Статистика промышленной продукции






































ФЕДЕРАЛЬНОЕ АГЕНТСТВО ПО ОБРАЗОВАНИЮ
Государственное образовательное учреждение высшего профессионального образования
«Тихоокеанский государственный университет»
Кафедра: «Экономики и менеджмента»
Контрольная работа
по дисциплине: Статистика
Хабаровск 2010 г.
Содержание
1. Тесты по теме «Статистика промышленной продукции»
2. Задача 1
3. Задача 2
Список литературы
1. Тестовое задание по теме «Статистика промышленной продукции»
1. Напишите формулу расчёта валовой продукции.
Ответ: ВП = ВО – ВЗО,
где ВП – валовая продукция,
ВО – валовой оборот,
ВЗО – внутризаводской оборот.
2. Целью деятельности промышленного предприятия является…
Ответ: Целью деятельности промышленного предприятия является производство продукции, выполнение работ, услуг промышленного характера высокого качества при минимальных затратах.
3. Стоимость продукции, произведенной всеми подразделениями предприятия, независимо от ее назначения называется…
Ответ: Стоимость продукции, произведенной всеми подразделениями предприятия, независимо от ее назначения называется валовым оборотом промышленного предприятия.
4. Услуги, с улучшением потребительских свойств продукта, называются…
Ответ: Услуги, с улучшением потребительских свойств продукта, называются работами промышленного характера.
5. Систематизированный перечень всех изделий, изготавливаемых на предприятии, называется….
Ответ: Систематизированный перечень всех изделий, изготавливаемых на предприятии, называется учетной номенклатурой продукции.
6. К производственным услугам относится:
1) производство товара;
2) рекламирование товара;
3) ремонт зданий;
4) ремонт собственного оборудования.
Ответ: 4) ремонт собственного оборудования.
7. Внутризаводским элементом является:
1) капитальный ремонт;
2) произведенная продукция;
3) изменение остатков полуфабрикатов;
4) полуфабрикаты собственного производства.
Ответ: 3) изменение остатков полуфабрикатов.
8. Товарная продукция определяется по формуле:
1) ВП − ВзО − СМЗ;
2) ВО – ВзО – СМЗ;
3) ВП – ВзЭ – СМЗ;
4) ВП – МЗ.
Ответ: 3) ВП – ВзЭ – СМЗ;
9. Во внутризаводской оборот включаются:
1) внутризаводские элементы;
2) незавершенное производство;
3) полуфабрикаты собственного производства, изготовленные для собственных нужд;
4) капитальный ремонт собственного оборудования.
Ответ: 3) полуфабрикаты собственного производства, изготовленные для собственных нужд; 4) капитальный ремонт собственного оборудования.
10. Стоимость реализованных бракованных изделий включается:
1) в валовую продукцию;
2) в товарную продукцию;
3) в реализованную продукцию;
4) нет правильного ответа.
Ответ: 4) нет правильного ответа.
11. Выбрать элементы, включаемые в товарную продукцию:
1) стоимость внутризаводских элементов;
2) стоимость полуфабрикатов, отпущенных на сторону;
3) стоимость реализованных бракованных изделий;
4) стоимость готовых изделий.
Ответ: 2) стоимость полуфабрикатов, отпущенных на сторону; 4) стоимость готовых изделий.
2. Задача 1
Выпуск продукции молочного комбината характеризуется данными, представленными в таблице 1.
Таблица 1. Выпуск продукции
-
Продукция
Отпускная цена, руб.
План на квартал, тыс. л
Фактический выпуск, тыс. л
I
квартал
II
квартал
III
квартал
IV
квартал
Молоко 1% жира
13,05
140
133
120
140
100
Молоко 1,5% жира
13,73
250
257
250
242
251
Молоко 2,7% жира
14,52
270
273
276
256
240
Определить:
1) выпуск молока в условно-натуральных единицах, если за условную единицу принято молоко с жирностью 2,7%;
2) выполнение плана по выпуску молока в условно-натуральном выражении за год;
3) ритмичность выпуска;
4) равномерность выпуска;
5) выполнение плана по ассортименту.
Сделать выводы.
Решение:
1. Разновидностью натурального учета является учет продукции в условных натуральных измерителях. Сущность метода условных натуральных измерителей состоит в том, что разнообразные продукты данного вида выражаются в единицах одного продукта, условно принятого за единицу измерения.
Для определения объема продукции в условных натуральных единицах измерения (qусл) следует объем продукции в натуральных единицах измерения (qнат) умножить на коэффициент пересчета (Кпересеч):
(1)
Коэффициент пересчета определяется отношением:
(2)
Рассчитаем выпуск молока в условно-натуральных единицах в табл. 2.
Таблица 2. Выпуск молока по кварталам.
Продукция
1 квартал
2 квартал
3 квартал
4 квартал
Факт. выпуск, тыс. л
Коэффициент пересчета
Факт. выпуск, тыс. усл.-нат. ед.
Факт. выпуск, тыс. л
Коэффициент пересчета
Факт. выпуск, тыс. усл.-нат. ед.
Факт. выпуск, тыс. л
Коэффициент пересчета
Факт. выпуск, тыс. усл.-нат. ед.
Факт. выпуск, тыс. л
Коэффициент пересчета
Факт. выпуск, тыс. усл.-нат. ед.
Молоко 1% жира
133
0,52
69,2
120
0,43
51,6
140
0,55
77
100
0,42
42
Молоко 1,5% жира
257
0,94
241,6
250
0,91
227,5
242
0,94
227,5
251
1,05
263,6
Молоко 2,7% жира
273
1,00
273
276
1,00
276
256
1,00
256
240
1,00
240
Итого:
663
–
583,8
646
–
555,1
–
560,5
–
545,6
2. Выполнение плана по выпуску молока в условно-натуральном выражении за год определим с помощью относительной величины выполнения плана (ОВв.п.), которая представляет собой соотнесение фактически достигнутого уровня явления в исследуемом периоде (уф) с планируемым уровнем этого явления (упл):
(3)
Сначала определим выпуск молока в условно-натуральных единицах по видам продукции всего за год:
– молока 1% жира:
В = 69,2+51,6+77+42 = 239,8 тыс. усл.-нат. ед.
– молока 1,5 % жира:
В = 241,6+227,5+227,5+263,6 = 960,2 тыс. усл.-нат. ед.
– молока 2,7 % жира:
В = 273+276+256+240 = 1045 тыс. усл.-нат. ед.
Пересчитаем план каждого квартала в условно-натуральных единицах:
– молока 1% жира:
1 квартал: П1 = 140*0,52 = 72,8 тыс. усл.-нат. ед.
2 квартал: П2 = 140*0,43 = 60,2 тыс. усл.-нат. ед.
3 квартал: П3 = 140*0,55 = 77 тыс. усл.-нат. ед.
4 квартал: П4 = 140*0,42 = 58,8 тыс. усл.-нат. ед.
План за год: Пгод. = П1+П2+П3+П4 = 72,8+60,2+77+58,8 = 268,8 тыс. усл.-нат. ед.
– молока 1,5 % жира:
1 квартал: П1 = 250*0,94 = 235 тыс. усл.-нат. ед.
2 квартал: П2 = 250*0,91 = 227,5 тыс. усл.-нат. ед.
3 квартал: П3 = 250*0,94 = 235 тыс. усл.-нат. ед.
4 квартал: П4 = 250*1,05 = 262,5 тыс. усл.-нат. ед.
План за год: Пгод. = 235+227,5+235+262,5 = 960 тыс. усл.-нат. ед.
– молока 2,7 % жира:
1 квартал: П1 = 273*1,00 = 273 тыс. усл.-нат. ед.
2 квартал: П2 = 276*1,00 = 276 тыс. усл.-нат. ед.
3 квартал: П3 = 256*1,00 = 256 тыс. усл.-нат. ед.
4 квартал: П4 = 240*1,00 = 240 тыс. усл.-нат. ед.
План за год: Пгод. = 273+276+256+240 = 1045 тыс. усл.-нат. ед.
Выполнение плана по выпуску молока в условно-натуральном выражении за год составит:
– молока 1% жира:
– молока 1,5 % жира:
– молока 2,7 % жира:
План по выпуску молока 1% жира в условно-натуральном выражении недовыполнен на 10,8%; по выпуску молока 1,5% жира и 2,7% жира выполнен на 100%.
Ритмичность выпуска – это степень выпуска продукции в течение года. Коэффициент ритмичности рассчитывается по следующей формуле:
Кр.=, (4)
где ΣВф – фактический объем выпуска продукции за год в пределах плана;
ΣВпл – плановый выпуск продукции.
Коэффициент ритмичности составит:
– молока 1% жира:
, или 88%
– молока 1,5 % жира:
, или 99,2%
– молока 2,7 % жира:
, или 95,9%
Чем ближе коэффициент ритмичности к единице, тем ритмичнее велась работа на молочном комбинате. Наиболее ритмичным являлся выпуск молока 1,5% жира (99,2%).
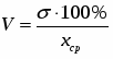
Коэффициент равномерности (R) определяется по формуле:
, (5)
где – коэффициент вариации.
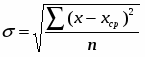
Коэффициент вариации рассчитывается по формуле:
, (6)
где – среднее квадратическое отклонение;
хср – средний процент выполнения плана;
х – процент выполнения плана за каждый период;
n – количество периодов.
Среднее квадратическое отклонение рассчитывается по формуле:
(7)
Составим расчетную таблицу 3.
Таблица 3. Расчет коэффициента равномерности
Продукция
Процент выполнения плана, %
хср , %
R
1 кв.
2 кв.
3 кв.
4 кв.
Молоко 1% жира
95
85,7
100
71,4
88
473,85
10,88
12,4
87,6
Молоко 1,5% жира
102,8
100
96,8
100,4
100
18,08
2,13
2,13
97,87
Молоко 2,7% жира
101,1
102,2
94,8
87,9
96,5
130,5
5,71
5,92
94,08
Выпуск молока 1% жира отклоняется от плана на 12,4%; молока 1,5% жира – на 2,13%, молока 2,7% жира – на 5,92%. Более равномерно на молочном комбинате идет выпуск молока 1,5% жирности.
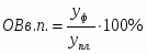
Оценка выполнения плана по всему ассортименту предусматриваемой предприятием продукции исчисляется с помощью среднего процента выполнения задания по ассортименту (Ас, %).
Наиболее точно характеризует степень выполнения плана по ассортименту средний процент, исчисленный по способу наименьшего числа, т.е. в счет выполнения плана принимается наименьшее число из двух величин: планового и фактического выпуска продукции по каждому изделию.
Средний процент выполнения задания по ассортименту рассчитывается как отношение фактически выпущенной продукции в пределах плана к плановому выпуску продукции.
Продукция, изготовленная сверх плана или не предусмотренная планом, не засчитывается в выполнение плана по ассортименту.
Составим расчетную таблицу 4.
Таблица 4. Выполнение плана по ассортименту
Продукция
План на квартал
Выпуск продукции, зачтенный в выполнение плана
Всего за год
Процент выполнения плана по ассортименту, %
Средний годовой процент
I кв.
II
кв.
III кв.
IV
кв.
I кв.
II кв.
III кв.
IV кв.
Молоко 1% жира
140
133
120
140
100
493
95
85,7
100
71,4
88
Молоко 1,5% жира
250
250
250
242
250
992
100
100
96,8
100
99,2
Молоко 2,7% жира
270
270
270
256
240
1036
100
100
94,8
88,9
95,9
План по ассортименту в целом не выполнен по всем видам продукции – по молоку 1% жира недовыполнен на 12%; по молоку 1,5% жира – на 0,8% и по молоку 2,7% жира – на 4,1%. Наибольший процент выполнения имеет выпуск молока 1,5% жира.
По результатам расчетов можно сделать следующий вывод:
На исследуемом молочном комбинате план по выпуску молока 1% жира в условно-натуральном выражении недовыполнен на 10,8%; по выпуску молока 1,5% жира и 2,7% жира выполнен на 100%. Наиболее ритмичным и равномерным являлся выпуск молока 1,5% жира. Наибольший процент выполнения плана по ассортименту имеет выпуск молока 1,5% жира.
3. Задача 2
Имеются данные о производстве продукции на промышленном предприятии с длительным циклом производства за отчетный месяц, млн. руб.:
• Произведено готовой продукции…………………....... 200
В том числе реализовано………………………………… 150
• Произведено полуфабрикатов………………………… 100
Из них:
− переработано в своем производстве………………………………. 10
− отпущено на сторону………………………………………….…… 80
• Остатки незавершенного производства:
− на начало месяца………………………………………………..…... 10
− на конец месяца……………………………………………….…….. 15
• Ремонтным цехом произведен:
− капитальный ремонт своего оборудования………………… 2
− текущий ремонт оборудования……………………………… 1
− капитальный ремонт заводских зданий………………….…. 20
− монтаж металлоконструкций по заказу со стороны………… 5
• Электростанцией произведено электроэнергии………………. 50
В том числе:
− использовано на промышленно-производственные нужды….. 40
− отпущено жилому комплексу…………………………………… 10
• Остатки готовой продукции на складе на начало месяца…….. 25
• Остатки готовой продукции на складе на конец месяца………. 20
•Остатки готовой продукции, отгруженной, но не оплаченной покупателем на начало месяца…………………………………………... 15
• Остатки готовой продукции, отгруженной, но не оплаченной покупателем на конец месяца…………………………………………….. 0
• Реализовано бракованных изделий…………………………………. 4
• Получена оплата за продукцию, поставленную в предыдущем месяце………………………………………………………………… 25
Продукция и работы, отпущенные на сторону, оплачены.
Необходимо:
1) определить валовой оборот, внутризаводской оборот, валовую продукцию (двумя методами), внутризаводские элементы, товарную продукцию (двумя методами), отгруженную продукцию, реализованную продукцию;
2) определить коэффициент реализации, коэффициент отгрузки, коэффициент товарности, коэффициент соотношения валовой продукции и валового оборота, коэффициент внутризаводского комбинирования;
3) провести анализ показателей балансовым методом, если в предыдущем месяце отчетные показатели были следующими: ВО = 370, ВП = 320, ТП = 290, ОП = 280, РП = 250;
4) провести анализ показателей индексным методом. Определить долю влияния каждого фактора на объем реализованной продукции.
Сделать выводы.
Решение:
Валовой оборот (ВО) характеризует в стоимостном выражении объем продукции, произведенной за отчетный период всеми промышленно-производственными цехами предприятия, независимо от того, потреблена эта продукция в других его промышленно-производственных цехах или отпущена за пределы предприятия.
В состав валового оборота включаем:
1) стоимость произведенной готовой продукции (200);
2) стоимость произведенных полуфабрикатов (100);
3) стоимость изменения остатков незавершенного производства (15–10);
4) стоимость работ, произведенных ремонтным цехом (2+1+20+5);
5) стоимость произведенной электроэнергии (50);
6) стоимость изменения остатков готовой продукции на складе (20–25);
7) стоимость изменения остатков отгруженной продукции, но не оплаченной покупателем (0–15);
8) стоимость реализованных бракованных изделий (4);
9) оплата за продукцию, поставленную в предыдущем месяце (25).
Таким образом, валовой оборот составит:
ВО = 200+100+5+28+50+(-5)+(-15)+4+25 = 392 млн. руб.
Внутризаводской оборот (ВЗО) представляет собой стоимость продукции своего производства, потребленной на собственные промышленно-производственные нужды.
В состав внутризаводского оборота входят: полуфабрикаты, переработанные в своем производстве (20); капитальный ремонт своего оборудования (2); текущий ремонт оборудования (1); капитальный ремонт заводских зданий (20) и электроэнергия, использованная на промышленно-производственные нужды (40).
Таким образом, внутризаводской оборот составит:
ВЗО = 20+2+1+20+40 = 83 млн. руб.
Валовая продукция (ВП) – это стоимость общего результата производственной деятельности предприятия за определенный период времени.
Валовая продукция рассчитывается двумя способами:
1 способ: как разница между валовым и внутризаводским оборотом:
ВП = ВО – ВЗО (8)
ВП = 392 – 83 = 309 млн. руб.
2 способ: на основе поэлементного подсчета.
При поэлементном подсчете рассчитывается величина каждого элемента без внутризаводского оборота, и результаты по всем элементам суммируются.
В валовую продукцию входят:
1) стоимость произведенной готовой продукции (200);
2) стоимость полуфабрикатов, отпущенных на сторону (80);
3) стоимость изменения остатков незавершенного производства (15–10);
4) стоимость работ промышленного характера, выполненных по заказу со стороны – монтаж металлоконструкций (5);
5) стоимость электроэнергии, отпущенной жилому комплексу (10);
6) стоимость изменения остатков готовой продукции на складе (20–25);
7) стоимость изменения остатков отгруженной продукции, но не оплаченной покупателем (0–15);
8) стоимость реализованных бракованных изделий (4);
9) оплата за продукцию, поставленную в предыдущем месяце (25).
Таким образом, валовая продукция составит:
ВП = 200+80+5+5+10+(-5)+(-15)+4+25 = 309 млн. руб.
Внутризаводские элементы (ВЗЭ) включают изменение остатков незавершенного производства (15–10) и остатки готовой продукции для собственных нужд предприятия (200–150).
ВЗЭ = 5+50 = 55 млн. руб.
Показатель товарной продукции (ТП) характеризует конечный результат промышленно-производственной деятельности, полностью подготовленный в отчетном периоде к отпуску на сторону, т.е. для использования за пределами основной деятельности.
Товарная продукция рассчитывается двумя способами:
1 способ: как разница между валовой продукцией и внутризаводскими элементами:
ТП=ВП–ВЗЭ (9)
ТП = 309 – 55 = 254 млн. руб.
2 способ: на основе поэлементного подсчета.
При поэлементном подсчете в валовую продукцию включаем:
1) стоимость готовой реализованной продукции (150);
2) стоимость реализованных полуфабрикатов;
3) стоимость работ промышленного характера, выполненных по заказу со стороны – монтаж металлоконструкций (5);
4) стоимость электроэнергии, отпущенной жилому комплексу (10);
5) стоимость изменения остатков готовой продукции на складе (20–25);
6) стоимость изменения остатков отгруженной продукции, но не оплаченной покупателем (0–15);
7) стоимость реализованных бракованных изделий (4);
8) оплата за продукцию, поставленную в предыдущем месяце (25).
Таким образом, товарная продукция составит:
ТП = 150+80+5+10+(-5)+(-15)+4+25 = 254 млн. руб.
Отгруженная продукция (ОП) определяется как разность товарной продукции и остатков готовой продукции на складе (ΔОгп):
ОП=ТП–ΔОгп (10)
ΔОгп = Огп(к) – Огп(н) = 20 – 25 = -5 млн. руб.
ОП = 254 – (-5) = 259 млн. руб.
Реализованная продукция (РП) характеризует стоимость объема продукции, поступившей в данном периоде на рынок и подлежащей оплате потребителями.
Реализованная продукция отличается от объема отгруженной продукции на величину изменения остатков продукции отгруженной, но по различным причинам не оплаченной заказчиками (ΔОПнеопл.):
РП=ОП–ΔОПнеопл. (11)
ΔОПнеопл. = 0 – 15 = -15 млн. руб.
РП = 259 – (-15) = 274 млн. руб.
Коэффициент реализации (Кр) рассчитывается по формуле:
(12)
Определим коэффициент реализации:
– за прошлый месяц:
– за отчетный месяц:
Коэффициент отгрузки (Ко) рассчитывается по формуле:
(13)
Определим коэффициент отгрузки:
– за прошлый месяц:
– за отчетный месяц:
Коэффициент товарности (Кт) рассчитывается по формуле:
Определим коэффициент отгрузки:
– за прошлый месяц:
– за отчетный месяц:
Коэффициент соотношения валовой продукции и валового оборота (Кв) рассчитывается по формуле:
(15)
Определим коэффициент соотношения валовой продукции и валового оборота:
– за прошлый месяц:
– за отчетный месяц:
Сведем в таблицу 5 показатели предыдущего месяца и рассчитанные показатели отчетного месяца и посчитаем отклонение показателей отчетного месяца от предыдущего.
Таблица 5. Показатели объема промышленной продукции.
Показатель
Прошлый месяц
Отчетный месяц
Изменение, млн. руб.
Валовой оборот, млн. руб.
370
392
+22
Валовая продукция, млн. руб.
320
309
-11
Товарная продукция, млн. руб.
290
254
-36
Отгруженная продукция, млн. руб.
280
259
-21
Реализованная продукция, млн. руб.
250
274
+24
По данным таблицы 5 видно, что в отчетном месяце по сравнению с предыдущим валовой оборот увеличился на 22 млн. руб.; объем реализованной продукции – на 24 млн. руб. А объемы валовой, товарной и отгруженной продукции снизились на 11, 36 и 21 млн. руб. соответственно.
Взаимосвязь показателей может быть представлена следующим образом:
(16)
или
(17)
Рассматриваемая модель может быть использована для оценки влияния изменения всех включенных в нее факторов на изменение результативного показателя – объема реализованной продукции – индексным методом:
(18)
Определим индексы:
, или 109,6%
, или 118,5%
, или 105,7%
, или 90,7%
, или 91,1%
, или 105,9%
По результатам расчетов можно сделать следующий вывод:
Проведенный анализ показывает, что объем реализованной продукции в текущем периоде вырос на 9,6%, в том числе за счет увеличения объема валового оборота на 5,9%. Коэффициент, характеризующий соотношение валовой продукции и валового оборота снизился на 8,9%, что говорит о том, что степень готовности изделий, производимых на предприятии, снизилась, внутризаводской оборот увеличился. На рост объема реализованной продукции наиболее значительное влияние (18,5%) оказал рост реализации произведенной продукции, что свидетельствует об улучшении в оплате продукции заказчиками. Коэффициент отгрузки вырос на 5,7%; это означает, что отправка готовой продукции потребителям происходила быстрее, чем в предыдущем периоде. Отрицательное влияние на рост реализованной продукции оказал коэффициент товарности, составивший 90,7% от уровня предыдущего года, что говорит об увеличении накопления внутризаводских элементов, это значит, что службы внутрипроизводственного оперативного планирования работали менее четко, чем в прошлом месяце.
Список литературы
1. Голуб Л.А. Социально-экономическая статистика. – М.: Финансы и статистика, 2003. – 265 с.
2. Иванов Ю.Н. Экономическая статистика: Учебник. – М.: ИНФРА-М, 2002. – 480 с.
3. Курс социально-экономической статистики: Учебник для ВУЗов / под редакцией М.Г.Назарова. – М.:ЮНИТИ-ДАНА, 2003. – 771 с.
4. Салин В.Н., Медведев В.Г., Кудряшова С.И., Шпаковская Е.П. Макроэкономическая статистика: Учеб. пособие. – М.: Дело, 2002. – 336 с.
5. Статистика промышленности / под редакцией Адамова В.Е. – М.: Финансы и статистика, 1997. – 456 с.
1
Нравится материал? Поддержи автора!
Ещё документы из категории экономика:
Чтобы скачать документ, порекомендуйте, пожалуйста, его своим друзьям в любой соц. сети.
После чего кнопка «СКАЧАТЬ» станет доступной!
Кнопочки находятся чуть ниже. Спасибо!
Кнопки:
Скачать документ