Статистика у сільському господарстві


















ЗАДАЧА 1
Маємо наступні дані про залишки напівфабрикатів в цеху підприємства:
Дата
Кількість, тис. грн.
1 липня
90,3
1 серпня
93,6
1 вересня
91,5
1 жовтня
94,1
1 листопада
94,0
1 грудня
97,6
1 січня наступного року
100,2
Обчисліть розміри середніх залишків напівфабрикатів:
за ІІІ квартал
за І квартал
за ІІ півріччя
Поясніть відмінність розрахованих середніх
Рішення
В даному завданні ми маємо моментний ряд, а не періодичний, тому метод обчислення середньої відрізняється від методів, що були використані в задачах №3 та №4
Для вирішення завдання скористуємося хронологічною середньою, тому що моментів більше ніж 2 та інтервали між цими моментами однакові.
,
Залишки за ІІІ квартал:
Залишки за І квартал:
Так як в перший квартал входить лише 1 місяць – січень наступного року, то залишки будуть рівні – 100,2 тис. грн.
Залишки за ІІ півріччя
ЗАДАЧА 2
Під час вивчення урожайності зернових у господарствах АПК регіону проведено 5% вибіркове обстеження 100 га засіяної площі відібраних у випадковому порядку, в результаті якого отримали наступні дані(вибірка без повторна):
Урожайність, ц з га
Засіяна площа, га
До 13
10
13-15
25
15-17
40
17-19
20
Більше 19
5
Разом
100
Використавши наведені дані, обчислити:
середню урожайність зернових з 1 га
дисперсію і середнє квадратичне відхилення
коефіцієнт варіації
з ймовірністю 0,997 граничну похибку вибіркової середньої і можливі межі, в яких очікується середня урожайність у регіоні.
з ймовірністю 0,997 граничну похибку вибіркової долі і межі питомої ваги засіяних площ регіону з урожайністю від 15 до 19 ц з 1 га.
Рішення
Урожайність, ц з га
Засіяна площа. f
Середній інтервал, х
x-a
(a=16)
(i =2)
*f
*f
11-13
10
12
-4
-2
-20
4
40
13-15
25
14
-2
-1
-25
1
25
15-17
40
16
0
0
0
0
0
17-19
20
18
2
1
20
1
20
19-21
5
20
4
2
10
4
20
РАЗОМ
100
Х
Х
Х
-15
Х
105
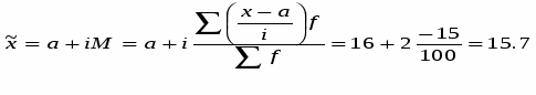
Переводимо інтервальний ряд у дискретний для цього знаходимо середину. Оскільки інтервали рівновеликі розміри відкритих інтервалів приймаємо рівним іншим. Використовуючи підсумкову строку таблиці, А також значення a та i розраховуємо середню урожайність з 1 га.
Розраховуємо ст. похибку у виборці для середньої величини за умов без повторного відбору.
Розраховуємо граничну похибку для середньої величини.
Записуємо границі середньої урожайності.
З імовірністю 90% ми можемо стверджувати, що середня урожайність буде не нижче 14,55 ц з га і не вище 16,85.
Розраховуємо долю питомої ваги засіяних площ з урожайністю від 15 до 19 деталей
Розраховуємо граничну похибку вибіркової частини питомої ваги засіяних площ за умов безповторного відбору
з імовірністю 0,997 розраховуємо граничну похибку для частки ознаки
Доля питомої ваги засіяних площ з урожайністю від 15 до 19 деталей буде:
Таким чином, з імовірністю 99,7% ми можемо стверджувати, що питома вага засіяних площ з урожайністю від 15 до 19 га буде знаходитися в межах від 89,3938% до 30,6061%.
Нравится материал? Поддержи автора!
Ещё документы из категории экономика:
Чтобы скачать документ, порекомендуйте, пожалуйста, его своим друзьям в любой соц. сети.
После чего кнопка «СКАЧАТЬ» станет доступной!
Кнопочки находятся чуть ниже. Спасибо!
Кнопки:
Скачать документ