Средняя себестоимость изделия. Общий индекс товарооборота















































































БЕЛОРУССКИЙ ГОСУДАРСТВЕННЫЙ УНИВЕРСИТЕТ
ГОСУДАРСТВЕННЫЙ ИНСТИТУТ УПРАВЛЕНИЯ
И СОЦИАЛЬНЫХ ТЕХНОЛОГИЙ
Кафедра экономики и управления бизнесом
КОНТРОЛЬНАЯ РАБОТА
по дисциплине: «Статистика»
студентки III курса
дистанционного обучения
Специальность «Менеджмент»
Вариант VI
Проверил
преподаватель
Косенко З. Г.
МИНСК
2007
СОДЕРЖАНИЕ
Задание 1……………………………………………………………………………….3
Задание 2……………………………………………………………………………….4
Задание 3……………………………………………………………………………….6
Задание 4……………………………………………………………………………….8
Задание 5……………………………………………………………………….............9
Задание 6………………………………………………………………………………12
Задание 7………………………………………………………………………………13
Задание 8……………………………………………………………………………....14
Задание 1.
По трем предприятиям, выпускающим одноименную продукцию, имеются следующие данные о выпуске продукции и ее себестоимости:
Номер предприятия
Базисный год
Отчетный год
Количество изделий, шт
Себестоимость единицы продукции, тыс.руб
Себестоимость единицы продукции, тыс.руб
Затраты на производство продукции, тыс. руб
1
100
28,0
25,0
3000
2
120
25,0
23,2
2400
3
160
20,6
21,8
2223,6
Определите среднюю себестоимость изделия по трем заводам в базисном году и в отчетном. Обоснуйте выбор вида средней для каждого года и запишите их формулы.
Решение:
Себестоимость определяется делением общей суммы затрат на количество произведенной продукции.
Исходное соотношение по 2-м периодам:
Недостающий показатель для базисного года:
Заменим в исходном соотношении числитель на полученное произведение:
Значит, расчет будем выполнять по формуле средней арифметической взвешенной: =
= 3,9 тыс. руб.
Средняя себестоимость для базисного года равна 23,9 тыс.руб.
Недостающий показатель для отчетного года:
Заменим в исходном соотношении знаменатель на полученное частное:
Значит, расчет средней себестоимости для отчетного года будем выполнять по формуле средней гармонической взвешенной:
= 23,4 тыс. руб.
Средняя себестоимость для отчетного года равна 23,4 тыс. руб.
Задание 2.
На основании результатов проведенного на заводе 5%-ного выборочного наблюдения (отбор случайный бесповторный) получен следующий ряд распределения рабочих по заработной плате:
Группа рабочих по размеру заработной платы, тыс.руб
До 300
300 -340
340 - 380
380 - 420
420 и выше
Итого
Число рабочих
43
50
77
20
10
200
На основании приведенных данных определите:
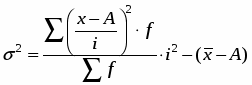
среднюю зарплату одного рабочего (способом «моментов»);
дисперсию и среднее квадратическое отклонение;
коэффициент вариации;
с вероятностью 0,954 (t=2) возможные пределы, в которых ожидается средняя зарплата рабочего в целом по заводу (по генеральной совокупности);
с вероятностью 0,997 (t=3) предельную ошибку и границы доли рабочих с зарплатой от 380 тыс. руб и выше.
Решение:
Формула средней способом моментов:
Группы рабочих по размеру зарплаты, тыс. руб
Число рабочих
Середина интервала
x-A
A=360
i = 40
До 300
43
280
-80
-2
-86
172
300 – 340
50
320
-40
-1
-50
50
340 – 380
77
360
0
0
0
0
380 – 420
20
400
40
1
20
20
420 и выше
10
440
80
2
20
40
Итого
200
-
-
-
-96
282
Рассчитаем среднюю зарплату одного рабочего способом «моментов»:
= 340,8 тыс. руб
Дисперсию можем рассчитать способом «моментов»:
= 1887,36 тыс. руб.
Среднее квадратическое отклонение равно:
= 43,44 тыс.руб
Коэффициент вариации вычисляется по формуле:
= = 12,7 %
Рассчитаем возможные пределы, в которых ожидается средняя зарплата рабочего в целом по заводу (по генеральной совокупности). Вероятность 0,954, t=2.
Для нахождения границ средней величины:
где
- предельная ошибка выборочной средней
При p=0,954 коэффициент доверия t=2
n=200 (численность выборочной совокупности)
N – численность генеральной совокупности.
n/N=0,05 т.к. выборка образцов 5%-ная.
Тогда
Определяем границы средней величины: = 340,8 6 тыс. руб.
Вывод: с вероятностью 0,954 можно утверждать, что возможные пределы, в которых ожидается средняя заработная плата в целом по заводу, заключены в границах от 334,8 тыс.руб. до 346,8 тыс.руб.
Рассчитаем с вероятностью 0,997 предельную ошибку и границы доли рабочих с зарплатой от 380 тыс.руб и выше.
При p=0,997 t=3 число рабочих с заработной платой от 380 тыс.руб. и выше составляют: m=20+10=30 чел.
Удельный вес (доля) рабочих с заработной платой от 380 тыс. руб. и выше составляет:
W=m/n = 30/200 = 0,15 или 15%, т.е., выборочная доля составляет 15%.
или 7,4%
Для нахождения границ удельного веса числа рабочих с заработной платой от 380 тыс. руб. и выше:
=15% 7,4%
7,6% < p < 22,4%
Вывод: с вероятностью p = 0,997 можно утверждать, что возможные пределы доли рабочих с заработной платой от 380 тыс. руб. и выше находятся в границах от 7,6% до 22,4%.
Задание 3.
Динамика розничного товарооборота по району (по магазинам всех форм собственности) характеризуется следующими данными:
Год
1998
1999
2000
2001
2002
2003
Розничный товарооборот, млн. руб
500
540
520
560
600
650
Определите:
аналитические показатели динамического ряда:
абсолютные приросты, темпы роста и прироста по годам и к 1998 г.;
абсолютное содержание 1% прироста;
средний годовой размер товарооборота;
среднегодовой абсолютный прирост, среднегодовой темп роста и прироста;
динамику розничного товарооборота представьте графически.
Результаты представьте в таблице.
Решение:
Рассчитаем аналитические показатели динамического ряда:
Годы
Розничный товарооборот, млн. руб
Абсолютный прирост, млн.руб
Темп роста, %
Темп прироста, %
Абсолютное содержание 1 % прироста
Цепн
Баз.
Цепн
Баз.
Цепн
Баз.
1998
500
-
-
100
100
-
-
-
1999
540
40
40
108
108
8
8
5
2000
520
-20
20
96,2
104
-3,7
4
5,4
2001
560
40
60
107,4
112
7,7
12
5,2
2002
600
40
100
107,1
120
7,1
20
5,6
2003
650
50
150
108,3
130
8,3
30
6,0
Итого
3370
-
-
-
-
-
-
-
Абсолютный прирост цепной:
Абсолютный прирост базисный:
Темп роста цепной:
Темп роста базисный:
Темп прироста цепной:
Темп прироста базисный:
Абсолютное значение одного процента прироста:
Определим средний годовой размер товарооборота:
= 561,6 млн.руб
Определим среднегодовой абсолютный прирост:
30 млн.руб
Среднегодовой темп роста:
1,008 или 100,8%
Среднегодовой темп прироста:
= 100,8% - 100% = 0,8%
Динамика розничного товарооборота:
Задание 4:
Динамика себестоимости и объема продукции по двум заводам характеризуется следующими данными:
Заводы
Выработано продукции, тыс. ед.
Себестоимость единицы продукции, тыс. руб
в базисном периоде
в отчетном периоде
в базисном периоде
в отчетном периоде
1
26
28
40
44
2
30
35
52
56
Определите индексы переменного состава, постоянного состава и структурных сдвигов. Поясните различия между ними.
Решение:
Индекс себестоимости переменного состава представляет собой отношение двух
взвешенных средних величин с переменными весами, характеризующие изменение индексируемого (осредняемого) показателя:
= 1,093 или 109,3%
Индекс себестоимости постоянного состава представляет собой отношение двух взвешенных средних величин с одними и теми же весами:
=1,086 или 108,6%.
Индекс структурных сдвигов равен:
= 1,006 или 100,6%.
Проверим правильность решения с помощью формулы взаимосвязи индексов:
1,093 = 1,086*1,006
Соотношение верно.
Различия: индексы переменного состава характеризуют изменения среднего уровня во времени с учетом переменной структуры. Индекс постоянного состава рассчитывается для устранения влияния структурных сдвигов. Он характеризует изменение среднего уровня во времени с учетом неизменной структуры. Индекс структурных сдвигов рассчитывается для выявления структурных сдвигов.
Задание 5:
Имеются данные о товарообороте и об изменении количества проданных товаров в магазине города:
Наименование товара
Товарооборот в фактических ценах, млн. руб
Изменение количества проданных товаров в % к базисному периоду
в базисном периоде
в отчетном периоде
Ткани
180,0
220,3
+10
Обувь
180,0
270
+30
Плащи женские
200,0
208
Без изменений
Определите:
индивидуальные и общие индексы физического объема товарооборота;
общий индекс товарооборота;
общий индекс цен двумя способами.
Поясните полученные результаты.
Решение:
Индивидуальный индекс физического объема:
Рассчитывается по изменению количества проданных товаров:
Для ткани (100+10=110%)
Для обуви (100+30=130%)
Для плащей женских (без изменения)
Общий индекс физического объема товарооборота
или 112,9% (+12,9%)
Общий индекс товарооборота:
или 124,7% (+24,7%)
Общий индекс цен, используя взаимосвязь индексов:
или 110,5% (+10,5%)
или
Выводы: Товарооборот в отчетном периоде по сравнению с базисным увеличился на 24,7%. Физический объем товарооборота вырос на 12,9%, а цены на товары выросли на 10,5%.
Задание 6.
Имеются следующие данные:
Показатели
Млн. руб
Валовый национальный доход
17900
Текущие трансферты, полученные от «остального мира»
380
Текущие трансферты, переданные «остальному миру»
220
Расходы на конечное потребление домашних хозяйств
12320
Расходы на конечное потребление государственных учреждений
2640
Расходы на конечное потребление некоммерческих организаций, обслуживающих домашние хозяйства
270
Определить валовое сбережение, построить соответствующий счет.
Решение:
Из счета вторичного распределения дохода определим располагаем доход:
Использование
Млн. руб
Ресурсы
Млн. руб.
Текущие трансферты, переданные «остальному миру»
220
1. Валовой национальный доход
2. Текущие трансферты, полученные от «остального мира»
17990
380
Валовой располагаемый доход
18060
ВРД=ВНД+Сальдо ТТ = 17990+380-220=18060 млн. руб.
Теперь составляем счет использования располагаемого дохода:
использование
Млн. руб.
ресурсы
Млн. руб
2. Расходы на конечное потребление
15230
1. Валовой располагаемый доход
18060
Валовое сбережение
2830
Расходы на конечное потребление состоят из РКП домашних хозяйств, государственных учреждений и некоммерческих организаций:
РКП= 12320+2640+270=15230.
Тогда балансирующая статья этого счета - валовое сбережение:
ВС = ВРД-РКП = 18060-15230=2830 млн. руб.
Вывод: Валовое сбережение составило 2830 млн. руб.
Задание 7.
Имеются данные о потреблении непродовольственных товаров:
Товарная группа
Стоимость приобретенных товаров в базисном периоде, млн.руб
Рост стоимости приобретенных товаров (раз)
Индекс цен, %
Трикотажные изделия
240
1,2
134
Одежда
180
1,3
118
На основании данных, приведенных в таблице определить индекс физического объема потребления:
по каждой товарной группе;
по всем товарам вместе.
Решение:
Динамику физического объема потреблений по каждой группе товаров отражает индивидуальный индекс физического объема. Он рассчитывается по следующей формуле:
,
где - индекс физического объема товаров и услуг.
- индекс стоимости товаров и услуг
- индекс цен по товарам.
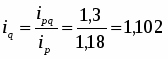
По трикотажным изделиям или 89,6% (-10,4%)
По одежде или 110,2% (+10,2%)
Т.о., физический объем потребления по трикотажным изделиям снизился на 10,4% а по одежде вырос на 10,2%.
2) Динамику физического объема потребления по всем товарам отражает среднегармонический индекс (т.к., стоимость приобретенных товаров дана только в базисном периоде):
или 98,4% (-1,6%).
Вывод: физический объем потребления по всем видам товаров снизился на 1,6%.
Задание 8.
Имеются следующие данные, млн. руб:
Валовый выпуск товаров и услуг в ценах производителей
180000
Промежуточное потребление товаров и услуг в ценах покупателей
100000
Потребление основных фондов
11900
Оплата труда работников
38150
Чистая прибыль экономики
15000
Налоги на производство и импорт
34950
Субсидии на производство и импорт
20000
Расходы на конечное потребление
42870
Валовое накопление основных фондов
23280
Запасы материальных оборотных средств
11800
Экспорт товаров и услуг
6050
Импорт товаров и услуг
4000
Определить валовый внутренний продукт тремя методами.
Решение:
Расчет ВВП производственным методом:
ВВП исчисляется как сумма валовой добавленной стоимости (ВДС) всех отраслей и секторов экономики в рыночных ценах (включая налоги на продукты и импорт без НДС).
ВВП=ВДС
ВДС = Валовый выпуск – Промежуточное потребление.
Т.о., ВВП= 180000-100000=80000.
2. Расчет ВВП распределительным методом.
ВВП = Оплата труда + Налоги на производство и импорт + Другие налоги на производство – Субсидии на производство и импорт + Валовая прибыль экономики.
Недостающий показатель – валовая прибыль экономики. Ее можно рассчитать следующим образом: Чистая прибыль экономики + Потребление основного капитала.
ВПЭ = 15000+11900 = 26900
ВВП = 38150+34950-20000+26900 = 80000
Расчет ВВП методом использования.
ВВП = Конечное потребление товаров и услуг + Валовое накопление + Чистый экспорт товаров и услуг.
Чистый экспорт - это разница между экспортом и импортом товаров и услуг: ЧЭ = Э-И=6050-4000 = 2050
Валовое накопление (ВН) = Валовое накопление основного капитала + Изменение запасов материальных оборотных средств.
ВН=23280+11800 = 35080
ВВП = 42870+35080+2050 = 80000
Нравится материал? Поддержи автора!
Ещё документы из категории экономика:
Чтобы скачать документ, порекомендуйте, пожалуйста, его своим друзьям в любой соц. сети.
После чего кнопка «СКАЧАТЬ» станет доступной!
Кнопочки находятся чуть ниже. Спасибо!
Кнопки:
Скачать документ