Увеличение доходности предприятия






































СОДЕРЖАНИЕ
Введение
Глава 1. Социально-экономическое значение увеличения доходности предприятия
Понятие и сущность дохода предприятия
Источники формирования доход предприятия
Глава 2. Анализ доходности предприятия
2.1. Общая характеристика производственно- хозяйственной деятельности ТОО «Turkuaz Group of Company» и оценка его технико–экономических показателей за 2006-2007 г.г.
2.2. Анализ показателей доходности предприятия
2.3. Анализ абсолютных показателей доходности
2.4. Анализ относительных показателей доходности
Глава 3. Пути улучшения доходности предприятия
3.1. Увеличение совокупного дохода за счет сдачи в аренду не используемые cклады
3.2. Увеличения дохода предприятия за счет сокращения стоимости оборотных фондов
Заключения
Список использованной литературы
Введение
В условиях рыночных отношений и получения предприятиями полной самостоятельности практически во всех областях предпринимательства важнейшей категорией рыночной экономики является доход. Именно при этом условии предприятие может стабильно существовать и обеспечивать себе основу для роста. Стабильный доход предприятия проявляется в виде дивиденда на вложенный капитал, способствует привлечению новых инвесторов и, следовательно, увеличению собственного капитала предприятия. Поэтому становится ясным интерес к проблемам доходности деятельности предприятия. Доход, прочие, ее максимизация выступает непосредственной целью производства в любой отрасли национальной экономики. Производители однако, могут сталкиваться с особыми ситуациями, выдвигающими на первый план решения проблем, не укладывающихся в русло максимизации дохода или даже вызывающих противоречия с этой целью: например резкое снижение цен для выхода на новые рынки или проведение дорогостоящих рекламных компаний для привлечения потребителей, осуществление мер экономического порядка.
Но все подобные шаги носят все же тактический характер и в конечном счете подчинены решению главной стратегической задачи – получение возможного большого дохода.
Основной целью данной работы является выявление путей увеличение доходов предприятия, максимальное экономичное использование денежных средств, повышение ликвидности, снижение дебиторской задолженности, улучшение экономического состояния денежных средств.
Задачей данной работы является изучение экономической сущности дохода, методов сущности доходности, показателей доходности, изложение основ анализа, проведения анализа доходности и на основе анализа вывить пути улучшения доходности.
Актуальность темы. Доходы играют большую роль для предприятия не возможно нормальное функционирование без доходов. Без доходов у предприятия нет перспектив для развития, для расширения производства, для увеличения объемов производство. Доход является кислородом, которым дышит предприятие. Доходностью предприятия интересуются акционеры, налоговые органы, партнеры, любое юридическое лицо, которое сотрудничает, и те, которые имеют какие-либо взаимоотношения.
Данная дипломная работа состоит из трех глав, введения, заключения и списка использованной литературы.
В первой главе рассмотрены теоретические аспекты доходности предприятия, виды и показатели доходности.
Во второй главе проделаны анализы доходности предприятия, абсолютные и относительные величины доходности.
В третьей главе предложены мероприятия по увеличению доходномти предприятия.
Глава 1. Социально-экономическое значение увеличения доходности предприятия
1.1. Понятие и сущность дохода предприятия
С переходом экономики государства на основы рыночного хозяйства усиливается многоаспектное значение дохода. Акционерное, арендное, частое или другой формы собственности предприятие, получив финансовую самостоятельность и независимость, вправе решать, на какие цели и в каких размерах направлять доходы оставшиеся после уплаты налогов в бюджет и других обязательных платежей и отчислений.
Получение дохода – непременное условие и цель предпринимательства любой хозяйственной структуры оценивается эффективность хозяйствования, прибыль – главный источник финансирования экономического и социального развития; прибыльность служит основным критерием выбора инвестиционных проектов и программ оптимизации текущих затрат, расходов, финансовых вложений.
Таким образом, прибыль (и ее относительная модификация – рентабельность) обрела важнейшую, ведущую роль в новом хозяйственном и финансовом механизме управления социально-экономическим развитием. Это – база финансовой устойчивости и обеспечения доходов предприятий, государства, населения.
Доход – как критерий эффективности воспроизводства и как показатель, имеющий две границы – объем производства продукции или услуг (реализации) и себестоимость – обладает одним важным свойством: она отражает конечный результат интенсивного и экстенсивного развития. Последнее связано с фактором роста объема производства и естественной экономии от относительного снижения условно-постоянных элементов себестоимости: фонд оплаты труда (соответственно – начисления, идущие во внебюджетные фонды), амортизация, энергетическое топливо, платежи бюджету за ресурсы, внепроизводственные и некоторые другие расходы. В отечественной практике при анализе дохода этот фактор выделяется редко.
Что касается процесса планирования прибыли и себестоимости, то он демократизировался, т.е. ушел от центра к предприятиям, которые избавлены от контроля сверху до момента налогообложения. Однако в случае снижения объема производства и реализации продукции падение прибыли и рентабельности происходит в опережающем снижении объема темпе. Особенно чувствительно такое негативное явление для «подстегивания» инфляции: ведь относительная экономия на условно-постоянных расходах, в частности на оплате труда (кроме сдельщиков), превращается в перерасход. И чем быстрее падает объем, тем еще резче должен сокращаться доход подрывая и без того нестабильную доходную базу бюджета.
Доход – денежные или иные ценности, получаемые в результате какой-либо деятельности.
Доход – результат производственно-хозяйственной деятельности, получаемый как разница между стоимостью реализованной продукции и услуг и произведенными затратами.
Доход – это денежная сумма регулярно и законно поступающая в непосредственное распоряжение субъекта рыночных отношений. При этом необходимо подчеркнуть следующие моменты:
Доход, как правило, представлен деньгами;
Регулярность получения;
Критерий законности.
В широком смысле «доход – это денежная оценка результатов деятельности любого субъекта рыночной экономики (юридического и физического лица)». Это определение является полным, поскольку не включает в число доход от получателей тех, кто уже или еще не может участвовать в экономической деятельности. Чьи денежные доходы поступают в форме трансфертных, т.е. возвратных платежей из бюджета.
Доходы различают по источнику, способом, регулярности и очередности получения. Доход может приносить собственность на факторы производства, они могут быть получены частным лицом, предприятием, государством в наличной или безналичной форме. Причем поступать как регулярно, так и однократно, выплачивается иногда строгой последовательности (например, при банкротстве предприятия).
Можно сказать, что доходы совершает в экономике своеобразный кругооборот. Доходы поступают в семью, в обмен на факторы производства (труд, землю, капитал, предпринимательскую деятельность).
Обмениваясь на товары и предоставляя семье услуг, они превращаются в доходы тех, кто произвел эти товары и предложения услуг. Часть средств пойдет на финансирование экономической деятельности, что обеспечит семью доходами в будущем. Свою долю доходов получит и государство. Оно подлежит экономически слабых и неимущих, создаст лучшие условия для функционирования экономики в целом. Это позволит семье не только увеличить свои доходы, но и более щедро обеспечивать поступления средств в бюджет, создавая благоприятные условия для выполнения государством его функций, в том числе экономических.
Доход в рыночной экономике используется как важнейший инструмент государственного регулирования деятельности субъектов хозяйствования, прежде всего через механизм налогообложения. Расчет налогооблагаемого объекта тесно связан с порядком доходности. Многие промышленные предприятия и объединения имеет своих основных поставщиков. Их доход имеет прямое отношение к понятию себестоимости. Себестоимость складывается из затрат, связанных с использованием в процессе производства продукции природных, трудовых и материальных ресурсов, основных фондов, а также других расходов на ее выпуск и реализацию. В последнее время состав затрат, включаемых в себестоимость имеет тенденцию к возрастанию. Это в определенной мере снижает доходы бюджета. Проблема деления расходов на включаемые в себестоимость и относимые на финансовые результаты или иные источники, рассматривалась уже многими экономистами.
Из состава себестоимости следует также исключить налог на пользователей автомобильных дорог, которые по своему экономическому содержанию близок к платежам на природные ресурсы увеличение себестоимости и, следовательно, цены продукции за счет включения в нее налогов вызывает дополнительную потребность предприятий-потребителей в оборотных средствах. В целом включение налогов в себестоимость приводит к отвлечению оборотных средств потребителей от использования их на цели производства. Это также создает у предприятий дополнительную потребность в оборотных средствах, которую они вынуждены покрывать за счет кредитов банка под высокие проценты, что отрицательно сказывается на финансовом состоянии предприятий.
В состав себестоимости включаются повышенные затраты на производство новых видов продукции в период их освоения, а также расходы по подготовке и освоению выпуска изделий, не предназначенных для массового производства выпуска. Все другие расходы, связанные с подготовкой и освоением новых видов продукции и технологических процессов, возмещаются из чистого дохода. В результате у предприятий появляются возможности для включения вышеназванных расходов, относимых за счет дохода в состав себестоимости продукции. При этом создаются определенные трудности в организации контроля за правильностью формирования себестоимости. Размер же получаемого дохода и соответственно платежей в бюджет снизится.
В целях равномерного включения предстоящих расходов в издержке производства и обращения отчетного года предприятие может создавать резервы: на предстоящую оплату отпусков работникам; на выплату ежегодного вознаграждения за выслугу лет; расходов на ремонт основных средств; производственных затрат по подготовительным работам в сезонных отраслях промышленности. Среди этих резервных фондов необходимо выделить ремонтный, отчисления в который в соответствии с действующим законодательством производятся равными долями и включаются в состав себестоимости продукции. Такой порядок формирования этого рода фонда вполне обоснованно, ведь главное для него обеспечить простое воспроизводство основных средств.
Затраты, образующие себестоимость продукции (работ, услуг), группируются по экономическим элементам, одним из которых являются расходы на оплату труда. В состав последних входят премии за производственные результаты и оплаты простоев не по вине работника. Работники предприятия должны быть заинтересованы в увеличении предприятия. Если премии являются частью себестоимости продукции, снижается их заинтересованность в ее росте.
Таким образом, целесообразно ряд расходов оплачивать из доходов остающейся в распоряжении предприятия. Исключение их из себестоимости продукции будет способствовать росту конечных результатов деятельности предприятий, снижению цен, увеличению доходов бюджета, эффективному использованию имеющихся ресурсов, повышению заинтересованности в получении дохода.
Формирование прибыли в условиях рынка имеет первостепенное значение для определения налогооблагаемых сумм доходов.
Основную цель деятельности любого производителя (фирмы, делового предприятия) составляет максимизация дохода. Возможности ее получения ограничены, во-первых, издержками производства и, во-вторых, спросом на произведенную продукцию.
Производители, однако, могут сталкиваться с особыми ситуациями, выдвигающими на первый план решения проблем, неукладывающихся в русло максимизации дохода, или даже вызывающих противоречия с этой целью: например, резкое снижение цен для выхода на новые рынки или приведения дорогостоящих рекламных компаний для привлечения потребителей, осуществления мер экологического порядка и т.п. На все подобные шаги носят все же тактических характер и, в конечном счете, подчинены решению главной стратегической задачи – получения возможно большого дохода.
Главным ограничителем дохода являются издержки производства. К их определению и измерению существуют разные подходы, в которых можно выделить взгляд экономиста, ориентированный на перспективу фирмы, и позицию бухгалтера, которых, прежде всего, интересует финансовые отчеты и балансы предприятия.
Поскольку все виды ресурсов ограничены, любое решение о производстве какого-либо товара предполагает отказ от использования тех же ресурсов для выпуска какого-то иного изделия. Таким образом, все издержки представляют собой альтернативные затраты. Точнее говоря, затраты любого ресурса привлеченные для производства товаров, отражают его ценность при наилучшем из всех альтернативных вариантов использования или ценность тех альтернативных возможностей, которыми приходится жертвовать. Например, металл, истраченный на производство вооружения уже невозможно применить для изготовления медицинского оборудования или автомобилей. И если рабочий способен производить как вооружение, так и медицинское оборудование, то издержки, которые общество несет при использовании этого рабочего на военном заводе, будут равны вкладу, который он мог бы внести в производство медицинского оборудования.
Следует дать следующее определение экономическим издержкам: экономические издержки фирмы – это те выплаты, которые она обязана сделать владельцам ресурсов, чтобы привлечь эти ресурсы для определенного производственного процесса и отвлечь их тем самым от альтернативных вариантов применения. Все альтернативные издержки, которые понесет фирма в процессе производства, могут быть либо внешними (фактическими, явными), либо внутренними (неявными).
Внешние издержки принимают форму денежных платежей поставщикам факторов производства, промежуточных изделий и деловых услуг. Здесь говорится о заработной плате рабочих и служащих, расходах на сырье и материалы, комиссионных вознаграждениях торговым фирмам, взносах банкам и другим финансовым учреждениям, расчетах за юридические консультации, транспортные услуги и т.п. Другими словами, внешние издержки представляют собой плату за ресурсы поставщикам, самостоятельным по отношению к данной фирме, не принадлежащим к числу ее владельцев.
В процессе производства фирма может также использовать ресурсы принадлежащей ей самой. В этом случае она несет внутренние издержки. Они не предусмотрены контрактами, обязательными для внешних платежей, и поэтому не приобретают денежную форму. С точки зрения фирмы, они равны денежным платежам, которые могли бы быть получены за собственный ресурс при наилучшем из альтернативных способов его применения. Так, если фирма использует одно из принадлежащих ей знаний, то она не несет никаких внешних издержек в виде арендной платы. Однако внутренние издержки есть, так как фирма теряет возможность получения денег, сдавая это здание кому-либо в аренду. Хотя внутренние издержки не отражаются в бухгалтерской отчетности, они существуют вполне реально и соответственно влияют на принятие экономических решений: которые обязательно должны учитывать упускаемые возможности лучшего использования собственных ресурсов производителя.
Величина же превышения доходов от реализации продукции над ее экономическими издержками образует экономическую или чистую прибыль, т.е. доход предпринимателя, полученный сверх нормального дохода.
Экономическую прибыль следует отличать от прибыли бухгалтерской, которая представляет собой разность валового дохода и внешних (денежных) платежей фирмы. Стало быть, экономическая прибыль превышает бухгалтерскую на величину внутренних издержек.
Затраты, которые фирма несет при производстве того или иного объема продукции зависят не только от цен на необходимые ресурсы, а и от технологии и, от того, какие именно ресурсы применяются и в каком количестве.
Сказанное позволяет различить в зависимости от времени, затрачиваемого на изменение количества используемых в производстве ресурсов, краткосрочный и долговременный периоды в деятельности фирмы. Краткосрочный – тот, в течении которого предприятие не может изменить свои производственные мощности. В этот период оно в состоянии добиваться сдвигов лишь в интенсивности использования этих мощностей – через ресурсы (сырье, топливо, энергия, живой труд и т.п.), которые поддаются быстрой корректировке. Долговременный период – такой, что достаточен для изменения количества всех привлекаемых ресурсов, включая производственные мощности.
Краткосрочный и долговременный периоды на являются строго определенными интервалами, одинаковыми для всех отраслей. Последние различаются, прежде всего, по возможностям изменения производственных мощностей, а не по продолжительности. Например, в легкой промышленности эти изменения могут быть довольно быстро осуществлены (так, предприятие по пошиву одежды расширит свои производственные мощности за несколько дней, установив дополнительные столы для раскроя тканей и швейные машины). В тяжелой промышленности этот процесс требует значительно большего времени (например, для строительства нового нефтеперерабатывающего завода может понадобиться несколько лет).
Как уже видно из сказанного, в течение краткосрочного периода фирма может изменить объем производства путем присоединения переменных ресурсов к фиксированным мощностям. К примеру, на небольшом предприятии по производству велосипедов при постоянном количестве оборудования владелец может больше рабочих для его обслуживания. Чтобы принять решение о том, сколько людей нанять, он должен знать, как возрастает количество выпускаемых изделий по мере увеличения числа работников.
В самом общем виде динамику объема производства, связанную с все более интенсивным использованием фиксированных мощностей, описывает так называемый закон убывающей отдачи, или закон убывающего предельного продукта. Согласно этому закону, последовательное присоединение добавочных единиц переменного ресурса (например, труда) к фиксированному ресурсу (например, капиталу или земле) начиная с определенного момента, приводит к уменьшению добавочного, или предельного продукта, получаемого в расчете на каждую дополнительную единицу переменного ресурса. Это означает, что если количество рабочих, обслуживающих данное производственное оборудование, будет возрастать, то наступит момент, когда рост объема производства будет происходить все медленнее по мере привлечения каждого дополнительного рабочего.
Для того, чтобы лучше понять этот закон, стоит привести пример с той же велосипедной фирмой. Предположим, что на ней было занято только трое рабочих. По мере увеличения этого количества появляется возможность и дополнительной специализации, в результате снижаются потери времени при переходе от операции к другой, производственные мощности используются более полно. Таким образом, каждый добавочный рабочий вносит все больший вклад (дает все больший добавочный, или предельный продукт) в общий объем производства. Однако на определенном этапе занятых станет слишком много; рабочее пространство, производственное оборудование окажутся «перенаселенными». Пять человек сможет обслужить линию сборки лучше, чем три, но если рабочих станет десять, они начнут мешать друг другу. Им придется простаивать, чтобы воспользоваться тем или иным оборудованием. В итоге каждый добавочный рабочий будет вносить все меньший вклад в общий объем производства по сравнению со своими предшественником. Приведенный пример относится к обрабатывающей промышленности. Но та же закономерность обнаруживается, в частности, и в сельском хозяйстве, когда в качестве переменного ресурса берутся удобрения, а фиксированного– количество обрабатываемой земли. С внесением большого количества удобрений урожай будет увеличиваться, но с определенного момента прирост на каждую дополнительную внесенную тонну станет сокращаться. Более того, переизбыток удобрений чреват полной гибелью урожая.
Закон убывающей отдачи применим ко всем производственным процессам и ко всем переменным ресурсам, когда, по меньшей мере, один производственный фактор остается неизменным.
Взаимосвязь между количеством используемых ресурсов и достигаемым объемом производства в натуральных показателях представляет собой важное ограничение деятельности фирмы, анализ которого, следовательно, должен, играть важную роль в управлении. Однако большинство деловых решений принимаются на основе не натуральных, а денежных показателей. Отсюда вытекает необходимость объединение данных о производстве, полученных на базе анализа закона убывающей отдачи, с данными о ценах на ресурсы. Такой подход позволяет определить динамику общих издержек производства различных объемов продукции и издержек в расчете на ее единицу.
Теперь ответим на вопрос: при каком уровне производства производитель получает максимальный доход? Для этого нужно проанализировать, с одной стороны, внутренние возможности фирмы (ее издержки при разных уровнях производства), а с другой стороны – внешние факторы, и, прежде всего цены, существующие на рынке. В связи с этим следует упомянуть рыночные ограничения деятельности фирм, порожденные конкуренции. Производитель может установить на свой товар любую цену, но не в его власти продать по этой цене желаемое количество продукции. Дело здесь в том, какое количество продавцов аналогичных товаров, объем их предложения, формы конкуренции, размеры потребительского спроса.
В зависимости от того, какую роль играет отдельный производитель в установлении рыночной цены, различают рынки совершенной и несовершенной конкуренции. Как известно, рынок совершенной конкуренции представляет собой идеальную модель для исследования поведения отдельных действующих лиц рыночной экономики. На рынке такого типа оперирует чрезвычайно большое количество продавцов и покупателей одноименных продуктов, доля каждого из них незначительна, а товары, предлагаемые различными фирмами, не имеют отличий. В итоге отдельный продавец не может определять цены (как, впрочем, и покупатель). Поэтому в рамках такого рынка фирма вынуждена приспосабливать свои собственные показатели (затраты, объем производства) к главному ориентиру, заданному извне, – рыночной цене. Поскольку же она выступает предопределенной и доля фирмы в общем объеме производства данного конкретного товара невелика, в глазах самой компании спрос потребителей на ее продукцию абсолютно эластичен. Иными словами, отдельная фирма может продать любое количество товара, произведенного на ее мощностях, по рыночной цене. В качестве примера, наиболее близкого к этой теоретической модели, обычно рассматривают рынок сельскохозяйственных продуктов или, реже, рынок бытовых услуг в рамках крупных промышленных центров.
Поскольку доход исчисляется как разница между доходами и издержками, возникает необходимость сопоставления этих величин при разных объемах выпуска, на который способна фирма. Здесь также есть возможность выбора: провести сравнение валовых показателей либо проанализировать предельные величины.
Сравнение валовых издержек и валового дохода дает однозначный на первый взгляд ответ: следует производить такое количество товара, при котором разница между валовым доходом и валовыми издержками будет максимальна. Но мы уже видели, что в краткосрочном периоде валовые издержки распадаются на переменные и постоянные, причем последние никак не связаны с объемом производства, существуют даже при нулевом выпуске. В случае, если по каким-то причинам фирма будет закрыта до того, как успеет произвести хотя бы одну единицу продукции, понесенные ею постоянные издержки автоматически превратятся в убытки. Если же затраты настолько велики, а ожидаемые настолько малы, что фирма не в состоянии покрыть даже переменные издержки, придется остановить производство, закрыть предприятие, распродать имущество.
В длительном периоде, в течение которого все издержки выступают как переменные, фирма должна обязательно покрывать все свои затраты. При этом убытки, возможные в какие-то кратковременные периоды, должны компенсироваться повышенными доходами в другие периоды, такое положение вполне реально во многих случаях – в связи с сезонностью производства и сбыта некоторых товаров, особенностями их продажи, динамики обновления производства. Так, на стадии освоения нового товара убытки практически неизбежны, но потом, когда резко возрастут его выпуск и сбыт, они с лихвой компенсируются. В целом, в любой ситуации важно, чтобы в течение длительного периода времени общая величина доходов превышала общую величину издержек.
Тот же процесс можно описать и с помощью предельных показателей, т.е. сравнивая предельный доход и предельные издержки. Если доход то последней единицы продукции больше, чем затраты на ее создание, то ее следует производить, так как в этом случае валовой доход увеличиться в большей степени, чем валовые издержки. В краткосрочном аспекте выгодно производить то количество товаров, при котором предельные издержки ниже предельного дохода. Сначала предельный доход, как правило, превышает предельные издержки. При определенных объемах производства эти показатели совпадут. С последующим наращиванием этих объемов предельные издержки окажутся выше предельного дохода, и общая величина прибыли начнет уменьшаться. Таким образом, для всех фирм, независимо от остроты конкуренции на рынке, действует правило: фирма получает максимальный доход при этом уровне производства, при котором предельные издержки равны предельным доходам.
Следует обратить внимание на то, что в условиях совершенной конкуренции линия предельного дохода совпадает с линией цен, так как с точки зрения отдельной фирмы спрос на ее товар абсолютно эластичен, и следовательно, не нужно понижать цену при наращивании производства и сбыта. В итоге правило максимизации дохода звучит так: фирма получает наибольшую прибыль, производя такое количество товара, которое обеспечивает равенство предельных издержек цене единицы продукции. При несовершенной конкуренции предельный доход всегда меньше цены, но условие максимизации дохода (предельный доход равен предельным издержкам) тем не менее, сохраняется.
Для полноты картины вспомним о средних издержках. Применительно к короткому периоду они разделяются на средние переменные и средние постоянные. Чем больше разница между предельными и средними издержками при том или ином объеме выпуска, тем выше доход компании. Чем выше цена, а следовательно, предельный доход, тем эта разница будет больше. Но, как мы уже видели, на небольшом отрезке времени фирма может нести убытки. Это произойдет в том случае, если предельные издержки выше средних переменных, но ниже общих средних затрат. Если же при определенной цене предельные издержки ниже средних переменных, стоит подумать, по крайней мере, о сокращении производства. Следовательно, краткосрочное предложение фирмы будет описываться отрезком кривой предельных издержек, лежащим выше точки ее пересечения с линией средних переменных издержек.
Общее рыночное предложение товара сформируется как сумма значений по всем производящим фирмам. На длительном отрезке времени предприятия могут маневрировать объем своих мощностей. И если типичная фирма на небольшом участке имела экономический доход, то это производство станет привлекательным для новых производителей. Наоборот, если большинство предприятий отрасли несет убытки, начинается отток капиталов в другие сферы экономики. Очевидно, что центром, вокруг которого происходит это движение, является точка, в которой типичная фирма имеет нулевой доход (экономическую) т.е. точка, в которой цена совпадает со средними валовыми издержками. Чем легче проникнуть в отрасль новым конкурентам, тем быстрее сократятся сверх доходы и понизятся цены. Чем легче «убежать» из отрасли, тем, при прочих равных условиях, быстрее будет достигнута повышение цен до уровня, гарантирующего нормальный доход производства. Поэтому в условиях несовершенной конкуренции отдельные фирмы стремятся проводить политику, ограничивающую доступ на рынке новым компаниям, что помогает признанным лидерам сохранять сверх дохода в течение длительного времени.
Характер долгосрочной кривой предложения зависит от того, как влияет изменение числа фирм в отрасли на величину издержек. Если отраслевой вопрос на ресурсу невелик по сравнению с общим спросом на данный ресурс, расширение отрасли не оказывает влияния на издержки производства. Такое положение характерно для производств, требующих неспециализированных ресурсов. В этом случае отраслевая кривая долговременного предложения будет абсолютно эластична. Но такой случай не типичен. В большинстве отраслей вступление на рынок новых фирм, увеличивая спрос на ресурсы по сравнению с их предложением, повышает их цены и, следовательно, издержки. Чем выше издержки, тем выше и кривая предложения, тем круче ее наклон. Поскольку рост спроса на ресурсы вызывает увеличение издержек, – как общих, так и нам единицу продукции, – увеличение отраслевого производства произойдет только при более высоких ценах на товар. Таким образом, долгосрочная линия предложения в большинстве случаев имеет восходящую форму.
Доход предприятия, как это принято в странах с рыночной системой хозяйствования, складывается из выручки от реализации продукции (работ. услуг), основных фондов (излишних) и иного имущества предприятия, а также из доходов от внереализационных операций. На практике и в теории этот доход называют совокупным (валовым). Выручку от реализации продукции и оказания услуг называют доходом от реализации. Кроме того, имеются еще такие, как средний и предельный доходы. Каждый из них играет свою роль в управлении финансово-хозяйственной деятельностью предприятия.
Валовой доход (выручка), получаемый предприятием от реализации товара, определяется как произведение рыночной цены на количество проданных единиц:
Вр=Рq
где Вр – выручка от реализации;
Р – цена единицы продукции;
q – количество проданной продукции.
Из формулы следует, что величина валового дохода зависит от уровня продажной цены (Р) и количества проданных товаров (q). В свою очередь, количество проданных товаров (величина спроса) будет завесить от уровня цены. На практике эта зависимость может быть эластичной, неэластичной и единичной, причем каждой из зависимости соответствует определенный коэффициент эластичности: в первом случае он больше единицы, во втором – меньше, в третьем – равен единице.
Физический смысл этих коэффициентов состоит в том, что при коэффициенте эластичности Кэ>1 изменение цены на один процент приводит к изменению спроса более чем на один процент: при Кэ=1 изменение цены на один процент приносит один процент изменения величины спроса; при Кэ<1 изменение цены на один процент вызывает изменение продаж менее чем на один процент
Ориентиром, указывающем на то, когда выручка начнет уменьшаться при снижении цены, является изменение среднего и предельного доходов.
Средний доход представляет собой величину, получаемую от продаж одной единицы товара в среднем за рассматриваемый период:
Таблица 1
Влияние ценовой эластичности спроса на общую выручку (доход)
Величина
коэффициента
Качественное определение эластичности спроса
Количественная характеристика эластичности спроса
Влияние на общую
выручку
Повышение
Снижение
Кэ>1
Эластичный или относительно эластичный спрос
Процентное изменение количества спрашиваемого товара превышает % изменения цены
Выручка уменьшается
Выручка увеличивается
Кэ=1
Единичная эластичность спроса
Процентное изменение количества спрашиваемого товара равно процентному изменению цены
Выручка неизменна
Выручка неизменна
Кэ<1
Неэластичный спрос
Процентное изменение количества спрашиваемого товара меньше процентного изменения цены
Выручка увеличивается
Выручка снижается
или
где Вр – валовой доход;
q – количество проданного товара;
AR – средний доход.
Иными словами, средний доход за определенный период равен средней цене единицы товара за этот же период.
Предельный доход принимается как приращение валового дохода Вр при увеличении реализации товара на одну единицу:
,
Он по существу, показывает эффект от увеличения или уменьшения объема реализации товара, т.е. направление изменений в доходе предприятия в результате принимаемых решений по изменению динамики продаж. Предельный доход является фундаментальным понятием рыночной экономики, поскольку он характеризует приращение дохода в результате увеличения или уменьшения реализации на одну единиц и позволяет предприятию ориентироваться на рынке.
Все расходы на производство несут собственники факторов производства. Поэтому доходы первоначально сосредотачиваются в их руках. А поскольку собственник каждого фактора производства выполняет определенную функцию в рыночном производстве, то первичное формирование доходов получила название «функциональное распределение доходов».
«Функциональные» доходы, зависящие от соотношения спроса и предложения на данный фактор производства, представлены следующими видами:
зарплата наемных работников в рыночном секторе;
жалование служащих в государственном секторе;
прибыль крупных предпринимателей и компаний;
рента земельных собственников и домовладельцев;
доходы мелких собственников (комбинация зарплаты, прибыль, ренты, процента, дивидендов).
В современной рыночной экономике основная часть совокупного дохода общества выражена в «зарплате» и «жаловании».
Иной выглядит характеристика совокупного дохода, когда речь идет о фактическом распределении доходов по отдельным группам населения.
Оно уже зависит от источников поступления доходов, объединения, например прибыль предпринимателя и пособие по безработице. Поскольку фактический размер дохода устанавливает объективную имущественную иерархию социальных групп, то в этом случае принято говорить «вертикальном» распределении доходов.
Между «функциональной» и «вертикальной» характеристиками совокупного дохода имеется существенное отличие. Функциональное распределение сводит совокупный доход к доходам только собственников факторов производства. Вертикальное же распределение есть результат перераспределенного вмешательства в сферу доходов, благодаря чему доходами располагают даже такие группы (например, на трудоспособные или безработные), которые не могли бы их иметь, если бы общество удовлетворялось только функциональным распределением.
Чтобы судить о величине дохода, следует различать его «номинальное» и «реальное» выражение.
Номинальный доход – это сумма денег, поступающая в личное распоряжение получателя.
Реальный доход – это то количество товаров и услуг, которое можно приобрести на данный номинальный доход. Номинальный доход может быть фиксированным (неизменным), а может уменьшаться и расти.
Фиксированный доход. Хотя получатель дохода обладает множеством потребностей, превращение их в реальный платежеспособный спрос на соответствующие товары зависит от ряда факторов, прежде всего – от цен на товары, входящие в индивидуальный потребительский набор, и от величины номинального дохода. Понятно, что изменение соотношения цен в наборе избираемых товаров вызывает изменение платежеспособного спроса (статей расходов) даже при фиксированной величине номинального дохода.
В индивидуальном потребительском наборе всегда представлены три группы товаров: незаменяемые («неэластичные»), взаимозаменяемые («эластичные») и взаимодополняющие. Возможность маневрирования статьями расходов (а, следовательно, и мера эффективности использования фиксированного дохода) определяется удельным весом эластичных товаров в потребительском наборе. Прогрессивные тенденции динамики товарооборота состоят в том, что в его структуре постоянно возрастает доля эластичных товаров («субститутов»). При таком условии один и тот же номинальный доход может иметь различную рыночную эффективность (наполняемость).
Сначала прирост дохода направляется преимущественно на приобретение продтоваров. Однако, такой спрос растет только до «точки насыщения», после которой дополнительные доходы переключаются в основном на не продовольственные товары. Вот почему в экономической теории качество жизни населения принято оценивать по удельному весу расходов потребителей на приобретение продовольственных и промышленных товаров: чем ниже удельный вес этих расходов, тем выше качество жизни.
Использование прироста доходов на долгосрочные товары и услуги – в силу их особой дороговизны – проходит как бы «третьей волной» (после насыщения потребителей продовольственными и промышленными товарами).
Наконец, по мере насыщения продовольственными и промышленными товарами и относительного насыщения товарами длительного пользования начинает увеличиваться процентная доля сбережений в общей структуре личного дохода («норма сбережений»). Уровень нормы сбережений характеризует уровень экономического развития страны: им большая доля дохода направляется на сбережения, тем выше этот уровень.
Иногда практика показывает парадоксы: потребительские расходы отдельных групп превосходят размеры их номинального дохода. Такое возможно при условии, что потребители стали тратить ранее сделанные сбережения и покупать товары в кредит. Сбережения и особенно кредит стали в современной экономике мощным фактором расширения спроса на товары длительного пользования и дорогостоящие услуги. Но этот фактор способен обернуться невозвратностью кредита со всеми вытекающими отсюда негативными макроэкономическими последствиями.
Уменьшение дохода. Это может быть результатом как чрезмерного вмешательства государства в перераспределительные процессы, так и «роковых» рыночных обстоятельств.
Главным следствием уменьшения номинального дохода является переключение его на цели текущего потребителя. В результате возникает парадоксальная ситуация: при уменьшении абсолютных размеров доходов относительно возрастает величина платежеспособного спроса на потребительские товары. Это вызывает нарушение рыночного равновесия, ибо под давлением спроса начинается рост цен.
Второе следствие состоит в том, что сам спрос становится односторонним, он все более ограничивается «незаменяемыми» товарами, входящими в минимальный набор потребительского стандарта. На рынке возникает «перекос»: в то время как отрасли производящие предметы ширпотреба, задыхаются под натиском ажиотажного спроса, другие отрасли задыхаются как раз от отсутствия всякого спроса.
Третьим следствием уменьшения номинального дохода является резкое падение нормы сбережений. Это создаст трудности для всей экономики, так как инвестируемая часть личных сбережений населения образует один из главных источников экологического роста страны.
Таким образом, уменьшение дохода может являться исходным пунктом кризиса, возникающего сначала в виде деформации структуры спроса, но затем охватывающего все отрасли экономики. Поэтому поддержание рыночно-эффективного уровня доходов – одна из главных задач регулирования рыночной экономики.
Возрастание доходов. Это вызывает последовательно расширяющийся спрос на продовольственные товары, затем – на промышленные товары и, наконец, – на товары длительного пользования и услуг.
Сначала прирост дохода направляется преимущественно на приобретение продтоваров.
Однако, такой спрос растет только до «точки насыщения», после которой дополнительные доходы переключаются в основном на непродовольственные товары. Вот почему в экономической качество жизни населения принято оценивать по удельному весу расходов потребителей на приобретение продовольственных и промышленных товаров: чем ниже удельный вес этих расходов, тем выше качество жизни использование прироста доходов на долгосрочные товары и услуги – в силу их особой дороговизны – проходит как бы «третьей волной» (после насыщения потребителей продовольственными и промышленными товарами).
Наконец, по мере насыщения продовольственными товарами и относительного насыщения товарами длительного пользования начинает увеличиваться процентная доля сбережений в общей структуре личного дохода («норма сбережений»). Уровень нормы сбережений характеризует уровень экономического развития страны: чем большая доля дохода направляется на сбережения, тем выше этот уровень.
Иногда практика показывает парадоксы: потребительские расходы отдельных групп превосходят размеры их номинального дохода. Такое возможно при условии, что потребители стали тратить ранее сделанные сбережения и покупать товары в кредит. Сбережения и особенно кредит стали в современной экономике мощным фактором расширения спроса на товары длительного пользования и дорогостоящие услуги, но этот фактор способен обернутся невозвратностью кредита со всеми вытекающими отсюда негативными макроэкономическими последствиями.
И в заключение вопроса дадим определения основным видам доходов предприятия.
Доход от основной деятельности – валовой доход от реализации товаров или от оказания услуг. Реализацию можно учитывать различными способами – по методу накопления, по мере оплаты, предъявления расчетных документов, по мере выполнения заказа или на момент реализации.
При использовании в учете метода накопления операций признаются в момент их совершения, а не момент их возникновения, и расходы сопоставляются с соответствующими доходами (принцип сопоставления).
Доход, валовой – исчисленный в денежном выражении суммарный годовой доход предприятия (фирмы), полученный в результате производства и продажи продукции, товаров, услуг. Валовой доход определяется как разность между денежной выручкой от продажи товаров и материальными затратами на их производство.
Доход, маржинальный – превышение выручки с продаж над совокупными переменными затратами (издержками) относящиеся к определенному уровню продаж (объему производства); может рассчитываться и как удельная величина в расчете на цену единицы продукции: этот показатель широко используется в анализе поведения себестоимости и расчет цен.
Доход, облагаемый – часть валового дохода юридических и физических лиц, подлежащих обложению налогом. Облагаемый доход определяется путем вычета из валового дохода налогоплательщика установленных законов скидок и льгот.
Доход, предпринимательский – часть прибыли, остающаяся у функционирующего предпринимателя после уплаты налогов.
Доход, совокупный – разница между валовой выручкой и стоимостью использованных в процессе производства товаров (работ, услуг) сырья, материалов, комплектующих изделий, приобретенных товаров, топлив, эксплуатационных расходов, текущего ремонта, затрат на аренду помещений, и другие затраты.
Доходы организации, операционные – операционными доходами являются: поступления, связанные предоставлением за плату прав, возникающих из патентов на изобретения промышленные образцы и других видов интеллектуальной собственности: поступления, связанные с участием в уставных капиталах других организаций, поступления от продажи основных средств и иных активов, отличных от денежных средств продукции, товаров; проценты, полученные за предоставление в пользовании денежных средств организации, а также проценты за использование банком денежных средств, находящихся на счете организации в этом банке.
Доходы организации от обычных видов деятельности – доходами от обычной деятельности является выручка от продажи продукции и товаров, поступления, связанные с выполнением работ, оказанием услуг. В организациях, предметом деятельности которых является предоставление за плату во временное пользование (временное владение и пользование) своих активов по договору аренды, выручкой считаются поступления, получение которых связанно с этой деятельностью (арендная плата). Доходы, получаемые организацией от предоставления за плату во временное пользование своих активов, прав, возникающих из патентов на изобретения, промышленные образцы и других видов интеллектуальной собственности, и от участия в уставных капиталах других организаций, когда это не является предметом деятельности организации, относятся к операционным доходам. Выручка принимается к бухгалтерскому учету в сумме исчисленной в денежном выражении, равной величине поступления денежных средств и иного имущества и (или) величине дебиторской задолжности. Если величина поступления покрывает лишь часть выручки, то выручка, принимаемая к бухгалтерскому учету, определяется как сумма поступления и дебиторской задолжности (в части не покрытой поступлением).
Доходы организации, чрезвычайные – чрезвычайными доходами считаются поступления, возникающие как последствия чрезвычайных обстоятельств хозяйственной деятельности (стихийного бедствия, пожара, аварии, и т.д.): страховое возмещение, стоимость материальных ценностей, остающихся от списания непригодных к восстановлению и дальнейшему использованию активов.
1.2. Источники формирования доходов предприятия
Четкая классификация доходов и расходов является базой обоснованного определения чистого результата деятельности за определенный период. Помимо этого, классификация необходима для:
определения, из какого источника получена основная часть доходов и прибыли отчетного периода;
разделения производственной себестоимости продукции и непроизводственных расходов, в том числе расходов по управлению и реализации, а также расходов по финансовой деятельности;
разделения постоянных и переменных расходов в целях управленческого и финансового анализа.
Для определения источников получения доходов вся деятельность предприятия разделяется на:
основную или операционную деятельность (производство и реализация продукции, работ и услуг предприятия);
финансовую деятельность (получение кредитов и выдача их другим предприятиям; участие предприятия в деятельности других кампаний; операции предприятия на финансовых рынках, курсовые разницы и др.);
чрезвычайные статье (операции, не являющиеся характерными для деятельности предприятия).
Такое деление весьма важно, поскольку оно позволяет определить, каков удельный вес доходов, полученных как от основной деятельности предприятия, так и из других источников, в особенности из таких, которые вообще не являются характерными для деятельности данного предприятия и не могут рассматриваться как постоянный источник получения его доходов.
Таким образом, в системе финансового управления необходимо иметь следующие показатели:
Показатели доходов и прибыли:
а) чистая выручка от реализации продукции (работ, услуг) – это валовая выручка от реализации за вычетом налог на добавленную стоимость, акцизов, возвращенных товаров и ценовых скидок. Именно этот показатель и оценки рентабельности предприятия;
б) валовая прибыль от реализации – чистая выручка от реализации за вычетом производственных расходов на реализованную продукцию. Этот показатель позволяет анализировать эффективность производственной деятельности предприятия;
с) прибыль (убыток) от основной деятельности (операционная прибыль или операционный убыток) – валовая прибыль от реализации за вычетом расходов по управлению и расходов по сбыту. Этот показатель отражается влияние расходов по управлению и сбыту на финансовый результат от реализации;
д) прибыль от финансовой деятельности – сальдо доходов и расходов по финансовой деятельности. Этот показатель необходим, для того чтобы отделить прибыль от производственно – хозяйственной деятельности предприятия от таких источников прибыли, как получение процентов и дивидендов предприятием, операции с иностранной и др.
е ) прибыль от обычной хозяйственной деятельности – сумма прибылей от основной хозяйственной деятельности и прибылей от финансовой деятельности;
ж) чрезвычайные прибыли;
з) прибыль (убыток) до уплаты налога. Этот показатель является точкой перехода от бухгалтерской прибыли к налогооблагаемой прибыли. Бухгалтерская (или отчетная) прибыль – это прибыль, рассчитанная в соответствии с требованиями бухгалтерского учета. Основная цель определения бухгалтерской прибыли –показать эффективность деятельности предприятия за отчетный период. Бухгалтерского учета для того и существует, чтобы собрать и обработать информацию о доходов и расходов предприятия, а также о чистом результате его деятельности для принятия управленческих решений на будущие периоды. После того как этой цели добились полученный результат (прибыль до уплаты налога) должен корректироваться в соответствии с налоговым законодательством страны. Таким образом, налогооблагаемая прибыль – это бухгалтерская прибыль, пересчитанная согласно налоговым требованиям;
и) чистая прибыль (чистый убыток) – прибыль после уплаты налога. В условиях рыночной экономики это важнейший показатель деятельности предприятия. Именно он находится в центре внимания управляющих предприятия и финансовых рынков. От его динамики зависит само существование предприятия, рабочие места для его работников, выплата дивидендов в акционерной компании.
Разделение производственной себестоимости и общехозяйственных расходов периода, а также расходов по сбыту необходимо, чтобы оценить, какое влияние на конечные результаты оказала производственная деятельность. Так, невысокое значение показателя ''Валовая прибыль от реализации продукции '' свидетельствует о том, что предприятию требуется внести изменения в производственный процесс с целью повышения его эффективности. Невысокое значение показателя ''Прибыль от основной деятельности'' (операционная прибыль) при хорошем уровне валовой прибыли от реализации отражает проблемы предприятия в системе общехозяйственного управления производственным процессом и сбытом.
Разделение постоянных и переменных расходов важно для целей финансового планирования. Основная задача здесь заключается в том, чтобы определить, как должны изменить постоянные и переменные расходы при планируемых темпах роста объема реализованной продукции с учетом того, что только переменные затраты изменяются пропорционально росту или падению объема производства и реализации.
Самый хороший менеджер мало чего сможет добиться на рынке, если у предприятия, которым он руководит, будет серьезный недостаток денежных средств. Казахстанская практика дает этому множество подтверждений. Поэтому задача привлечения и максимального использования денежного капитала - одна из ключевых в наших современных условиях. Поскольку о привлечении и использовании денежных ресурсов на короткие сроки (оборотных средств) речь пойдет ниже, прежде всего остановимся на денежных затратах с длинным циклом освоения – инвестициях и капиталовложениях.
При создании своего предприятия предприниматель авансирует будущее производство. Продукция еще не произведена и, естественно не реализована, а определенные средства и имущество уже вложены в формирование производственной структуры. Авансирование осуществляется в виде формирования уставного капитала, имущества и денежных средств, позволяющих приступить к реализации проекта, лежащего в основе создаваемого предприятия. Речь далее идет о расширении уставного капитала и реализации инвестиционных проектов.
Инвестиционные операции, как известно, - операции, связанные с вложением денежных средств в реализацию проектов, которые будут обеспечивать получение фирмой выгод в течение периода, превышающего один год. В коммерческой практике различают следующие типы таких инвестиций:
инвестиции в физический активы, которые чаще называют инвестициями в реальные активы (производственные здания и сооружения, а также любые виды машин и оборудования со сроком службы более одного года);
инвестиции в денежных активы (депозиты в банках, облигации, акции и другие права на получение денежных сумм от других физических и юридических лиц);
инвестиции в нематериальные (незримые) активы (ценности, приобретаемые фирмой в результате проведения программ переобучения или повышения квалификации персонала, разработка торговых знаков, приобретение лицензии и т.п.).
Проблема привлечения со стороны инвестиций, способных создать мощный импульс для финансового хозяйственного развития предприятий, волнует сегодня большинство отечественных предпринимателей. Инвестиции нужны всем, одного получает их далеко не каждый. Для финансирования основных средств краткосрочный банковский кредит является исключением, а не правилом, поскольку связанный с ним риск чрезвычайно велик. Кроме того, предприятиям приходится учитывать условия, на невыгодных условиях, предприятие рискует понести убытки, а в ряде случаев и стать банкротом.
С точки зрения получаемой по привлекаемым средствам отдачи для инвестора инвестиции могут разделяться на:
Субсидии, гранты, дотации от государства, которыми обеспечиваются предприятиями приоритетных направлений в экономике. Это – наиболее предпочтительные инвестиции для развития.
Денежные средства с фиксированной суммой процента, которые состоят из кредитов (банков, государства, предприятий, других коммерческих и некоммерческих структур), облигаций (акционерных обществ и государства), привилегированных акций (акционерных обществ открытого типа). По каждому из заемных средств выплачивается определенный процент, который устанавливает для кредита – в договоре займа, а для облигаций и привилегированных акций – в проспекте эмиссии.
Привлеченные средства, на которые выплачивается дивиденд (дивиденды выплачиваются пропорционально вложениям в уставной фонд).
При разработке инвестиционного проекта важно рационально выбрать формы привлечения капитала, выпуская ценные бумаги, или привлечь заемный капитал. Основными формами по привлечению средств на финансирование инвестиционного проекта для увеличения собственного капитала являются следующие инструменты финансирования: обычные акции (ценные бумаги, оформляющие права на собственный капитал компании и потому имеющие особое значение для оценки его бухгалтерской стоимости); привилегированные акции, которые дают инвестору, по сравнению с обычными акциями, определенные преимущества (гарантированные дивиденды, преимущественные права при ликвидации компании); долговые обязательства с вариантами, представляющие обязательство компании возвратить кредитору определенную сумму через фиксированный срок и с согласованной премией в виде процентного дохода. Однако в ряде случаев подобные ссуды столь рискованны, что не помогает даже повышения доходность. Тогда к ним добавляется вариант (право на покупку акций в пределах фиксированного срока по определенной цене). Кредитору должна быть возвращена вся реализовать свои варианты.
В рамках долгового финансирования существует пять основных типов кредита: торговой кредит, который предоставляется одной компанией другой при продаже товара под обещание о его будущей оплате, банковский кредит, предоставляемый банком (или другим финансовым учреждением) предприятию (физическому лицу) с целью финансирования временных потребностей предприятия, в частности, финансирования сезонных потребностей предприятия, финансирования временно возросшего объема дебиторской задолженностью, финансирования уплаты налогов, для помощи на покрытие неординарных и достаточно крупных издержек (например, переезд предприятия). Краткосрочные ссуды могут предоставляться коммерческими банками, финансовыми компаниями, правительственными учреждениями. Деньги на короткие сроки могут быть получены и посредством использования необеспеченных кредитных билетов сроком от одного до девяти месяцев, которые продаются компаниями, имеющими стабильное положение и высокий рейтинг. Практикуется далее инвестиционный кредит, который, как правило, представляет собой долгосрочный кредит, предоставляемый в целях приобретения земли, зданий, сооружений, оборудования и других активов, являющийся по своей природе скорее ''основами'', а не ''текущими'' активами. Он может быть необеспеченным, выдаваться под залог недвижимости, обеспечен правом ареста других активов должника в случае неуплаты долга. Инвестиционный кредит может предоставляться лизинговыми компаниями, страховыми компаниями, коммерческими банками сберегательными банками, трастовыми компаниями, образовательными и благотворительными учреждениями, пенсионными фондами, индивидуальными инвесторами, андеррайтерами – участниками рынка, которые занимаются перепродажей векселей, облигацией и закладных, а также правительственными учреждениями.
Личный кредит (потребительский) предоставляется розничным торговцем банком, финансовой компанией отдельному лицу (например, для покупке им какого – либо товара по отдельному счету в магазинах и при продаже товаров длительного пользования, к примеру, автомобилей или бытовой техники). Применяется также государственный, получаемый различными правительственными учреждениями для выполнения имя своих обязанностей. Получателем ссуды выступают органы власти, правительственные учреждения.
Центральный вопрос для менеджера, получающего кредит- в расчете предельной процентной ставки, при которой кредит остается для него эффективной. Наиболее существенную роль среди названных выше источников финансирования, по степенью убывания их доли в инвестиционных операциях, играют расширения акционерного капитала, займы, выпуск облигаций. Следовательно, увеличение акционерного капитала является основной формой привлечения средств для развития компанией в условиях рыночной .
Систематические получение дохода является необходимой целью предпринимательской деятельности любого предприятия. Поэтому доминирующий проблемной для предприятия является увеличение (максимизация) дохода, что означает разработку стратегии на систематическое увеличение дохода и минимизацию издержек. Данная задача многоплановая, вот почему для своего решения она требует системного подхода. Поскольку общая масса получаемого дохода зависит, с одной стороны, от объема продаж и уровня цен, устанавливаемых на продукцию, а с другой – от того, насколько уровень издержек производства соответствует общественно необходимым затратам.
Первое – объем продаж – зависит от эффективности осуществления коммерческой работы: от умения создавать выгодные условия для реализации своей продукции, т.е. проводить маркетинг, организовать рекламу, сбыт, сформировать ценовую и товарную политику и т.д.
Второе – уровень издержек производства – зависит от эффективности организации производства и труда, выбранной технологии, технической оснащенности предприятия.
Вместе с тем доход на предприятии зависит не только от реализации продукции, но и от других видов деятельности, которые ее либо увеличивают, либо уменьшают. Поэтому в теории и на практике выделяют так называемую совокупный доход. Ее название говорит само за себя. Она состоит из прибыли от реализации продукции (выручка от реализации продукции без косвенных налогов минус затраты (расходы) на производства и реализацию продукции) плюс внереализационные доходы (доходы по ценным бумагам, от долевого участия в деятельности других предприятий, от сдачи имущества в аренду и т.п.) минус внереализационные расходы (затраты на производство, не давшее продукции, на содержание законсервированных производственных мощностей, убытки от списания долгов и т.д.).
Кроме того, выделяется валовой доход, который представляет собой совокупный доход за минусом или плюсом финансового результата от операций с основными фондами (средствами), нематериальными активами и иным имуществом.
Во всех странах с рыночной экономикой доход облагается налогом. Поэтому на практике принято выделять налогооблагаемый доход за вычетом отчислений в резервные фонды, доходов по видам деятельности, освобожденной от налогообложения, отчислений на капиталовложения.
В результате на предприятии, как это принято называть в теории и на практике, остается так называемый чистый доход. По своей величине она представляет налогооблагаемый доход за минусом налога на доход т налога на превышение фактических расходов на оплату труда по сравнению с нормируемой.
Из чистого дохода предприятие выплачивает дивиденды и различные социальные налоги, и образуют фонды. В результате остается доход неиспользованный, или убыток, непокрытый деньгами.
В условиях рыночных отношений, как свидетельствует мировая практика, имеется два основных источника получения дохода.
Первый - это монопольное положения предприятия по выпуску той или иной продукции или уникальности продукта. Поддержания этого источника на относительно высоком уровне предполагает проведение постоянной новации продукта. Здесь следует учитывать такие противодействующие силы, как антимонопольную политику государства и растущую конкуренцию со стороны других предприятий.
Второй – источник связан с производственной и предпринимательской деятельностью, поэтому касается практически всех предприятий. Эффективность его использования зависит от знания конъюнктуры рынка и умения постоянно адаптировать под нее развитие производства. Здесь, по сути, все сводится к маркетингу. Величина дохода в данном случае зависит:
во-первых, от правильности выбора производственной направленности предприятия по выпуску продукции (выбора продуктов, пользующихся стабильным и высоким спросом);
во-вторых, от создания конкурентоспособных условий продажи своих товаров и оказания услуг (цена, сроки поставок, обслуживание покупателей, послепродажное обслуживания и т.д.);
в-третьих, от объемов производства (чем больше объем продаж, тем больше масса прибыли);
в-четвертых, от ассортимента продукции и снижения издержек производства.
Однако, получения дохода в условиях рынка всегда связано с риском – над предприятием постоянно висит угроза потерять вложенный капитал целиком или частично. Именно поэтому в теории и на практике используется понятие «предпринимательский доход», которая по всей величине должна быть больше, чем процент, получаемый по вкладам в банк.
По своему содержанию понятие «риск» относиться как к хозяйственной, коммерческой, так и к финансовой деятельности. Для определения риска используются два основных метода: статический и экспертный. В основе статического лежат приемы математической статистики (расчет вариации, дисперсии и стандартного отклонения по показателям финансово-хозяйственной деятельности). Этими показателями являются рентабельность производства, продукции, инвестиций, продаж и т.д.
Полностью избежать риска в предпринимательской деятельности практически невозможно, но существует система методов смягчения его отрицательных последствий. К ним относиться самострахование (создание резервных фондов), участие в венчурных компаниях, хеджирование, заключение фьючерсных сделок и т.д.
Доход – один из основных финансовых показателей плана и оценки хозяйственной деятельности предприятий. За счет дохода осуществляются финансирование мероприятий по научно-техническому и социально-экономическому развитию предприятий, увеличение фонда оплаты труда их работников.
Многоаспектное значение дохода усиливается с переходом экономики государства на основы рыночного хозяйства. Предприятие любой формы собственности вправе решать, на какие цели и в каких размерах направлять доход, оставшуюся после уплаты налогов в бюджет и других обязательных платежей и отчислений.
Законом РК «О предприятиях и предпринимательской деятельности» предусмотрено, что предпринимательская деятельность означает инициативную самостоятельность предприятий, направленную на получение дохода. При этом предприятие как хозяйствующий субъект, самостоятельно осуществляющий в его распоряжений чистым доходом.
Ведущее значение прибыли в качестве финансового показателя предпринимательской деятельности предприятия вместе с тем не означает его уникальность. Анализ стимулирующей роли дохода показывает, что в целях увеличения фонда оплаты труда в ущерб производственному и социальному развитию коллектива.
В ряде случаев рост дохода обусловлен необоснованным повышением цен на продукцию.
Стремление любыми путями получить высокий доход с целью увеличения фонда оплаты труда приводит к росту объема денежной массы в обращение, не обеспеченной товарными ресурсами. Отсюда – дальнейший рост, инфляции, а, следовательно, эмиссии денег.
Для реальной оценки уровня рентабельности предприятия можно воспользоваться методами комплексного анализа прибыли по технико-экономическим факторам. Комплексный анализ прибыли рекомендуется проводить в определенной последовательности. Прежде всего валовый доход анализируют по ее составным элементам, главным из которых является прибыль от реализации товарной продукции. Анализируют изменение объема и структуры реализации, изменение уровня цен на реализированную продукцию, а также на определенное сырье, материалы, топливо, энергию и другие затраты. Кроме отмеченных методов факторного анализа прибыли в том числе экономических показателей эффективности предпринимательской деятельности используется показатель рентабельности.
Поскольку на практике, чтобы решение о выходе на рынок, необходимо сопоставлять цену предложения предприятия с ценой рыночного спроса, то для этого надо знать экономический доход предприятия. Последняя определяется путем вычета из валового дохода экономических издержек предприятия.
*Путем вычета из валового дохода экономических (предпринимательских) издержек предприятия:
Tn(g) = TR(g) – TC(g)
где Tn(g) – совокупная экономический или дополнительный доход предприятия за период (месяц, квартал, год),
TR(g) – совокупный валовый доход, или совокупная выручка предприятия от реализации продукции в объеме “g”,
TC(g) – совокупные экономические (предпринимательские) издержки предприятия на реализуемую продукцию в объеме “g”.
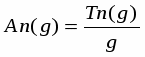
Для принятия решений часто требуется знать сумму прибыли, которую получает предприятие в расчете на единицу продукции при данном объеме реализации и цене, диктуемой спросом. При определении продожной цены используется среднюю прибыль (An) и предельную прибыль (Mn):
где Tn(g) – совокупная сумма дохода на определенный товар за определенный период,
g – объем продаж.
Из этого следует, что максимизация дохода связана с процессом приращения предпринимательского дохода. Это, в свою очередь, означает, что в расчетах требуется использование предельных величин: предельного дохода и предельных издержек. Иными словами, прибыль максимизируется в точке, в которой любое, даже малое приращение объема реализации (выпуска) продукции оставляет доход без изменения, т.е. приращение дохода при приращении объема (реализации) продукции равняется нолю. Математически это можно записать так:
Mn(g) = MR(g) – MC(g) = 0
где – чистый доход от объема продукции,
MR(g) – предельный доход (выручка) от объема продукции,
MC(g) – предельные издержки от объема продукции.
Из формулы следует, что доход максимизируется в том случае, когда предельные издержки равны предельному доходу:
MR(g)= MC(g).
Для того чтобы решить вопрос максимизации дохода, важно знать, действует ли предприятие в условиях свободной конкуренции или монопольного рынка. Пищевые предприятия, в частности, реализуют свою продукцию в условиях свободной конкуренции. А этот означает, что за цену реализации своей продукции оно принимает ту, которую задает рынок.
Из этого следует, что для предприятия максимизация дохода заключается в выборе такого объема реализации продукции, при котором предельные издержки предприятия в производстве и при реализации равнялись бы рыночной цене. Математически это можно представить следующим образом:
Р= MC(g).
Иными словами, на рынке свободной конкуренции доход равен рыночной цене.
Следует отметить, что на практике при принятии оперативных решений часто недостает всей необходимой информации, поэтому руководителям приходится действовать интуитивно. Для облегчения принятия решений предлагается ряд сценариев взаимосвязей «цена-прибыль».
Таблица 2. Взаимосвязь «цена-прибыль»
изменение
прибыли
изменение цены
повышается
понижается
Прибыль увеличивается
Рынок нечувствителен к ценам (неэластичный спрос)
Более низкие цены ведут к расширению емкости рынка быстрее, чем падают прибыли
Первоначально цена товара была занижена, покупатели могут заплатить больше (товарный дефицит)
Эластичный спрос
Производственные мощности ограничены, спрос, заказы превышают возможности предприятия
Первоначально цена товара была завышена, спрос был ограничен, после снижения цены он резко расширился
Более высокие цены делают товар привлекательнее для покупателя
Издержки производства единицы товара уменьшаются быстрее, чем реализационная цена
Повышение цен конкурентами в отрасли
Более низкие цены открывают выход на новые рынки
Уход с рынка ряда конкурентов
Прибыль уменьшается
Увеличение цен на реализацию продукции не компенсируется повышение издержек (инфляция издержек)
Рынок не чувствителен к более низким ценам, объем продаж остается относительно постоянным (неэластичный спрос)
Первоначальные цены были «правильными», продажи уменьшаются быстрее, чем увеличивается выручка от реализации (эластичный рынок)
Первоначальные цены были «правильными», после снижения цен продажи не выросли (неэластичный рынок)
Ответное понижение цен конкурентами (установление более низких цен в отрасли) и отсутствие новых покупателей
Уход с рынка
Цены были уменьшены исключительно для увеличения доли продаж предприятия на рынке
Предотвращение внедрения на рынок новых конкурентов
По основным направлениям увеличения доходов можно сделать следующие выводы:
1. Максимизация дохода краткосрочном периоде конкурентной фирмой может быть исследована, используя принцип сопоставления валового дохода с валовыми издержками или принцип сопоставления предельного дохода с предельными издержками. Фирма будет максимизировать доход, производя такой объем продукции, при котором валовой доход превышает валовое издержки на наибольшую величину. Убытки будут максимизированы путем производства, при котором превышение валовых издержек над валовом доходом является минимальным и меньше, чем совокупные постоянные издержки.
2. При условии, что цена превышает минимум средних переменных издержек, конкурентная фирма будет максимизировать доход или минимизировать убытки в краткосрочном периоде, производя такой объем продукции, при котором цена или предельный доход равны предельным издержкам. Если цена меньше, чем средние переменные издержки, фирма будет минимизировать свои убытки, закрываясь. Если цена выше, чем средние переменные издержки, фирма будет минимизировать свои убытки, закрываясь. Если цена выше, чем средние переменные издержки, но меньше, чем средние валовые издержки, фирма будет минимизировать свои убытки, производя объем продукции, при котором Р=МС. Если цена превышает средние валовые издержки, объем продукции, при котором Р=МС, будет обеспечивать максимум экономических прибылей для фирмы.
3. Применение правила MR(P)=MC при различных возможных рыночных ценах приводит к выводу о том, что отрезок кривой предельных издержек фирмы в краткосрочном периоде, который лежит над средними переменными издержками, есть кривая предложения в краткосрочном периоде.
4. В долгосрочном периоде конкурентная цена будет иметь тенденцию сравниться с минимумом средних издержек производства, так как экономические прибыли заставят фирмы вступать в конкурентную отрасль до тех пор, пока цена продукта снова не покроет издержки на единицу продукции.
5. Кривая предложения в долговременном периоде совершенно эластична для отрасли с постоянными издержками, на является восходящей для отрасли с возрастающими.
6. В чисто конкурентной экономике действия стремящихся к доходу производителей приведут к такому распределению ресурсов, которое максимизирует удовлетворение потребностей. Равенство в долговременном периоде цены и минимума средних издержек указывают на то, что конкурентные фирмы будут использовать наиболее эффективную из известных технологий и назначать самую низкую цену с учетом своих издержек производства. Равенство цены и предельных издержек указывает, что ресурсы будут распределены в соответствии с потребительскими вкусами. Конкурентная система цен будет перераспределять ресурсы в ответ на изменение в потребительских вкусах, технологии или запасах ресурсов с тем, чтобы поддерживать эффективность распределения ресурсов длительное время.
7. Данные выполнены без учета факторов, препятствующих эффективности распределения ресурсов в конкурентной экономике.
Глава 2. Анализ доходности предприятия
2.1. Общая характеристика производственно- хозяйственной деятельности ТОО «Turkuaz Group of Company» и оценка его технико–экономических показателей за 2006-2007 г.г.
ТОО «Turkuaz Group of Company»- новое, современное предприятие пищевой промышленности, образовавшееся в мае 2004 года. Рыночная экономика выдвигает особые требования к профессиональной подготовке специалистов, в частности экономистов предприятия.
Каждому молодому специалисту необходимы практические навыки и умения, которые помогут ему приспособиться к финансово-хозяйственной деятельности предприятия. Сегодня знаменитая советская фраза «Забудьте все, чему вас учили в институте, на предприятии все по-другому, мы сами вас научим» уже не действует. Сегодня рынку требуются не только перспективные молодые люди, но и молодые специалисты, обладающие определенными знаниями и навыками, способные быстро реагировать на течение рыночного времени и адекватно применить теоретические знания на практике.
Таким образом, основной целью экономической практики является расширение, углубление и закрепление в производственных условиях теоретической знаний, полученных студентами в институте: изучение методов планово-экономической работы, совершенствования механизмов управления и его влияния на эффективность производства.
Отдел кадров, является структурным подразделением ТОО «Turkuaz Group of Company» подчиняется непосредственно директору предприятия и осуществляет свою деятельность в соответствии с действующим законодательством Республики Казахстан, Уставом предприятия, настоящим положением, приказами и распоряжениями директора предприятия. Отдел создается и ликвидируется приказом директора предприятия. В своей деятельности подразделение руководствуется:
Уставом организации.
Настоящим положением.
Законом «О труде» Республики Казахстан и нормативными правовыми актами РК.
Неотъемлемой частью предприятия является его технико-экономические показатели, закончить эту главу хотела бы таблицей. Данные в таблице 1 прослеживаются за 2006-2007 года в следующей форме:
Таблица 3
Основные технико-экономические показатели ТОО «Turkuaz Group of Company» за 2006-2007гг.
№ п/п
Показатель
Ед. изм.
2006г.
2007г.
Изменения
+/-
%
1
Натуральный выпуск
тонна
77280
67200
-10080
86,9
2
Объем реализованной продукции
Тыс. тенге
365234
248551
-116683
68
3
Численность ПП
Чел.
237
236
-1
-99,5
4
Производительность труда одного работника
Тыс. тенге
1541,07
1053,18
-487,8
68,3
5
Годовой фонд оплаты труда
Тыс.
тенге
34311
35912
1601
104,6
6
Среднемесячная заработная плата одного работника
тенге
12064,46
12680,90
616,1
105,1
7
Полная себестоимость продукции
Тыс. тенге
255664
173986
-81678
68
8
Затраты на 1 тенге товарной продукции
тенге
0,70
0,70
-
100
9
Среднегодовая стоимость основных фондов
Тыс. тенге
358443
378671
20228
105,6
10
Фондоотдача основных фондов
тенге
1,01
0,68
-0,36
64,3
12
Доход от реализации продукции
Тыс. тенге
109570
74565
-35005
68
13
Рентабельность продукции
%
42,8
42,8
-
100
Анализируя основные экономические показатели ТОО «Turkuaz Group of Company»за 2006-2007 гг. можно сделать вывод, что предприятие в 2006 году уменьшило выпуск продукции на 100,8 тыс тенге, что способствовало уменьшение объема реализации продукции на 116683 тыс. тенге. Численность ППП уменьшилось на 1 человека. В 2007 году темп роста производительности труда одного работника составил 68 %. В 2006 году годовой фонд оплаты труда был равен 34311 тыс. тенге, в 2007 году он увеличился на 1598,5 тыс. тенге и составил 35909,7 тыс. тенге. Таким образом, среднегодовая заработная плата одного работника выросла на 7396,8 тыс. тенге. В связи с уменьшением выпуска продукции в 2006 году уменьшилось полная себестоимость продукции на 81678 тыс. тенге. Среднегодовая стоимость основных фондов предприятия в 2006 году составляло 358443 тыс. тенге, а в 2007 году она увеличилось на 20228 тыс. тенге и составила 378671 тыс. тенге. Фондоотдача основных фондов снизилась в 2007 году на 0,36 тенге за счет снижения выпуска продукции.
Анализ показателей доходности предприятия
Экономическая целесообразность функционирования предприятия в условиях рыночной экономики определяется получением дохода. Доходность предприятия характеризируется абсолютными и относительными показателями. Абсолютный показатель доходности – это сумма доходов или прибыли. В специальной зарубежной литературе понятие «доходы» определяется следующим образом: «Доходы» – это увеличение экономической выгоды в течение отечественного периода в форме притока средств или увеличения стоимости активов либо сокращения пассивов, что приводит к росту капитала, за исключением тех случаев, когда такой рост обеспечивается за счет взносов акционеров».
Более кратко понятие это определено в Указе Президента Республики Казахстана, имеющим силу Закона, от 26 декабря 1995 г. №2732 «О бухгалтерском учете», где в статье 13 сказано: «Доходы – это увеличение активов, либо уменьшение обязательств в отчетности периоде». Без осуществления соответствующих расходов, как правило, невозможно осуществлять развитие предприятия и успешно решать социальные вопросы.
Система показателей доходности состоит, прежде всего из абсолютных показателей финансовых результатов, к котором относиться: доход от реализации продукции (работ, услуг); валовый доход: доход от основной деятельности; доход от неосновной деятельности; доход от обычной деятельности до налогообложения; доход от обычной деятельности после налогообложения; доход от чрезвычайных ситуаций; чистый доход, являющийся конечным финансовым результатом деятельности предприятия.
Доход в обобщенном виде отражает результаты хозяйствования, продуктивность затрат жирового и овеществленного труда. Его одни экономисты относят к показателям экономического эффекта, другие – эффективности работы предприятия. На наш взгляд, правы первые, так как абсолютная сумма дохода не позволяет судить об отдаче вложенных средств.
Роль в условиях рынка существенно возросла. Как известно, при планово-директивной экономике его роль была принижена. Получение дохода (прибыли) как целевая функция любого предприятия принижалось. С переходом на рыночную экономику доход (прибыль) стал ее двигательной силой. Именно он определяет решение трех коренных взаимосвязанных проблем: что производить, как производить и для кого производить. Получение дохода стало целью функционирования любого предприятия, поскольку он в условиях рыночной экономики является основным источником его производственного и социального развития. Рост дохода создает финансовую базу для самофинансирования, являющегося обязательным условием успешной хозяйственной деятельности предприятия. Этот принцип базируется на полной окупаемости затрат по производству продукции и расширению производственно-технической базы предприятия. Он означает, что каждое предприятие покрывает свои текущие и капитальные затраты за счет собственных источников. При временной недостаточности в средствах потребность в них может обеспечивать краткосрочными ссудами банка и коммерческих кредитами, если речь идет о текущих затратах, а также долгосрочными банковскими кредитами, используемыми на капитальные вложения.
За счет дохода выполняется также часть обязательств предприятия перед бюджетом, банками и другими предприятиями и организациями. Таким образом, доход становиться важнейшим показателем для оценки производственной и финансовой деятельности предприятия. Он характеризирует степень его деловой активности и финансового благополучия. По доходу определяется уровень отдачи авансированных средств и доходность вложений в активы данного предприятия.
Единство функций в их взаимообусловленности делает доход тем элементом хозяйствования, в котором увязываются экономические интересы общества, коллектива предприятия и каждого работника. Отсюда ясна важность проблемы образования и распределения дохода, практическое решение который обеспечивает необходимую зависимость эффективности деятельности хозяйствующего субъекта от величины полученного и оставляемого в его распоряжении дохода.
Для того, чтобы доход мог эффективно выполнять свои функции, необходимы следующие основные условия:
1. Цены на продукцию должны с определенной степенью приближения выражать общественно необходимые затраты труда и при этом учитывать непрерывное повышение производительности труда и снижение себестоимости.
2. Система калькулирования изделий и определения себестоимости продукции должна быть научно обоснованной.
3. Механизм распределения дохода должен играть активную роль и служить стимулирующим фактором развития производства и повышения его эффективности.
4. Эффективное использование дохода возможно лишь в системе всех остальных финансовых рычагов (амортизационные отчисления, финансовые санкции, налогообложение, акцизы, арендная плата, дивиденды, процентные ставки, фонды специального назначения, вклады, паевые взносы, инвестиции, формы расчетов, виды кредитов, курсы валют и ценных бумаг).
Следует, однако, отметить, что абсолютная величина дохода относиться к показателям экономического эффекта, а не к эффективности финансово-хозяйственной деятельности предприятия. Доход в 500 тыс. тенге может быть доходом разновеликих по масштабам деятельности и размером вложенного капитала предприятий. Соответственно и степень относительной весомости этой суммы будет неодинаковой. Поэтому для более реальной оценки получаемого дохода используются относительное показатели доходности, к которым относится различные показатели рентабельности, выражающие уровень доходности и характеризирующие эффективность деятельности предприятия.
В росте показателей доходности предприятия заинтересованы как сам хозяйствующий субъект, так и государство. Поэтому на каждом предприятии необходимо проводить систематический анализ абсолютных и относительных показателей доходности.
В задаче анализа показателей доходности входят:
оценка выполнения плана абсолютных показателей доходности;
изучение составных элементов образования чистого дохода;
выявление и количественное измерение влияния факторов, воздействующих на доход;
изучение направлений, пропорций и тенденций распределения дохода;
выявление резервов роста дохода;
разработка рекомендаций по наиболее эффективному использованию дохода с учетом перспектив развития предприятия;
исследования различных коэффициентов доходности (рентабельности) и факторов, влияющих на их уровень.
2.3. Анализ абсолютных показателей доходности
Поскольку в условиях рыночной экономики основной и конечной целью хозяйственной деятельности предприятия является получение дохода, а не убытка, необходимо сосредоточить свое внимание этого показателя.
Первым абсолютным показателем доходности является доход от реализации продукции (работ, услуг). Он показывается в отчете о результатах финансово-хозяйственной деятельности за минусом налога на добавленную стоимость, акцизов и т.п. налогов и обязательных платежей, а также стоимости возвращенных товаров, скидки с продаж и скидки с цены, предоставленных покупателю.
По данной статье отчета о результатах финансово-хозяйственной деятельности отражается доход от основной деятельности, который может быть получен от реализации товарно-материальных запасов, оказания услуг, а также в виде вознаграждения, процентов, дивидендов, гонораров и ренты, в зависимости о основной деятельности.
Наибольший удельный вес в структуру дохода занимает доход от реализации готовой продукции и товаров, величина которого предопределяется уровнем производства продукции, комплектностью и качеством ее и другими факторами, которые будут рассмотрены ниже.
Определенное влияние на сумму дохода от реализации продукции оказывают изменения остатков нереализованных изделий на складах и товаров отгруженных, находящихся на ответственном хранении у покупателей. Сокращение товарно-материальных запасов или, наоборот, увеличение из влияют в первом случае на рост, во втором – на уменьшение суммы дохода от реализации.
На предприятиях доход (выручка) от реализации продукции должен вытекать из планируемого товарного выпуска и изменений остатков нереализованной части изделий – готовой продукций, товаров, находящихся на ответственном хранении на ответственном хранении у покупателей. Однако бывают случаи занижения планов дохода от реализации продукции, в частности, за счет завышения переходящих товарно-материальных запасов.
Таблица 4
Проверка обоснованности плана дохода от реализации продукции ТОО «Turkuaz Group of Company»
№ п\п
Показатели
По учетным ценам, тыс. тенге
1
Фактические остатки не реализованной готовой продукции на начало года
93346,4
2
Выпуск товарной продукции
236123
3
Остатки нереализованной продукции на конец года
70009
4
Возможный доход от реализации продукции
306132
5
Доход (выручка) от реализации продукции по плану
285129
6
Отклонение (стр.4 и стр. 5)
21003
В таблице 4 приведены данные по проверке обоснованности плана получения дохода от реализации продукций.
Из таблицы видно, что предприятие занизило величину дохода от реализации продукции (объем реализации) на 21003 тыс. тенге. Видимо, при составлении плана исходили из более завышенных производных остатков нереализованной продукции на конец года. Стало быть, плановый доход от реализации продукции (объем реализации) должен был составить не 285129 тыс. тенге, а на 21003 тыс. тенге больше, т.е.306132 тыс. тенге. Иными словами, не было бы перевыполнения плана.
Остатки нереализованной продукции образуется по следующим причинам. Часть готовой продукции закономерно оседает на складе для ее комплектации, упаковки, подготовки и отгрузке, накопления до размеров транспортной партии, выписки расчетных документов. Увеличение здесь остатков готовой продукции сверх нормативной величины должно быть предметом внимания финансовых служб предприятия: возможно, продукция не находит сбыта из-за разрыва хозяйственных связей или не пользуется спросом по другой причине. Такое явление может иметь место на предприятиях, где выпускают продукцию, имеющую натурально-вещественную форму. Выполненные работы и оказанные услуги в силу своей специфичной формы как товара не могут принимать вид остатков продукции на складе.
Нередко товары находятся ответственном хранении у покупателя, т.е. продукция отгружена и получена покупателем, но последний на законных основаниях отказался от ее оплаты. Наиболее вероятной причиной отказа может быть несоблюдение поставщиков условий договора поставки.
Переход на метод начисления привел к тому, что доход от реализации продукции определяется по отгруженной ее величине, а не по мере поступления за нее оплаты. Это не говорит о том, что аналитики не должны обращать внимание на поступление денег за отгруженную продукцию. Как известно, часть товаров отгруженных не оплачивается в срок покупателями. Непоступление денег в этом случае практически не зависит от поставщика. К сожалению, эта ситуация стала типичной, объем неплатежей не уменьшается, но предприятию все же следует работать в направлении получения денег – прекратить отгрузку покупателю, перевести его на аккредитивную форму расчетов, передать требования по взысканию неплатежей банку, оформить коммерческий кредит.
В условиях рынка применяется и такая новая форма расчетов за отгруженную продукцию как предоплата. Предоплата отгружаемой продукции исключает образование остатков отгруженных товаров, срок оплаты которых истек. Эта форма расчета за отгруженную продукцию практикуется многими предприятиями. Но она имеет ряд неудобств:
во-первых, эта форма выгодна для поставщиков;
во-вторых, в определенной степени снижается контроль за качеством произведенной продукции, особенно если предприятие-поставщик занимает монопольное положение на рынке товаров и услуг;
в-третьих, возможно ситуация, когда потребитель, оплатив товар, получает меньше его количество, чем необходимо (например, когда осуществляется покупка сырья и материалов, измеряемых в тоннах и др.).
Вторым абсолютным показателем доходности является валовый доход. Он представляет собой финансовый результат от реализации продукции (работ, услуг) и определяется как разность между доходом и реализации продукции (работ, услуг) в результате основной деятельности.
Важнейшим фактором, влияющим на валовый доход, является производственная себестоимость, поэтому снижение ее заметно сказывается на его величине. Увеличение объема реализации продукции в натуральном выражении при прочих равных условиях ведет к росту дохода. Возрастающие объемы производства продукции, пользующиеся спросом, могут достигаться с помощью капитальных вложений, что требует направления дохода на покупку более производительного оборудования, освоения новых технологий, расширения производства. Этот путь сейчас для многих предприятий затруднен или почти невозможен по причине инфляции, роста цен и недоступности долгосрочного кредита. Предприятия, располагающие средствами и возможностями для проведения капитальных вложений, реально увеличивает свой доход, если обеспечивают рентабельность инвестиций выше темпов инфляции.
Не требует капитальных затрат ускорение оборачиваемости оборотных средств, которое также ведет к росту объемов производства и реализации продукции. Инфляция достаточно быстро обесценивает оборотные средства. Предприятиями на приобретение сырья и топливно-энергетических ресурсов направляется все большая их часть. Неплатежи покупателей и требуемая предоплата отвлекают значительную часть средств предприятия из оборота. Причинами неплатежей являются не только недостаток оборотных средств, но и низкая финансово-расчетная дисциплина, недостаток в работе банковской системы, неразвитость вексельное обращения.
Доход предприятий растет высокими темпами, главным образом, за счет роста цен. Увеличение цены само по себе не является негативным фактором. Оно вполне обосновано, если связана с повышением спроса на продукцию, улучшением технико-экономических параметров и потребительских свойств выпускаемой продукции.
Для определения влияния на валовый доход товарной продукции указанных выше факторов по данным отчета о результатах финансово-хозяйственной деятельности можно составить следующую аналитическую таблицу.
Таблица 5. Валовый доход ТОО «Turkuaz Group of Company» за 2007г. (тыс. тенге)
№ п\п
Показатели
По плану
По плану фактически реализованную продукцию
Фактически
1
Доход от реализации продукции
243579
223695
248551
2
Производственная себестоимость реализационной продукции
169575
165286
173986
3
Валовый доход (стр.1 \ стр.2)
74000
58409
74565
Фактическая величина валового дохода больше плановый на 565 тыс. тенге. На это отклонение оказали влияния следующие факторы: 1) производственная себестоимость реализованной продукций; 2) цена единицы продукции; 3) объем (количество) реализованной продукции. Необходимо определить влияние указанных выше факторов на это отклонение.
Расчеты их производится следующим образом
1. Влияние изменения производственной себестоимости продукции находится путем вычитания из фактической себестоимости реализованной продукции плановой себестоимости фактического объема реализованной продукции по формуле:
где: g i ф – фактический объем реализованный продукции;
siф – фактическая себестоимость единицы продукты;
siпл – плановая себестоимость единицы продукции.
В полученной таким образом нашли отражение и имевшие место изменения цен по сравнения с планом на сырье, материалы, топливо, покупные полуфабрикаты, тарифы на энергию. Так как этот фактор не зависит от предприятия, то при внутреннем анализе целесообразно выделить его как самостоятельный.
При снижении или повышении по сравнению с планом производственной себестоимости реализованной продукции валовый доход соответственно увеличивается или уменьшается.
На нашим примере допущен перерасход, что снизил величину валового дохода на 8703 тыс. тенге (173989-165286).
2. Влияние изменения действующих цен на отклонение фактической величины валового дохода от плановой рассчитывается по следующей формуле:
где: рiф и рiпл – соответственно фактическая и плановая цена единицы продукции.
Иными словами, размер влияния этого фактора определяется путем вычитания из фактической выручки от реализации продукции плановой в пересчете на фактический объем реализованной продукции.
На нашем примере валовый доход увеличился за счет ценового фактора 24856 тыс. тенге (248551-223695).
3. Чтобы определить влияние изменения объема реализации на отклонение валового дохода необходимо сначала определить степень выполнения плана по объему реализации. Поскольку величина дохода находится в прямо пропорциональной зависимости от этого фактора, плановой доход затем необходимо умножить на процент выполнения по объему реализации.
Изучение специальной литературы позволило сделать вывод о том, что в ней ведутся дискуссии относительно анализа влияния на доход таких факторов, как объем реализации товарной продукции и структурных сдвигов в ее составе.
Для расчета предлагаются разные оценки объема реализованной продукции: в действующих реализованных ценах, по производственной себестоимости. При расчете процента выполнения плана по объему реализованной продукции различная оценка приводит к значительным отклонениям при определении влияния на прибыль. Первый метод отрицается экономистами, изменение дохода (выручки) от реализации продукции влияет не только на физический объем реализации, но и на рентабельность реализуемой продукции в связи со сдвигами в структуре. Цены в настоящее время ежедневно претерпевают серьезные изменения, поэтому, на наш взгляд, оценка объема реализации по производственной себестоимости является более оправданной.
Влияние на валовый доход изменения объема реализации товарной продукции определяется следующими расчетами:
где - - степень выполнения плана объема реализации от производственной себестоимости;
Sф и Sпл – соответственно фактическая и плановая производственная себестоимость реализованной продукции.
,
где – Пп – влияние на доход объема реализации товарной продукции;
Ппл – влияние валовый доход.
Анализируемое нами предприятие план по реализации товарной продукции перевыполнило на 2,6% [(173986 : 169579 х 100) - 100], в результате было получено сверх плана валового дохода 1924(74000 х 102,6 : 100) – 74000.
В теории и практике аналитической работы известны два способа расчета влияния на валовый доход структурных сдвигов в составе реализованной продукции: 1) путем сравнения суммы валового дохода «по плану на фактический объем реализованной продукции» с плановой величиной валового дохода, скорректированной на коэффициент выполнения плана по объему реализации; 2) путем вычитания из разности между показателями дохода «по плану на фактический объем реализованной продукции» и «по плану» суммы влияния фактора «изменения объема реализации» (сальдовый способ).
На практике наиболее часто употребляется второй способ, поскольку до исчисления размера влияния этого фактора определяют влияние изменения объема реализации. Так как сумма валового дохода «по плану на фактический объем реализованной продукции» отражает совокупное влияние этих двух факторов, то, вычитая из нее влияние применения объема реализации, находят влияние на прибыль структурных сдвигов в составе реализованной продукции.
В нашем примере расчеты показывают следующее:
58409 – 74000 = -15591
(-15591) – (1924) = -13667
В результате структурных сдвигов недополучено по сравнению с планом валового дохода13667 тыс. тг.
На наш взгляд, влияние этого фактора целесообразно определить путем сопоставления дохода по плану на фактически реализованную продукцию с доходом, полученным в отчетном году в условиях плановой структуры с учетом выполнения плана по объему реализованной продукции.
В нашем предприятий влияние изменения структуры повлияло отрицательно на отношение валового дохода, т.с. величина его уменьшилось на 13667.
Результаты анализа валового дохода приведены в таблице 6.
Таблица 6. Влияния основных факторов на отключение валового дохода
№ п\п
Показатели
Сумма тыс. тг
% к плановому доходу
1
Повышение себестоимости реализованной продукции
-8700
-11,7
2
Повышение уровня договорных цен
24856
33,6
3
Рост объема реализации продукции
1924
2,6
4
Структурные сдвиги в составе реализованной продукции
-13667
-18,5
Итого
4413
6
Сверх плановой валовый доход получен в результате повышения уровня договорных цен и роста объема реализации продукции. Если бы предприятие не допустило повышения себестоимости продукции и не произошли по сравнению с бизнес планом структурные сдвиги в составе в реализованной продукции, то валовый доход увеличился бы на 22367 тыс. тг (8700 +13667). То, что валовый доход снизился в результате повышения производственной себестоимости, можно охарактеризовать как неблагоприятная явление в работе предприятия. К существенным недостаткам относится происшедшие в 2004 году структурный сдвиги в составе реализованной продукции анализируемого предприятия. Поэтому аналитику необходимо сосредоточить свое внимание на анализе ассортимента выпускаемой продукции и происходящих структурных сдвигах в составе производимой и реализуемой продукции. Предприятиям выгодно производить и реализовать высокорентабельные виды продукции, если, разумеется, на рынке имеется на них спрос.
Можно использовать методику анализа при выявлении причин изменения валового дохода по сравнению с прошлым годом.
В условиях рыночной экономики, когда цены на товары являются свободным и когда их уровень определяется состоянием рынка, возникает необходимость иметь информацию об изменениях цен. Предприятия не ведут учета продукции в двойных ценах – действующих на рынке и действовавших в прошлом году. Все это вызывает необходимость в целях управления и контроля за экономической иметь данные о движении цен, об их более короткие сроки. Наличие таких сведений в первую очередь необходимо предпринимателем, органам управления экономикой на различных уровнях.
2.4. Анализ относительных показателей доходности
К относительным показателям доходности, как было сказано выше, относятся показатели доходности (рентабельности), характеризующие эффективность деятельности предприятия, которая в условиях рыночной экономики определяет его способность к финансовом выражению, привлечению источников финансирования и их доходное (прибыльное) использование. Они измеряют доходность предприятия с различных позиций и группируются в соответствии с интересами участников экономического процесса, рыночного обмена. Так как коэффициенты доходности являются важными характеристиками факторной среды формирования дохода (прибыли) предприятия, они являются обязательными элементами сравнительного анализа и оценки финансового положения предприятия.
Различают три группы показателей доходности:
а) общих активов (авансированного, совокупного капитала) и их отдельных элементов;
б) продукции;
в) показатели доходности, рассчитываемые на базе чистого притока денежных средств.
Эффективность использования активов (имущества) предприятия – один из важнейших критериев для решения вопроса о целесообразности вложения средств в данное предприятие.
Одним из наиболее правильных, признанных и широко применяемых обобщающих показатели меры эффективности имущества (активов) предприятия является коэффициент доходности (прибыльности), представляющий собой отношение чистого дохода (прибыли). Уровень доходности активов целесообразно сравнивать с альтернативными путями использования капитала, например, доходом полученным предприятиями, подверженным той же степени риска.
Кроме того, коэффициент доходности использования аналитиками как:
показатели эффективности управления;
измеритель способности предприятия зарабатывать достаточный доход для инвестирования;
метод прогнозирования дохода;
инструмент для принятия решений и контроля.
Как показатель эффективности управления уровень доходности авансированного капитала является индикатором его качества. Как измеритель способности предприятия зарабатывать достаточный доход для инвестирования в сочетании с характеристикой эффективности управления уровень доходности авансированного (общего) капитала является надежным показателем долговременного финансового здоровья предприятия. В этой связи он представляет большой интерес для инвесторов и заимодавцев долгосрочных кредитов и займов.
Важность использования этого показателя для прогнозирования дохода (прибыли) заключается в том, что он позволяет связать доход, который предприятия предлагает получить, с актовом (общим капиталом). Это повышает реальность прогнозирования.
Уровень доходности активов (общего капитала) играет важную роль в принятии инвестиционных решений на предприятии а также в финансовом планировании, координации, оценке и контроле хозяйственной деятельности и ее результатов. Хорошо управляемое предприятие осуществляет строгий контроль за формирование дохода по каждому ее центру и соответственно поощряет руководителей подразделения на основе этих результатов. При оценке необходимости вложения новых средств в активы или проекты рассчитывается ожидаемый доход от них, и эти расчеты являются основой принятия решений.
Уровень доходности общих активов (авансированного, совокупного капитала) рассчитывается по формуле:
.
Таблица 7
Уровень доходности авансированного капитала (общих активов), в % ТОО «Turkuaz Group of Company»
№ п\п
Показатели
Прошлый год
Отчетный год
Отклонения (+,–)
1
Чистый доход, тыс. тг.
76699
52195,5
-24503,5
2
Общие активы (авансированный, совокупный капитал=валюта баланса)
264285
283050,5
18765,5
3
Уровень доходности общих активов (авансированного капитала), %
29,02
18,44
-10,58
Уровень доходности общих активов (авансированного капитала) уменьшился по сравнению с прошлым годом на 10,58 пункта и составил 18,44%. Однако недостаточно знать уровень этого показателя. Гораздо важнее проанализировать, за счет каких факторов он сложился и надежны ли факторы, чтобы сохранить и повысить уровень доходности активов.
В специальной литературе встречаются две точки зрения относительно факторов, влияющих на изменение уровня этого показателя, и расчеты их влияния. Традиционной точкой зрения является подразделение факторов на количественные и качественные и исчисление активов, которое позволяют раздельно определить указанные выше факторы на отклонение коэффициента доходности активов. К количественному фактору при этом относят среднегодовую стоимость активов предприятия, рассчитанную по их сумме на начало и конец года и деленную на 2, к качественному – чистый доход предприятия.
Для определения влияния этих двух факторов на полученное отклонение (-10,58) в анализируемом показателе сделаем расчеты дополнительного коэффициента доходности активов при доходе прошлого года и общих активах отчетного года (76699 : 283050,5 х 100), что составляет в нашем примере 27,09%.
Вычитания из него коэффициент доходности за прошлый год, получим размер влияния изменения общих активов. Отрицательное влияние этого фактора на анализируемый показатель составило -1,93 пунктов (27,09 – 29,02) привело к повышению изучаемого показателя на -8,65 пункта (18,44 – 27,09). Совокупное ** влияние этих двух факторов дает нам общее положительное отклонение уровня доходности общих активов (авансированного капитала) по сравнению с его значением за прошлый год (-1,93 + 8,65 = -10,58,4).
Однако следует отметить, что измерение влияния факторов по этой методике, на наш взгляд, несколько неконкретно, так как оно не отвечает экономическому содержанию показателя, хоть математическая формула его расчета верна и не вызывает никаких сомнений. Ведь уровень доходности всех активов по чистому доходу показывает, сколько денежных единиц дохода получено предприятием с единицы стоимости активов (1 тенге) независимо от источников привлечения средств. Отсюда следует, что чем больше будет расширяться предприятие, чем больше будет возрастать его производственный потенциал, величина которого находится в знаменателе дроби, тем ниже будет доходность активов. Наоборот, уровень доходности авансированного капитала должен зависеть от эффективности использования общих активов. Исходя из этих соображений, мы считаем, что вторая точка зрения более научно обоснована и правильна. И не случайно литературе последних лет она распространена шире. Как известно, важнейшую роль в формировании чистого дохода играет доход от реализации продукции, который является одним из показателей деловой активности. Поэтому специалисты, придерживающиеся второй точки зрения, отмечают, что изменение уровня доходности общих активов происходит под влиянием следующих факторов, являющихся факторами порядка:
1) уровня доходности реализованной продукции (продаж) - одного из относительных показателей доходности предприятия;
2) оборачиваемости общих активов.
Взаимосвязь между этими показателями может быть представлена в следующем виде:
уровень доходности общих активов = доходность реализованной продукции (продажи) х оборачиваемость активов.
Действительно:
Иными словами, чистый доход предприятия, полученной с каждого тенге средств, вложенный в активы, зависит от доходности реализованной продукции (продаж) и от того, какова скорость оборачиваемости активов предприятия.
Формула указывает на пути повышения уровня доходности общих активов: при низкой доходности продаж необходимо стремиться к ускорению оборота капитала и его элементов и, наоборот, определяемая теми или иными причинами низкая деловая активность предприятия может быть компенсирована только снижением затрат на производства продукции или ростом цен на продукцию, т.е. повышением доходности продаж.
Для анализа названных факторов изменения уровня доходности авансированного капитала (общих активов) составим следующую аналитическую таблицу.
Таблица 8
Влияние изменения коэффициента доходности реализованной продукции и оборачиваемости активов на отклонение и в уровне доходности авансированного капитала ТОО «Turkuaz Group of Company»
№ п\п
Показатели
Прошлый год
Отчетный год
Отклонение от прошлого года
В этом числе за счет изменения коэффициентов
Доход-
ности продаж
Обрачи-
ваемости активов
1
Чистый доход,
тыс. тенге
76699
52195,5
24503,5
-
-
2
Доход (выручка)от реализации
тыс. тенге
365234
248551
116683
-
-
3
Среднегодовая стоимость общих активов тыс. тенге
264285
283050
18765
-
-
4
Уровень доходности общих активов % (стр.1: стр.3х100)
29,02
18,44
-10,58
5
Коэффициент доходности реализованной продукции % (стр.1:стр.2х100)
20,99
20,99
-
-
6
Коэффициент оборачиваемости активов (стр.2:стр.3)
1,38
0,87
0,51-
-
Факторы первого порядка рассчитывается приемом цепных постановок, т.е. последовательного изолирования. Условным показателем (постановкой) будет уровень доходности активов при коэффициенте доходности продаже прошлого года и фактическом коэффициенте оборачиваемости активов отчетного года.
Ду = 11,2 х 8,15 = 91,28
Используя этот показатель уровня доходности активов (авансированного капитала) за прошлый и отчетные годы, приведенные в таблице, рассчитаем степень влияния факторов первого порядка. В нашем примере она характеризуется следующими данными:
изменение коэффициента доходности реализованной продукции не произошло
изменение коэффициента оборачиваемости общих активов:
1,38–0,87= 0,51
Следовательно, на рост уровня доходности общих активов положительное влияние оказалось недостаточным чтобы повысить коэффициент до достаточного уровня, и даже ускорение оборачиваемости активов не помогло.
Детализация факторов производится приемом участия. Для этого рассчитываются деловое участия как отношение уровня влияния факторов высшего порядка к абсолютный сумме изменения факторов низших порядков.
Таким образом, уровень доходности общих активов (авансированного капитала), или как его еще называют, коэффициент доходности всех видов деятельности (общей доходности), показывает, насколько эффективно и доходно предприятие ведет свою деятельность.
На практике широко применяется такой показатель, как доходность текущих активов. Он показывает, сколько дохода получает предприятие с одного тенге, вложенного в текущие активы:
где: Та – средняя величина текущих активов.
Для предприятий, работающих на правах акционерных компаний, основным показателем оценки степени доходности вложенных капиталов, т.е. эффективности использования акционерного капитала, принято считать процентное отношение чистого дохода предприятия к его собственному капиталу. Этот показатель называется ставкой или коэффициент доходности собственного капитала (43). Он определяется по формуле:
где: Дск – доходность собственного капитала;
Дч – чистый доход;
Ск – собственный капитал.
Он является важным показателем в экономическом и финансовом анализах. «Можно было бы сказать, - пишет Жак Ришар, - что он представляет основной показатель, в котором сходятся различные стороны анализа деятельности частного предприятия» (44). Именно этот показатель играет важную роль при оценке котировки акций акционерных компаний на бирже. Именно его используют комментаторы телевидения и радио и авторы статей, когда говорят о рентабельности, конкуренции и доходности предприятий.
Коэффициент (ставка) доходности собственного капитала – результат произведения доходности от реализации продукции (работ, услуг) для собственников на показатель оборачиваемости собственного капитала. Он исчисляется из следующей формулы:
где: ДN – доход (выручка) от реализации продукции (работ, услуг)7
В специальной зарубежной литературе рекомендуется различные методики анализа факторов, влияющих на изменение уровня доходности собственного капитала. Так, Жак Ришар приводит следующую формулу:
ОД (общая
доходность)
где: Дв – валовый доход (чистый доход + проценты, выплаченные кредиторам);
А – стоимость активов (авансированный, общий, совокупный капитал).
Коэффициент (ставка) доходности собственного капитала (1), как видно из этой формулы, равен произведению доходности объема продаж (2) на оборачиваемость (3) всех активов (совокупного, авансированного, общего капитала), на относительную долю дохода собственников в валовом доходе (4) и на показатель финансовой структуры, который, по мнению Жак Ришара, выражает разделение пассива на заемный и собственный капитал.
Эта формула перекликается со знаменитой формулой Дюпона, широко применяемой прибыли на Западе. Она является обычным аналитическим разложением показателя прибыли на акцию, которое используется в анализе отчетности отдельной компании:
,
где: Дск – доходность собственного капитала;
Дч – чистый доход;
ДN – доход от реализации продукции (работ, услуг);
А – стоимость активов;
Ск – собственный (акционерный капитал).
Каждый из множительной формулы Дюпона является самостоятельным показателем. Применив эту формулу, аналитик может сказать, какой из факторов, включенный в цепочку, в наибольшей степени повлиял на доходность акционерного капитала: получение большего чистого дохода на каждый тенге реализации продукции, более эффективное использование активов или структурное изменение совокупного (авансированного, общего) капитала предприятия.
Изучение подобных зависимостей имеет большую доказательную силу для финансового положения предприятия, оценки степени умелости использования им финансовых рычагов для улучшения результатов деятельности. Из этой зависимости следует, что при прочих равных условиях отдача акционерного капитала повышается при увеличении доли заемных средств в составе совокупного капитала.
Разница между показателями уровня доходности всех и собственного капитала обусловлена привлечением предприятием источников финансирования. Если заемные средства приносят больше дохода, чем уплата процентов на этот заемный капитал, то разница может быть использована для повышения отдачи собственного капитала. В этом случае собственники предприятия, безусловна, будут заинтересованы в займе (кредите) для увеличения коэффициента ставок) доходности собственного капитала: финансовая литература именует это «эффектом рычага».
Здравый смысл подсказывает, что поведение собственников предприятия по отношению к задолженности будет находится прежде всего под влиянием двух основных элементов.
Первый элемент – это относительный уровень процентный ставки по займам по отношению к норме доходности (рентабельности) производства после налога.
Ставка доходности заемного капитала определяется отношением дохода кредиторов к заемному капиталу по формуле:
Ставка доходности на инвестированный капитал предприятия (76) в отсутствие задолженности определяется как отношение чистого дохода (после выплаты налогов) к общей массе актива:
где: Да – доходность активов (инвестированного капитала);
Дч – чистый доход;
Сн – ставка налога;
А – активы;
1 – Сн – влияние ставки налогов на компании.
В действительности, например, при отсутствии новой задолженности данное предприятие имеет доходность производства после налога, равную 15%, в то время как процентная ставка на рынке 10%. Следовательно, предприниматель захочет заставить работать деньги при низкой их стоимости и получить разницу между стоимостью заемного и размещенного капитала для того, чтобы увеличить ставку доходности собственного капитала.
Предприниматель может заинтересоваться данным обстоятельством, поскольку уменьшаются финансовые расходы и наблюдается налоговая экономия (по отношению к предположению о без задолженности). Ставка процента по ссудам не является контрактной нормой (в нашем примере 10%), поскольку данная норма сокращена на долю налоговой экономии.
Если, например, налоговая ставка равна 50%, то реальная ставка, соответствующая контрактной ставке 10% равна 50%, т.е. реальная ставка заемного капитала равна: 10% х (1-0,5) = 5%.
Разумеется, по данному отношению между доходностью (рентабельностью) производства после налога и реальной ставкой процента можно сказать, что влияние долговых обязательств на ставку доходности будет тем больше, чем выше задолженность.
Все вышесказанное может быть отражена в математической формуле эффекта рычага, упрощенный вариант который выглядит следующим образом:
Ставка доходности активов (капитала)
=
Доходность после уплаты налога
+
Разница между доходностью производства и реальной процентной ставкой
х
Удельный вес задолженности (отношение долговых обязательств к собственному капиталу)
Да = ЭР(1-Сн) + [ЭР (1-Сн) – П (1-Сн)] х ,
где: Да – доходность активов (капитала);
ЭР – эксплутационный доход (до выплаты процентов и налогов);
П – ежегодная ставка процента, предусмотренная контрактом по ссудам;
Сн – ставка налогообложения;
Д- долговые обязательства;
Ск – инвестированный собственный капитал.
Второй элемент представляет относительно высокую степень стабильности экономической активности. Данная формула показывает, что эффект рычага является положительным в том случае, если положительной является разница между коэффициентом доходности активов инвестированного капитала после уплаты налога и ставкой процента после уплаты налога. Если уровень доходности активов будет меньше, чем проценты, уплачиваемые за заемные средства, влияние заемных средств на деятельность предприятия должно быть оценено отрицательно. Формула «эффекта рычага», дающая возможность решить вопрос о целесообразности использования заемного капитала для увеличения доходности (ставки) собственного капитала, должна быть использована в аналитической работе. Аналитик указывает пути увеличения ставки доходности собственного капитала, используя различные показатели, от которых она зависит.
Что касается формул Жак Ришара и Дюпона, раскрывающих факторы доходности собственного капитала, то нам представляет, что они не совсем корректны, поскольку последний сомножитель, определяемый отношением стоимости активов к собственному капиталу , не характеризует структуру авансированного (совокупного, общего) капитала, а показывает, во сколько раз совокупный капитал больше собственного капитала. Из этих формул следует, что коэффициент доходности собственного капитала находится в прямо пропорциональной зависимости от этого соотношения: чем выше оно, тем больше ставка доходности собственного капитала. На, как известно, соотношение совокупного и собственного капитала должно быть ограничено коэффициентом концентрации собственности (независимости, автономии), величина которого не должна быть меньше 0,5 (2). В противном случае предприятие может потерять свою финансовую независимость. На наш взгляд, для анализа факторов, влияющих на изменение уровня доходности собственного капитала, достаточно приведенной выше формулы ставки доходности собственного капитала
а также формулы «Эффекта рычага». Мы считаем необходимым определить взаимосвязь коэффициента доходности совокупного (авансированного, общего) капитала с коэффициентом доходности собственного капитала. С этой целью рекомендуем в практике финансированного анализа использовать следующую формулу:
где: - действительно отражает структуру авансированного капитала, - его величина равна 1, а соотношение показывает уровень коэффициента концентрации собственности (независимости, автономии). Главное, доходность активов предприятия – есть результат произведения доходности от реализации продукции () на коэффициент оборачиваемости собственного капитала () и коэффициент независимости предприятия, чем выше уровень коэффициента доходности активов, поскольку последний находится в прямо пропорциональной зависимости от действительно финансовой структуры капитала.
Важным относительным показателем доходности является уровень доходности производственных фондов, исчисляемый как отношение чистого дохода к средней стоимости производственных фондов определяется суммированием стоимости основных средств и материальных оборотных средств соответственно на начало и конец года и делением на 2. При анализе уровня доходности производственных фондов методология факторного анализа, предложения А.Д. Шереметом, предусматривается разложение исходной формулы показателя по всем качественным характеристикам интенсификации производства и повышения эффективности хозяйственной деятельности, формирующим уровень доходности. Факторная модель анализа уровня представляется им в следующем виде:
где: - зарплатоемкость реализованной продукции;
- материалоемкость реализованной продукции;
- амортизациоемкость реализованной продукции;
- фондоемкость продукции по основным производственным фондам;
- фондоемкость продукции по оборотным средствам (коэффициент закрепления оборотных средств);
- чистый доход;
F – средняя стоимость основных средств;
Е – средние остатки материальных оборотных средств;
- уровень доходности реализованной продукции (продаж);
- затраты на 1 тенге дохода от реализации продукции по полной себестоимости.
Уровень доходности производственных фондов тем выше, чем выше доходность продукции (чем выше фондоотдача основных фондов и скорость оборота оборотных средств, чем ниже затраты на 1 тенге продукции и удельные затраты по экономическим элементам средств труда, материалов труда). Числовая оценка влияния отдельных факторов на уровень доходности производственных фондов определяется по методу цепных подставок.
По данным нашего предприятия исчислим эти показатели и определим их влияние на изменение уровня доходности производственных фондов.
Таблица 9. Показателям, влияющие на изменение уровня доходности производственных фондов ТОО «Turkuaz Group of Company»
№ п\п
Показатели
Ед. изм.
Прошлый год
Отчетный год
Отключения
+ -
%
1
Чистый доход
тыс. тг.
76699
521950,5
24503,5
68
2
Доход (выручка) от реализации
тыс. тг
365234
248551
116683
68
3
Среднегодовая стоимость основных средств
Тыс. тг
358443
378671
20228
105,6
4
Среднегодовые остатки материальных оборотных средств
тыс. тг
107532
106652
-880
99,2
5
Среднегодовая стоимость производственных фондов (стр.3+стр.4)
тыс. тг
465975
485323
19348
104,2
6
Коэффициент фондоемкости продукции (стр.3:стр.2)
0,98
1,52
0,54
155
7
Коэффициент закрепления оборотных средств (стр.4:стр.2)
0,29
0,43
0,14
148,3
8
Доход на тенге реализованной продукции коэффициент доходности реализованной продукции (стр.1: стр.2)
тг
0,2099
0,2099
9
Уровень доходности производственных фондов (стр.1 ? стр.5) х 100
%
16,4
10,7
-5,8
65,2
В производственных данных в таблице9 наглядно увидеть чистый доход уменьшился на24503,8 тыс. тенге или на 32%. Доход (выручка) от реализации уменьшился на 116683 тыс. тенге или на 32%.
Среднегодовая стоимость основных средств увеличилось с 358443 до 378671 тыс. тенге или в 5,6%.
Среднегодовые остатки материальных оборотных средств с 107532 до 1066562 тыс. тенге или в 0,8%.
Коэффициент фондоемкости продукции увеличился с 0,98 до 1,52 на 0,52 пункта.
А также коэффициент доходности реализованной продукции остался на прежнем уровне.
Оценку влияния доходности отдельных изделий на общую доходность объема продаж можно установить, используя методику анализа, рекомендуемую учеными Новосибирской Государственной академии экономки и управления, по которой анализ производится в следующей последовательности:
1) определяется удельный вес каждого вида продукции в общей объеме реализации;
2) рассчитываются индивидуальные показатели доходности отдельных видов продукции;
3) определяется влияние доходности отдельных изделий на ее средний уровень для всей реализованной продукции путем умножения индивидуальной доходности на долю изделия в общем объеме реализации;
4) определяется влияние, связанное с изменением индивидуальной доходности выпускаемых изделий, путем умножения разности между доходностью отчетного периода и базисного на долю изделия в отчетном периоде;
5) определяется влияния структурного фактора путем умножения доходности базисного периода на разность удельного веса изделия отчетного периода и базисного.
Так как информационный базой для анализа являются данные бухгалтерского учета, тот этот вид анализа возможен лишь при аналитическом учете затрат по видам продукции. Такой анализ позволяет установить влияние производства и сбыта отдельных изделий на общую доходность объема продаж в условиях сложившейся структуры реализованной продукции, а также оценить рациональность самой структуры реализации.
Последние показатели дают представление о возможности предприятия выполнять обязательства перед кредиторами, заемщиками и акционерами наличными денежными средствами. Доходность, исчисляемая на основе притока денежной наличности, широко применяется в странах с развитой рыночной экономикой. Она предпочтительна, потому что операции с денежными потоками являются существенным признаком интенсивного типа производства, признаком «здоровья» экономики и финансового положения предприятия.
Таким образом, нами рассмотрены основные относительные показатели доходности предприятия и проанализированы факторы, влияющие на изменение их уровня. Наряду с другими показателями, о которых речь пойдет ниже, они характеризуют эффективность деятельности предприятия и его деловую активность.
2.5. Анализ текущих активов предприятия
В условиях рыночных отношений деятельность предприятия и его развитие осуществляется преимущественно за счет самофинансирования, то есть собственного капитала. Лишь при недостаточности собственных финансовых ресурсов привлекаются заемные средства. В этих условиях особое значение приобретает финансовая независимость от внешних заемных источников, хотя обойтись без них сложно, практически невозможно.
Важно установить не только фактический размер собственного капитала, но и определить удельный вес его в общей сумме капитала. Этот показатель в специальной литературе носит различные названия (коэффициент собственности, коэффициент независимости, коэффициент автономии), но суть его дона – по нему определяют, насколько предприятие независимо от заемных средств и способно маневрировать собственными средствами
2.6. Анализ ликвидности
Ликвидность предприятия заключается в возможности его быстро мобилизовать имеющиеся средства (активы) для оплаты в соответствующие сроки своих обязательств. Ликвидность означает безусловную платежеспособность предприятия и постоянное равновесие между активами и обязательствами, как по общей сумме, так и по срокам поступления.
В зависимости от степени ликвидности, то есть скорости превращения в денежные средства, активы подразделяются в следующие группы:
А1 – наиболее ликвидные активы (все статьи денежных средств и ценные бумаги);
А2 – быстро реализуемые активы (краткосрочная дебиторская задолженность и прочие активы);
А3 – медленно реализуемые активы (товарно-материальные запасы, долгосрочные инвестиции);
А4 – трудно реализуемые активы (нематериальные активы и основные средства).
Источники формирования имущества предприятия группируются по срочности их оплаты на следующие группы:
П1 – наиболее срочные обязательства (кредиторская задолженность, краткосрочные обязательства);
П2 – краткосрочные обязательства (краткосрочные кредиты и займы, ссуды для работников);
П3 – долгосрочные обязательства (долгосрочные кредиты и займы);
П4 – постоянные обязательства (собственный капитал).
Первая группа (А1) платежеспособных средств покрывает платежные обязательства, а вторая, наоборот увеличивается.
Сравнение итогов первой группы статей актива и пассива показывает соотношение ближайших поступлений и платежей (сроки до 3-х месяцев).
Сравнение второй группы статей актива и пассива позволяет сделать вывод о предстоящем в ближайшее время улучшения или ухудшения состояния платежной дисциплины (сроки от 3 до 6 месяцев).
В целом сравнение первой и второй групп статей актива и пассива баланса позволяет определить текущую ликвидность. Она свидетельствует о платежеспособности (или неплатежеспособности) предприятия ближайший к рассматриваемому моменту промежуток времени. Анализируют предприятие как на начало года так и на конец года по данным этих двух групп статей баланса было платежеспособным (таблица 10)наиболее ликвидных и быстрореализуемых активов на начало года составляла 58135 тыс тг как сумма обязательств 95141,5 что на 37006,5тыс. тг больше платежных средств. На конец года составлял 36794,5ыс.тг.
Сравнение медленно реализуемых активов с долгосрочными обязательствами отражает перспективную ликвидность и представляет собой прогноз платежеспособности на основе сравнения будущих поступлений и платежей, то есть позволяет предвидеть улучшение или ухудшение финансового положения в более поздние сроки. У предприятия нет долгосрочных обязательств, то есть не получала долгосрочные кредиты.
Сравнение итогов четвертой группы статей актива и пассива баланса показывает возможность предприятия покрывать обязательства перед его владельцами (собственниками). Но это потребуется лишь тогда, когда предприятие будет ликвидировано. Соблюдение же принципа непрерывности или действующего предприятия, требует чтобы хозяйствующий субъект постоянно имел собственный оборотный капитал. А для этого необходимо, чтобы соблюдалось неравенство А4 < или = П4, то есть источники собственных средств превышали иммобилизованные активы. На анализируемом предприятии на начало года итог статей пассива баланса превысил на 36997,6тыс. тг, а на конец года – на 36794,5 тыс, что свидетельствует об улучшении финансового положения предприятия.
Глава 3. Пути повышения доходности предприятия ТОО «Turkuaz Group of Company»
3.1 Повышение совокупного дохода ТОО «Turkuaz Group of Company» за счет сдачи в аренду неиспользуемые складские помещения
В результате проведенного анализа на ТОО «Turkuaz Group of Company», отсутствие внереализационных доходов, которые вносят немалую лепту в формирование совокупного годового дохода на предприятиях.
Предприятие расположено на площади 19,6 га. Имеется, 14 складов предназначенных для приема готовой продукций используется только 7 складов, 2 из них можно оставить на непредвиденные, чрезвычайные обстоятельства, а остальные сдать в аренду.
Предлагаю сдать неиспользуемые склады в аренду по средней цене 3500 тенге за 1 склад, что составит 17500 (3500 х 5) в месяц, 210 тыс. тенге в год.
Результаты внедренного мероприятия представлены в таблице 12.
Таблица 12.
№
Показатель
Отчетный период
После внедрения мероприятия
Отклонение за счет
мероприятия
1
Доход от основной
деятельности, тыс. тенге
10957
74565
-
2
Доход от не основной
деятельности, тыс. тенге
-
-
-
3
Внереализационные доходы, тыс. тенге
-
210
+210
4
Совокупный доход до
налогообложения, тыс. тенге
-
28606
-210
Как видно из таблицы в результате внедрения данного предприятия совокупный доход до налогообложения увеличится на 210 тыс. тенге за счет внедрения внереализационных доходов в размере
3.2.Увеличения дохода предприятия за счет сокращения стоимости оборотных фондов
В результате проведенного анализа на ТОО «Turkuaz Group of Company» были выявлены излишки запасов сырья, готовой продукции, приводящие к сокращению оборачиваемости оборотных средств, уменьшению денежных средств. Для увеличения дохода на рассматриваемом предприятии предлагается реализовать имеющиеся излишки товарно-материальных запасов на сумму 84916,5 тыс.тг, в том числе готовой продукции на сумму 80916,5 тыс.тг, это вызвано стремлением предприятия застраховаться от непредвиденной ситуации, то есть закупка такого большого количества сырья в результате возникновения форс-мажорных обстоятельств позволит предприятию работать без перерывов в течение 15 дней. Поэтому предлагаю реализовать готовую продукцию на сумму 64733,2 тыс.тг. Расходы по реализации – 10% от суммы реализации.
Таким образом, денежные средства, полученные, от реализации готовой продукции составят 58259,88 тыс. тг. Результат влияния данного мероприятия на основные финансовые показатели представлено в таблице.
Таблица 13. Результат влияния мероприятия
Показатель
Отчетный год
Отклонение
до
после
1. Долгосрочные активы, тыс.тг
133033
133033
-
2.Текущие активы, тыс.тг
150017,5
143544,18
-6473,32
2.1. Денежные средства, тыс.тг
48118
106377,88
58259,88
2.2. Товарно-материальные запасы, тыс.тг
4000
4000
-
2.3.Дебиторская задолженность, тыс.тг
3767
3767
--
2.4. Готовая продукция, тыс.тг
80916,5
16183,3
64733,2
Стоимость активов всего
283050,5
276577,18
-6473,32
Как видно из представленной таблицы 13 стоимость активов уменьшилась на -6473,32 тыс.тг. Это расходы, связанные с реализацией продукции. Стоимость готовой продукции уменьшилась на 64733,2 тыс.тг, что привело к увеличению суммы денежных средств на +58259,88 тыс.тг.
Заключение
В Казахстане происходят глубокие экономические перемены, обусловленные возвращением страны в русло общих процессов мирового развития. Идет коренная ломка прежнего механизма управления экономикой, его замена рыночными методами хозяйствования. Постепенно создаются реальные условия, при которых экономика перестает быть заложницей политики, а идеологические догмы – руководством к действию.
Рыночная экономика, при всем разнообразии ее моделей, характеризуется тем, что представляет собой социально ориентированное хозяйство, дополняемое государственным регулированием. Казахстан, вставшая на путь трудных реформ, сталкивается с множеством проблем. Одна из них – непрофессионализм в сфере управления, преобладание неквалифицированных руководителей на предприятиях всех уровней, стремление управлять методами, свойственными административно-командной системе. Рыночные отношения, предусматривающие плюрализм форм собственности, право на полную хозяйственную самостоятельность и распоряжение результатами труда, в частности, в формировании материальных, трудовых и финансовых ресурсов, распределение прибыли, выхода на внешние рынки, создают объективные экономические условия и вызывают необходимость применения рыночных методов управления (и, прежде всего использования всего потенциала современного менеджмента) в деятельности предприятий.
Рыночная экономика ориентирует фирмы на удовлетворение спроса и потребностей рынка, на запросы конкретных потребителей и организацию производства только тех видов продукции, которые пользуются спросом и могут принести фирме необходимую для развития прибыль. Рынок характерен поясненным стремлением к повышению эффективности производства, предполагает свободу принятия решений теми, кто несет ответственность за конечные результаты деятельности фирмы и ее подразделений; требует постоянных корректировок целей и плановых программ фирмы в зависимости от состояния рынка. Для этого нужна особая система управления, характерная для рыночных условий, учитывающая приоритеты, специфику и менеджмент Казахстана.
Происходящие в нашей стране рыночные изменения делают насущной необходимостью приобретать и эффективно применять опыт хозяйствования в новой обстановке. Условия и принципы функционирования предприятий, результаты деятельности теперь зависят от конкурентоспособности их продукции на рынке. В приспособлении к требованиям конкретных рынков очень важным является предвидение, оценка уровня качества технико-экономических параметров продукции, ее цены, сроков поставки. Причем это необходимо делать заранее, еще на стадии разработки продукции, модернизации, усовершенствования выпускаемых изделий, до начала производственного цикла. Очень важно иметь всю необходимую информацию и для разработки сбытовой политики.
С переходом экономики государства на основы рыночного хозяйства усиливается многоаспектное значение дохода. Акционерное, арендное, частое или другой формы собственности предприятие, получив финансовую самостоятельность и независимость, вправе решать, на какие цели и в каких размерах направлять доходы оставшиеся после уплаты налогов в бюджет и других обязательных платежей и отчислений.
Получение дохода – непременное условие и цель предпринимательства любой хозяйственной структуры оценивается эффективность хозяйствования, прибыль – главный источник финансирования экономического и социального развития; прибыльность служит основным критерием выбора инвестиционных проектов и программ оптимизации текущих затрат, расходов, финансовых вложений.
Таким образом, прибыль (и ее относительная модификация – рентабельность) обрела важнейшую, ведущую роль в новом хозяйственном и финансовом механизме управления социально-экономическим развитием. Это – база финансовой устойчивости и обеспечения доходов предприятий, государства, населения.
Рассмотренная выше тема «Пути улучшения доходности предприятия» весьма актуальна в данный период развития экономической инфраструктуры Казахстана.
В работе рассматривается ТОО «Turkuaz Group of Company» ее экономическое состояние, доходность. Доход в рыночной экономике используется как важнейший инструмент государственного регулирования деятельности субъектов хозяйствования. Даны ряд советов по повышению доходности, его использованию для дальнейшего развития мощностей предприятия, расширению ассортимента выпускаемых товаров и снижению издержек на их получение путем улучшения технологических процессов, применения нового оборудования, привлечению высококвалифицированной рабочей силы и специалистов. Рассмотрена возможность и примеры экономически невыгодного использования производственных мощностей, сырья и ресурсов, недостаточное изучение рынка сбыта товаров и использования полученных кредитов. И конечном итоге максимизация доходов получаемые предприятием ведет к стабилизации экономической ситуации в Казахстане и способствует оздоровлению экономики.
В заключение данной работы можно сделать следующие выводы: данная работа состоит из введения. Одной теоретической и двух аналитических глав, заключение и списка использованной литературы.
В первой теоретической главе рассматривается экономическая сущность дохода, ее основные виды, возможности распределения и регулирования, источники ее формирования.
Во второй аналитической главе анализируется доходность предприятия. Проводится анализ основных технико– экономических показателей, анализ динамики состава и структуры активов баланса, анализ динамики состава и структуры источников формирования активов баланса, анализ показателей доходности предприятия, анализ абсолютных показателей доходности, анализ относительных показателей доходности.
В третьей аналитической главе на основе анализа предлагается следующие мероприятия:
1. Увеличение дохода от основной деятельности за счет аренды складов на данном предприятии имеется 14 складов, из них 5 используется 2 можно оставить на непредвиденные случай, а остальные сдать в аренду. Доход от аренды за год составит 210 т.т. В результате внедрения мероприятии совокупный доход до налогообложения с 28396 тыс. тенге до 29854 тыс. тенге увеличится, то есть на 1458 тыс. тенге. Предприятие станет более доходным, рентабельным.
Список использованной литературы
Архипов А.И. «Экономика». М.: Проспект 1998г.
Балабанов И.Т. «Основы финансового менеджмента. Как управлять капиталам?» М.: Финансы и статистика, 1999г.
Балабанов И.Т. «Анализ хозяйственной деятельности» М.: Финансы и статистика, 2000г.
Батурина И., Непринцева Е. Производства и предложение. Издержки и прибыль. «Российский экономический журнал» №3 2003г. с. 119- 130
Белобженцский И.А., Доходы предприятия журнал «Финансы» №2 2002, с. 40
Белобженцский И.А., Проблемы исчисления и планирования доходов. \\ журнал «Финансы» №9 2001, с.28
Брагин А.С., Экономика БЭК 2000г.
Батурина И., Производство и предложение. Издержки и доходы. \\ журнал «Экономический журнал» №3 2001. с.130
Булатова А.С. Доходы и прибыль М.: Инфра – М-2001г.
Войтов А.Г., Экономика М.: Инфра – М – 2000г.
Дюсембаев К.Ш. «Анализ финансового положения предприятия» А «Экономика» 1998г.
Журнал «Мир финансов» КZ 2002- 2003г.
Журнал «Хлебопродукты» 2003г.
Журнал «Пищевая промышленность» 2003г.
Журнал «Проблемы агрорынка» 2003г.
Учебник по основам экономической теории. Ред. Камаева В.Д. М.:- 2001г.
Кэмпбелл Р. Маконелл, Стэнли Л. Брю, Экономикс, М.: «Республика» 1992г. т.2
Каплан Т.Л. «Пути повышения эффективности использования основных фондов» М.: -1999г.
Красильникова М. Личные сбережения населения // Вопросы статистики, № 9 2001г.
Комарова И.Ю. Льготы по налогу на прибыль, проблемы и пути их решения // Финансы № 11 2000г.
Комарова И.Ю. Налогообложение дохода и проблемы совершенствования законодательной базы // Финансы № 3 2002г.
Ковалев В.В. «Финансовый анализ», М.://Финансы и статистика, 2000г.
Мамедов О.Ю. Современная экономика Ростов на Дону: Феникс 2001г.
Малеев А.В., Томаревская О.Г., Симкова Н.В. Анализ производственно- финансовой деятельности предприятий М.: 2002г.
Малис Н.И. Анализ эффективности применения законодательства по налогообложению доходов // журнал «Финансы» № 10 2002 с.24
Моляков Д.С. Финансы предприятий отраслей М.: Финансы и статистика 2001г.
Молотков О.В. Фондоотдача и механизм налогообложения доходов // журнал «Финансы» 2002г.
Морозова Т.А. Расчеты доходов и расходов М.: ЮНИТИ Дана 2002
Микроэкономика под ред. Емцов Р.Г., М., МГУ 2000
Львов Ю.Л. Основы экономики и организации бизнеса СПб.: ГМЛ «Формика» 2002г.
Петров Ю. О налоге на прибыль // журнал «Экономист» № 5 2002, с. 106-117.
Самуэльсон П., Нордхаус В. Анализ издержек // Экономикс 1998г.
Стребков Д. Трансформация сберегательных населении // Вопросы экономики № 10 2001
Экономика предприятия: Учебник для вузов / под ред. проф В.П. Грузинова М.: ЮНИТИ 1999г.
Хайман Д.Н. Современная экономика: анализ и применение Пер. с англ. М.: Финансы и статистика, 2001- т.1.
Финансовое управление фирмой Под ред. Терехина В.И. М.: Экономика 2000г.
Финансы Под ред. Ковалевой А.М. М.: Финансы – 2000г.
Финансы фирмы. Учебник / Ковалева А.М., Лапуста М.Г. М.: Инфра –
М 2002г.
Эдвин Дж. Далон, Дитвид Е. Рынок: микроэкономическая модель Пер. с англ. СПб- 2001г.
Таблица 10.
Динамика и структура текущих активов ТОО «Turkuaz Group of Company», тыс.тг
Показатель
2006 г.
2007 г.
Отклонение
по составу
по уд. весу
тыс.тг.
уд. вес, %
тыс.тг.
уд. вес, %
+,-
%
+,-
%
1.Товарно-материальные запасы
74000
56
84916,5
56,6
10916,5
114,7
0,6
101
2.Денежные средства
44925
33,9
48118
32
3193
107,1
-1,9
94,3
3.Дебиторская задолженность
13214
10,1
16983
11,4
3767
128,5
1,3
112
ИТОГО
132139
100
150017,5
100
17878,5
113,5
-
-
Таблица 11
Оценка обеспеченности имущества источниками их покрытия на ТОО «Turkuaz Group of Company»
Актив
Тыс.тг.
Пассив
Тыс.тг.
Платёжные излишки(+), недостатки(-)
2003
2004
2003
2004
2003
2004
1.Наиболее ликвидные активы
44925
48118
1.Наиболее срочные обязательства
42285
45288,4
2640
2829,6
2.Быстрореализуемые активы
13214
16983
2.Краткосрочные обязательства
52856,5
56610,1
39642,5
39627,1
3.Медленнорализуемые активы
74000
84916,5
3.Долгосрочные обязательства
-
-
74000
84916,5
4.Труднореализуемые активы
132142,4
133033
4.Постоянные обязательства
169140
181152
36997,6
48119
ИТОГО
264281,5
283050,5
ИТОГО
264281,2
283050,5
-
-
Нравится материал? Поддержи автора!
Ещё документы из категории экономика:
Чтобы скачать документ, порекомендуйте, пожалуйста, его своим друзьям в любой соц. сети.
После чего кнопка «СКАЧАТЬ» станет доступной!
Кнопочки находятся чуть ниже. Спасибо!
Кнопки:
Скачать документ