Статистические методы изучения экономических явлений


















































































































































































Статистические методы изучения экономических явлений
Введение.
Статистические дисциплины играют важную роль в системе экономического образования. Для общеэкономических специальностей, статистика является основой для разработки и совершенствования методов экономического анализа. Сама же статистика - самостоятельная общественная наука, имеющая свой предмет и метод исследования. Понятие "статистика" происходит от латинского слова "status", которое в переводе, означает - положение, состояние, порядок явлений. Эта наука, изучающая положение дел в государстве. Главная её задача - это сбор цифровых данных, их обобщение и переработка. В зависимости от объекта изучения статистика как наука подразделяется на социальную, демографическую, экономическую, промышленную, торговую, банковскую, финансовую, медицинскую и т.д. Общие свойства статистических данных, независимо от их природы и методы их анализа рассматриваются математической статистикой и общей теорией статистики.
Под предметом статистики понимается количественная сторона массовых общественных явлений в постоянной связи с их содержанием или количественной стороной, а также количественное выражение закономерностей общественного развития в конкретных условиях места и времени. Одной из характерных особенностей статистики является то, что при изучении количественной стороны общественных явлений и процессов она всегда отображает качественные особенности исследуемых явлений, т.е. изучает количество в неразрывной связи, единстве с качеством (качество - это свойства, присущие предмету или явлению, которые отличают данный предмет или явление от других).
Предмет статистики исследуется при помощи определённых понятий, таких как: статистическая совокупность, единица совокупности, признак, статистический показатель, система статистических показателей.
Глава 1. Средние величины и показатели вариации
Средняя величина – это обобщающая количественная характеристика совокупности однотипных явлений по одному варьирующему признаку.
Она отражает объективный уровень, достигнутый в процессе развития явления к определенному моменту или периоду.
Важнейшая особенность средней величины – в том, что она относится к единице изучаемой совокупности и через характеристику единицы характеризует всю совокупность в целом.
Основные свойства средней величины:
Она обладает устойчивостью, что позволяет выявлять закономерности развития явлений. Средняя облегчает сравнение двух совокупностей, обладающих различной численностью.
Она помогает характеризовать развитие уровня явления во времени.
Она помогает выявить и охарактеризовать связь между явлениями.
Средние позволяют исключить влияние индивидуальных значений признака, т.е. они являются абстрактными величинами. Поэтому средние должны употребляться на основе сгруппированных данных.
К расчету средней предъявляются два основных требования:
Среднюю нужно рассчитывать так, чтобы она погашала то, что мешает выявлению характерных черт и закономерностей в развитии явления, а не затушевывала развитие.
Средняя может быть вычислена только для однородной совокупности. Средняя, вычисленная для неоднородной совокупности, называется огульной.
Говоря о методологии исчисления средних, не надо забывать, что средняя всегда дает обобщенную характеристику лишь по одному признаку.
Средние величины делятся на степенные и структурные.
А) К степенным относятся:
Средняя арифметическая простая – применяется в случаях, когда известно значение всех показателей по единицам совокупности, при этом данные не сгруппированы. И рассчитывается она по формуле:
==,
где n – число единиц
В случае, когда данные сгруппированы, имеется информация об индивидуальном значении признака и количестве единиц в каждой группе, используют формулу средней арифметической взвешенной
,
где - частота повторов,
n – индивидуальное значение признаков.
Средняя гармоническая взвешенная– применяется в случаях, когда известны индивидуальное значение признака и общий объем явления, а частота повторов индивидуальных значений не задана.
,
где W – общий объём значения;
Х – индивидуальное значение признака.
Средняя гармоническая простая – используют в ситуациях, когда общий размер явления одинаков для всех индивидуальных значений признака.
Средняя хронологическая – применяется в случаях, когда индивидуальное значение признака приводятся на несколько равноценных дат, а рассматривать надо среднюю за период.
,
где n – число дат;
(n-1) – число периодов
Средняя геометрическая – применяется в случаях, когда индивидуальное значение признака заданы темпами роста (индексами)
К структурным средним относятся:
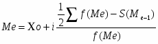
мода
медиана
квартиль
дециль
перцентиль
Основные из них – это мода и медиана
Это значение признака, которое встречается в ряду распределения чаще, чем другие его значения.
В дискретном ряду распределения значения моды определяются визуально. Если же ряд распределения задан как интервальный, то значение моды рассчитывается по следующей формуле:
,
Хо – начальная граница модального интервала,
i – величина модального интервала,
- частота модального интервала,
- частота интервала, предшествующего модальному,
- частота интервала, следующего за модальным.
Это центральное значение признака, им обладает центральный член ранжированного ряда. Определение медианы в дискретном ряду производится следующим образом:
Если ряд содержит нечётное число вариантов: медиана – это центральное значение
Если ряд содержит чётное число вариантов: медиана определяется как среднее из двух центральных мест.
Для интервального ряда медиана рассчитывается по следующей формуле:
Хо – начальная граница медианного интервала,
i – величина медианного интервала,
- накопленные частоты ряда,
- накопленные частоты интервала, предшествующего медианному
1.2. Показатели вариации
Показатели вариации используются для характеристики и упорядочения статистических совокупностей.
Абсолютные показатели вариации
Для измерения размера вариации используются следующие абсолютные показатели: размах, среднее линейное отклонение, дисперсия, среднее квадратическое отклонение.
Размах – показывает, на сколько велико различие между максимальным и минимальным уровнем показателя в изучаемом ряду. Чем сильнее колеблемость, тем больше абсолютные размеры отклонений от средней.
R=Хmax –Xmin
Дисперсия- это средний квадрат отклонений фактических данных от среднего уровня по ряду
- для средней простой
- для средней взвешенной
Среднее линейное отклонение – отражает на сколько в среднем каждый показатель изучаемой совокупности варьирует по отношению к среднему уровню по ряду.
а) для средней простой
, где
- отдельные показатели,
- среднее по ряду
n – число показателей по ряду
б) Для средней взвешенной
Среднее квадратическое (стандартное) отклонение – характеризует то же, что и линейное отклонение, но в практике встречается чаще.
а) для средней простой :
б) для средней взвешенной
Коэффициент вариации – отражает средний размер колебания признака в изучаемой совокупности. Измеряется в %.
Если V меньше 33,3, то средняя исчисленная по ряду – типична, и может быть использована для характеристики совокупности.
Коэффициент осцилляции.
Задание 1.
Выработка одноименных деталей за смену рабочими трёх цехов завода характеризуется следующими данными:
Цех
Январь
Февраль
Средняя выработка деталей за смену одним рабочим, шт
Число рабочих
Средняя выработка деталей за смену одним рабочим, шт
Выработано всего деталей, шт
I
II
III
30
40
35
70
80
50
33
41
36
2343
3280
1944
Вычислите среднюю выработку деталей на одного рабочего по трём цехам завода: а) январь; б) февраль. Полученные показатели сравнить.
Решение.
1.1Определяем средний товарооборот на один магазин по торговой фирме 1. Ориентируясь на характер исходных данных, применяем формулу средней арифметической взвешенной.
,
млн. руб.
1.2.Определяем средний товарооборот на один магазин по торговой фирме 2. Ориентируясь на характер исходных данных, применяем формулу средней гармонической взвешенной.
,
млн. руб.
1.3 Найдем относительную величину двух данных показателей.
ОВ = ,
ОВ = 35,25/36,91 *100=95%
Следовательно, средняя выработка деталей за январь составляет 95% по отношению к февралю. В феврале рентабельней производить детали, чем в январе на 5 %
Задание 2.
Определите средний процент выполнения заданного объема работ по погрузке на №-ском отделении железной дороги, показатели его вариации, моду и медиану
Отделение
Фактический объем погрузки, ваг.
% выполнения задания по погрузке
1
2
3
4
5
5900
7200
12000
5000
4500
102
105
107
98
90
Решение.
Табл. 1. Исходные и расчетные данные для анализа продолжительности ремонта одного вагона.
% выполнения задания по погрузке
Количество отремонтированных вагонов
Расчетные данные
X*f
*f
*f
102
105
107
98
90
57,84
68,57
112,14
51,02
50
5900
7200
12000
5000
4500
0,12
3,12
5,12
3,88
11,88
6,94
213,93
574,15
197,95
594
0,0144
9,7344
26,2144
15,0544
141,1344
0,83
667,48
2939,68
768,07
7056,72
Итого:
339,58
1580
4,67
11432,75
101,88
5,8
2.1. Используя формулу средней гармонической взвешенной определяем среднюю объем погрузки.
,
ч
X*f *f
102*57,84=5900 /102-101,88/=0,12 0,12*57,84=6,94
105*68,57=7200 /105-101,88/=3,12 3,12*68,57=213,93
107*112,14=12000 /107-101,88/=5,12 5,12*112,14=574,15
98*51,02=5000 /98-101,88/=3,88 3,88*51,02=197,95
90*50=4500 /90-101,88/=11,88 11,8*50=594
*f
0,122=0,0144 0,0144*57,84=0,83
3,122=9,7344 9,7344*68,57=667,48
5,122=26,2144 26,2144*112,14=2939,68
3,882=15,0544 15,0544*51,02=768,07
11,882=141,1344 141,1344*50=7056,72
2.2. Находим среднее линейное отклонение. Для средней взвешенной расчёт строится по формуле:
,
2.3. Найдем размах вариации по формуле:
R=Хmax –Xmin,
R=107-90=17
2.4. Определим дисперсию для средней взвешенной по формуле:
,
,
2.5. Находим среднее квадратическое отклонение по формуле:
=
2.6. Определяем коэффициент вариации по формуле:
,
V=,
Глава 2. Ряды динамики.
Задачи статистики в области рядов динамики
определить объем и интенсивность развития явления при помощи измерения уравнения ряда и средних характеристик;
выявить тренд;
определить величину колеблемости уровней ряда вокруг тренда;
выявить и измерить сезонные колебания;
сравнить во времени развитие отдельных экономических показателей;
измерить связь между явлениями и процессами.
Ряд динамики – это ряд последовательно расположенных статистических показателей (в хронологическом порядке), изменение которых показывает ход развития изучаемого явления.
Ряд динамики состоит из двух элементов: момента (периода) времени и соответствующего ему статистического показателя, который называется уровнем ряда. Уровень ряда характеризует размер явления по состоянию на указанный в нем момент (период) времени. В связи со сказанным различают моментные и интервальные ряды динамики.
В зависимости от способов выражения уровней различают ряды динамики, заданные:
а) рядом абсолютных величин;
б) рядом относительных величин;
в) рядом средних величин.
Несопоставимость уровней рядов динамики
Уровни рядов динамики должны быть сопоставимы между собой. Для несопоставимых величин нельзя вести расчеты показателей рядов динамики.
Несопоставимость может быть:
по территории,
по кругу охватываемых объектов,
из-за разных единиц измерения,
из-за изменения уровня явления на различные даты,
из-за различного понимания единицы объекта,
по структуре.
Показатели изменения уровней ряда
Характеристика показателей изменения уровней ряда достигается путем сравнения уровней ряда между собой.
Здесь различаются базисный и текущий периоды и т.п.
Большой проблемой является выбор базы сравнения. Этот выбор должен быть обусловлен теоретически. База сравнения – это наиболее характерный период в развитии изучаемого социально-экономического явления.
Характеризует размер увеличения (уменьшения) уровней ряда за отдельный промежуток времени. Абсолютные приросты могут быть цепными или базисными.
Цепной: Ац = Уп-Уп-1 Базисный: Аб = Ул - Уо
2. Темп роста
Показывает, во сколько раз данный уровень ряда больше или меньше базисного уровня. Представляет собой соотношение двух сравниваемых уровней. Цепной: Тр.цеп Базисный: Тр.баз =
Темпы роста выражаются либо в виде процентов, либо в виде коэффициентов. Если темп роста больше единицы (100%), то уровень ряда возрастает, если меньше – то убывает.
3. Темп прироста
Показывает, на какую долю (процент) уровень данного периода или момента времени больше или меньше базового уровня. Темп прироста может быть измерен и как отношение абсолютного прироста к базовому уровню.
Цепной: Пц = Трц – 100% Базисный: Пб=Трб-100%
4. Абсолютное значение одного процента прироста
Сравнение абсолютного прироста и темпа прироста за одни и те же промежутки времени показывает, что замедление прироста часто не сопровождается уменьшением абсолютных приростов. При замедлении темпов роста абсолютный прирост может увеличиваться, и наоборот.
Р =
Средние характеристики ряда динамики
Записанные характеристики ряда динамики относятся к каждому члену динамического ряда. Только базисные характеристики относятся ко всему периоду. Средние же характеристики полностью охватывают изменения за весь период, к которому относится динамический ряд.
1. Средний уровень ряда.
Показывает, какова средняя величина уровня, характерного для всего периода. Имеет смысл рассчитывать, когда величина изменения ряда более или менее стабильна.
Средний уровень ряда исчисляется по средней хронологической. Ее расчет для интервального и моментного ряда имеет свои особенности. Для интервального ряда, уровни которого можно суммировать, можно исчислять по средней арифметической простой.
Для моментного ряда с равноотстоящими уровнями:
Для моментного ряда с неравноотстоящими интервалами:
2. Средний абсолютный прирост
Показывает скорость развития явления в изучаемом динамическом ряду. Он получается из абсолютных приростов как их средняя арифметическая. Может быть получен также как отношение абсолютного прироста за весь период к числу уровней без одного.
или
3. Средний темп роста
Изменение (рост) социально-экономических явлений происходит по правилу сложных процентов. Средняя геометрическая из годовых темпов роста равна:
или
4. Средний темп прироста
Отражает, на сколько % в среднем прирастают показатели по периодам
5. Среднее абсолютное значение 1% прироста
Выявление основной тенденции развития динамических рядов
Существует два подхода: механическое и аналитическое выравнивание.
Механическое выравнивание:
Выявление основной тенденции может быть осуществлено графически.
Способ укрупнения интервалов.
Метод скользящей средней.
Рассмотрим подробнее последний метод. Итак, смысл аналитического выравнивания методом скользящей средней состоит в том, что он позволяет сглаживать случайные колебания в уровнях развития явления во времени. Поэтому период охватываемой средней постоянно меняется.
Период осреднения как правило выбирается равным временному периоду, в течение которого начинается и заканчивается цикл развития какого-либо явления.
У этого метода есть ряд недостатков:
в зависимости от периода осреднения мы теряем 1, 2, 3 и более уровней ряда;
подсчитанные нами показатели не относятся ни к какому конкретному периоду времени.
Из-за этого не представляется возможным осуществлять прогнозирование развития изучаемых явлений.
Скользящая средняя может быть рассчитана и как взвешенная.
Методы аналитического выравнивания
Это наиболее эффективные методы выравнивания. Имеют конечный вид функции времени (уравнения времени). Возможно выравнивание по прямой, по гиперболе, по параболе 2-го или 3-го порядка.
Задача состоит в том, чтобы подобрать для конкретного ряда динамики такую логарифмическую кривую, которая бы наиболее точно отображала черты фактической динамики. Решение этой задачи часто связано с методом наименьших квадратов, т.к. наилучшим считается такое приближение выровненных данных к эмпирическим, при которых сумма квадратов их отклонений является минимальной. Система уравнений упрощается, если перенести начало отсчета в середину рассматриваемого периода.
Прогнозирование и интерполяция
Прогнозирование (экстраполяция) – это определение будущих размеров экономического явления.
Интерполяция – это определение недостающих показателей уровней ряда.
Наиболее простым методом прогнозирования является расчет средних характеристик роста (средний абсолютный прирост, средний темп роста и т.д.) и перенесение их на будущие даты. Прогнозирование на основе аналитического выравнивания является наиболее распространенным методом.
Задание 3.
По данным таблицы 2.1. вычислите:
Основные аналитические показатели ряда динамики (по цепной и базисной схемам):
Абсолютный прирост;
Темпы роста;
Темпы прироста;
Абсолютное значение 1 % прироста;
Средние показатели ряда динамики:
Средний уровень ряда динамики;
Среднегодовой темп роста;
Среднегодовой темп прироста.
По данным таблицы 2.2. вычислите индекс сезонности и изобразите графически сезонную волну.
Результата расчета аналитических показателей ряда динамики представить в таблице, форма которой приводится ниже (табл. 2.3)
Табл. 2.1. Основные показатели
Показатели
№ варианта
Годы
1996
1997
1998
1999
2000
2001
Среднемесячная заработная плата, руб.
5
790,2
950,0
1051,0
1582,0
2025,0
2367,0
Таблица 2.2. Товарооборот магазина, тыс. руб
Месяц
Номер варианта: 5
Январь
316
Февраль
283
Март
140
Апрель
79
Май
55
Июнь
32
Июль
77
Август
7
Сентябрь
30
Октябрь
201
Ноябрь
125
Декабрь
263
Решение.
а) Табл. 2.3. Основные аналитические показатели ряда динамики.
Годы
Среднемесячная заработная плата, руб.
Абсолютный прирост, тыс.руб.
Темпы роста, %
Темпы прироста, %
абсолютное значение 1% прироста
Базисный
Цепной
Базисный
Цепной
Базисный
Цепной
1996
790,2
-
-
-
-
-
-
-
1997
950,0
159,8
159,8
120,2
120,2
20,2
20,2
7,9
1998
1051,0
260,8
101
133
110,6
33
10,6
9,5
1999
1582,0
791,8
531
200,2
150,5
100,2
50,5
10,5
2000
2025,0
1234,8
443
256,2
128
156,2
28
15,8
2001
2367,0
1576,8
342
299,5
116,8
199,5
16,8
20,3
Найдем абсолютный прирост:
Цепной: Ац = Уп-Уп-1 Базисный: Аб = Ул - Уо
Ац1 = 950,0-790,2=159,8 Аб1 = 950,0-790,2=159,8
Ац 2= 1051-950,0=101 Аб2 = 1051-790,2=260,8
Ац3 = 1582,0-1051,0=531 Аб3 = 1582,0-790,2=791,8
Ац4 = 2025,0-1582,0=443 Аб4 = 2025,0-790,2=1234,8
Ац5 = 2367,0-2025,0=342 Аб5 = 2367,0-790,2=1576,8
Найдем темпы роста:
Цепной: Тр.цеп Базисный: Тр.баз =
Тр.цеп1 = 120,2% Тр.баз1= = 120,2%
Тр.цеп2 = 110,6% Тр.баз2 = = 133%
Тр.цеп3 = 150,5% Тр.баз 3= = 200,2%
Тр.цеп4 = 128% Тр.баз4 = = 256,2%
Тр.цеп5 = 116,8% Тр.баз5 = = 299,5%
Темпы прироста для цепного и базисного способа расчета определяются по формулам:
Цепной: Пц = Трц – 100% Базисный: Пб = Трб - 100%
Пц1 = 120,2-100= 20,2 % Пб1 = 120,2 – 100 = 20,2 %
Пц2 = 110,6– 100 = 10,6 % Пб2 = 133 – 100 = 33 %
Пц3 = 150,5 – 100 = 50,5 % Пб3 = 200,2 – 100 = 100,2 %
Пц4 = 128 – 100 = 28 % Пб4 = 256,2 – 100 = 156,2 %
Пц5 = 116,8– 100 = 16,8 % Пб5 = 299,5 – 100 = 199,5 %
Найдем абсолютное значение 1% прироста по формуле:
Р =
Р = = 7,9
Р = = 9,5
Р = = 10,5
Р = = 15,8
Р = = 20,3
1.2. Средние показатели ряда динамики.
Найдем средний уровень ряда динамики по формуле средней арифметической простой.
где п – число периодов.
Найдем средний абсолютный прирост по формулам:
Таким образом, денежный доход населения в среднем за каждый год увеличивается на 315,36
Определим средние темпы роста по формулам:
124,8
124,5
Средние темпы прироста находим по формуле:
П = 124,8-100 = 24,8
Значит, денежные доходы населения в среднем ежегодно увеличивается на 24,8%
Определим среднее абсолютное значение 1% прироста
Р=
2) Определим индекс сезонности по формуле:
Найдем средний уровень ряда по формуле:
Месяц
Товарооборот магазина, тыс. руб.
индекс сезонности
Январь
316
235,8
Февраль
283
211,1
Март
140
104,4
Апрель
79
58,9
Май
55
41
Июнь
32
23,8
Июль
77
57,5
Август
7
5,2
Сентябрь
30
22,3
Октябрь
201
150
Ноябрь
125
93,2
Декабрь
263
196,2
Т.к. разница между максимальным и минимальным уровнем индекса сезонности превышает 20 %, то товарооборот в магазине носит сезонный характер.
Глава 3. Индексы.
В статистике под индексом понимается относительная величина (показатель), выражающая изменение сложного экономического явления во времени, в пространстве или по сравнению с планом. В связи с этим различают динамические, территориальные индексы, а также индексы выполнения плана.
Многие общественные явления состоят из непосредственно несопоставимых явлений, поэтому основной вопрос – это вопрос сопоставимости сравниваемых явлений.
К какому бы экономическому явлению ни относились индексы, чтобы рассчитать их, необходимо сравнивать различные уровни, которые относятся либо к различным периодам времени, либо к плановому заданию, либо к различным территориям. В связи с этим различают базисный период (период, к которому относится величина, подвергаемая сравнению) и отчетный период (период, к которому относится сравниваемая величина). При исчислении важно правильно выбрать период, принимаемый за базу сравнения.
Индексы могут относиться либо к отдельным элементам сложного экономического явления, либо ко всему явлению в целом.
P – цена;
q – количество;
Z – себестоимость единицы продукции;
t – трудоёмкость;
P1, Z1 – показатели текущего объекта;
P0, Z0 – показатели предыдущего объекта;
Показатели, характеризующие изменение более или менее однородных объектов, входящих в состав сложного явления, называются индивидуальными индексами – iр.
Индекс получает название по названию индексируемой величины.
В большинстве случаев в числителе стоит текущий уровень, а в знаменателе – базисный уровень. Исключением является индекс покупательной способности рубля.
Индексы измеряются либо в виде процентов (%), либо в виде коэффициентов.
iр= P1 / P0
Сложные явления, для которых рассчитывается сводный индекс, отличаются той особенностью, что элементы, их составляющие, неоднородны и, как правило, несоизмеримы друг с другом. Поэтому сопоставление простых сумм этих элементов невозможно. Сопоставимость может быть достигнута различными способами:
сложные явления могут быть разбиты на такие простые элементы, которые в известной степени являются однородными;
сравнение по стоимости, без разбиения на отдельные элементы.
Цель теории индексов – изучение способов получения относительных величин, используемых для расчета общего изменения ряда разнородных явлений.
Если индексируемой величиной является качественный признак, то вес принимается на уровне текущего периода. Если же индексируемой величиной является количественный признак, то вес принимается на уровне базисного периода.
Сводные индексы в агрегатной форме позволяют нам измерить не только относительное изменение отдельных элементов изучаемого явления и явления в целом в текущем периоде по сравнению с базисным, но и абсолютное изменение.
Общий индекс изменения стоимости проданной продукции находится по формуле: ,
Общий индекс физического объема проданной продукции – отражает, во сколько раз возросло количество проданных товаров и во сколько раз возросло выручка за счет этого фактора.
,
Общий индекс цен - характеризует общее изменение цены и то, во сколько раз изменился товарооборот, только за счет ценового фактора.
.
Индексы взаимосвязаны.
= *
На основе индексных моделей можно определить и абсолютное изменение сложных явлений под действием определяющих их факторов.
А значит,
Средние индексы
Агрегатная форма индекса – одна из важнейших, но не единственная. В практических расчетах очень часто используются средние индексы. Это связано с тем, что, например, в индексе цены пересчет продукции, реализованной в текущем периоде, в базисные цены практически очень сложен. В то время как индивидуальные индексы цены на практике разрабатываются постоянно.
Агрегатный индекс цены тождественен среднему гармоническому индексу цены.
q1 z0 = q0 z0 * iq,
iq – темп роста производства;
Агрегатный индекс физического объема тождественен среднему арифметическому индексу физического объема.
- индекс изменения объема
Средний индекс производительности труда имеет следующий вид:
Индекс дефлятора используется для перевода значений стоимостных показателей за отчетный период в стоимостные измерители базисного периода.
Для построения индекса дефлятора можно использовать индексы с переменными весами.
В тех случаях, когда мы анализируем изменение во времени сравниваемой продукции, мы можем поставить вопрос о том, как в различных условиях (на различных участках) меняются составляющие индекса (цена, физический объем, структура производства или реализации отдельных видов продукции). В связи с этим строятся индексы постоянного состава, переменного состава, структурных сдвигов.
Индекс постоянного (фиксированного) состава по своей форме тождественен агрегатному индексу.
Этот индекс не учитывает изменение объема продажи продукции на различных рынках в текущем и базисном периодах.
Индекс переменного состава используется для характеристики изменения средней цены в текущем и базисном периодах.
Влияние изменений в структуре продаж устанавливается с использованием Индекса структурных сдвигов. При его построении не учитывается общие изменение качественного показателя, но берется в расчет изменение в удельном весе товаров отдельных групп.
Рассмотренные индексы взаимосвязаны:
= *
Индексы Пааше, Ласпейреса и "идеальный индекс" Фишера
Сводный индекс цены с базисными весами – это индекс цены Ласпейреса. Надо отметить, что сводный индекс физического объема с базисными
весами также именуется индексом физического объема Ласпейреса.
Сводный индекс физического объема с текущими весами – это индекс цены Пааше. Аналогично сводный индекс цены с текущими весами также называется индексом цены Пааше.
Компромиссом явился "идеальный индекс" Фишера.
Аналогичный индекс можно построить и для индексов физического объема.
Территориальные индексы
В статистике существует необходимость сопоставления уровней экономических явлений в пространстве. Для расчета значений используются территориальные индексы. Для их исчисления соответствующие показатели по всем видам продукции умножаются на количество продукции, произведенной во всей области.
Задание 4.
Номер предприятия
Базисный год
Отчетный год
Выработка, тыс.руб. на 1 чел.
Численность работников
Выработка, тыс.руб. на 1 чел.
Численность работников
1
2
14,3
59,6
1500
423
14,5
60,0
1510
420
Решение.
1. Сопоставив средние уровни отчётного и базисного периодов, наблюдаем изменение двух факторов: выработки q и численности работников z.
или 100,57%
Средняя выработка под влиянием выработки и численности работников возросла на 0,57%.Этот индекс называется индексом переменного состава.
2. Объёмы выработок берут на одном уровне, на уровне отчета.
или 101,03%
Как показывает расчёты, за счет роста выработки отдельным предприятием в среднем выработка выросла на 1,03%. Этот индекс называют индексом постоянного состава, он отражает влияние только индексируемого показателя. По существу этот же свободный индекс себестоимости:
или 99,54%
Как показывает расчёт, за счёт изменения структуры средняя выработка увеличилась на 0,46 %. Этот индекс называют индексом структурных сдвигов, он отражает влияние структуры объема работ на средний уровень индексируемого показателя.
3. Правильность выполнения расчетов можно проверить через взаимосвязь индексов:
Izср(z,q)=I zср(z)* I zср(q)=1.0103*0.9954=100.57
Глава 4. Выборочное наблюдение.
Выборочное наблюдение – одно из наиболее современных видов статистического наблюдения. Выборочное наблюдение – это такое наблюдение, при котором обследованию подвергается часть единиц изучаемой совокупности, отобранных на основе научно разработанных принципов, обеспечивающих получение достаточного количества достоверных данных, для того чтобы охарактеризовать всю совокупность в целом.
Средние и относительные показатели, полученные на основе выборочных данных, должны достаточно полно воспроизводить или репрезентатировать соответствующие показатели совокупности в целом.
Логика выборочного наблюдения
определение объекта и целей выборочного наблюдения;
выбор схема отбора единиц для наблюдения;
расчет объема выборки;
проведение случайного отбора установленного числа единиц из генеральной совокупности;
наблюдение отобранных единиц по установленной программе;
расчет выборочных характеристик в соответствии с программой выборочного наблюдения;
определение ошибки, ее размера;
распространение выборочных данных на генеральную совокупность;
анализ полученных данных.
Основные преимущества
Выборочное наблюдение можно осуществить по более широкой программе.
Выборочное наблюдение более дешевое с точки зрения затрат на его проведение.
Выборочное наблюдение можно организовать тогда и в тех случаях, когда отчетностью мы воспользоваться не можем.
Основные недостатки
Полученные данные всегда содержат в себе ошибку, о результатах наблюдения можно судить лишь с определенной степенью достоверности. Но по сравнению с другими видами наблюдения это достоинство выборочного метода.
Для его проведения требуются квалифицированные кадры.
Вся совокупность единиц, из которых производится отбор, называется генеральной. Совокупность единиц отобранных называется выборочной. Разница статистических характеристик генеральной и выборочной совокупности называется ошибкой выборки или репрезентативности и обозначается
= xср.генер. – xср.выбор.
Чтобы оценить степень точности выборочного наблюдения, необходимо оценить величину ошибок, которые могут возникнуть в процессе проведения выборочного наблюдения.
Основное внимание уделяется случайным ошибкам репрезентативности.
Мерой колеблемости возможных значений выборочной средней является средний квадрат отклонений вариантов выборочной средней от генеральной, взвешенной по их вероятностям, т.е. дисперсия выборочной средней.
Дисперсию доли, как альтернативного признака, определяют по формуле
где w – доля.
Соответственно, ошибка доли определяется по формуле
Средняя ошибка выборки используется для определения возможных отклонений показателей выборочной совокупности от соответствующих показателей генеральной совокупности.
С определенной вероятностью можно утверждать, что эти отклонения не превысят заданной величины , которая называется предельной ошибкой выборки.
=
t – коэффициент, зависящий от вероятности, с которой можно гарантировать определенные размеры предельной ошибки выборки. Применительно к выборочному методу из теоремы Черышева следует, что с увеличением значений величина вероятности быстро приближается к единице.
В связи с этим, увеличивая численность выборки, можно отклонение выборочной средней от генеральной довести до сколь угодно малых размеров, причем это результат можно гарантировать с вероятностью сколь угодно близкой к единице.
Какой бы способ отбора мы не применяли, на последнем этапе в любом случае надо обеспечить случайную выборку, для того чтобы уменьшить размер выборки. Вид выборки определятся способом отбора единиц, подвергающихся наблюдению.
Выборочная совокупность может быть образована либо путем последовательного отбора единиц, либо путем последовательного отбора групп.
Если перед отбором совокупность разбивается на отдельные группы, из которых затем производится индивидуальный отбор, то такая выборка называется типической, районированной, стратифицированной. Если отбирают целые серии и в них проводится сплошное наблюдение, то такая выборка называется серийной, или гнездовой.
Выборка в любом из указанных видов может быть осуществлена путем повторного или бесповторного отбора. Повторный – это такой отбор, при котором каждая единица или серия участвует в отборе столько раз, сколько отбирают единиц или серий. При бесповторном отборе отобранная единица больше не участвует в отборе.
Случайность отбора обеспечивается следующими механизмами:
путем жеребьевки;
путем механической выборки (все единицы совокупности располагаются в определенном порядке, а затем в зависимости от численности выборки отбираются определенные единицы);
с помощью таблицы случайных чисел.
В зависимости от процедуры отбора расчет предельной ошибки выборки имеет определенную модификацию (табл. 4.1)
Табл. 4.1.
Формула для расчета средних ошибок и численности выборки
Показатели
При определении средней
При определении доли
1
2
3
Повторный способ отбора
Средняя ошибка выборки
Предельная ошибка выборки
=
=
Бесповторный способ отбора
Средняя ошибка выборки
Предельная ошибка выборки
Повторный способ отбора
Численность выборки
Средняя ошибка выборки
Предельная ошибка выборки
Бесповторный способ отбора
Средняя ошибка выборки
Предельная ошибка выборки
Задание 5.
Проведено выборочное наблюдение для определения доли брака продукции. В выборку было взято 900 единиц изделий из общего количества в 5 тыс. единиц. В результате выборки был обнаружен брак в 70 изделиях.
Определите;
1) численность бракованных единиц продукции во всей партии с вероятностью 0,937;
2) сколько продукции должно быть обследовано в порядке выборки для определения доли брака с ошибкой не превышающей 1%, исходя из приведенных выше показателей, с вероятностью 0,92.
Дано:
Решение.
Nобщ=5000 дет
n=900
∆x=1%
P1=0.937
P2=0.92
t1=1.86
t2=1.75
70-случаев брака
Определим долю брака:
% бракованных деталей
Дисперсию доли, как альтернативного признака, определяют по формуле
Рассчитаем ошибку выборочной доли с вероятностью 0,937
=0,7%
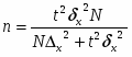
Задаваясь определенной допустимой ошибкой выборки ∆x с вероятностью ошибки р и зная дисперсию изучаемого признака определяют число единиц n подлежащих отбору в выборочную совокупность при бесповторном отборе
n
Глава 5. Статистика численности и состава населения.
Численность населения является моментным показателем. Это означает, что данные учета характеризуют численность населения по состоянию на определенную дату.
Наиболее точную и полную моментную характеристику численности, состава и размещения населения дает перепись населения. Она представляет собой специально организованное на государственном уровне статистическое обследование, позволяющее получить сведения непосредственно от населения путем индивидуального опроса граждан, как правило, по месту жительства (постоянному или временному). Перепись проводится в короткие сроки (в течение нескольких дней или недель), однако все данные собирают по состоянию на так называемый критический момент (обычно полночь накануне первого дня переписи). Совокупность демографических, экономических и социальных сведений, собираемых в процессе переписи о каждом жителе страны, определяется программой переписи. Для расширения круга собираемых данных сплошная перепись может сочетаться с выборочной, когда ряд дополнительных вопросов задается только выборочной совокупности населения.
При проведении переписи населения единицей наблюдения является человек. Относительно каждого человека должны быть собраны сведения демографические (пол, дата, место рождения, состояние в браке и др.), экономические (занятость, вид экономической деятельности, источник средств существования и др.), образовательные (уровень образования, тип учебного заведения и др.), этнические (национальность, родной язык и др.). В связи с переходом на международные стандарты предполагается определять численность и состав не только семей, но и домохозяйств. Это принципиальное изменение позволит улучшить сопоставимость данных с другими странами и соответствует требованиям системы национальных счетов. Если «семья» является демографическим понятием, предполагающим наличие родственных связей, то «домашнее хозяйство» — это экономическое понятие, определяемое как совокупность лиц, проживающих совместно и ведущих общее хозяйство (т.е. объединяющих часть или весь свой доход и имущество) и совместно потребляющих важнейшие типы продуктов и услуг, прежде всего — жилищные услуги и продукты питания. В настоящий момент переписи признаются основным источником данных о населении в мировой статистической практике; лишь в некоторых странах введены регистры населения.
В промежутках между переписями ведется текущий учет демографических событий по мере их наступления (рождений, смертей, браков, разводов, прибытий, выбытий) на основе обработки сведений актов гражданского состояния, данных органов внутренних дел, специальных выборочных обследований миграции населения. В первичных документах фиксируется не только факт наступления события, но и ряд характеристик того лица, с которым это событие произошло. Это позволяет органам государственной статистики при обработке первичных документов отнести каждое событие к определенной социально-демографической группе населения, месту и времени. В промежутках между переписями текущую оценку численности населения получают с использованием итогов последней переписи и данных текущего учета рождаемости, смертности, миграции населения. Численность населения на начало каждого года рассчитывается на основе следующего балансового уравнения:
St+1 = St + Nt - Mt + Пt - Bt
где St и St+1 - численность населения на начало года t и года t+1 соответственно;
Nt - число родившихся в году t; Mt - число умерших в году t;
Пt - число прибывших на данную территорию в году t; Bt - число выбывших с данной территории в году t.
На основании итогов следующей переписи уточняются оценки численности населения за предыдущий межпереписной период.
Численность населения может меняться не только за счет рождаемости и смертности, но и за счет миграции населения.
При проведении переписей населения различают две категории населения: постоянное (ПН) и наличное (НН). Постоянное население — это совокупность лиц, обычно проживающих на данной территории, независимо от их местонахождения на момент учета. Из состава постоянного населения можно выделить группу лиц, находящихся на момент учета за пределами населенного пункта или территории. Такую группу лиц называют временно отсутствующими (ВО), например, выехали в командировку, на временную работу, на отдых, на практику и т.д.
Наличное население — это совокупность лиц, находящихся на данной территории на момент учета, независимо от их места постоянного жительства. Из состава наличного населения можно выделить временно проживающих (ВП) — лиц, находящихся на момент учета на данной территории, но имеющих постоянное место жительства за ее пределами. Между указанными категориями населения существует следующая зависимость:
ПН = НН - ВП + ВО;
НН = ПН - ВО + ВП.
Необходимость учета двух категорий населения диктуется необходимостью решения различных социально-экономических задач. Так, данные о численности наличного населения необходимы для управления, например, работой городского транспорта, торговли, гостиничного хозяйства и т.д. Данные о численности постоянного населения используются органами социального обеспечения, органами местного управления при планировании жилищного строительства, строительства школ, детских и лечебных учреждений и решения других проблем. Постоянное население является основной категорией и при сборе данных, и при обработке.
Географическое распределение людей по территории страны характеризуется численностью населения отдельных территорий и населенных пунктов, а также показателями плотности. Физическая плотность выражается числом жителей, приходящихся на единицу общей площади территории (обычно на 1 км2). Вычисляя экономическую плотность, из площади рассматриваемой территории исключают площадь необитаемых участков и крупных внутренних водоемов.
Демографические процессы подвержены влиянию многих факторов. Так, желание и возможность иметь детей зависят от возраста супругов, их национальности, уровня образования, источников доходов, места жительства. На уровень миграции оказывают также влияние возраст, семейное положение, национальность, род занятий и другие факторы. В связи с этим при составлении демографических прогнозов, разработке направлений социально-экономической политики необходимо учитывать состав населения.
При изучении состава населения используется ряд группировок. Прежде всего следует отметить группировку населения по демографическим признакам - полу и возрасту, поскольку именно эти признаки в значительной степени определяют процесс воспроизводства, под которым понимается постоянное возобновление численности населения и его структуры как путем естественной смены уходящих поколений новыми, так и перехода людей из одних структурных частей в другие. Наглядным способом графического изображения состава населения по демографическим признакам является возрастно-половая пирамида.
По ее виду можно судить о режиме воспроизводства населения, характерном для данной территории, и наличии в прошлом событий, резко изменявших уровни рождаемости и смертности. Причем результаты воздействия глобальных событий, например войны, на возрастной состав населения ощущаются в течение длительного периода. Они проявляются сначала в уменьшении числа родившихся в военные годы, затем через 20-25 лет - в снижении численности детей, родившихся у данного поколения, и через 40-50 лет - численности его внуков.
При разработке материалов переписей и текущего учета используются также группировки населения по национальности, состоянию в браке, уровню образования, месту проживания (городское и сельское население), признаку занятости в сельском хозяйстве (сельскохозяйственное и несельскохозяйственное население), источнику доходов, формам и видам занятости и другим признакам.
Для изучения демографической ситуации по стране в целом и по отдельным территориям большое значение имеет группировка населения по состоянию в браке (при этом выделяют четыре группы лиц: никогда не состоявшие в браке, состоящие в браке, овдовевшие, разведенные), а также распределение семей по типу, размеру, числу детей. Анализ и прогнозирование экономических процессов невозможны без информации о занятости населения. Специалисты считают, что вопрос о занятости является одним из наиболее сложных при проведении переписи населения.
В условиях глобальных социально-экономических изменений, происходящих в России, особое значение приобретает изучение социальной структуры общества. Для решения этой проблемы в программе переписи предусматривается вопрос об источниках средств существования и социальном статусе.
Задание 6.
По данным табл. 5.1. определите:
естественный, механический и общий прирост населения;
оборот миграционных процессов;
коэффициенты: общие коэффициенты рождаемости и смертности, коэффициент фертильности, коэффициент жизненности Покровского, коэффициенты брачности и разводимости, коэффициенты естественного, механического и общего прироста населения;
численность населения через 5 лет;
По данным табл. 5.2. определите тип возрастной структуры и изобразите ее графически. Охарактеризуйте демографическую ситуацию по данным вашего варианта.
Табл. 5.1. Демографические показатели.
Показатели
Ед.изм
В. 5
Численность населения на конец года, А2
млн.чел
148
Число женщина на 1000 мужчин
чел
1130
Доля женцин в возрасте 15-49 лет в общей численности женщин,
%
40
Родилось, N
тыс.чел
1170.4
Умерло, M
тыс.чел
2541.2
Прибыло в страну, Sпр
тыс.чел
809.1
Выбыло из страны, Sвыб
тыс.чел
388.2
Число браков, B
тыс.
1077.4
Число разводов, R
тыс.
675
Табл. 5.2. Распределение населения по возрастным группам, тыс.чел.
Возрастные группы
Вариант:
Все население, в т.ч. в возрасте, лет
129941
0-4
9326
5-9
11975
10-14
13202
15-19
12290
20-24
9706
25-29
7102
30-34
11708
35-39
9327
40-44
10925
45-49
6698
50-54
5253
55-59
6874
60-64
5510
65-69
4181
70 и старше
5806
Решение.
5.1.
5.11 а) Естественный прирост
Пе = N – M
Пе = 1170.4 – 2541.2= - 1370.8тыс.чел.
б) Механический прирост
Пм = Sпр – Sвыб
Пм = 809.1 – 388.2 = 420.9 тыс.чел.
в) Общий прирост
s = Пе + Пм
s = -1370,8+ 420.9 = -949.9 тыс.чел.
5.12. Оборот миграционных процессов
Ом.п. = Sпр + Sвыб
Ом.п. = 809.1 – 388.2 = 420.9 тыс.чел.
5.13. а) Общий коэффициент рождаемости
Кобщ.рожд. = * 1000
,
где - средняя за данный период численность населения
- численность населения на начало и конец года
S1 = А2 - s
S1 = 148000 –(- 949.9) = 148949.9 тыс.чел.
, тыс. чел
К общ.рожд. = ‰
б) Коэффициент смертности
Ксм =*1000
К см. = ‰
в) Коэффициент фертильности
Кф = К общ.рожд * 0,4
Кф = 7,88* 0,4 = 3,152‰
г) Коэффициент естественного прироста
Кест.п = К общ.рожд - К см
Кест.п = 7,88-17,11 = -9,23‰
д) Коэффициент жизненности Покровского
Кжизн. =
Кжизн. = ‰
е) Коэффициент брачности
Кбр = *1000
Кбр = = 7,25 ‰
ж) Коэффициент разводимости
Кразв. =
Кразв. = = 4,54 ‰
и) Коэффициент механического прироста населения
Кмех = * 1000 = * 1000
Кмех = ‰
к) Общий прирост населения
Кобщ = Кест + Кмех
Кобщ = -9,23 + 2,83 = -6,4 ‰
5.1.4. Численность населения через 5 лет
тыс.чел
Исходя из демографических показателей можно сделать вывод, что структура населения имеет прогрессивный вид.
5.2 Возрастная структура
Возрастные группы
Численность населения, ,тыс.чел
Численность населения, А, %
Итого по группе, %
Всё население, в т.ч.в возрасте, лет
129941
0-4
9326
7,17
26,53
5 - 9
11975
9,21
10 - 1 4
13202
10,15
15 - 19
12290
9,45
52,1
20 - 24
9706
7,46
25 - 29
7102
5,46
30 - 34
11708
9,01
35 - 39
9327
7,17
40 - 44
10925
8,40
45 -49
6698
5,15
50 - 54
5253
4,04
21,24
55 - 56
6874
5,29
60 - 64
5510
4,24
65 - 69
4181
3,21
70 и старше
5806
4,46
Возрастная структура
0
10
20
30
40
50
60
0-14
15-49
50 и старше
Возрастные группы
Итого по группе, %
Определим численность населения в % по группам по формуле:
А = Возрастная группа / Всё население
А1 = 9326 / 129941 *100% = 7,17%
А2 = 11975 / 129941 *100% = 9,21%
А3= 13202/129941 *100% = 10,15%
А4 = 12290/ 129941 *100% =9,45 %
А5 = 9706 / 129941 *100% = 7,46%
А6 = 7102/ 129941 *100% =5,46 %
А7 =11708 / 129941 *100% = 9,01%
А8 = 9327/ 129941 *100% = 7,17%
А9 = 10925/ 129941 *100% = 8,40%
А10 = 6698/ 129941 *100% = 5,15%
А11 = 5253/ 129941 *100% = 4,04%
А12 = 6874/ 129941 *100% = 5,29%
А13 = 5510/ 129941 *100% = 4,24%
А14 = 4181/ 129941 *100% =3,21%
А15 = 5806 / 129941 *100% = 4,46%
Итого по группам:
А0-14 = А1+ А2 + А3
А0-14 = 7,17 + 9,21 + 10,15 = 26,53 %
А15 – 49 = А4+ А5 + А6 + А7+ А8 + А9 + А10
А15 – 49 = 9,45+7,46+5,46+9,01+7,17+8,40+5,15=52,1%
А50 И СТАРШЕ = А11+ А12 + А13 + А14+ А15
А50 И СТАРШЕ =4,04+5,29+4,24+3,21+4,46=21,24%
Исходя из демографических показателей, можно сделать вывод, что структура населения имеет прогрессивный вид.
Глава 6. Система национальных счетов.
СИСТЕМА НАЦИОНАЛЬНЫХ СЧЕТОВ (СНС) - система взаимоувязанных показателей, применяемая для описания и анализа макроэкономических процессов более чем в 150 странах мира с рыночной экономикой. СНС возникла в наиболее развитых в экономическом отношении странах в связи с потребностью в информации, необходимой для практического принятия мер по регулированию рыночной экономики и формированию экономической политики.
СНС унифицирована по основным методологическим положениям с платежным балансом, межотраслевым балансом, данные ее широко используются международными экономическими организациями.
Внедрение СНС в России было начато на основании утвержденной в 1992 г. Государственной программы перехода Российской Федерации на принятую в международной практике систему учета и статистики в соответствии с требованиями рыночной экономики.
В методологическом плане СНС России строится в основном с учетом рекомендаций международных организаций, разрабатывающих проблемы СНС, а также Статкомитета СНГ в части преломления основных положений СНС применительно к условиям переходного периода экономического развития страны. Результаты расчетов, как правило, проходят международную экспертизу в МВФ, ОЭСР, Мировом банке.
Вместе с тем методология СНС России несколько отличается по ряду моментов от принятых в международной практике стандартов. В основном эти отклонения связаны с переходным характером российской экономики. Суть схемы СНС сводится к формированию обобщающих показателей развития экономики на различных стадиях процесса воспроизводства и взаимной увязке этих показателей между собой. Каждой стадии воспроизводства (стадии производства, первичного распределения доходов, вторичного распределения доходов, использования на конечное потребление и накопление) соответствует специальный счет или группа счетов.
Счета являются счетами потоков, то есть в них отражается сквозное движение стоимости товаров и услуг через все стадии - от производства до конечного потребления и накопления.
Система завершается построением балансовых таблиц, отражающих итоговое изменение национального богатства в отчетном периоде и межотраслевого баланса, в котором производство и использование стоимости товаров и услуг показывается в детальном отраслевом (продуктовом) разрезе.
Система национальных счетов в России в настоящее время включает следующие счета:
счет товаров и услуг;
счет производства;
счет образования первичных доходов;
счет распределения первичных доходов;
счет вторичного распределения доходов;
счет использования доходов;
счет операций с капиталом.
Задание 7.
По данным табл. 6.1. построить и заполнить следующие сводные национальные счета:
счет производства;
счет товаров и услуг;
счет образования доходов:
счет распределения первичных доходов;
счет вторичного распределения доходов;
счет использования доходов;
счет операций с капиталом.
Проведите экономический анализ заполненных счетов по данным своего варианта. Рассчитайте валовый внутренний продукт тремя методами, определите величину национального дохода и норму сбережения.
Табл. 6.1. Показатели результатов экономической деятельности России за год (трлн.руб.)
Показатели
Вариант: 5
Выпуск товаров и услуг в основных ценах
3650
Промежуточное потребление
2600
Налоги на продукты и импорт
730
Субсидии на продукты и импорт (-)
-68
Оплата труда наемных работников
482
Налоги на производство и импорт
-
Субсидии на производство и импорт
-
Доходы от собственности, полученные от «остального мира»
244
Доходы от собственности, переданные «остальному миру»
431
Текущие трансферты, полученные от «остального мира»
47
Текущие трансферты, переданные «остальному миру»
7
Расходы на конечное потребление – всего
В том числе:
-домохозяйство
- государственного сектора
-некоммерческих организаций
150
78,6
35,7
35,7
Импорт товаров и услуг
498
Экспорт товаров и услуг
1930
Статистическое расхождение
65
Валовое накопление основного капитала
50
Изменение запасов материальных оборотных средств
80
Капитальные трансферты, полученные от «остального мира»
15
Капитальные трансферты, переданные «остальному миру»
3
Решение.
Счет № 1
Производство
Использование
Ресурсы
Промежуточное потребление= 2600
Валовый выпуск = 3650
Налоги на продукты = 730
Субсидии на продукты = -68
Валовая добавленная стоимость = 1848
Промежуточное потребление (ПП) – стоимость товаров и услуг, которые израсходованы в производстве валового выпуска (без заработной платы). Балансирующая статья счета – валовая добавленная стоимость (ВДС):
ВДС = ВВ + НДС – СП – ПП
ВДС = 3650 + 730 – (-68) – 2600 = 1848 трлн.руб.
ВДС в целом по стране представляет собой валовый внутренний продукт, рассчитанный производственным методом. Этот метод расчета позволяет получить ответ на вопрос, где, в какой отрасли, в каком секторе экономики произведен ВВП страны.
Следующий счет в СНС – счет образования доходов. Он отражает формирование первичных доходов участников производства, т.е. позволяет проанализировать, как произведенный ВВП распределяется между факторами производства – наемными работниками (оплата труда), предпринимателями (прибыль), государством (налоги и социальное страхование).
Счет №2 позволяет определить ВВП распределительным методом:
Счет №2
Образование доходов
Использование
Ресурсы
Оплата труда = 482
ВДС = 1848
Налоги = -
Валовая прибыль = 1366
ВВП = ВДС – оплата труда - налоги
ВВП = 1848-482 = 1366 трлн.руб.
Счет №3 характеризует распределение доходов, полученных от производства, между владельцами собственности и таким образом показывает отличие национального дохода (НД) от национального продукта. Различие может быть обусловлено наличием положительного или отрицательного сальдо доходов от собственности «полученных» и «переданных». У «богатых» стран ВНП больше чем НД, так как они имеют инвестиции в других странах и получают доходы от этой собственности. В «бедных» странах наоборот: они являются заемщиками и передают часть произведенного в стране национального продукта в виде плоты за использование чужой собственности другим странам.
Счет № 3
Распределение первичных доходов.
Использование
Ресурсы
Доходы от собственности, переданные другим странам = 431
Прибыль = 1366
Оплата труда = 482
налоги = -
Сальдо первичных доходов = 974
Доходы от собственности, полученные от других стран = 244
Балансирующая статья счета №3 – сальдо первичных доходов – это национальный доход страны:
НД = оплата труда + прибыль + доходы от собственности полученные – доходы от собственности переданные.
НД = 679 + 482 + 244 – 431 = 974 трлн.руб.
Счет №4
Перераспределение доходов.
Использование
Ресурсы
Текущие трансферты, переданные «остальному миру» = 7
НД = 974
Текущие трансферты, полученные от «остального мира»= 47
Располагаемый доход = 1014
В ресурсах счета №4 отражается национальный доход и полученные текущие трансферты. Трансферта – операция, в результате которой одна хозяйственная единица передает другой единице товары, услуги, активы безвозмездно. Различают трансферты капитальные (т.е. одномоментные) и текущие (регулярные платежи). Балансирующая статья счета №4 – располагаемый доход (РД), являющийся источником средств, направляемых на потребление и накопление.
РД = НД + текущие трансферты полученные – текущие трансферты выплаченные
РД = 974 + 47 – 7 = 1014 трлн.руб.
Счет № 5 Использование располагаемого дохода
Использование
Ресурсы
1. Конечное потребление = 150
РД = 1014
1.1. Домашнее хозяйство = 78,6
1.2. Государственного управления = 35,7
1.3.Некоммерческих организаций = 35,7
2. Сбережения = 864
Сбережения = РД – конечное потребление
Сбережения = 1014 – 150 = 864 трлн.руб.
Норма сбережений определяется по соотношению величины сбережений и РД:
Норма сбережений =
Норма сбережений = 0,85
Счет № 8 Операции с капиталом.
Использование
Ресурсы
Капитальные трансферты, выплаченные = 3
Сбережения = 864
Накопления основных фондов = 50
Капитальные трансферты, полученные = 15
Прирост материальных оборотных средств = 80
Чистое кредитование = 133
Чистое заимствование = 879
По данной таблице можно сделать вывод, что наблюдается избыток ресурсов для финансирования капитальных затрат.
Счет № 9
Товаров и услуг
Использование
Ресурсы
Промежуточное потребление =2600
Валовый выпуск = 3650
Конечное потребление = 150
Импорт =498
Валовое накопление = 133
1. Приобретение ОФ = 50
2.Накопление материальных ОС = 80
Чистые налоги на продукты = 730
Экспорт = 1930
Статистическое расхождение = 65
Счет «Товаров и услуг» заполняется только для страны в целом, в этом его отличие от предыдущих счетов, которые заполняются как по секторам, так и по стране в целом. Счет «Товаров и услуг» характеризует общие ресурсы товаров и услуг по стране в целом, а также направления использования этих ресурсов. Этот счет не имеет остатка или балансирующей позиции, поэтому для сводимости данных может быть использована позиция «статистическое расхождение».
Статистическое расхождение = ВВ + импорт + чистые налоги (налоги на продукты – субсидии) – ПП – конечное потребление – экспорт - валовое накопление
Статистическое расхождение = 3650+ 498 + 730 – 2600-150-133– 1930 = 65
На основании счета «Товаров и услуг» можно определить ВВП двумя методами:
Производственным методом:
ВВП = ВВ – ПП + чистые налоги
ВВП = 3650 – 2600 + 730 = 1780 трлн.руб.
Методом конечного использования:
ВВП = КП + Валовое накопление +Экспорт – Импорт
ВВП = 150 + 133 + 1930 – 498 = 1715 трлн. руб.
Заключение.
Рассмотрев основные методы статистических расчетов, становится отчетливо видно, что такая наука, как статистика оказывает незаменимую помощь в решении государственных, экономических, социологических вопросов и во многом способствует развитию данных наук и сфер деятельности. Учитывая тот факт, что влияние статистики распространяется на управленческую и экономическую деятельность предприятий и фирм, можно заключить, что эта наука очень важна для функционирования, роста и успешности предприятий.
В туристской сфере применение статистических данных и проведение статистического наблюдения, с последующим анализом полученной информации, - неотъемлемая часть деятельности любого предприятия. Это обосновывается тем, что туризм должен непрестанно следить за изменением спроса на турпродукты, быть в курсе экономических и финансовых изменений (как на мировом и государственном уровнях, так и на уровне отдельно взятых социальных групп) и т.д. Для этого необходимо постоянно проводить исследования туристского рынка, осуществлять сбор разнообразных данных о населении (их возможностях и потребностях), а также способствовать предприятиям найти оптимальные для них решения, встающих перед ними задач.
Правильно проведённый сбор, анализ данных и статистические расчёты позволяют обеспечить заинтересованные структуры и общественность информацией о развитии экономики, о направлении её развития, показать эффективность использования ресурсов, учесть занятость населения и его трудоспособность, определить темпы роста цен и влияние торговли на сам рынок или отдельно взятую сферу.
Список литературы
1. Елисеева И.И., Юзбашев М.М. Общая теория статистики. – М.: Финансы и статистика, 1998
2. М. Р. Ефимова. «Статистика». М. Инфра-М, 2002г.
3. А. М. Годин. «Статистика». М. «Дашков и К0», 2002г.
4. Экономическая статистика. 2-е издание, учебник/ под редакцией Ю.Н. Иванова. М. Инфра-М, 2001г.
5.Общая теория статистики: Учебник / Под ред. А.А. Спирина, О.Э. Башиной. – М.: Финансы и статистика, 2001
6. Ряузова Н.Н. Общая теория статистики: Учебник. – М.: Финансы и статистика, 1999
7. Социальная статистика: Учебник / Под ред. И.И. Елисеевай. – М.: Финансы и статистика, 1999
8. Социально – экономическая статистика. / Под ред. Г.Л. Громыко. – М.: Изд – во Моск. ун – та, 1999
9. Теория статистики. Учеб. для вузов / Под ред. проф. Р.А. Шмойловой. – М.: Финансы и статистика, 1998
10. Гусаров В.М. Теория статистики. – М.: Аудит. Издательское объединение «ЮНИТИ», 1998
11. Практикиум по статистике: Учеб. пос. / Под ред. проф. в.М. Симчеры. – М.: Финсататинформ, 1999
12. Сироткина Т.С., Каманина А. М. Основы теории статистики. / Учеб. пособие. – М.: АО «Финстатинформ», 2001
13. Статистика: Курс лекций для вузов. / Под ред. В.Г. Ионина. – М.: ИНФРА – М, 2000
14. Харченко Л.П., Долженкова В.Г. Статистика: Курс лекций. - Новосибирск, Инфра – М, 1999
Нравится материал? Поддержи автора!
Ещё документы из категории экономика:
Чтобы скачать документ, порекомендуйте, пожалуйста, его своим друзьям в любой соц. сети.
После чего кнопка «СКАЧАТЬ» станет доступной!
Кнопочки находятся чуть ниже. Спасибо!
Кнопки:
Скачать документ