Уровень жизни, его оценка















ФЕДЕРАЛЬНОЕ АГЕНТСТВО ПО ОБРАЗОВАНИЮ
Филиал государственного образовательного учреждения
высшего профессионального образования
«МОСКОВСКИЙ ЭНЕРГЕТИЧЕСКИЙ ИНСТИТУТ
(технический университет)»
в г. Смоленске
Кафедра экономики и управления производством
Специальность 080109 «Бухгалтерский учет, анализ и аудит»
КУРСОВАЯ РАБОТА
по дисциплине «Экономическая теория»
на тему
«Уровень жизни, его оценка»
Студент группы БА-05
Коско А. И.
Научный руководитель
асс. Карпова Е. Г.
Смоленск 2006 г.
План – Оглавление
Введение
1. Общая оценка уровня жизни населени
Виды уровня жизни. Доходы населения
Потребление населением материальных благ и услуг
Качество жизни как социально-экономическая категория
2. УРОВЕНЬ И Качество жизни населения
Динамика уровня жизни
Бюджетные проектировки
Сравнение уровня жизни различных регионов и стран
Заключение
Список использованных источников
Приложение А ВВП на душу населения
Приложение Б Прожиточный минимум в России и Белоруссии
Приложение В Покупательная способность населения России и Белоруссии
Приложение Г Уровень жизни Самарской области
Приложение Д Денежные доходы в Приволжском федеральном округе
Приложение Е Денежные расходы населения Самарской области
Приложение Ж Цены на транспортное топливо
Приложение З Цены и тарифы на коммунальные услуги
Введение
Повышение благосостояния населения – важнейшая задача экономической и социальной политики. В данной курсовой работе благосостояние населения является одним из основных объектов исследования. Целью же исследования является четкое определение проблем народного благосостояния в России и способы их решения. Именно по этому проблема уровня жизни особенно актуальна именно в наше время и именно в нашей стране.
В Российской Федерации требуется быстрее восстановить доходы и максимально стимулировать платежеспособный спрос населения. Задачи эти очень сложные. У большинства населения снижение уровня жизни продолжается длительное время. За годы реформ он упал примерно у 60% россиян. Реальные денежные доходы в семьях уменьшились более чем на 30%. Фонд оплаты труда сегодня составляет всего 37% к уровню 1990 года. Калорийность питания снизилась примерно на 10, потребление белков – на 20%. Общая численность безработных выросла до 14% экономически активного населения. Не менее важным является и преодоление несправедливости в распределении доходов. Дифференциация денежных доходов 10% наиболее и наименее обеспеченного населения составила 13,5 раз. По оценке специалистов Всероссийского центра уровня жизни (ВЦУЖ) для населения с денежными доходами ниже прожиточного минимума в целом по Российской Федерации выросла до 56,7%.
На современном этапе развития экономики России проблемы уровня жизни населения и факторы, определяющие его динамику становятся очень важными. От их решения во многом зависит направленность и темпы дальнейших преобразований в стране и в конечном счете политическая, а следовательно и экономическая стабильность в обществе. Решение этих проблем требует определенной политики, выработанной государством, центральным моментом которой был бы человек, его благосостояние, физическое и социальное здоровье. Именно поэтому все преобразования, которые так или иначе могут повлечь изменение уровня жизни, вызывают большой интерес у самых разнообразных слоев населения.
Переход к рыночным отношениям внес значительные изменения в регулирование доходов, которые в первую очередь и определяют благосостояние людей. Прежде всего уменьшилась роль государства в этой области, расширилась самостоятельность регионов и предприятий, а также повысилась значимость рыночных регуляторов. Именно поэтому становится таким важным выработка собственной политики предприятия в области доходов, которая учитывала бы интересы различных групп работников и собственников, предусматривала бы эффективную систему занятости и вознаграждения за труд, меры по социальной защите работников, а следовательно обеспечивала бы человеку достойную жизнь.
Уровень жизни – многогранное явление, которое зависит от множества разнообразных причин, начиная от территории, где проживает население, то есть географических факторов, и заканчивая общей социально-экономической и экологической ситуацией, а также состоянием политических дел в стране. На уровень жизни в той или иной степени может влиять и демографическая ситуация, и жилищно-бытовые и производственные условия, объем и качество потребительских товаров, но все наиболее значимые факторы можно объединить в следующие группы:
политические и экономические факторы;
социальные факторы;
научно-технический прогресс,
экологические факторы и др.
Именно более подробному рассмотрению этих факторов и будет посвящена данная работа, целью которой является изучение факторов, определяющих динамику уровня жизни населения, анализ степени их влияния и роли в повышении уровня жизни. Для достижения этой цели ставился ряд задач:
Ознакомление с понятием и показателями уровня жизни;
Анализ факторов, влияющих на его динамику;
Выявление проблем и перспектив повышения уровня жизни в России.
1 Общая оценка уровня жизни населения
Термин «уровень жизни» был введен ООН в 1961 году. Его количественная характеристика до сих пор точного определения не имеет.
Уровень жизни – комплексный показатель, характеризующий благосостояние и качество жизни граждан или социальных групп отдельной страны или территории. УЖ представляет собой уровень потребления этих благ, отражает благосостояние населения и характеризуется системой следующих показателей:
Объем реальных доходов на душу населения
Структура потребления продовольствия, непродовольственных товаров, услуг
Уровень и динамика цен на основные товары народного потребления
Ставки квартирной платы, жилищных услуг
Объем выплат и льгот из общественных фондов потребления
Уровень образования, медобслуживания и др. (считают А. Н. Романов, В. М Жеребин [6])
Уровень жизни - степень удовлетворения физических, духовных и социальных потребностей людей, обеспеченность населения потребительскими благами. ( Подовалова Р. Я. [7])
Уровень жизни - характеризуется степенью удовлетворения материальных, социальных и культурных потребностей населения. Показатель уровня жизни зависит как от уровня потребностей населения в благах, так и от количества и качества предоставленных населению благ и услуг. (Абакумова Н. Н. [7])
Уровень жизни - определяется совокупностью различных качественных и количественных показателей, которая позволяет провести анализ реального уровня жизни различных групп населения и всего населения в целом такая совокупность показывает оценку уровня жизни отдельных субъектов Российской Федерации. (Булатова А. С. [1])
Любое из этих определений можно считать верным. И в дальнейшем в данной работе я не буду углубляться, останавливаться и выяснять точность приведённых определений.
Виды уровня жизни. Доходы населения
Национальное богатство является той средой, где создаются необходимые условия для благополучной в материальном отношении жизни людей, где формируется и поддерживается уровень жизни населения (благосостояние). Под уровнем жизни населения в статистике понимается обеспеченность населения теми благами и услугами, которые необходимы и достаточны для удовлетворения как жизненно важных материальных потребностей людей (питание, одежда, жилище, предметы культуры и быта), так и социально-культурных (труд, занятость, досуг, здоровье, образование, природная среда обитания и т.д.).
В денежном выражении вся данная совокупность благ и услуг, фактически потребляемых в течение данного времени в домохозяйстве, представляет собой стоимость жизни.
В статистике выделяют следующие виды уровня жизни:
достаток (пользование благами и услугами, которые обеспечивают всестороннее развитие человека);
нормальный уровень (потребление благ и услуг по научно обоснованным нормам, которые достаточны для полноценного восстановления физических и интеллектуальных сил человека);
бедность (потребление благ и услуг на уровне возможности сохранения работоспособности человека);
нищета (минимальное потребление благ и услуг на уровне биологического выживания человека).
Чтобы получить всю совокупность характеристик по уровню жизни, исследуются все статистические совокупности:
население в целом;
отдельные социальные и профессиональные группы;
домохозяйства с различным доходом.
В мировой практике накоплен определенный опыт по комплексному исследованию уровня жизни населения по основным социально-экономическим показателям, из которых можно выделить следующие:
показатели прожиточного минимума;
показатели дифференциации населения;
показатели денежных доходов (в среднем на душу населения в месяц);
средний размер пенсий;
показатели расходов и потребления населения;
показатели покупательной способности населения;
достигнутый уровень образования;
показатели расходов в социальной сфере;
продолжительность жизни и уровень рождаемости и т.д.
Информационными источниками для построения системы показателей по уровню жизни населения являются данные из материалов различных разделов государственной статистики (демографической, статистики труда, статистики цен, социальной статистики), материалы выборочных обследований бюджетов домохозяйств, материалы переписи населения.
Одним из важнейших обобщающих показателей уровня жизни являются доходы населения. Статистика исследует количественные характеристики формирования общего объема доходов населения, структуру этих доходов, распределение между отдельными группами населения. В соответствии с методикой СНС расчета баланса денежных доходов и расходов населения исчисляются номинальные денежные доходы и располагаемые доходы домашних хозяйств.
Номинальные денежные доходы рассчитываются в ценах текущего периода. Они не определяют количества материальных благ и услуг, доступных населению при сложившемся уровне доходов. К ним относятся:
оплата труда всех категорий населения;
доходы лиц, занятых предпринимательской деятельностью;
поступления от продажи сельскохозяйственных продуктов;
пенсии, пособия, стипендии и другие социальные трансферты;
страховые возмещения, кредиты и ссуды;
доходы от собственности в виде процентов по вкладам, ценным бумагам, дивидендов;
доходы населения от продажи иностранной валюты;
сальдо (деньги, полученные по переводам) и пр.
В отличие от номинальных расходов располагаемые доходы (1) домашних хозяйств являются суммой текущих доходов, используемых домашними хозяйствами для финансирования конечного потребления товаров и услуг. Это показатель объема экономических ресурсов, поступающих в распоряжение населения для удовлетворения потребностей граждан (максимальная сумма, которая может быть израсходована населением на потребление при условии, что за данный период население не привлекает накопленные финансовые и нефинансовые активы, не увеличивает обязательств по финансовой части).
Располагаемый денежный доход W определяется путем вычета из номинальных денежных доходов НДД обязательных платежей и взносов ОПВ:
(1)
где W - располагаемый денежный доход;
НДД - номинальные денежные доходы;
ОПВ - обязательные платежи и взносы.
При наличии инфляции рост денежных доходов не всегда может свидетельствовать об улучшении уровня жизни населения, поскольку фактор изменения цен влияет на покупательную способность денег. С помощью корректировки на индекс потребительских цен располагаемые денежные доходы за исследуемый период рассчитываются в реальном выражении (2).
Показатель реального денежного дохода населения G рассчитывается путем деления располагаемого денежного дохода W на индекс потребительских цен Ip:
(2)
где G - показатель реального денежного дохода населения;
W - располагаемый денежный доход;
Ip - индекс потребительских цен.
(методика расчета индексов потребительских цен основана на формуле Ласпейреса как средний арифметический индекс).
Для измерения объема, уровня и структуры доходов населения используются и такие показатели, как личные располагаемые доходы (ЛДР), среднедушевые денежные доходы населения, покупательная способность денежных доходов.
Личные располагаемые доходы - это общая сумма денежных доходов, которую их владельцы направляют на потребление и сбережение.
Среднедушевые денежные доходы исчисляются как отношение общей суммы денежных доходов населения за год (или текущий период) к среднегодовой численности наличного населения.
При исследовании уровня жизни важна оценка и потенциальных возможностей населения пользоваться ресурсами для приобретения и потребления соответствующих благ и ресурсов. Для этого используется показатель покупательной способности (рассчитывается как для всего населения, так и для отдельных групп) (3). Данный показатель характеризуется: а) заранее определенным количеством товаров и услуг, которые можно было бы приобрести на сумму среднедушевого денежного дохода; б) как товарный эквивалент в виде отдельных товаров или услуг.
Уровень покупательной способности ПС исчисляется как отношение среднедушевого денежного дохода населения в целом (либо отдельной группы) Д к средней цене покупки или услуги Р:
(3)
где ПС - уровень покупательной способности;
Д – среднедушевой денежный доход населения в целом;
Р - средняя цена покупки или услуги.
Уровень жизни характеризуется и показателями дифференциации материальной обеспеченности населения (дифференциации населения по уровню дохода), среди которых можно выделить:
распределение населения по уровню среднедушевых денежных доходов;
коэффициент дифференциации доходов;
коэффициент бедности.
Важнейшим методом исследования дифференциации доходов населения является распределение населения по уровню среднедушевых денежных доходов на основе построения вариационных рядов. Эмпирические данные выборочного обследования бюджетов домашних хозяйств ранжируются и группируются в определенных интервалах по величине дохода. Для статистических характеристик здесь используются: среднее значение душевого дохода; модальный доход (чаще всего встречающийся уровень дохода населения); медианный доход (показатель дохода, расположенный в середине ранжированного ряда распределения).
Модальный и медианный доходы - это важные структурные показатели, которые характеризуют отклонение среднедушевого дохода от среднего значения для каждой группы. Как правило, результаты исследований свидетельствуют, что одна половина населения имеет доход ниже среднего, а вторая половина - выше среднего.
Широко распространен в статистических исследованиях по неравенству в распределении доходов децильный коэффициент дифференциации доходов (4), который исчисляется как отношение минимального дохода у 10% наиболее обеспеченных граждан к максимальному доходу 10% наименее обеспеченных граждан. Коэффициент дифференциации доходов Кдх рассчитывается путем сопоставления девятого (Д9 ) и первого (Д1 ) децилей:
(4)
где Кдх - коэффициент дифференциации доходов;
Д9 - девятый дециль;
Д1 - первый дециль.
Функционально очень близким к децильному коэффициенту дифференции доходов является коэффициент фондов Кф (5), с помощью которого измеряют различие между суммарными (средними) значениями доходов 10% наиболее обеспеченной (Ч10 ) и 10% наименее обеспеченной (Ч1 ) части населения.
(5)
где Кф - коэффициент фондов;
Ч10 - наиболее обеспеченная часть населения;
Ч1 - наименее обеспеченная часть населения.
Индекс концентрации доходов (коэффициент Джини) КДж (6) служит для измерения отличия фактического распределения доходов по численно равным группам населения от их равномерного распределения (степень неравенства в распределении доходов населения). Данный индекс исчисляется по формуле:
(6)
где КДж - индекс концентрации доходов (коэффициент Джини);
Li , Li-1 - доля населения в интервале;
Si , Si-1 - доля суммарного дохода (на начало и конец i-го интервала).
Индекс концентрации доходов измеряется в пределах от 0 (совершенное равенство) до 1 (совершенное неравенство), т.е. чем ближе индекс к 1, тем выше поляризация доходов в обществе.
Для статистических характеристик уровня жизни важно установление границ дохода, обеспечивающих минимально допустимый уровень, т.е. определение прожиточного минимума (стоимостная оценка минимального набора продовольственных и непродовольственных товаров, а также обязательные платежи и сборы). Прожиточный минимум позволяет установить границы бедности.
Коэффициент бедности - относительный показатель, который рассчитывается как процентное отношение численности граждан, чьи доходы ниже прожиточного минимума, к общей численности населения страны. В настоящее время (с 1990 г.) в мире установлен порог бедности, равный 1 доллару США в день.
Потребление населением материальных благ и услуг
Важными характеристиками уровня жизни населения являются уровень и структура потребления материальных благ и услуг, где объектами статистического наблюдения являются потребительские единицы (условная единица). Они дают возможность сопоставить между собой по уровню потребления домашние хозяйства с различными по возрасту и полу потребительскими единицами (по шкале коэффициентов приведения за условную потребительскую единицу принимается, например, мужчина в возрасте 18 - 59 лет). Используя потребительскую единицу, можно рассчитать показатель среднедушевого потребления как отношение количества потребленного продукта питания к числу условных потребителей.
Важнейшей реальной величиной конечного потребления является объем фактического потребления домашних хозяйств, которое обеспечивается не только за счет реального дохода, но и за счет социальных трансфертов.
Объем фактического потребления включает потребление товаров и услуг. Все товары, потребляемые населением, имеют следующую структуру:
товары первой необходимости (продукты питания, повседневная одежда, жилье и т.д.);
товары отложенной необходимости (книги, бытовая техника, теле- и радиоаппаратура, машины и т.д.);
предметы роскоши (дорогая одежда, дорогая мебель, ювелирные изделия, деликатесные продукты питания и т.д.).
В объеме услуг принято выделять:
услуги производственные (ремонт бытовой техники, ремонт предметов повседневного потребления и т.п.);
услуги хозяйственного назначения (внутренний ремонт жилья, наружный ремонт жилья и т.п.);
Все услуги могут быть предоставлены либо на бесплатной основе, либо на платной (рыночные услуги).
Часть денежных затрат на покупку потребительских товаров и личных услуг текущего потребления есть потребительские расходы населения. Почти половину всех расходов в бюджете домашних хозяйств составляют затраты на питание. Чем выше абсолютная величина затрат на питание в среднем на одного члена домохозяйства, тем ниже уровень жизни данного домохозяйства, и наоборот.
Широко используемым статистическим показателем потребления является уровень личного потребления (индивидуального потребления). Он исчисляется как отношение объема товаров и услуг, потребленных населением за год, к среднегодовой численности населения как в целом, так и по групповым показателям. Статистические данные личного потребления характеризуют не только благосостояние населения, но и важны для определения многих макроэкономических показателей.
В статистике потребления используются различные коэффициенты и индексы.
Динамика общего потребления изучается с помощью агрегатного индекса объема потребления Iоп (7), который рассчитывается следующим образом:
(7)
где Iоп - агрегатный индекс объема потребления;
a1 , a0 - количество потребленных товаров в отчетном и базисном периодах;
b1 , b0 - количество потребленных услуг в отчетном и базисном периодах;
p0 , r0 - цена товара и тариф за определенную услугу в базисном периоде.
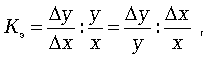
При статистическом исследовании зависимости объема потребления от дохода используется коэффициент эластичности Кэ (8), который характеризует величину возрастания или снижения потребления товаров и услуг при росте дохода на 1% (в теории статистики это формула А. Маршалла):
(8)
где Кэ - коэффициент эластичности;
х, у - начальные доход и потребление;
, - приращения начальных дохода и потребления за определенный период.
Если Кэ > 1, то потребление растет быстрее, чем доходы.
Если Кэ = 1, то между доходом и потреблением имеет место пропорциональная зависимость.
Если Кэ < 1, то доход растет быстрее, чем потребление
Качество жизни как социально-экономическая категория
Качество жизни рассматривается как система показателей, характеризующих степень реализации жизненных стратегий людей, удовлетворения их жизненных потребностей. Программные улучшения качества жизни рассматривается как социальный проект, направленный на увеличение возможностей людей решать свои проблемы, добиваться личного успеха и индивидуального счастья.
Качество жизни - совокупность показателей общего благосостояния людей, характеризующих уровень материального потребления (уровень жизни), а также потребление непосредственно не оплачиваемых благ.
Качество жизни предполагает:
чистую окружающую среду;
личную и национальную безопасность;
политические и экономические свободы;
и другие условия человеческого благополучия, трудно поддающиеся количественному измерению.
Качество жизни — это категория не столь стандартизованная, как понятие "качество", представленное в международных стандартах ISO. Каждое сообщество разрабатывает это понятие самостоятельно, исходя из своих идеалов. Во многих странах идея качества стала национальной идеей. Под качеством жизни понимается, как правило, финансовая безопасность сообщества, единство с природой, ответственность перед будущими поколениями и многое другое.
Характеризуя сущность качества жизни как социально-экономической категории необходимо подчеркнуть ряд ее особенностей:
Во-первых, качество жизни чрезвычайно широкое, многоаспектное, многогранное понятие, несравнимо более широкое, чем «уровень жизни». Это категория, далеко выходящая за пределы экономики. Это, прежде всего социологическая категория, охватывающая все сферы общества, поскольку все они заключают в себе жизнь людей и ее качество.
Во-вторых, качество жизни имеет две стороны: объективную и субъективную. Критерием объективной оценки качества жизни служат научные нормативы потребностей и интересов людей, по соотношению, с которыми можно объективно судить о степени удовлетворения этих потребностей и интересов.
С другой стороны, потребности и интересы людей индивидуальны и степень их удовлетворения могут оценить только сами субъекты. Они не фиксируются какими-либо статистическими величинами и практически существуют лишь в сознании людей и, соответственно, в их личных мнениях и оценках.
Таким образом, оценка качества жизни выступает в двух формах:
степень удовлетворения научно-обоснованных потребностей и интересов;
удовлетворенность качеством жизни самих людей.
В третьих, качество жизни не является категорией, отделенной от других социально-экономических категорий, но объединяет многие из них, включает в себя их в качественном аспекте.
Так, компонентами качества жизни является и образ жизни, и уровень жизни, и окружающая среда, обогащенные качественными оценками. Например, характеризуя качество жизни, нельзя ограничиваться оценкой питания по его питательной ценности (калорийность, содержание в граммах белков, жиров). Нельзя обойти таких качеств питания, как его регулярность, разнообразие, вкусовые свойства. Характеризуя качество трудовой жизни, нельзя ограничиться (как при анализе уровня жизни) показателями занятости, безработицы, продолжительности рабочего дня, недели, года, уровнем производственного травматизма, но необходимы оценки соответствия интересам работников содержания и характера труда, его интенсивности, взаимоотношений внутри трудового коллектива и др.
Качество жизни – это степень развития и полнота удовлетворения всего комплекса потребностей и интересов людей, проявляющихся как в различных видах деятельности, так и в самом жизнеощущении. Проблема качества жизни включает в себя условия, результаты и характер труда, демографические, этнографические и экологические аспекты существования людей. Есть в этой проблеме юридические и политические стороны, связанные с правами и свободами, поведенческие и психологические аспекты, общий идеологический и культурный фон.
Что же касается благосостояния в целом, то это некоторый синтез, обобщающее представление социального организма, включающее все вышеуказанные аспекты.
Достижение максимально высокого качества жизни населения является приоритетной целью социальной рыночной экономики. Одной из важнейших предпосылок, обеспечивающих реализацию этой задачи, является проведение эффективной политики благосостояния населения. Центральное место в политике благосостояния занимают доходы населения, их дифференциация, постоянный рост уровня жизни граждан.
Качество жизни для людей неотрывно от целей, которые они ставят перед своей жизнью, то есть, связано с эффективностью жизни в широком смысле слова, и не только с удовлетворенностью своей личной жизнью, но и с удовлетворенностью со своим положением в стране и в мире, которое отражается на самочувствии людей.
При этом возможны два подхода:
составление сводного перечня показателей в соответствии со структурой потребностей и интересов;
более предпочтительный аналитический подход, при котором показатели качества жизни прежде всего группируются по сферам жизни в соответствии со структурой самих процессов жизни людей, с последующим синтетическим обобщением.
И методологически, и для практических целей весьма важно оценить качество жизни не только в целом, но и по каждой из ее основных сфер.
К таким сферам относятся:
трудовая жизнь;
сфера развития способностей людей;
семейная жизнь;
быт и поддержание здоровья;
жизнь нетрудоспособных;
досуг;
окружающая среда;
жизнь в экспериментальных экономических ситуациях.
Каждая из этих сфер имеет свои специфические составные элементы, требующие качественной оценки. Если свести их в единую систему, то получится весьма сложная и обширная структура. Так, например, переход к рыночной экономике изменил качество труда, поскольку для основной массы экономически активного населения он стал наемным, зависящим от соотношения спроса и предложения, от хозяйственной конъюнктуры. Позитивность социально-экономических преобразований выражается в том, что работники получили большую свободу в выборе места работы, а конкуренция на рынке труда стала дополнительным стимулом развития личных способностей и их применения.
УРОВЕНЬ И Качество жизни населения
Динамика уровня жизни. Бюджетные проектировки
Начало века характеризуется подъёмом экономики страны: увеличение ВВП, объёма промышленной продукции, продукции сельского хозяйства и как следствие улучшения макроэкономической ситуации, – значительное уменьшение задолженности по заработной плате, уменьшение количества безработных, увеличение реальной заработной платы, увеличение реальных денежных доходов. Однако сохраняется низкий жизненный уровень большинства населения России, сохраняется значительная региональные различия в уровне жизни населения.
Применительно к российской экономике предпосылок для повышения уровня жизни в ближайшей перспективе пока не создано. Аргументировать сложившуюся ситуацию можно следующими соображениями:
Во-первых, в России на современном этапе развития отсутствует механизм управления мотивацией трудовой деятельности, а, следовательно, и повышением уровня жизни работников;
Во-вторых, одним из показателей качества трудовой жизни является уровень заработной платы работников и ее дифференциация по отраслям. Однако обвальное разрушение действующего ранее механизма оплаты труда и отказ от государственного регулирования зарплаты не привел к положительным результатам. Более того, привел к снижению уровня жизни работающих. Произошла резкая дифференциация в уровнях оплаты труда руководителей и рядовых работников. Разрыв между заработной платой рядовых работников и руководителей составляет от 4 до 20 и более раз;
В-третьих, на уровень жизни в немалой степени влияют условия и среда, в которых осуществляется процесс труда. Главная задача в этом плане состоит в адаптации (приспособлении) функционирующей на предприятии или рабочем месте работника, ведущей к обогащению процесса трудовой деятельности и сокращению монотонности. К сожалению, приходится констатировать: эти факторы в трудовой деятельности на предприятиях России практически не учитываются;
В-четвертых, за последние годы резко возрос уровень травматизма и профессиональных заболеваний, что явилось следствием сокращения соответствующих служб на предприятиях, которые осуществляли контроль за безопасностью трудовой деятельности, что привело к снижению уровня жизни;
В-пятых, повышению уровня жизни способствует условия, создание которых содействует развитию личности работника, росту его квалификации, самовыражению и самостоятельности в принятии решений, профессиональной и должностной карьере;
В-шестых, демократизация общества предполагает и демократизацию в управлении и организации труда работников, что предполагает развитие новых коллективных форм организации трудовой деятельности взамен индивидуальной организации труда. Мировой опыт с необходимостью показал, что развитие коллективных форм организации труда способствует развитию демократизации процесса управления, планированию, распределительным отношением и выборности менеджеров.
Высокого и достойного для человека уровня и качества жизни можно достигнуть при успешном и высокоэффективном использовании трудового потенциала России и каждого предприятия в отдельности. Именно рациональное высокоэффективное использование трудового потенциала на основе применения эффективных мотивационных моделей и систем можно не только реанимировать, но и создать эффективный механизм управления экономикой. А пока, если проанализировать индикаторы труда, которые являются определяющими в оценке уровня и качества жизни населения страны, то они свидетельствуют об удручающем положении в развитии экономики. Анализ изменений в уровне жизни населения России в последние годы показал, что сохранение низкого жизненного уровня большинства населения блокирует ее экономическое развитие, усугубляет ее социально-политическую нестабильность. Социальная политика в России остается пассивной и не адекватной сложившейся напряженной ситуации. Политика доходов тесно связана с благосостоянием нации, повышением её жизненного уровня. Этот показатель оценивает качество и уровень жизни населения и служит критерием при выборе направлений и приоритетов экономической и социальной политики государства.
Бюджетные проектировки
В современных экономических условиях бюджетное регулирование доходов значительной части населения России (работников бюджетной сферы, пенсионеров, инвалидов и т.д.) и решение задач доступности услуг качественного образования и здравоохранения, жилищно-коммунального хозяйства являются ключевыми в проведении эффективной государственной социальной политики.
По оценкам Минэкономразвития России, доля населения с денежными доходами ниже величины прожиточного минимума будет последовательно снижаться – с 22,6 млн. человек на конец 2005 года (15,8% от общей численности населения) до 14,2 млн. человек в 2006 году (13,5%).
Справочно: следует при этом отметить, что применяемый официальной статистикой способ оценки носит упрощенный характер. Страны ЕС используют более точные методы и способы оценки. Например, бедными считают лиц с доходом меньше среднего дохода по стране. Соответственно, по европейским меркам бедными на начало 2005 года являются не 18%, примерно 25% россиян. Американцы рассчитывают уровень бедности, исходя из расходов на продукты питания: их доля в потребительской корзине тех, кого относят к категории бедных, должна составлять не менее трети всех расходов (согласно этой методике доля бедных россиян на начало 2005 года - 28,8%). По методике Всероссийского центра уровня жизни (ВЦУЖ), оценка бедных и малоимущих должна включать в себя показатель доходов (ниже прожиточного минимума), а также социальные нормативы обеспеченности жилой площадью. По данным ВЦУЖ, в России к категории бедных и малоимущих относятся 62 млн. человек, или 39,5% населения.
5 сентября 2005 г. на встрече с членами Правительства, руководством Федерального Собрания и членами президиума Государственного совета Президент Российской Федерации В.В. Путин предложил осуществить в ближайшие годы крупную, национального масштаба программу по системной модернизации здравоохранения, образования, жилищной сферы. Речь идет о необходимости преобразований в базовых сферах жизнедеятельности населения страны, которые определяют состояние его здоровья, образования и обеспеченность жильем.
Важно подчеркнуть, что ключевой вопрос государственной политики, по мнению В.В. Путина, состоит в существенном повышении качества жизни граждан России, для чего страна располагает соответствующими возможностями. За пять последних лет экономика России выросла почти на 40%, произошли положительные изменения в доходах населения. Однако, как подчеркнул Президент, “нельзя мириться с тем, что 25 миллионов наших сограждан получают доходы ниже прожиточного минимума, и поэтому качественные социальные услуги недоступны всем нашим гражданам”.
Выбор указанных выше приоритетов объясняется тем, что значительную часть бедных и нуждающихся граждан в стране составляет работающее население, включая работников бюджетной сферы, у которых заработная плата не обеспечивает прожиточного минимума с учетом иждивенцев работающих, а также пенсионеры (особенно одинокие). Что же касается состояния здоровья, то важно учитывать, что медицинская помощь, предоставляемая в значительной части субъектов Российской Федерации, по своему объему не обеспечивает уровня государственных гарантий медицинской помощи и зачастую составляет всего 30-40% от их нормативных величин.
Требуется система мер по упорядочению и регулированию заработной платы, включая бюджетную сферу. Система оплаты труда должна позволять человеку полноценно питаться, растить детей, приобретать необходимые для быта товары, получать качественную медицинскую помощь, а также обеспечивать себя достойным жильем. Это является жизненно важной задачей с позиции демографических вызовов, перед которыми стоит Россия: высокой смертности, низкой рождаемости и депопуляции.
Как известно, сутью категории “качество жизни” являются базовые условия жизнедеятельности людей, позволяющие на высоком уровне удовлетворять потребности в содержательном труде, отдыхе и культурных запросах, а также в сферах здравоохранения, образования и жилищных условиях.
Высокое качество жизни – это требование времени, без него немыслимо движение вперед. Низкое качество жизни ограничивает раскрытие творческого потенциала людей. Они вынуждены концентрировать свои усилия на добывании “насущного хлеба”, им – не до творчества.
Вложения в человеческий капитал превращаются в экономические выгодные проекты на национальном и корпоративном уровнях, а рост ценности человеческого труда становится определяющим фактором в повышении конкурентоспособности экономики и предпосылкой эффективных модернизационных проектов.
Качество жизни, развитие человека и человеческий капитал – эти понятия составляют содержательную характеристику современных подходов к проблемам экономического роста и развития общества.
Справочно: понятие “человеческое развитие” было введено в широкое употребление международной организацией Программа развития ООН (ПРООН) в 1990 г http://www.budgetrf.ru/Publications/Magazines/VestnikSF/2005/vestniksf279-27/vestniksf279-27130.htm - a11 Начиная с 1990 года ПРООН издает ежегодные доклады о развитии человека. Каждый год доклады посвящались различным аспектам человеческого развития, представлялись новые концепции и подходы. При этом, “главной задачей всегда было обеспечение понимания того, что развитие должно служить интересам человека и расширению его возможностей как участника процесса развития”.
Концепция человеческого развития основывается на четырех основных принципах, отражающих производительность труда, равенство, устойчивость и расширение возможностей.
Производительность. Люди должны иметь возможность повышать производительность своего труда, полноценно участвовать в процессе формирования дохода и трудиться за достаточное и справедливое вознаграждение. Поэтому экономический рост является одной из составляющих моделей развития человеческого потенциала.
Равенство. Все люди изначально должны иметь равные возможности. Все барьеры, препятствующие обретению возможностей в экономической, социальной и политической жизни, должны быть ликвидированы, с тем, чтобы люди могли принимать участие в реализации этих возможностей и пользоваться их благами.
Устойчивость. Доступ к возможностям должен быть обеспечен не только нынешним, но и будущим поколениям.
Расширение возможностей. Развитие должно осуществляться усилиями людей и в интересах людей. Люди должны всемерно участвовать в процессе принятия решений и в других процессах, определяющих их жизнь.
Основные условия для развития потенциала человека состоят в том, чтобы прожить долгую и здоровую жизнь, получить образование и обладать соответствующими ресурсами для обеспечения достойного жизненного уровня.
В России государство использует механизмы бюджетного распределения средств весьма “вяло”. С помощью консолидированного бюджета распределяется на социальные функции государства порядка 35% бюджетных средств, а с помощью федерального бюджета - не более 21% от его расходов. При этом непосредственно на социальные нужды расходуется не более 3,5% ВВП, что в 5-6 раз меньше доли, выделяемой на социальные функции в развитых странах и крайне недостаточно для России, для которой характерна высокая степень региональных и отраслевых различий. Подобная структура бюджета, по мнению отечественных ученых, характерна для государства ХIХ, а не ХХI столетия.
Следует отметить, что в Российской Федерации доктрины качества жизни и человеческого потенциала еще не рассматриваются органами государственной власти с позиции практического применения. Недооценка важности социальной составляющей (как важнейшего условия экономического роста и гармонизированных трудовых отношений), характерная для советского периода, еще более усугубилась на этапе рыночной трансформации и смены общественного строя, что привело к обвальному снижению затрат на развитие человека, не обеспечивающих сегодня во многих сегментах и слоях населения даже его простое воспроизводство.
Демографическое развитие России в 21 веке становится одним из важнейших факторов, от состояния которого зависит будущее России.
С начала 90-х годов в России происходит системный демографический кризис, который охватывает естественное и миграционное движение населения.
Долговременные негативные тенденции снижения рождаемости наметились в России еще в 20-е годы, а рост смертности российского населения происходит с 60-х годов прошлого века. Однако с начала 90-х годов ХХ века произошел качественный скачок в росте смертности и заболеваемости, падении рождаемости, снижении продолжительности жизни населения.
По данным Федеральной службы государственной статистики, за период между последними переписями населения 1989 и 2002 годов, общие коэффициенты смертности в стране выросли в 1,5 раза, а рождаемости - сократились в 1,4 раза. За 13 лет, прошедших между этими переписями, общая численность населения страны сократилась на 1,8 млн. человек. Причем, за этот период родилось 20,5 млн. человек, а умерло 27,9 млн. человек, 11 млн. человек прибыло в страну из-за рубежа и 5,4 млн. человек покинули страну. Таким образом, естественная убыль населения (разница между умершими и родившимися) составила 7,4 млн. человек. Миграционный прирост (разница между прибывшими и убывшими) в размере 5,6 млн. человек позволил компенсировать 76% естественной убыли.
Обращает на себя внимание существенная социальная составляющая смертности в России: высокий процент умерших от неестественных причин (дорожно-транспортные происшествия, пожары, экологические и техногенные катастрофы, убийства, самоубийства, алкоголизм, наркотики), а также инфекционных и паразитарных болезней.
В отличие от развитых стран Западной Европы, Северной Америки и ряда других, России не удалось преодолеть второй этап эпидемиологического перехода. Если западные страны давно победили инфекционные и паразитарные болезни, активно занимаются профилактикой сердечно-сосудистых заболеваний и рака, успешно отодвигают смертность от этих причин к более старшим возрастам, то в России, по-прежнему, сохраняется высокая смертность от инфекций и растет смертность от неестественных причин, не связанных с болезнями.
Что касается рождаемости, то темпы падения ее в России с начала 90-х годов ХХ века несколько ниже, чем роста смертности (с 13,4 промилле в 1990 году до 10,2 в первом полугодии 2005 года). Минимальный коэффициент рождаемости был зафиксирован в 1999 году – 8,3 промилле. С 2000 года наблюдается временный структурный рост рождаемости, связанный с вступлением в репродуктивные возраста более многочисленных когорт молодежи, родившейся в 80-е годы, когда проводилась активная демографическая политика и рождаемость была в два раза выше нынешней.
Углубляется проблема старения населения. Доля пожилых в населении (60 лет и старше) выросла в России с 6,7% в 1939 году до 11,9% в 1970 году, 18,5% в 2002 году и продолжает расти из-за падения рождаемости и сокращения числа и доли детей в населении.
К сожалению, Россия была одной из первых стран мира, в которой началась депопуляция. Еще в 1964 году нетто-коэффициент воспроизводства населения опустился ниже единицы и с тех пор остается ниже этого критического уровня, за исключением короткого периода 1986-1988 годов, когда проводилась активная демографическая политика. При этом положительный естественный прирост населения в России продолжался до 1992 года благодаря большому демографическому потенциалу (высокой доли детей и населения плодовитых возрастов).
Согласно всем прогнозам, убыль населения России продолжится в обозримой перспективе. В частности, по среднему варианту прогноза ООН к 2050 году численность населения России сократиться на 30% и составит 101,5 млн. человек. При этом Россия занимает почти 13% мировой суши – самую большую в мире, богатую природными ресурсами, но крайне слабо заселенную. Она соседствует с густонаселенными государствами, некоторые из которых время от времени претендуют на ее территории.
По расчетам, выполненным Отделом народонаселения ООН в 2000 году, только для поддержания стабильной численности населения России в течение следующих 50 лет требуется, чтобы иммиграционный прирост населения составлял не менее 860 тыс. человек в год, т.е. 43 млн. человек за 2001-2050 годы.
Согласно всем прогнозам после 2005 года в России начнется стремительная естественная убыль трудоспособного населения, достигающая примерно 1 млн. человек в год. Труд может стать одним из самых дефицитных, если не самым дефицитным ресурсом, в России. Вероятно, до 2010 года убыль трудовых ресурсов не будет сильно ощущаться, так как может быть компенсирована за счет сокращения накопленной безработицы (включая скрытую).
Не меньшее значение имеют геополитические и военные интересы России. Усиливается иммиграционное давление на малозаселенные территории Сибири и Дальнего Востока.
Надо сказать, что существуют некие эмпирически уловимые пределы иммиграционной емкости любой страны, когда иммигранты не нарушают социальное равновесие и обеспечивается их трудовая и социальная адаптация. Это равновесие нарушается быстрее, если иммигранты имеют иные социо-культурные традиции и стереотипы поведения. Когда коренное население сталкивается с конкуренцией более дешевой рабочей силы на рынке труда, в обществе возникает мигрантофобия, часто приобретающая этнический характер.
Для преодоления данных разрушительных тенденций потребуется не только существенный финансовый, но и временной ресурс, оцениваемый не годами, а поколениями. К сожалению, бюджет 2006 года не предусматривает проведение активной демографической политики.
В последнее время наблюдается повышение интереса властных структур к повышению качества жизни населения. Однако, национальные крупномасштабные программы в этой сфере фактически еще не достигли стадии практической реализации, что приводит к весьма серьезным социальным последствиям. Так, в Российской Федерации индекс развития человеческого потенциала (ИРЧП), который, по сути дела, является результирующим критерием оценки качества жизни, за последние десять лет снизился на 15 пунктов и, прежде всего, из-за падения объемов ВВП, роста смертности и уменьшения продолжительности жизниhttp://www.budgetrf.ru/Publications/Magazines/VestnikSF/2005/vestniksf279-27/vestniksf279-27130.htm - a16.
Первым шагом по повышению качества жизни населения страны является задача преодоления бедности. Главным в решении стратегической задачи государства по преодолению бедности является обеспечение существенного роста доходов населения, увеличение минимального размера оплаты труда и базовой пенсии до прожиточного минимума. [12]
Наверное многие задаются вопросом о том, что думает по поводу улучшения нашей жизни правительство? Рассмотрим позицию по этому вопросу нашего президента В. В. Путина.
В нашей стране достаточно частыми стали прямые телефонные линии с главой государства. На одной из этих линий наш президент В. В. Путин затронул тему повышения уровня жизни. Одной из главных тем разговора стали механизмы, которые необходимо задействовать для реализации стратегической линии нынешнего руководства страны на повышение уровня жизни населения. Были обсуждены меры, направленные на рост доходов трудящихся, совершенствование жилищно-коммунального хозяйства, решение насущных проблем здравоохранения и других социальных вопросов. Особое внимание было уделено проблемам пенсионеров.
Так же на уровень жизни в большой степени влияет ВВП. В. В. Путин поставил перед правительством задачу по удвоению валового внутреннего продукта страны к 2010 году.
"Эта цель непростая, но вполне достижимая" - заявил глава страны. Очень важно, что разговор идет не только об экономических показателях, но и консолидации всего общества. Усилия по увеличению ВВП должны сопровождаться созданием на базе предпринимательства среднего класса и повышением уровня жизни. Экономика и экономический рост – это не цель, а механизм достижения поставленных целей. Тем не менее, многое будет зависеть от конъюнктуры на внешних рынках, структуры российской экономики и работы кредитно-финансовых учреждений. [10]
Сравнение уровня жизни различных регионов и стран
В начале нашего сравнения проведём анализ уровня жизни нашей страны в целом и некоторых других развитых западных стран.
КАНАДА. Уже несколько лет подряд Канада была выбрана самой лучшей страной для проживания Организацией Объединенных Наций. Выбор производится на основе многих показателей, которые включают систему охраны здоровья, качество и доступность образования, чистота окружающей среды, охраняемые законом свободы личности, а также средний уровень заработной платы по отношению к расходам. Это может означать лишь одно: Канада - это страна, где живут люди с высоким достатком, где люди терпимы друг к другу, где правительство предоставляет бесплатное, но в то же время высококачественное медицинское обслуживание, где предоставляют бесплатное среднее образование, и где жить хорошо среди дружелюбных людей.
Уровень жизни: Уровень жизни в Канаде считается одним из самых высоких в мире. Если человек согласен работать, то его будущее и будущее его детей в Канаде гарантировано. В 1986 году Мировой Банк подсчитал, что каждый средний канадец - практически миллионер. Средний канадец имеет в распоряжении 960,000 канадских долларов.
Медицинское обслуживание: В Канаде медицинское обслуживание бесплатно для всех. Любая самая сложная и дорогая операция проводится бесплатно. Никого не отправят домой из скорой помощи, потому что у них нечем заплатить за услуги больницы. Для пенсионеров медикаменты также предоставляются без оплаты. Все доктора проходят специальную аккредитацию и не имеют права предоставлять услуги ниже определенного уровня.
Все госпиталя и врачебные кабинеты оборудованы новейшей и точнейшей аппаратурой. В бесплатные услуги не включаются пластические операции, а также услуги зубных врачей и покупка очков или контактных линз.
Система социальной поддержки и пособий: Канадское правительство не оставляет тех, кто по каким-либо причинам не могут содержать себя и свою семью. Будь та причина сокращение на работе или автомобильная катастрофа, канадское правительство дает пособие, которое покрывает стоимость проживания и каждодневных расходов.
Пенсионеры в Канаде кроме пенсий получают бесплатные медикаменты, которые могут быть бесплатно доставлены прямо к их двери. Некоторые юридические услуги также предоставляются безвозмездно. В Канаде любой человек получает гарантию, что его не оставят голодным, без крыши над головой и без медицинского присмотра.
Обучение: Канада предлагает бесплатное среднее образование. Для тех, кто желает отправить своих детей в частные школы, такая возможность также существует. Новоприбывшие могут посещать бесплатные курсы английского языка. Высшее образование, хотя и платное, но вполне доступное. Молодые люди с отличием окончившие среднюю школу получают стипендии для посещения университета. Даже если Ваш ребенок такую стипендию не получил, канадское правительство предлагает беспроцентную ссуду на оплату обучения, которая должна быть возвращена в форме взносов из зарплаты выпускника.
Безопасность: Несмотря на соседство с Соединенными Штатами Америки, известными высоким уровнем преступности, в Канаде жить значительно безопаснее. Многие люди живут за стеклянными дверьми и при этом не боятся грабителей.
Экологически чистая страна: Канада - одна из самых экологически чистых стран мира. В Канаде можно без опаски пить воду из-под крана, не задумываясь о последствиях, связанных с Чернобылем или других, еще неизвестных нам загрязнений.
Исторически так сложилось, что Канада - это страна иммигрантов. Новоприбывшие канадцы создают новые рабочие места и помогают канадской экономике развиваться. Вы можете принести пользу этой прекрасной стране, а Вы в свою очередь получите все привилегии жителя Канады
США. Так же считается достаточно хорошей страной для проживания, но если взглянуть на это ближе, то можно увидеть и в этой стране недостатки.
Учитель в США, в среднем, зарабатывает $30 265 в год, офицер полиции - $46 000, бухгалтер - $53 000, архитектор - $60 000, специалист по компьютерному анализу - $71 000, инженер - $75 000, профессор - $84 000, доктор - $120 000. Зарплата конгрессмена и сенатора США составляет $145 100 в год. Главы комитетов, лидеры сенатского большинства и меньшинства и т.д. получают $161 200. Зарплата спикера Конгресса - $186 300. Вице-президент США Дик Чейни получает чуть более $181 тыс., президент Джордж Буш - $400 тыс. в год.
При этом ставка подоходного налога в США (несмотря на "мягко прогрессивный характер") колеблется от 15 до 33 процентов. И хотя цены на бензин (порядка 1,5 доллара за галлон - 3,8 литра) скоро сравняются с российскими, в США стоимость продуктов питания, коммунальных платежей, медицинского обслуживания и прочего превосходит российский уровень в разы.
Пожалуй, что в Америке представлено относительно недорого и в изобилии, так это автомобили (в том числе, подержанные), однако целесообразно упомянуть и ценовую градацию жилья, например, хорошая 2-х комнатная квартира в хорошем месте (не шикарном, а "хорошем" по американским меркам, с учетом трущоб, этнических гетто и пролетарских районов) обойдется в $50-60 тыс. Многие индивидуальные дома в американских городках (население преимущественно живет не в мегаполисах) напоминают вагончики, с фанерными стенками обитыми пластиком, зачастую без фундамента.
В итоге, 42% населения США живет в районе порога бедности. Порог бедности составляет около $20 000 в год на семью из трех человек (на эти деньги можно только выживать). По уровню жизни США не входят даже в первую десятку. К тому же производство непосредственно в США за последние 20 лет сократилось на 70%. Товары поставляются из-за границы в обмен на зеленую бумагу (сумма только наличных долларов в мире втрое больше, чем в самих США) либо фактически путем экспроприации части продукта произведенного за рубежом (преимущественно в Азии).
Но не смотря на всё это только одна страна Евро-зоны обгоняет по уровню жизни США - это Люксембург. Принимая во внимание мизерность его населения (всего 429 тыс. человек), можно сказать, что страны Евро-зоны существенно отстают по уровню жизни от США (в среднем - на 35%). Особенно низкий уровень жизни в Греции и Португалии. [Рисунок А.1]
БЕЛОРУСИЯ. Бывшая страна СССР, не смотря на свою бедность и неразвитость, опережает нашу страну по некоторым показателям. Подробности жизни белорусов интересуют многих россиян: мы же не просто соседи, а два действительно братских народа с общими славянскими корнями, схожей ментальностью и, хочется верить, еще более тесным единением в будущем. Этот интерес возрос после недавнего заявления госсекретаря Союзного государства Белоруссии и России Павла Бородина о возможном переходе наших стран на единую валюту с 1 января 2006-го и развитии объединительного процесса по образцу Евросоюза.
Во времена СССР отличия в уровне жизни, если иметь в виду основную массу граждан в обеих республиках, были не столь существенными. Например, в 1989-м численность бедных (со среднедушевыми доходами 75 рублей и менее) составляла в Белоруссии 3,3 процента, в России - 5. Правда, зарплата в РСФСР была все-таки заметно выше, но соседей выручали подсобные хозяйства. И в конечном итоге, как показали обследования семейных бюджетов, разница в среднедушевых совокупных доходах рабочих и служащих в РСФСР и БССР была практически стерта.
После распада Советского Союза бывшие республики пошли своими путями. В России в 1992-м на граждан обрушилась "шоковая терапия", которую "прописали" ультралиберальные реформаторы. Это ввергло треть страны в застойную бедность. А в Белоруссии отказались от идеи "шока", ко всем новациям подходили с осторожностью. Государство не спешило расставаться с рычагами управления, частный сектор по сей день занимает достаточно скромное положение. В негосударственной собственности находится около 35 процентов основных фондов. В России этот показатель вдвое больше. Есть сложности у белорусов и в валютной сфере. Совокупный внешний долг превышает 4,4 миллиарда долларов (на 1 апреля 2005-го), а международные резервные активы государства в три раза меньше - 1,46 миллиарда. Сторонники консервативного подхода к проведению реформ подчеркивают положительные результаты такой стратегии, например, высокие темпы развития промышленности в течение последних девяти лет (в прошлом году рост составил 15,9 процента). Кстати, и падение производства в Белоруссии в первой половине 90-х было не таким глубоким, как у нас, и оживление экономики началось раньше. Все это подтверждается статистикой. Однако эксперты Всемирного банка отмечают наряду с позитивной динамикой определенную неустойчивость белорусской экономической модели. Объясняют это высокой затратностью, излишним вмешательством государства в экономику, слабым банковским сектором, недостаточностью валютных резервов... "Мы не видим новых факторов, которые обеспечат поддержание привычных уже в Белоруссии высоких темпов экономического роста", - говорится в июньском меморандуме Всемирного банка.Теперь о социальной сфере. Здесь ситуация развивалась более драматично, чем в экономике. Падение уровня жизни в Белоруссии в 90-х было еще более тяжелым, чем в России. За чертой бедности оказалась почти половина населения соседнего государства - 46,7 процента граждан (1999-й). В России же этот показатель был наихудшим в 1992-м и составлял 33,5 процента. Борьба с широкомасштабной бедностью стала приоритетной задачей власти в обоих государствах. Приятно отметить, что наши соседи движутся по этому пути с ускорением, причем в первую очередь повышаются зарплаты и доходы именно у малообеспеченных. В результате в прошлом году Белоруссия резко сократила численность бедных и по удельному весу малообеспеченных догнала Россию. В обоих государствах этот показатель в 2004-м опустился до 17,8 процента.
Однако по ряду других индикаторов, характеризующих уровень жизни, Россия все-таки опережает Белоруссию. Средняя начисленная зарплата составила в нашей стране в мае 8089 рублей, или 300 долларов, а у соседей в пересчете на американскую валюту по официальному курсу - 209 долларов (в российских деньгах - 5860 рублей). То есть средние заработки у нас почти в полтора раза выше. Понятно, эти цифры не дают полной картины, надо соотносить размер получки с уровнем цен в каждой стране. Статистики обычно анализируют, сколько на среднюю зарплату в столицах государств можно приобрести так называемых продуктовых корзин. В этот набор входит по килограмму говядины, животного и растительного масла, сахара, пшеничного хлеба, картофеля, свежей капусты, литр молока, десяток яиц. В прошлом году, по расчетам Статкомитета СНГ, у нас на среднюю получку можно было купить 28,8 продуктового набора, в Минске - 23,6.
Впрочем, важнее, по мнению специалистов, анализировать еще и покупательную способность среднедушевых доходов (имея в виду всех жителей), а не только зарплаты, которую получают лишь работающие граждане. Расчет прост: сколько отдельно того или иного товара можно было приобрести на среднедушевой месячный доход в России и сколько - в Белоруссии. Как видим, по большинству продуктов - мясу, молоку, маслу, рыбе, яйцам, сахару, хлебу - покупательная способность среднедушевых доходов в России существенно (по ряду позиций вдвое) выше, чем у соседей. Это опровергают появляющиеся порой в средствах массовой информации сообщения, что по уровню жизни Белоруссия "намного обогнала" нашу страну и даже как бы приближается к таким благополучным государствам, как Швеция. Мы искренне радуемся, что соседи достигли в социальной сфере действительно большого прогресса, но перехлесты здесь ни к чему. Нередко пишут, что у белорусов большая пенсия. Она действительно выше российской, но не столь уж существенно. У нас средняя июньская составила в пересчете 81,6 доллара, в Белоруссии - 87,4.
Другое дело - степень расслоения в обществе на состоятельных и малоимущих граждан. У соседей этот показатель заметно ниже, чем в нашей стране. Насколько? В прессе назывались разные цифры. "Если в России соотношение богатых и бедных составляет примерно 1:27, то в Белоруссии всего один к трем, трем с половиной", - говорилось в одной из недавних публикаций "Труда". Это неверные данные. Чтобы получить информацию из первых рук, я обратился в Министерство статистики Белоруссии и соответствующую Федеральную службу России.
"Доходы 10-процентной группы наиболее обеспеченного населения превышают доходы такой же по численности группы наименее обеспеченных граждан не в 3, а в 5,2 раза", - сказали мне в Минске. В России же это соотношение в первом полугодии было не 1:27, а 1:14,5. Конечно, и такой разрыв в доходах можно считать чрезмерным. Но плохо здесь не то, что у нас много богатых (это можно приветствовать, если деньги заработаны честно), а то, что много в стране бедных. В этом плане у соседей общество более однородно. Однако сравнивать, как это делают некоторые, Белоруссию со Швецией, оперируя показателями социальной дифференциации, некорректно, потому что в целом живут скандинавы так, как ни нам, ни белорусам и не снилось. Белоруссия в экономической и социальной сферах допускает значительно меньше ошибок, чем Россия, - говорит Игорь Николаев, руководитель департамента компании ФБК, ведущей аналитические исследования. - Потому что во многом учится на наших ошибках. Одни страны СНГ, например, Казахстан, действуют на опережение. И Астана здесь добивается заметных успехов. А можно проводить политику выжидания, стараясь не повторять чужих ошибок. Белорусы, сознательно или нет, выбрали именно такой путь. Они не спешат с реформами в электроэнергетике, пенсионной сфере, жилищно-коммунальном хозяйстве. Это не приносит впечатляющих результатов, но лучше, чем непоследовательность и шараханье, что не раз за последние полтора десятилетия демонстрировали российские власти.
Приведённая таблица, составленная по материалам Министерства статистики Белоруссии и Росстата, показывает, какая часть граждан имела денежные доходы ниже прожиточного минимума в 90-х годах и после 2000-го. Данные - в процентах от общей численности населения. [Таблица Б.1]
Следующая таблица показывает покупательную способность среднедушевых располагаемых денежных доходов (в месяц; данные за первый квартал 2005-го). [Таблица В.1]
РОССИЙСКАЯ ФЕДЕРАЦИЯ. Про нашу страну было уже сказано достаточно много, но хотелось бы привести вашему вниманию некоторые цифры точнее. По уровню жизни Россия заняла 57-е место из 177.
Россия занимает 57-е место среди стран мира по уровню развития человеческого потенциала - между Болгарией и Ливией. Об этом говорится в докладе, подготовленном Программой развития ООН.
Россию опережают такие страны как Барбадос (29-е место), Коста-Рика (45-е место), Багамские острова и Куба - (51-е и 52-е места соответственно).
Эксперты ООН составили индекс развития человеческого потенциала (ИРЧП) в 177 странах мира. В основе рейтинга лежит анализ статистических данных по трем основным направлениям развития человека - продолжительности жизни, уровню образования и доходам.
В соответствие с оценками экспертов, в пятерку стран, возглавляющих список, входят Норвегия, Швеция, Австралия, Канада и Нидерланды.
США занимают восьмое место, Великобритания - 12-е, Франция - 16-е, Германия - 19-е место.
По данным Программы развития ООН, все страны СНГ относятся к странам со средним уровнем развития человеческого потенциала. Ближе всего к России в этом рейтинге расположена Белоруссия - она занимает 62-е место, затем следуют Украина (70-е) и Казахстан (78-е). В конце списка, включающего наименее развитые страны, находятся в основном страны Африки - Гвинея Биссау, Бурунди, Мали, Буркина-Фасо и Нигер. Самой слаборазвитой страной в мире, по мнению экспертов ООН, является Сьерра-Леоне.
Ниже приводятся данные о продолжительности жизни в различных странах мира. Дольше всего люди живут в Японии - почти 82 года. Жителям Швеции и Исландии удается дожить до 80, а в Австралии, Канаде, Швейцарии - до 79 лет. В России в среднем живут до 67 лет. Граждане Грузии, являются своеобразными долгожителями на пространстве СНГ - 73 года. В Армении, Азербайджане средняя продолжительность жизни достигает 72 лет, а в Белоруссии и Украине 70 лет. В Свазиленде и Сьерра-Леоне средний возраст жителей составляет всего лишь 34 года, а в Зимбабве и Замбии - 33 и 32 года соответственно.
Вскоре Россия обгонит Германию по уровню жизни. К 2050 г. Россия может обогнать по уровню жизни Италию и Германию, а по размеру экономики - еще и Францию с Великобританией, считают аналитики. По совокупному ВВП в долларовом выражении Китай, Бразилия, Россия и Индия к середине столетия опередят шестерку крупнейших индустриальных государств. Аналитики призывают правительство не самоуспокаиваться и проводить структурные реформы.
"Если все пойдет гладко", говорится в опубликованном 1 октября докладе Goldman Sachs "Бразилия, Россия, Индия, Китай - дорога в 2050", в ближайшие годы эти четыре страны станут самым привлекательным в мире местом для инвестиций - как прямых, так и портфельных. Нынешние лидеры мировой экономики - так называемая "большая шестерка" (США, Япония, Великобритания, Германия, Франция, Италия) - на протяжении полувека будут расти в среднем от силы на 2% в год. По мнению Goldman Sachs, это позволит Индии к 2032 г. опередить по объему ВВП Японию, а Китаю - к 2041 г. обогнать по этому показателю США.
По словам старшего аналитика Goldman Sachs, одного из авторов доклада Доминика Уилсона, он с коллегами исходил из того, что нынешние тенденции в экономике четырех развивающихся стран сохранятся и в будущем с поправкой на демографические факторы. Например, расчеты для России основывались на данных Бюро переписи населения США, которые предполагают снижение численности россиян со 144 млн. в 2003 г. до 118 млн. в 2050 г. В прогнозе также учтено замедление роста по мере взросления четырех экономик. Прирост долларового ВВП будет обусловлен на 1/3 укреплением национальных валют четырех стран, а на 2/3 - увеличением производства товаров и услуг. "Чтобы достичь таких результатов, этим странам не надо проводить какую-то специальную экономическую политику с целью повторить чудо "азиатских тигров", - поясняет Уилсон. - Достаточно обеспечить макроэкономическую стабильность, открытость экономики, работать над улучшением государственных и рыночных институтов, инфраструктуры и образования".
"Главный довод в пользу России, - объясняет Уилсон - состоит в том, что в отличие от Бразилии, Индии и Китая она имеет все шансы в обозримом будущем догнать развитые страны не только по размеру экономики, но и по уровню жизни". В период до 2020 г. ВВП на душу населения будет расти, по прогнозу Goldman Sachs, на 7 - 10% в год. Вероятность того, что эти события произойдут в ближайшие 10-15 лет превышает 50%.
Теперь рассмотрим уровни жизни некоторых регионов Российской федерации. Для начала рассмотрим уровни жизни Самарской области.
Согласно результатам исследования, проведённого Российской Академией наук, по сводному интегральному индикатору качества жизни населения за 2004 год область находится на 4 месте среди 89 субъектов РФ. Регион имеет в целом высокие оценки параметров уровня материального благосостояния (6 место) и качества населения (11 место) и средний уровень оценочных значений по качеству экологической ниши (39 место) и состоянию социальной сферы (28 место). По широко используемому в международных сопоставлениях интегральному показателю уровня жизни - индексу развития человеческого потенциала – область занимает 7 место. Данные социологических исследований свидетельствуют о повышении уровня адаптации жителей к современным социально-экономическим условиям (около 70% в 2005 году против 60% в 2003 году). Более половины опрошенных (67,2% против 25% в целом по РФ) в той или иной мере удовлетворены жизнью в Самарской области, причём, в качестве самых значимых жизненных ценностей выступает «семья, близкие отношения», что соответствует западноевропейским стандартам (так, население Ирландии, занявшей первое место в рейтинге стран по уровню жизни, составленном экспертами журнала Economist, также главной ценностью считает «стабильную семью»). [Рисунок Г.1]
Денежные доходы населения. Денежные доходы населения в реальном выражении возросли относительно 2004 года на 12%. Среднемесячные денежные доходы на душу населения достигли 9073 рублей, превысив среднероссийский показатель на 15,6%. По данному показателю область лидирует в Приволжском федеральном округе. Среднемесячная начисленная заработная плата одного занятого в экономике области за 11 месяцев возросла по сравнению с соответствующим периодом прошлого года на 20,7% в номинальном и на 7,1% в реальном выражении и составила 7436 рублей. [Рисунок Д.1]
Денежные расходы населения. Среднедушевые денежные расходы населения составили 9103 рублей (124,9% к 2004 г.). За 2005 год по сравнению с предыдущим годом произошли следующие изменения в структуре денежных расходов населения. Cреднемесячные потребительские расходы в расчете на душу населения сложились в размере 7497 рублей (125,6% к 2004 года). Доля расходов на покупку товаров и оплату услуг снизилась до 82,3%. Отмечен рост расходов населения на приобретение недвижимости и иностранной валюты (соответственно, на 28,8% и 11,4% к уровню 2004 года), увеличилась в 1,9 раза сумма прироста сбережений населения во вкладах и ценных бумагах в финансово-кредитных учреждениях. Остатки рублевых вкладов населения в финансово-кредитных учреждениях на 01.01.2006 составили 17,7 тыс. рублей на душу населения, что в 1,5 раза больше, чем на аналогичную дату предыдущего года. [Рисунок Е.1]
Потребительский рынок. Позитивная динамика реальных денежных доходов населения, оптимизация торговых процессов, развитие системы потребительских кредитов обусловили динамичное развитие рынка товаров и услуг. Оборот розничной торговли в физическом объеме вырос на 13,6% (в РФ – на 12,0%) и сложился в сумме 225,8 млрд. рублей. По обороту розничной торговли на душу населения область сохранила 1 место в ПФО и заняла 2 место в рейтинге регионов РФ. Оборот розничной торговли непродовольственными товарами в физическом объеме против 2004 г. увеличился на 8,8%, продовольственными – на 20,1%, в т.ч. алкогольными напитками и пивом – на 21,0%. По итогам за 2005 год наблюдался рост розничных продаж всех отслеживаемых органами государственной статистики видов продовольственных товаров, в группе непродовольственных товаров, за исключением автомобильных бензинов, тканей и ковровых изделий, выросли объемы продаж всей остальной номенклатуры товаров. Расширение практики потребительского кредитования обусловило заметный рост продаж бытовой техники и электроники: персональных ЭВМ в 1,5 раза, морозильников, телевизоров и видеомагнитофонов цветного изображения в 1,4 раза, стиральных машин, телефонов – в 1,3 раза, продажа легковых автомобилей увеличилась на 2,5%.
Значительно возрос потребительский спрос на услуги общественного питания, за 2005 год оборот общественного питания по сравнению с предыдущим годом в физическом объеме увеличился на 20,8% и составил 9,3 млрд. рублей. По мере увеличения покупательной способности доходов населения растет спрос на рынке потребительских услуг. Доля платных услуг в потребительских расходах населения составила 18,4% против 17,9% в предыдущем году. Объем платных услуг населению увеличился в физическом объеме на 10,1% (в РФ – на 7,5%) и составил 53,3 млрд. рублей. По объему платных услуг на душу населения область сохраняет первое место в ПФО. Значительно возрос потребительский спрос на услуги: физической культуры и спорта - в 1,6 раза; по ремонту и строительству жилья - в 1,3 раза; техническому обслуживанию и ремонту транспортных средств, прачечных - в 1,2 раза; санаторно-оздоровительные – на 15,8%; системы образования - на 14,5%; транспортные - на 14,0%. Рост потребительских возможностей большинства жителей губернии в последние 5 лет подтверждают и данные социологического исследования адаптации населения Самарской области к современным социально-экономическим условиям. По результатам исследования потребительского поведения населения Самарской области, проведенным Самарским областным Фондом социальных исследований, индекс потребительских настроений (ИПН) населения области, построенный на основе оценок респондентами наиболее важных составляющих экономического благосостояния жителей региона, превышает общероссийский показатель.
Согласно исследованию Министерства информационных технологий и связи РФ (2004-2005 гг.) Самарская область в рейтинге готовности регионов к информационному обществу занимает 6 место из 88 регионов России, уступая Москве, Санкт-Петербургу, ресурсодобывающим Ханты-Мансийскому и Ямало-Ненецкому автономным округам и Томской области. Данный рейтинг основан на оценке всех факторов развития информационного общества и оценке использования информационно-компьютерных технологий для развития основных сфер жизнедеятельности общества, а также населением.
Финансирование отраслей социальной сферы. Бюджетная политика Правительства Самарской области носит ярко выраженный социальный характер. В 2005 года на развитие социальной сферы направлено 45,4% общих расходов консолидированного бюджета области. Приоритетными были расходы на образование (15,8%), здравоохранение и спорт (13,9%), социальную политику (13,4%). В развитии отраслей социальной сферы широко применяется программно-целевой метод решения актуальных и приоритетных задач: на территории области продолжалась реализация мероприятий 24 областных целевых комплексных программ социально-культурной направленности на сумму около 2 млрд. рублей.
Теперь давайте рассмотрим уровень и качество жизни населения в такой части Российской Федерации, как Смоленская область.
Если рассматривать нашу область, то она ничем не отличается от множества других областей.
Среднемесячная номинальная начисленная заработная плата в четвертом квартале 2005 года возросла по сравнению с соответствующим периодом прошлого года на 28,2% и составила 7025,2 рубля. Реальная заработная плата увеличилась на 14,3%. Практически не изменилась дифференциация заработной платы по видам экономической деятельности. В таких видах экономической деятельности, как финансовая, производство и распределение электроэнергии, газа и воды, транспорт и связь, обрабатывающие производства, строительство и добыча полезных ископаемых, заработная плата превышала среднеобластной уровень в 1,1 - 2,6 раза. Самая низкая величина оплаты труда сохранилась в сельском хозяйстве, охоте и лесном хозяйстве - 3344,4 рубля. Номинальная начисленная заработная плата превысила величину прожиточного минимума трудоспособного населения в 2,6 раза (в четвертом квартале 2004 года - в 2,3 раза).
Средний размер начисленных месячных пенсий в области за четвертый квартал 2005 года составил 2433 рубля и увеличился по сравнению с соответствующим периодом предыдущего года на25,3%, а в реальном исчислении -на 11,7%. В четвертом квартале 2005 года средний размер начисленных месячных пенсий превысил величину прожиточного минимума пенсионе-оана27% (в четвертом квартале 2004года-на 19%).
На последней сессии Смоленского городского Совета принято сразу несколько решений, направленных на улучшение жизни горожан и являющихся своего рода ответами на пожелания избирателей.
Месяц назад, обсуждая оплату труда работников муниципальных учреждений города, депутаты поддержали предложение Алексея Казакова приравнять тарифную ставку I разряда к величине прожиточного минимума. В жизнеспособность этой инициативы не верилось - в первую очередь самим депутатам, которые так и не приняли решение в целом. Вопрос о зарплате бюджетников был включен в повестку дня мартовской сессии, и здесь неожиданно выяснилось, что отказываться от предложения г-на Казакова никто не собирается. В проекте решения, вынесенного на рассмотрение депутатов заместителем начальника финансово-казначейского управления городской администрации Татьяной Васильковой, появился пункт следующего содержания: «Администрации города Смоленска (В. Н. Халецкий), исходя из собственных доходов бюджета города Смоленска, разработать до 30 июня 2006 года предложения поэтапного повышения тарифной ставки (оклада) первого разряда единой тарифной сетки до уровня прожиточного минимума, устанавливаемого администрацией Смоленской области». Г-жа Василькова пояснила депутатам, что срок установлен не случайно - подведение итогов исполнения городского бюджета в первом полугодии даст администрации возможность определить доходный источник, позволяющий улучшить материальное благосостояние бюджетников. Очень интересны наши цены на транспортное топливо, которые постоянно увеличиваются. [Таблица Ж.1]
В чем можно не сомневаться уже сейчас, так это в том, что с 1 мая 2006 года тарифная ставка I разряда увеличится с 800 до 1100 рублей (рост на 37,5 процента): это повышение заложено в городском бюджете на 2006 год. [Таблица З.1]
Как выяснилось, автор сенсационного предложения Алексей Казаков в соответствии с требованиями законодательства передал в финансово-казначейское управление администрации некие предложения, позволяющие, по его мнению, найти средства, необходимые для увеличения зарплат бюджетникам. Он также привел в пример МУП «Смоленсктеплосеть», где тарифная ставка I разряда, по его сведениям, достигла 2400 рублей, практически сравнявшись с величиной прожиточного минимума, и предложил сотрудникам администрации Смоленска не отставать. Об итогах изучения предложения депутата специалистами администрации должно стать известно на следующей сессии.
Примечательно, что вопрос о возможности или целесообразности увеличения тарифной ставки I разряда до величины прожиточного минимума даже не обсуждался! Это означает, что с 1 января следующего года заработная плата работников муниципальных бюджетных учреждений может существенно увеличиться. Значит, возможно, увеличится и уровень жизни нашего города. [11]
Заключение
Итак, рассмотрев все вышеуказанные вопросы можно сказать, что уровень жизни населения России постоянно изменяется. Но если смотреть тенденции этого изменения, то видно явное снижение уровня жизни населения России в последние годы.
На основании изложенного сделаем ряд выводов:
Во-первых, несмотря на то, что и доходы и расходы населения с каждым годом растут, разница между доходами и расходами снижается. Это далеко не положительно влияет на благосостояние населения России.
Во-вторых, экономико-статистический анализ уровня жизни населения России имеет несколько отраслей, важнейшей из которых является статистика домашних хозяйств населения. Показатели, изучаемые в данной отрасли, используются в изучении мероприятий по социальной защите населения России.
В-третьих, с помощью экономико-статистического анализа можно изучать обеспеченность населения социальными благами, то есть достаточно ли в том или ином регионе России работников здравоохранения, лечебных учреждений, а также существует ли необходимое число учреждений отдыха, театров, музеев необходимых для поддержания высокого культурного уровня населения России.
В-четвёртых, экономико-статистический анализ уровня жизни населения России проводится для того, чтобы улучшать те или иные условия жизни населения. Но, в настоящее время, в нынешней нестабильной экономической ситуации делать это становится все сложнее.
Обеспечение сельскохозяйственных предприятий трудовыми ресурсами и их рациональное использование, рост производительности труда и, на этой основе, повышение оплаты труда – важнейшее условие успешного развития сельского хозяйства и превращение его в высокоэффективную и высокопроизводительную отрасль.
Уровень жизни и социальная защита населения являются важной функцией государства. Рынок сам по себе не может регулировать эту сферу, поэтому обязанность регулирования в этой сфере возлагается на государство. Непродуманная политика государства в этой области может привести к росту социальной напряженности.
Анализ изменений в уровне жизни населения России в последние годы показал, что сохранение низкого жизненного уровня большинства населения блокирует ее экономическое развитие, усугубляет ее социально-политическую нестабильность. Социальная политика в России остается пассивной и не адекватной сложившейся напряженной ситуации. Все большее число граждан, общественно-политических сил выступают за смену курса социально-экономических преобразований в стране.
Финансирование данной сферы явно недостаточно. Для решения этой проблемы необходим перевод теневой экономики в легальное положение, в том числе и за счет снижения налогов. Необходимо оздоровление экономики, повышение уровня реальной заработной платы, которая должна явиться стимулом роста производительности труда, экономической активности населения. Это с одной стороны приведет к росту налоговых отчислений и следовательно увеличению доходной части бюджета. А с другой стороны к снижению доли граждан, реально нуждающихся в помощи государства.
При нынешней скудности финансовых ресурсов необходимо перейти от принципа социальной помощи всем гражданам к адресной помощи тем, кто в ней действительно нуждается. Должен быть усилен контроль за использованием средств внебюджетных целевых фондов, усилена ответственность за нарушение законодательства. Следует надеяться, что политика в области социальной защиты населения будет более грамотной, что приведет к повышению уровня жизни граждан, обеспечению достойной жизни пенсионеров, сирот, инвалидов и других социально незащищенных слоев населения.
В этих целях первоочередное значение приобретает поэтапное доведение минимальных и других фиксированных доходов населения до величины прожиточного минимума. Именно такой подход, заложен в Федеральном законе «О прожиточном минимуме в Российской Федерации», принятом Государственной Думой в апреле 1997 года (отклонён Советом Федерации). Необходимо также принять экстренные правовые, экономические и административные меры по ликвидации имеющейся задолженности по заработной плате, введению механизма возмещения материального ущерба при задержках с выплатой заработной платы.
Список использованной литературы
Булатова, А.С. Экономика/ под ред. А. С. Булатова – М.: ЭКОНОМИСТЪ.: - 2003 г.
Видяпин, В.И. Экономическая теория/ под ред. В.И. Видяпина – М.: ИНФРА-М., - 2003 г.
Добрынин, А.И. Экономическая теория/ под ред. А.И. Добрынина - С. – П.: ПИТЕР.: - 2001 г.
Елисеева, И.И. Социальная статистика/ под ред. И.И. Елисеевой- 3-е изд.,- М.: Финансы и статистика, 2002 г.
Носова, С.С. Экономическая теория/ С.С. Носова- М.: Дашков и К., - 2003 г.
Романов, А.Н. Уровень жизни населения/ А.Н. Романов, В.М Жеребин – М.: Юнити-Дана., - 2002 г.
Абакумова, Н.Н. Политика доходов и заработной платы/ Н.Н Абакумова, Р.Я. Подовалова - Новосибирск: НГАЭиУ; М.: ИНФРА-М, - 1999
Наш уровень жизни – их уровень смерти// газета «Донбасс» - № 149 (21008), 13 августа 2005 г.
Газета «ИЗВЕСТИЯ КАЗАХСТАН», № 220(1249), - 2005 г
«Российский экономический журнал», - №7, 2000 г.
Смоленская областная общественно-политическая газета «Рабочий путь», - №67, 2006 г.
Аналитический вестник Совета Федерации ФС РФ, - № 27 (279) – 2005 г.
Закон города Москвы от 15. 06. 2002 г. № 23 "О прожиточном минимуме в городе Москве"
«Основные социально-экономические показатели России» - Госкомстат РФ., - 2001 г.
Федеральный закон №123-ФЗ от 24. 10. 97 г. «О прожиточном минимуме в РФ»
Приложение А
ВВП на душу населения
Рисунок А.1 - Сравнение ВВП различных стран мира.
Приложение Б
Прожиточный минимум в России и Белоруссии
Таблица Б.1 - Денежные доходы ниже прожиточного минимума в России и Белоруссии
Приложение В
Покупательная способность населения России и Белоруссии
Таблица В.1 - Покупательную способность среднедушевых располагаемых денежных доходов (в месяц; данные за первый квартал 2005-го).
Приложение Г
Уровень жизни Самарской области
Рисунок Г.1 - Основные индикаторы уровня жизни населения Самарской области.
Приложение Д
Денежные доходы в Приволжском федеральном округе
Рисунок Д.1 - Среднедушевые денежные доходы в Приволжском федеральном округе в процентах от величины среднедушевых денежных доходов в Самарской области (за сентябрь 2005 года).
Приложение Е
Денежные расходы населения Самарской области
Рисунок Е.1 - Денежные расходы населения Самарской области за 2005 г.
1 – покупка товаров;
2 – оплата услуг;
3 – обязательные платежи и разнообразные взносы;
4 – прирост сбережений во вкладах и ценных бумагах;
5 – расходы на покупку недвижимости;
6 – расходы на приобретение иностранной валюты;
7 – изменение задолженности по кредитам;
8 – изменение остатка средств на счетах физических лиц-предпринимателей.
Приложение Ж
Цены на транспортное топливо
Таблица Ж.1 - Изменение цен на рынке автомобильного топлива в 2005 г. (в %).
Наименование марки бензина
Декабрь 2005 к
Среднемесячное изменение цен
с начала года
ноябрю 2004
декабрю 2003
Бензин
99,96
130,5
2,4
марки А-76
99,9
130,1
2,4
марки А-92 (АИ-92)
100,0
130,7
2,5
Приложение З
Цены и тарифы на коммунальные услуги
Таблица З.1 - Цены и тарифы на жилищно-коммунальные услуги в декабре 2004 года по г. Смоленску.
Наименование
В рублях
В % к предыдущему месяцу
В % к соответствующему
месяцу предыдущего года
Квартирная плата в домах
муниципального жилищного фонда,
1 м2 общей площади
0-43
100,0
153,6
Оплата эксплуатационных расходов в
домах ЖСК,1 м2 общей площади
0-22
100,0
169,2
Проживание в студенческом общежитии,
за месяц с 1 человека
41-00
100,0
127,1
Плата за водоснабжение и канализацию,
за месяц с 1 человека
7-02
100,0
135,0
Плата за отопление,
1 м2 общей площади
0-88
100,0
191,3
Плата за горячее водоснабжение,
за месяц с 1 человека
13-60
100,0
108,9
Плата за электричество
(основной тариф в квартирах
без электроплит), 100 кВт-ч
40-00
100,0
133,3
Плата за газ сетевой,
за месяц с 1 человека
4-90
100,0
100,0
Плата за газ сжиженный
в баллонах, 50 л
99-00
100,0
112,5
Нравится материал? Поддержи автора!
Ещё документы из категории экономика:
Чтобы скачать документ, порекомендуйте, пожалуйста, его своим друзьям в любой соц. сети.
После чего кнопка «СКАЧАТЬ» станет доступной!
Кнопочки находятся чуть ниже. Спасибо!
Кнопки:
Скачать документ