Технико-экономическое обоснование целесообразности строительства проектируемого предприятия






















































Министерство образования РФ
Павловский автомеханический техникум им. Лепсе И.И.
КУРСОВОЙ ПРОЕКТ
По предмету: ЭКОНОМИКА ПРЕДПРИЯТИЯ
На тему: «Технико-экономическое обоснование целесообразности строительства проектируемого предприятия»
Выполнила: студентка гр.166-1М
Горохова Ольга
Проверила: преподаватель
Тяпкина И.Ф.
Павлово 2008г
СОДЕРЖАНИЕ
ВВЕДЕНИЕ
1. Определение плана производственной мощности проектируемого предприятия…………………………………….............................................................4
2. Технико-экономическое обоснование варианта размещения проектируемого предприятия в одном из предложенных пунктов:…………………………...5
2.1.Расчет транспортных расходов по доставке сырья и материалов………....5
2.2. Расчет транспортных расходов по транспортировке готовой продукции..9
2.3. Расчет потребности в капитальных вложениях в строительство проектируемого варианта……………………………...…………………………………11
2.4. Расчет численности работников предприятия…………………….………14
2.5. Расчет фонда заработной платы работников предприятия……………....16
2.6. Технико-экономическое обоснование выбора пункта строительства…..21
3. Расчет экономической эффективности проектируемого объекта................22
3.1. Расчет себестоимости изделия по экономическим элементам…………..22
3.2. Расчет потребности в оборотном капитале……………………………… 28
3.3. Расчет экономической эффективности капитальных вложений……….. 31
3.4. Определение прибыли и ее распределение………………………………..32
4. Технико-экономические показатели хозяйственной деятельности проектируемого предприятия ……………………………………………………….…35
5. Выводы и предложения………………………………………………………37
СПИСОК ИСПОЛЬЗУЕМОЙ ЛИТЕРАТУРЫ
ВВЕДЕНИЕ
Технико-экономическое обоснование (ТЭО) представляет собой документально оформленные результаты маркетинговых и технико-экономических исследований, обосновывающих целесообразность и возможности реализации инвестиционного проекта, выбор наиболее эффективных организационных, технических и экономических решений для ввода в действие новых или реконструкции и модернизации действующих производственных мощностей.
В процессе ТЭО устанавливается производственная мощность предприятия, потребности его в материалах, сырье, полуфабрикатах и источниках их получения, уточняется место размещения предприятия, решаются транспортные вопросы, определяется себестоимость продукции и общие затраты на ее производство, необходимые капитальные вложения и их экономическая эффективность.
От качества ТЭО зависит не только решение кратковременных проблем, связанных с капитальным строительством и вооружением завода новой техникой, но и эффективность его дальнейшей деятельности - его будущее, как производителя. Этот документ отражает все стороны деятельности предприятия, его связи с поставщиками и потребителями, планируемые затраты и сроки их окупаемости и т.д.
В данной курсовой работе предполагается выполнить расчеты по экономическому обоснованию строительства нового предприятия по пошиву женской верхней одежды. Основной вид продукции женские пальто.
В этом проекте раскрываются некоторые вопросы анализа технико-экономических показателей деятельности предприятия, касающиеся программы выпуска продукции, технологического процесса изготовления изделий, эффективности использования материалов, ценовой политики, рентабельности и некоторых других.
Расчеты дадут возможность получения более точных представлений и выводов о технико-экономических показателях деятельности предприятия.
Определение плана производственной мощности проектируемого предприятия
Производственная мощность предприятия, цеха, участка – это способность закреплённых за ними средств труда к максимальному выпуску продукции за год в соответствии с установленной специализацией, кооперированием производства и режимом работы.
Производственная мощность предприятия, цеха, участка рассчитывается в тех же натуральных единицах, в которых планируется объем выпуска продукции.
Таблица 1. – Баланс производства и потребления продукции
№ п/п
Предложение продукции в регионе, шт.
№ п/п
Спрос на продукцию в регионе, шт.
Показатели
Кол-во
Показатели
Кол-во
1
Действующее производство (ДП)
70000
1
Объем возможного потребления в регионе (П)
300000
2
Прирост производства за счет организационно-технических мероприятий (10% от ДП) (ОТМ)
7000
3
Прирост выпуска за счет капитального строительства или расширения действующего производства (НС)
223000
ИТОГО:
300000
ИТОГО:
300000
Объем производства для действующего предприятия определяется по формуле (обозначения в таблице 1):
Nг = 260000 (шт)
2. Технико-экономическое обоснование варианта размещения проектируемого предприятия в одном из предложенных пунктов
2.1 Расчет транспортных расходов по доставке сырья и материалов
При выборе экономического района строительства проектируемого предприятия необходимо учесть потребность данного района в производимой продукции и наличием источников сырья и материалов, определить производственные связи проектируемого предприятия по снабжению и сбыту, транспортные центры доставки и их долю в потреблении готовой продукции, а также условия транспортировки. Возможный пункт нового строительства должен быть максимально приближен к местам потребления готовой продукции и к источникам сырья и материалов.
Для экономического обоснования выбора пункта строительства завода необходимо определить:
1. транспортные затраты по снабжению проектируемого завода материалами, полуфабрикатами и комплектующими изделиями (грузооборот в тонно-километрах, затраты на перевозку, млн. руб.);
2. транспортные затраты по сбыту готовой продукции потребителям (грузооборот в тонно-километрах), затраты на перевозку, млн. руб.;
3. сводные транспортные затраты по снабжению и сбыту, в тонно-километрах, млн. руб.
Строительство нового предприятия предполагается вести в 2 возможных пунктах г. Северном или г. Сказочном.
Поставки материалов могут производиться из нескольких пунктов:
- ткани и нитки из г. Липовска, г. Мирного, п. Сирень;
- фурнитура из п. Строителей, п. Морского, п. Спортивного,
- меховые воротники из г. Охотницка, г. Рощина.
Таблица 2. – Расстояние от предполагаемых пунктов строительства предприятия до мест нахождения поставщиков, км
Пункты поставки
Вид материалов
Нахождение поставщика
г. Северный
г. Сказочный
1. г. Липовск
Ткань и нитки
200
360
2. г. Мирный
Ткань и нитки
480
450
3. п. Сирень
Ткань и нитки
350
280
4. п. Строителей
фурнитура
420
390
5. п. Морской
фурнитура
240
380
6. п. Спортивный
фурнитура
290
270
7. п. Охотницк
меховые воротники
220
400
8. п. Рощин
меховые воротники
560
475
Таблица 3. – Условные тарифы перевозки грузов железнодорожным транспортом в рублях за одну тонну перевозимого груза
Расстояние, км
Тариф в руб. за 1 тонну
Расстояние, км
Тариф в руб. за 1 тонну
200
18500
380
39000
220
20500
390
41000
240
22500
400
42500
270
25000
420
45000
280
26500
450
48000
290
28500
475
51000
350
34500
480
52000
360
36000
560
58000
Для расчета транспортных затрат на поставку сырья и материалов необходимо рассчитать вес поставляемых материалов, расчет ведется в таблицах 4, 5.
Таблица 4. – Вес перевозимых материалов, т.
Наименование
ткани
Ед.
изм.
Расход материалов на одно изделие, (Нт), м
Годовая программа
(Nг), шт
Кол-во ткани в рулоне (Нр), м
Вес 1 рулона, (Мр), кг
Потребное количество материалов в (Мм1), тн.
Ткань пальтовая
м
2,5
260000
60
25
270,8
Ткань подкладочная
м
2,2
260000
60
18
171,6
Ватин
м
2,2
260000
60
30
286
Итого:
728,4
Расчет ведется по видам материалов по формуле:
Таблица 5. – Расчет веса прочих материалов
Наименование
материала
Ед.изм.
Расход на одно изделие, (Нп), комплектов, шт.
Годовая программа
(Nг), шт
Вес 10 комплектов,
(Нк)
Потребное количество материалов в (Мм2), тн.
1. Фурнитура
комплект
1
260000
1,5
39
2. Нитки
Шт.
1
260000
0,6
15,6
3. Воротник
Шт.
1
260000
6
156
Итого:
210,6
Расчет веса перевозимого груза по прочим материалам ведется по формуле:
Расчет стоимости перевозки материалов в предполагаемый пункт строительства ведется в таблицах 6, 7.
Таблица 6. – Расчет стоимости перевозки материалов (г. Северный)
Пункт
расположения
поставщика
Вид
материалов
Потребное количество материалов в (Мм), тн.
Г. Северный
Расстояние,
км
Тариф за тонну руб.
(Цт),
Стоимость перевозки
(Цт * Мм)
тыс. руб.
1. г. Липовск
Ткань пальтовая, ткань подкладочная, ватин, нитки
744
200
18500
13764
2. г. Мирный
Ткань пальтовая, ткань подкладочная, ватин, нитки
744
480
52000
38688
3. п. Сирень
Ткань пальтовая, ткань подкладочная, ватин, нитки
744
350
34500
25668
4. п. Строителей
фурнитура
39
420
45000
1755
5. п. Морской
фурнитура
39
240
22500
877,5
6. п. Спортивный
фурнитура
39
290
28500
1111,5
7. п. Охотницк
меховые воротники
156
220
20500
3198
8. п. Рощин
меховые воротники
156
560
58000
9048
Таблица 7. – Расчет стоимости перевозки материалов (г. Сказочный)
Пункт
расположения
поставщика
Вид
материалов
Потребное количество материалов в (Мм), тн.
Г. Сказочный
Расстояние,
км
Тариф за тонну руб.
(Цт),
Стоимость перевозки
(Цт * Мм)
тыс. руб.
1. г. Липовск
Ткань пальтовая, ткань подкладочная, ватин, нитки
744
360
36000
26784
2. г. Мирный
Ткань пальтовая, ткань подкладочная, ватин, нитки
744
450
48000
35712
3. п. Сирень
Ткань пальтовая, ткань подкладочная, ватин, нитки
744
280
26500
19716
4. п. Строителей
фурнитура
39
390
41000
1599
5. п. Морской
фурнитура
39
380
39000
1521
6. п. Спортивный
фурнитура
39
270
25000
975
7. п. Охотницк
меховые
воротники
156
400
42500
6630
8. п. Рощин
меховые
воротники
156
475
51000
7956
На основании произведенных расчетов выбираются наиболее экономичные пункты поставки материалов для каждого предполагаемого места строительства нового предприятия, таблица 8.
Таблица 8. – Выбор поставщиков материалов для предполагаемых пунктов строительства
г. Северный
г. Сказочный
Вид
материалов
Пункт расположения поставщика
Стоимость перевозки
Тыс. руб.
Зтр м
Вид
материалов
Пункт расположения поставщика
Стоимость перевозки
Тыс. руб
Зтр м
Ткань пальтовая, ткань подкладочная, ватин, нитки
г. Липовск
13764
Ткань пальтовая, ткань подкладочная, ватин, нитки
п. Сирень
19716
Фурнитура
п. Морской
877,5
Фурнитура
п.Спортивный
975
Меховые воротники
п.Охотницк
3198
Меховые воротники
п. Охотницк
6630
Итого:
17839,5
Итого:
27321
По итогам расчетов можно сделать вывод о том, что предприятие следует расположить в г.Северном, т.к. транспортные расходы по доставке сырья и материалов меньше, чем в г.Сказочном.
2.2. Расчет транспортных расходов по отгрузке готовой продукции
Для определения веса поставки готовой продукции в различные районы необходимо определить вес одного пальто:
где Ким – коэффициент использования материалов (Ким = 0,91)
Размер определяется в процентах от годовой программы выпуска:
размер поставки 1 = 260000 * 15% = 39000 (шт)
размер поставки 2 = 260000 * 10% = 26000 (шт)
Вес определяется по формуле: размер поставки * вес единицы изделия
Вес поставки 1 = 39000 * 0,0033 = 128,7 (тн)
Вес поставки 2 = 26000 * 0,0033 = 85,8 (тн)
Транспортные затраты по сбыту готовой продукции потребителям определяются в таблицах 9, 10.
Пункт поставки продукции
Удельный вес в программе выпуска, %
Размер поставки, шт
Вес поставки
г. Северный
Расстояние
тариф
Стоимость перевозки (тыс. руб.)
Зтр гп
1. г. Липовск
15
39000
128,7
200
18500
2380,95
2. г. Мирный
15
39000
128,7
480
52000
6692,4
3. п. Сирень
10
26000
85,8
350
34500
2960,1
4. п. Строителей
10
26000
85,8
420
45000
3861
5. п. Морской
15
39000
128,7
240
22500
2895,75
6. п. Спортивный
15
39000
128,7
290
28500
3667,95
7. п. Охотницк
10
26000
85,8
220
20500
1758,9
8. п. Рощин
10
26000
85,8
560
58000
4976,4
Итого:
100
260000
858
29193,45
Таблица 9. – Транспортные затраты по сбыту готовой продукции потребителям (г. Северный)
Пункт поставки продукции
Удельный вес в программе выпуска, %
Размер поставки, шт
Вес поставки
г. Сказочный
Расстояние
тариф
Стоимость перевозки (тыс. руб.)
Зтр гп
1. г. Липовск
15
39000
128,7
360
36000
4633,2
2. г. Мирный
15
39000
128,7
450
48000
6177,6
3. п. Сирень
10
26000
85,8
280
26500
2273,7
4. п. Строителей
10
26000
85,8
390
41000
3517,8
5. п. Морской
15
39000
128,7
380
39000
5019,3
6. п. Спортивный
15
39000
128,7
270
25000
3217,5
7. п. Охотницк
10
26000
85,8
400
42500
3646,5
8. п. Рощин
10
26000
85,8
475
51000
4375,8
Итого:
100
260000
858
32861,4
Таблица 10. – Транспортные затраты по сбыту готовой продукции потребителям (г. Сказочный)
Стоимость перевозки готовой продукции определяется по формуле:
Зтр гп = вес поставки * тариф
г. Северный: Зтр гп = 128,7 * 18500 / 1000 = 2380,95 (тыс. руб)
г. Сказочный: Зтр гп = 128,7 * 36000 / 1000 = 4633,2 (тыс. руб)
Суммарные транспортные расходы по доставке исходного сырья и транспортировке готовой продукции: ∑Зтр = Зтр м + Зтр гп
г. Северный: ∑Зтр = 17839,5 + 29193,45 = 47 032,95 (тыс. руб)
г. Сказочный: ∑Зтр = 27321 + 32861,4 = 60 182,4 (тыс. руб)
По итогам расчетов можно сделать вывод о том, что предприятие следует расположить в г.Северном, т.к. затраты по доставке сырья, материалов и транспортировке готовой продукции будут меньше, чем в г.Сказочном.
2.3. Расчет потребности в капитальных вложениях в строительство проектируемого варианта
Инвестиции (от англ. investments) означают «капитальные вложения».
Инвестиции – это вложения финансовых средств в различные виды экономической деятельности с целью сохранения и увеличения капитала. Различают реальные (капитальные) и финансовые (портфельные) инвестиции. Реальные инвестиции – это вложения средств в физический капитал предприятий, например, в создание новых основных фондов, реконструкцию старых фондов или их техническое перевооружение. Финансовые инвестиции – это вложения в покупку акций, ценных бумаг и использование иных финансовых инструментов с целью увеличения финансового капитала инвестора.
К реконструкции относятся мероприятия, связанные как с заменой морально устаревших и физически изношенных машин и оборудования, так и с совершенствованием и перестройкой зданий и сооружений.
Инвестиции, необходимые для строительства (реконструкции) предприятия складываются из основных фондов и нематериальных активов (это вложения в землю, подготовку строительной площадки, на проектно-конструкторские работы, на предэксплуатационные капитальные работы, на приобретение машин и оборудования, в строительство зданий и инженерных сооружений, в строительство вспомогательных сооружений). Расчет капитальных вложений ведется по обоим вариантам.
Объем и структура инвестиций определяются на основе отраслевых показателей удельных капитальных вложений на 1 т массы изделия и проектной мощности завода М:
К = Куд * Nг * Мед
где
Куд – удельные капитальные вложения на 1 тонну массы изделия (Северный – 95000 руб.; Сказочный – 105000 руб.);
Nг – годовая программа проектируемого варианта;
Мед – масса изделия, т.
г. Северный: К = 95000 * 260000 * 0,0033 = 81510000 (руб) = 81500 (тыс.руб)
г. Сказочный: К = 105000*260000*0,0033 = 90090000 (руб) = 90090 (тыс.руб)
В объем инвестиций включатся дополнительные затраты, связанные с географическим расположением строящегося объекта, климатическими особенностями того или иного района и т.д. Величина этих дополнительных затрат определяется с помощью коэффициента стоимости строительно-монтажных работ: Кс = К * Li
где
Li – тарифный коэффициент стоимости строительно-монтажных работ для конкретного региона: для г. Северного он принимается равным 1,2, для г. Сказочного – 1,3.
г. Северный: Кс = 81510 * 1,2 = 97812 (тыс. руб)
г. Сказочный: Кс = 90090 * 1,3 = 117117 (тыс. руб)
Для каждого из предполагаемых вариантов строительства нового предприятия существует свой вариант распределения капитальных затрат по годам, нужно выбрать наиболее эффективный. Для чего затраты, распределенные по годам строительства, приводят к одному моменту времени, которым обычно является год начала реализации проекта, дата начала производства продукции. расчет приведения разновременных платежей к базовой дате называется дисконтированием. При этом используется следующая формула:
Км = Кс* %с * (1+Е)t + Кс* %с * (1+Е)t-1 + Кс* %с * (1+Е)t-2 + Кс* %с * (1+Е)t-3
где
Кт – капитальные вложения, определенные с учетом фактора времени;
Kc – капитальные вложения соответствующего года;
t – срок строительства;
Е – норма дисконта, равная приемлемой для инвестора норме дохода на капитал (Е= 0,1).
%с – доля инвестиций для данного года строительства (в таблице 11.)
Таблица 11.–Распределение капитальных вложений по годам строительства
1 вариант, г. Северный
2 вариант, г. Сказочный
1 год
30%
40%
2 год
30%
30%
3 год
25%
30%
4 год
15%
-
г. Северный: Кт = 97812 * 0,3 * (1+0,1)4 + 97812 * 0,3 * (1+0,1)3 +
+ 97812 * 0,25 * (1+0,1)2 + 97812 * 0,15 * (1+0,1) = 127 745,4 (тыс. руб)
г. Сказочный: Кт = 117117 * 0,4 * (1+0,1)3 + 117117 * 0,3 * (1+0,1)2 +
+ 117117 * 0,3 * (1+0,1) = 143 515,17 (тыс. руб)
Дисконтированные капитальные вложения используются далее при оценке сравнительной экономической эффективности вариантов размещения предприятия и при этом не являются основанием для пересмотра сметной стоимости строительно-монтажных работ.
Из расчетов следует, что предприятие следует расположить в г.Северном, т.к. капитальные вложения будут меньше, чем в г.Сказочном.
2.4. Расчет численности работников предприятия для различных вариантов строительства проектируемого предприятия
Под кадрами предприятия понимается совокупность работников различных профессионально-квалификационных групп, занятых на предприятии и входящих в его списочный состав. В списочный состав включаются все работники, принятые на работу, связанную как с основной, так и неосновной деятельностью.
Понятие «трудовые ресурсы предприятия» характеризует его потенциальную рабочую силу, «персонал» - весь личный состав работающих по найму постоянных и временных, квалифицированных и неквалифицированных работников. Кадры предприятия – основной квалифицированный состав работников предприятия и организации.
Кадры предприятия, непосредственно связанные с процессом производства продукции (услуг), т.е. занятые основной производственной деятельностью, представляют промышленно-производственный персонал. К нему относятся все работники основных, вспомогательных, подсобных и обслуживающих цехов; научно-исследовательских, конструкторских, технологических организаций и лабораторий, находящихся на балансе предприятия; заводоуправления со всеми отделами и службами, а также служб, занятых капитальным и текущим ремонтом оборудования и транспортных средств своего предприятия.
Работники промышленно-производственного персонала подразделяются на две основные группы – рабочие и служащие. Отнесение работников предприятия к той или иной группе определяется общероссийским классификатором профессий рабочих, должностей служащих и тарифных разрядов, имеющим по существу значение общероссийского государственного стандарта.
Рабочие обычно подразделяются на основных и вспомогательных.
Основные рабочие изготавливают продукцию предприятия, выполняют работы и оказывают услуги.
Численность основных рабочих может быть определена по трудоемкости производственной программы.
Трудоемкость пошива одного пальто (Т) 25 часа.
Баланс времени одного работника в год (Ф) 1850 часов, режим работы предприятия – 2 смены.
Коэффициент выполнения норм (Кн) –1,06.
Численность рабочих-сдельщиков определяется по формуле:
Вспомогательные рабочие обеспечивают нормальные условия для работы основных.
Численность вспомогательных работников определяется в процентах к основным рабочим – 35%.
Рвсп = 3315 * 35% = 1160,25 Рвсп = 1161 (чел)
В группе служащих обычно выделяются такие категории работающих, как руководители, специалисты и собственно служащие.
К руководителям относятся лица, наделённые полномочиями принимать управленческие решения и организовывать их выполнение.
К специалистам относятся работники, занятые инженерно-техническими, экономическими, бухгалтерскими, юридическими и другими аналогичными видами деятельности.
К собственно служащим относятся работники, осуществляющие подготовку и оформление документации, учет и контроль, хоз. обслуживание.
Численность служащих по отношению к общей численности основных и вспомогательных рабочих – 15 %.
Рсл = (3315 + 1161) * 15% = 671,4 Рсл = 672 (чел)
2.5 Расчет фонда заработной платы работающих по различным вариантам строительства проектируемого предприятия
Заработная плата представляет собой сумму денежных выплат, стоимость натуральной оплаты за работу, выполненную по трудовому договору (контракту), и по структуре состоит из основной и дополнительной заработной платы.
Основная заработная плата включает оплату труда работников по действующим на предприятиях сдельным расценкам, тарифным ставкам (должностным окладам) и представляет собой относительно постоянную часть оплаты, соответствующую установленной норме.
Дополнительная заработная плата включает различные виды премий, доплаты за работу в сверхурочное время, доплаты по прогрессивным расценкам, за отклонение от нормальных условий труда, оплату целодневных и внутрисменных простоев, доплаты бригадирам.
Основной источник выплаты заработной платы – фонд заработной платы. Средства в этот фонд формируются за счет себестоимости продукции. Плановая величина фонда определяется несколькими способами:
1) Метод прямого счета, т.е. фонд заработной платы равен среднесписочной численности работников, умноженной на планируемую среднюю заработную плату одного работника. С помощью данного метода общий фонд заработной платы может быть рассчитан и в целом по предприятию, и по отдельным категориям и группам работников.
2) Нормативный метод: фонд заработной платы равен произведению объема выпускаемой продукции в планируемом периоде и норматива заработной платы на один рубль выпускаемой продукции. С помощью данного метода общий фонд заработной платы рассчитывается с учетом планируемого изменения реальной заработной платы работников.
Состав фонда заработной платы является объектом государственного регулирования в соответствии с инструкцией о его составе.
2.5.1. Для основных производственных рабочих применяется сдельно-премиальная форма оплаты.
При сдельно-премиальной оплате труда работающему сверх заработка по прямым сдельным расценкам выплачивается премия за выполнение и перевыполнение заранее установленных количественных и качественных показателей работы. Она применяется для повышения заинтересованности работников в выполнении норм выработки, в экономии материальных ресурсов или повышение качества продукции.
Средний тарифный разряд рабочего сдельщика – 4,
Тарифная ставка (Тст) 4 разряда равна 24,536 руб.,
Размер премии (%пр) основных рабочих – 75 %,
Дополнительная заработная плата (%д) – 26,8 %.
Расчет сдельного расценка производится по формуле:
Рсд = Тст * Т = 24,536 * 25 = 613,4 (руб)
Прямой фонд заработной платы равен:
ФЗПпр = Рсд * Nг = 613,4 * 260000/1000 = 159484 (тыс. руб)
Премиальный фонд рассчитывается от прямого фонда заработной платы:
Дополнительный фонд заработной платы определяется от суммы прямого и премиального фондов:
Общий фонд заработной платы составляет сумму прямого, премиального и дополнительного фондов заработной платы:
ФЗПобщ =ФЗПпр + ПФ + ФЗПд
ФЗПобщ = 159484 + 119613 + 74798 = 353895 (тыс. руб.)
2.5.2. Для рабочих повременщиков расчет фонда заработной платы планируется по повременно-премиальной системе оплаты труда
Повременно-премиальная система оплаты труда представляет собой сочетание простой повременной оплаты труда с премированием за выполнение количественных и качественных показателей по специальным положениям о премировании работников.
Расчет фонда заработной платы планируется по отработанному времени (Ф) – 1850 час и тарифной ставке (Тст) – 21,892 руб. Размер премии рабочим вспомогательного производства равен 60%
Расчет прямого фонда оплаты труда производится по формуле:
ФЗПпр = Ф * Тст * Рв = 1850 * 21,892 * 1161 / 1000 = 47020,73 (тыс. руб)
где Рв – численность вспомогательных рабочих.
ФЗПобщ =ФЗПпр + ПФ + ФЗПд
ФЗПобщ = 47020,73 + 28212,44 + 20162,49 = 95395,66 (тыс. руб)
2.5.3. Расчет фонда оплаты труда для служащих определяется по окладной системе оплаты труда.
При окладной системе оплата труда производится не по тарифным ставкам, а по установленным месячным должностным окладам. Система должностных окладов используется для руководителей, специалистов и служащих. Должностной месячный оклад – абсолютный размер заработной платы, устанавливаемый в соответствии с занимаемой должностью. Окладная система оплаты труда может предусматривать элементы премирования за количественные и качественные показатели.
Расчет фонда оплаты труда для служащих определяется по среднему окладу (О), равному 10520 руб. и размера премии – 50 %, дополнительная заработная плата равна 12%.
Прямой фонд заработной платы для служащих определяется по формуле:
ФЗПпр = О * Рсл * 11 = 10520 * 672 * 11 /1000 = 77763,84 (тыс. руб.)
где Рсл – численность служащих
ФЗПобщ = ФЗПпр + ПФ + ФЗПд
ФЗПобщ = 77763,84 + 38881,92 + 13997,49 = 130643,25 (тыс. руб)
Размер заработной платы зависит и от климатических особенностей соответствующего района. Для г. Северный районный коэффициент (Кр) равен 1,07, для г. Сказочный – 1,05.
Планируемый фонд заработной платы для соответствующего региона составляет:
ФЗПпл = ФЗПобщ * Кр
г. Северный:
основные: ФЗПпл = 353895 * 1,07 = 378667,65 (тыс. руб.)
вспомогательные: ФЗПпл = 95395,66 * 1,07 = 102073,36 (тыс. руб.)
служащие: ФЗПпл = 130643,25 * 1,07 = 139788,28 (тыс. руб.)
Итого: ФЗПпл = 378667,65 + 102073,36+139788,28=620529,29(тыс. руб.)
г. Сказочный
основные: ФЗПпл = 353895 * 1,05 = 371589,75 (тыс. руб.)
вспомогательные: ФЗПпл = 95395,66 * 1,05 = 100165,44 (тыс. руб.)
служащие: ФЗПпл = 130643,25 * 1,05 = 137175,41 (тыс. руб.)
Итого: ФЗПпл = 371589,75 + 100165,44+137175,41= 608930,6(тыс. руб.)
Произведенные в разделах 2.4 и 2.5 расчеты объединяются в таблицах 12, 13.
Таблица 12.–Показатели по труду проектируемого предприятия (г.Северный)
Категория
работающих
Числен-
ность
работающих,
чел.
Форма
оплаты
Основная заработная плата, тыс.р.
Общий фонд заработной платы, тыс. руб.
ФЗП с учетом районного коэффициента
тыс. руб.
Фонд прямой заработной платы
Премиальный фонд
Дополнительный фонд заработной платы
Рабочие - всего:
4476
206504,73
147825,44
94960,49
449290,66
480741,01
-основные
3315
сдельная
159484
119613
74798
353895
378667,65
вспомога-
тельные
1161
повременная
47020,73
28212,44
20162,49
95395,66
102073,36
служащие
672
Оклад
77763,84
38881,92
13997,49
130643,25
139788,28
Итого:
5148
284268,57
186707,36
108957,98
579933,91
620529,29
Таблица13.–Показатели по труду проектируемого предприятия (г.Сказочный)
Категория
работающих
Числен-
ность
работающих,
чел.
Форма
оплаты
Основная заработная плата, тыс.р.
Общий фонд заработной платы, тыс. руб.
ФЗП с учетом районного коэффициента
тыс. руб.
Фонд прямой заработной платы
Премиальный фонд
Дополнительный фонд заработной платы
Рабочие - всего:
4476
206504,73
147825,44
94960,49
449290,66
471755,19
-основные
3315
сдельная
159484
119613
74798
353895
371589,75
вспомога-
тельные
1161
повременная
47020,73
28212,44
20162,49
95395,66
100165,44
служащие
672
Оклад
77763,84
38881,92
13997,49
130643,25
137175,41
Итого:
5148
284268,57
186707,36
108957,98
579933,91
608930,6
2.6. Технико-экономическое обоснование выбора пункта строительства.
Экономическим критерием выбора пункта строительства предприятия является - минимум приведенных затрат, которые определяются как сумма части текущих (годового фонда заработной платы с учетом районного коэффициента и суммарных транспортных затрат) и капитальных затрат:
Зпр = С + Ен * Кт
где
С – текущие затраты (ФЗПпл + Зтр);
Кт – капитальные затраты по выбранному с учетом фактора времени варианту;
Ен – нормативный коэффициент эффективности капитальных вложений, равный 0,15.
г. Северный
Зпр = (620529,29 + 47032,95) + 0,15 * 127745,4 = 686724,05 (тыс. руб)
г. Сказочный
Зпр = (608930,6 + 60182,4) + 0,15 * 143515,17 = 690640,28 (тыс. руб)
Расчеты необходимо свести в таблицу 14.
Таблица 14. – Расчет приведенных затрат
Пункт строительства
Планируемый фонд заработной платы (тыс. руб) ФЗПпл
Транспортные затраты по доставке материалов и готовой продукции (тыс. руб) Зтр
Капитальные вложения с учетом (тыс. руб) Кт*Ен
Приведенные затраты, всего (тыс. руб) Зпр=С+Ен*Кн
г. Северный
620529,29
47032,95
19161,81
686724,05
г. Сказочный
608930,6
60182,4
21527,28
690640,28
Экономическим критерием выбора оптимального варианта размещения является минимум приведенных затрат. При их расчете более эффективным оказалось капитальное строительство в городе Северном.
Далее все расчеты ведутся по базе данных г. Северного.
3. Расчет экономической эффективности проектируемого объекта
3.1 Расчет себестоимости изделия по экономическим элементам
Себестоимость продукции – это выраженные в денежной форме текущие затраты предприятия на производство и реализацию продукции.
Классификация затрат по первичным элементам характеризует разделение себестоимости продукции на простые общепринятые элементы затрат:
материальные затраты (за вычетом стоимости возвратных отходов), в том числе покупные изделия, полуфабрикаты, комплектующие изделия, вспомогательные материалы, топливо со стороны, энергия со стороны;
затраты на оплату труда;
отчисления на социальные нужды;
амортизация основных фондов;
прочие затраты.
На основании выполненных ниже расчетов и исходных данных определяется полная себестоимость одного изделия и всего годового выпуска.
Таблица 15.–Расчет себестоимости продукции по экономическим элементам
№ п/п
Статьи затрат
Затраты на единицу продукции, руб.
Затраты на годовой объем, тыс.руб.
1
Сырье и материалы
5343
1389180
2
Отходы (вычитаются)
188,82
49093,2
3
Транспортно-заготовительные расходы по доставке материалов
68,61
17839,5
4
Стоимость вспомогательных материалов и топливно-энергетических ресурсов
143,23
37239,76
Итого материальных затрат:
(п.1-п.2 + п.З + п.4)
5366,02
1395166,06
5
Заработная плата
2386,65
620529,29
6
Начисления на социальные нужды
477,33
124105,86
7
Амортизация основных производственных фондов
42,89
11150,57
8
Прочие затраты
579,1
150566,63
Итого полная себестоимость
8851,99
2301518,41
Нормы расхода материалов даны в таблицах 4 и 5. Покупные цены на материалы в таблице 16.
Таблица 16. – Покупные цены на материалы:
№
Наименование материалов
Ед. изм.
Норма расхода материалов на одно изделие
Цена
материалов за единицу (Цм), руб.
1.
Ткань пальтовая
м
2,5
500
2.
Ткань подкладочная
м
2,2
235
3.
Ватин
м
2,2
140
4.
Фурнитура
комплект
1
95
5.
Нитки
Шт.
1
23
6.
Меховой воротник
Шт.
1
3150
Элемент «Материальные затраты» включает стоимость сырья, основных материалов (за вычетом возвратных отходов), комплектующих изделий и полуфабрикатов, приобретаемых со стороны для производства продукции, а также затраты на топливо и энергию всех видов, приобретаемых со стороны, расходуемых как на технологические цели, так и на обслуживание производства.
3.1.1 Стоимость материалов на одно изделие рассчитывается по каждой позиции по формуле:
Ми = Нр * Цм
Ткань пальтовая = 2,5 * 500 = 1250 (руб)
Ткань подкладочная = 2,2 * 235 = 517 (руб)
Ватин = 2,2 * 140 = 308 (руб)
Фурнитура = 1 * 95 = 95 (руб)
Нитки = 1 * 23 = 23 (руб)
Меховой воротник = 1 * 1350 = 1350 (руб)
Для получения суммы затрат на материалы на одно изделие полученные результаты суммируются.
Ми = 1250 + 517 + 308 + 95 + 23 + 3150 = 5343 (руб)
Для определения затрат на выпуск затраты на одно изделие умножаются на годовую программу.
Ми общ = Ми * Nг = 5343 * 260000 / 1000 =1 389 180 (тыс. руб)
3.1.2. Стоимость отходов
Необходимо учесть, что появляющиеся в ходе обработки изделия отходы реализуются на сторону по заданной цене. Величина отходов определяется как разность между общей потребностью в материалах и пр. и чистой массой изделия, которая рассчитывается по коэффициенту использования материалов (Ким = 0,91). Не существует отходов в таких материалах, как фурнитура и меховые воротники. Стоимость отходов определяется по формуле:
Мо = Ми * 0,09
Ткань пальтовая = 1250 * 0,09 = 112,5 (руб)
Ткань подкладочная = 517 * 0,09 = 46,53 (руб)
Ватин = 308 * 0,09 = 27,72 (руб)
Нитки = 23 * 0,09 = 2,07 (руб)
Для получения суммы отходов на одно изделие полученные результаты суммируются.
Мо = 112,5 + 46,53 + 27,72 + 2,07 = 188,82 (руб)
Стоимость отходов на весь выпуск определяется умножением стоимости материалов на одно изделие на годовую программу.
Мо общ = Ми * Nг = 188,82 * 260000 / 1000 = 49093,2 (тыс. руб)
3.1.3. Стоимость транспортно-заготовительных расходов на материалы (Мтзр) берется на весь выпуск в таблице 8, на одно изделие она делится на годовую программу.
∑Мтзр = 17839,5 (тыс. руб)
3.1.4. Определение стоимости вспомогательных материалов и топливно-энергетических ресурсов со стороны
Норма вспомогательных материалов 1550 руб. на одного рабочего.
Мвсп = норма вспомогательных материалов * (Росн + Рвсп)
Мвсп = 1550 * (3315 + 1161) = 6937800 (руб) = 6937,8 (тыс. руб)
Топливо со стороны – 4,5%, энергия со стороны – 14,5% от прямой заработной платы основных производственных рабочих.
Топливо со стороны = 159484 * 4,5% = 7176,78 (тыс. руб)
Энергия со стороны = 159484 * 14,5% = 23125,18 (тыс. руб)
3.1.5. Заработная плата включает затраты на основную и дополнительную заработную плату всего промышленно-производственного персонала, а также работников, не состоящих в штате предприятия.
Размер фонда заработной платы берется из таблицы 14. Заработная плата на одно изделие определяется делением планируемого фонда оплаты труда на годовую программу.
∑ЗП = 620529,29 (тыс. руб)
3.1.6. Начисления на социальные нужды включают в себя (общая сумма равна 20,0 %) от планируемого фонда оплаты труда:
платежи в Пенсионный фонд Российской Федерации – 14%,
платежи в Фонд социального страхования Российской Федерации 3,2%,
платежи в фонды обязательного медицинского страхования 2,8%.
3.1.7. В «Амортизацию основных фондов» входит сумма амортизационных отчислений по установленным нормам от полной первоначальной стоимости всех производственных основных фондов предприятия, включая ускоренную амортизацию их активной части.
Амортизационные отчисления рассчитываются по нормам амортизации в соответствии со структурой основных производственных фондов, однако, при определении стоимости основных производственных фондов необходимо учесть, что они составляют лишь часть капитальных затрат, остальную часть составляют нематериальные активы. Удельный вес основных производственных фондов в сумме капитальных вложений равен 95 %, остальная стоимость – стоимость нематериальных активов. Расчет амортизационных отчислений на стоимость основных производственных фондов и нематериальных активов производится линейным способом.
Расчет амортизационных отчислений на основные производственные фонды производится по формуле:
где
Кс – стоимость капитальных вложений.
На – средняя норма амортизации основных фондов -12%.
0,95 – удельный вес основных производственных фондов в сумме капитальных вложений.
Амортизационные отчисления на одно изделие определяется делением общей суммы амортизационных отчислений на годовую программу.
3.1.8. В элемент «Прочие затраты» входят затраты, которые не могут быть отнесены ни к одному из перечисленных элементов: командировочные расходы, налоги и сборы, оплата услуг связи.
В статью «Прочие расходы» в курсовом проекте условно можно принять величину 7 % от суммы предыдущих статей.
3.2 Расчет потребности в оборотном капитале
Оборотные средства – это совокупность денежных средств, авансированных для создания и использования оборотных производственных фондов и фондов обращения для обеспечения непрерывного процесса производства и реализации продукции.
Общепроизводственные фонды – участвуют в производстве один раз и сразу переносят свою стоимость на стоимость готовой продукции и имеет срок службы до 1 года.
Фонды обращения – денежные средства, вложенные в запасы готовой продукции, в товары отгруженные, но не оплаченные.
Потребность в оборотных средствах в условиях рынка часто называют эксплуатационными потребностями или финансово-эксплуатационными потребностями, которые определяются как разница между средствами, иммобилизованными в запасах, и клиентской задолженности, и задолженностью предприятия поставщикам.
При формировании уставного фонда (капитала) предприятие самостоятельно устанавливает плановый размер оборотных средств, необходимый для его производственной деятельности, в виде норматива в денежном выражении. Потребность предприятия в оборотных средствах колеблется в течение года вследствие сезонности производства, неравномерности поступления денег за отгруженную продукцию и других факторов.
Величина оборотного капитала определяется путем нормирования оборотных средств в производственных запасах, незавершенном производстве и готовой продукции и последующим их суммированием.
На основании приведенных в исходных данных удельной стоимости материалов, полуфабрикатов, комплектующих изделий на одно изделие, готового выпуска изделий и нормы запаса в днях методом прямого счета рассчитывается потребность в производственных запасах (с учетом транспортных расходов).
3.2.1. Норматив оборотных средств в производственных запасах – это минимальная сумма денежных средств, постоянно необходимая предприятию для его производственной деятельности. Он определяется по формуле:
Нзп = Р * З = 3908,39 * 35 = 136793,65 (тыс. руб.)
где
Р – однодневный запас материалов определяется делением стоимости материалов с учетом транспортно-заготовительных расходов на календарное количество дней в году .
З – норма запаса в днях (для расчета берется 35 дней).
3.2.2. Норматив оборотных средствах в незавершенном производстве и готовой продукции. К расходам в незавершенном производстве относятся все затраты, которые включают стоимость незаконченной продукции, полуфабрикатов собственного производства, а также готовых изделий, не принятых отделом технического контроля. Он определяется по формуле:
Ннп = Тц * Кпз * С
где
– норматив оборотных средств в незавершенном производстве;
– коэффициент нарастания затрат (0,68);
– длительность производственного цикла, в днях (25 дней);
– среднедневной выпуск продукции по себестоимости. Определяется делением общей себестоимости на 360 дней. Общая себестоимость в таблице 15.
3.2.3. Норматив оборотных средств в готовой продукции определяется по формуле:
Нгп = С * Згп
где
– среднедневной выпуск продукции по себестоимости – определяется делением общей себестоимости на 360 дней; (таблица 16)
– норма запаса готовой продукции в днях (15 дней).
Общий норматив оборотных средств определяется как сумма норматива оборотных средств в производственных запасах, потребность в оборотных средствах в незавершенном производстве, норматива оборотных средств в готовой продукции.
Нобщ = Нзп + Ннп + Нгп
Нобщ = 136793,65 + 108682,81 + 95896,6 = 341373,06 (тыс. руб)
Коэффициент оборачиваемости оборотных средств равен:
Коб = Объем товарной продукции / Норматив оборотных средств
Коб = 2301518,41 / 341373,06 = 6,75
Коэффициент загрузки оборотных средств характеризует величину оборотных средств, приходящихся на 1 руб. реализованной продукции равен:
К загр.об.ср. = Норматив оборотных средств /Объем реализованной продукции
К загр.об.ср = 341373,06 / 2301518,41 = 0,15
3.3 Расчет экономической эффективности капитальных вложений
Экономическая эффективность – это отдача, полученная с каждого вложенного рубля. Она определяется соотношением между полученными результатами от внедрения мероприятий и затратами на их внедрение.
Эффективность капитальных вложений оценивается группой показателей.
Показатель окупаемости капитальных вложений (Ток) и обратный ему показатель абсолютной экономической эффективности (Э):
где
– стоимость основного капитала (95 % от Кс);
– стоимость нематериальных активов (5 % от Кс);
– стоимость оборотного капитала, принять равным общему нормативу оборотных средств. (Коб = 341373,06 тыс. руб)
– прибыль от реализации продукции.
Прибыль от реализации продукции определяется как разница между выручкой от реализации и полной себестоимостью.
П = ВР - Сполн = 2876897,4 – 2301518,41 = 575378,99 (тыс. руб)
где
– выручка от реализации определяется произведение оптовой цены предприятия и годовой программы.
Сполн – полная себестоимость продукции на годовую программу (таблица 15).
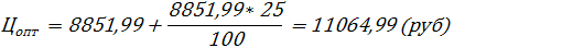
ВР = Цопт * Nг = 11064,99 * 260000 / 1000 = 2876897,4 (тыс. руб)
Для расчета оптовой цены предприятия берется уровень рентабельности продукции 25% от полной себестоимости на единицу продукции.
Цопт = Сполн * R
Далее, расчетные показатели сравниваются с нормативными. Если срок окупаемости, рассчитанный по данным предприятия, ниже или равен нормативному (То ≤ 6,67года), и, соответственно, коэффициент экономической эффективности выше нормативного (Ен ≥ 0,15), то такой проект имеет право на существование.
Т.к. То = 0,76 ≤ 6,67года, и Ен = 1,31 ≥ 0,15, то данный проект имеет право на существование.
3.4 Определение прибыли и ее распределение.
Прибыль является конечным финансовым результатом предпринимательской деятельности предприятий и в общем виде представляет собой разницу между ценой продукции и ее себестоимостью, а в целом по предприятию представляет разницу между выручкой от реализации продукции и себестоимостью реализованной продукции.
Как экономическая категория прибыль отражает чистый доход, созданный в сфере материального производства в процессе предпринимательской деятельности, а в условиях товарно-денежных отношений на уровне предприятий чистый доход принимает форму прибыли.
Прибыль как главный результат предпринимательской деятельности обеспечивает потребности самого предприятия, его работников и государства в целом. Поэтому важно определить состав обшей валовой прибыли предприятия и ее величину в абсолютном выражении.
Под распределением прибыли понимается направление прибыли в бюджет и по статьям использования на предприятии. Законодательно распределение прибыли регулируется лишь в той ее части, которая поступает в бюджеты разных уровней в виде налогов и других обязательных платежей. Прибыль, остающаяся в распоряжении предприятия, используется им самостоятельно.
Общая прибыль предприятия складывается из нескольких частей:
3.4.1. Прибыль от реализации продукции (П).
Определяется как разница между выручкой от реализации продукции и полной себестоимостью.
П = ВР – Сполн = 2876897,4 – 2301518,41 = 575378,99 (тыс. руб)
3.4.2. Прибыль от реализации основных производственных фондов, товарно-материальных ценностей, нематериальных активов, ценных бумаг. (не планируем)
3.4.3. Прибыль от внереализационных операций, т.е. операций, не связанных с основной деятельностью: сдача имущества в аренду; доходы по ценным бумагам; курсовые разницы от операций с валютой. (не планируем)
3.4.4. Чистая прибыль, прибыль которая остается в распоряжении предприятия после уплаты налогов из прибыли.
Для определения чистой прибыли (Пч) необходимо рассчитать сумму налогов, выплачиваемых из прибыли:
– налог на прибыль,
– налог на имущество и т.д.
1. Налог на прибыль определяется по формуле:
Нп = Побщ * Ссп = 575378,99 * 24% = 138090,96 (тыс. руб)
где
– ставка налога на прибыль – 24%
2. Налог на имущество определяется по формуле:
Ни = И * Сси = 439185,06 * 2% = 8783,7 (тыс. руб)
где
– стоимость имущества (Косн + Кнма + Коб см. пункт 3.3)
И = 92921,4 + 4890,6 + 341373,06 = 439185,06 (тыс. руб)
– ставка налога на имущество – 2%
3. Чистая прибыль равна: Пч = Побщ – Нп – Ни
Пч = 575378,99 – 138090,96 – 8783,7 = 428504,33 (тыс. руб)
Чистая прибыль распределяется следующим образом: на развитие производства – 40%; на развитие социальной сферы – 30 %; на выплату доходов учредителям 30%.
На развитие производства = 428504,33 * 40% = 171401,73 (тыс. руб.)
На развитие социальной сферы = 428504,33 * 30% = 128551,3 (тыс. руб.)
На выплату доходов учредителям = 428504,33 * 30% =128551,3 (тыс. руб.)4. Технико-экономические показатели хозяйственной деятельности проектируемого предприятия
4.1 Цена одного пальто определяется исходя из себестоимости (Сед) и уровня рентабельности (R):
- оптовая цена предприятия равна:
Цопт = Сполн * R
- отпускная цена равна:
Цотп = Цопт * 1,18
Цотп = 11064,99 * 1,18 = 13056,69 (руб)
4.2. Средняя заработная плата на одного работника рассчитывается по формулам:
- для основных производственных рабочих она определяется как отношение общего фонда заработной платы (ФЗПобщ) к коэффициенту занятости рабочих (Кз), умноженному на численность рабочих (Рпр) и на 12 месяцев:
- для вспомогательных рабочих:
- для служащих:
Таблица 17. – Сводная таблица технико-экономических показателей
№ п/п
Показатели
Единица измерения
Значение показателя
1
Годовой выпуск продукции в натуральном выражении
шт.
260000
2
Годовой выпуск продукции:
тыс. руб.
2а
- по себестоимости
тыс. руб.
2301518,41
26
- по оптовой цене
тыс. руб.
2876897,4
3
Цена одного пальто (оптовая)
тыс.руб.
11064,99
4
Стоимость основных фондов
тыс.руб.
92921,4
5
Стоимость нематериальных активов
тыс.руб.
4890,6
6
Оборотный капитал
тыс.руб.
341373,06
7
Итого: капитал предприятия
тыс.руб.
5628665,86
8
Годовой фонд заработной платы,
в том числе по категориям:
- основных рабочих
- вспомогательных рабочих
- специалистов, руководителей
тыс.руб.
тыс.руб.
тыс.руб.
тыс.руб.
579933,91
353895
95395,66
130643,25
9
Численность работающих,
в том числе по категориям:
- основных рабочих
- вспомогательных рабочих
- специалистов, руководителей
чел.
чел.
чел.
чел.
5148
3315
1161
672
10
Средняя заработная плата,
в том числе по категориям:
- основных рабочих
- вспомогательных рабочих
- специалистов, руководителей
тыс.руб./чел.
тыс.руб./чел.
тыс.руб./чел.
тыс.руб./чел.
10,65
8,9
6,85
16,2
11
Срок окупаемости капитальных вложений
лет
0,76
12
Фондоотдача (ВР / Кт)
руб./руб.
22,52
13
Фондовооруженность труда (Кт / ППП)
тыс.руб./ чел.
24,81
14
Коэффициент оборачиваемости оборотных средств ( ВР/ Ноб.ср)
8,43
15
Длительность одного оборота (360/Коб)
53,33
16
Коэффициент загрузки оборотных средств (1/Коб)
0,15
17
Производительность труда:
- по товарной продукции (п.2а/п.9)
- в натуральном выражении (п. 1 /п. 9)
447,07
50,51
18
Затраты на 1 рубль товарной продукции (п.2а/2б)
руб.
0,8
19
Прибыль от реализации
тыс.руб.
575378,99
20
Балансовая прибыль
тыс.руб.
575378,99
21
Рентабельность производства
%
25
22
Налоги, выплачиваемые из прибыли
- налог на прибыль
- налог на имущество
тыс.руб.
138090,96
8783,7
23
Налог на добавленную стоимость (18%):
- начисленный
тыс.руб.
517841,53
24
Чистая прибыль
тыс. руб.
428504,33
25.
Распределение прибыли:
- на развитие производства
- на развитие социальной сферы
- на распределение между учредителями
171401,73
128551,3
128551,3
5. Выводы и предложения
Приведенное технико-экономическое обоснование подтверждает экономическую целесообразность строительства предприятия по пошиву женской верхней одежды в городе Северном. Реализация проекта позволит удовлетворить потребности в данном виде изделия г. Липовск, г. Мирный, п. Сирень, п. Строителей, п. Морской, п. Спортивный, п. Охотницк, п. Рощин.
Капитальные вложения вернутся к вкладчикам через 0,76года, что значительно меньше, чем установленные нормативы. Учитывая вышеизложенное можно сделать вывод о выгоде кредитования данного строительства. Рекламируемая выгода от вложений способствует появлению акционерного капитала для строительства и запуска в производство данного предприятия.Список литературы
1. «Экономика предприятия», учебник под ред. Горфинкеля В.Я., М., Банки и Биржи, «ЮНИТИ», 1998.
2. «Экономика предприятия», учебник под ред. проф. Волкова О.И., М, ИНФРА-М, 1997
3. Волков О.И, Скляренко Н.В. «Экономика предприятия», курс лекций, М, ИНФРА-М, 2002
4. Шепеленко Г.И. «Экономика, организация и планирование производства на предприятии», Р-н-Д, ИЦ «Март», 2002
5. Романов А.Н. «Экономика предприятия»,М., «Банки и биржа», 1998
6. Зайцев Н.Л. «Экономика промышленного предприятия», М., «ИНФРА-М», 1998
7. Учебное пособие по курсу «Экономика предприятия» М.Тантал, 1998г.
8. Концепция реформирования предприятий. Вопросы экономики 1997-№ 9
9. В.П. Грузинов. Экономика предприятия и предпринимательство М.Софит, 1994г.
10. В.А. Швандар, В.П. Праелова. Экономика предприятия. Тесты, задачи, ситуации. М.Юнити,1997
11. Ворст И., Ревентлоу П., Экономика фирмы. Учебник, М. Высшая школа, 1994
12. Экономика. Учебник. Поз. ред. А.С. Булатова. М. БЕК.1994.
13. Методические указания к выполнению курсовой работы по дисциплине Экономика предприятия.
1
Нравится материал? Поддержи автора!
Ещё документы из категории экономика:
Чтобы скачать документ, порекомендуйте, пожалуйста, его своим друзьям в любой соц. сети.
После чего кнопка «СКАЧАТЬ» станет доступной!
Кнопочки находятся чуть ниже. Спасибо!
Кнопки:
Скачать документ