Производственный цикл






























Федеральное агентство по образованию
Государственное образовательное учреждение высшего профессионального образования
«Орловский государственный технический университет»
ФДО
Реферат
по дисциплине: Экономика
тема Производственный цикл
Студент
Е.В Потеев
Группа
БП – 516
Преподаватель
А.А. Палеева
Н. Тагил
2010
Содержание
Введение
1. Понятие и длительность производственного цикла
2. Структура производственного цикла
3. Характеристика различных форм организации движения предметов труда
4. Расчет длительности производственного цикла
5. Анализ длительности производственного цикла в экономической деятельности предприятия
6. Пути и факторы сокращения продолжительности производственного цикла
7. Практические примеры расчетов сокращения продолжительности производственного цикла
Заключение
Список использованных источников
Производственный процесс представляет собой совокупность отдельных процессов труда, направленных на превращение сырья и материалов в готовую продукцию. Содержание процесса производства оказывает определяющее воздействие на построение предприятия и его производственных подразделений. Грамотная организация производственного процесса является основой деятельности любого предприятия.
Основные факторы производственного процесса, определяющие характер производства, – это средства труда (машины, оборудование, здания, сооружения и т.д.), предметы труда (сырье, материалы, полуфабрикаты) и труд как целесообразная деятельность людей. Непосредственное взаимодействие этих трех основных факторов и образует содержание производственного процесса.
Принципы рациональной организации производственного процесса можно разделить на две категории: общие, не зависящие от конкретного содержания производственного процесса, и специфические, характерные для конкретного процесса.
Общие принципы – это принципы, которым должно подчиняться построение любого производственного процесса во времени и пространстве. К ним относятся следующие:
• принцип специализации, означающий разделение труда между отдельными подразделениями предприятия и рабочими местами и их кооперирование в процессе производства;
• принцип параллельности, предусматривающий одновременность осуществления отдельных частей производственного процесса, связанного с изготовлением определенного изделия;
• принцип пропорциональности, предполагающий относительно равную производительность в единицу времени взаимосвязанных подразделений предприятия;
• принцип прямоточности, обеспечивающий кратчайший путь движения предметов труда от запуска сырья или полуфабрикатов до получения готовой продукции;
• принцип непрерывности, предусматривающий максимальное сокращение перерывов между операциям;
• принцип ритмичности, означающий, что весь производственный процесс и составляющие его частичные процессы по изготовлению заданного количества продукции должны строго повторяться в равные промежутки времени;
• принцип технической оснащенности, ориентированный на механизацию и автоматизацию производственного процесса, устранение ручного, монотонного, тяжелого, вредного для здоровья человека труда.
Производственный процесс включает ряд технологических, информационных, транспортных, вспомогательных, сервисных и других процессов.
Производственные процессы состоят из основных и вспомогательных операций. К основным относятся операции, которые непосредственно связаны с изменением форм, размеров и внутренней структуры обрабатываемых предметов, и сборочные операции. Вспомогательными являются операции производственного процесса по контролю качества и количества, перемещению обрабатываемых предметов.
Совокупность основных операций называют обычно технологическим процессом. Характер технологического процесса в наибольшей степени определяет организационные условия производства – построение производственных подразделений, характер и размещение складов и кладовых, направление и протяженность транспортных маршрутов.
С точки зрения организации производственного процесса большое значение имеет также количество компонентов изготовляемого продукта. По этому признаку все производственные процессы разделяются на процессы производства простых и сложных продуктов. Производственный процесс изготовления сложного продукта образуется в результате сочетания ряда параллельных процессов производства простых продуктов и называется синтетическим. Процессы, в результате которых из одного вида сырья получают несколько видов готовой продукции, называются аналитическими. Чем сложнее продукт и разнообразнее методы его изготовления, тем сложнее и организация производственного процесса.
Преобладание на предприятии того или иного типа процесса производства оказывает большое влияние на его производственную структуру.
По характеру воздействия на предметы труда производственные процессы разделяются на механические, физические, химические и т.д. По степени непрерывности – на непрерывные (отсутствуют перерывы между различными операциями) и дискретные (с технологическими перерывами).
По стадии изготовления готового продукта выделяют заготовительные, обрабатывающие и отделочные производственные процессы.
По степени технической оснащенности бывают ручные, частично и комплексно-механизированные.
В связи с этим один из важнейших технико-экономических показателей производства, является производственный цикл. На его основе, например, устанавливаются сроки запуска изделия в производство с учетом сроков его выпуска, рассчитываются мощности производственных подразделений, определяется объем незавершенного производства, и осуществляются другие планово-производственные расчеты.
Необходимо отметить, что рассматриваемая тема исследования освещена в литературе в достаточной степени. Фундаментальные и прикладные исследования в сфере организации производственного процесса во времени были проведены отечественными и зарубежными учеными, среди которых Егорова Т.А., Золотарев А.Н., Непомнящий Е.Г., Ребрин Ю.И., Серебренников Г.Г., Файнгольд М.Л. и другие.
1. Понятие и длительность производственного цикла
Производственным циклом изготовления той или иной машины или ее отдельного узла (детали) называется календарный период времени, в течение которого этот предмет труда проходит все стадии производственного процесса - от первой производственной операции до сдачи (приемки) готового продукта включительно [8, с.32].
Например, производственный цикл изготовления детали - период времени от поступления материала в обработку до окончания изготовления детали, а производственный цикл изделия - период времени от запуска исходного материала и полуфабрикатов в обработку до окончания изготовления и комплектации предназначенного к реализации изделия.
Сокращение цикла дает возможность каждому производственному подразделению (цеху, участку) выполнить заданную программу с меньшим объемом незавершенного производства. Это значит, что предприятие получает возможность ускорить оборачиваемость оборотных средств, выполнить установленный план с меньшими затратами этих средств, высвободить часть оборотных средств.
Вследствие того, что производственный процесс протекает во времени и пространстве, производственный цикл можно измерить длиной пути движения изделия и его комплектующих элементов, а так же временем, в течение которого изделие проходит весь путь обработки.
Длительность производственного цикла (ДПЦ) - это интервал календарного времени от начала первой производственной операции до окончания последней; измеряется в днях, часах, минутах, секундах в зависимости от вида изделия и стадии обработки. Различают производственные циклы изделия в целом, циклы сборных единиц и отдельных деталей, циклы выполнения однородных операций, циклы выполнения отдельных операций.
Длительность производственного цикла (при прочих равных условиях) зависит от размеров партий запуска, размеров передаточных партий и размеров межоперационных заделов (рис. 1.1) и обуславливает располагаемую производственную мощность частичных производственных процессов ЧПП (всей системы) и возможные сроки начала и окончания работ.
Рис. 1.1. Влияние факторов на ДПЦ
При этом под операцией понимается часть производственного процесса обработки ПТ на одном рабочем месте без переналадки оборудования одним рабочим или группой рабочих при помощи одних и тех же орудий труда.
Под партией запуска понимается определенное количество предметов труда ПТ одного наименования, обрабатываемых (или собираемых) на данной операции с однократной затратой подготовительно-заключительного времени.
Под передаточной партией (“пакетом”) понимается часть партии запуска, прошедшая обработку на данной и транспортируемая на непосредственно следующую за ней операцию.
Под заделом в общем случае понимается скопление ПТ (в ожидании обработки) между двумя непосредственно следующими друг за другом операциями. Различают оборотные и страховые (резервные) заделы [10, с.8-10].
2. Структура производственного цикла
Производственный цикл состоит из двух частей: рабочего периода, т.е. периода, в течение которого предмет труда находится непосредственно в процессе изготовления и времени перерывов в этом процессе (рис. 2.1).
Рабочий период - это время, в течение которого производится непосредственное воздействие на предмет труда либо самим рабочим, либо машинами и механизмами под его управлением; время подготовительно-заключительных работ; время естественных технологических процессов; время технологического обслуживания. Т.е. рабочий период состоит из времени выполнения технологических и нетехнологических операций; к числу последних относятся все контрольные и транспортные операции с момента выполнения первой производственной операции и до момента сдачи законченной продукции.
Время выполнения технологических операций и подготовительно-заключительных работ называется операционным циклом.
Время естественных технологических процессов - это время, в течение которого предмет труда изменяет свои характеристики без непосредственного воздействия человека или техники.
Время технологического обслуживания включает в себя: контроль качества обработки изделия; контроль режимов работы машин и оборудования, их настройку, легкий ремонт; уборку рабочего места; подвоз заготовок, материалов, приемку и уборку обработанной продукции.
На длительность рабочего периода оказывает влияние разного рода факторы, например: качество проектно-конструкторских работ; уровень унификации и стандартизации изделий; степень точности изделий (высокая точность требует дополнительной обработки, что удлиняет производственный цикл); организационные факторы (организация рабочего места, размещение складских помещений и др.). Недостатки организационного характера увеличивают подготовительно-заключительное время.
Рис. 2.1. Структура производственного цикла
Время перерывов в работе - это время, в течение которого не производится никакого воздействия на предмет труда и не происходит изменение его качественной характеристики, но продукция еще не является готовой и процесс производства не закончен. Различают регламентированные и нерегламентированные перерывы. Регламентируемые перерывы делятся на внутрисменные (межоперационные) и междусменные (связанные с режимом работы).
Межоперационные перерывы делятся на:
перерывы партионности - имеют место при обработке деталей партиями. Каждая деталь или узел, поступая к рабочему месту в составе партии, пролеживают до начала и по окончании обработки, пока вся партия не пройдет через данную операцию;
перерывы комплектования - возникают в тех случаях, когда детали и узлы пролеживают в связи с незаконченностью изготовления других изделий, входящих в один комплект;
перерывы ожидания - обусловлены несогласованностью (несинхронностью) длительности смежных операций технического процесса, возникают, когда предыдущая операция заканчивается раньше, чем освобождается рабочее место для выполнения следующей операции.
Междусменные перерывы включают в себя перерывы между рабочими сменами, обеденные перерывы, перерывы для отдыха рабочих, выходные и праздничные дни.
Нерегламентированные перерывы связаны с организационно-техническими неполадками (несвоевременное обеспечение рабочего места материалом, инструментом, поломка оборудования, нарушение трудовой дисциплины и т.д.). Они включаются в производственный цикл в виде поправочного коэффициента или не учитываются.
Отметим, что структура производственного цикла (соотношение образующих его частей) в различных отраслях машиностроения и на разных предприятиях неодинакова. Она определяется характером производимой продукции, технологическим процессом, уровнем техники и организации производства. Однако, несмотря на различия в структуре возможности сокращения длительности производственного цикла заложены как в сокращении рабочего времени, так и в сокращении времени перерывов. Опыт передовых предприятий показывает, что на каждой стадии производства и на каждом производственном участке могут быть обнаружены возможности дальнейшего сокращения длительности производственного цикла. Оно достигается проведением различных мероприятий как технического (конструкторского, технологического), так и организационного порядка.
Подводя итог вопросу, отметим, что совокупный производственный процесс представлен как подсистема хозяйственного процесса, совершаемого предприятием. Выделяются образующие его элементы - ЧПП, образованные производственными операциями.
Производственный цикл является одним из важнейших показателей технико-экономического развития, который определяет возможности предприятия по объему выпуска продукции и затраты на ее производство.
Длительность производственного цикла относится к нормативам организации производственного процесса. Важно как рациональное пространственное размещение, так и оптимальная длительность производственного цикла.
3. Характеристика различных форм организации движения предметов труда
Поскольку все, без исключения, дискретные производственные процессы следует охарактеризовать такими существенными признаками, как структурная организация и способ организации движения предметов труда (ПТ) от операции к операции, то по первому признаку в наиболее общем случае будем различать сложные и простые процессы.
Сложным будем называть дискретный производственный процесс, включающий хотя бы одну операцию, назначение которой состоит в образовании одной сборочной единицы (изделия) из двух или более деталей (сборочных единиц). Формально структура такого процесса может быть представлена ориентированным графом сетевой структуры (рис. 3.1 и рис. 3.2) [10, c.9-10]
Рис. 3.1. Структурная схема сложного производственного процесса
Рис. 3.2. Граф сложного производственного процесса ( - вершина, отражающая операцию; - ребро, отражающее межоперационную связь по материальному потоку)
Таким образом, в сложном процессе на каждую операцию для сборки (сварки, клепки) может поступать несколько ПТ различного наименования, обработанных или собранных в других ЧПП, предшествующих по технологическому маршруту данному. Его структура может включать как сложные ЧПП более низкого уровня, так и простые процессы.
Простым называется дискретный производственный процесс, в котором обрабатываются ПТ только одного наименования. Примеры простых процессов: изготовление втулок, валов, шестерен и других деталей. К простым относятся также производственные процессы сборки, регулировки и испытаний сборочных единиц и изделий. Формально структура простого процесса может быть отражена линейным графом (рис. 3.3 и 3.4) [10, c.11]
Рис. 3.3. Структурная схема простого производственного процесса
Рис. 3.4. Граф простого производственного процесса
Наиболее распространенной является следующая классификация. Различают три основных вида организации производственных процессов во времени.
1 Последовательный, характерный для единичной или партионной обработки или сборки изделий.
2 Параллельно-последовательный, используемый в условиях прямоточной обработки или сборки изделий.
3 Параллельный, применяемый в условиях поточной обработки или сборки.
При последовательном виде движения производственный заказ - одна деталь, или одна собираемая машина, или партия деталей (серия машин) - в процессе их производства переходит на каждую последующую операцию процесса только после окончания обработки (сборки) всех деталей (машин) данной партии (серии) на предыдущей операции. В этом случае с операции на операцию транспортируется вся партия деталей одновременно. При этом каждая деталь партии машины (серии) пролеживает на каждой операции сначала в ожидании своей очереди обработки (сборки), а затем в ожидании окончания обработки (сборки) всех деталей машин данной партии (серии) по этой операции.
На рис. 3.5 представлена диаграмма технологического процесса, состоящего из четырех операций различной продолжительности. Каждая операция выполняется на одном станке. Все эти станки может обслуживать один рабочий, который после окончания операции на четвертом станке возвращается к первому станку [8, c.33].
Рис. 3.5. Последовательный технологический цикл, состоящий из четырех технологических операций с номерами i = 1, 2, 3, 4, обслуживаемых рабочим I в течение промежутка времени F
Параллельно-последовательный вид движения предметов труда характеризуется тем, что процесс обработки деталей (сборки машин) данной партии (серии) на каждой последующей операции начинается раньше, чем полностью заканчивается обработка всей партии деталей (сборки машин) на каждой предыдущей операции. Детали передаются с одной операции на другую частями, транспортными (передаточными) партиями k. Накопление некоторого количества деталей на предыдущих операциях перед началом обработки партии на последующих операциях (производственный задел) позволяет избежать возникновения простоев.
Параллельно-последовательный вид движения предметов труда позволяет значительно уменьшить продолжительность производственного процесса обработки (сборки) по сравнению с последовательным видом движения. Применение параллельно-последовательного вида движения экономически целесообразно в случаях изготовления трудоемких деталей, когда длительности операций процесса значительно колеблются, а также в случаях изготовления малотрудоемких деталей крупными партиями (например, нормалей мелких унифицированных деталей и т.д.).
На рис. 3.6 представлен график параллельно-последовательного технологического цикла изготовления партии деталей величиной n, разбитой на две транспортные (передаточные) партии, каждая из которых содержит k единиц деталей [8, c.34-35].
Рис. 3.6. Параллельно-последовательный технологический цикл: τ - время пролеживания передаточной партии до момента ее запуска на вторую операцию
При параллельном виде движения обработка (сборка) каждой передаточной партии на каждой последующей операции начинается немедленно после окончания предыдущей операции. Этим параллельный технологический цикл отличается от параллельно-последовательного, в котором передаточная партия может некоторое время пролеживать до запуска на следующую операцию. Общая продолжительность процесса обработки (сборки) партии деталей (серии машин) значительно уменьшается по сравнению с тем же процессом, выполняемым последовательно, а в некоторых случаях и параллельно-последовательно. В этом заключается существенное преимущество параллельного вида движения, позволяющего значительно сократить продолжительность производственного процесса.
График параллельного цикла изготовления партии деталей показан на рис. 3.7. Партия деталей величиной n, разбита на три транспортные (передаточные) партии, каждая из которых содержит k единиц деталей. Рабочие с номерами I - IV закреплены за станками 1 - 4 соответственно. Рабочие специализируются только на одной технологической операции и от станка к станку не переходят [8, c.36].
Рис. 3.7. Параллельный технологический цикл, партия деталей состоит из трех передаточных партий k
Подводя итог вопросу, подчеркнем, что обычно используется один из трех видов движения предметов труда по операциям: последовательный, параллельный, параллельно-последовательный.
При последовательном движении обработка партии одноименных предметов труда на каждой последующей операции начинается лишь тогда, когда вся партия прошла обработку на предыдущей операции. При параллельном движении передача предметов труда на последующую операцию осуществляется поштучно или транспортной партией сразу после обработки на предыдущей операции. При параллельном виде движения длительность производственного цикла значительно сокращается. При параллельно-последовательном виде движения предметы труда передаются на последующую операцию по мере их обработки на предыдущей поштучно или транспортной партией. При этом время выполнения смежных операций частично совмещается таким образом, что партия изделий обрабатывается на каждой операции без перерывов.
Наименьшая длительность производственного цикла имеет место при параллельном виде сочетания операций. Однако его применение требует равенства или краткости продолжительности операций, иначе возникают простои оборудования, ухудшение использования рабочего времени, межоперационное пролеживание предметов труда. Поэтому его использование предполагает детальную разработку технологического процесса, тщательную синхронизацию операций, что возможно в большинстве случаев в массовом, крупносерийном производстве. При достаточно высокой степени стандартизации деталей и узлов, внедрении групповых методов обработки он может эффективно применяться и в мелкосерийном, а иногда и индивидуальном производстве.
Последовательный вид сочетания операций является наименее эффективным. Используется он в мелкосерийном и индивидуальном производстве, где затруднено применение групповых методов обработки. Параллельно-последовательный вид сочетания операций имеет наибольшее распространение при изготовлении одноименной продукции, неравномерной мощности оборудования и частичной синхронизации операций.
4. Расчет длительности производственного цикла
Без научно обоснованного расчета длительности производственного цикла нельзя правильно составить производственную программу предприятия и цехов, определить технико-экономические показатели деятельности. Длительность производственного цикла влияет на сроки подготовки производства новой продукции, оборачиваемости оборотных средств, является важной величиной при организации оперативно-производственного планирования, материально-технического снабжения и т.д.
В общем виде длительность производственного цикла определяется по формуле [6, с.97]:
Тц = Тврп + Твпр, (4.1)
где Тврп - время рабочего процесса;
Твпр - время перерывов.
Во время рабочего периода выполняются технологические операции [6, с.97]:
Тврп = Тшк + Тк + Ттр + Те, (4.2)
где Тшк - штучно-калькуляционное время;
Тк - время контрольных операций;
Ттр - время транспортирования предметов труда;
Те - время естественных процессов (старения, релаксации, естественной сушки, отстоя взвесей в жидкостях и т.п.).
Сумму времен штучного, контрольных операций, транспортирования называют операционным временем (Топр) [6, с.98]:
Топр = Тшк + Тк + Ттр. (4.3)
В операционный цикл Тк и Ттр включены условно, так как в организационном отношении они не отличаются от технологических операций, штучно-калькуляционное время рассчитывается по формуле [6, с.98]:
Тшк = Топ + Тпз + Тен +Тото, (4.4)
где Топ - оперативное время;
Тпз - подготовительно-заключительное время при обработке новой партии деталей;
Тен - время на отдых и естественные надобности рабочих;
Тото - время организационного и технического обслуживания (получение и сдача инструмента, уборка рабочего места, смазка оборудования и т.п.).
Оперативное время (Топ) в свою очередь состоит из основного (Тос) и вспомогательного времени (Тв) [6, с.98]:
Топ = Тос + Тв, (4.5)
Основное время - это непосредственное время обработки или выполнения работы.
Вспомогательное время:
Тв = Ту + Тз + Ток, (4.6)
где Ту - время установки и снятия детали (сборочной единицы) с оборудования;
Тз - время закрепления и открепления детали в приспособлении;
Ток - время операционного контроля рабочего (с остановкой оборудования) в ходе операции.
Время перерывов (Твпр) обусловлено режимом труда (Трт), межоперационным пролеживанием детали (Тмо), временем перерывов на межремонтное обслуживание и осмотры оборудования (Тр) и временем перерывов, связанных с недостатками организации производства (Торг) [6, с.99]:
Твпр = Тмо + Трт + Тр + Торг. (4.7)
Время межоперационного пролеживания (Тмо) определяется временем перерывов партионности (Тпар), перерывов ожидания (Тож) и перерывов комплектования (Ткп) [6, с.99]:
Тмо = Тпар + Тож + Ткп. (4.8)
Перерывы партионности (Тпар) возникают при изготовлении изделий партиями и обусловлены пролеживанием обработанных деталей до готовности всех деталей в партии на технологической операции.
Перерывы ожидания (Тож) вызываются несогласованной длительностью смежных операций технологического процесса.
Перерывы комплектования (Ткп) возникают при переходе от одной фазы производственного процесса к другой.
Таким образом, в общем виде производственный цикл выражается формулой [6, с.100]:
Тц = Топр + Те + Тмо + Трт + Тр + Торг. (4.9)
Свои особенности на исчисление ДПЦ оказывает и характер организации движения предметов труда.
При последовательном способе движения ДПЦ обработки партии запуска традиционно рассчитывается формуле [11, с.8]:
Тц1 = n ti , (4.10)
где Тц1 - ДПЦ при последовательном способе движения ПТ;
n - размер партии запуска;
ti - штучно-калькуляционное время i-й операции;
i - номер операции (i = 1, 2, 3,.., m).
В некоторых случаях формула (2.10) приводится в модифицированном варианте, а именно [11, с.8]:
Тц1 = n , (4.11)
где K1i - количество рабочих мест, занятых выполнением i-й операции.
При параллельном способе движения ПТ для случая, если t1=t2=t3= ..= tn, ДПЦ обычно рассчитывается по формуле [11, с.13]:
Тц2 = ti + t(n - 1), (4.12)
В случае, если в рассматриваемом процессе длительности операций не равны между собой, то ДПЦ предлагается рассчитывать по формуле [11, с.13]:
Тц2 = ti + tгл(n - 1), (4.13)
где tгл - штучно-калькуляционное время самой продолжительной операции (ее обычно называют главной операцией).
Формула для расчета ДПЦ при параллельно-последовательном способе движения ПТ имеет вид [11, с.18]:
Тц3 = ti + (n-1) ( tбi - tмi ), (4.14)
где mм - количество “меньших операций”;
mб - количество “больших операций”;
tбi - продолжительность “больших операций”;
tмi - продолжительность “меньших операций”.
Также предлагается рассчитывать ДПЦ по формуле [11, с.18]:
Тц3 = ti+(n-1)(tmaxi - tmini )+(n-1)tгл, (4.15)
где tmaxi - максимальная из двух длительностей смежных операций;
tmini - минимальная из двух длительностей смежных операций.
Существует и такая формула [11, с.19]:
Тц3 = n ti - (n-1) tкорi, (4.16)
где tкорi - штучно-калькуляционное время на “короткой”, т.е. менее трудоемкой, из двух смежных операций.
В случае, если размер передаточной партии больше 1, то предлагается формула вида [11, с.19]:
Тц3 = n ti - (n-nп) tкорi . (4.17)
Таким образом, ДПЦ - показатель, характеризующий время, необходимое для обработки партии запуска ПТ одного наименования в ЧПП, рассматриваемом в качестве элемента производственной системы более высокого порядка. Время обработки партии запуска обусловлено как длительностью отдельных операций, так и способом организации движения ПТ, который, в свою очередь, характеризуется размерами партии запуска и передаточных партий, наличием различного рода производственных заделов.
Поскольку любая производственная система является сложным образованием, включающим множество взаимосвязанных элементов, функционирование которых подвергается воздействию случайных факторов (внутренних и внешних), то методика расчета ДПЦ должна их учитывать. В связи с этим и существует много вариантов расчета длительности цикла, задача в данном случае сводится к выбору оптимальной формулы.
Отметим, что влияние показателя ДПЦ на другие показатели, характеризующие работу предприятия, трудно переоценить. Во-первых, от точности его расчета зависит значение показателя располагаемой производственной мощности предприятия (цеха, участка). Во-вторых, адекватность метода его расчета обусловливает качество календарных планов производства и загрузки рабочих мест (оборудования), а также запасов материалов, покупных комплектующих изделий, запасных частей и агрегатов (в ремонтном хозяйстве) и, следовательно, важнейших финансовых показателей работы предприятия;
5. Анализ длительности производственного цикла в экономической деятельности предприятия
Производственный цикл используется в качестве норматива при оперативном планировании производства, финансовом управлении и других планово-производственных расчетах.
Длительность производственного цикла влияет на важнейшие показатели работы предприятия и приводит к:
1. Ускорению оборачиваемости оборотных средств, сокращению объемов незавершенного производства
Так, производственный цикл непосредственно связан с нормативом оборотных средств:
Тц = ОСн.п / Qдн, (5.1)
где (Тц) - производственный цикл;
ОСн.п - объем оборотных средств в незавершенном производстве (руб.);
Qдн - однодневный выпуск продукции (руб.).
2. Повышению производительности труда
3. Улучшению использования производственных мощностей и росту выпуска продукции
4. К снижению себестоимости единицы продукции за счет уменьшения постоянных расходов приходящихся на единицу продукции
5. Повышению рентабельности производства.
Чем быстрее совершается производственный процесс (чем меньше длительность производственного цикла), являющийся одним из элементов кругооборота оборотных средств, тем больше будет скорость их оборачиваемости, тем большее число оборотов они совершают в течение года. В результате происходит высвобождение денежных ресурсов, которые могут быть использованы для расширения производства на данном предприятии.
По той же причине происходит сокращение (абсолютное или относительное) объема незавершенного производства. Это означает высвобождение оборотных средств в их вещественной форме, т.е. в форме конкретных материальных ресурсов.
Производственная мощность предприятия или цеха прямо зависит от длительности производственного цикла. Под производственной мощностью понимается максимально возможный выпуск продукции в плановом периоде. И поэтому ясно, что чем меньше затрачивается времени на производство одного изделия, тем большее их число может быть изготовлено за тот же период времени.
Производительность труда при сокращении длительности производственного цикла повышается в результате увеличения объема выпуска продукции за счет увеличения производственной мощности, что приводит к уменьшению доли труда вспомогательных рабочих в единице продукции, а также доли труда специалистов и служащих.
Себестоимость продукции при сокращении производственного цикла снижается за счет уменьшения в себестоимости единицы продукции доли общезаводских и цеховых расходов при увеличении производственной мощности [3, c.70-71].
Таким образом, сокращение длительности производственного цикла - один из важнейших источников интенсификации и повышения эффективности производства на промышленных предприятиях.
Сокращение производственного цикла имеет большое экономическое значение:
- сокращается оборачиваемость оборотных средств за счет сокращения объемов незавершенного производства;
- увеличивается фондоотдача основных производственных фондов;
- снижается себестоимость изделий за счет сокращения условно-постоянной части издержек на одно изделие и т.д.
6. Пути и факторы сокращения продолжительности производственного цикла
Сокращение длительности производственного цикла представляет собой одну из наиболее важных задач организации производства на предприятии, от надлежащего решения которой в большой мере зависит его эффективная, рентабельная работа.
На продолжительность производственного цикла влияет множество факторов: технологических, организационных и экономических.
Технологические процессы, их сложность и многообразие, техническая оснащенность предопределяют время обработки деталей и продолжительность сборочных процессов.
Организационные факторы движения предметов труда в процессе обработки связаны с организацией рабочих мест, самого труда и его оплатой. Организационные условия в еще большей степени влияют на продолжительность выполнения вспомогательных операций, обслуживающих процессов и перерывы.
Экономические факторы обусловливают уровень механизации и оснащенность процессов (а следовательно, их длительность), нормативы незавершенного производства.
В литературе рассмотрено множество различных методов и способов сокращения длительности производственного цикла. Все они тщательно разработаны и обоснованы, однако общим их недостатком является недостаточное внимание к совершенствованию организации производства при разработке таких мероприятий. Однако необходимо отметить, что именно этот фактор является одним из основных способов сокращения длительности производственного цикла, приводящим к росту объемов производства без дополнительных затрат.
Характерными отличительными особенностями машиностроительных предприятий по сравнению с предприятиями других отраслей производства является расчлененность производства в пространстве, многоагрегатность, многономенклатурность и многооперационность [5, с.8]. Эти особенности вызывают сложность потоков, движущихся и обрабатываемых заготовок и деталей на предприятиях, поэтому весьма важной становится организационная сторона производства, в частности согласование и регулирование движения всех многообразных производственных потоков пространстве и во времени.
Как известно, производственный цикл включает в себя различные по своему содержанию затраты времени, которые можно разделить на две группы: время рабочего периода и время перерывов. Сокращение длительности производственного цикла может осуществляться за счет снижения как затрат времени на осуществление рабочего периода, так и времени перерывов [2, с.155].
Таким образом, сокращение длительности производственного цикла возможно по 2-м направлениям (табл. 2.1):
1. Уменьшение времени связанного с выполнением технологической операции;
2. Сведение к минимуму всех видов перерывов в процессе производства продукции.
Таблица 6.1
Направления сокращения длительности производственного цикла
-
Резервы
Время работы (рабочий цикл)
Время перерывов
Применение передовых технологий
Специализация производства
Комплексная механизация и автоматизация производства
Совершенствование планирования и организация производства
Как можно заметить, резервом уменьшения длительности производственного цикла служит совершенствование техники и технологии, применение непрерывных и совмещенных технологических процессов, углубление специализации и кооперирования, внедрение методов научной организации труда и обслуживания рабочих мест, внедрение робототехники [3, c.71].
Сокращение длительности производственного цикла - это сокращение времени непосредственного воздействия труда на предметы труда и времени перерывов.
В течение времени перерывов не происходит производственного потребления предметов труда, но при этом они находятся в процессе производства. Следовательно, чем больше время перерывов, тем больше при одном и том же объеме выпускаемой продукции в единицу времени величина незавершенного производства. Устранение указанных потерь может быть достигнуто за счет совершенствования организации и технологии производства и позволит сократить размер незавершенного производства и тем самым увеличить выпуск продукции на один рубль оборотных и основных средств, то есть повысить эффективность их использование.
Согласно выявленным потерям рабочего времени можно предложить следующие рекомендации по устранению указанных недостатков:
более тщательное осуществление оперативно-календарного планирования (т. е. планирование подачи материалов и заготовок, учет фактически выработанной продукции и т. д.)
проведение своевременной и тщательной оперативной подготовки производства (подготовки материалов, инструментов, технической и первичной плановой документации и т. д.);
совершенствование организационных и технических аспектов производства (своевременное выдача заданий работникам, устранение неисправности оборудования и т. д.);
усиление трудовой дисциплины с целью устранения опозданий и отлучек, а также оптимизации режима работы персонала.
Все перечисленные мероприятия повлекут за собой устранение выявленных потерь рабочего времени, что приведет к увеличению времени на производственную работу, что в свою очередь соответственно скажется на сокращение длительности производственного цикла. Это в некоторой степени может повлиять на снижение косвенных расходов на единицу продукции и, как следствие, снижение себестоимости производимой продукции.
Как было отмечено в параграфе 1.2, применение наиболее эффективных видов движения предметов труда - параллельного и параллельно-последовательного - дает возможность сократить продолжительность производственного процесса, или, иначе, уменьшить производственный цикл изготовления предмета труда.
Мероприятия организационного порядка направлены на улучшение обслуживания рабочих мест инструментом, заготовками, улучшение работы контрольного аппарата, внутрицехового транспорта, складского хозяйства и т.д. Перестройка производственной структуры завода, цеха, например организация предметно-замкнутых производственных участков, способствующая уменьшению времени перерывов в производственном процессе за счет уменьшения времени межоперационного пролеживания и транспортировки, приводит к сокращению длительности производственного цикла; особенно значительный экономический эффект дает внедрение поточных форм организации производственного процесса.
Обобщая рекомендации по сокращению длительности производственного цикла, необходимо указать основные факторы сокращения ДПЦ [9, с.85]:
упрощение конструкции изделия, повышение уровня ее технологичности ("Простота конструкции - мерило ума конструктора");
упрощение и совершенствование технологических процессов, применение робототехники, повышение уровня механизации и автоматизации;
унификация и стандартизация составных частей изделия, технологических процессов, оборудования, оснастки, организации производства;
углубление подетальной, технологической и функциональной специализации на основе унификации и увеличения программы выпуска изделий;
сокращение удельного веса механически обрабатываемых деталей;
соблюдение принципов рациональной организации производства;
механизация и автоматизация контрольных и транспортно-складских операций;
сокращение времени естественных процессов;
сокращение межоперационных перерывов;
увеличение удельного веса технически обоснованных норм времени, норм обслуживания, норм расхода ресурсов;
стимулирование экономии времени и выполнения требований по качеству.
Подводя итог вопросу, еще раз заметим, что длительность производственного цикла зависит от двух важнейших групп факторов:
- технического уровня производства;
- организации производства.
Эти обе группы факторов взаимообуславливают и дополняют друг друга.
Основными направлениями снижения производственного цикла являются:
- совершенствование технологии;
- применение более производительных оборудования, инструментов, средств технологического оснащения;
- автоматизация производственных процессов и применение гибких интегрированных процессов;
- специализация и кооперирование производства;
- организация поточного производства;
- гибкость (многофункциональность) персонала.
7. Практические примеры расчетов сокращения продолжительности производственного цикла
Рассмотрим основные правила, позволяющие сократить продолжительность производственного цикла.
1. При последовательном технологическом цикле уменьшение времени любой операции на величину ∆t приводит к сокращению цикла на величину n∆t.
2. При параллельном технологическом цикле сокращение времени главной операции tg на величину ∆tg, при условии, что она остается главной, приводит к тому, что цикл сокращается на величину n∆tg.
3. Если нормы времени технологических операций монотонно возрастают или убывают по ходу производственного процесса, то продолжительность параллельного и параллельно-последовательного циклов будет одинаковой [8, c.47].
Пример. Технологический процесс имеет четыре операции (m = 4) со следующими нормами времени: t1 = 8; t2 = 7; t3 = 5; t4 = 3 мин. Величина партии обработки n = 10 ед., передаточная партия k = 2 ед. Среднее межоперационное время Tmo = 3 мин.
Рассчитаем продолжительность параллельно-последовательного и параллельного производственного циклов.
Воспользуемся следующими формулами расчета продолжительности производственных циклов [8, c.47]:
Для последовательно-параллельного цикла имеем:
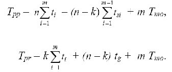
Tpp = n ∑ti - (n - k) ∑tsi + m Tmo = 10 * (8 + 7 + 5 + 3) - (10 - 2) (7 + 5 + +3) + 4 * 3 = 10 * 23 - 8 * 15 + 12 = 122 мин.
Отбор более коротких по продолжительности операций tsi из двух смежных в технологическом цикле осуществляется следующим образом: из двух операций продолжительностью 8 и 7 мин более короткая - 7 мин; из двух операций продолжительностью 7 и 5 мин более короткая - 5 мин. и, наконец, из двух операций продолжительностью 5 и 3 мин - более короткая 3 мин. Сумма коротких по времени операций: (7 + 5 + 3) = 15 мин.
Для параллельного производственного цикла:
Tpr = + (n - k) tg + m Tmo = 2 (8 + 7 + 5 + 3) + (10 - 2) * 8 + 4 * 3 = 2 * 23 + 8 * 8 + 12 = 122 мин.
Главной операцией tg (самой продолжительной по времени) технологического цикла является первая операция длительностью 8 мин. Таким образом, продолжительность параллельно-последовательного и параллельного циклов оказалась одинаковой из-за того, что нормы времени по ходу технологического процесса монотонно возрастают.
4. Если несколько деталей требуется изготовить на одном станке, то при запуске деталей в обработку в порядке возрастания норм времени, суммарное время пролеживания деталей у станка будет минимальным [8, c.48].
Пример. К станку было подано четыре детали со следующими нормами времени на обработку: t1 = 5; t2 = 25; t3 = 10; t4 = 15 мин.
Рассчитаем суммарное время пролеживания деталей для данной последовательности обработки; составить оптимальную очередность обработки деталей.
В табл. 7.1 и 7.2 приведено решение данной задачи. Первая деталь с нормой времени на изготовление 5 мин немедленно поступает в обработку. Поэтому время пролеживания этой детали равно 0. Вторая деталь с нормой времени 25 мин (табл. 7.1) или 10 мин (табл. 7.2) пролеживает в течение 5 мин, т.е. все то время, пока обрабатывается первая деталь. Третья по счету деталь пролеживает в течение времени обработки первых двух и т.д. В рассматриваемом случае оптимальная очередность запуска деталей в обработку позволяет сократить суммарное время пролеживания деталей у станка на 25 мин (75 - 50 = 25 мин).
Таблица 7.1
Исходная последовательность обработки деталей
Таблица 7.2
Оптимальная последовательность обработки деталей
5. Если несколько наименований деталей обрабатывается на двух станках, то первой в обработку запускается деталь с минимальным временем изготовления на первом станке, а последней - с минимальным временем изготовления на втором станке. После чего эти детали исключают из очереди и дальнейший отбор деталей производится по тому же правилу. Полученная последовательность запуска деталей в обработку обеспечивает минимальную продолжительность производственного цикла обработки этих деталей [8, c.49].
Пример. Каждая из пяти деталей должна пройти обработку сначала на первом, а затем на втором станке. Нормы времени на обработку даны в табл. 7.3.
Таблица 7.3
Исходные данные по обработке деталей
Определим продолжительность производственного цикла обработки пяти деталей в той последовательности, которая указана в табл. 7.3. Составить оптимальную очередность обработки этих деталей и рассчитать продолжительность производственного цикла.
Продолжительность производственного цикла обработки пяти деталей в последовательности 1 - 2 - 3 - 4 - 5 определим графически (рис. 7.1). Из этого рисунка видно, что продолжительность цикла равна 19 мин.
Рис. 7.1. Продолжительность цикла обработки деталей в последовательности 1 - 2 - 3 - 4 - 5. Продолжительность цикла 19 мин.
Осуществим отбор деталей для оптимальной очередности запуска в обработку. Первой в обработку будет запущена деталь с минимальным временем изготовления на первом станке - это деталь 5; последней - деталь 2, поскольку у нее самое малое время изготовления на втором станке 1 мин (табл. 7.3). Изобразим полученную последовательность таким образом: 5 - - - - 2. Повторим процесс отбора исключив из него детали 5 и 2. Далее первой будет запущена в обработку деталь 1, поскольку она имеет минимальное время изготовления на первом станке - 3 мин; последней в этом отборе будет деталь 4 с минимальным временем изготовления на втором станке - 2 мин. После второго отбора последовательность запуска будет выглядеть так: 5 - 1 - - 4 - 2. Результат второго отбора помещается "внутрь" первой последовательности обработки деталей. Остается деталь 3 - она будет и первой и последней в третьем отборе. Результат третьего отбора помещается "внутрь" второй последовательности деталей: 5 - 1 - - 3 - 4 - 2. График производственного цикла обработки деталей в этой последовательности изображен на рис. 7.2. Продолжительность цикла получилась более короткой - 16 мин вместо 19 мин на рис. 7.1 [8, c.51-52].
Рис. 7.2. Продолжительность цикла обработки деталей в оптимальной последовательности 5 - 1 - 3 - 4 - 2. Продолжительность цикла 16 мин.
Таким образом, перечисленные выше правила позволяют без дополнительных затрат сократить продолжительность производственного цикла и повысить производительность производственной системы.
Заключение
Производственный цикл является одним из важнейших показателей технико-экономического развития, который определяет возможности предприятия по объему выпуска продукции и затраты на ее производство.
Производственным циклом называется календарный период времени, в течение которого этот предмет труда проходит все стадии производственного процесса - от первой производственной операции до сдачи (приемки) готового продукта включительно.
Длительность производственного цикла (ДПЦ) - это интервал календарного времени от начала первой производственной операции до окончания последней; измеряется в днях, часах, минутах, секундах в зависимости от вида изделия и стадии обработки.
Производственный цикл состоит из двух частей: рабочего периода, т.е. периода, в течение которого предмет труда находится непосредственно в процессе изготовления и времени перерывов в этом процессе.
По признаку структурной организации различают сложные и простые процессы, по способу организации движения ПТ от операции к операции - последовательный, параллельный, параллельно-последовательный. Каждый из данных видов имеет свои особенности, отметим только, что наименьшая длительность производственного цикла имеет место при параллельном виде сочетания операций.
Длительность производственного цикла влияет на сроки подготовки производства новой продукции, оборачиваемости оборотных средств, является важной величиной при организации оперативно-производственного планирования, материально-технического снабжения и т.д.
В общем виде, длительность производственного цикла определяется сложением времени рабочего процесса и времени перерывов. В свою очередь, время рабочего периода включает штучно-калькуляционное время, время контрольных операций, время транспортирования предметов труда, время естественных процессов и др. Время перерывов обусловлено режимом труда, межоперационным пролеживанием детали, временем перерывов на межремонтное обслуживание и осмотры оборудования и временем перерывов, связанных с недостатками организации производства.
Свои особенности на исчисление ДПЦ оказывает и характер организации движения предметов труда.
Отметим, что влияние показателя ДПЦ на другие показатели, характеризующие работу предприятия, трудно переоценить.
Длительность производственного цикла влияет на важнейшие показатели работы предприятия и приводит к ускорению оборачиваемости оборотных средств, сокращению объемов незавершенного производства, повышению производительности труда, улучшению использования производственных мощностей и росту выпуска продукции, снижению себестоимости единицы продукции за счет уменьшения постоянных расходов приходящихся на единицу продукции, повышению рентабельности производства.
Сокращение длительности производственного цикла представляет собой одну из наиболее важных задач организации производства на предприятии, от надлежащего решения которой в большой мере зависит его эффективная, рентабельная работа.
На продолжительность производственного цикла влияет множество факторов: технологических, организационных и экономических. Эти группы факторов взаимообуславливают и дополняют друг друга.
Основными направлениями снижения производственного цикла являются уменьшение времени связанного с выполнением технологической операции и сведение к минимуму всех видов перерывов в процессе производства продукции.
Резервом уменьшения длительности производственного цикла служит совершенствование техники и технологии, применение непрерывных и совмещенных технологических процессов, углубление специализации и кооперирования, внедрение методов научной организации труда и обслуживания рабочих мест, внедрение робототехники.
Кроме того, сокращению длительности производственного цикла также будет способствовать совершенствование системы оперативно-календарного планирования на предприятиях, устранение непроизводительных затрат и потерь рабочего времени, усиление трудовой дисциплины, совершенствование организации и планирования материально-технического снабжения.
В заключительной части курсовой работы рассмотрены основные правила, позволяющие без дополнительных затрат сократить продолжительность производственного цикла и повысить производительность производственной системы, что подтверждено конкретными примерами.
Список использованных источников
Егорова Т.А. Проектирование производственных систем: Учебное пособие. - СПб: Питер, 2004. - 304с.
Золотарев А.Н. Повышение продуктивности воспроизводственных процессов (на примере машиностроения): Монография. - Х.: Издательский Дом «ИНЖЭК», 2004. - 172с.
Мешкова Л.Л., Белоус И.И., Фролов Н.М. Организация и технология отрасли: Курс лекций. - Тамбов: Изд-во Тамб. гос. техн. ун-та, 2002. - 168с.
Непомнящий Е.Г. Экономика и управление предприятием: Конспект лекций. - Таганрог: Изд-во ТРТУ, 1997. - 374с.
Организация и планирование производства на машиностроительных предприятиях: Учебник / Под ред. Е.Г. Либермана. - 2-е изд., перераб и доп. - М.: Издательство «Машиностроение», 1967. - 607с.
Ребрин Ю.И. Основы экономики и управления производством: Конспект лекций. - Таганрог: Изд-во ТРТУ, 2000. - 145с.
Сачко Н.С. Теоретические основы организации производства. - Мн.: Дизайн ПРО, 1997. - 320с.
Серебренников Г.Г. Экономические аспекты организации производства: Учеб. пособие. - Тамбов: Изд-во Тамб. гос. техн. ун-та, 2002. - 80с.
Сорокин А.П. Производственный менеджмент: Курс лекций. - Мн.: Академия управления при Президенте Республики Беларусь, 2002. - 327с.
Файнгольд М.Л., Кузнецов Д.В. Основы расчета длительности производственного цикла (методология и теория) / Под науч. ред. М.Л. Файнгольда. - Владимир: Издательство ВГПУ, 2001. - 63с.
Файнгольд М.Л., Кузнецов Д.В. Проблемы совершенствования методики расчета длительности производственного цикла / Под науч. ред. М.Л. Файнгольда. - Владимир: Издательство ВГПУ, 2001. - 47с.
Фатхутдинов Р.А. Производственный менеджмент. - М.: Интел - Синтез, 2000. - 404с.
Нравится материал? Поддержи автора!
Ещё документы из категории экономика:
Чтобы скачать документ, порекомендуйте, пожалуйста, его своим друзьям в любой соц. сети.
После чего кнопка «СКАЧАТЬ» станет доступной!
Кнопочки находятся чуть ниже. Спасибо!
Кнопки:
Скачать документ