканчивая сдачей в эксплуатацию и пуском объекта. На различных стадиях инвестиционно-строительного цикла выделяют следующие виды и формы стоимости – сметная, рыночная, договорная цена строительной продукции.
Сметная стоимость является базовой ценой в системе рыночного ценообразования и определяется сметным расчетом, как правило, затратными методами путем калькулирования отдельных элементов текущих затрат, норм и цен, по перечню и объему заданных, запланированных и запроектированных строительных, ремонтно-строительных, монтажных и пусконаладочных работ.
Практика ценообразования в строительстве на территории РФ показывает, что при определении стоимости строительной продукции лежит сметно-нормативный метод, который опирается на методическую и сметно-нормативную базу, разработанную Госстроем России. Главной задачей сметно-нормативной базы является определение стоимости строительства на всех стадиях разработки предпроектной и проектно-сметной документации.12
В настоящий момент принятие решений в области ценообразования носит сложный и неоднозначный характер. Строительные организации оказались перед непростым выбором: какой метод применить; какие использовать при этом нормативы, чтобы обеспечить эффективность своей экономической деятельности? Тем более что для строительных организаций, осуществляющих строительство без привлечения средств бюджета, применение сметно-нормативной базы Госстроя РФ носит согласно документам рекомендательный характер.
Но это далеко не все проблемы, с которыми сталкивается строительная организация при формировании цены на свою продукцию. Поскольку определение стоимости строительной продукции сметно-нормативным методом отражает исключительно затратный подход к ценообразованию, т.е. учитывает только экономические интересы производителя. Интересы же потребителя, которые отражает экономическая категория «ценность» в этом подходе не учитываются.
Следующим этапом является формирование рыночной цены на строительство, которая устанавливается по законам конъюнктуры рынка подрядной деятельности, под влиянием текущего спроса и предложения на строительную продукцию и уровня инвестиционной активности в регионе и стране в целом. Рыночная цена может быть больше или меньше сметной стоимости и определяется экспертными методами или в процессе конкурсов, подрядных торгов и тендеров.
Рыночная цена строительной продукции определяется как средняя, объективно обусловленная стоимость строительства объекта на данном региональном рынке в реальный календарный период времени строительства, является переходным элементом от сметной стоимости к договорной цене строительства и включает расчетную сметную стоимость на момент заключения контракта и затраты, учитывающие рыночные факторы изменения сметной стоимости за период строительства (рыночная составляющая).13
В практической деятельности рыночные факторы ценообразования строительства используются при рассмотрении и согласовании отдельных элементов сметной стоимости (уровень оплаты рабочих, накладные расходы и прочие затраты подрядчика, сметная прибыль).
Договорная (контрактная) цена формируется в результате договорного процесса между заказчиком и подрядчиком на основе данных о сметной стоимости и рыночной цене строительной продукции. Договорная стоимость устанавливается с учетом детальных сметных расчетов и прогноза изменения уровня предстоящих затрат за расчетное время проведения строительства. Договорная цена может значительно отличаться от сметной и рыночной стоимости в зависимости от формы договора (контракты с твердой или открытой ценой), продолжительности строительства, договорного порядка авансирования и расчетов за выполненные работы.
Стоимость строительства, установленная в договоре строительного подряда между заказчиком и подрядчиком, в рыночных условиях является окончательной ценой, на основе которой осуществляется финансирование строительства, расчеты за выполненные работы и формирование балансовой (инвентарной) стоимости построенных объектов.
Метод тендерного ценообразования, применяемый в строительстве при формировании договорных цен на строительную продукцию в настоящее время, крайне несовершенен и не позволяет учитывать перечисленные свойства.
Кроме того, жилье на первичном рынке является специфическим товаром, поскольку оно недвижимо, обладает индивидуальными потребительскими характеристиками и может поступать на рынок в любой степени готовности. Эти особенности ни один из существующих методов учитывать не позволяет.
Так же необходимо отметить, что порядок определения сметной стоимости строительной продукции, состав и содержание сметной документации достаточно подробно отражены в современных законодательных и методических документах по ценообразованию в строительстве, однако, нет ни одного, специально рассматривающего вопросы формирования договорных цен на строительную продукцию. В основных методических документах по ценообразованию в строительстве сформулированы лишь общие, кратко изложенные принципы определения договорных цен, недостаточно разработанные в концептуальном и методологическом плане, слабо связанные с экономической практикой. В частности, отсутствуют методы определения договорной цены на строительную продукцию, раскрывающие состав затрат подрядчика; порядок формирования договорной цены на строительную продукцию на разных этапах инвестиционного цикла как с позиции инвестора, так и позиции подрядчика; методические рекомендации по грамотному исчислению рыночной составляющей в составе договорной цены. В каждом конкретном случае применяются свои подходы и методы ее установления.
В связи с этим совершенствование механизмов определения максимально реальной стоимости строительства объектов, разработка научно обоснованной методики формирования договорных цен при заключении контрактов между участниками инвестиционного процесса, в условиях рыночных отношений представляется актуальной задачей.
Задача 1
Определить оптовую цену предприятия и промышленности, розничную цену и составляющие их элементы. Исходные данные приведены в таблице 1.
Таблица 1
Плановые показатели работы отрасли промышленности
№ п/п
Показатели
Вариант
7
1
Объем производства, тыс. изделий
240
2
Базисная себестоимость всех изделий, млрд. руб.
79
3
Транспортные расходы, млрд.руб.
9
4
Нормативная прибыль промышленного предприятия, млрд. руб.
17
5
Издержки и прибыль сбытовых организаций, млн. руб.
5
6
НДС в % к розничной цене
18
7
Торгово-сбытовая скидка в % к розничной цене
4,9
Решение:
Все виды цен образуют единую сложную систему, взаимно переплетаются, дополняют друг друга. Это единство отчетливо выявляется при анализе структуры оптовых и розничных цен (рис. 1.).
Базисная себестоимость (С)
Нормативная прибыль (ПН)
Транспортные расходы (ТР)
Издержки и прибыль сбытовых организаций (НСБ)
НДС (Но)
Издержки и прибыль торговых организаций (ТСБ)
Оптовая цена предприятия (Опред)
Оптовая цена промышленности (Опром)
Государственная розничная цена (Рц)
В практике ценообразования обычно в начале определяют оптовую цену предприятия.
Опред = С + Пн = 79 + 17 = 96 млрд. руб.
Затем с учетом всех ценообразующих факторов, включая и соотношение между предложением и спросом на продукцию, определяют розничную цену, а потом уже оптовую цену промышленности.
Поэтому в таблице 1 НДС и торгово-сбытовая скидка (Тсб) заданы в % к розничной цене продукции. Зная эти данные, после установления оптовой цены предприятия, можно определить розничную цену путем решения следующих уравнений с одним неизвестным:
Откуда
После определения розничной цены определяют отдельно величины торгово-сбытовой скидки и НДС.
Оптовая цена промышленности устанавливается следующим образом:
Опром = Опред + Тр + Нсб + Но = 79 + 17 + 9 + 0,005 + 24,5 = 129,5 млрд. руб.
Или Опром = Рц – Тсб = 136,19 – 6,67 = 129,5 млрд. руб.
Задача 2
Определить индекс и сумму изменения оптовых цен. Исходные данные в таблице 2.
Таблица 2
Показатели для расчета индексов и суммы изменения цен
№ п/п
Показатели
Вариант
7
1
Стоимость товарной продукции по действующим ценам, млн. руб.
70
2
Себестоимость товарной продукции, млн. руб.
56
3
Стоимость производственных фондов, млн. руб.
50
4
Оптимальный уровень рентабельности, %
15
5
Предельный уровень рентабельности, %
21
Решение:
Индексы цена рассчитываются при разработке перспективного и текущего ценообразования, когда необходимо изменение цен с целью приведения их в соответствие с общественно необходимыми затратами (ОНЗ). Они рассчитываются с помощью данных о фактически сложившемся уровне рентабельности продукции, оптимальном и предельном нормативах рентабельности. Оптимальный уровень рентабельности – тот уровень, который необходим для данной отрасли с целью обеспечения хозрасчетных условий деятельности предприятия. Предельный уровень рентабельности – тот уровень, превышение которого вызывает необходимость изменения (снижения или повышения) оптовых цен.
При решении задачи необходимо:
По сравнению с оптимальной рентабельностью плановая рентабельность оказывается выше на (28 – 15 = 13%) 13%, и по сравнению с предельным уровнем рентабельности она опять оказывается выше на (28 – 21 = 7%) 7%.
Определить объем (стоимость) реализованной продукции в проектируемых новых ценах (Тпроект), млн. руб.:
где С – себестоимость всей товарной продукции, млн. руб.
где Тдейств – объем (стоимость) реализованной продукции в действующих ценах, млн. руб.
Задача 3
Определить норматив чистой продукции, нормативную прибыль и оптовые цены на электровозы типа ВЛ. Исходные данные приведены в таблице 3.
Таблица 3
Показатели для расчета оптовых цен на электровозы типа ВЛ
Заработная плата производственных рабочих с отчислениями на социальное страхование, тыс. руб.
Коэффициент, характеризующий отношение заработной платы рабочих по обслуживанию и управлению производством к заработной плате производственных рабочих
Норматив чистой продукции (НЧП) определяется по формуле (тыс. руб.):
Нормативная прибыль (Пн) в машиностроении рассчитывается следующим образом (тыс. руб.):
где Rсо – утвержденный норматив рентабельности к стоимости обработки, %; Со – стоимость обработки единицы изделия, которая равна полной нормативной себестоимости за вычетом прямых материальных затрат, тыс. руб.
Со = С – М = 205 – 119 = 86 тыс. руб.
НЧП = 19 + 19*0,37 + 38,7 = 64,73 тыс. руб.
Задача 4
Определить расчетные цены на хозрасчетный измеритель «10 эксплуатационных ткм» для трех отделений железной дороги. Исходные данные приведены в таблице 4.
Таблица 4
Показатели для определения расчетных цен на измеритель «10 эксплуатационных ткм отделений дороги»
Доходы дороги от грузовых перевозок (за вычетом резерва дороги)
Примечание: Доходы ДНКО, ДДО и ДПО по отделениям дороги распределить в процентом соотношении: НОД-1 – 35%, НОД-2 – 40%, НОД-3 – 25%.
Расчетные цены (Црг) (квартальные или годовые) для отделений дороги устанавливаются управлением дороги стабильно на ряд лет на основе нормативной (плановой) себестоимости «10 эксплуатационных ткм» каждого i-го отделения дороги () и, как правило, одинаковой для всех отделений дороги величины прибыли (ПГ), т.е. части общедорожной доходной ставки по грузовым перевозкам:
Величина прибыли Пг, включаемая в расчетные цены на «10 эксплуатационных ткм» отделений дороги, определяется по формуле (руб.):
Где ДГ – общие плановые доходы дороги от грузовых перевозок, руб.;
ДРГ – резерв доходов управления дороги (до 10% от ДГ), руб.;
ДНКО – доходы отделений дороги от начальной и конечной операции по грузовым перевозкам, руб.;
ДДС – доходы от дополнительных сборов, передаваемые отделениям дороги (подачу и уборку вагонов, маневровую работу и т.д.), руб.;
ДПО – доходы от прочих операций, передаваемые отделениям дороги (арендная плата, телефонно-телеграфный сбор);
ЕГ – нормативные (плановые) эксплуатационные расходы отделений дороги по грузовым перевозкам;
- эксплуатационные тонно-километры дороги;
10 – на 10 эксплуатационных ткм.
Расчетные цены ЦРГ, а также величины и ПГ определяются в копейках с точностью до 10-3.
Результаты расчетов по определению нужно обобщить в таблице 5.
ДДВО – доходы отделений дороги от движенческих операций.
При расчетах необходимо учитывать значность величин.
Таблица 5
Определение расчетных цен на измеритель «10 эксплуатационных ткм», доходов и прибыли от грузовых перевозок по отделениям дороги
Наименование отделений дороги
Эксплуатационные ткм, млн.
Нормативные эксплуатационные расходы, тыс. руб.
Себестоимость 10 эксплуатационных ткм, руб.
Доходы от грузовых перевозок, тыс. руб.
Величина прибыли, включаемая в , руб.
Расчетная цена , руб.
Общая величина прибыли от грузовых перевозок, тыс. руб.
Всего
В том числе
ДДВО
ДНКО
ДДС
ДПО
1
2
3
4 = гр.3/гр.2
5
6 = гр.11*гр.2
7
8
9
10
11 = гр.4 + гр.10
12 = гр.5 – гр.3
НОД-1
8361
20680
0,025
20750,6
12584,4
5590
2371
205,45
0,126
0,151
70,58
НОД-2
24550
70150
0,029
21800,5
12467,7
6388
2710
234,8
0,022
0,051
-48349,48
НОД-3
9150
8850
0,010
18650,7
12817,7
3993
1694
146,75
0,130
0,140
9800,7
Итого по отделениям дороги
42061
99680
0,063
61201,8
37869,8
15970
6775
587
0,278
0,341
-38478,2
Задача 5
Определить средний размер сбытовой наценки (в %) на материальные ценности, отпускаемые складом службы МТО МПС линейным предприятием для эксплуатации и капитального ремонта. Исходные данные приведены в таблице 6.
Таблица 6
План материального снабжения по складу (тыс. руб.)
Отпуск материалов по розничным ценам с получением торговой скидки
Отпуск материалов по розничным ценам без получения торговой скидки
Склады службы МТО и МПС возмещают транспортно-заготовительные расходы путем взыскания сбытовых наценок к оптовым ценам на отпускаемые материалы.
В соответствии с указаниями ГУМТО и ЦФ МПС «О порядке определения размера наценок, взыскиваемых складами службы МТО на некоторые виды отпуска материалов установлены директивные (обязательные) размеры наценок к оптовой цене, которые указаны в таблице 7.
Расчет размера средней сбытовой наценки на отпускаемые материалы, по которым не установлены директивные размеры наценок, производится в следующем порядке:
Определяется сумма транспортно-заготовительных расходов, возмещаемая складом по директивным наценкам и торговым скидкам в соответствии с планом снабжения.
Расчеты выполняются в таблице 7.
Определяется сумма транспортно-заготовительных расходов, возмещаемых при отпуске материалов, по которым не установлены обязательные размеры наценок . Она определяется как разность между общей плановой величиной транспортно-заготовительных расходов склада и их суммой, возмещаемой по обязательным наценкам и торговым скидкам.
В соответствии с общим планом снабжения и вышеприведенной таблицей (итог гр.3) определяется стоимость материалов, по отпуску которых не установлены директивные сбытовые наценки и торговые скидки (М*).
Рассчитывается средний размер сбытовой наценки (в %) к стоимости материалов, отпускаемых линейным предприятием для эксплуатации и капитального ремонта:
Таблица 7
Транспортно-заготовительные расходы, возмещаемые складом по обязательным наценкам и торговым скидкам в соответствии с планом снабжения
Стоимость материалов по оптовым и розничным ценам, тыс. руб.
Отпуск материалов транзитом линейным предприятиям для нужд эксплуатации и капитального ремонта
Отпуск материалов по розничным ценам с получением торговой скидки
Задача 6
Составить расчет тарифа 1 кВтч электроэнергии, отпускаемой дистанцией электроснабжения.
Определить невозмещенную часть затрат по отпуску электроэнергии по льготным тарифам. Исходные данные приведены в таблице 8.
Таблица 8
Показатели для расчета тарифа 1 кВтч электроэнергии, отпускаемой дистанцией электроснабжения (кроме тяги поездов)
Затраты дистанции энергоснабжения на содержание электросетей и реализацию электроэнергии, тыс. руб.
Отпуск электроэнергии по твердым тарифам, тыс. кВтч по ценам:
Решение:
Железнодорожный транспорт является крупным потребителем электроэнергии. Для обеспечения бесперебойного электроснабжения на железных дорогах созданы дистанции электроснабжения (ЭЧ). Они получают электроэнергию от энергосистем, часть ее перерабатывают на трансформаторах и затем реализуют потребителям. В зависимости от характера потребителей отпуск электроэнергии производится по установленным твердым тарифам (прейскуранту), плановой себестоимости и среднеотделенческой цене (тарифу). По твердым с 1 января 1982 г. электроэнергия отпускается: населению на бытовые нужды по 4 коп. за 1 кВтч; сельскохозяйственным потребителям на производственные нужды по 1 коп. за 1 кВтч; предприятиям торговли и общественного питания по 2 коп. за 1 кВтч; школам, детским и лечебным учреждениям по коп. за 1 кВтч. Предприятиям перевозочной деятельности своей дороги электроэнергия отпускается по плановой себестоимости, сторонним организациям – по среднеотделенческой цене (тарифу). Среднеотделенческая цена складывается из расходов на оплату электроэнергии, получаемую от энергосистем, расходов собственно ЭЧ по переработке и отпуску электроэнергии, содержанию и обслуживанию электрических сетей и прибыли. Прибыль, включаемая в цену (тариф) на продукцию, работы и услуги по подсобно-вспомогательной деятельности предприятий, определяется исходя из рентабельности к полной себестоимости в размере, предусмотренном планом по основной продукции, но не ниже 10% и не выше 20%. Отпуск и реализация электроэнергии части потребителей производится по установленным твердым тарифам, которые по своей величине ниже себестоимости. В этих случаях невозмещенная часть расходов отражается на финансовых результатах подсобно-вспомогательной деятельности железных дорог. Такой порядок введен в 1986 году. Невозмещенная часть расходов определяется путем умножения разницы между средней ценой 1 кВтч электроэнергии, отпускаемой по твердым тарифам (прейскуранту), и средней плановой себестоимости 1 кВтч электроэнергии ЭЧ на количество реализуемой электроэнергии в кВтч по твердым тарифам.
Расчеты выполнить в нижеприведенных таблицах 9 и 10.
Расчет тарифа 1 кВтч электроэнергии, отпускаемой дистанцией электроснабжения
Таблица 9
Сводная ведомость потребления электроэнергии (кроме тяги поездов) и затрат дистанции электроснабжения (без затрат на тягу поездов)
Расходы дистанции электроснабжения по содержанию электросетей и реализации электроэнергии
Количество электроэнергии, предназначенной для реализации (стр. 3 – стр. 4.3.)
Итого по твердым тарифам (стр. 6.1. + стр. 6.2. + стр. 6.3. + стр. 6.4.)
Итого электроэнергии, отпускаемой и реализуемой по плановой себестоимости и среднеотделенческой цене (стр. 5 – стр. 6.5)
Таблица 10
Расчет тарифа за 1 кВтч отпускаемой и реализуемой электроэнергии
Средняя цена 1 кВтч электроэнергии, реализуемой по твердым тарифам, коп.
Плановая себестоимость 1 кВтч электроэнергии, отпускаемой и реализуемой потребителям, коп.
Среднеотделенческая цена (тариф) за 1 кВтч электроэнергии, реализуемой сторонним организациям, коп.:
Невозмещенная часть затрат, образовавшаяся при реализации электроэнергии по твердым тарифам, руб.
(гр.3.стр.2 табл.10. – гр.3.стр.1.табл.10) * гр.3.стр.6.5.табл9.
Примечание: проектируемые цены даются округленно: до 50 коп. в целых копейках; от 50 коп. до 5 руб. с округлением последней цифры до нуля или 5 коп.
Задача 7
Определить лимитную цену и ее экономическую обоснованность на новую 8-осную цистерну. Рассчитать годовой экономический эффект от использования новой цистерны, а также коэффициент относительного удешевления цены на8-осную цистерну на единицу основного параметра (одну тонну грузоподъемности) по сравнению с базовой 4-осной цистерной. Установить размер поощрительной надбавки к цене новой 8-осной цистерны.
Исходные данные приведены в таблице 11.
Таблица 11
Показатели для определения лимитной цены и ее экономической обоснованности на проектируемую новую 8-осную цистерну
Удельный вес собственных затрат в себестоимости одной тонны конструкций котла и рамы, %
Удельный вес заменяемого материала в конструкции котла и рамы, %
На всех стадиях проектирования новой техники определяются лимитные цены. Они играют роль общественного норматива эффективности новой техники, гарантирующего ее относительное удешевление на единицу конечного полезного эффекта и не допускающего к производству малоэффективные изделия.
В методике лимитная цена определяется по следующей формуле:
Цл = С + Пн,
Где С – себестоимость по стадиям проектирования; Пн – нормативная прибыль.
При определении лимитной цены на новую технику обычно применяют агрегатный метод. Этот метод заключается в суммировании себестоимости (цен) отдельных конструктивных частей параметрического ряда изделия с добавлением стоимости оригинальных узлов (деталей).
Порядок определения лимитной цены с использованием агрегатного метода на новую 8-осную цистерну следующий (условные приведены обозначения в таблице 11):
Определяется масса конструкции котла и рамы отдельно базовой и новой цистерн (Мк.р):
Мк.р = Мц – (Мтел + Мсц + Мтор).
Мк.р. 1 = 23,2 – (9,27 + 1,014 + 0,24) = 12,676 т.
Мк.р. 2 = 49,7 – (18,54 + 1,014 + 0,24) = 29,906 т.
Рассчитывается себестоимость изготовления одной тонны конструкции котла и рамы базовой 4-осной цистерны (Ст1):
При этом стоимость и масса покупных унифицированных сборочных единиц (постоянной части 4-осной цистерны) по утвержденным оптовым ценам составляет (табл. 12):
Таблица 12 - Стоимость и масса покупных унифицированных сборочных единиц (постоянной части 4-осной цистерны)
Определяется величина собственных затрат завода на изготовление одной тонны конструкции котла и рамы базовой 4-осной цистерны (Ст.соб1):
Определяются затраты на материалы в себестоимости изготовления одной тонны конструкции котла и рамы базовой 4-осной цистерны (Ст.м1):
Ст.м1 = Ст1 – Ст.соб1 = 321,23 – 192,7 = 128,53 руб.
Определяется себестоимость изготовления одной тонны конструкции котла и рамы новой 8-осной цистерны (Ст2):
Определяется себестоимость изготовления котла и рамы новой 8-осной цистерны (Ск.р.2):
Скр.2. = Ст2 * Мк.р2 = 347,563*29,906 = 10394,22 руб.
Рассчитывается лимитная цена новой 8-осной цистерны (Цл2):
Проверка экономической обоснованности уровня лимитной цены новой 8-осной цистерны и целесообразности ее изготовления производится по формуле:
Где И1 и И2 – эксплуатационные издержки на перевозки соответственно в 4-осной и в 8-осной цистернах, рассчитанные на годовой объем перевозок новой 8-осной цистерны (руб.):
Ен – нормативный коэффициент эффективности, равный 0,15.
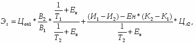
Годовой экономический эффект от использования новой 8-осной цистерны определяется следующим образом:
Где К1 и К2 – сопутствующие капитальные вложения у потребителя при эксплуатации соответственно базовой 4-осной и новой 8-осной цистерн в расчете на годовую производительность новой 8-осной цистерны (руб.):
Коэффициент относительного удешевления цены на новую 8-осную цистерну в расчете на одну тонну ее грузоподъемности по сравнению с базовой 4-осной цистерной определяется следующим образом:
Поощрительные надбавки к оптовым ценам на новую технику устанавливаются с учетом ее технического уровня, качества и экономической эффективности, если отношение годового экономического эффекта к цене составляет не менее 15%, т.е. Эг ≥ 0,15Ц.
Поощрительные надбавки устанавливаются в размере до 50% годового экономического эффекта и могут достигать 30% оптовой цены, т.е. 0,5Эг ≥ ΔЦ ≤ 0,3Ц, где ΔЦ – поощрительная надбавка.
На новую технику, основанную на научных открытиях и изобретениях, поощрительная надбавка может превышать 30% оптовой цены и достигать 70% экономического эффекта.
Список литературы
Приказ Минтранса РФ от 12 мая 2005 г № 45 «Об утверждении транспортной стратегии Российской Федерации на период до 2020 года»
Ардзинов В. Д. Ценообразование и составление смет в строительстве. – СПб.: Питер, 2006;
Бабаев С. Тарифная политика: наши предложения//РЖД-Партнер, 2005, №1.
Бабаев С., Мазо Л., Власов Г. и др. Тарифное регулирование на железнодорожном транспорте и проблема баланса интересов участников перевозочного процесса. III Международная конференция//РЖД-Партнер-Документы, 2006, том 2. – с. 185 – 207.
Бастраков Г.М., Мальцев А.А. Краткий курс ценообразования: учебное пособие. – Новосибирск: СГУПС (НИИЖТ), 1999. – 150 с.
Дорожкин В. Р. Ценообразование и управление стоимостью в строительстве. – Воронеж. Издательство им. Е. А. Болховитинова, 2003
Лапидус Б. М., Беседин Н. С., Мазо Л. А. Основные направления экономических исследований на железнодорожном транспорте в условиях его кардинального реформирования//Вестник, 2004, №3.
Писаревский Г. Е. На современном этапе реформирования// Железнодорожный транспорт, 2005, №2 – с. 75-78.
Прейскурант №10-01. Тарифы на перевозку грузов и услуги инфраструктуры, выполняемые российскими железными дорогами (утв. Постановлением ФЭК РФ от 17 июня 2003 г. №47-т/5).
Рогачева Л. Тарифные руководства №2 и №3: вопрос рассматривается//РЖД-Партнер, 2005, №1.
Савицкая Г.В. Анализ хозяйственной деятельности предприятия. –М.: «Экоперспектива»,2003. –498 с.
Синев А. От тактики к стратегии: не рынок для тарифов, а тарифы для рынка//РЖД-Партнер, 2005, №6.
Синянский И. А. Проектно-сметное дело: Учебник для студ. Сред. Проф. Образования / И. А. Синянский, Н. И. Манешина. – М.: Издательский центр «Академия», 2005.
Тарифный вектор, или как мы реформируем железную дорогу//Экономика и жизнь, 2005, №11.
Финансовый менеджмент: теория и практика: Учебник /Под ред. Е.С. Столяковой . –М.: Перспектива, 2001. –405 с.
Цены и ценообразование / Под ред. В.Е. Есипова. — СПб.: Питер, 2000.
Экономика железнодорожного транспорта. Учебник для вузов железнодорожного транспорта. Под ред. Терешиной Н. П., Лапидуса Б. М., Трихункова М. Ф. – М.: УНК МПС России, 2001. – 600с.
1 Финансовый менеджмент: теория и практика: Учебник /Под ред. Е.С. Столяковой . –М.: Перспектива, 2001. –405 с.
2 Савицкая Г.В. Анализ хозяйственной деятельности предприятия. –М.: «Экоперспектива»,2003. –498 с.
3 Савицкая Г.В. Анализ хозяйственной деятельности предприятия. –М.: «Экоперспектива»,2003. –498 с.
4 Экономика железнодорожного транспорта. Учебник для вузов железнодорожного транспорта. Под ред. Терешиной Н. П., Лапидуса Б. М., Трихункова М. Ф. – М.: УНК МПС России, 2001. – 600с.
5 Рогачева Л. Тарифные руководства №2 и №3: вопрос рассматривается//РЖД-Партнер, 2005, №1.
6 Тарифный вектор, или как мы реформируем железную дорогу//Экономика и жизнь, 2005, №11.
7 Бабаев С., Мазо Л., Власов Г. и др. Тарифное регулирование на железнодорожном транспорте и проблема баланса интересов участников перевозочного процесса. III Международная конференция//РЖД-Партнер-Документы, 2006, том 2. – с. 185 – 207.
8 Лапидус Б. М., Беседин Н. С., Мазо Л. А. Основные направления экономических исследований на железнодорожном транспорте в условиях его кардинального реформирования//Вестник, 2004, №3.
9 Дорожкин В. Р. Ценообразование и управление стоимостью в строительстве. – Воронеж. Издательство им. Е. А. Болховитинова, 2003
10 Ардзинов В. Д. Ценообразование и составление смет в строительстве. – СПб.: Питер, 2006;
11 Ардзинов В. Д. Ценообразование и составление смет в строительстве. – СПб.: Питер, 2006;
12 Дорожкин В. Р. Ценообразование и управление стоимостью в строительстве. – Воронеж. Издательство им. Е. А. Болховитинова, 2003
13 Синянский И. А. Проектно-сметное дело: Учебник для студ. Сред. Проф. Образования / И. А. Синянский, Н. И. Манешина. – М.: Издательский центр «Академия», 2005.
Нравится материал? Поддержи автора!
Ещё документы из категории экономика:
Чтобы скачать документ, порекомендуйте, пожалуйста, его своим друзьям в любой соц. сети.
После чего кнопка «СКАЧАТЬ» станет доступной!
Кнопочки находятся чуть ниже. Спасибо!
Кнопки:
Скачать документ