Статистическая обработка и анализ показателей экономического развития























































































Содержание
Задача 1
Задача 2
Задача 3
Задача 4
Задача 1
Имеются следующие отчетные данные 25 заводов одной из отраслей промышленности:
С целью изучения зависимости между среднегодовой стоимостью основных производственных фондов и выпуском валовой продукции произведите группировку заводов по среднегодовой стоимости основных производственных фондов, образовав пять групп заводов с равными интервалами. По каждой группе и совокупности заводов подсчитайте:
число заводов;
среднегодовую стоимость основных производственных фондов - всего и в среднем на один завод;
стоимость валовой продукции - всего и в среднем на один завод;
размер валовой продукции на один рубль основных производственных фондов (фондоотдачу).
Результаты представьте в виде групповой таблицы.
Решение
= 0,25 > 0,1 – делим на равные группы
1 группа → 2,5 ÷ 4,0
2 группа → 4,1÷ 5,5
3 группа → 5,6 ÷ 7,0
4 группа → 7,1 ÷ 8,5
5 группа → 8,6 ÷ 10,0
== = 1,5 млрд. руб.
1 группа:
ОПФвсего = 3,0 + 3,7 + 2,5 + 3,0 = 12,2
ОПФ в ср на 1 завод =
ВПвсего = 3,5 + 3,4 + 2,6 + 2,5 = 12,0
ВПв ср на 1 завод = = 3
ФО = = = 0,968
Расчёты по остальным группам проводятся аналогично.
Вывод: использование метода группировок позволяет сделать вывод, что группа № 5 является самой эффективной, так как фондоотдача в этой группе максимальна (1,368).
В связи с этим можно рекомендовать группировать предприятия по числу заводов пятой группы ( 2 ).
№ п/п
интервал
№ заводов
Число заводов
ОПФ
ВП
ФО
всего
В среднем на 1 завод
всего
В среднем на 1 завод
1
2,5 ÷ 4,0
3, 5, 9, 18
4
12,2
3,1
12,0
3,0
0,968
2
4,1÷ 5,5
7, 16, 21, 22, 23, 24
6
25,5
4,3
32,7
5,5
1,279
3
5,6 ÷ 7,0
1, 4, 6, 11, 15, 17, 19, 20, 25
9
55,4
6,2
72
8,0
1,290
4
7,1 ÷ 8,5
8, 12, 13, 14
4
30
7,5
39,9
10,0
1,333
5
8,6 ÷ 10,0
2, 10
2
18,9
9,5
25,9
13,0
1,368
Задача 2
Имеются следующие данные о заработной плате рабочих по цехам завода за два месяца
Номер цеха
Январь
Февраль
Средняя заработная плата, т. руб.
Фонд заработной платы, т. руб.
Средняя заработная плата, т. руб.
Численность рабочих, чел.
1
2
190
210
20900 25200
185
200
100
130
Вычислите среднюю месячную заработную плату рабочих по заводу: 1) за январь; 2) за февраль.
Дайте характеристику динамике средней заработной платы рабочих по каждому цеху и в целом по заводу.
Укажите, какой вид средней надо применять для вычисления этих показателей.
Решение:
ИСО→=
1. Январь
= = = 200,43 т.руб.
Расчёт производится по средневзвешенной гармонической.
2. Февраль
= = = 193,47 т.руб.
Расчёт производится по средневзвешенной арифметической.
3. 200,43 – 193,47 = 6,96 т.руб.
=
Вывод: средняя заработная плата в феврале уменьшилась по сравнению с январём на 6,96 т.руб. или на 3,6%.
Задача 3
Добыча газа в СССР за 1980-1985 гг. характеризуется следующими данными:
Годы
Добыча газа, млрд. м3
1980
435
1981
465
1982
501
1983
536
1984
587
1985
643
Для анализа динамики добычи газа в одиннадцатой пятилетке вычислите:
абсолютные приросты, темпы роста и темпы прироста по годам и к 1980 г.,
абсолютное содержание одного процента прироста. Полученные показатели представьте в таблице;
среднегодовую добычу газа;
3) среднегодовой темп роста и прироста добычи газа. Постройте график динамики добычи газа в СССР за 1980-1985 гг.
Решение
I. Рассчитываем показатели рядов динамики.
1) Абсолютный прирост:
а) базисный
= млрд.м3
= млрд.м3
= млрд.м3
= млрд.м3
= млрд.м3
б) цепной
млрд.м3
млрд.м3
млрд.м3
млрд.м3
млрд.м3
2) Темп роста:
а) базисный
б) цепной
3) Темп прироста:
а) базисный
б) цепной
4) Абсолютное значение 1% прироста:
а) базисный
млрд. м3
б) цепной
млрд.м3
млрд.м3
млрд.м3
млрд.м3
млрд.м3
Результаты расчётов сводим в итоговую таблицу:
Наименование
показателей
рядов
динамики
Вид показателей
Интервал (период времени)
80-81
81-82
82-83
83-84
84-85
1Абсолютный прирост
Базисный
Цепной
30
30
66
36
101
35
152
51
208
56
2 Темп роста
Базисный
Цепной
107
107
115
108
123
107
135
109
148
109
3 Темп прироста
Базисный
Цепной
7
7
15
8
23
7
35
9
48
9
4 Абсолютное значение 1% прироста
Базисный
Цепной
4,35
4,3
4,35
4,5
4,35
5
4,35
5,6
4,35
6,22
Вывод: По всем базисным показателям происходит рост. По цепным показателям абсолютного прироста минимальный рост наблюдается в период 80-81 гг., максимальный 84-85гг.Минимальный темп роста по цепным показателям наблюдается в период 80-81 гг., максимальный 84-85гг. Минимальный темп прироста по цепным показателям наблюдается в период 80-81 гг., максимальный 84-85гг. Абсолютное значение 1% прироста цепных показателей минимальный в период 82-83гг., максимальный 83-84гг.
II. Поскольку в таблице представлены данные для интервального ряда с равноотстоящими интервалами среднегодовую добычу газа рассчитываем по среднеарифметической простой.
млрд. м3
Вывод: среднегодовая добыча газа близка к уровню добычи газа 1983 года.
124,77%
107,99%
20,97%
7,94%
Вывод: наибольший среднегодовой темп роста и прироста добычи газа происходит по базисным показателям, приближен к показателям 82-83гг.
Задача 4
Динамика средних цен и объема продажи на колхозных рынках города характеризуется следующими данными:
Наименование товара
Продано товара, единиц
Средняя цена за единицу .руб.
Базисный период
Отчётный период
Базисный период
Отчетный период
Колхозный рынок №1 Молоко, л.
Творог, кг.
Колхозный рынок №1 Молоко, л.
600
450
500
550
520
1000
2,5
7,5
2,7
3,5
7,8
3,6
На основании имеющихся данных вычислите:
1. Для колхозного рынка №1 (по двум видам товаров вместе):
а) общий индекс товарооборота;
б) общий индекс цен;
в) общий индекс физического объема товарооборота.
Определите в отчетном периоде прирост товарооборота и разложите по факторам (за счет изменения цен и объема продажи товаров).
Покажите взаимосвязь между исчисленными индексами.
Для двух колхозных рынков вместе (по молоку):
а) индекс цен переменного состава;
б) индекс цен постоянного состава;
в) индекс влияния изменения структуры объема продаж молока на динамику средней цены.
Объясните разницу между величинами индексов постоянного и переменного состава.
Решение:
I. Для колхозного рынка №1 (по двум видам товаров вместе):
общий индекс товарооборота;
= 5981 – 4875 = 1106 руб.
б) общий индекс цен;
руб.
в) общий индекс физического объема товарооборота.
руб.
Проверка:
Вывод: Применение индексного метода к первой части задачи позволяет сделать следующие выводы:
- расчёт общего индекса товарооборота показал, что товарооборот в целом на Колхозном рынке №1 возрос на 22,6%, что составило 1106 единиц.
- цены увеличились на 13,3% или 706 руб.
- физический объём продукции также увеличился на 8,2% или на 400 руб., что характеризует позитивную тенденцию, поскольку товар на этом рынке пользуется спросом. Иначе при повышении цен объём продукции и товарооборот бы не увеличился. Это говорит о том, что на рынке отсутствуют конкуренты.
II. Для двух колхозных рынков вместе (по молоку)
Исходные данные
Расчётные данные
Вид продукции
Продано товаров. един.
Средняя цена за единицу
р0 q0
р1 q1
р0 q1
q0
q1
р0
р1
Колхозный рынок №1
Молоко, л.
Колхозный рынок №2
Молоко, л.
600
500
550
1000
2,5
2,7
3,5
3,6
1500
1350
1925
3600
1375
2700
ИТОГО:
1100
1550
-
-
2850
5525
4075
а) индекс цен переменного состава;
б) индекс цен постоянного состава;
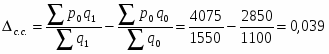
в) индекс влияния изменения структуры объема продаж молока на динамику сред ней цены.
Проверка:
Вывод: - индекс цен переменного состава показывает, что цена литра молока увеличилась на 37,6 % или на 0,974 руб. что обусловлено изменением стоимости единицы продукции на каждом рынке и изменением товарооборота на рынках.
- индекс цен постоянного состава показывает, что цена литра молока увеличилась на 35,5 % или на 0,935 руб. за счёт изменения цен на каждом рынке.
- индекс влияния изменения структуры объема продаж молока на динамику сред ней цены показывает, что цена литра молока увеличилась на 1,5 % или на 0,039 руб. за счёт изменения товарооборота на отдельных рынках.
Нравится материал? Поддержи автора!
Ещё документы из категории экономика:
Чтобы скачать документ, порекомендуйте, пожалуйста, его своим друзьям в любой соц. сети.
После чего кнопка «СКАЧАТЬ» станет доступной!
Кнопочки находятся чуть ниже. Спасибо!
Кнопки:
Скачать документ