Управление затратами на предприятии в современных условиях хозяйствования







Содержание
Введение
Сущность группировки затрат по статьям себестоимости…………………....4
Объекты калькулирования и калькуляционные единицы……………………..9
Сущность системы управленческого учёта…………………………………...13
Заключение………………………………………………………………………17
Список использованной литературы…………………………………………..19
Введение.
Любая фирма, начиная свою деятельность, рассчитывает на прибыль, но по статистике из пяти новых фирм три банкротятся. Важно правильно спланировать ожидаемые доходы и учесть все издержки фирмы. Различают понятия издержки производства и себестоимость продукции. Часто их используют как синонимы, но с теоретической точки зрения есть различия: издержки производства – более широкое понятие. Например, они учитывают не только явные, отражённые в себестоимости, но и вмененные издержки, которые необходимо учитывать при планировании деятельности фирмы, при разработке стратегии её развития.
Явные издержки являются возмещением факторов производства при изготовлении продукции, работ, услуг. Они учитываются в отчётности предприятия и отражаются в смете затрат на производство. Т.к. существует налогообложение прибыли, то величина налогообложения и налога на прибыль зависит от того, как, т.е. в каком объёме, какими методами производства и т.д. учтены издержки фирмы. Поэтому централизованно для цели налогообложения жёстко регулируется состав затрат, порядок их расчёта, включение в себестоимость продукции, работ, услуг.
Себестоимость продукции относится к числу важнейших качественных показателей, в обобщенном виде отражающих все стороны хозяйственной деятельности предприятий (фирм, компаний), их достижения и недостатки. Уровень себестоимости связан с объемом и качеством продукции, использованием рабочего времени, сырья, материалов, оборудования, расходованием фонда оплаты труда и т.д. Себестоимость, в свою очередь, является основой определения цен на продукцию. Снижение ее приводит к увеличению суммы прибыли и уровня рентабельности. Чтобы добиваться снижения себестоимости, надо знать ее состав, структуру и факторы ее динамики. Все это и является предметом статистического изучения при анализе себестоимости.
1.Сущность группировки затрат по статьям себестоимости.
Себестоимость продукции (работ, услуг) представляет собой стоимостную оценку используемых в процессе производства продукции (работ, услуг) природных ресурсов, сырья, материалов, топлива, энергии, основных фондов, трудовых ресурсов и других затрат на ее производство и реализацию.
В себестоимости учитываются затраты прошлого труда, перенесенные на вновь созданную продукцию (сырье, материалы, топливо, электроэнергия, износ основных средств), издержки, связанные с использованием живого труда (оплата труда рабочих и служащих, отчисления на социальные нужды), и прочие затраты. Себестоимость является частью стоимости продукции и показывает, во что обходится производство продукции для предприятия (фирмы).
Необходимо различать общую себестоимость всей произведенной продукции – общую сумму затрат, приходящихся на изготовление продукции определенного объема и состава, и индивидуальную себестоимость – затраты на производство только одного изделия (например, на изготовление уникального агрегата при условии, что в данном производственном звене никаких других видов продукции одновременно не производится) – и среднюю себестоимость, определяемую делением общей суммы затрат на количество произведенной продукции.
В практике статистики различают два основных вида себестоимости по степени учета затрат: производственную и полную.
Производственная себестоимость охватывает только затраты, связанные с процессом производства продукции – начиная с момента запуска сырья в производство и кончая освидетельствованием готовых изделий и сдачей их на склад готовой продукции.
Полная себестоимость – это сумма расходов, связанных с производством продукции (производственная себестоимость), и расходов по ее реализации (коммерческие расходы). Коммерческие расходы включают в себя затраты на упаковку, хранение, погрузку, транспортировку и рекламу.
Для изучения себестоимости продукции применяются основные статистические методы: группировок, средних и относительных величин, графический, индексный, а также метод сопоставления.
Метод группировок используется при исследовании структуры себестоимости продукции по элементам и статьям калькуляции. Важнейшей является группировка затрат по элементам. Она дает возможность судить об объеме расхода сырья, материалов, топлива, энергии и т.д. Группировка затрат по элементам нужна также для исчисления величины чистой продукции.
Необходимость изучения структуры себестоимости обусловлена тем, что затраты предприятия (фирмы) на производство продукции различны по своей экономической природе и величине, а следовательно, и по удельному весу в полной себестоимости. В связи с многообразием издержек производства их принято группировать по различным признакам в качественно однородные совокупности (рис.1).
Рис. 1. Группировка затрат на производство продукции.
Распределение затрат по экономическим элементам позволяет выделить две основные их группы: затраты прошлого труда, овеществленные в стоимости потребленных предметов труда (сырье, материалы и т.д.) и средств труда (амортизация), и затраты живого труда (расходы на оплату труда с отчислениями на социальные нужды). Из прочих затрат обычно две трети относятся к материальным затратам, а остальное – к затратам живого труда.
По данным отчетов можно определить производственную себестоимость товарной продукции (работ, услуг). Для этого необходимо из общей суммы затрат на производство и реализацию продукции (работ, услуг) исключить затраты на непроизводственные счета, вычесть изменение остатка по счету «Расходы будущих периодов», изменение остатков незавершенного производства, полуфабрикатов, инструментов и приспособлений собственной выработки, не включаемых в стоимость продукции, и добавить прирост или вычесть уменьшение остатка по счету «Резерв предстоящих расходов и платежей».
Приведем пример расчета производственной себестоимости продукции (тыс. руб.): Таблица 2.
Затраты на производство
26 040
Относятся на непроизводственные счета
210
Изменение остатка по счету «Расходы будущих периодов»
+190
Изменение остатка по счету «Резерв предстоящих расходов и платежей»
+250
Изменение остатка незавершенного производства, полуфабрикатов, инструментов и приспособлений собственной выработки
+610
Производственная себестоимость продукции составит
26 040-210-190-610+250 = 25 280 тыс. руб.
В зависимости от того, удельный вес каких затрат преобладает в их общей структуре, выделяют отрасли трудоемкие (угольная, горно-рудная промышленность, лесозаготовки), материалоемкие (многие отрасли легкой и пищевой промышленности), энергоемкие (цветная металлургия), а также отрасли с большим удельным весом затрат на амортизацию (нефтедобывающая и газовая промышленность). Такая классификация имеет важное значение прежде всего для определения путей снижения себестоимости.
Рассмотрим методику анализа структуры затрат на производство на конкретном примере (табл. 3).
Анализ затрат на производство осуществляется сравнением удельного веса фактических затрат по элементам с плановыми данными или с данными за предыдущий (отчетный) период.
Затраты овеществленного труда представляют сырье, материалы, топливо, энергия, амортизация основных фондов и две трети от прочих расходов.
Таблица 3.
Структура затрат на производство
Показатели
Предыдущий год
Отчетный год
Сумма, тыс. руб.
Уд. вес, %
Сумма, тыс. руб.
Уд. вес, %
Затраты овеществленного труда
Затраты живого труда
Итого затрат на производство
144 910
106 270
251 180
57,7
42,3
100,0
97 393
94 821
192 214
50,7
49,3
100,0
Из табл. 3.видно, что удельный вес затрат овеществленного труда в отчетном году уменьшился по сравнению с предыдущим годом на 57,7-50,7 = 7,0 % при увеличении затрат живого труда. Такое изменение характеризует снижение материальных затрат на производство и рост расходов прежде всего на оплату труда. Таким образом, анализ данных показывает, что на анализируемой фирме произошло ухудшение структуры затрат на производство, что вызвано увеличением удельного веса затрат живого труда и уменьшением материальных затрат.
Группировка затрат по экономическим элементам является основой для исчисления чистой продукции (ЧП): ЧП = Q-МЗ. Так, чистая продукция в предыдущем году составила 106 270 тыс. руб., в отчетном – 94 821 тыс. руб.
Рассмотрим эти вычисления на примере. Допустим, что на швейной фабрике пошив одного пальто должен обходиться по плановым расчетам в 120 тыс. руб., фактически он обходится в 129 тыс. руб., в предыдущем периоде – 125 тыс. руб.; сшито пальто фактически 250 шт., планировалось 300 шт. Определяем индивидуальные индексы себестоимости.
Индекс планового задания:
т.е. планируется снижение на 4 %.
Индекс выполнения планового задания:
т.е. сверхплановый рост на 7,5 %.
Индекс динамики:
т.е. фактический рост на 3,2 %.
Перечисленные индексы взаимосвязаны:
(в нашем примере 1,032=1,075×0,96).
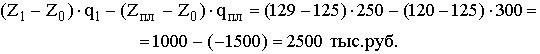
Таким образом, при плановом задании снижения себестоимости одного пальто на 4 % фактически она возросла на 3,2%. В результате получен перерасход в расчете на все количество сшитых пальто на сумму 1 000 тыс. руб.
Общая сумма перерасхода (экономии) от изменения себестоимости изделия определяется по формуле
(в нашем примере (129-125)×250=1 000 тыс. руб.).
Вычтя из фактической экономии плановую, получим сверхплановую экономию (перерасход):
При изучении динамики себестоимости по группе предприятий, изготавливающих продукцию одного и того же вида, используется индекс переменного состава, индекс фиксированного состава и индекс влияния структурных сдвигов.
На тех предприятиях, на которых изготавливаются разные виды продукции и в общем выпуске преобладает сравнимая продукция, вычисляются показатели снижения себестоимости сравнимой товарной продукции.
2. Объекты калькулирования и калькуляционные единицы.
Калькуляция как метод бухгалтерского учета существовал всегда, и ее возникновение непосредственно связано с развитием производственных сил общества. А заре возникновения бухгалтерского учета. В условиях рабовладельческого строя. Когда формировались товарно-денежные отношения, бухгалтерский учет велся по простой системе - «приход - расход».
Появление калькуляции связано с зарождением мануфактурного производства. Формирование производственных сил общества, самого способа производства совершенствовали приемы и методы калькулирования. Наиболее стремительное развитие калькулирование как инструмент оценки рентабельности товаров, как способ преодоления конкуренции получило в условиях промышленного производства.
В современной экономической литературе калькулирование определяется как система экономических расчетов себестоимости единицы отдельных видов продукции (работ, услуг). В процессе калькулирования соизмеряются затраты на производство с количеством выпущенной продукции и определяется себестоимость единицы продукции.
Задача калькулирования - определить издержки, которые приходятся на единицу их носителя, то есть на единицу продукции (работ, услуг), предназначенных для реализации, а также для внутреннего потребления.
Конечным результатом калькулирования является составление калькуляций. В зависимости от целей калькулирования различают плановую, сметную и фактическую калькуляции. Все они отражают расходы на производство и реализацию единицы конкретного вида продукции в разрезе калькуляционных статей.
.Плановая калькуляция составляется на плановый период на основе действующих на начало этого периода норм и смет.
Сметная калькуляция рассчитывается при проектировании новых производств и вновь осваиваемых изделий при отсутствии норм расхода.
Фактическая (отчетная) калькуляция отражает совокупность всех затрат на производство и реализацию продукции. Она используется для контроля выполнения плановых заданий по снижению себестоимости различных видов продукции, а также для анализа и динамики себестоимости.
Калькулирование позволяет изучить себестоимость полученных в процессе производства конкретных продуктов.
Исчисление себестоимости единицы продукции представляет собой завершающую стадию процесса калькулирования, которой предшествуют другие стадии. В связи с этим различают объекты калькулирования себестоимости продукции и калькуляционные единицы. Объектом калькулирования себестоимости называется продукт производства данного предприятия, его подразделений, технологических фаз, переходов, стадий и переделов, то есть продукция разной степени готовности. Следовательно, объектами калькуляции являются отдельные виды продукции (работы, услуги) подразделений основного и вспомогательных производств, технологический переход, вся товарная продукция предприятия (организации). Объекты калькулирования себестоимости продукции тесно взаимосвязаны с объектами учета производственных затрат и в большинстве случаев совпадают.
Калькуляционные единицы
Калькуляционная единица представляет собой измеритель объекта калькулирования и в части готовой продукции обычно совпадает с единицей измерения, принятой в стандартах или технических условиях на соответствующий вид продукции и в плане производства продукции в натуральном выражении. При калькулировании промежуточных продуктов, продукции подразделений и технологических переходов применяется ряд условных калькуляционных единиц.
Различия в характере производственной продукции, технологических процессов, организации производства приводят к многообразию калькуляционных единиц, применяемых на практике. По сходным признакам вся их совокупность может быть сведена в семь групп. Содержание каждой из групп калькуляционных единиц рассмотрим на конкретных примерах:
натуральные единицы соответствуют единицам измерения, в которых данная продукция планируется, учитывается и реализуется потребителям (штуки, тонны, килограммы, киловатт-часы, кубические метры, квадратные метры, литры и другие);
укрупненные натуральные единицы применяются для промежуточного калькулирования совокупности однородной продукции ( 100 пар обуви определенного артикула, кубические метры железобетонных изделий, гектолитр обезличенного пива0. В последующем для калькулирования конкретных видов продукции применяются натуральные единицы»;
условно-натуральные единицы используются для калькулирования продукции, содержание полезного вещества в натуральной единицы которой может колебаться (спирт 100 %-ной крепости, минеральные удобрения по содержанию полезного вещества);
стоимостные единицы - на 1000 рублей стоимости запасных частей и оптовых (продажных) ценах, затраты на рубль товарной продукции в ценах выпуска или реализации;
трудовые единицы используются для калькулирования продукции подразделений организации ( нормо-ч, нормо-смена);
выполненные работы и услуги в качестве калькуляционной единицы применяются, как правило, в производствах, занятых строительством, ремонтом, оказанием транспортных услуг);
технико-экономический показатель как калькуляционная единица используется для сравнения затрат на единицу потребительской полезности однородных изделий (исчисление затрат на производства трактора на единицу мощности, затрат на производство пресса на единицу производительности).
Многообразие калькуляционных единиц обоснованного подхода к их выбору для конкретных условий. Калькуляционная единица должна отражать соответствующую потребительную стоимость, быть сравнимой на различных предприятиях, соответствовать единицам ценообразования и быть приемлемой для калькулирования себестоимости продукции с минимальными затратами. Рекомендации по выбору калькуляционных единиц обычно приводятся в отраслевых инструкциях..
3. Сущность системы управленческого учёта.
Одна из важнейших задач руководителя любого предприятия – с максимальной отдачей использовать имеющиеся в его распоряжении ресурсы. Для этого необходима информация о наличии таких ресурсов. Стандартный бухгалтерский учет такой информации не дает. Поэтому в середине ХХ века развитие рыночной экономики в индустриально-развитых странах выявило необходимость дополнения бухгалтерского (финансового) учета управленческим учетом.
Таким образом, единая система бухгалтерского учета стала включать финансовый и управленческий учет.
Выделяют два подхода к пониманию сущности термина “управленческий учет”.
Первый связан с management accounting, второй – с европейским “контроллинг” (Германия).
В соответствии с первым термином основной задачей любой учетной деятельности является обеспечение управленческого персонала предприятия своевременной и полной информацией для принятия управленческих решений. Это означает, что деятельность по учету неразрывно связана с управлением предприятием в целом и отдельными его частями. Поэтому management accounting может быть переведен как организация учета, исходя из потребностей управления. При таком подходе управленческий учет – не только система сбора и анализа информации об издержках предприятия, но и система бюджетирования, система оценки деятельности подразделений. В целом, это в большей степени управленческие, чем бухгалтерские технологии.
В соответствии со вторым понятием управленческий учет рассматривается как система сбора и интерпретации информации о затратах, издержках и себестоимости продукции, т.е. это расширенная система организации учета для целей контроля за деятельностью предприятия.
В узком смысле под управленческим учетом можно понимать учет и контроль затрат и доходов, связанных с деятельностью предприятия.
Предметом управленческого учета является производственная деятельность организации в целом и его отдельных структурных подразделений (ЦО).
Объектами управленческого учета являются издержки предприятия и его отдельных структурных подразделений – центров ответственности; результаты хозяйственной деятельности всего предприятия и центров ответственности; внутреннее ценообразование; бюджетирование и внутренняя отчетность.
Различные сочетания экономических, юридических, организационных и технико-технологических факторов определяют разнообразие форм организации управленческого учета.
В практике управленческого учета на Западе два варианта связи управленческой и финансовой бухгалтерии. Эта связь осуществляется при помощи контрольных счетов, какими являются счета расходов и доходов финансовой бухгалтерии. При наличии прямой корреспонденции счетов управленческой бухгалтерии с контрольными счетами имеет место интегрированная (монистическая) подсистема учета на предприятии. Если подсистема управленческого учета автономная, замкнутая, используются парные контрольные счета одного и того же наименования, т.е. отраженные, зеркальные счета, или счета-экраны.
Методы, используемые в управленческом учете, разнообразны:
- некоторые элементы метода бухгалтерского (финансового учета) (счета, двойная запись, инвентаризация и документация, балансовое обобщение, отчетность);
- приемы и методы, применяемые в статистике и экономическом анализе (индексный метод, факторный анализ и т.д.);
- математические методы (корреляция, линейное программирование, метод наименьших квадратов и т.д.)
Цели управленческого учета:
- оказание информационной помощи управляющим в принятии оперативных управленческих решений;
- контроль, планирование и прогнозирование экономической деятельности предприятия и центров ответственности;
- обеспечение базы для ценообразования;
- выбор наиболее эффективных путей развития предприятия.
Информация в системе управленческого учета
Информация – сведения о лицах, предметах, фактах, событиях, явлениях и процессах, т.е. все то, что расширяет представление об объекте исследования.
Цель управленческого учета – обеспечить менеджеров информацией. К информации такого рода предъявляются иные требования, чем к информации, предназначенной для внешних пользователей.
1. Адресность (конкретным адресатам в соответствии с их уровнем подготовленности и иерархии);
2. Оперативность (должна предоставляться в сроки, дающие возможность сориентироваться и вовремя принять эффективное хозяйственное решение);
3. Достаточность (в достаточном объеме для принятия на соответствующем уровне управленческого решения; не должно быть избыточной информации и отвлекать внимание ее потребителя на несущественные или не относящиеся к делу сведения);
4. Аналитичность (должна содержать данные текущего экспресс-анализа и предлагать возможность проведения последующего анализа с наименьшими затратами);
5. Гибкость и инициативность (должна обеспечиваться вся полнота информационных интересов в условиях меняющихся управленческих ситуаций);
6. Полезность (привлекать внимание управляющих к сферам потенциального риска и объективно оценивать работу менеджеров предприятия);
7. Достаточная экономичность (затраты по подготовке информации не должны быть больше экономического эффекта от ее использования)
В управленческом учете может быть использована неколичественная информация (слухи, результаты социальных опросов и т.п.) и количественная, которая в свою очередь может быть учетной и неучетной, т.е. документально обоснованной и нет. Для принятия оперативных управленческих решений может использоваться полная и неполная информация об объекте исследования. В управленческом учете учетная информация занимает 20-30 %; остальные – экономический анализ (в финансовом учете соотношение 40-60). Информация управленческого учета носит конфиденциальный характер и требует защиты.
ставление об объекте исследования.
Заключение
Под затратами предприятия понимается сумма средств, израсходованных в целях обеспечения реализации продукции и получения доходов. Для эффективного управления затратами на предприятии/и ОАО «Электроагрегат» в ходе проведенного исследования удалось сделать следующие выводы и предложения.
1. При анализе структуры себестоимости продукции по элементам затрат в 2001 году было выявлено, что наибольший удельный вес в себестоимости занимают такие статьи, как «сырье и материалы» и «Прочие затраты». Для снижения затрат по первой статье руководству предприятия можно порекомендовать закупать сырье и материалы у иных поставщиков, то есть необходимо найти поставщиков, которые будут поставлять сырье и материалы по более низким ценам. А для снижения статьи «Прочие затраты» необходимо увеличить выпуск продукции.
2. При применении инструментов операционного анализа (порог рентабельности, запас финансовой прочности и сила воздействия операционного рычага) в управлении затратами предприятия было установлено, что в первую очередь необходимо разграничить затраты предприятия на постоянную и переменную часть. Для этого был использован метод наименьших квадратов, так как он является самым точным.
3. Далее были рассчитаны основные показатели операционного анализа
деятельности предприятия.
4. Затем с помощью операционного анализа удалось выявить чувствительность прибыли предприятия к 10-процентным изменениям основных элементов операционного рычага и выяснить, что:
- повышение цены на 10% увеличивает прибыль на 52,32%, а
соответствующее снижение цены ухудшает результат на 52,32%;
- изменение прибыли предприятия при изменении переменных издержек на 10% составляет 38,65%;
- изменение уровня постоянных издержек на 10% приводит к
пропорциональному изменению результата (на те же 10%);
- увеличение объема реализации продукции на 10% приводит к росту прибыли предприятия на 13,66%.
5. С помощью операционного анализа выявлена и взаимосвязь факторов
цены и переменных издержек с изменениями объема реализации:
- при снижении цены на 10% предприятие должно увеличить объем реализации на 55,38%, чтобы компенсировать потерю дохода, а при увеличении цены на 10% можно сократить объем реализации на 27,69: без негативных последствий для финансовых результатов предприятия;
- для компенсации роста переменных издержек ни 10% предприятие должно добиться увеличения объема реализации на 32%; при снижении уровня переменных издержек можно сократить объем реализации на 22,033%.
6. Для повышения эффективности деятельности рассматриваемого
предприятия необходимо провести оптимизацию ассортимента выпускаемой
продукции, так как на предприятии наблюдается снижение объемов реализованной продукции.
Для эффективного управления затратами руководства предприятия можно порекомендовать ввести на предприятии систему учета затрат по методу «Директ- костинг», так как это позволит точнее разграничить затраты на постоянные и переменные и даст возможность более точно устанавливать при изменении цены, переменных и постоянных издержек.
Список использованной литературы
1) Чернова Т.В. Экономическая статистика. Учебное пособие, 1999 г.
2) Грищенко О.В. Анализ и диагностика финансово-хозяйственной деятельности предприятия.
3) Ананькина Е.А., Данилочкина Н.Г. Управление затратами-М. : из-во ПРИОР,1998 г.
Нравится материал? Поддержи автора!
Ещё документы из категории экономика:
Чтобы скачать документ, порекомендуйте, пожалуйста, его своим друзьям в любой соц. сети.
После чего кнопка «СКАЧАТЬ» станет доступной!
Кнопочки находятся чуть ниже. Спасибо!
Кнопки:
Скачать документ