Статистика

































































































































































































































































































































































































































































































Университет экономики и управления
Горячих М.В.
СТАТИСТИКА
Учебно-методическое пособие
для самостоятельного изучения дисциплины
г. Симферополь 2003
Предисловие
Изучение дисциплины "Статистика" предполагает тесную связь с математической теорией вероятности, основными положениями экономической теории. Решение многих задач статистически неразрывно связано с использованием современной вычислительной техники, что предполагает и знание компьютерной техники, и программирования. В дальнейшем, сформированные в процессе изучения "Статистики" твёрдые теоретические знания и практические навыки помогут студенту в принятии правильных управленческих решений.
Целью преподавания дисциплины является формирование у студентов твёрдых теоретических знаний о сущности и принципах статистического метода анализа, взаимосвязи этапов статистического исследования, о методах сбора и подготовки данных к статистическому анализу, основных методах оценки статистических связей, принципах построения и использования данных выборочных совокупностей. Необходимо также приобретение практических навыков пользования основными статистическими методами для анализа социально-экономических явлений и процессов, осуществления сбора, систематизации и классификации статистической информации, владения методикой обработки этой информации с целью решения конкретных задач анализа экономического и социального развития, самостоятельного, творческого использования полученных результатов анализа для принятия необходимых управленческих решений, а также первичных навыков прогнозирования развития социально-экономических явлений и процессов.
В результате изучения курса "Статистика" студент должен ЗНАТЬ: статистические методы, категории и приёмы экономического анализа развития народного хозяйства, УМЕТЬ: правильно использовать статистические показатели при решении вопросов стабилизации и развития экономики страны, повышения социально-экономических условий жизни населения; нести ответственность за результаты своей работы на каком-либо этапе статистического исследования.
Учебная программа дисциплины «Статистика»
Бюджет учебного времени – 135 ч.
Тематический план дисциплины
№
п/п
Тема курса
Количество часов
Форма контроля
Всего
из них
Лекц.
Сем.
Практ.
С/р
1
Тема 1. Предмет и метод статистики
11
4
2
-
5
2
Тема 2. Статистическое наблюдение
11
4
-
2
5
3
Тема 3. Сводка и группировка статистических данных
12
4
-
2
6
4
Тема 4. Статистические показатели
14
4
-
4
6
5
Тема 5. Анализ рядов распределения
11
4
-
2
5
6
Тема 6. Выборочный метод
11
4
-
2
5
7
Тема 7. Статистическая проверка гипотез
11
4
-
2
5
8
Тема 8. Статистические методы анализа корреляционных связей
12
4
-
2
6
9
Тема 9. Анализ таблиц взаимной сопряжённости
2
2
-
-
-
10
Тема 10. Анализ интенсивности динамики
9
2
-
2
5
11
Тема 11. Анализ тенденций развития
9
2
-
2
5
12
Тема 12. Индексы
15
8
-
2
5
13
Тема 13. Графический метод
7
2
-
-
5
ИТОГО
135
48
2
22
63
Экзамен
Тема 1. Предмет и метод статистики
Становление статистики как науки. Предмет статистики, его три основных элемента. Основные направления статистической науки. Причины, способствовавшие становлению статистики. Базовые понятия и категории статистической науки. Статистическая совокупность. Основной метод статистики и особенности статистической методологии. Задачи статистики и её организации на Украине.
Тема 2. Статистическое наблюдение
Суть, источники и организационные формы статистического наблюдения. Программно-методологическое обеспечение статистического наблюдения. Вопросы организационного обеспечения подготовки и проведения статистического наблюдения. Требования к статистическому наблюдению. Виды и способы наблюдений. Элемент совокупности. Достоверность и своевременность статистических данных – основная задача органов статистики. Ошибки наблюдения и методы их устранения.
Тема 3. Сводка и группировка статистических данных
Сущность и задачи статистической сводки. Группировка – основа научной обработки данных. Виды статистических группировок. Основные вопросы методологии статистических группировок. Задачи статистических группировок. Принципы выбора группировочного признака. Образование групп и интервалов группировки.
Тема 4. Статистические показатели
Обобщающие показатели, их количественная и качественная сторона. Функции статистических показателей. Абсолютные величины, их виды и единицы измерения. Понятие относительных величин, условия их применения в социально-экономическом анализе. Формы выражения и виды относительных величин. Сущность и значение средней величины. Виды средних величин. Средняя арифметическая и условия её применения. Методы расчёта средних величин. Правила выбора средней качественного признака. Структурные средние.
Тема 5. Анализ рядов распределения
Статистические ряды, их классификация. Атрибутивные и вариационные ряды распределения. Процедура ранжирования ряда. Дискретные и непрерывные признаки. Понятие плотности распределения. Симметричный и скошенный вариационный ряд, их графическое изображение. Понятие вариации и основные её показатели. Математические особенности дисперсии. Виды дисперсий. Правило сложения дисперсий.
Тема 6. Выборочный метод
Сущность и преимущества выборочного наблюдения. Методы и способы отбора единиц в выборочную совокупность, обеспечивающие репрезентативность выборки. Определение средней и предельной ошибок выборок. Виды выборки. Определение необходимого объёма выборки. Методы распространения результатов выборки на всю совокупность. Практическое применение выборочного наблюдения в социально-экономическом анализе.
Тема 7. Статистическая проверка гипотез
Общее понятие гипотезы. Ошибки двоякого рода при проверке гипотез. Статистические гипотеза и критерий. Уровень значимости, критическая область и область допустимых значений. Параметрические и порядковые критерии, их мощность. Закон распределения Стьюдента и нормальное распределение. Критерии согласия. Кривая распределения. Элементы дисперсионного анализа. Критерий Фишера.
Тема 8. Статистические методы анализа корреляционных связей
Цель измерения взаимосвязей. Факторный и результативный признака. Функциональная и корреляционная связи. Виды взаимосвязей. Регрессионный анализ. Теоретическая и эмпирическая линия регрессии. Функциональные виды регрессионных уравнений. Оценка плотности связи с помощью коэффициента Пирсона, коэффициента детерминации и корреляционного отношения.
Тема 9. Анализ таблиц взаимной сопряжённости
Анализ взаимосвязи между атрибутивными признаками на основе таблиц взаимной сопряжённости Стохастические связи, фактическое и условное распределение. Коэффициент взаимной сопряжённости Пирсона, Чупрова, Крамера. Коэффициенты ассоциации и контингенции.
Тема 10. Анализ интенсивности динамики
Динамический ряд как база анализа и прогнозирования социально-экономического развития. Виды рядов динамики и правила их построения. Статистические характеристики динамических рядов и их взаимосвязь. Экономическая сущность и техника расчёта средних значений основных характеристик рядов динамики. Обработка рядов динамики с целью выявления основной тенденции развития.
Тема 11. Анализ тенденций развития
Методы выявления основной тенденции. Коэффициенты неравномерности. Сезонные колебания, волна, индекс сезонности. Задачи, решаемые в ходе изучения сезонности. Методы измерения сезонных колебаний.
Тема 12. Экономические индексы
Общее понятие об индексах, их роль в статистико-экономическом анализе. Классификация индексов. Средний гармонический и средний арифметический индексы. Основная форма общего индекса (агрегатный индекс). Взаимосвязь индексов. Территориальные индексы. Индекс структурных сдвигов. Использование индексов в макроэкономическом анализе.
Тема 12. Графический метод
Значение графического метода в статистике. Основные элементы статистического графика: поле, графический образ, пространственные и масштабные ориентиры, экспликация и заголовок графика. Классификация статистических графиков.
Учебно-методическое обеспечение по темам дисциплины
Методические указания, примеры решений типовых задач, задания для самостоятельного выполнения, тесты, рекомендуемая литература
Тема 1. Предмет и метод статистики
План лекционных занятий
1.Введение в предмет «Статистика».
1.1. Возникновение и развитие статистики.
Предмет и метод статистики.
2. Основные понятия и определения статистики.
2.1.Понятия и категории статистики.
Показатели статистики.
Методические указания:
Слово «Статистика» (от лат «status» - положение вещей) означает количественный учёт массовых, прежде всего социально-экономических, явлений и процессов. Она изучает положение вещей в обществе.
Термин «статистика» в практической и научной сферах используют в разных значениях, как:
область науки практической деятельности, направленной на собирание, обработку и анализ массовых социально-экономических явлений;
область знаний, то есть специальную научную дисциплину (статистическая наука) и соответственно, как учебную дисциплину, которую преподают в высших заведениях образования всех уровней. Статистика является важной частью учебного плана подготовки предпринимателей, менеджеров, коммерсантов, экономистов высшей категории;
совокупность сведённых итоговых цифровых показателей, собранных для количественной характеристики какой-либо области социальных явлений или отдельного вопроса.
Исторически развитие статистики связано с созданием государств. Она имеет многовековую историю. Её возникновение и развитие обусловлены общественными потребностями: подсчёт населения, скота, учёт земельных угодий, имущества.
Как наука статистика начала развиваться с середины 17 века по двум направлениям: описательному и математическому.
Важнейшими представителями описательной школы государствоведения были немецкие учёные Г. Коринг (1606-1681) и Г. Ахенваль (1719-1772). Профессор философии и права Г. Ахенваль впервые начал читать новую дисциплину в университете и назвал её статистикой. Математическое направление («политическая арифметика») зародилось в Англии Его основателями были английские учёные Джон Граунт и Уильям Петти (1623-1678). Они ставили своей задачей выявление закономерностей и взаимосвязей экономических явлений с помощью различных расчётов.
Профессор А. Шлицер (1736-1809) опроверг взгляды, что статистика должна описывать лишь политическое устройство государств. Предметом, по его мнению, является всё общество. Большой вклад внес бельгийский статистик А. Кетле (1796-1874) в разработку теории устойчивости статистических показателей. Математическое направление в статистике развивалось в работах Ф. Гальтона (1822-1911), К. Пирсона (1857-1936), шотландского учёного, работавшего на пивоваренном заводе и имевшего статистику как хобби В. Госсета (1876-1936) – Стьюдент - разработал теорию малой выборки, Р. Фишера (1890-1962) – разработал теорию количественной оценки связи между явлениями.
Впервые в русской статистической литературе проблемами статистики занимался К.Ф. Герман. Свои теоретические взгляды он изложил в книге «Всеобщая теория статистики», изданной в 1809 г. Важный этап в развитии статистики и в преподавании этой дисциплины связан с именем профессора Московского университета А.И. Чупрова (1842-1908), издавшего «Курс статистики». В советское время опыт развития статистики обощался в трудах В.И. Хотимского, В.С. Немчинова, В.Н. Старовского, Б.С. Ястремского и других учёных.
Причины, способствовавшие развитию статистики:
развитие бухгалтерского учёта.
Развитие первичной регистрации фактов
Накопление массовых данных и необходимость их обобщения.
В ХХ в. статистические данные начали использовать во всех областях знания. Сегодня статистику используют, изучая жизненный уровень населения и общественную мысль, оценивая предпринимательские риски, в маркетинговых исследованиях, страховании.
Предметом исследования статистики являются массовые явления социально-экономической жизни; она изучает количественную сторону этих явлений в неразрывной связи с их качественным содержанием в конкретных условиях места и времени.
Три основные элемента предмета статистики:
Статистика изучает социальные явления. Это обусловлено их особенностями, законами развития и методами познания. На их размер и динамику влияют разные факторы, которые заключаются в материальных условиях жизни общества, в способе производства, они бывают под действием и других факторов.
Статистика изучает социальные явления с помощью количественных характеристик, которыми могут быть объёмы, уровни, количественные соотношения и пропорции, показатели, темпы развития, которые выражены в определённых числах-показателях. Изучая количественные характеристики, невозможно не раскрыть одновременно количественный состав социальных явлений, поскольку качественный состав, их сущность определяют присущие им количественные характеристики.
В определении предмета содержится то, что статистика изучает социальные явления, то есть такие, которые состоят из достаточно большого количества единиц или фактов. Она изучает закономерности смены количественных характеристик на основе массового обобщения фактов.
Для изучения своего предмета статистика разрабатывает и применяет разнообразные методы, совокупность которых образует статистическую методологию – это комплекс специальных, присущих только статистике методов и приёмов исследования. Она базируется на общефилософских (диалектическая логика) и общенаучных (сравнение, анализ, синтез) принципах.
Особенности статистической методологии связаны, во-первых, с точным измерением и количественным описанием массовых социальных явлений, во-вторых, с использованием обобщающих показателей для характеристики объективных статистических закономерностей.
Для изучения количественного аспекта массовых социально-экономических явлений и процессов статистика использует понятия и категории:
Признак – это отличительная черта, особенность, качество, являющееся характерным для отдельных единиц, объектов (явлений). Признаки промышленного производства: объёмы производства, размер основных производственных фондов, численность персонала и т.п. Демографическими признаками людей могут быть возраст, уровень образования, профессия, пол.
Признаки условно разделяют на качественные (атрибутивные) и количественные. Качественные – признаки, варианты которых, характеризуя особенности отдельных единиц, не имеют количественно выражения. Пол человека – мужской, женский. Профессия – механик, водитель. Если качественные характеристики принимают только одно из двух противоположных значений, то их называю альтернативными.
Количественные признаки имеют только числовое выражение. Стаж работы, урожайность определённой с/х культуры.
Различают основные и второстепенные признаки: Основные – раскрывают суть исследуемых явлений. Второстепенные – не связаны непосредственно с содержанием явлений.
Бывают вариационные и постоянные признаки. Вариационные – принимают разные значения в отдельных единицах исследуемого явления. (Например, при исследовании предпринимательской деятельности объем производства продукции является признаком вариационным, так как он различен для разных предприятий). Постоянные признаки имеют неизменные значения всех единиц исследуемого явления.
вариантами (вариацией) называют отдельные значения признака.
Статистическая совокупность – это большое значение единиц, объектов, явлений, объединённых какими-либо общими особенностями (признаками), которые подлежат статистическому изучению (например, совокупность промышленных предприятий Украины). Отдельные объекты, явления, составляющие статистическую совокупность, называются единицами совокупности.
Статистический показатель – обобщённая количественная характеристика социально-экономических явлений и процессов в их качественном выражении согласно конкретным условиям времени и места. (Численность населения, уровень продуктивности труда, уровень рентабельности).
Система показателей – это совокупность показателей, которые всесторонне характеризуют развитие общества. Она охватывает все стороны жизни общества на различных уровнях: страны и региона (макроуровень), предприятий, фирм, домохозяйств (микроуровень).
Системы статистических показателей имеют следующие особенности:
Они носят исторический характер: меняются условия жизни населения, общества – меняются и системы статистических показателей.
Методология расчёта статистических показателей непрерывно совершенствуется.
Три группы статистических методов:
Метод массовых наблюдений. Известно, что первый этап всякого статистического исследования – это статистическое наблюдение. Оно заключается в сборе первичного статистического материала, в научно организованной регистрации всех существенных фактов, относящихся к рассматриваемому объекту.
Метод группировок, суть которого заключается в том, чтобы все, собранные в результате массового статистического наблюдения, факты подвергнуть систематизации и классификации (второй этап статистического исследования).
Метод обобщающих показателей, позволяющий характеризовать изучаемые явления и процессы при помощи статистических величин – абсолютных, относительных, средних, с целью выявить взаимосвязи и масштабы явлений, закономерности их развития, дать прогнозные оценки.
Познавательное значение статистики заключается в том, что:
статистика даёт цифровое и содержательное освещение изучаемых явлений и процессов, служит самым надёжным способом оценки действительности;
статистка придаёт доказательную силу экономическим выводам, позволяет проверить различные утверждения, отельные теоретические положения;
статистика обладает способностью раскрывать взаимосвязи между явлениями, показывать их конкретную силу и форму;
статистика первая обнаруживает новые явления, процессы и закономерности, даёт им количественную и качественную характеристику.
Сложный комплекс экономических явлений описывают сведённые экономические показатели, называемые синтетическими. Показатели называются натуральными, если их выражают в физических единицах (тоннах, метрах).
Часто статистические показатели условно делят на объёмные и качественные. Объёмные – те, с помощью которых измеряют объём совокупности объектов (элементов), например, произведённой продукции, численность работников предприятия. Качественные - те, которые характеризуют уровень развития явления (себестоимость единицы продукции, уровень рентабельности).
План семинара
Вопросы для обсуждения:
Статистика как наука, статистическая совокупность;
Дополнительные вопросы:
связь статистики с другими науками;
особенности статистики как науки, её составляющие.
2. Статистическая методология:
предмет статистики и её задачи;
метод статистического исследования.
Дополнительные вопросы:
какие функции выполняет статистика в системе управления
на какие этапы делится статистическое исследование? Что их объединяет?
3.Организация статистики в Украине.
Дополнительный вопрос:
Нормативные статистические документы; печатные издания.
Тестовые задания для закрепления материала:
Тест 1
Статистика как наука появилась:
а) в конце 17 века;
б) в середине 19 века;
в) в начале 15 века.
Тест 2
Выделяют основные направления развития статистики:
а) политическая арифметика;
б) государствоведение;
в) статистико-математическое направление;
г) социологическое направление.
Тест 3
Основоположники «политической арифметики»:
а) Петти и Граунт;
б) Ломоносов и Арсеньев.
Тест 4
Различают виды отчётности:
а) внутригосударственная;
б) общегосударственная;
в) ведомственная.
Тест 5
По содержанию выделяют отчётность:
а) типовую;
б) квартальную;
в) специализированную.
Литература
Теорія статистики: Навчальний посібник / Вашків П.Г., Пастер П.Ш., Сторожук В.П., Ткач Є.Ш. – К.: Либідь, 2001. - 320 с.
Статистика: Підручник / С.С. Герасименко, А.В. Головач та ін. 2-е вид., перероб. і доп. – К. : КНЕУ, 2000. – 467 с.
Общая теория статистики: Статистическая методология в изучении коммерческой деятельности: Учебник /Под ред. О.Э. Башиной, А.А. Спирина. – 5-е изд., доп. и перераб. – М.: Финансы и статистика, 1999. – 440 с.
Захожай В.Б., Попов І.І., Коваленко О.В. Практикум з основ статистики: Навч. посіб. – К.: МАУП, 2001. - 176 с.
Тема 2. Статистическое наблюдение
План лекционных занятий
3.Статистическое наблюдение.
3.1.Понятие о статистической информации.
3.2.Организационные формы статистического наблюдения.
3.3.Программно-методологические вопросы статистического наблюдения.
4.Виды статистического наблюдения.
4.1.Организационные вопросы статистического наблюдения.
4.2.Ошибки статистического наблюдения.
Методические указания:
Статистическая информация (статистические данные) – первичный статистический материал, формирующийся в процессе статистического наблюдения, который затем подвергается систематизации, сводке, обработке, анализу и обобщению.
Статистическое наблюдение – начальная стадия экономико-статистического исследования, представляющая собой научно организованную работу по собиранию массовых первичных данных о явлениях и процессах общественной жизни. Важность этапа исследований определяется тем, что использование только объективной и достаточно полной информации, полученной в результате статистического наблюдения, на последующих этапах исследования в состоянии обеспечить научно обоснованные выводы о характере и закономерностях развития изучаемого объекта.
Требования к статистическому наблюдению:
Наблюдаемые явления должны иметь научную или практическую ценность, выражать определённые социально-экономические типы явлений.
Непосредственный сбор массовых данных должен обеспечить полноту фактов, относящихся к рассматриваемому вопросу, т.к. явления находятся в постоянном развитии, изменении. Если отсутствуют полные данные, анализ и выводы могут быть ошибочными.
Для обеспечения достоверности статистических данных необходима тщательная проверка (контроль) качества собираемых фактов, что является одной из важнейших характеристик статистического наблюдения.
Научная организация статистического наблюдения необходима для того, чтобы создать наилучшие условия для получения объективных материалов. Наблюдение должно проводиться по заранее разработанной системе, плану, программе, которые обеспечивают научное решение программно-методологических и организационных вопросов наблюдения.
Статистическое наблюдение осуществляется в 2-х формах: путём предоставления отчётности и проведения специально организованных статистических наблюдений.
1) Отчётность - это такая организационная форма статистического наблюдения, при которой сведения поступают в виде обязательных отчётов в определённые сроки и по утверждённым формам. Особенность отчётности состоит в том, что она обязательна, документально обоснована и юридически подтверждена подписью руководителя. Источниками сведений при этом являются, как правило, первичные учётные записи в документах бухгалтерского и оперативного учёта. Учётно-статистический аппарат обрабатывает первичные записи в документах, и результаты служат основой составления отчётности.
В практике коммерческой работы отчётность подразделяют на общегосударственную и ведомственную. Общегосударственная отчётность предоставляется как в вышестоящую организацию, так и в соответствующие органы государственной статистики. Ведомственная отчётность представляется только в вышестоящие органы торговли.
Отчётность также подразделяется на текущую, представляемую в течение года, и годовую. Наиболее полной по составу является годовая.
2) Специально организованное наблюдение представляет собой специальный сбор сведений. Оно бывает трёх видов:
а) перепись – сплошное статистическое наблюдение, позволяющее получить сведения о численности, размещении, составе населения по различным признакам, необходимые для изучения вопросов социального и экономического развития, для анализа демографических процессов.;
б) единовременный учёт – это срочные переписи для учёта остатков материалов, оборудования;
в) специальное статистическое наблюдение- это выборочные социально-демографические обследования населения, микропереписи.
В зависимости от задач статистического исследования и характера изучаемого явления учёт фактов можно производить:
систематически, постоянно собирая факты по мере их возникновения, текущее наблюдение (отчетность);
регулярно, но не постоянно, а через определённые промежутки времени, периодическое наблюдение (переписи населения).
При подготовке к проведению статистического наблюдения возникает ряд вопросов, требующих своего решения. Они отражаются в организационном плане статистического наблюдения, который содержит две группы вопросов: программно-методологические и организационные.
К первой группе относятся вопросы, связанные с определением цели, объекта и единицы наблюдения, разработкой программы наблюдения, проектированием формуляров и текста инструкций, установлением источников и способов сбора данных.
Вторая группа включает вопросы об органе наблюдения, сроках и месте, о составлении предварительных списков единиц изучаемой статистической совокупности, расстановке и подготовке кадров и т.п.
Объектом статистического наблюдения называется совокупность единиц изучаемого явления, о которых должны быть собраны статистические данные. При определении объекта исследования указывают его основные отличительные черты, важнейшие признаки. В ряде случаев пользуются тем или иным цензом. Ценз – это ограничительный признак, которому должны удовлетворять все единицы изучаемой совокупности. Определяя объект наблюдения, необходимо точно указать единицу наблюдения. Единица наблюдения – это первичный элемент объекта статистического наблюдения, являющийся носителем признаков, подлежащих регистрации, и основой ведущегося при обследовании счёта. При переписи населения единицей наблюдения является каждый отдельный человек, а при определении численности и состава домохозяйств единицей наблюдения будет одно домохозяйство.
Единица совокупности – это та первичная ячейка, от которой должны быть получены необходимые статистические сведения (например, при проведении переписи торгового оборудования единицей наблюдения является торговое предприятие, а единицей совокупности – его оборудование: прилавки, холодильные агрегаты.) При определении объема розничного товарооборота единицами совокупности являются акты купли-продажи товаров населению, торговые предприятия – единицами наблюдения.
Основным вопросом статистического наблюдения является его программа. Программа статистического наблюдения – это перечень вопросов, по которым собираются сведения, либо перечень признаков и показателей, подлежащих регистрации. Программа наблюдения оформляется в виде бланка (анкеты, формуляра), в который заносятся первичные сведения. К бланку прилагается инструкция (или указания на самих формулярах), разъясняющие смысл вопросов.
Статистические формуляры это бланки определённых форм учёта и отчётности. Обязательным элементом статистического формуляра являются его титульная и адресная части. В них указываются наименование наблюдения, кем и когда утверждён, дата представления сведений, наименования предприятий и фамилии, имена и отчества обследуемых лиц и их адреса. Во-первых, для того, чтобы проверить, все ли отчётные единицы представили сведения; во-вторых, - для последующей разработки материалов по отраслевому, территориальному, ведомственному и иным признакам.
Различают два вида носителей информации: индивидуальные и списочные формуляры.
Индивидуальный формуляр содержит сведения об одной единице совокупности.
В списочном формуляре содержатся данные по нескольким единицам совокупности (например, при переписи населения члены одной семьи записываются в один переписной лист). К статистическим формулярам составляется инструкция. Инструкцией называют совокупность разъяснений, главным образом по программе статистического наблюдения. В ней подробно разъясняются цели и задачи исследования, объект и единица статистического наблюдения, указываются способы проведения наблюдения, даются подробные указания к записям ответов на вопросы. В зависимости от сложности программы наблюдения инструкции выпускаются в виде отдельной брошюры, либо помещаются на самом бланке документа. Инструкция должна быть написана кратко, просто, указания должны быть ясными и чёткими.
Статистическое наблюдение подразделяется:
по охвату единиц совокупности - на сплошное и несплошное;
по времени проведения - на непрерывное (текущее), единовременное и периодическое;
по способу организации - на специально организованное статистическое наблюдение и отчётность (рассмотрели на предыдущей лекции);
по источникам сведений - на непосредственное наблюдение, документальное и опрос;
по способу регистрации- экспедиционный, анкетный, корреспондентский, саморегистрация.
По охвату единиц совокупности:
Сплошное – такое наблюдение, при котором обследованию подвергаются все без исключения единицы изучаемой совокупности (перепись населения Украины, получение статистической отчётности от предприятий).
Несплошное – при нём обследованию подвергаются не все единицы статистической совокупности, а только заранее установленная их часть, например, изучение торговых оборотов и цен на городских рынках. Оно имеет ряд преимуществ перед сплошным: за счёт уменьшения числа обследуемых единиц совокупности требуется меньше затрат сил и средств, позволяют применять более детальную программу и более совершенный способ учёта фактов, быстрее подводить итоги обследования, и следовательно, повышает оперативность статистического материала.
Несплошное наблюдение организуется по-разному, в зависимости от задач исследования и характера объекта оно может проводиться выборочно, методом основного массива, быть монографическим. Основным видом является выборочное.
А) Выборочным называется наблюдение, при котором характеристика всей совокупности фактов даётся по некоторой их части, отобранной в случайном порядке. В промышленности оно используется для контроля качества продукции, в сельском хозяйстве - для определения продуктивности скота
Б) Метод основного массива состоит в том, что обследованию подвергается та часть единиц совокупности, у которой величина изучаемого признака является преобладающей во всём объёме (наблюдение за работой городских рынков. Из всех городов и посёлков взято для наблюдения 380 городов. В них проживает свыше 50 % всего городского населения. Оборот рынков в этих городах составляет свыше 60 % всего товарооборота рыночной торговли).
В) Монографическое обследование представляет собой детальное, глубокое изучение и описание отдельных, характерных в каком-либо отношении единиц совокупности. Оно проводится в целях выявления имеющихся или намечающихся тенденций в развитии или для изучения передового опыта отдельных хозяйств, для выявления недостатков в работе. В торговле с помощью монографического обследования изучается работа магазинов, перешедших на новые формы обслуживания населения.
2) По времени проведения:
непрерывное статистическое наблюдение – называемое ещё текущим, проводится тогда, когда необходимо зарегистрировать все единицы, случаи по мере их возникновения. Это систематическая регистрация фактов. Непрерывно регистрируются все дорожно-транспортные происшествия, постоянная регистрация рождений, смертей, браков, разводов, учёт произведённой продукции, отпуска материалов со склада, выручки магазинов. При текущем наблюдении нельзя допускать больших перерывов между моментов возникновения факта и моментом его регистрации. Сведения, полученные в результате сплошного наблюдения, богаче, так как дают непрерывную картину, а не моментальный статистический снимок.
Единовременное наблюдение проводится по мере возникновения потребности в сборе данных, в исследовании конкретного явления или процесса. Например, учёт народных театров, самодеятельных коллективов, обследование школ и т.п.
Периодическое наблюдение проводится через определённые промежутки или периоды времени.
3) По способу регистрации (рассмотрели на предыдущей лекции).
4) По источникам сведений:
непосредственное наблюдение является надёжным источником данных, так как регистрация признаков, фактов производится лично исследователем путём подсчёта, обмера, взвешивания. Однако это требует больших затрат труда. Кроме того, в процессе наблюдения нередко регистрируются уже прошедшие случаи, факты. Этот вид наблюдения используется тогда, когда для него имеются все необходимые условия;
документальное наблюдение основывается на различных документах, таких как счета клиентов, рекламации на качество продукции, свидетельства о рождении. Это надёжный метод получения фактов. На практике важнейшие виды статистического наблюдения основываются на документальном способе сбора данных;
опрос - это наблюдение, при котором ответы на изучаемые вопросы записываются со слов вопрошаемого (перепись населения). Он различается по способу регистрации.
В зависимости от способа регистрации:
экспедиционный, при котором специально подготовленный счётчик опрашивает людей и с их слов заполняет бланк обследования. Работа счётчика гарантирует единообразное понимание вопросов и максимальную правильность ответов.
анкетное обследование - сбор данных основан на принципе добровольного заполнения анкет адресатами (листов опроса). Проверить достоверность сложно. Заполненных анкет присылается гораздо меньше, чем посланных. Он применяется, когда не нужна большая точность, а лишь приблизительные характеристики (в библиотеках для опроса читателей, для изучения спроса населения на отдельные товары);
корреспондентский способ, при котором рассылаются бланки обследования и указания к их заполнению с просьбой ответить на поставленные вопросы. Он не требует больших затрат, но и не обеспечивает высокого качества материалов, так как проверить точность сообщаемых сведение непосредственно на месте не всегда возможно.
Способ саморегистрации (самоисчисления) – соответствующие документы заполняют сами опрашиваемые. Обязанность регистраторов состоит в раздаче бланков наблюдения опрашиваемым, инструктаже и сборе заполненных формуляров.
В целях успешного проведения статистического наблюдения разрабатывается организационный план – это основной документ, в котором отображаются важнейшие вопросы организации и проведения намеченных мероприятий. В нём указываются: органы наблюдения, время наблюдения, сроки, а также подготовительные работы, в том числе порядок комплектования и обучения кадров, необходимых для проведения наблюдения, порядок проведения, приёма материалов, получения предварительных и окончательных итогов.
При организации статистического наблюдения обязательно должен быть решён вопрос о времени проведения наблюдения, включая выбор сезона, установление срока (периода ) и критического момента наблюдения.
Сезон (время года) для наблюдения следует выбрать такой, в котором изучаемый объект пребывает в обычном для него состоянии (например, перепись населения чаще всего проводится зимой, так как наблюдается наименьшее передвижение).
Под периодом (сроком) проведения наблюдения понимается время начала и окончания сбора сведений.
Время наблюдения – это время, к которому относятся данные собранной информации. Для предупреждения неполного учёта или повторного счёта для всех единиц статистической совокупности устанавливается единое время регистрации изучаемых показателей.
Критической называют дату, по состоянию на которую сообщаются сведения. При переписях обычно устанавливаются время начала (дата, а иногда и час) и время окончания регистрации наблюдения фактов.
Критическим моментом наблюдения выбирают полночь, момент окончания одних суток и начала других. Умершие после 12 ночи вносились в переписные листы, а родившиеся после 12 ночи учёту не подлежали и в переписные листы не вносились.
Точность и достоверность собираемой информации – важнейшие задачи статистического наблюдения. Под точностью статистической информации понимается уровень соответствия величины изучаемого показателя показателю, получаемому посредством статистического наблюдения, действительному его значению.
Ошибки статистического наблюдения – это отклонения или разности между исчисленными показателями и их истинными значениями.
В зависимости от характера и степени влияния на конечные результаты наблюдения, а также исходя из источников и причин возникновения неточностей, допускаемых в процессе статистического наблюдения, выделяют ошибки регистрации и ошибки репрезентативности (представительности).
Ошибки регистрации возникают вследствие неправильного установления фактов в процессе наблюдения или неправильной их записи. Они подразделяются на случайные и систематические и могут быть как при сплошном, так и при несплошном наблюдении.
Случайные ошибки – это ошибки регистрации, которые могут быть допущены как опрашиваемыми в ответах, так и регистраторами при заполнении бланков. (Например, запись не в ту графу, или вместо 28 – 38 лет).
Систематические ошибки могут быть преднамеренными и непреднамеренными. Преднамеренные (сознательные, тенденциозные искажения) получаются в результате того, что опрашиваемый, зная действительное положение дела, сознательно сообщает неправильные данные.(преднамеренное искажение информации об объеме выпущенной продукции, об остатках сырья). Непреднамеренные ошибки вызываются случайными причинами (небрежность, невнимательность, неисправность измерительных приборов).
Ошибки репрезентативности свойственны несплошному наблюдению. Возникают в результате того, что состав отобранной для обследования части единиц совокупности недостаточно полно представляет всю совокупность, хотя регистрация проведена точно. Ошибки репрезентативности могут быть также случайными и систематическими.
Случайные ошибки репрезентативности – это отклонения, возникающие при несплошном наблюдении из-за того, что совокупность отобранных единиц неполно воспроизводить всю совокупность. (величина этой ошибки может быть оценена математически).
Систематические ошибки репрезентативности – это отклонения, возникающие вследствие нарушения принципов случайного отбора единиц изучаемой совокупности. Они количественной оценке не поддаются.
Для выявления и устранения допущенных при регистрации ошибок применяется счётный и логический контроль собранного материала.
Счётный контроль заключается в проверке точности арифметических расчётов, применявшихся при составлении отчётности или заполнении формуляров обследования.
Логический контроль заключается в проверке ответов на вопросы программы наблюдения путём их логического осмысления или сравнения полученных данных с другими источниками (2-х летний мальчик женат, а девятилетний ребёнок имеет высшее образование).
Решение типовых задач
Задача № 1.
Изучите экономическую эффективность сельскохозяйственного производства в хозяйстве района, которое специализируется на производстве зерна, картофеля, молока, мяса свиней. С этой целю необходимо разработать программу статистического наблюдения, то есть наметить и отобрать статистические показатели, с помощью которых можно будет получить ответ на поставленные вопросы. Намеченные показатели следует взять из годовых отчётов хозяйства.
Ход решения:
Разрабатывая программу наблюдения, следует опираться на теоретический анализ содержания и особенностей исследуемого явления – экономическую эффективность сельскохозяйственного производства. Особенность этой экономической категории состоит в том, что она измеряется многими показателями. Результаты производства выражают объёмом валовой и товарной продукции, валового и чистого дохода. Затраты на производство продукции выражают затратами живого труда, совокупными затратами живого и овеществлённого труда, суммой текущих затрат, капитальными вложениями.
Из разнообразия показателей экономической эффективности возьмём самые важные:
а) производство валовой продукции, валового и чистого дохода на единицу ресурсов сельского хозяйства:
б) рентабельность, %;
в) эффективность (окупаемость) текущих затрат
г) урожайность, ц/га;
д) продуктивность животных:
среднегодовой удой молока, кг;
среднесуточный прирост свиней, г.
е) производство кормов из расчёта на 1 га сельскохозяйственных угодий, центнеров кормовых единиц.
Чтобы определить такие показатели, необходимы данные, которые нужно включить в программу наблюдения:
а) валовая продукция сельского хозяйства, грн.;
б) валовый доход, грн.;
в) чистый доход (прибыль), грн.;
г) себестоимость реализованной продукции – всего, грн.;
д) производственные затраты – всего, грн.;
е) среднегодовая численность работников, чел.;
ж) урожайность зерновых культур, ц/га;
з) урожайность картофеля, ц/га;
и) среднесуточный прирост свиней, г;
к) производство кормов за год, центнеров кормовых единиц;
л) среднегодовая стоимость основных производственных фондов, грн.;
м) среднегодовая стоимость оборотных фондов, грн.
В случае необходимости изучения зависимости экономической эффективности сельскохозяйственного производства от его основных факторов целесообразно включить в программу сведения о таких факторах: количество внесённых минеральных и органических удобрений (в целом и по отдельным культурам), качество грунта, обеспеченность основными производственными и оборотными фондами, рабочей силой, отработку человеко-часов одним работником за год и т.п.
Все, намеченные программою наблюдения, показатели зашифровать и записать на специальной карточке.
Задания для самостоятельного выполнения
Задача №2.
Какие бы признаки Вы наметили для регистрации при проведении:
а) обследования страховых компаний города;
б) обследования промышленных предприятий с целью изучения безработицы;
в) обследования рынка жилья.
Задача №3.
В целях изучения проблем молодых семей в городе намечено провести выборочное обследование. Определите перечень вопросов, которые , по Вашему мнению, можно было бы включить в анкету обследования. Какие семьи Вы считаете молодыми?
Задача №4.
Укажите форму, вид и способ наблюдения для следующих обследований:
годовой баланс предприятия;
перепись населения;
выборы Президента страны;
регистрация браков;
сертификация напитков;
экзамен по статистике.
Задача №5.
Менеджер супермаркета «Фуршет» решил провести обследование с целью выявления резервов и направлений улучшения работы его отделов. Помогите:
а) определить и ограничить объект и единицу наблюдения;
б) выбрать вид наблюдения и разработать его программу;
в) подготовить формуляр и краткую инструкцию.
Задача №6.
Для эффективного размещения рабочих, проживающих в общежитии, необходимо провести статистическое обследование их по составу. Для этого:
а) определите перечень вопросов, которые Вы считаете необходимым включить в программу обследования;
б) спроектируйте формуляр обследования и напишите инструкцию по его заполнению;
в) составьте организационный план обследования.
Тестовые задания для закрепления материала
Тест 1
Статистическое наблюдение должно отвечать таким требованиям:
а) иметь научную или практическую ценность;
б) содержать ошибки наблюдения;
в) обеспечивать полноту фактов;
г) обеспечивать контроль качества собираемых фактов;
д) производиться эксплуатационным способом.
Тест 2
Виды статистического наблюдения:
а) сплошное;
б) систематизированное;
в) несплошное.
Тест 3
Разновидности несплошного наблюдения:
а) анкетное;
б) обследование несплошного наблюдения;
в) монографическое;
г) выборочное;
д) экспедиционное.
Тест 4
Первая стадия статистического исследования – это:
а) анализ;
б) сводка;
в) статистическое наблюдение.
Тест 5
Для проведения статистического наблюдения составляют:
а) статистическую программу и формуляры;
б) статистическую программу и статистический план;
в) цель и план.
Тест 6
Основные формы статистического наблюдения:
а) перепись;
б) специально организованное;
в) выборка;
г) отчётная форма.
Тест 7
Источниками первичной информации в статистике являются:
а) опрос;
б) документальное наблюдение;
в) непосредственное;
г) несплошное наблюдение.
Тест 8
Основные способы статистического наблюдения:
а) экспедиционный;
б) саморегистрации;
в) опрос;
г) явочный;
д) корреспондентский.
Тест 9
Для выявления и устранения ошибок в статистике используют:
а) внешний контроль;
б) систематический контроль;
в) логический контроль;
г) счётный контроль.
Тест 10
Ошибки наблюдения делят на два вида:
а) ошибки регистрации;
б) ошибки случайные;
в) ошибки репрезентативности.
Тест 11
Систематические ошибки делятся на:
а) преднамеренные;
б) непреднамеренные;
в) внешние;
г) логические.
Тест 12
По организационным формам различают наблюдения:
а) непрерывное, периодическое, разовое;
б) сплошное, выборочное, метод основного массива;
в) непосредственное, документальное, опрос;
г) отчётность, специально организованное наблюдение.
Тест 13
Непрерывным наблюдением считается:
а) инвентаризация товарно-материальных ценностей;
б) учёт кассовой выручки;
в) сбор данных о выданных банком кредитах.
Тест 14
Периодическим наблюдением считается:
а) учёт природного движения населения;
б) плановая ревизия деятельности учреждения;
в) регистрация браков, разводов.
Тест 15
Одноразовым наблюдением считается:
а) обследование бюджета времени студентов;
б) опрос пассажиров о дальности поездки в городском транспорте;
в) регистрация браков, разводов.
Тест 16
Комитет по статистике проводит статистическое наблюдение за уровнем розничных цен на продуктовых рынках больших городов, в которых проживает больше половины городского населения страны. По величине охвата единиц совокупности наблюдение считается:
а) сплошным;
б) выборочным;
в) монографическим;
г) обследованием основного массива.
Тест 17
Проводится запись актов гражданского состояния. По величине охвата единиц совокупности наблюдение считается:
а) сплошным;
б) выборочным;
в) монографическим;
г) обследованием основного массива.
Тест 18
Суть статистического наблюдения состоит:
а) в планомерном научно-организованном отборе массовых данных о явлениях и процессах общественной жизни;
б) в статистической обработке данных;
в) в исчислении обобщающих статистических показателей.
Тест 19
Статистическое наблюдение осуществляется путём:
а) представления отчётов о работе;
б) проведения специально организованного наблюдения;
в) исчисления обобщающих статистических показателей.
Тест 20
Объектом наблюдения в статистике называется:
а) перепись, одноразовый учёт;
б) совокупность единиц, о которых должна быть собрана необходимая информация;
в) первичное звено совокупности, от которого необходимо получить информацию в процессе наблюдения;
г) первичный элемент статистической совокупности, который является носителем признаков, подлежащих регистрации.
Тест 21
Единицею наблюдения в статистике называется:
а) социально-экономическое явление или процесс, подлежащие статистическому наблюдению;
б) перепись, одноразовое наблюдение;
в) первичный элемент статистической совокупности, который является носителем признаков, подлежащих регистрации;
г) первичный элемент совокупности, от которой необходимо получить сведения в процессе наблюдения.
Тест 22
Программно-методологическая часть плана статистического наблюдения требует определения:
а) места и времени наблюдения;
б) объекта, цели, единицы и программы наблюдения;
в) формы, вида и способов наблюдения.
Тест 23
Проводится перепись работников универмагов. Единицей совокупности является:
а) универмаги;
б) сотрудники универмага;
в) универмаг;
г) отдельный сотрудник универмага.
Тест 24
По времени регистрации фактов наблюдение бывает:
а) текущим, периодическим, разовым;
б) сплошным, несплошным, монографическим;
в) непосредственным, документальным, опросом;
г) отчётность, специально организованное наблюдение.
Тест 25
Источником данных об общем объёме товарооборота магазина считается:
а) отчётность;
б) специально организованное наблюдение.
Тест 26
Источником данных о количестве продуктов, проданных на колхозном рынке, считается:
а) отчётность;
б) специально организованное наблюдение.
Литература
Ефимова М.Р. , Петрова Е.В., Румянцев В.Н. Общая теория статистики: Учебник. Изд. 2-е, испр. и доп. – М.:ИНФА-М, 2002. – 416 с.
Теорія статистики: Навчальний посібник / Вашків П.Г., Пастер П.Ш., Сторожук В.П., Ткач Є.Ш. – К.: Либідь, 2001. - 320 с.
Статистика: Підручник / С.С. Герасименко, А.В. Головач та ін. 2-е вид., перероб. і доп. – К. : КНЕУ, 2000. – 467 с.
Статистика: Учебное пособие/Харченко Л.П., Долженкова В.Г., Ионин В.Г. и др.; Под ред. В.Г. Ионина. – Изд. 2-е, перераб. и доп. – М.: ИНФРА-М, 2002. – 384 с.
Мармоза А.Т. Практикум з основ статистики. К.: Ельга, Ніка-Центр, 2003. – 344 с.
Сборник задач по общей теории статистики. Учебное пособие. Изд. 2-е. /Под ред. Серга Л.К. – М.: Информационно-издательский дом «Филин», Рилант, 2001. – 360 с.
Тема 3. Сводка и группировка статистических данных
План лекционных занятий
5.Статистическая сводка и группировка данных
5.1.Понятие о статистической сводке.
5.2.Методологические вопросы статистических группировок, их значение в экономическом исследовании.
6.Виды статистических группировок
6.1.Задачи статистических группировок, их виды.
6.2.Принципы выбора группировочного признака.
6.3.Образование групп и интервалов группировок.
Методические указания:
Получаемая в ходе статистического наблюдения информация характеризует отдельные единицы совокупности с разных сторон. Общую характеристику можно получить, систематизируя и обобщая имеющуюся информацию. Статистическая сводка – систематизация единичных фактов, позволяющая перейти к обобщающим показателям, относящимся ко всей изучаемой совокупности и её частям, и осуществлять анализ и прогнозирование изучаемых явлений и процессов. Кроме обязательного контроля собранных данных, сводка включает систематизацию, группировку материалов, составление таблиц, получение итогов и производных показателей (средних, относительных величин). Сводка представляет собой второй этап статистического исследования.
Цель статистической сводки – получение на основе сведений материалов обобщающих статистических показателей, отражающих сущность социально-экономических явлений и определённые закономерности.
Статистические сводки различаются по ряду признаков:
сложности построения;
месту проведения;
по способу разработки материалов статистического наблюдения.
Этапы работы по статистической сводке исходной информации:
Разработка программы систематизации и группировки данных.
Обоснование системы показателей для характеристики групп и совокупности в целом.
Проектирование макетов таблиц, в которых подаются результаты сводки.
Определение технологических схем обработки информации, программного обеспечения.
Подготовка данных к обработке на компьютере, формирование автоматизированных банков данных.
Непосредственная сводка, обобщение, расчёт показателей.
Статистическая группировка – это разбивка совокупности на группы, однородные по какому-либо признаку или объединение отдельных единиц совокупности в группы, однородные по каким-либо признакам.
Устойчивое разграничение объектов называется классификацией. Это особый вид группировок, получивший широкое распространение в статистике. Классификация – это как бы стандарт, в котором каждая атрибутивная запись может быть отнесена лишь к одной группе или подгруппе.
Типологическая группировка разделяет неоднородную совокупность на качественно однородные группы, классы, социально-экономические типы.
Структурная группировка позволяет описать составные части совокупности или строение типов, а также проанализировать структурные сдвиги. В большинстве своём структурные группировки производятся на основе образования качественно однородных групп, хотя нередко они применяются и без предварительного расчленения совокупности на части. Анализ структуры совокупности позволяет сделать определённые выводы, важные для практической деятельности.
Аналитическая (факторная) группировка – оценивает связи между взаимодействующими признаками, один из которых является результативным, а второй факторным, влияющим на результат. Аналитическая группировка осуществляется по факторному признаку, и в каждой группе определяется средний уровень результативного признака.
Разделение на эти три вида группировки условное, так как чаще всего группировки универсальные (комбинированные): одновременно отделяются типы, определяется состав совокупности, выявляется взаимосвязь между признаками. Но увеличение числа группировочных признаков ограничивается уменьшением наглядности, что снижает эффективность использования статистической информации.
Группировочный признак (основание группировки) – признак, по которому происходит объединение отдельных единиц совокупности в однородные группы. Группировка может быть простой (по одному признаку) и комбинационной (группы по одному признаку разделяются на подгруппы по другим признаком). Всё многообразие признаков, на основе которых могут производиться статистические группировки, можно классифицировать:
- по форме выражения. Группировочные признаки могут быть атрибутивными (профессия, образование) и количественными, которые в свою очередь могут быть дискретными (прерывными), значения которых выражаются только целыми числами (число товарных секций) и непрерывными (принимающими как целые, так и дробные значения – объём проданных товаров, сумма издержек обращения).
- по характеру колеблемости. Признаки могут быть альтернативными, которыми одни единицы обладают, а другие нет (товары качественные или некачественные), и имеющими множество значений (величина фонда оплаты труда, торговая площадь).
- по той роли, которую играют признаки во взаимосвязи: факторные (воздействующие на другие) и результативные (испытывающие на себе влияние других). В зависимости от сложившихся условий признаки могут меняться ролями.
Интервал очерчивает количественные границы групп. Это, как правило, промежуток между максимальными и минимальными значениями признака в группе. Интервалы бывают:
равные, когда разность между максимальными и минимальными значениями в каждом из интервалов одинакова;
неравные, когда, например, ширина интервала постепенно увеличивается, а верхний интервал часто не закрывается вовсе;
открытые, когда имеется только верхняя, либо только нижняя граница;
закрытые, когда имеются и верхняя, и нижняя границы.
При условии равномерного изменения признака в границах вариации ширина такого интервала определяется по формуле:
,
где - диапазон вариации значений признака;
- количество групп.
Количество групп ориентировочно можно определить по формуле Стерджеса:
,
где - объём совокупности.
Решение типовых задач
Задача № 1.
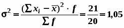
Имеются следующие данные о 23 рабочих-сдельщиках:
Таблица 1
№
п/п
Стаж работы, лет
Месячная выработка продукции, грн.
№
п/п
Стаж работы, лет
Месячная выработка продукции, грн.
1
2
3
4
5
6
1
1,0
220
13
10,5
306
2
6,5
310
14
1,0
252
3
9,2
327
15
9,0
290
4
4,5
275
16
5,0
265
5
6,0
280
17
6,0
282
6
2,5
253
18
10,2
288
7
2,7
245
19
5,0
240
8
16,0
340
20
5,4
270
9
13,2
312
21
7,5
278
10
14,0
352
22
8,0
288
11
11,0
325
23
8,5
295
12
12,0
308
Для изучения зависимости между приведёнными показателями произвести группировку рабочих по стажу работы, выделив 5 групп с равными интервалами. По каждой из них и по совокупности в целом подсчитать количество рабочих (абсолютное и в процентах к итогу), средний стаж работы, среднемесячную выработку продукции. Результаты представить в таблице, сделать краткие выводы.
Ход решения:
Сначала определяется интервал:
,
где - диапазон вариации значений признака;
- количество групп.
года.
С учётом минимального значения признака в совокупности и размера интервала к 1 группе будут отнесены рабочие со стажем от 1 года до 4 лет включительно; ко 2 – от 4-7; к 3 – от 7-10; к 4 – от 10 – 13; к 5 – от 13 - 16.
Для расчёта составляется вспомогательная таблица группировки рабочих по стажу:
Рабочая таблица 1
Списочный номер рабочего
Стаж работы, лет
Месячная выработка продукции, грн.
1
2
3
Группа 1, интервал 1 - 4
1
1,0
220
6
2,5
253
7
2,7
247
14
1,0
252
Итого 4
7,2
972
Группа 2, интервал 4 - 7
2
6,5
310
4
4,5
275
5
6,0
280
16
5,0
265
17
6,0
282
19
5,0
240
20
5,4
270
Итого 7
38,4
1922
Группа 3 , интервал 7 - 10
3
9,2
327
15
9,0
290
21
7,5
278
22
8,0
288
23
8,5
295
Итого 5
42,2
1478
Группа 4, интервал 10 - 13
11
11,0
325
12
12,0
308
13
10,5
306
18
10,2
288
Итого 4
43,7
1227
Группа 5, интервал 13 - 16
8
16,0
340
9
13,2
312
10
14,0
352
Итого 3
43,2
1004
Всего 23
174,7
6603
Используя итоговые данные по каждой группе, построим основную таблицу группировки рабочих по стажу.
Средний стаж работы в каждой группе рассчитывается отношением общего стажа к числу рабочих данной группы (для 1 : 7,2 / 4 = 1,8 года).
Рабочая таблица 2
Группа
Интервал
Рабочие
Стаж работы, лет
Месячная выработка продукции, грн.
Чел.
%
Всего
Средний
Всего
Средняя
1
2
3
4
5
6
7
8
1
1 – 4
4
17,4
7,2
1,8
970
242,50
2
4 – 7
7
30,4
38,4
5,5
1922
274,60
3
7 – 10
5
21,8
42,2
8,4
1478
295,60
4
10 – 13
4
17,4
43,7
10,9
1227
306,75
5
13 - 16
3
13,1
43,2
14,4
1004
334,67
Всего
-
23
100,0
174,7
7,6
6601
290,82
Вывод: Наибольшее количество рабочих – 30,4 % в данной совокупности имеют средний стаж 5,5 года. С увеличением стажа возрастает месячная выработка продукции.
Задания для самостоятельного выполнения
Задача № 2.
В таблице 1 приведены данные о сумме капитала и прибыли 26 коммерческих банков.
Таблица 1
№ банка
Капитал, млн. грн.
Прибыль, млн. грн.
№ банка
Капитал, млн. грн.
Прибыль, млн. грн.
1
2
3
4
5
6
1
6,3
4,7
14
6,3
4,8
2
11,8
8,6
15
8,4
7,1
3
7,6
5,3
16
5,4
4,0
4
10,5
8,8
17
7,0
5,8
5
8,1
6,2
18
9,6
7,8
6
8,3
4,1
19
8,1
6,9
7
12,0
8,2
20
5,2
4,3
1
2
3
4
5
6
8
5,1
3,6
21
7,3
6,0
9
7,8
4,1
22
8,2
6,4
10
5,4
3,3
23
5,4
4,1
11
6,3
5,1
24
3,2
2,8
12
8,3
5,8
25
4,4
3,0
13
5,4
3,5
26
3,0
2,2
Составить по 3 группы с равными интервалами, сделать выводы о связи между признаками.
Задача № 3.
По данным задачи № 2 построить аналитическую группировку, отражающую зависимость прибыли от суммы капитала, сделать выводы.
Задача № 4.
В результате наблюдения получены такие данные о весе студентов:
Таблица 1
Шифр
студента
1
2
3
4
5
6
7
8
9
10
11
12
13
14
15
Вес, кг
45
48
60
78
57
65
75
68
62
62
67
58
78
55
55
Необходимо распределить студентов на 3 группы с равнонаполненным интервалом.
Задача №5.
Кожевенно-обувное предприятие в целях оптимизации плана выпуска женской обуви провело обследование 50 женщин, отобранных случайным образом. В результате получены следующие данные о размере обуви обследованных женщин:
36, 37, 37, 36, 38, 39, 37, 38, 38, 40, 35, 36, 37, 37, 38, 37, 38, 36, 37, 37, 36, 37, 39, 40, 38, 37, 37, 37, 36, 34, 38, 37, 37, 37, 37, 37, 37, 38, 36, 36, 36, 40, 37, 37, 37, 38, 38, 36, 37, 37
Постройте ряд распределения женщин по размеру обуви. Сделайте статистические выводы.
Тестовые задания для закрепления материала
Тест 1
В статистике существует три вида группировок:
а) аналитическая;
б) систематическая;
в) типологическая;
г) структурная;
д) корреляционная.
Тест 2
Существует четыре вида интервалов:
а) открытые;
б) равные;
в) постоянно изменяющиеся;
г) неравные;
д) закрытые;
е) структурные;
ж) аналитические.
Тест 3
Признак, на основании которого производится группировка, называют:
а) варьирующим;
б) группировочным;
в) систематизирующим.
Тест 4
Результаты сводки и группировки наглядно отражают в виде:
а) статистической таблицы;
б) обработки статистических материалов;
в) перечня статистических показателей;
г) комбинированной группировки статистических показателей.
Тест 5
Существуют два вида сводки:
а) централизованная;
б) системная;
в) простая;
г) децентрализованная.
Тест 6
Группировка – это:
а) учёт первичных статистических материалов;
б) распределение единиц на однородные типичные группы;
в) приведение рядов динамики к одному основанию.
Тест 7
Статистическая сводка – это:
а) проверка, обработка, систематизация материалов;
б) планомерный, научно-организованный сбор информации;
в) первичный статистический материал.
Тест 8
Сводкой статистического материала считается:
а) расчленение совокупности на группы и подгруппы;
б) подведение итогов по совокупности в целом и в разрезе групп и подгрупп и изображение сгруппированных материалов в виде таблиц;
в) разработка системы взаимосвязанных показателей для характеристики совокупности в целом и отдельных её частей.
Тест 9
Статистической группировкой называется:
а) объединение единиц совокупности в группы по однородным признакам;
б) регистрация статистических данных по соответствующим признакам или особенностям;
в) характеристика единицы наблюдения с помощью системы статистических показателей.
Тест 10
С помощью каких группировок можно установить состав явления социальной жизни по соответствующему признаку:
а) типологических;
б) аналитических;
в) структурных;
г) комбинированных.
Тест 11
С помощью каких группировок можно выделить и охарактеризовать качественно однородные явления общественной жизни:
а) типологических;
б) аналитических;
в) структурных;
г) атрибутивных.
Тест 12
По количеству группировочных признаков различают такие группировки:
а) атрибутивные и аналитические;
б) структурные и типологические;
в) простые и комбинированные;
г) первичные и вторичные.
Тест 13
Группировочные признаки разделяются на:
а) атрибутивные;
б) количественные;
в) простые;
г) комбинированные.
Тест 14
По каким признакам возникает вопрос об установлении величины интервала:
а) атрибутивным;
б) количественным.
Литература:
Ефимова М.Р. , Петрова Е.В., Румянцев В.Н. Общая теория статистики: Учебник. Изд. 2-е, испр. и доп. – М.:ИНФА-М, 2002. – 416 с.
Теорія статистики: Навчальний посібник / Вашків П.Г., Пастер П.Ш., Сторожук В.П., Ткач Є.Ш. – К.: Либідь, 2001. - 320 с.
Статистика: Підручник / С.С. Герасименко, А.В. Головач та ін. 2-е вид.,перероб. і доп. – К. : КНЕУ, 2000. – 467 с.
Статистика: Учебное пособие / Харченко Л.П., Долженкова В.Г., Ионин В.Г. и др.; Под ред. В.Г. Ионина. – Изд. 2-е, перераб. и доп. – М.: ИНФРА-М, 2002. – 384 с.
Мармоза А.Т. Практикум з основ статистики. К.: Ельга, Ніка-Центр, 2003. – 344 с.
Сборник задач по общей теории статистики. Учебное пособие. Изд. 2-е. /Под ред. Серга Л.К. – М.: Информационно-издательский дом «Филин», Рилант, 2001. – 360 с.
Тема 4. Статистические показатели
План лекционных занятий
7.Абсолютные и относительные величины
7.1.Понятие абсолютной величины в статистике.
7.2.Виды и взаимосвязи относительных величин.
8.Средние величины.
8.1.Сущность и значение средней величины.
8.2.Виды средних величин и методы их расчёта.
8.3.Структурные средние величины.
Методические указания:
Статистические показатели имеют взаимосвязанные количественную и качественную стороны. Качественная сторона показателя отражается в его содержании, не относясь к конкретному размеру признака, например, в раскрытии того, что представляют собой товарооборот, издержки обращения. Количественная сторона статистического показателя – это его числовое значение.
Функции, которые выполняют статистические показатели:
- познавательная.
- управленческая (контрольно-организаторская).
- стимулирующая функция.
Показатели, исчисляемые в статистической практике, можно подразделить на группы по следующим признакам:
по сущности изучаемых явлений статистические показатели бывают объёмные, характеризующие размеры процессов, и качественные, выражающие собой количественные соотношения, типичные свойства изучаемых явлений (уровень производительности труда).
По степени агрегирования явлений бывают индивидуальные, характеризующие единичные процессы, и обобщающие, отображающие совокупность в целом или её части.
В зависимости от характера изучаемых явлений бывают интервальные и моментные. Интервальные показатели – это данные, выражающие развитие явлений за отдельные периоды времени (товарооборот за месяц, за квартал). Они характеризуют процесс изменения признака. К моментным относят те из них, которые отражают состояние явления на определённую дату (момент). Это может быть величина товарных запасов, число предприятий на начало периода. Если интервальные показатели можно суммировать, то приведённые на конкретную дату складывать чаще всего нецелесообразно.
Абсолютные показатели получаются путём непосредственного суммирования исходных данных, они характеризуют численность совокупности и объём (размер) изучаемого явления в конкретных границах времени и места. Абсолютными величинами измеряются все стороны общественной жизни.
По способу выражения размеров изучаемых явлений абсолютные величины подразделяются на индивидуальные и суммарные.
Относительные величины в статистике представляют собой частное от деления двух статистических величин и характеризуют количественное соотношение между ними.
Относительная величина динамики характеризует изменение явления во времени и показывает, во сколько раз увеличился (или уменьшился) уровень показателя по сравнению с каким-либо предшествующим периодом.
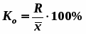
Степень выполнения плана оценивается с помощью относительной величины выполнения плана, которую получают отношением фактического уровня показателя в отчётном периоде к его уровню, запланированному на этот же период.
Связь между относительными величинами планового задания, выполнения плана и динамики:
- фактический уровень показателя в базовом периоде;
- планируемый уровень показателя на отчётный период;
- фактический уровень показателя в отчётном периоде;
Относительная величина планового задания = .
Относительная величина выполнения плана = .
Относительная величина динамики = .
Относительные величины структуры характеризуют долю отдельных частей в общем объёме совокупности. Их рассчитывают как отношение числа единиц (или объёма признака) в отдельных частях совокупности к общей численности единиц (или объёму признака) по всей совокупности.
Относительные величины координации – характеризуют соотношение между частями одного целого. Например, соотношение между численностью городского и сельского населения области.
Относительные величины наглядности – отражают результаты сопоставления одноимённых показателей, относящихся к одному и тому же периоду (или моменту) времени, но к разным объектам или территориям. Они применяются для сравнительной оценки уровня развития стран и регионов, при оценке результатов деятельности отдельных предприятий отрасли.
Относительные величины интенсивности – это отношения между разноимёнными абсолютными величинами. Например, показатели жизненного уровня населения, к которым относятся показатели потребления продуктов питания и непродовольственных товаров на душу населения в расчёте на 100 семей или 1000 человек населения. Главное требование при исчислении относительных величин: обеспечить сопоставимость сравниваемых величин по методологии расчёта сравниваемых показателей и по степени охвата объектов исследуемой совокупности.
Средние величины – это обобщающие показатели, в которых находят выражение действие общих условий, закономерность изучаемого явления. Статистические средние рассчитываются на основе массового наблюдения (сплошного или выборочного). При помощи средней происходит как бы сглаживание различий в величине признака, которые возникают по тем или иным причинам у отдельных единиц наблюдения. Средняя - величина абстрактная, потому что характеризует значение абстрактной единицы, а значит, отвлекается от структуры совокупности.
Введём обозначения: признак, по которому находится средняя, называется осредняемым признаком и обозначается ;
Величина осредняемого признака у каждой единицы совокупности называется индивидуальным его значением или вариантами и обозначается .
Частота – это повторяемость индивидуальных значений признака .
Виды средних величин:
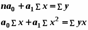
Средняя арифметическая – наиболее распространённый вид средней. Она исчисляется тогда, когда объём осредняемого признака образуется как сумма его значений у отдельных единиц изучаемой статистического совокупности. Она бывает:
а) средняя арифметическая простая
.
Используется, когда дан ряд одиночных значений признака, то есть нет повторений.
б) Средняя арифметическая взвешенная применяется, когда одно и то же значение признака встречается несколько раз. Объединив данные по величине признака (то есть сгруппировав), подсчитывают число случаев повторения каждого из них. Для этого умножают варианты на частоты – это в статистике называется взвешиванием.
.
Средняя арифметическая взвешенная употребляется во всех случаях, когда варианты имеют различную частоту. Простую среднюю арифметическую употреблять в этом случае нельзя, это неизбежно приведёт к искажению статистических показателей.
Часто средние величины необходимо подсчитать не для конкретных значений, а для интервалов. Для этого сначала нужно определить середину каждого интервала, а потом подсчитать среднюю арифметическую взвешенную.
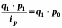
2. Средняя гармоническая – величина, обратная средней арифметической. Она применяется, когда статистическая информация не содержит частот по отдельным вариантам совокупности, а представлена как их произведение.
а) Средняя гармоническая простая – применяется, когда объёмы явлений (то есть произведения) равны по каждому признаку:
.
б) Средняя гармоническая взвешенная:
.
w – суммарный показатель какого-либо признака. (например, сумма реализации по какому-либо товару).
3. Средняя геометрическая – величина, используемая как средняя из отношений или в рядах, представленных в виде геометрической прогрессии. Ей удобно пользоваться, когда внимание уделяется не абсолютным разностям, а отношениям двух чисел (относительные величины). Она используется в расчётах среднегодовых темпов роста.
а) средняя геометрическая простая
,
П – знак произведения.
б) средняя геометрическая взвешенная
.
4. Средняя хронологическая применяется на практике для определения средних показателей на определённую дату (период): определение среднегодовой численности населения, среднегодовой численности скота, среднего размера остатков оборотных средств, среднесписочного числа рабочих и служащих. Исчисляется по формуле:
,
где Х – абсолютные уровни,
n – число абсолютных уровней.
5. Средняя квадратическая – вместо значений признака используются его квадраты.
а) средняя квадратическая простая
.
б) средняя квадратическая взвешенная
.
Любая взвешенная употребляется тогда, когда варианты имеет различную частоту. Употребление невзвешенной (простой) недопустимо. Вопрос о весах определяется по исходным данным.
Структурные средние применяются для характеристики внутреннего строения и структуры рядов распределения значений признака. Это мода и медиана.
Мода (МО) – это чаще всего встречающийся вариант, это то значение признака, которое соответствует максимальной точке теоретической кривой распределения.
В дискретном ряду распределения – это варианта, имеющая наибольшую частоту.
В интервальных рядах распределения с равными интервалами мода вычисляется по формуле:
,
где - нижняя граница модального интервала;
- величина модального интервала;
- частота, соответствующая модальному интервалу;
- частота, предшествующая модальному интервалу;
- частота интервала, следующего за модальным.
Медиана (МЕ) – величина, которая делит численность упорядоченного вариационного ряда на две равные части: одна часть имеет значения варьирующего признака меньшие, чем средний вариант, а другая – большие.
Для интервального ряда медианное значение, делящее всю совокупность на две равные части находится в интервале, чья кумулятивная частота (сумма накопленных частот) равна или превышает полусумму всех частот ряда. Для этого применяется формула:
,
где - нижняя граница медианного интервала;
- величина медианного интервала;
- частота медианного интервала;
- полусумма частот ряда;
- сумма накопленных частот, предшествующих медианному интервалу.
Решение типовых задач
Задача № 1.
На основании следующих исходных данных (табл. 1, графы 1 и 2) о производстве мыла и моющих средств предприятием за отчётный период определить общее количество выпущенной продукции в условно-натуральных единицах измерения (за условную единицу измерения принять мыло 40%-й жирности):
Таблица 1
Общий объём производства мыла и моющих средств по видам
Виды мыла и моющих средств
Кол-во, кг
Расчёты
Коэф. перевода
Количество продукции в условно-натуральном исчислении, кг
1
2
3
4
Мыло хозяйственное 60%-й жирности
500
750
Мыло хозяйственное 40%-й жирности
250
250
Мыло туалетное 80%-й жирности
1500
3000
Стиральный порошок 10%-й жирности
2500
625
Итого
-
4625
Ход решения:
Для определения общего количества выпущенной предприятием продукции необходимо исчислить коэффициенты перевода. Если условной единицей измерения является мыло 40%-й жирности, то это значение жирности принимается равным единице. Расчёт коэффициентов перевода представлен в графе 3. Далее определим количество продукции в условно-натуральных единицах измерения (графа 4) путём перемножения данных граф 2 и 3.
Вывод: Общий объём производства мыла и моющих средств в 40%-м исчислении составил 4625 кг.
Задача № 2.
По данным о розничном товарообороте определить относительные величины выполнения договорных обязательств, динамики, координации.
Таблица 1
Универмаги
Розничный товарооборот, млн. грн.
Фактический за базисный год
Отчётный год
План
Факт
«Крым»
80
85,6
85
«Центральный»
110
117
120
Ход решения:
Вывод: Универмаг «Крым» недовыполнил обязательства на 0,7 %, а универмаг «Центральный» перевыполнил обязательства на 2,6 %. Товарооборот универмага «Крым» в отчётном году вырос на 6,3 %, а «Центрального» – на 9,1 %. В базисном году на 1 млн. грн. универмага «Крым» приходилось 1,375 млн. грн. универмага «Центральный», а в отчетном соответственно 1,4 млн. грн.
Задача № 3.
Имеются следующие данные о выполнении норм выработки рабочими.
Определите моду и медиану.
Таблица 1
Группа рабочих по выполнению норм выработки, % (х)
Число рабочих, % к итогу (f)
Накопленные частоты, %,
90-100
28
28
100-110
48
76
110-120
20
96
120-130
4
100
Итого
100
300
Ход решения:
1. Определим моду:
;
.
2.Определим медиану:
Вывод: мода равна 104,2%, медиана равна 104,58%.
Задача № 4.
На протяжении недели два акционерных банка, которые продавали акции по цене 2,0 и 3,0 грн. за одну, получили одинаковую выручку: по 1200 грн. Определить среднюю цену акции.
Ход решения:
Средняя цена акции определяется делением общей выручки двух банков (2400) на общее количество проданных акций (1000 шт.), вычисленную делением выручки каждого банка на цену акции: (1200/2) + (1200/3).
Расчёт можно представить в виде формулы:
,
где - цена акций; - выручка от реализации.
грн.
Поскольку выручка от реализации акций в двух банках одинакова (), то эту величину можно вынести за скобки в числителе и знаменателе и сократить:
грн.
Задачи для самостоятельного выполнения
Задача № 5.
Введение в действие жилья населением за свой счёт характеризуется следующими коэффициентами снижения (относительно предыдущего года):
Таблица 1
Год
2000
2001
2002
Коэффициент
0,93
0,81
0,99
Определить среднегодовой коэффициент снижения объемов введённого в действие жилья населением за свой счёт за 2000-2002 гг.
Задача № 6.
Урожайность и валовой сбор ячменя бригадами совхоза «Заря» характеризуется следующими данными: Определить среднюю урожайность ячменя по совхозу.
Таблица 1
Номер бригады
Урожайность, ц/га
Валовой сбор, ц
1
2
3
№1
22,0
5500
№2
23,0
6900
№3
22,5
7200
Задача № 7.
Плодоконсервным заводом выработано за месяц помидоров маринованных 30 тысяч банок объёмом 801 см³ и томатного сока 60 тысяч банок объёмом 200 см³.
Определите объём выработанной продукции в условно-натуральных единицах, т.е. в банках емкостью 353,4 см ³.
Задача № 8.
Численность населения Донецкой области составляет 5 267 000 чел., а в Киевской – 1 912 000 чел. Определить относительную величину сравнения. Сделать статистический вывод.
Задача № 9.
В Украине родилось за год 442,6 тыс. детей, среднегодовая численность населения – 50,9 млн. чел. Определить относительную величину интенсивности. Сделать статистический вывод.
Тесты для закрепления материала
Тест 1
Величина средней арифметической зависит от:
а) величины частот;
б) соотношения между частотами;
в) величины вариант.
Тест 2
Средние значения признака в двух совокупностях одинаковые. Может ли быть вариация признака в этих совокупностях разной:
а) да;
б) нет.
Тест 3
Средние значения признака в двух совокупностях различны. Может ли быть вариация признака в этих совокупностях одинаковой:
а) да;
б) нет.
Тест 4
К средним структурным величинам в статистике относят:
а) мода;
б) медиана;
б) варианта.
Тест 5
Мода – это:
а) наиболее часто встречающаяся величина признака в совокупности;
б) средняя структурная квадратическая;
Тест 6
Абсолютные величины выражаются в таких единицах измерения:
а) килограммах, метрах, тоннах, штуках;
б) коэффициентах, процентах, промилле.
Тест 7
Абсолютные показатели – это показатели, которые выражают:
а) размеры, объёмы, уровни социальных явлений и процессов;
б) числовые соотношения, характерные для конкретных социальных явлений.
Тест 8
Виды абсолютных величин:
а) индивидуальные, суммарные;
б) структуры, интенсивности, координации.
Тест 9
Относительными показателями называются показатели, которые выражают:
а) размеры, объёмы, уровни социальных явлений и процессов;
б) числовые соотношения, характерные для конкретных социальных явлений.
Тест 10
Относительные величины выражаются в:
а) килограммах, метрах, тоннах, штуках;
б) коэффициентах, процентах, промилле.
Тест 11
Виды относительных величин:
а) индивидуальные, суммарные;
б) динамика выполнения плана, планового задания.
Литература
Теорія статистики: Навчальний посібник / Вашків П.Г., Пастер П.Ш., Сторожук В.П., Ткач Є.Ш. – К.: Либідь, 2001. - 320 с.
Статистика: Підручник / С.С. Герасименко, А.В. Головач та ін. 2-е вид.,перероб. і доп. – К. : КНЕУ, 2000. – 467 с.
Захожай В.Б., Попов І.І., Коваленко О.В. Практикум з основ статистики: Навч. посіб. – К.: МАУП, 2001.- 176 с.
Тема 5. Анализ рядов распределения
План лекционных занятий
9.Ряды распределения.
9.1.Виды рядов распределения.
9.2.Основные характеристики и графическое изображение вариационного ряда.
10.Показатели вариации.
1.Понятие вариации и основные показатели.
10.2.Математические особенности дисперсии.
10.3.Виды дисперсий.
Методические указания:
В результате обработки и систематизации первичных статистических материалов получаются ряды цифровых статистических показателей, которые характеризуют отдельные стороны изучаемых явлений. Эти ряды называются статистическими.
Статистические ряды бывают двух видов: ряды распределения и ряды динамики.
Статистические ряды
Ряды распределения Ряды динамики
Атрибутивные Вариационные
Дискретные Непрерывные
(Интервальные)
Ряды распределения – это ряды, которые характеризуют распределение единиц совокупности по какому-либо признаку (например, распределение производственного оборудования по видам и срокам службы). Ряд распределения состоит из двух элементов: вариант – значений группировочного признака и частот – число повторений отдельных вариантов значений признака. Частоты, представленные в относительном выражении, называют частостями и обозначают. Например, вместо абсолютного числа рабочих, имеющих определённый разряд, можно установить долю рабочих этого разряда. Частости могут быть выражены в долях единицы или в процентах. Замена частот частостями позволяет сопоставить вариационные ряды с различным числом наблюдений.
По характеру вариации различают дискретные и непрерывные признаки. Дискретные признаки отличаются друг от друга на некоторую конечную величину, то есть даны в виде прерывных чисел. Например, тарифный разряд рабочих, количество детей в семье, число рабочих на предприятии. Непрерывные признаки могут отличаться один от другого на сколь угодно малую величину и в определённых границах принимать любые значения. Например, заработная плата рабочих, стоимость основных фондов предприятия.
Атрибутивный ряд распределения образуется по качественному признаку (распределение рабочих по профессиям, машин – по маркам). Вариационный ряд распределения образуется по количественному признаку. Он состоит из вариант и частот. В дискретном ряде распределения отдельные варианты имеют определённые значения (распределение рабочих по разрядам). В тех случаях, когда число вариантов дискретного признака достаточно велико, а также при анализе вариации непрерывного признака, когда значения этого признака у отдельных единиц могут вообще не повторяться, строятся интервальные ряды распределения. Интервал указывает определённые пределы значений варьирующего признака и обозначается верхней и нижней границей интервала.
Различают ряды распределения с абсолютными, относительными и накопленными частотами. Накопленные частоты называют кумулятивными.
Если приведён вариационный ряд с неравными интервалами, то для правильного представления о характере распределения необходимо рассчитать плотность распределения. Плотность распределения – это количество единиц совокупности, приходящихся на единицу величины интервала группировочного признака. Различают абсолютную () и относительную () плотность:
,
,
где - частота;
- удельный вес;
- размер интервала.
По форме ряды распределения бывают одно- двух- и многовершинными. Среди одновершинных распределений есть симметричные и асимметричные (скошенные), остро- и плосковершинные.
Если частоты вариантов равноудалены от центра значений признака, то такой вариационный ряд называется симметричным. Если вершина распределения смещена, то есть частоты по обе стороны от центра изменяются неодинаково, то такой вариационный ряд называется асимметричным, или скошенным.
Вариация – это такие количественные изменения величины исследуемого признака в пределах однородной совокупности, которые обусловлены перекрещивающимся влиянием действия различных факторов. Различают вариацию случайную и систематическую. Анализ систематической вариации позволяет оценить степень зависимости изменений в изучаемом признаке от определяющих её факторов. Показатель вариации – это колеблемость отдельных значений признака. Степень близости данных отдельных единиц к средней измеряется рядом абсолютных, средних и относительных показателей. К абсолютным и средним относятся: вариационный размах, среднее линейное и среднее квадратическое отклонение, дисперсия. К относительным: коэффициент осцилляции, относительное линейное отклонение, коэффициент вариации.
Вариационный размах – это разница между максимальным и минимальным значениями признака: . Он характеризует диапазон вариации. Его достоинства: простота вычисления и толкования.
Обобщающую характеристику может дать только средняя величина, в частности, средняя из отклонений вариантов от их средней, которая называется среднее линейное отклонение. Оно учитывает различия всех единиц изучаемой совокупности и определяется как средняя арифметическая из отклонений индивидуальных значений от средней, без учёта знака этих отклонений:
,
или для сгруппированных данных:
.
Среднее линейное отклонение показывает, на сколько в среднем колеблется величина признака у единиц исследуемой совокупности.
Дисперсия () – средний квадрат отклонений, определяется как средняя из отклонений, возведённых в квадрат :
или .
Формулу для расчёта дисперсии можно преобразовать следующим способом:
где - среднее значение квадратов признака,
- среднее значение признака.
Среднее квадратическое отклонение – это корень квадратный из дисперсии, это мера надёжности средней.
.
Размах вариации, среднее линейное отклонение и среднее квадратическое отклонение являются всегда величинами именованными. Они имеют те же единицы измерения, что и индивидуальные значения признака.
Относительные показатели вариации:
1. Коэффициент осцилляции отражает относительную колеблемость крайних значений признака вокруг средней:
.
2. Относительное линейное отклонение характеризует долю усреднённого значения абсолютных отклонений от средней величины:
.
3. Коэффициент вариации:
.
Можно определить три показателя колеблемости признака в совокупности: общую дисперсию, межгрупповую дисперсию, внутригрупповую и среднюю из внутригрупповых дисперсий.
1) Общая дисперсия характеризует вариацию признака, которая зависит от всех условий в данной совокупности.
,
где - общая средняя для всей изучаемой совокупности.
2) Межгрупповая дисперсия отражает вариацию изучаемого признака, возникающую под влиянием признака-фактора, положенного в основу группировки. Она характеризует колеблемость групповых (частных) средних около общей средней .
,
где - средняя по отдельным группам;
- численность отдельных групп.
3) Внутригрупповая дисперсия характеризует вариацию, обусловленную влиянием прочих факторов:
,
где - номер группы.
4) Средняя внутригрупповых дисперсий характеризует случайную вариацию в каждой отдельной группе. Эта вариация возникает под влиянием других, неучитываемых факторов и не зависит от условия (признака-фактора), положенного в основу группировки.
,
где - групповая дисперсия.
Правило сложения дисперсий: общая дисперсия равна сумме средней внутригрупповых дисперсий и межгрупповой дисперсии.
.
Решение типовых задач
Задача № 1.
Имеются следующие данные о производительности ткачей за час работы.
Таблица 1
№ ткача
Изготовление ткани за час работы (х), м
№ ткача
Изготовление ткани за час работы (х), м
1
13
-2
4
7
18
-3
9
2
14
-1
1
8
19
-2
4
3
15
0
0
9
22
1
1
4
17
2
4
10
20
-1
1
5
16
1
1
11
24
3
9
6
15
0
0
12
23
2
4
Итого
90
10
126
28
Исчислим:
групповые дисперсии;
среднюю из групповых дисперсий;
межгрупповую дисперсию;
общую дисперсию.
Ход решения:
Для расчета групповых дисперсий исчислим средние по каждой группе:
Расчет дисперсий по группам представлен в таблице. Подставив полученные значения в формулу, получим:
Рассчитаем среднюю из групповых (частных) дисперсий:
.
Исчислим межгрупповую дисперсию. Для этого предварительно определим общую среднюю как среднюю взвешенную из групповых средних:
м.
Затем рассчитаем межгрупповую дисперсию:
Исчислим общую дисперсию по правилу сложения дисперсий:
.
Проверим полученный результат, исчислив общую дисперсию обычным способом:
Задача №2.
Имеются данные о распределении работающих по тарифным разрядам.
Таблица 1
Тарифный разряд
Число рабочих
2
1
2
-2,5
6,25
6,25
3
2
6
-1,5
2,25
4,5
4
6
24
-0,5
0,25
1,5
5
8
40
0,5
0,25
2
6
3
18
1,5
2,25
6,75
Итого
20
90
21,00
Определить дисперсию, среднее квадратическое отклонение, коэффициент вариации.
Ход решения:
Определяем среднюю величину по тарифному разряду:
.
Определяем дисперсию:
.
Среднее квадратическое отклонение:
.
Определяем коэффициент вариации:
.
Вывод: Колеблемость среднего квадратического отклонения от средней составляет 23 %.
Задачи для самостоятельного выполнения
Задача №3.
Имеются сведения о дневной выработке работников 4-го и 5-го разрядов.
Определить:
Групповые дисперсии.
Общую дисперсию.
Среднюю из групповых.
Межгрупповую дисперсию.
Проверить полученные результаты по правилу сложения дисперсий. Сделать статистические выводы.
Таблица 1
Токарь 4-го разряда
Токарь 5-го разряда
№
Количество деталей , шт
№
Количество деталей
, шт
1
2
3
4
5
6
1
7
49
1
9
81
2
7
49
2
10
100
3
8
64
3
12
144
4
8
64
4
13
169
5
9
81
6
11
121
Всего
50
428
Всего
494
Задача №4.
С целью установления зависимости между урожайностью и сортом винограда в одном из хозяйств на основе выборки определили урожай на 10 кустах винограда:
Наименование сорта винограда
Число проверенных кустов
Урожай винограда с каждого куста, кг
Куст №1
Куст №2
Куст №3
Куст №4
Куст №5
1
2
3
4
5
6
7
Сорт «Ф»
3
6
5
7
-
-
Сорт «Б»
5
7
6
8
5
9
Сорт «В»
2
9
7
-
-
-
Исчислить общую, межгрупповую и среднюю из групповых (частных) дисперсий. Определить связь между сортом и его урожайностью.
Задача №5.
Есть две группы людей с разным годовым доходом, тыс. грн.:
Группа А 3 3 3 4
Группа Б 6 6 7
В какую группу нужно отнести человека с годовым доходом 5 тыс. грн.
Тесты для закрепления материала
Тест 1
Различают виды дисперсий для совокупности, разбитой на группы:
а) групповая;
б) средняя из групповых;
в) взвешенная;
д) межгрупповая.
Тест 2
Вариация – это:
а) колеблемость признака;
б) квадрат отклонений признака;
в) модельный интервал.
Тест 3
В статистике означает:
а) размах вариации;
б) дисперсия;
в) коэффициент вариации.
Тест 4
Вариантами называются:
а) отдельные значения группировочного признака;
б) величины, которые показывают повторяемость признака;
в) величины, которые показывают удельный вес единиц с определённым признаком в их общем количестве.
Тест 5
Построен ряд распределения акционерных банков по количеству выпущенных акций. Вариантой считается:
а) количество банков;
б) количество акций.
Тест 5
Больницы Украины разделены по количеству больничных мест. Частотой считается:
а) количество больничных мест;
б) количество больниц.
Тест 6
Средние значения признака в двух совокупностях одинаковые. Может ли быть вариация признака в этих совокупностях разной:
а) да;
б) нет.
Тест 7
Средние значения признака в двух совокупностях различны. Может ли быть вариация признака в этих совокупностях одинаковой:
а) да;
б) нет.
Тест 8
Дисперсия представляет собой:
а) средний размер отклонений вариант;
б) средний квадрат этих отклонений;
Тест 9
Дисперсия может быть вычислена:
а) только для количественного признака;
б) для количественного и альтернативного признаков.
Литература
Мармоза А.Т. Практикум з основ статистики. К.: Ельга, Ніка-Центр, 2003. – 344 с.
Сборник задач по общей теории статистики. Учебное пособие. Изд. 2-е. /Под ред. Серга Л.К. – М.: Информационно-издательский дом «Филин», Рилант, 2001. – 360 с.
Теорія статистики: Навчальний посібник / Вашків П.Г., Пастер П.Ш., Сторожук В.П., Ткач Є.Ш. – К.: Либідь, 2001. - 320 с.
Статистика: Підручник / С.С. Герасименко, А.В. Головач та ін. 2-е вид., перероб. і доп. – К. : КНЕУ, 2000. – 467 с.
Тема 6. Выборочный метод
План лекционных занятий
11.Выборочное наблюдение.
11.1.Понятие выборочного наблюдения.
11.2.Методы и способы отбора единиц в выборочную совокупность.
12.Ошибки выборочного наблюдения.
12.1.Определение средней и граничной ошибок выборки.
12.2.Определение необходимого объёма выборки.
12.3.Распространение выборочных результатов.
Методические указания:
Одним из наиболее распространённых в статистике методов, применяющих несплошное наблюдение, является выборочный метод. Под выборочным понимается метод статистического исследования, при котором обобщающие показатели изучаемой совокупности устанавливаются по некоторой её части на основе положений случайного отбора. При выборочном методе обследованию подвергается сравнительно небольшая часть всей изучаемой совокупности (обычно 5-10 %, реже до 15 – 25 %).
Выборочное наблюдение – это вид несплошного наблюдения, по характеристике отобранной части единиц которого судят обо всей совокупности. Различают генеральную и выборочную совокупности. Генеральная совокупность - это общая масса единиц, по которой осуществляют отбор для исследования. Часть генеральной совокупности, которая отобрана для исследования, называют выборочной (выборкой).
Выборочный метод отличается от других видов несплошного наблюдения двумя признаками:
Сначала определяют, какую часть единиц генеральной совокупности надо обследовать;
Последовательность отбора единиц, который достаточной мерой представляет (репрезентует) размеры средних и относительных показателей генеральной совокупности.
Преимущества выборочного наблюдения:
Экономия времени;
Экономия средств вследствие сокращения объёма работ статистического исследования;
Сведение к минимуму порчи или уничтожения исследуемых объёктов (например, при контроле качества продукции (товара): определении сахаристости фруктов, клейковины в хлебе, прочности тканей на разрыв);
Обеспечение детального изучения каждой единицы наблюдения из-за невозможности охвата всех единиц;
Достижение высокой точности результатов наблюдения за счёт уменьшения ошибок регистрации.
Практика применения выборочного метода в экономико-статистических исследованиях использует следующие методы отбора единиц из генеральной совокупности:
индивидуальный отбор – в выборку отбираются отдельные единицы;
групповой отбор – в выборку попадают качественно однородные группы или серии изучаемых единиц;
комбинированный отбор – комбинация индивидуального и группового отборов.
Повторная выборка – из которой ранее отобранная единица возвращается в генеральную совокупность и может повторно принимать участие в выборке. Но это не всегда возможно. Например, при определении сахаристости фруктов их разрезают, то есть возврат плодов в совокупность не возможен.
Бесповторная выборка – это выборка, из которой каждая ранее отобранная единица не возвращается в генеральную совокупность и в дальнейшей выборке участия не принимает.
Бесповторный отбор даёт более точные результаты по сравнению с повторным, потому что одинаковые по объёму выборки при бесповторном исследовании охватывают больше единиц, чем повторные.
Способы формирования выборочной совокупности:
Случайный;
Механический;
Типический (стратифицированный);
Серийный (гнездовой);
Все виды отбора (кроме механического) могут быть повторными и бесповторными. Механический отбор всегда бесповторный.
Доля выборки – это отношение числа единиц выборочной совокупности к численности единиц генеральной совокупности :
.
Поскольку изучаемая статистическая совокупность состоит из единиц с варьирующими признаками, то состав выборочной совокупности может в той или иной мере отличаться от состава генеральной совокупности. Это объективно возникающее расхождение между характеристиками выборки и генеральной совокупности составляет ошибку выборки. Она зависит от ряда факторов:
степени вариации изучаемого признака;
численности выборки;
методов отбора единиц в выборочную совокупность;
принятого уровня достоверности результата обследования.
Для определения средней ошибки репрезентативности собственно случайной и механической выборки используют формулы, представленные в табл. 1.
Таблица 1
Средняя ошибка репрезентативности
Способ отбора
Определение средней
Определение выборочной доли
Повторный
Бесповторный
где - средний квадрат отклонений в выборке;
- численность выборочной совокупности;
- численность генеральной совокупности;
- доля обследованной части выборочной совокупности;
- необследованная часть генеральной совокупности;
- доля единиц, имеющих данный признак;
- доля единиц, не обладающих данным признаком.
Для обобщающей характеристики ошибки выборки наряду со средней рассчитывают и предельную ошибку выборки. Но утверждать, что данная генеральная средняя не выйдет за пределы средней ошибки выборки можно лишь с определённой степенью вероятности. В случае выборочного наблюдения предельная ошибка репрезентативности может быть больше, равна или меньше средней ошибки репрезентативности . Поэтому предельную ошибку репрезентативности вычисляют с определённой вероятностью , которой соответствует - разовое значение . С введением показателя кратности ошибки формула предельной ошибки репрезентативности имеет вид:
; ,
где - коэффициент доверия, который зависит от вероятности, с которой гарантируется значение предельной ошибки выборки.
Прибавляя предельную ошибку выборки к выборочной доле и отнимая её от неё, находят границы генеральной доли:
и .
В таблице 2 показаны формулы для вычисления предельной ошибки собственно случайной и механичной выборки.
Таблица 2
Предельные ошибки выборки
Способ отбора
Определение средней
Определение выборочной доли
Повторный
Бесповторный
где - предельная ошибка выборки для средней;
- предельная ошибка выборки для доли.
Во время выборочного наблюдения важно правильно определить необходимую численность выборки, которая с соответственной вероятностью обеспечивает установленную точность результатов наблюдения.
Формулы для определения необходимого объёма выборки представлены в таблице 3.
Таблица 3
Численность выборки
Способ отбора
Определение средней
Определение выборочной доли
Повторный
Бесповторный
Конечной целью какого-либо выборочного наблюдения является расширение его характеристик на генеральную совокупность. Выделяют два способа распространения данных выборочного наблюдения: 1) прямого пересчёта; 2) коэффициентов.
Решение типовых задач
Задача № 1.
При разработке материалов городского населения методом случайного бесповторного отбора было установлено, что в городе А 15% жителей старше 60 лет. Из общей численности населения города (500 тыс. чел.) было отобрано 50 тыс. чел. С вероятностью 0,683 определите предел, в котором находится доля жителей города А в возрасте старше 60 лет.
Определите среднюю ошибку выборочной доли.
Ход решения:
Рассчитаем среднюю ошибку выборочной доли:
.
Мы использовали формулу
.
С вероятностью 0,683 предельная ошибка выборочной доли составит:
Δ = 1 х 0,048 = 0,048 (или 4,8%)
Определим верхнюю границу генеральной доли:
0,15 + 0,048 = 0,198 (или 19,8%)
Определим нижнюю границу генеральной доли:
0,15 – 0,048 = 0,102 (или 10,2%)
Вывод: С вероятностью 0,683 можно утверждать, что доля жителей в возрасте старше 60 лет в городе А колеблется от 10,2 до 19,7%.
10, 2% < р < 19,8%
Задача № 2.
Для определения средней длины детали необходимо провести выборочное обследование методом случайного повторного отбора. Какое количество деталей надо отобрать, чтобы ошибка выборки не превышала 2 мм с вероятностью 0,954 при среднем квадратическом отклонении 8 мм.
Ход решения:
Таблица 1
Значения коэффициента доверия при выбранной вероятности
-
1
0,683
2
0,954
3
0,997
4
0,999
Рассчитаем необходимую численность выборки:
Задачи для самостоятельного выполнения
Задача №3.
При проверке веса импортируемого груза на таможне методом случайной повторной выборки было отобрано 200 изделий. В результате был установлен средний вес изделия 30 г при среднем квадратическом отклонении 4 г. С вероятностью 0,997 определите пределы, в которых находится средний вес изделий в генеральной совокупности.
Задача № 4.
При обследовании 100 образцов изделий, отобранных из партии в случайном повторном порядке, оказалось 20 нестандартных. С вероятностью 0,954 определите пределы, в которых находится доля нестандартной продукции в партии.
Задача № 5.
Среди выборочно обследованных 1000 семей региона по уровню среднедушевого дохода (выборка 2 %-ная, механическая) малообеспеченными оказалось 300 семей. С вероятностью 0,997 определите долю малообеспеченных семей в регионе.
Тесты для закрепления материала
Тест 1
При механической выборке установлено, что в 50 партиях сыра среднее содержание влаги составило 74 %, при среднем квадратическом отклонении 1,5 %. Какие из нижеприведённых показателей нужно вычислить, чтобы установить границы влаги в сыре в генеральной совокупности:
а) дисперсию;
б) размах вариации;
в) граничную ошибку выборки;
г) коэффициент вариации.
Тест 2
Средняя ошибка выборки вычисляется с целью:
а) изучения вариации признака;
б) определения среднего значения признака, который исследуется;
в) определения коэффициента роста;
г) установление возможных границ отклонений средней генеральной от средней выборочной.
Тест 3
Чтобы уменьшить среднюю ошибку выборки в два раза, объём случайной повторной выборки нужно:
а) увеличить в два раза;
б) увеличить в четыре раза;
в) уменьшить в два раза;
г) уменьшить в четыре раза.
Литература
Теорія статистики: Навчальний посібник / Вашків П.Г., Пастер П.Ш., Сторожук В.П., Ткач Є.Ш. – К.: Либідь, 2001. - 320 с.
Статистика: Підручник / С.С. Герасименко, А.В. Головач та ін. 2-е вид., перероб. і доп. – К. : КНЕУ, 2000. – 467 с.
Общая теория статистики: Статистическая методология в изучении коммерческой деятельности: Учебник /Под ред. О.Э. Башиной, А.А. Спирина. – 5-е изд, доп. и перераб. – М.: Финансы и статистика, 1999. – 440 с.
Захожай В.Б., Попов І.І., Коваленко О.В. Практикум з основ статистики: Навч. посіб. – К.: МАУП, 2001. - 176 с.
Тема 7. Статистическая проверка гипотез
План лекционных занятий
13. Статистическая проверка гипотез.
Общие понятия о гипотезе.
Этапы работы по статистической проверке гипотез.
14. Дисперсионный анализ.
14.1. Критерии согласия.
14.2. Элементы дисперсионного анализа.
Методические указания
Гипотеза – это научное предположение об особенностях явлений, которые их определяют, требующее проверки и доказательства.
Статистическая гипотеза – это определенное предположение, касающееся параметров или формы распределения генеральной совокупности, которое можно проверить, опираясь на результаты выборочного наблюдения. Суть проверки гипотез заключается в том, чтобы проверить, согласуются или нет результаты выборки с гипотезой, случайными или неслучайными являются расхождения между гипотезой и данными выборки.
При проверке гипотез имеется возможность совершить ошибки двоякого рода:
а) ошибка первого рода – проверяемая гипотеза (её обычно называют нулевой гипотезой) является в действительности верной, но результаты проверки приводят к отказу от неё;
б) ошибка второго рода – проверяемая гипотеза в действительности является ошибочной, но результаты проверки приводят к её принятию.
Чаще всего гипотеза, которую необходимо проверить, формулируется как отсутствие расхождений между неизвестным параметром генеральной совокупности и заданной величиной (нулевая гипотеза), обозначается . Содержание гипотезы записывается после двоеточия, например .
Статистическим критерием называется правило, согласно которому нулевая гипотеза принимается или отклоняется. Для каждого вида проверяемых гипотез разработаны специальные критерии, среди которых чаще всего используют - критерий нормального распределения и распределения Стьюдента, -критерий Фишера, распределения Пирсона («хи-квадрат») и другие.
Для построения статистического критерия, позволяющего проверить некоторую гипотезу, необходимо следующее:
Сформулировать проверяемую гипотезу . Наряду с проверяемой гипотезой формулируется также конкурирующая гипотеза (альтернативная);
выбрать уровень значимости , контролирующий допустимую вероятность ошибки первого рода;
определить область допустимых значений и так называемую критическую область;
принять то или иное решение на основе сравнения фактического и критического значений критерия.
Уровень значимости () – это такое малое значение вероятности попадания критерия в критическую область при условии справедливости гипотезы, что появление этого события может расцениваться как следствие существенного расхождения выдвинутой гипотезы и результатов выборки. Обычно уровень значимости принимают равным 0,05 или 0,01.
Статистические критерии, используемые для проверки гипотез, бывают двух видов:
Параметрическими называю критерии, которые обосновываются на допущении: распределение случайной величины в совокупности подчиняется какому-либо известному закону (например, нормальному, биноминальному, Пуассона). К таким критериям относятся критерии .
Непараметрическими (порядковыми) называют критерии, использование которых не связано со знанием закона распределения случайной величины. Их можно использовать тогда, когда распределение значительно отличается от нормального. К таким критериям относятся критерий знаков Вилкоксона, Уайта, Манна-Уитни.
Параметрические критерии значительно эффективнее непараметрических.
Мощность критерия – это вероятность отклонения испытуемой нулевой гипотезы, когда правильною является альтернативная гипотеза. То есть мощностью критерия является вероятность того, что не будет допущена ошибка. Конечно, желательно иметь более мощный критерий, так как это обеспечит минимальную вероятность допущения ошибки второго рода.
Этапы работы по проверке статистической гипотезы:
оценка входной информации и описание статистической модели выборочной совокупности;
формирование нулевой и альтернативной гипотезы;
установление уровня значимости, с помощью которого контролируют ошибку первого рода;
выбор мощного критерия для проверки нулевой гипотезы (это даёт возможность контролировать появление ошибки второго рода);
вычисление по определённому алгоритму фактического значения критерия;
определение критической области и области согласия с нулевой гипотезой, то есть установление табличного значения критерия;
сравнение фактического и табличного значений критерия и формулирование выводов по результатам проверки нулевой гипотезы.
Критерием согласия называют критерий проверки гипотезы на ожидаемый закон неизвестного распределения в генеральной совокупности. Есть ряд критериев согласия: Пирсона, Колмогорова, Смирнова, Ястремского. Эти критерии дают возможность установить: согласуются или нет опытные распределения с теоретическими, а также насколько существенны расхождения между распределениями.
Одним из наиболее употребляемых критериев согласия является критерий К. Пирсона («Хи-квадрат»):
,
где - соответственно частоты эмпирического и теоретического распределения в - том интервале.
Чем больше разность между наблюдаемыми и теоретическими частотами, тем больше величина критерия Пирсона. Чтобы отличить существенные значения от значений, которые могут возникнуть в результате случайностей выборки, рассчитанное значение критерия сравнивается с табличным значением при соответствующем числе степеней свободы и заданном уровне значимости.
Определив значение критерия Пирсона по данным конкретной выборки, можно встретиться с такими вариантами:
, то есть попадает в критическую область. Это означает, что расхождение между эмпирическими и теоретическими частотами существенно и его нельзя объяснить случайными колебаниями выборочных данных. В таком случае гипотеза о близости эмпирического распределения к нормальному отвергается.
, то есть рассчитанный критерий не превышает максимально возможную величину расхождений эмпирических и теоретических частот, которая может возникнуть в силу случайных колебаний выборочных данных. В этом случае гипотеза о близости эмпирического распределения к нормальному не отвергается.
Табличное значение критерия Пирсона определяется при фиксированном уровне значимости и соответствующем числе степеней свободы.
Число степеней свободы = , где - число условий, которые предполагаются выполненными при вычислении теоретических частот, - число групп. Понятие числа степеней свободы связано с тем, что в статистических совокупностях приходится учитывать линейные связи, ограничивающие свободу изменения случайных величин. Например, при исчислении дисперсии в совокупности мы располагаем степенями свободы, так как любое значение признака мы можем определить, зная значений и среднюю арифметическую.
Дисперсионный анализ – это метод статистической оценки надёжности выявления зависимости результативного признака от одного или нескольких факторов. Суть этого метода заключается в статистическом изучении надёжности влияния одного или нескольких факторов, а также их взаимодействия на результативный признак.
С помощью дисперсионного анализа решаются три задачи:
дать общую оценку существенности отличий между групповыми средними.
Оценить надёжность взаимодействия факторов.
Оценить существенность отличий между парами средних.
Решение задач дисперсионного анализа базируется на законе сложения вариации, соответственно которому общую вариацию (колебание) результативного признака разделяют на две: вариацию, обусловленную действием исследуемого фактора (факторов), и вариацию, обусловленную действием случайных причин, то есть: .
Дисперсии двух выборок сравнивают, используя критерий Фишера - - критерий. Для этого вычисляют отношение большей выборочной дисперсии к меньшей:
.
Если - критерий равен 1, то это указывает на равенство дисперсий, и вопрос о существенности их расхождений снимается. Если же величина дисперсионного отношения больше 1, то возникает необходимость оценить, случайно ли расхождение между дисперсиям. При этом очевидно: чем больше величина дисперсионного отношения, тем значительнее расхождение между ними.
Решение типовых задач
Задача № 1.
В пригородном хозяйстве испытали рацион с добавкой витаминов при мясном откорме животных. Были организованы опытная и контрольная группа по 5 голов в каждой. На протяжении месяца опытная группа животных получала дополнительно комплекс витаминов. В конце месяца для каждого животного был определён прирост живой массы (табл.1). Сравнение средних суточных приростов в двух группах животных показывает, что более высокий суточный прирост дали животные исследуемой группы. Так как выборка невелика (), не исключена возможность, что расхождение в суточных приростах обусловлено действием случайных причин. Необходимо статистически оценить разницу между средними двух групп животных. По результатам проверки сделать вывод о том, что разница между средними находится в границах случайных колебаний или эта разница настолько значима, что не согласуется с нулевой гипотезой о случайном характере разницы между средними. Если будет доказано второе положение и отклонено первое, можно утверждать, что условия роста массы животных опытной группы существенно отличаются от условий контрольной группы, то есть комплекс витаминов стимулирует суточный прирост.
Таблица 1
№ животного
Основной рацион + витамины (опыт)
Основной рацион (контроль)
Квадраты суточных приростов в группе
опытной
контрольной
1
2
3
4
5
1
632
520
399424
270400
2
691
586
477481
343396
3
570
490
324900
240100
4
694
609
781636
370881
5
683
590
466489
348100
Всего
3270
2795
2449930
1572877
Ход решения:
Условие задачи предусматривает, что обе выборки взяты из нормально распределённой генеральной совокупности. Формирование групп является случайным (независимым), поэтому оценивать следует разницу между средними.
Определим средние суточные приросты в опытной и контрольной группах:
Фактическая разница между средними:
.
Существенность этой разницы нужно оценить. Для этого проверяют гипотезу о равности двух средних.
Рассмотрим подробно все этапы проверки гипотезы.
Сформулируем нулевую () и альтернативную () гипотезы:
. (Знак «двоеточие» означает «равно»)
Примем уровень значимости ; он гарантирует принятие гипотезы или отказ от неё с вероятностью ошибки только в 5 случаях из 100.
Самым мощным критерием для проверки такой гипотезы является -критерий Стьюдента (для малых выборок).
Сформулируем правило принятия решения по результатам проверки : гипотеза отклоняется, если фактическое значение -критерия будет больше его табличного значения, то есть, если . В противном случае должна быть принята.
Чтобы проверить , необходимо определить фактическое значение критерия Стьюдента и сравнить его с табличным.
Фактическое значение -критерия Стьюдента определим по формуле:
,
где - обобщающая средняя ошибка разницы средних.
Для определения фактического значения -критерия Стьюдента осуществим такие расчёты.
6. Определим для каждой выборки скорректированные на потерю числа степеней свободы вариации дисперсии, возводя сначала значения и в квадрат.
7.Определим квадраты средних шибок для каждой выборки и обобщающую среднюю ошибку разницы средних:
8.Вычислим фактическое значение критерия Стьюдента:
9.Установим табличное значение критерия Стьюдента, исходя из уровня значимости и общего числа степеней свободы для двух выборок:
В таблице при и равно .
10. Сопоставим фактическое и табличное значение критерия Стьюдента:
Вывод: Так как (выборочное значение критерия пребывает в критической области), нулевую гипотезу о равенстве средних в генеральной совокупности нужно отклонить и принять альтернативную гипотезу о том, что средние в генеральных совокупностях не являются равными. То есть данные опыта не согласуются с гипотезой о том, что разница между средними приростами случайна. Фактическое значение критерия Стьюдента превышает его возможную теоретическую величину, которая измеряет случайное колебание, что даёт возможность сделать вывод о существенности (достоверности) разницы между средними. Добавка комплекса витаминов в рацион стимулирует повышение среднесуточных приростов.
Задачи для самостоятельного выполнения
Задача №2.
В полевом опыте проверяли влияние разных компонентов минеральных удобрений на урожайность хмеля.
Таблица 1 Урожайность хмеля, ц/га
Повторяемость
Вариант опыта
Разница
Квадрат разницы
I (опыт)
II (контроль)
1
2
3
4
5
1
13,6
10,5
3,1
9,61
2
16,2
12,4
3,8
14,44
3
17,9
15,3
2,6
6,76
4
13,5
11,7
1,8
3,24
5
14,8
13,1
1,7
2,89
Всего
76,0
63,0
13,0
36,94
Средние
15,2
12,6
2,6
-
На контрольных участках вносили фосфор и калий (), а на опытных дополнительно азот (). Опыт проведён при пятикратной повторности. При распределении повторений опыта учли отличия участков по плодородию грунта, микрорельефу и другим условиям. Поэтому выборки можно рассматривать как независимые.
Необходимо проверить статистическую гипотезу относительно средней разницы между парами взаимосвязанных наблюдений в генеральной совокупности.
Задача № 3.
Расчёт характеристик вариационного ряда распределения 100 предприятий по размеру прибыли показал, что эмпирическое распределение достаточно близко к симметричному и характеризуется такими параметрами:
средняя прибыльность 27,5 тыс. грн;
выборочное среднее квадратичное отклонение прибыльности =6,6 тыс. грн.
величина интервала =4,0 тыс. грн.
численность выборочной совокупности =100.
Необходимо проверить гипотезу о соответствии эмпирического распределения предприятий нормальному.
Таблица 1
Среднее значение интервала, тыс. грн
Фактическое количество предприятий
16
9
20
45
24
16
28
24
32
18
36
12
40
6
Всего
100
Тесты для закрепления материала
Тест 1
В статистике критерий Стьюдента обозначается:
а) критерий;
б) ;
в) критерий.
Тест 2
Мощность критерия – это:
а) вероятность отклонения испытуемой нулевой гипотезы, когда правильною является альтернативная гипотеза;
б) те значения критерия, при которых нулевую гипотезу отклоняют;
в) такое малое значение вероятности попадания критерия в критическую область при условии справедливости гипотезы, что появление этого события может расцениваться как следствие существенного расхождения выдвинутой гипотезы и результатов выборки.
Тест 3
Выберите ряд критериев согласия:
а) Пирсона;
б) Колмогорова;
в) Фишера;
г) Стьюдента;
д) Смирнова;
е) Ястремского;
ж) Романовского.
Литература:
Ефимова М.Р. , Петрова Е.В., Румянцев В.Н. Общая теория статистики: Учебник. Изд. 2-е, испр. и доп. – М.:ИНФА-М, 2002. – 416 с.
Теорія статистики: Навчальний посібник / Вашків П.Г., Пастер П.Ш., Сторожук В.П., Ткач Є.Ш. – К.: Либідь, 2001. - 320 с.
Статистика: Підручник / С.С. Герасименко, А.В. Головач та ін. 2-е вид., перероб. і доп. – К. : КНЕУ, 2000. – 467 с.
Мармоза А.Т. Практикум з основ статистики. К.: Ельга, Ніка-Центр, 2003. – 344 с.
Сборник задач по общей теории статистики. Учебное пособие. Изд. 2-е. /Под ред. Серга Л.К. – М.: Информационно-издательский дом «Филин», Рилант, 2001. – 360 с.
Тема 8. Статистические методы анализа корреляционных связей
План лекционных занятий
15. Методы анализа взаимосвязей.
Виды взаимосвязей.
Регрессионный анализ.
16. Проверка существенности корреляционной связи.
Оценка плотности.
Ранговая корреляция.
Методические указания
Все явления окружающего мира, социально-экономические в частности, взаимосвязаны и взаимообусловлены. В сложном переплетении всеобъемлющей взаимосвязи какое-либо явление является следствием действия определённого множества причин и одновременно – причиною других явлений.
Определяющая цель измерения взаимосвязей – выявить и дать количественную характеристику причинных связей. Суть причинной связи состоит в том, что в определённых условиях одно явление вызывает другое. Причина сама по себе не определяет следствие, последнее зависит также от условий, в которых действует причина. Изучая закономерности связи, причины и условия объединяют в одно понятие «фактор». Соответственно, признаки, характеризующие факторы, называют факторными, а те, которые характеризуют последствия, - результативными.
Формы проявления взаимосвязей весьма разнообразны. В качестве двух самых общих видов выделяют функциональную (полную) и корреляционную (неполную) связи. В первом случае величине факторного признака строго соответствует одно или несколько значений функции. Достаточно часто функциональная связь проявляется в физике, химии. В экономике примером может служить прямо пропорциональная зависимость между производительностью труда и увеличением производимой продукции.
Корреляционная связь (которую также называют неполной, или статистической) проявляется в среднем, для массовых наблюдений, когда заданным значениям зависимой переменной соответствует некоторый ряд вероятных значений независимой переменной. Объяснение тому – сложность взаимосвязей между анализируемыми факторами, на взаимодействие которых влияют неучтённые случайные величины. По направлению связи бывают прямыми, когда зависимая переменная растёт с увеличением факторного признака, и обратными, при которых рост последнего сопровождается уменьшением функции. Такие связи также можно назвать соответственно положительными и отрицательными.
Относительно своей аналитической формы связи бывают линейными и нелинейными. В первом случае между признаками в среднем проявляются линейные соотношения. Нелинейная взаимосвязь выражается нелинейной функцией, а переменные связаны между собой в среднем нелинейно.
С точки зрения взаимодействующих факторов связь бывает парной – если характеризуется связь двух признаков, и множественной – если изучаются более, чем две переменные.
По виду бывают непосредственные – факторы взаимодействуют между собой непосредственно; косвенные – характерно участие какой-то третьей переменной, которая опосредует связь между изучаемыми признаками; ложная – это связь, установленная формально и, как правило, подтверждённая только количественными оценками, она не имеет под собой качественной основы или вообще бессмысленна.
По силе различают слабые и сильные связи. Эта формальная характеристика выражается конкретными величинами и интерпретируется в соответствии с общепринятыми критериями силы связи для конкретных показателей.
Задачи корреляционного анализа сводятся к измерению тесноты связи между варьирующими признаками, определению неизвестных причинных связей и оценке факторов, оказывающих наибольшее влияние на результативный признак.
Задачи регрессионного анализа лежат в сфере установления формы зависимости, определения функции регрессии, использования уравнения для оценки неизвестных значений зависимой переменной.
Количественная взаимосвязь факторов называется регрессией. А важной характеристикой корреляционной связи является линия регрессии – эмпирическая в модели аналитической группировки и теоретическая в модели регрессионного анализа. Недостаток эмпирических линий состоит в небольшой точности и практически невозможной алгоритмизации полученных зависимостей.
Эмпирическая линия регрессии представлена групповыми средними результативного признака , каждая из которых принадлежит соответствующему интервалу значений группировочного фактора . Теоретическая линия регрессии описывается определённой функцией , которую называют уравнением регрессии, а - теоретическим уровнем результативного признака.
Разные явления по разному реагируют на изменение факторов. Для того, чтобы отобразить характерные особенности связи конкретных явлений, статистика использует разные по функциональному виду регрессионные уравнения:
если при изменении фактора результат изменяется более-менее равномерно, такая связь описывается линейной функцией ;
если неравномерное соотношение вариаций взаимосвязанных признаков (например, когда прирост значений при смене ускорен или замедлен, или направление связи изменяется), используют нелинейные регрессии:
Степенную ;
Гиперболическую ;
Параболическую .
Наряду с определением характера связи и эффекта влияния факторов на результат важное значение имеет оценка плотности связи – то есть оценка согласованности вариации взаимосвязанных признаков. Если влияние факторного признака на результативный существенный, это проявится в закономерной смене значений при смене значений , то есть фактор своим влиянием формирует вариацию . При отсутствии связи вариация не зависит от вариации .
Для оценки плотности связи статистика использует группу коэффициентов с такими общими особенностями:
при отсутствии какой-либо связи значение коэффициента приближается к нулю; при функциональной связи – к единице;
при наличии корреляционной связи коэффициент выражается дробью, которая по абсолютной величине тем больше, чем плотнее связь.
Среди мер плотности связи самым распространённым является:
1) коэффициент корреляции Пирсона - . Поскольку сфера его использования ограничивается линейной зависимостью, то и в названии его фигурирует слово «линейный».
Коэффициент корреляции определяется по формуле:
.
2) Коэффициент детерминации – квадрат коэффициента корреляции (), показывающий, какая часть общей вариации результативного признака определяется исследуемым фактором.
3) Мерою плотности связи является также корреляционное отношение:
,
где - межгрупповая дисперсия, которая измеряет вариацию признака под влиянием фактора ,
- общая дисперсия.
Корреляционное отношение показывает, сколько процентов вариации признака объясняется вариацией фактора и используется для оценки плотности связи по данным аналитической группировки (например, для оценки плотности связи между глубиной разработки угольных пластов и фондоёмкости добычи угля).
Взаимосвязь между признаками, которые можно ранжировать, прежде всего, на основе бальных оценок, измеряется методами ранговой корреляции. Упорядочение единиц совокупности по значению признака называется ранжированием. Рангами называются числа натурального ряда, которые согласно значениям признака присваиваются элементам совокупности и в определённой степени упорядочивают её. Ранжирование проводится по каждому признаку отдельно: первый ранг присваивается наименьшему значению признака, последний – наибольшему или наоборот. Количество рангов равно объёму совокупности. Учитывая то, что ранговая корреляция не требует соблюдения каких-либо математических предпосылок распределения признаков, ранговые оценки плотности связи целесообразно использовать для совокупностей небольшого объёма.
Решение типовых задач
Задача № 1.
С помощью методов периодизации выделены периоды однотипной динамики безработицы и преступности.
По одному из таких периодов с помощью линейного коэффициента корреляции определите наличие связи между числом преступлений и численностью лиц, не занятых в экономике. Дайте оценку.
Постройте уравнение регрессии.
Нанесите на график эмпирическую и теоретическую линии регрессии.
Таблица 1
Год
Лица в трудоспособном возрасте, не занятые в экономике, тыс. чел.
Число зарегистрированных преступлений
1999
117,1
54 929
2000
134,7
77 915
2001
191,9
86 615
2002
215,0
72 404
Ход решения:
Так как с увеличением числа лиц в трудоспособном возрасте (), не занятых в экономике, равномерно увеличивается число зарегистрированных преступлений (), то оценку зависимости проводим с помощью линейного уравнения регрессии, а оценку тесноты связи – линейного коэффициента корреляции.
Линейный коэффициент корреляции рассчитывается по формуле:
=.
Уравнение прямой, с помощью которой оценивается форма зависимости изучаемых показателей, имеет вид:
,
где - теоретическое число зарегистрированных преступлений;
- численность лиц в трудоспособном возрасте, не занятых в экономике;
- параметры уравнения прямой, определяемые системой нормальных уравнений:
;
Откуда
.
Для определения параметров уравнения регрессии и линейного коэффициента корреляции строим таблицу и находим параметры уравнения:
Таблица 2
Годы
1
2
3
4
5
6
7
1999
117,1
54 929
6432185,9
13712,41
65183
3017195041
2000
134,7
77 915
10495150,5
18144,09
68062
6070747225
2001
191,9
86 615
16621418,5
36825,61
77420
7502158225
2002
215,0
72 404
15566860
46225,00
81199
522339216
Итого
658,7
291 863
49115614,9
114907,11
291863
21832439707
Линейный коэффициент корреляции:
Полученное значение коэффициента корреляции свидетельствует о заметной (умеренной) связи между численностью лиц в трудоспособном возрасте, не занятых в экономике, и числом зарегистрированных преступлений.
Найдём по формулам параметры уравнения:
Уравнение корреляционной связи примет вид:
Подставив в это уравнение значения , определяют теоретические значения . Так,
.
и т.д.
Теоретические значения приведены в табл. 2.
Задачи для самостоятельного выполнения
Задача №2.
По 10 совхозам есть данные об урожайности зерновых культур и качестве грунта. Необходимо провести корреляционно-регрессионный анализ связи между двумя признаками – урожайностью и качеством грунта. Для характеристики этой связи необходимо определить: 1) форму связи и математическое уравнение связи, для чего построить график корреляционной зависимости между урожайностью ( - результативный признак) и качеством грунта ( - факторный признак); 2) параметры уравнения регрессии; 3) тесноту связи (коэффициенты корреляции и детерминации).
Таблица 1
№
Урожайность, ц/га
Качество грунта, баллов
Расчётные величины
1
2
3
4
5
6
7
1
28,0
79
2212,0
784,00
6241
27,84
2
21,0
70
1470,0
441,00
4900
19,48
3
27,6
80
2208,0
761,76
6400
28,77
4
16,2
71
1150,2
262,44
5041
20,40
5
29,7
77
2286,9
882,09
5929
25,98
6
26,8
77
2063,6
718,24
5929
25,98
7
30,3
84
2545,2
918,09
7056
32,48
8
15,7
66
1036,2
246,49
4356
15,77
9
25,5
74
1887,0
650,25
5476
23,20
10
15,8
67
1058,6
249,64
4489
16,70
Всего
236,6
745
17917,7
5914,00
55817
236,60
В среднем
23,66
74,5
1791,77
591,40
5581,7
23,66
Задача № 3.
По данным задачи №2 необходимо осуществить статистическую проверку существенности выборочных коэффициентов регрессии и корреляции, найти интервалы, в которых находятся их значения в генеральной совокупности. Уровень значимости .
Задача № 4.
По группе коров симментальской породы есть данные о возрасте и продуктивности, то есть о среднегодовом надое (табл.1). Установить формы связи между двумя признаками, определить параметры уравнения регрессии, тесноту связи.
Таблица 1
Данные для расчёта показателей корреляционной связи
№
Суточный надой, кг
Возраст, лет
Расчётные данные
1
2
3
4
5
6
7
8
9
1
8
3
2
7
3
3
9
4
4
5
6
5
12
5
Всего
41
21
Тесты для закрепления материала
Тест 1
По направлению связи бывают:
а) прямыми и обратными;
б) линейными и нелинейными;
в) парными и множественными;
г) непосредственными и косвенными;
д) сильными и слабыми.
Тест 2
По аналитической форме связи бывают:
а) прямыми и обратными;
б) линейными и нелинейными;
в) парными и множественными;
г) непосредственными и косвенными;
д) сильными и слабыми.
Тест 3
Ранжированием называется:
а) возведение в квадрат коэффициента корреляции;
б) упорядочение единиц совокупности по значению признака;
в) оценка согласованности вариации взаимосвязанных признаков.
Литература:
Ефимова М.Р. , Петрова Е.В., Румянцев В.Н. Общая теория статистики: Учебник. Изд. 2-е, испр. и доп. – М.:ИНФА-М, 2002. – 416 с.
Теорія статистики: Навчальний посібник / Вашків П.Г., Пастер П.Ш., Сторожук В.П., Ткач Є.Ш. – К.: Либідь, 2001.-320 с.
Статистика: Підручник / С.С. Герасименко, А.В. Головач та ін. 2-е вид., перероб. і доп. – К. : КНЕУ, 2000. – 467 с.
Статистика: Учебное пособие/Харченко Л.П., Долженкова В.Г., Ионин В.Г. и др.; Под ред. В.Г. Ионина. – Изд. 2-е, перераб. и доп. – М.: ИНФРА-М, 2002. – 384 с.
Мармоза А.Т. Практикум з основ статистики. К.: Ельга, Ніка-Центр, 2003. – 344 с.
Сборник задач по общей теории статистики. Учебное пособие. Изд. 2-е. /Под ред. Серга Л.К. – М.: Информационно-издательский дом «Филин», Рилант, 2001. – 360 с.
Тема 9. Анализ таблиц взаимной сопряжённости
План лекционных занятий
17. Анализ таблиц взаимной сопряжённости.
Оценка согласованности вариации атрибутивных признаков.
Коэффициенты контингенции и ассоциации.
Методические указания
Взаимосвязи между атрибутивными признаками анализируются на основе таблиц взаимной сопряжённости (взаимозависимости).
Оценка плотности стохастичной связи базируется на отклонениях частот условного и безусловного распределений, то есть на отклонениях фактических частот от теоретических , пропорциональных итоговым:
,
где - итоговые частоты по признаку ;
- итоговые частоты по признаку ;
- объём совокупности ().
Абсолютную величину отклонений фактических частот от пропорциональных характеризует коэффициент взаимной сопряжённости Пирсона :
.
При отсутствии стохастичной связи =0. На основе распределения вероятностей проверяется существенность связи.
Относительной мерой плотности стохастичной связи служит коэффициент взаимной сопряжённости (взаимозависимости). Если , то использую формулу Чупрова:
,
где - число групп по признаку ;
- число групп по признаку .
При отсутствии связи между признаками , то и . При функциональной связи .
Коэффициент Чупрова даёт более осторожную оценку связи.
Когда , использую коэффициент сопряжённости Крамера:
,
где - минимальное число групп (или ).
В нашем примере =3, поэтому приведённые формулы коэффициента взаимной сопряжённости тождественны:
,
это свидетельствует о наличии связи.
Если оба взаимосвязанных признака альтернативные, то количество групп = 2, при отсутствии связи произведения диагональных частот одинаковые: .
Тесноту связи между атрибутивными признаками можно измерять с помощью специальных коэффициентов ассоциации и контингенции, предложенных соответственно Д. Юлом и К. Пирсоном. Чтобы их вычислить строят 4-клеточную таблицу, которая показывает связь между двумя признаками, каждый их которых должен быть альтернативным, то есть таким, что состоит из двух качественно отличных один от другого значений (например, земли удобрены или нет).
Коэффициенты вычисляются по таким формулам:
Ассоциации
,
Контингенции
.
Эти коэффициенты могут быть разных значений от –1 до +1. Коэффициент контингенции всегда меньше коэффициента ассоциации. Величины этих коэффициентов как показателей тесноты связи трактуют, как и величину коэффициента корреляции.
Полезной мерой при анализе 4-клеточных таблиц взаимной сопряжённости является отношение перекрёстных произведений или отношение шансов:
.
Отношение шансов характеризует меру относительного риска.
Следует отметить, что методы анализа таблиц взаимной сопряжённости можно использовать и для количественных признаков. Какие-либо технические преграды отсутствуют. Но следует помнить, что коэффициент сопряжённости оценивает лишь согласованность фактического распределения с пропорциональным. При переставлении столбцов или строк значение коэффициента не изменяется. Меры плотности корреляционной связи – коэффициент детерминации и корреляционное отношение - оценивают не только согласованность частот, но и порядок, последовательность, в которой объединяются разные значения признаков. То есть эти характеристики связи более мощные. А в целом выбор метода измерения связи и характеристики его плотности должен базироваться на предварительном теоретическом анализе сути явлений, характера взаимосвязи, имеющейся информации
Литература:
Ефимова М.Р. , Петрова Е.В., Румянцев В.Н. Общая теория статистики: Учебник. Изд. 2-е, испр. и доп. – М.:ИНФА-М, 2002. – 416 с.
Теорія статистики: Навчальний посібник / Вашків П.Г., Пастер П.Ш., Сторожук В.П., Ткач Є.Ш. – К.: Либідь, 2001. - 320 с.
Статистика: Підручник / С.С. Герасименко, А.В. Головач та ін. 2-е вид., перероб. і доп. – К. : КНЕУ, 2000. – 467 с.
Статистика: Учебное пособие / Харченко Л.П., Долженкова В.Г., Ионин В.Г. и др.; Под ред. В.Г. Ионина. – Изд. 2-е, перераб. и доп. – М.: ИНФРА-М, 2002. – 384 с.
Мармоза А.Т. Практикум з основ статистики. К.: Ельга, Ніка-Центр, 2003. – 344 с.
Сборник задач по общей теории статистики. Учебное пособие. Изд. 2-е. /Под ред. Серга Л.К. – М.: Информационно-издательский дом «Филин», Рилант, 2001. – 360 с.
Тема 10. Анализ интенсивности динамики
План лекционных занятий
18. Ряды динамики.
Классификация рядов динамики.
Характеристики интенсивности динамики.
Анализ рядов динамики.
Методические указания
Рядом динамики называется ряд статистических чисел, которые характеризуют изменения величины общественного явления во времени.
В каждом ряду динамики имеются два основных элемента:
показатель времени « t »;
уровни развития изучаемого явления «y».
В качестве показателей времени в рядах динамики выступают либо определённые даты (моменты) времени, либо отдельные периоды (сутки, месяцы, кварталы). Уровни рядов динамики отображают количественную оценку развития во времени изучаемого явления. Они могут выражаться абсолютными, относительными и средними величинами. Динамические ряды имеют свои уровни:
начальные;
конечные;
средние.
В зависимости от характера изучаемого явления уровни рядов динамики могут относиться или к определённым датам (моментам) времени, или к отдельным периодам времени. В соответствии с этим ряды динамики подразделяются на два вида:
1. Моментный ряд – это ряд динамики, уровни которого характеризуют размеры общественно-экономических явлений по состоянию на определённый момент. Особенностью моментного ряда динамики является то, что в его уровни могут входить одни и те же единицы изучаемой совокупности. Поэтому при суммировании уровней моментного ряда динамики может возникнуть повторный счёт.
2. Периодический (интервальный ряд) – это ряд динамики, уровни которого характеризуют размеры общественно-экономических явлений за определённые периоды времени (неделя, месяц, полугодие). Особенностью периодического ряда динамики является то, что каждый его уровень складывается из данных за более короткие интервалы времени.
Важнейшее условие правильного построения и исследования рядов динамики – сопоставимость уровней этих рядов, относящихся к различным периодам. Сопоставимость данных статистики – это соответствие условий и методов расчёта её показателей, обеспечивающих правильность получаемых при их сравнении выводов о различиях между изучаемыми явлениями. Данное условие решается либо в процессе сбора и обработки данных, либо путём их пересчёта. Соблюдение требований к сопоставимости уровней ряда означает, что научно обоснованным будет такое сравнение, которое учитывает существо изучаемого явления и цель, к которым оно приводится.
Требования к сопоставимости показателей динамического ряда:
Все показатели РД должны быть достоверными, точными, научно обоснованными.
Интервалы времени должны быть сходны в экономическом отношении. Например, объём производства зерна за различные годы следует сравнивать только за определенный месяц.
Единицы измерения должны быть единые. Например, только литры или только килограммы.
Показатели должны иметь одну и ту же полноту охвата исследуемых объектов, то есть должны быть сопоставимы по составу.
Уровни РД должны иметь единые способы исчисления, например, численность работающих исчислена на начало каждого года, а по другим годам – как среднегодовая численность. Такие РД непригодны.
Показатели РД должны быть сопоставимы по территории, к которым они относятся. Например, изменение границ и численность населения.
В статистике для того, чтобы выявить особенности развития изучаемых явлений и процессов за отдельные периоды времени, исчисляются абсолютные и относительные показатели изменения ряда динамики:
абсолютный прирост.
средний абсолютный прирост.
абсолютное значение одного процента прироста.
темп роста.
темп прироста.
средний темп роста.
средний темп прироста.
В основе расчёта показателей РД лежит сравнение его уровней. В зависимости от применяемого способа сопоставления показатели динамики могут вычисляться на постоянной или переменной базах сравнения.
Для расчёта показателей динамики на постоянной базе каждый уровень ряда сравнивается с одним и тем же базисным уровнем. Исчисленные при этом показатели считаются базисными. Для расчёта показателей динамики на переменной базе каждый последующий уровень ряда сравнивается с предыдущим. Вычисленные таким образом показатели динамики называются цепными.
Абсолютный прирост () – это разность между уровнями данного периода и периода, принятого за базу сравнения (предыдущего периода). Он вычисляется по формулам:
а) базисный
б) цепной
- абсолютный прирост базисный.
- абсолютный прирост цепной.
- сравниваемый уровень.
- уровень периода, взятого за базу.
- уровень, предшествующий сравниваемому периоду.
Средний абсолютный прирост представляет собой обобщённую характеристику индивидуальных абсолютных приростов ряда динамики. Он определяется по формулам:
или ,
где - число показателей в периоде.
Абсолютное значение одного процента прироста (А) характеризует абсолютный эквивалент одного процента прироста и определяется по формуле:
,
где - абсолютный цепной прирост.
- темп прироста, %.
Темп роста (Т) характеризует средний относительный рост явления за рассматриваемый период. Рассчитывается по формуле:
; .
Темп прироста () характеризует относительный прирост явления в отчётном периоде по сравнению с тем уровнем, с которым осуществляется сравнение. Он определяется по формулам:
;
Или
Средний темп роста () определяют по формуле средней геометрической двумя способами: на основе данных цепных коэффициентов динамики, либо на основе абсолютных уровней ряда динамики по формулам:
или
Средний темп прироста () определяется на основе взаимосвязи между темпами роста и прироста:
.
В моментных рядах динамики средние уровни вычисляются двумя способами:
а) если моментный ряд динамики имеет равные промежутки времени между двумя составными датами, то средний уровень вычисляется по формуле средней хронологической:
,
где - средний уровень ряда динамики;
- абсолютные уровни ряда динамики;
- число абсолютных ровней.
б) если моментный ряд динамики имеет неодинаковые промежутки времени между двумя составными датами, то средний уровень вычисляется по формуле средней взвешенной по времени:
,
где - средний уровень ряда динамики;
- абсолютные уровни ряда динамики;
- периоды времени между датами.
Средние уровни в периодических рядах динамики исчисляются как простая средняя арифметическая, то есть путём деления суммы всех уровней на их количество.
в) для приблизительной оценки среднего уровня иногда определяют полусумму на начало и конец периода и принимают её за характеристику среднего уровня всего периода. Однако этот средний уровень является приблизительной оценкой, его применяют нечасто, так как не учитываются промежуточные значения ряда динамики.
,
В периодических рядах динамики средние уровни исчисляются как простая арифметическая, то есть путём деления суммы всех уровней на их количество:
.
Решение типовых задач
Задача № 1.
Известны следующие данные выполнения экономической программы предприятием за отчетный год, тыс. грн. Требуется произвести укрупнение ряда.
Таблица 1
Месяцы
Выпуск продукции, тыс. грн.
Месяцы
Выпуск продукции, тыс. грн.
Январь
20,2
Июль
18,4
Февраль
18,8
Август
16,6
Март
22,4
Сентябрь
20,2
Апрель
20,0
Октябрь
20,8
Май
17,8
Ноябрь
22,4
Июнь
18,6
Декабрь
22,0
Ход решения.
у1 = 20,2 + 18,8 + 22,4 = 61,4
у2 = 20,0 + 17,8 + 18,6 = 56,4
у3 = 18,4 + 16,6 + 20,2 = 55,2
у4 = 20,8 + 22,4 + 22,0 = 65,2
Выровненный ряд динамики имеет вид:
61,4; 56,4; 55,2; 65,2.
То есть, наблюдается четко выраженная тенденция увеличения выпуска продукции в I и IV кварталах отчетного года.
Задача №2.
По нижеприведённым данным (в тыс. грн) о кредитных вложениях украинских банков в 2002 г. рассчитайте:
средний уровень каждого ряда;
среднегодовой темп роста вложений всего и в том числе по видам;
сопоставьте, определите коэффициенты опережения и замедления.
Таблица 1
01.01.02
01.04.02
01.07.02
01.10.02
01.01.03
1
2
3
4
5
6
Кредитные вложения,
1216,5
1331,9
1360,5
1532,2
1397,5
в т. ч. краткосрочные,
1194,7
1268,4
1324,3
1493,0
1359,1
долгосрочные
21,8
63,5
36,3
39,2
38,4
Ход решения:
Средний уровень каждого ряда определяем по формуле средней хронологической простой (т. к. ряд динамики моментный):
;
Среднегодовой темп роста вложений определяем по формуле:
Коэффициент опережения темпа роста долгосрочных вложений над темпом роста краткосрочных вложений:
Задачи для самостоятельного выполнения
Задача №3.
Ежегодный прирост продукции фирмы характеризуется следующими данными (в % к предшествующему году):
1998
1999
2000
2001
2002
11
9
12
14
17
Определите относительное изменение в выпуске продукции фирмы за весь изучаемый период и в среднем за год.
Задача № 4.
Провести анализ динамики продажи мясных консервов за 1998-2002 гг. Исходные данные и расчётные показатели изложены в табл.1.
Таблица 1
Динамики продажи мясных консервов в регионе и расчёт аналитических показателей динамики (данные условные)
Исходные данные
Расчётные показатели
Годы
Консервы, млн. усл. банок
Абсолютные приросты (снижение), млн. усл. банок
Темпы роста, %
Темпы прироста, %
Абсолютное значение 1 % прироста, млн. усл. банок
цеп.
баз.
цеп.
баз.
цеп.
баз.
1
2
3
4
5
6
7
8
9
1998
891
-
-
-
100,0
-
0,0
-
1999
806
-85
-85
90,5
90,5
-9,5
-9,5
8,9
2000
1595
+789
+704
197,9
179,0
97,9
79,0
8,06
2001
1637
+42
+746
102,6
183,7
2,6
83,7
15,95
2002
1651
+14
+760
100,8
185,3
0,8
85,3
16,37
Итого
6580
+760
-
-
-
-
-
-
Задача № 5.
Имеются следующие данные о производстве зерна.
Таблица 1
Годы
1998
1999
2000
2001
2002
Производство зерна, тыс. т
150
168
179
186
191
Требуется определить:
а) абсолютный прирост;
б) темп роста и прироста;
в) абсолютное значение 1% прироста;
г) средний абсолютный прирост;
д) среднегодовой темп роста и прироста.
Тесты для закрепления материала
Тест 1
Абсолютный прирост вычисляется как:
а) отношение уровней ряда динамики;
б) разница между уровнями ряда динамики.
Тест 2
Темпы динамики вычисляются как:
а) отношение уровней ряда динамики;
б) разница между уровнями ряда динамики.
Тест 3
Темпы прироста вычисляются как:
а) разница между уровнями ряда динамики;
б) отношение абсолютного прироста к уровню ряда, взятого за базу сравнения;
в) отношение абсолютного прироста к темпу динамики;
г) отношение уровней ряда динамики.
Тест 4
Абсолютное значение 1 % прироста исчисляется или равно:
а) одному проценту уровня, взятого за базу сравнения;
б) абсолютному приросту, разделённому на темп прироста;
в) уровню ряда динамики, разделённому на темп прироста;
г) абсолютному приросту, разделённому на темп динамики.
Литература
Теорія статистики: Навчальний посібник / Вашків П.Г., Пастер П.Ш., Сторожук В.П., Ткач Є.Ш. – К.: Либідь, 2001. - 320 с.
Статистика: Підручник / С.С. Герасименко, А.В. Головач та ін. 2-е вид., перероб. і доп. – К. : КНЕУ, 2000. – 467 с.
Общая теория статистики: Статистическая методология в изучении коммерческой деятельности: Учебник / Под ред. О.Э. Башиной, А.А. Спирина. – 5-е изд., доп. и перераб. – М.: Финансы и статистика, 1999. – 440 с.
Захожай В.Б., Попов І.І., Коваленко О.В. Практикум з основ статистики: Навч. посіб. – К.: МАУП, 2001.- 176 с.
Тема 11. Анализ тенденций развития
План лекционных занятий
19. Анализ тенденций развития.
Характеристика основной тенденции развития.
Измерение сезонных колебаний.
Методические указания
Один из важнейших вопросов, возникающих при изучении рядов динамики – это выявление тенденции развития экономического явления в динамике. Какой-либо динамический ряд в пределах периода с более-менее стабильными условиями развития проявляет определённую закономерность изменения уровней – общую тенденцию. Одним рядам присуща тенденция роста, другим – снижение уровней. Возрастание или снижение уровней ряда, в свою очередь, происходит по-разному: равномерно, ускоренно или замедленно. Нередко ряды динамики через колебание уровней не проявляют чёткой выраженной тенденции.
Для выявления и характеристики применяют такие методы:
метод укрупнения периодов;
метод скользящей средней;
метод аналитического выравнивания.
1. Метод укрупнения периодов – заключается в том, что уровни исходного динамического ряда объединяются по более крупным периодам. Например, сравнивают уровни урожайности не за отдельные годы, а в среднем по пятилеткам. Особое внимание при этом следует обращать на обоснование периодов укрупнения.
2. Метод скользящей средней заключается в замене первоначальных уровней ряда динамики средними арифметическими, найденными по способу скольжения, начиная с первого уровня с постепенным включением последующих уровней, то есть при расчёте каждого последующего сглаженного уровня принятый для укрупнения период сдвигается на одну дату. Например при сглаживании по трёхлетиям:
3. Метод аналитического выравнивания является наиболее совершенным методом выявления тенденции ряда динамики. Сущность его заключается в том, что подбирается уравнение (трендовое уравнение), которое наиболее полно отражает характер изменения динамического ряда за изучаемый период. Таким уравнением, в частности, может быть уравнение прямой линии:
,
где - параметры прямой, (начальный уровень и ежегодный прирост), их нужно определять.
- время.
Для нахождения нужно решить систему уравнений по способу наименьших квадратов:
.
Продолжение выявленной тенденции за пределы ряда динамики называют экстраполяцией тренда. Это один из методов статистического прогнозирования, предпосылкой использования которого является неизменность причинного комплекса, который формирует тенденцию.
Самой простой оценкой систематических колебаний являются коэффициенты неравномерности, которые вычисляются как отношение максимального и минимального уровней динамического ряда к среднему. Чем больше неравномерность процесса, тем больше разница между двумя этими коэффициентами.
Сезонными колебаниями называют более-менее стойкие внутригодовые колебания в рядах динамики, обусловленные специфическими условиями производства или потребления определённого вида продукции. Сезонные колебания характеризуются специальным показателем, который называется индексом сезонности . В совокупности эти индексы образуют сезонную волну.
Индекс сезонности – это процентное отношение одноимённых месячных (квартальных) фактических уровней рядов динамики к их среднегодовым или выровненным уровням.
Решение типовых задач
Задача № 1.
Имеются следующие данные об отпуске электроэнергии (табл. 1). Необходимо выявить сезонную волну.
Ход решения:
Для выделения сезонной волны надо определить средний уровень отпуска энергии за каждый месяц по трёхлетним данным (5 строка тал.1) и общую среднюю за весь рассматриваемый период. Например, средний уровень за январь получим делением суммы уровней на число лет:
Общая средняя получается делением суммы уровней отпуска за все три года на 36 (общее число месяцев), то есть
.
Затем определяется абсолютное отклонение средних месячных показателей от общей средней (строка 6). Например, за январь абсолютное отклонение составило 2,5 млн. кВт-ч (132,9-130,4). Аналогичные расчёты сделаны для всех остальных месяцев.
Метод относительных разностей является развитием метода абсолютных разностей. Для нахождения относительных разностей абсолютные отклонения делят на общую среднюю и выражают в процентах (строка 7). Например, за январь: .
Вместо относительных разностей за каждый месяц может быть вычислен индекс сезонности, который рассчитывается как отношение среднего уровня соответствующего месяца к общей средней. Значения индексов сезонности представлены в строке 8.
Данные об отпуске электроэнергии за 2000 – 2002 гг. (млн. кВт-ч)
Таблица 1
Итого за все месяцы
Год
январь
февраль
март
апрель
май
июнь
июль
август
сент.
октябрь
нояб.
дек.
1. 2000
126,5
119,4
114,2
100,0
80,8
89,1
96,1
104,4
114,1
133,0
123,1
145,0
1325,7
2. 2001
138,7
135,5
133,8
130,5
104,8
111,8
112,6
134,2
137,9
133,6
131,1
147,3
1551,8
3. 2002
133,6
133,4
131,6
119,0
91,9
108,3
169,9
188,2
190,4
194,1
156,5
178,7
1795,6
4. Итого за весь период
398,8
389,3
379,6
349,5
277,5
309,2
378,6
426,8
442,4
460,7
410,7
471,0
4694,1
5. Средний уровень за месяц
132,9
129,8
126,5
116,5
92,5
103,1
126,2
142,3
147,5
153,6
136,9
157,0
130,4
6. Абсолютное отклонение от общей средней
+2,5
-0,6
-3,9
-13,9
-37,9
-27,3
-4,2
+31,9
+17,1
+23,2
+6,5
+26,6
7. Относительное отклонение от общей средней (в %)
+1,9
-0,5
-3,0
-10,7
-29,1
-20,9
-3,2
+9,1
+13,1
+117,8
+5,0
+20,4
8. Индекс сезонности:
101,9
99,5
97,0
89,3
70,9
79,1
96,8
109,1
113,1
117,8
+105,0
120,4
Рис. 1. Относительные отклонения объёма производства электроэнергии по месяцам (в % от общей средней месячной)
Вывод: На рис.1 сезонная волна выглядит достаточно отчётливо.
Задания для самостоятельного выполнения
Задача № 2.
Имеются данные об изменении объёмов промышленного производства:
Месяц
Темп роста общего объема производства в % к декабрю 2000 г.
2001 г.
2002 г.
1
2
3
Январь
92,0
86,0
Февраль
90,5
86,2
Март
95,0
91,0
Апрель
88,2
88,2
Май
89,0
84,0
Июнь
90,7
83,8
Июль
89,3
83,9
Август
93,0
84,2
Сентябрь
92,6
85,0
Октябрь
94,9
89,8
Ноябрь
91,8
86,3
Декабрь
92,2
87,1
Проанализируйте сезонные изменения промышленного производства:
на основе индекса сезонности;
применяя графический метод.
Задача №3.
Имеются данные по предприятию о динамике производства молока за три года (табл.1). Необходимо проанализировать сезонность производства молока.
Таблица 1
Месяц
Год
Всего за три года
В среднем за три года
Показатели сезонности
2000
2001
2002
1
2
3
4
5
6
7
I
120
131
112
363
121,0
78,7
II
125
127
130
382
127,3
82,8
III
140
152
143
435
145,0
94,3
IV
157
160
162
479
159,7
103,8
V
168
181
175
524
174,7
113,6
VI
181
194
197
572
190,7
124,0
VII
196
201
191
588
196,0
127,4
VIII
183
180
171
534
178,0
115,7
IX
160
165
154
479
159,7
103,8
X
142
148
155
445
148,3
96,4
XI
133
127
140
400
133,3
86,7
XII
115
110
111
336
112,0
72,8
Всего
1820
1876
1841
5537
153,8
1200,0
В среднем
151,7
156,3
153,4
461,4
153,8
100,0
Задача №4.
Имеются данные о динамике использования трудовых ресурсов в области по месяцам года (табл.1). Необходимо проанализировать сезонность этого явления.
Таблица 1
№ вар-та
Месяц
1
2
3
4
5
6
7
8
9
10
11
12
13
1
681
677
650
894
720
985
1086
931
912
806
752
815
2
378
360
385
392
428
462
427
574
446
397
437
370
3
348
383
446
346
512
714
603
534
509
499
406
399
4
530
608
651
668
646
871
856
801
674
866
607
504
5
885
841
1002
999
1038
1219
1382
1182
975
1675
1251
744
Тесты для закрепления материала
Тест 1
Сезонными колебаниями называют:
а) отношение максимального и минимального уровней динамического ряда к среднему;
б) более-менее стойкие внутригодовые колебания в рядах динамики, обусловленные специфическими условиями производства или потребления определённого вида продукции;
в) уровни исходного динамического ряда объединяются по более крупным периодам.
Тест 2
Метод аналитического выравнивания подразумевает:
а) уровни исходного динамического ряда объединяются по более крупным периодам;
б) замену первоначальных уровней ряда динамики средними арифметическими, найденными по способу скольжения, начиная с первого уровня с постепенным включением последующих уровней;
в) подбирается уравнение, которое наиболее полно отражает характер изменения динамического ряда за изучаемый период.
Тест 3
Метод укрупнения периодов подразумевает:
а) уровни исходного динамического ряда объединяются по более крупным периодам;
б) замену первоначальных уровней ряда динамики средними арифметическими, найденными по способу скольжения, начиная с первого уровня с постепенным включением последующих уровней;
в) подбирается уравнение, которое наиболее полно отражает характер изменения динамического ряда за изучаемый период.
Тест 4
Метод скользящей средней подразумевает:
а) уровни исходного динамического ряда объединяются по более крупным периодам;
б) замену первоначальных уровней ряда динамики средними арифметическими, найденными по способу скольжения, начиная с первого уровня с постепенным включением последующих уровней;
в) подбирается уравнение, которое наиболее полно отражает характер изменения динамического ряда за изучаемый период.
Литература:
Ефимова М.Р. , Петрова Е.В., Румянцев В.Н. Общая теория статистики: Учебник. Изд. 2-е, испр. и доп. – М.:ИНФА-М, 2002. – 416 с.
Теорія статистики: Навчальний посібник / Вашків П.Г., Пастер П.Ш., Сторожук В.П., Ткач Є.Ш. – К.: Либідь, 2001. - 320 с.
Статистика: Підручник / С.С. Герасименко, А.В. Головач та ін. 2-е вид., перероб. і доп. – К. : КНЕУ, 2000. – 467 с.
Статистика: Учебное пособие / Харченко Л.П., Долженкова В.Г., Ионин В.Г. и др.; Под ред. В.Г. Ионина. – Изд. 2-е, перераб. и доп. – М.: ИНФРА-М, 2002. – 384 с.
Мармоза А.Т. Практикум з основ статистики. К.: Ельга, Ніка-Центр, 2003. – 344 с.
Сборник задач по общей теории статистики. Учебное пособие. Изд. 2-е. /Под ред. Серга Л.К. – М.: Информационно-издательский дом «Филин», Рилант, 2001. – 360 с.
Тема 12. Экономические индексы
План лекционных занятий
20. Индексный метод в статистике.
Общее понятие об индексах.
Виды индексов.
Использование индивидуальных индексов в экономическом анализе.
21. Агрегатные индексы.
Формы представления общих индексов.
Средний гармонический и средний арифметический индексы.
22. Взаимосвязь индексов.
22.1. Взаимосвязь индексов.
22.2. Территориальные индексы.
23. Использование индексов в экономическом анализе.
Индекс структурных сдвигов.
Использование индексов в макроэкономическом анализе.
Методические указания
В статистических исследованиях для характеристики социально-экономических явлений и процессов широко используют обобщающие показатели в виде средних, относительных и других величин. К этим характеристикам относятся и индексы, занимающие особенное место среди статистических показателей. В переводе с лат. «INDEX» означает «показатель», но именно в статистике он имеет специфическое значение. Каждый индекс является соотношением двух значений показателя, который индексируется: оценочного (текущего) и взятого за базу сравнения. То есть по статистической природе индекс – это относительная величина, которая характеризует изменение социально-экономического явления во времени (индексы динамики), в пространстве (территориальные индексы) или степень отклонения значений показателя от определённого стандарта (планового показателя, договорных обязательств, средней величины). Формы выражения индекса: коэффициенты, проценты, промилле. Однако индексом не стоит считать какую-либо относительную величину сравнения, с помощью которой характеризуют изменение сложных социальных явлений.
Статистический индекс – это обобщающий показатель, который выражает соотношение величин сложного экономического явления, состоящего из элементов непосредственно несуммируемых.
1. По характеру исследуемых объектов выделяют индексы объёмных и качественных показателей.
Индексы объёмных показателей – это индексы физического объёма продукции, розничного товарооборота, потребления отдельных продуктов. В них содержится характеристика изменения объёма или явления, которое выражают в определённых единицах измерения.
Индексы качественных показателей – это индексы цен, себестоимости продукции, продуктивности труда. В таких индексах содержится характеристика изменения качественного признака, то есть такая, которая отражает особенности развития явления.
2. По степени охвата единиц совокупности индексы бывают индивидуальные и общие.
Индивидуальные индексы дают сравнительную характеристику отдельных элементов сложного явления. Обозначается такой индекс «i». Возле основы такого индекса всегда ставится символ того явления, изменение которого он означает. Признак отчётного периода с «1», базисного «0».
,
где - объём произведённой продукции определённого вида соответственно в отчётном и базисном периодах.
Общие индексы – характеризуют смену совокупности, в которую входят разнородные элементы. Если индексы охватываю не все единицы совокупности, то их называют групповыми, или субиндексами.
3. По форме вычисления бывают агрегатные, среднеарифметические среднегармонические. Согласно с индексной теорией, агрегатные индексы являются основной формой экономических индексов, а средние их индивидуальных – производными. Выбор той или иной формы зависит от цели исследования и имеющейся информации.
4. В зависимости от базы сравнения индексы бываю цепные и базисные. При вычислении индексов различают сравниваемый и уровень, с которым производится сравнение, называемый базисный. Цепные индексы получают сопоставлением текущих уровней с предшествующим. Базисные индексы получают сопоставлением с уровнем периода, принятого за базу сравнения.
5. По характеру весов-соизмерителей индексы классифицируют как индексы с постоянными и переменными весами.
Соизмерением в статистике называется переход от одних единиц измерения к другим.
6. По составу изучаемого явления различают индексы постоянного и переменного состава. Индексы, в которых изменяется одна величина, называют индексами постоянного состава (индексы цен, себестоимости), а если две и более величин – переменного состава (индексы стоимостного объёма продукции, валового сбора, общих затрат).
Основные виды индивидуальных индексов:
1. Индивидуальные индексы физического объёма реализации товаров:
,
где - количество продажи отдельной товарной продукции в текущем и базисном периодах в натуральных соизмерителях.
2. Индивидуальные индексы цен:
,
где - цены за единицу товара в текущем и базисном периодах.
Основной формулой экономического индекса является агрегатная. Агрегатный индекс – это соотношение двух агрегатов, привязанных к какому-либо месту и времени. Агрегат – это произведение сопряжённых величин. Одна из этих величин индексирована – в числителе и знаменателе она в разных периодах, а другая является весами или соизмерителем индексированной величины и фиксируется в одном и том же уровне.
Сумма произведений количества продукции на его соизмеритель, например на цену , даёт объединение, или агрегаты: (aggrego (лат.) – присоединяю). Агрегатной форме индекса более 100 лет, её разработали немецкие статистики Э. Ласпейрес и Г. Пааше. (1864 г.)
Формулы индексов приведены в табл. 1.
Таблица 1
Формулы индексов цен физического объёма по разным системам взвешивания
Базисно - взвешенная система (Ласпейреса)
Текуще - взвешенная система (Пааше)
Обе системы равноправны. Реальный экономический смысл имеют не только числитель и знаменатель индекса, но и разница между ними. Выбор формы индекса зависит от цели исследования и имеющейся информации.
Индексы Пааше и Ласпейреса характеризуют различные качественные особенности изменения цен. Индекс Пааше характеризует влияние изменения цен на стоимость товаров, реализованных в отчётном периоде, а индекс Ласпейреса показывает влияние изменения цен на стоимость количества товаров, реализованных в базисном периоде.
Второй формой сводного индекса является средневзвешенный из индивидуальных. Используют два вида средних – арифметическую и гармоническую. Выбор вида средней базируется на общих положениях: средневзвешенный индекс должен быть тождественен соответствующему индексу агрегатной формы. Средний гармонический индекс – это средняя гармоническая из индивидуальных. Его вычисляют тогда, когда известны индивидуальные индексы цен и стоимость каждого вида продукции за отчётный период, но неизвестны данные о цене за единицу продукции в базисном периоде. Средний арифметический индекс – это средняя арифметическая взвешенная из индивидуальных индексов. К его расчёту прибегают тогда, когда из выходных данных известны индивидуальные индексы физического объёма и стоимость продукции каждого вида за базисный период.
Не менее важной в статистическом анализе является аналитическая функция индексов, которая опирается на взаимосвязь индексов. Практически каждый индекс является составной частью определённой индексной системы, а его связи с другими индексами этой системы отображают связи между соответствующими показателями.
Так, товарооборот зависит от физического объёма проданного товара и цен , соответственно индекс товарооборота можно представить как произведение индексов физического объёма и цен:
.
Аналогично денежные затраты на производство можно представить как функцию физического объёма производства и себестоимости :
.
В какой-либо системе индекс произведения связанных величин равен произведению индексов этих величин. В рамках такой индексной системы на основе двух индексов можно определить третий. Например, если денежные затраты на производство выросли на 7,1 %, а физический объём произведенной продукции – на 5 %, то себестоимость единицы продукции выросла в среднем на 2 %:
.
Взаимосвязаны также индексы прямых и оборотных показателей, например, потребительских цен и покупательной способности денежной единицы или продуктивности труда и трудоёмкости продукции. Если потребительские цены выросли на 4,8 %, то покупательная способность денежной единицы уменьшилась на 4,6 %:
.
Базисные и цепные индексы (индивидуальные или общие) находятся в такой взаимосвязи:
произведение цепных индексов даёт базисный индекс (последнего периода):
,
где 1,2,3 – какие-либо периоды.
деление последующего базисного индекса на предыдущий базисный индекс даёт цепной индекс (последующего периода):
В современных условиях развития статистики большое значение приобретает использование индексного метода для территориальных сравнений. При рыночных отношениях возникает необходимость сравнения деятельности отдельных территорий (регионов) страны. Большое значение имеет индексный метод в международной статистике при сопоставлениях показателей социально-экономического развития отдельных стран.
Общие принципы использования индексного метода при территориальных сравнениях во многом подобны изучению динамики сложных статистических совокупностей. Но в отличие от строгой хронологической последовательности расчёта показателей динамики коммерческой деятельности при определении региональных индексов свою специфику имеет выбор базы сравнения.
Решение типовых задач
Задача № 1.
Имеются следующие данные о товарообороте магазина. Определите индивидуальные и общий индексы цен.
Таблица 1
Товары
Продано товаров в фактических ценах, тыс. грн.
% изменения цен в отчетном году по сравнению с базисным
Базисный год
Отчетный год
1. Овощи
50,0
63,0
-10
2. Мясо
22,0
24,0
+2
3. Фрукты
36,0
40,0
Без изменения
Ход решения:
Индивидуальные индексы цен равняются:
по овощам = 0,90;
по мясу = 1,02;
по фруктам = 1,00.
Общий индекс цен равен:
Вывод: в отчетном году по сравнению с базисным годом цены снизились на 4,9%.
Задача № 2.
Имеются следующие данные об объеме продажи и ценах на колхозном рынке.
Таблица 1
Товары
Продано, кг
Цена 1 кг, грн.
Базисный период
Отчетный период
Базисный период
Отчетный период
А
О
1
О
1
Капуста
200
300
3,5
3,0
Молоко
1000
1200
1,2
1,0
Яблоки
150
120
6,0
4,0
Определите:
общие индексы цен, физического объема, товарооборот в фактических ценах;
абсолютную сумму экономии (переплаты) денежных средств у населения от снижения (роста) цен;
абсолютное изменение товарооборота за счёт изменения количества проданных товаров.
Ход решения:
Определим общий индекс цен:
Общий индекс физического объема:
Общий индекс товарооборота в физических ценах:
Абсолютную сумму экономии (переплаты) денежных средств у населения от снижения (роста) цен определяем по формуле:
Вывод: Стоимость товаров в ценах базисного периода (q1p0) больше фактической, значит, покупатели заплатили в отчетном году на 630 грн. меньше в связи со снижением цен.
Теперь исчислим абсолютное изменение товарооборота за счет изменения цен и за счет изменения количества проданных товаров:
Вывод: Товарооборот в фактических ценах в отчетном периоде по сравнению с базисным уменьшился на 220 грн.
За счет изменения цен:
Задача №3.
На основе приведённых данных определить общий индекс физического объёма реализации.
Таблица 1
Продукция
Объём продажи в базисном году , грн
Индекс физического объёма продукции
Молоко
245
1,428
350
Сметана
1200
1,250
1500
Итого
1445
Х
1850
Ход решения:
Подставив данные в формулу среднего арифметического индекса физического товарооборота, получим:
Вывод: Объём товарооборота в отчётном периоде по сравнению с базисным за счёт увеличения объёма проданной продукции возрос на 28 %.
Задачи для самостоятельного выполнения
Задача № 4.
Имеются следующие данные об объёмах добычи угля в регионе:
Таблица 1
Месяц
Апрель (04)
Май (05)
Июнь (06)
Июль (07)
Добыто, млн. т
23,2
20,2
18,7
19,8
Определите базисные и цепные индивидуальные индексы объёма добычи угля. Проверьте взаимосвязь базисных и цепных индексов.
Задача № 5.
Имеются следующие данные о проданных товарах:
Таблица 1
Товары
Ед.
изм.
Реализовано
Цена, ден. ед.
Базисный период ()
Отчётный период ()
Базисный период
()
Отчётный период ()
Масло сливочное
кг
1000
750
15
20
Масло подсолнечное
л
2000
1800
5
6
Рассчитать:
общий индекс цен.
общий индекс физического объёма.
Общий индекс товарооборота, а также абсолютное изменение выручки от реализации продукции в отчётном периоде по сравнению с базисным под влиянием изменения цен и физического объёма реализованной продукции.
Задача № 6.
По промышленному предприятию имеются следующие данные:
Таблица 1
Изделие
Общие затраты на производство в текущем периоде, тыс. грн.
Изменение себестоимости изделия в текущем периоде по сравнению с базисным, %
Расчётные графы
1
2
3
4
5
Электромясорубка
1234
+6,0
1,060
1164,2
Кухонный комбайн
5877
+8,4
1,084
5421,6
Миксер
980
+1,6
1,016
964,6
Итого
8091
-
-
7550,4
Определите общее изменение себестоимости продукции в текущем периоде по сравнению с базисным.
Задача № 7.
Имеется следующая информация о реализации товаров в натуральном и стоимостном выражениях:
Таблица 1
Товар
Реализация в базисном периоде, грн
Изменение физического объёма реализации в текущем периоде по сравнению с базисным, %
Расчётные графы
1
2
3
4
5
Мандарины
46000
-6,4
0,936
43056
Грейпфруты
27000
-8,2
0,918
24786
Апельсины
51000
+1,3
1,013
51663
Итого
124000
-
-
119505
Рассчитайте, как изменился физический объём реализации в отчётном периоде по сравнению с базисным.
Задача № 8.
На основании приведённых данных определить общий индекс цен.
Таблица 1
Продукция
Объём продажи в отчётном периоде , грн.
Индекс цен
Молоко
300
0,857
350
Сметана
1400
0,933
1500
Всего
1700
Х
1850
Задача №9.
Выпуск продукции увеличился на 26 %, а число работников снизилось на 5 % в отчётном году по сравнению с базисным. Как изменилась производительность труда?
Тесты для закрепления материала
Тест 1
В статистике означает:
а) индивидуальный индекс;
б) размах вариации;
в) дисперсия.
Тест 2
Существуют два способа расчёта индивидуальных индексов:
а) цепной;
б) базисный;
в) вариационный.
Тест 3
Индивидуальный индекс – это:
а) индекс, характеризующий изменение отдельных единиц статистической совокупности;
б) индекс, выражающий сводные результаты совместного изменения всех единиц, образующих статистическую совокупность.
Тест 4
В общем индексе цен фиксируется (остаётся неизменным) показатель:
а) количественный;
б) качественный.
Тест 5
В общем индексе физического товарооборота индексируется показатель:
а) количественный;
б) качественный.
Тест 6
Выработка одного рабочего в среднем увеличилась на 10 %, а их численность уменьшилась на 10 %. Определить, как изменился объём произведённой продукции:
а) не изменился;
б) увеличился на 18,2 %;
в) уменьшился на 1 %;
г) установить нельзя.
Тест 7
Индекс трудоёмкости равен 0,8. Как изменилась продуктивность труда в отчётном периоде по сравнению с базисным:
а) снизилась на 20 %;
б) увеличилась на 20 %;
в) снизилась на 80 %;
г) увеличилась на 25 %.
Тест 8
Цены на потребительские товары и услуги за январь – июнь 2002 г. в Украине выросли в 1,7 раза. Цены в среднем за месяц вырастали на:
а) 10,0 %;
б) 24,3 %;
в) 11,67 %;
Литература
Ефимова М.Р. , Петрова Е.В., Румянцев В.Н. Общая теория статистики: Учебник. Изд. 2-е, испр. и доп. – М.:ИНФА-М, 2002. – 416 с.
Теорія статистики: Навчальний посібник / Вашків П.Г., Пастер П.Ш., Сторожук В.П., Ткач Є.Ш. – К.: Либідь, 2001.-320 с.
Статистика: Підручник / С.С. Герасименко, А.В. Головач та ін. 2-е вид.,перероб. і доп. – К. : КНЕУ, 2000. – 467 с.
Статистика: Учебное пособие / Харченко Л.П., Долженкова В.Г., Ионин В.Г. и др.; Под ред. В.Г. Ионина. – Изд. 2-е, перераб. и доп. – М.: ИНФРА-М, 2002. – 384 с.
Мармоза А.Т. Практикум з основ статистики. К.: Ельга, Ніка-Центр, 2003. – 344 с.
Сборник задач по общей теории статистики. Учебное пособие. Изд. 2-е. /Под ред. Серга Л.К. – М.: Информационно-издательский дом «Филин», Рилант, 2001. – 360 с.
Методические указания к написанию аудиторной
контрольной работы для студентов заочной формы обучения
Методические рекомендации разработаны для студентов экономических специальностей, изучающих статистику в качестве одной из ведущих общественных дисциплин. Они включают основные требования к написанию аудиторных контрольных работ, разработанные варианты и один полностью рассмотренный пример выполнения такой работы.
Целью выполнения такой контрольной работы является стимулирование деятельности студента к более глубокому освоению курса и подготовка к сдаче экзамена по дисциплине «Статистика».
Для правильного написания контрольной работы необходимо комплексное изучение теоретических проблем о социально-экономическом развитии страны.
ОСНОВНЫЕ ТРЕБОВАНИЯ К СОДЕРЖАНИЮ И ОФОРМЛЕНИЮ РАБОТЫ
Контрольная работа выполняется студентами заочной формы обучения в аудитории по итогам изучения разделов «Общая теория статистики».
Методические указания состоят из 10 вариантов, кроме рассмотренного в качестве примера. Каждый вариант включает два теоретических вопроса, одно практическое задание (решение задачи).
Правила оформления работы:
Контрольную работу следует выполнять чётко, разборчиво, с использованием общепринятых сокращений.
Страницы работы должны быть пронумерованы, на них оставлены поля для замечаний рецензента.
Решение задачи должно сопровождаться пояснениями применяемой методики расчёта каждого показателя и используемых формул с объяснением их символики
Работу следует подписать и поставить дату выполнения.
Если контрольная работа выполняется на отдельных листах, её необходимо сброшюровать (слева).
При зачёте контрольной работы студент должен показать знания по дисциплине, быть готовым ответить на все вопросы рецензента, как по самой работе, так и по изучаемому курсу в целом.
Вариант 0 (образец)
Статистическое наблюдение:
формы, виды, способы;
ошибки статистического наблюдения и пути их устранения.
Задачи статистических группировок, их виды.
3. Задача. Для определения среднего возраста 1200 студентов факультета необходимо провести выборочное исследование методом случайного бесповторного отбора. Предварительно установлено, что среднее квадратическое отклонение возраста студентов равно 10 годам. Сколько студентов нужно обследовать, чтобы с вероятностью 0,954 средняя ошибка выборки не превышала 3 года?
Вопросы, вынесенные на экзамен
Возникновение и развитие статистики.
Предмет и метод статистики.
Понятия и категории статистики.
Организация статистики на Украине.
Показатели статистики.
Понятие о статистической информации.
Организационные формы статистического наблюдения.
Программно-методологические вопросы статистического наблюдения.
Виды статистического наблюдения.
Организационные вопросы статистического наблюдения.
Ошибки статистического наблюдения.
Понятие о статистической сводке.
Методологические вопросы статистических группировок, их значение в экономическом исследовании.
Задачи статистических группировок, их виды.
Принципы выбора группировочного признака.
Образование групп и интервалов группировок.
Понятие абсолютной величины в статистике.
Виды и взаимосвязи относительных величин.
Сущность и значение средней величины.
Виды средних величин и методы их расчёта.
Структурные средние величины.
Виды рядов распределения.
Основные характеристики и графическое изображение вариационного ряда.
Понятие вариации и основные показатели.
Математические особенности дисперсии.
Виды дисперсий.
Понятие выборочного наблюдения.
Методы и способы отбора единиц в выборочную совокупность.
Определение средней и граничной ошибок выборки.
Определение необходимого объёма выборки.
Распространение выборочных результатов.
Общие понятия о гипотезе.
Этапы работы по статистической проверке гипотез.
Критерии согласия.
2. Элементы дисперсионного анализа.
Виды взаимосвязей.
Регрессионный анализ.
Оценка плотности.
Ранговая корреляция.
Оценка согласованности вариации атрибутивных признаков.
Коэффициенты контингенции и ассоциации.
Классификация рядов динамики.
Характеристики интенсивности динамики.
Анализ рядов динамики.
Абсолютные, относительные и средние характеристики рядов динамики.
Характеристика основной тенденции развития.
Измерение сезонных колебаний.
Индекс сезонности, сезонная волна.
Общее понятие об индексах.
Виды индексов.
Использование индивидуальных индексов в экономическом анализе.
Формы представления общих индексов.
Средний гармонический и средний арифметический индексы.
Взаимосвязь индексов.
Территориальные индексы.
Индекс структурных сдвигов.
Использование индексов в макроэкономическом анализе.
Значение графического метода в статистике.
Основные элементы статистического графика.
Классификация статистических графиков.
Образец экзаменационного билета
Экзаменационный билет № 0
дисциплина: «Статистика»
Виды и взаимосвязи относительных величин.
Определение средней и граничной ошибок выборки.
Задача.
По данным таблицы вычислите цепные и базисные экономические показатели интервального ряда динамики: абсолютный прирост, темп роста, темп прироста.
д
1998
1999
2000
2001
2002
Ввод в действие общей площади жилых домов, млн. м2
24,5
109,6
106,0
105,0
113,0
Тесты
1.Единицей наблюдения в статистике называется:
а) социально-экономическое явление или процесс, подлежащий статистическому наблюдению;
б) перепись, одноразовое наблюдение;
в) первичный элемент статистической совокупности, который является носителем признаков, подлежащих регистрации;
г) первичный элемент совокупности, от которой необходимо получить сведения в процессе наблюдения.
4.Сводкой статистического материала считается:
а) расчленение совокупности на группы и подгруппы;
б) подведение итогов по совокупности в целом и в разрезе групп и подгрупп и изображение сгруппированных материалов в виде таблиц;
в) разработка системы взаимосвязанных показателей для характеристики совокупности в целом и отдельных её частей.
2.Статистической группировкой называется:
а) объединение единиц совокупности в группы по однородным признакам;
б) регистрация статистических данных по соответствующим признакам или особенностям;
в) характеристика единицы наблюдения с помощью системы статистических показателей.
5. С помощью каких группировок можно установить состав явления социальной жизни по соответствующему признаку:
а) типологических;
б) аналитических;
в) структурных;
г) комбинированных.
3.С помощью каких группировок можно выделить и охарактеризовать качественно однородные явления общественной жизни:
а) типологических;
б) аналитических;
в) структурных;
г) атрибутивных.
6.По количеству группировочных признаков различают такие группировки:
а) атрибутивные и аналитические;
б) структурные и типологические;
в) простые и комбинированные;
г) первичные и вторичные.
Критерий оценки знаний студентов
Итоговый контроль знаний по дисциплине "Статистика" для студентов проводится в виде экзамена.
Экзамен студенты сдают в устной форме по билетам, которые составляются на основе программы учебной дисциплины.
Единый билет составляется из двух теоретических вопросов и одного практического задания.
Содержание вопросов и заданий рассчитано на выполнение работы студентами на протяжении 40 мин. Во время выполнения экзаменационной работы по вопросам билета не разрешается пользоваться вспомогательными материалами: записями, конспектами, словарями, справочниками и пр. Последовательность ответов не имеет значения.
Результатом экзамена является устный ответ на вопросы и задание билета. Качество ответа оценивается в баллах: максимальное количество баллов, которое засчитывается за каждый вопрос – 20 баллов, практическое задание – 30 баллов. Таким образом, максимальная сумма баллов за билет – 70.
Студенты, посетившие менее 80 % практических и лекционных занятий по неуважительной причине допускаются к экзамену после их отработки.
Критерии оценки ответов на теоретические вопросы:
Ответ на вопрос оценивается в 20 баллов, если он полный и отвечает таким требованиям:
развернутый, исчерпывающий ответ на заданный теоретический вопрос;
правильность раскрытия смысла определенных категорий и законов, механизма их взаимосвязей и взаимодействия;
способность самостоятельно производить сравнительный анализ и делать выводы и обобщения;
способность высказывать и аргументировать собственные отношения к альтернативным взглядам на данный вопрос;
использование актуальных фактических и статистических данных.
Ответ оценивается в 15 баллов, если:
не раскрыт хотя бы один из вышеперечисленных пунктов для полного исчерпывающего ответа на наивысший балл,
или
при раскрытии содержания ответа сделаны значительные ошибки во время использования цифрового материала.
Ответ оценивается в 10 баллов, если:
не раскрыто два из вышеперечисленных пунктов требований к полному ответу на наивысшую оценку;
или
одновременно имеют место 2 недочета, которые отдельно характеризуют критерии оценки в 15 баллов.
Ответ на вопрос оценивается в 0 баллов, если:
не раскрыто 3 и более пунктов требований к полному ответу на наивысшую оценку;
одновременно имеют место 2 и более недочетов, которые отдельно характеризуют критерии оценки вопроса на 10 баллов;
выводы, сделанные во время ответа, не отвечают правильным или общепринятым из-за отсутствия аргументированных доказательств собственных выводов;
характер ответа дает основание утверждать, что личность, сдающая экзамен, неправильно поняла содержание вопроса и не знает правильного ответа на него и поэтому не ответила на заданный вопрос по существу, допустила грубые ошибки в содержании ответов.
Критерии оценки на практическое задание билета:
Ответ оценивается в 30 баллов и считается полным, исчерпывающим, если:
правильный арифметический ответ;
правильное теоретическое обоснование соответствующих расчетов;
правильно определена и применена необходимая формула для расчета.
Общее количество баллов при решении предложенного практического задания уменьшается, если:
неправильный арифметический расчет – минус 8 баллов;
неправильно определено теоретическое обоснование соответствующего расчета – минус 10 баллов;
нарушена логическая последовательность в решении задания – минус 5 баллов.
Минимальная оценка задания с учетом всех возможных ошибок – 0 баллов.
Общая оценка за экзамен выводится путем пересчета общей численности набранных баллов за ответы на теоретические вопросы и практическое задание билета по шкале:
70-61 балл – «отлично»
60-41 балл – «хорошо»
40-31 балл – «удовлетворительно»
менее 31 балла – «неудовлетворительно».
Тематика рефератов
Возникновение и развитие статистики.
Предмет и методологическая база статистики.
Основные понятия и категории статистики.
Организация статистики на Украине.
Показатели статистики.
Виды статистического наблюдения.
Организационные вопросы статистического наблюдения.
Ошибки статистического наблюдения.
Статистическая сводка.
Задачи статистических группировок, их виды.
Понятие абсолютной величины в статистике.
Виды и взаимосвязи относительных величин.
Сущность и значение средней величины.
Виды средних величин и методы их расчёта.
Структурные средние величины.
Виды рядов распределения.
Понятие вариации и основные показатели.
Виды дисперсий, их математические особенности.
Выборочный метод в статистике.
Методы и способы отбора единиц в выборочную совокупность.
Определение средней и граничной ошибок выборки.
Этапы работы по статистической проверке гипотез.
Критерии согласия.
Элементы дисперсионного анализа.
Виды взаимосвязей.
Регрессионный анализ.
Характеристики интенсивности динамики.
Анализ рядов динамики.
Характеристика основной тенденции развития.
Измерение сезонных колебаний.
Виды индексов.
Формы представления общих индексов.
Взаимосвязь индексов.
Территориальные индексы.
Значение графического метода в статистике.
Список РЕКОМЕНДУЕМОЙ литературы
Основная:
Ефимова М.Р. , Петрова Е.В., Румянцев В.Н. Общая теория статистики: Учебник. Изд. 2-е, испр. и доп. – М.:ИНФА-М, 2002. – 416 с.
Теорія статистики: Навчальний посібник / Вашків П.Г., Пастер П.Ш., Сторожук В.П., Ткач Є.Ш. – К.: Либідь, 2001. - 320 с.
Статистика: Підручник / С.С. Герасименко, А.В. Головач та ін. 2-е вид., перероб. і доп. – К. : КНЕУ, 2000. – 467 с.
Статистика: Учебное пособие / Харченко Л.П., Долженкова В.Г., Ионин В.Г. и др.; Под ред. В.Г. Ионина. – Изд. 2-е, перераб. и доп. – М.: ИНФРА-М, 2002. – 384 с.
Мармоза А.Т. Практикум з основ статистики. К.: Ельга, Ніка-Центр, 2003. – 344 с.
Сборник задач по общей теории статистики. Учебное пособие. Изд. 2-е. /Под ред. Серга Л.К. – М.: Информационно-издательский дом «Филин», Рилант, 2001. – 360 с.
Общая теория статистики: Статистическая методология в изучении коммерческой деятельности: Учебник /Под ред. О.Э. Башиной, А.А. Спирина. – 5-е изд., доп. и перераб. – М.: Финансы и статистика, 1999. – 440 с.
Салин В.Н., Шпаковская Е.П. Социально-экономическая статистика: Ученик. – М.: Юрист, 2001. – 461 с.
Захожай В.Б., Попов І.І., Коваленко О.В. Практикум з основ статистики: Навч. посіб. – К.: МАУП, 2001. - 176 с.
Теория статистики: Учебник / Под ред. Р.А. Шмойловой. – М.: Феникс, 2001.
Дополнительная:
Статистика. Сборник задач: Учебник. Сиденко А.Е. – К.: «Дис», 1998. –102 с.
Общая теория статистики. Практикум. Громыко Г.Г. – М.: Инфра-М, 1999. – 115 с.
Курс социально-экономической статистики: Учебник под ред. М.Г. Назарова, - М.: Финансы и статистка, 1995. – 250 с.
Основы общей теории статистики/Под ред. Кожухарь Л.И. – М.: Финансы и статистика, 1999.
Гусаров В.М. Теория статистики: Учебное пособие для вузов. – М.:АУДИТ-ЮНИТИ, 1998.
Статистика рынка товаров и услуг/Под ред. И.К. Беляевского, М.: Финансы и статистика, 1995.
Нравится материал? Поддержи автора!
Ещё документы из категории экономика:
Чтобы скачать документ, порекомендуйте, пожалуйста, его своим друзьям в любой соц. сети.
После чего кнопка «СКАЧАТЬ» станет доступной!
Кнопочки находятся чуть ниже. Спасибо!
Кнопки:
Скачать документ