Заработная плата: сущность, формы и системы









































Министерство образования и науки Российской Федерации
Федеральное агентство по образованию
НОВОСИБИРСКИЙ ГОСУДАРСТВЕННЫЙ ТЕХНИЧЕСКИЙ УНИВЕРСИТЕТ
Кафедра ЭКОНОМИЧЕСКОЙ ТЕОРИИ
Курсовая работа по макроэкономике на тему:
Заработная плата: сущность, формы и системы
Новосибирск 2009
ОГЛАВЛЕНИЕ
ВВЕДЕНИЕ
1. СУЩНОСТЬ,ФОРМЫ И СИСТЕМЫ ЗАРАБОТНОЙ ПЛАТЫ
1.1 Понятие и сущность заработной платы
1.2 Системы оплаты труда
1.3 Экономическая природа заработной платы
2. ОСОБЕННОСТИ ЗАРАБОТНОЙ ПЛАТЫ РОССИИ
ЗАКЛЮЧЕНИЕ
ИСПОЛЬЗОВАНИЕ ИСТОЧНИКОВ
ВВЕДЕНИЕ
Заработная плата – вопрос, который всегда интересовал экономистов, к какой бы школе они не относились. Каждое экономическое учение вносило свой вклад в теорию заработной платы, в зависимости от того, какую роль она играла в их теории экономики. Таким образом, теория заработной платы постоянно эволюционировала, и в итоге пришла к тому, что мы видим на сегодняшний день. Заработная плата представляет собой один из основных факторов социально – экономической жизни каждой страны, коллектива, человека. Высокий уровень заработной платы может оказать благотворное влияние на экономику в целом, обеспечивая высокий спрос на товары и услуги. И, наконец, высокая заработная плата стимулирует усилия руководителей предприятий рачительно использовать рабочую силу, модернизировать производство. Первый вклад в развитие темы заработной платы внес А. Смит, который рассматривал заработную плату в качестве «естественной цены». Особенно важна в этой области работа К. Маркса, рассматривающего заработную плату как цену рабочей силы. Свою точку зрения высказали по этому поводу Д. Рикардо, П. Самуэльсон, но и современные авторы так, же предлагают свои формулировки. Они рассматривают заработную плату как «доход в денежной форме, получаемый наемным работником за предоставление определенной трудовой услуги»
В настоящее время минимальная оплата труда не выполняет роли социальной гарантии, адекватно отражающей социально – экономические условия и сопоставимой с минимальным потребительским бюджетом. Более того, она стала играть несвойственную ей роль технического норматива при определении размеров стипендий, пенсий, социальных выплат, штрафов и пени.
Основной целью исследования является изучение заработной платы, её сущности, форм и систем. В соответствии с целью исследования были поставлены и решены следующие задачи:
рассмотреть понятия заработной платы
рассмотреть основные принципы формирования заработной платы
изучить основные системы заработной платы
проанализировать современное состояние заработной платы в России.
Объектом исследования является заработная плата. Предметом исследования выступает заработная плата России.
Теоретическую основу работы составила отечественная и иностранная экономическая литература, посвященная как непосредственно заработной плате, так и рынку труда.
Информационную базу исследования составляют материалы Федеральной Службы Государственной Статистики, а также экономические журналы.
В процессе работы применялись общенаучные методы и приёмы: статистический метод, причинно-следственный метод, графический метод, индукция и дедукция, анализ и синтез, метод группировки, метод систематизации, метод сравнения и др.
Основная часть работы состоит из введения, двух разделов и заключения. Объем работы– 34 с. Библиография содержит 16 наименований. В работе содержится 5 рисунков, 3 таблицы, 15 формул.
1.СУЩНОСТЬ,ФОРМЫ И СИСТЕМЫ ЗАРАБОТНОЙ ПЛАТЫ
1.1 Понятие и сущность заработной платы
Совокупность норм, регулирующих правоотношения, связанные с оплатой и нормированием труда, составляют самостоятельный институт трудового права. Заработная плата является основным понятием данного правового института.
По статье Федерального закона Трудового Кодекса Российской Федерации (далее ТК РФ) понятия заработной платы и оплаты труда рассматриваются законодателем как синонимы:
«Заработная плата (оплата труда работника) - вознаграждение за труд в зависимости от квалификации работника, сложности, количества, качества и условий выполняемой работы, а также компенсационные выплаты (доплаты и надбавки компенсационного характера, в том числе за работу в условиях, отклоняющихся от нормальных, работу в особых климатических условиях и на территориях, подвергшихся радиоактивному загрязнению, и иные выплаты компенсационного характера) и стимулирующие выплаты (доплаты и надбавки стимулирующего характера, премии и иные поощрительные выплаты)».
Данное определение заработной платы указывает, прежде всего, на возмездный характер трудовых отношений между работником и работодателем. Заработная плата - это вознаграждение за труд.
При этом заработная плата является одним из квалифицирующих признаков трудовых отношений, отличающих их от иных правоотношений и, прежде всего, от гражданско-правовых.
Данное разграничение имеет большое практическое значение для квалификации правоотношений как трудовых в условиях, когда некоторые работодатели оформляют фактически трудовые отношения гражданско-правовым договором с целью снизить платежи по единому социальному налогу и уйти от гарантий и льгот, предусмотренных для работников трудовым законодательством.
По трудовому договору вознаграждение за труд выплачивается в форме заработной платы.
Заработная плата устанавливается по соглашению сторон трудовым договором (статья 135 ТК РФ), но с учетом действующих у данного работодателя системами оплаты труда и не ниже гарантированного государством Минимальным размером оплаты труда (далее МРОТ).
Отсюда выделим наиболее существенные признаки заработной платы:
1) заработная плата - это квалифицирующий признак трудовых отношений;
2) своевременная и в полном размере выплата работнику заработной платы - это одна из основных обязанностей работодателя (статьи 22, 56 ТК РФ);
3) заработная плата - это вознаграждение работнику за выполнение им трудовой функции (работы по должности, профессии, специальности; конкретного вида поручаемой работнику работы), одно из основных правомочий работника (статья 21 ТК РФ);
4) правовые основы регулирования заработной платы установлены ТК РФ (порядок, сроки, форма выплаты заработной платы и другое);
5) заработная плата - это вознаграждение за индивидуальный труд работника, выплачиваемое на систематической основе;
6) заработная плата максимальным размером не ограничивается и определяется на основе установленных у данного работодателя тарифных ставок, окладов (должностных окладов), но ниже МРОТ.
Исходя из определения заработной платы, приведенного в 129 статье ТК РФ, можно выделить ее составные части. Структуру заработной платы образуют следующие ее части:
1. основная (постоянная) часть заработной платы;
2. компенсационные выплаты;
3. стимулирующие выплаты.
Основная часть заработной платы устанавливается на основе действующей у данного работодателя системы оплаты труда и не может быть менее установленного федеральным законом МРОТ. При этом заработная плата (ее основная часть) работников государственных и муниципальных учреждений не может быть ниже установленных Правительством Российской Федерации базовых окладов (базовых должностных окладов), базовых ставок заработной платы соответствующих профессиональных квалификационных групп работников (статья 144 ТК РФ).
Основная часть заработной платы является ее постоянной составляющей, она не зависит от полученной прибыли, объема продаж и прочих показателей. Основная часть заработной платы начисляется за фактически отработанное время или фактически выполненную работу по тарифным ставкам, должностным окладам.
Устанавливая основную часть заработной платы, работодатель должен руководствоваться следующими принципами, определенными в 129 и 132 статьях ТК РФ: заработная плата каждого работника должна зависеть от его квалификации, сложности выполняемой работы, количества и качества затраченного труда.
При этом работодатель должен помнить, что запрещается какая бы то ни было дискриминация при установлении и изменении условий оплаты труда (статьи 3, 132 ТК РФ). За труд равной ценности работодатель обязан обеспечить работникам равную оплату (статья 22 ТК РФ).
Компенсационные и стимулирующие выплаты являются переменной частью заработной платы, которая зависит от установленных государством гарантий и условий оплаты труда, установленных у данного работодателя.
Компенсационные и стимулирующие выплаты не связаны с оплатой за фактически отработанное время или фактически выполненную работу. Для этой части заработной платы в большей степени присущ метод локального регулирования, особенно для стимулирующих выплат, при определении законодательством основных правил их установления.
Следует отметить, что изменения, внесенные в ТК РФ Федеральным законом №90-ФЗ, так и не разрешили существовавших ранее проблем с определением понятий.
В ТК РФ по-прежнему отсутствуют такие понятия, как компенсационные и стимулирующие выплаты, определяющие перечень выплат, которые к ним относятся и входят в состав заработной платы, также отсутствуют общие определения надбавок и доплат, которые разграничивали бы эти понятия.
Изменения, внесенные в статью 129 ТК РФ, уточнили перечень компенсационных выплат - это «доплаты и надбавки компенсационного характера, в том числе за работу в условиях, отклоняющихся от нормальных, работу в особых климатических условиях и на территориях, подвергшихся радиоактивному загрязнению», но при этом оставили его открытым - «и иные выплаты компенсационного характера».
Согласно статье 164 ТК РФ компенсации - это «денежные выплаты, установленные в целях возмещения работникам затрат, связанных с исполнением ими трудовых или иных обязанностей, предусмотренных настоящим Кодексом и другими федеральными законами».
Данное определение связывает компенсации не только с выполнением работником трудовых, но и иных обязанностей. Исходя из положения статьи 164 ТК РФ, к компенсационным выплатам можно отнести также и денежные выплаты, предусмотренные в разделе VII «Гарантии и компенсации».
Поскольку на законодательном уровне не получил уточнения вопрос о том, какие именно компенсационные выплаты относятся к заработной плате, то его разрешение следует относить к локальному уровню регулирования оплаты труда, то есть в коллективном договоре, локальных нормативных актах работодателя, а также непосредственно в трудовом договоре.
Ряд компенсационных выплат установлен законодательно, их выплата - обязанность работодателя:
а) за выполнение работ в особых условиях (труд на тяжелых работах, работах с вредными и (или) опасными и иными особыми условиями труда, труд на работах в местностях с особыми климатическими условиями) (статья 146 ТК РФ);
б) за труд на территориях, подвергшихся радиоактивному загрязнению (статья 129 ТК РФ);
в) за выполнение работ в условиях, отклоняющихся от нормальных (выполнение работ различной квалификации, труд при совмещении профессий (должностей), расширении зон обслуживания, увеличении объема работы или исполнении обязанностей временно отсутствующего работника без освобождения от работы, определенной трудовым договором, сверхурочная работа, работа в ночное время, в выходные и нерабочие праздничные дни и выполнение работ в других условиях, отклоняющихся от нормальных) (статья 149 ТК РФ) [10].
На величину и динамику заработной огромное влияние оказывает рынок труда. Ключевым элементом воздействия рынка труда является соотношение спроса и предложения рабочей силы вообще, а также в определенных районах и по определенным профессиям.
W/P
(W/P) 1
(W/P)0
ND1
N0
NS1
ND
N
NS
Рисунок 1 - Соотношение спроса и предложения
Реальная равновесная заработная плата (W/P)0 устанавливается путем равенства спроса и предложения труда. Любые иные уровни реальной заработной платы показывают избыточное предложение или спрос на труд. При реальной заработной плате (W/P)1 появится ситуация, при которой предложение труда NS1 превысит спрос на труд ND1, т. е. возникнет безработица. Таким образом, в классической канцепции уровень цен и заработной платы является гибким как при повышении, так и при понижении. То есть избыточно высокий уровень реальной заработной платы увеличит издержки призводства благ, что вызовет рост цен и падение реальной заработной платы до равновесного уровня.[7, с.59]
Теоретически считается, что уровень заработной платы с помощью рыночного механизма устанавливается между двумя границами – верхней и нижней.
Законодательные решения препятствуют снижению реальной заработной платы ниже определенного минимума. В таком случае предложение труда графически имеет вид «ломаной» линии – NSNS . Если бы мы рассматривали модель в условиях совершенной конкуренции, то линия предложния была бы NS NS’. Пока линия спроса пересекает кривую NSNS’ выше уровня (W/P)m, равновесная заработная плата ((W/P)1 ) и равновесный уровень занятости N1 устанавливаются как и на совершенно конкурентном рынке.
W/P
(W/P)1
(W/P)2
ND
N
NM
N2
N1
NS
NS
NK
(W/P)m
’
Рисунок 2 - Соотношение спроса и предложения при установлении минимальной ставки заработной платы
При пересечении линии спроса ND1 и горизонтального отрезка предложения труда заработная плата равна (W/P)m при уровне занятости Nm.. Если бы реальная заработная плата была гибкой, то ее равновесный уровень составил бы (W/P)2 при уровне занятости N2 .
Подобный минимум должен найти поддержку общественного мнения, которое в данном случае зависит от двух факторов: господствующего представления о приемлемом уровне заработной платы, при понижении которого работник отказывается трудиться, и экономической вероятности замещения рабочего времени свободным при различных уровнях заработной платы. инимальный размер оплаты труда, то есть минимум материальной обеспеченности дожен соотноситься с тем объемом жизненно необходимых потребностей, удовлетворение которых на минимально-допустимом уровне может быть гарантировано работнику нанимателем его рабочей силы. Минимальная заработная плата должна обеспечивать вознаграждение за труд наименьшей сложности, выполняемый в нормальных условиях для жизни. Основным содержанием минимальной заработной платы является стоимость жизненных средств, необходимых для воспроизводства рабочей силы[1, с.13].
1.2 Система оплаты труда
Система оплаты труда - это способ исчисления размеров вознаграждения, подлежащего выплате работникам в соответствии с произведенными ими затратами труда или по результатам труда.
Существует две основные системы заработной платы работников, соответствующие двум основным применяемым на практике формам учета затрат труда — повременная и сдельная, а также дополнительная — премиальная, которая применяется при достижении заранее установленных показателей, в сочетании с какой-либо основной. Выбор системы оплаты труда зависит от особенностей технологического процесса, форм организации труда, требований, предъявляемых к качеству продукции или выполняемой работе, состояния нормирования труда и учета трудовых затрат. При сдельной оплате труда заработок рабочего зависит, по общему правилу, от количества фактически изготовленной продукции и затрат времени на ее изготовление.
В зависимости от способа организации труда (работы) сдельная оплата труда бывает индивидуальной и коллективной.
Индивидуальная оплата возможна на работах, где труд каждого рабочего подлежит точному учету. Вознаграждение зависит от количества изготовленной Работником годной продукции и сдельной расценки на единицу изделия. Если рабочий выполняет несколько различных видов работ (операций), оплачивается каждый их вид по установленным на них расценкам. При коллективной сдельной оплате труда вознаграждение каждого рабочего зависит от результатов работы всего коллектива (бригады, участка). Распределение коллективного заработка между отдельными работниками не должно быть уравнительным, необходимо учитывать личный вклад каждого в общие результаты труда коллектива. Это делается чаще всего с помощью коэффициента трудового участия.
В зависимости от способа подсчета заработка при сдельной оплате различают несколько форм оплаты труда (Рис.1)
Сдельная
Повременная
Прямая сдельная
Сдельно-премиальная
Сдельно-прогрессивная
Аккордная
Косвенно-сдельная
Простая повременная
Повременно-премиальная
Рисунок 3 - Формы и системы оплаты труда
прямая сдельная, когда труд работников оплачивается за число единиц изготовленной ими продукции и выполненных работ, исходя из твердых сдельных расценок, установленных с учетом необходимой квалификации;
сдельно-прогрессивная, при которой оплата повышается за выработку сверх нормы;
сдельно-премиальная, когда оплата труда включает премирование за перевыполнение норм выработки, достижение определенных качественных показателей: сдачу работ с первого предъявления, отсутствие брака, рекламации, экономию материалов.
Сумма начисленной заработной латы получается путем умножения сдельной расценки на количество произведенных деталей и прибавления премии. Премия начисляется при условии перевыполнения работником норм или достижения других показателей, дающих право на ее получение (отсутствие брака и т.п.). Размер премии устанавливается администрацией по согласованию с профкомом в процентном отношении к заработной плате, начисленной по сдельным расценкам;
4)косвенно-сдельная, которая применяется для оплаты труда вспомогательных рабочих (наладчиков, комплектовщиков и др.). Размер их заработка определяется в процентах от заработка основных рабочих, труд которых они обслуживают;
5)аккордная, когда совокупный заработок определяется за выполнение тех или иных стадий работы или за полный комплекс выполненных работ. Разновидностью аккордной формы является оплата труда работников, которые не состоят в штате предприятия и выполняют работы по заключенным договорам гражданско-правового характера (например, по договору подряда).
Номинальная заработная плата — это сумма денег, полученная за час, день, неделю, и т. д. Номинальная заработная плата не отражает уровня цен и поэтому её увеличение не означает реального роста уровня жизни работающих.
Реальная заработная плата — это количество товаров и услуг, которые можно приобрести на номинальную заработную плату; реальная заработная плата — это «покупательная способность» номинальной заработной платы. Исчисляется путем деления номинальной заработной платы текущего периода (без учета налогов и других удержаний) на индекс потребительских цен (ИПЦ):
(1)
Для изучения динамики заработной платы используют индексный метод.
Индивидуальный индекс заработной платы определяют по формуле:
где и - средняя заработная плата отдельной категории работников в текущем и базисном периодах.
Индивидуальный индекс фонда оплаты:
где и - фонд заработной платы в текущем и базисном периодах;
- индекс заработной платы;
- индекс численности работников.
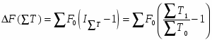
Для изучения динамики реальной заработной платы применяют индекс реальной заработной платы:
или
,
где
Темпы роста заработной платы изучаются в динамике, по месяцам внутри каждого года (у этого показателя большие сезонные колебания), по различным отраслям и секторам экономики. Также в динамике изучается распределение работников по уровню заработной платы.
Средняя заработная плата - заработная плата, исчисленная в среднем на одного работника или на единицу отработанного времени. Рассчитывается делением фонда заработной платы на среднесписочную численность работников или количество фактически отработанных человеко-часов за определенные периоды времени - час, день, неделю, месяц, квартал, с начала года, год:
Для изучения начисленной заработной платы рабочим исчисляют фонды
часовой,
дневной,
месячной (квартальной, годовой) заработной платы.
Применительно к другим категориям персонала обычно выделяют лишь фонд месячной (квартальной, годовой) заработной платы.
В общем случае средняя ставка оплаты труда равна отношению соответствующего фонда заработной платы к трудозатратам (человеко-часы, человеко-дни, среднесписочное число работников).
откуда получаем модель для величины фонда заработной платы:
Абсолютная величина фонда заработной платы зависит от трёх основных факторов:
средней списочной численности работников,
среднего количества отработанного рабочего времени, оплаченного за рассматриваемый период ,
средней ставки оплаты труда в учитываемую единицу времени
Таким образом, для анализа годового фонда заработной платы имеем следующую мультипликативную модель:
где - среднесписочное число работников,
- среднегодовая заработная плата,
ПРП - средняя продолжительность рабочего периода в человеко-днях,
ПРД - средняя продолжительность рабочего дня в человеко-часах,
- средняя заработная плата,
-среднечасовая заработная плата.
Каждый фактор в свою очередь может быть разложен на ряд других:
Изменение численности может изучаться с точки зрения количества и с точки зрения структуры численности персонала различных категорий;
Средняя продолжительность рабочего дня может анализироваться с учетом изменения количества урочных и сверхурочных человеко-часов, человеко-часов, отработанных во вредных условиях;
Изменение часовых ставок заработной платы можно анализировать с точки зрения базовых ставок заработной платы, различных премий (за качество работы, за выслугу лет, долевое участие в прибылях предприятия).
Для анализа динамики средней заработной платы по совокупности подразделений предприятия или по совокупности работников различной квалификации можно рассмотреть систему индексов средней заработной платы переменного состава, постоянного состава и структурных сдвигов:
где - Индекс переменного состава заработной платы. Показывает, каким образом изменяется средний уровень заработной платы в отчетном периоде по сравнению с базисным в зависимости от изменения средней заработной платы отдельных категорий персонала (на отдельных предприятиях или в отраслях) и удельного веса численности работников с различным уровнем оплаты труда.
- индекс заработной платы постоянного состава. Этот индекс показывает, каким образом изменился уровень заработной платы без учета структурного фактора, т.е. только в результате изменения уровней заработной платы отдельных категорий работников (на отдельных предприятиях или в отраслях) в отчетном периоде по сравнению с базисным.
- индекс структурных сдвигов, отражает влияние изменения структуры численности работников (удельного веса численности работников с различным уровнем заработной платы);
Абсолютный прирост средне заработной платы за счет каждого фактора можно рассчитать как разность числителя и знаменателя соответствующего индекса.
В свою очередь для анализа динамики общего фонда заработной платы в зависимости от аналитических целей можно также рассмотреть двухфакторные и трехфакторные индексные модели.
1.Зависимость динамики общего фонда заработной платы от динамики среднесписочной численности и средней заработной платы различных категорий работников предприятия (по отдельным подразделениям; различной квалификации; с различным стажем работы и т.п.).
где - абсолютное изменение фонда заработной платы за счет изменения среднесписочной численности работников (по отдельным подразделениям; различной квалификации; с различным стажем работы и т.п.).
- абсолютное изменение фонда заработной платы за счёт изменения заработной платы различных категорий работников предприятия (по отдельным подразделениям; различной квалификации; с различным стажем работы и т.п.).
2. Зависимость динамики общего фонда заработной платы от динамики общей численности персонала, от структуры численности работников и от динамики средней заработной платы различных категорий работников.
где - абсолютное изменение фонда заработной платы за счет изменения общей списочной численности работников;
- абсолютное изменение фонда заработной платы за счет изменения структуры численности работников (изменения удельного веса высоко- и низкооплачиваемых работников);
- абсолютное изменение фонда заработной платы за счёт изменения заработной платы различных категорий работников предприятия (по отдельным подразделениям; различной квалификации; с различным стажем работы и т.п.).
Статистика изучает дифференциацию работников по уровню заработной платы (так называемый «веер заработной платы»). Размер заработной платы зависит от уровня квалификации работника, интенсивности труда, условий труда, а также отрасли, в которой занят работник, территориального размещения предприятий и организаций и других факторов.
Основным источником статистических данных о дифференциации заработной платы являются материалы ежегодно проводимого обследования, позволяющие получить ряды распределения работников по размеру заработной платы по отдельным отраслям в экономике и экономике в целом. На основе этих данных рассчитываются различные коэффициенты дифференциации заработной платы: децильный и квартильный коэффициенты, коэффициент фондов и др.
Децильный коэффициент дифференциации (Kd) работников по уровню заработной платы характеризует соотношение среднемесячной заработной платы 10 %-го работника с самой высокой и 10 %-го работника с самой низкой заработной платой:
где d1 — значение первого дециля (10 % работников имеют заработную плату ниже этого значе; d9 — значение девятого дециля (10 % работников имеют заработную плату выше этого значения).
Квартильный коэффициент характеризует соотношение между верхним и нижним квартилями вариационного ряда.
Коэффициент фондов (КД) — соотношение между средними уровнями заработной платы в десятой и первой децильных группах:
где Fl0 — фонд заработной платы, который приходится на 10 % работников с самой высокой зарплатой;
F1 — фонд заработной платы, который приходится на 10 % работников с самой низкой зарплатой; Х10 — средняя зарплата наиболее оплачиваемых работников; X1 — средняя зарплата наименее оплачиваемых работников.
При изучения распределения работников по уровню заработной платы используют также моду.
Преимущественный рост модальной заработной платы по сравнению со средней и медианой в динамике означает сокращение дифференциации. В последние годы для характеристики расслоения работников по уровню оплаты труда также стали применять коэффициент Лоренца:
где di – удельный вес численности работников i-ого интервала, %;
, - накопленный удельный вес фонда заработной платы работников (i-1)-ого и i-ого интервалов, %.
Процесс дифференциации работников по уровню заработной платы в России за последние годы усилился.
При этом размеры дифференциации (достигающие в различных сферах экономики 15—25 раз) превышают соответствующие показатели в развитых странах [2].
1.3 Экономическая природа заработной платы
В истории экономической науки сложилось представление о заработной плате как о сумме средств, которую предприниматель (работодатель) платит наемному работнику.
Однако на вопрос о том, чем определяются уровень и динамика заработной платы, за что она выплачивается работнику, однозначного ответа наука и практика не дают.
В таблице, приведенной ниже, я изложила основные взгляды на заработную плату различных экономистов и сторонников экономических школ.
При оплате наемного труда в виде заработной платы деление рабочего времени на необходимое и прибавочное затушевывается, создавая представление, что весь труд работника является оплаченным. Форма заработной платы скрывает также ее связь со стоимостью рабочей силы, как правило, количественно не совпадая с этой стоимостью.
Таблица 1 - Основные взгляды на заработную плату различных экономистов и сторонников экономических школ
А. Смит,
английский экономист XVIII в.
1) заработная плата - вознаграждение за труд, который продает работник нанимателю.
2) товаром на рынке труда является сам процесс деятельности по созданию продукта (услуги)
3) заработная плата представляет собой цену труда и сводится к стоимости минимума средств существования, необходимых для работника и его семьи.
[6, с.579]
Д. Рикардо, английский экономист
1) труд подобно другим товарам имеет естественную и рыночную стоимости.
2) под естественной зарплатой он понимал стоимость средств существования работника и его семьи, а рыночной считал заработную плату, которая колеблется вокруг своей основы - естественной цены - под влиянием спроса и предложения.
К. Маркс, 1867 год
Немецкий экономист
1) В основе концепции заработной платы, лежит разграничение понятий "труд" и "рабочая сила"
2) рабочая сила обладает потребительной стоимостью (человек, обладающий рабочей силой, способен трудиться, создавать стоимость большую, чем воспроизводство затрат его рабочей силы) и стоимостью.
3) деление всего рабочего дня
на необходимое (стоимость самого продукта)и прибавочное (стоимость прибавочного продукта, для чего предприниматель и покупает рабочую силу) рабочее время.
4) стоимость рабочей силы определяется стоимостью предметов потребления
5) Выраженная в деньгах стоимость рабочей силы выступает как ее цена в форме заработной платы.
6) источник заработной платы - необходимое рабочее время, но условием ее получения является одновременное создание наемными работниками прибавочной стоимости[4,с. 108].
П. Самуэльсон
Современный американский экономист
1)заработная плата выступает наиболее важной категорией рыночных цен, поскольку является ценой труда.
2) уровень заработной платы определяется рыночной конъюнктурой, и формирование ее на рынке труда обусловлено теми же закономерностями, которые действуют на рынке по отношению к товарам любого вида.
Сторонники концепции "регулируемой заработной платы"
(основоположник - английский экономист Дж.М. Кейнс)
1) в целях повышения уровня занятости работников необходимо регулировать заработную плату путем сдерживания ее роста.
Сторонники "инфляционной спирали"
1) сокращение или сдерживание роста заработной платы
2) рост заработной платы - причина инфляционного витка цен
3) повышение заработной платы приводит к увеличению издержек производства и росту цен, а рост цен побуждает наемных работников и профсоюзы требовать нового повышения заработной платы
4) эта теория служит основанием для ослабления индексации заработной платы в связи с ростом цен
Концепция реформирования заработной платы в условиях перехода к рынку, разработанная Институтом труда Минтруда России
Согласно этой концепции, заработная плата как цена рабочей силы призвана выполнять в рыночной экономике три основные функции:
1) обеспечивать работнику объем потребления материальных благ и услуг, достаточный для расширенного воспроизводства рабочей силы, т.е. способности к физическому и интеллектуальному труду (воспроизводственная функция);
2) формировать для работодателя определенный производственный результат от применения приобретенной им рабочей силы, т.е. позволяющий ему в конечном счете получить ожидаемую прибыль или валовой доход, для наемного работника - формировать заинтересованность в продуктивном труде (стимулирующая функция);
3) выступать регулятором спроса и предложения на продукцию или услуги конечного потребления, а также на рабочую силу определенного качества на рынке труда (регулирующая функция).
Она обычно ниже стоимости, поскольку предложение рабочей силы на рынке труда превышает спрос на нее, сказывается давление постоянной безработицы. Продавец рабочей силы находится в невыгодном положении по сравнению с покупателем этого товара.
История рабочего движения XIX-XX вв. свидетельствует о постоянной борьбе объединений наемных работников - профсоюзов за сокращение рабочего дня, повышение заработной платы, охрану труда, страхование рабочих за счет предпринимателей на случай безработицы, болезни, инвалидности, увечья, старости. Историей убедительно доказано, что заработная плата не может быть независимой от уровня цен на товары и услуги, налоговой, демографической, культурной политики, а также политики социальной защиты, проводимой государством.
В отечественной экономической литературе трактовка сущности заработной платы существенно изменялась в соответствии с развитием экономики и характером общественных отношений.
Долгие годы, до середины 60-х гг., господствовало соответствовавшее теории экономики социализма представление о природе заработной платы как о доле работника в общественном фонде потребления, выделяемой социалистическим государством на оплату труда.
Переосмысление этой точки зрения началось в связи с подготовкой и проведением хозяйственной реформы 1965 г. К этому времени относится развитие целого ряда положений, по-новому ставящих проблему сущности заработной платы. Сформировалась концепция, суть которой состояла в том, что заработная плата представляет собой долю в доходе предприятия или одновременно долю работника в доходе предприятия и в доходе общества.
Утверждалось, что, поскольку заработная плата непосредственно выражает отношения рабочих и служащих с предприятием, она должна быть частью стоимости продукта, созданного на данном предприятии, и состоять из двух частей, одна из которых гарантируется обществом, а другая - доходом предприятия.
В соответствии с этим подходом права предприятий в оплате труда были существенно расширены. Они получили реальные возможности управлять организацией заработной платы, воздействовать на ее уровень в соответствии с оценкой трудового вклада работника или низового трудового коллектива в конечный результат труда. Однако преодолеть уравнительность в оплате труда не удалось.
Причину этого явления экономисты видели в том, что права предприятий были расширены недостаточно. Отсюда делался вывод об устранении общества из механизма оценки трудового вклада работника. Механизм распределения по труду представлялся в виде следующей цепи отношений: общество - предприятие - фонд оплаты труда предприятия; предприятие - работник - индивидуальная заработная плата. При такой схеме непосредственным становится отношение предприятие - работник, а отношение общество - работник превращается в весьма опосредованное или полностью исключается.
Иная точка зрения состояла в том, что следует сохранить централизованное начало в организации заработной платы, поскольку недостаточная стимулирующая роль распределения по труду вызвана ослаблением активности государственной политики оплаты труда. Ее сторонники считали, что действовавшая в 80-е гг. практика оплаты труда создавала противоречие между интересами работника и предприятия, с одной стороны, и общества - с другой. И предприятие, и работник были заинтересованы в ненапряженных плановых заданиях, сокрытии внутрипроизводственных резервов, стремились завысить цены, заработную плату, себестоимость продукции, уклонялись от внедрения дорогостоящей и высокопроизводительной техники и т.д. Государство, напротив, отстаивало интересы эффективного хозяйствования, стремилось к ликвидации уравнительности в оплате труда и т.п. Преодолеть этот конфликт возможно на основе объединения интересов предприятия и работника в повышении оплаты труда в результате роста эффективности производства. Предложения о совершенствовании политики заработной платы сводились к тому, чтобы резко повысить долю оплаты по тарифным ставкам и окладам, сократив выплаты надтарифных надбавок и доплат, а также перейти к премированию только за сверхнормативные высокие достижения в труде [5].
Условиям многоукладной экономики со все более углубляющимися рыночными отношениями в наибольшей степени отвечает представление о заработной плате как об объективно требуемом для воспроизводства рабочей силы и эффективного функционирования производства объеме жизненных средств. Эти средства работник должен получать в обмен на свой труд в размере, соответствующем достигнутому уровню развития производственных сил общества и воплощающемся в исторически сложившемся наборе потребительских благ и услуг, необходимых работнику и членам его семьи.
Развитие рыночных отношений предопределяет реальное существование этих средств только в стоимостной форме как средств, объективно определяющих стоимость потребленной рабочей силы в издержках производства.
Заработную плату следует рассматривать не только как экономическую, но и как нравственную категорию, призванную обеспечивать человеку определенный социальный статус. Следовательно, если исходить из того, что уровень оплаты труда должен отражать стоимость (цену) рабочей силы, то необходимо добиваться такого положения, чтобы заработная плата большинства рабочих и служащих обеспечивала не только удовлетворение физиологических потребностей (как это весьма широко распространено в настоящее время), но и потребностей работника и его семьи, вызванных социальными и культурными условиями формирования и развития работников наемного труда.
Затраты на возмещение стоимости (цены) рабочей силы не могут не предусматривать, кроме покрытия расходов на питание, одежду, предметы домашнего обихода, также затрат на содержание жилища, медицинское обслуживание, общее и профессиональное образование, социальные нужды работников как в период трудовой деятельности, так и после ее завершения.
Отсюда вывод: обоснованные уровни оплаты труда необходимо ориентировать на минимальный (а в перспективе и на рациональный) потребительский бюджет, исчисляемый дифференцированно применительно к категориям работников, видам производств и территориям страны.
Говоря о величине заработной платы, нельзя не учитывать и воздействие на процессы ее формирования рынка труда. Соотношение спроса и предложения на этом рынке, механизмы конкуренции как со стороны работодателей, так и продавцов рабочей силы определяют в немалой степени текущую цену труда .
Межотраслевые и межрегиональные различия в цене рабочей силы зависят от действенности коллективных усилии работников, направленных на обеспечение справедливых, по их мнению, условий оплаты. Во многом на различия в оплате оказывают влияние действия профессиональных союзов или иных организаций, представляющих интересы работников наемного труда, а также стремление государства и других работодателей снять социальную напряженность, приводящую к неоправданным экономическим потерям из-за коллективных протестов со стороны наемных работников .
Заработная плата тесно связана с ценами на потребительские товары и услуги. Чем они выше, тем ниже при том же абсолютном уровне оплаты реальное ее содержание. С падением уровня цен и тарифов на услуги растет реальное содержание заработной платы. Следовательно, представительные органы работников и работодателей, вырабатывая меры политики оплаты труда и доходов работников, должны обязательно учитывать уровень и динамику цен на потребительские товары и тарифов на услуги.
При переходе от административных методов управления экономикой к методам рыночного регулирования система экономических отношений, включающая и отношения, связанные с оплатой труда, испытывает на себе влияние, с одной стороны, прежних условий и традиций, а с другой - новых процессов.
Реформирование организации заработной платы при переходе к рыночным отношениям на основе теории стоимости (цены) рабочей силы взамен рассмотрения ее как доли в доходе предприятия и общества стало общепризнанным. Это вполне закономерно. Однако возникает вопрос, означает ли этот новый подход к рассмотрению сущности заработной платы отказ от признания ее связи с затратами и результатами труда?
Опыт стран с развитой рыночной экономикой, да и российский опыт, накопленный в ходе реформ, свидетельствуют, что отрицание связи заработной платы с распределением по труду неправомерно и наносит существенный вред практике стимулирования высокоэффективного труда, а следовательно, и поступательному развитию экономики страны.
Если плановая модель организации заработной платы во многом была искусственной, то не менее искусственным можно считать провозглашаемое нередко "освобождение" от учета в оплате количества и качества затраченного труда, а также его результатов.
Противопоставление распределения по труду и теории заработной платы как стоимости (цены) рабочей силы основано на заблуждении, согласно которому принципы распределения по труду трактуются только как эквивалентность в обмене количество труда, которое работник дал обществу в одной форме, он получает в другой форме. При этом обычно ссылаются на известное положение К. Маркса в "Критике Готской программы".
Между тем марксистская теория заработной платы - составная часть учения о прибавочной стоимости как неоплаченном труде наемного работника. Автор "Капитала" излагает свое представление о заработной плате, переходя от простого к сложному: от анализа сущности стоимости и цены рабочей силы к характеристике превращения стоимости и цены рабочей силы в заработную плату и особенностей ее форм - повременной и сдельной (поштучной).
Так или иначе, на заработную плату влияют как продолжительность рабочего времени, национальные и исторические традиции, так и индивидуальные различия в труде работников, выполняющих одну и ту же работу (одну и ту же функцию), но с разными результатами.
Дифференциация размеров заработной платы по сложности, условиям, напряженности и другим параметрам количественных и качественных затрат труда отражает различия в стоимости воспроизводства рабочей силы. Различия в уровнях оплаты в зависимости от количественных и качественных результатов труда связаны с осуществлением распределения по труду, отражают трудовую основу заработной платы. В конечном итоге все колебания величины оплаты происходят в процессе осуществления заработной платой ее специфических функций. Они состоят, во-первых, в возмещении стоимости рабочей силы, благодаря чему обеспечивается регулярное возобновление последней как непосредственно в процессе производства, так и на рынке труда; во-вторых, в экономическом побуждении работников к лучшему выполнению своих функций путем соизмерения оплаты рабочей силы с количеством и качеством затрат и результатов труда. Обе эти функции, в конечном счете, призваны обеспечивать достижение единой цели - регулярное воспроизводство труда и авансированного капитала.
Задача обеспечения наиболее производительного потребления рабочей силы и соответственно повышения массы и нормы прибавочной стоимости побуждает работодателя к всемерному уменьшению издержек производства. Это достигается прежде всего за счет лучшего использования основных и оборотных производственных фондов. Но работодатель, рассматривая затраты на рабочую силу как одну из статей издержек производства, постоянно стремится к снижению заработной платы, в результате чего она проявляет тенденцию к падению ниже стоимости рабочей силы. Это подтверждено многолетней практикой стран с развитой рыночной экономикой и имеет место в современной России. В неблагоприятных экономических условиях, особенно в период кризиса и сокращения объемов производства, возникают предпосылки, способствующие прямому снижению цены труда, к отставанию ее динамики от движения цен на другие товары. Однако нельзя не считаться с тем, что для наемных работников заработная плата - единственный источник средств к существованию, необходимое средство возобновления способности к труду. Отсюда вполне закономерно их стремление добиваться повышения заработной платы, ее движения опережающими темпами в сравнении с динамикой цен на товары и услуги. Задача состоит в том, чтобы в максимальной степени приблизить уровень заработной платы к стоимости и цене рабочей силы.
Как же добиться при этом оптимального сочетания интересов работников и работодателей? Главное - обеспечение экономического роста и повышение производительности труда. От этого выигрывают обе стороны трудовых отношений.
При постоянной величине рабочего дня и неизменной интенсивности труда с ростом производительности труда стоимость рабочей силы, воплощающаяся в одной и той же массе жизненных средств работника и его семьи, снижается, а прибавочная стоимость соответственно растет. С падением производительной силы труда, но при неизменной его интенсивности и постоянной величине рабочего дня стоимость рабочей силы, воплощенная в той, же массе жизненных средств, возрастает, а прибавочная стоимость соответственно уменьшается.
Сказанное свидетельствует о том, что признание заработной платы в качестве стоимости (цены) рабочей силы ни в коей мере не отвергает принципов ее построения и организации с учетом затрат и результатов труда. Тем более это справедливо в отношении редукции труда при определении степени (размеров) дифференциации заработной платы.
Следовательно, формулируя принципы организации оплаты труда в условиях рыночной экономики, нельзя забывать, что трудовая основа формирования заработка не исчезает, а различия в затратах труда (простого и сложного) непременно должны учитываться. Возможности такой дифференциации определяются тем, что расходование труда различной сложности в течение одного и того же времени создает разные по величине стоимости: более сложный труд воспроизводит в течение необходимого времени более высокую стоимость рабочей силы, а в течение прибавочного времени производит большую прибавочную стоимость для владельца средств производства.
Известно, что цены на различные виды труда на рынке рабочей силы принимают форму тарифных ставок оплаты, а государство формирует ту или иную политику относительно роли и места тарифной системы в организации оплаты труда .
При всех условиях тарифная ставка (оклад) есть мера цены труда известной сложности, т.е. цена конкретного труда работника определенной профессии и квалификации в течение предусмотренного нормой времени. При формировании индивидуального заработка работника принимаются в расчет также интенсивность, условия и значимость отдельных видов труда. Первые два фактора в полной мере согласуются с теорией стоимости и не противоречат принципу оплаты с учетом затрат труда.
Особое место в организации заработной платы занимает определение минимума заработной платы. Существенное отставание его величины от стоимости рабочей силы (необходимых затрат на ее воспроизводство) обусловливает неэффективную с точки зрения целей материального стимулирования структуру заработной платы, что не может не сказываться отрицательно не только на воспроизводственной, но и на стимулирующей и регулирующей функциях.
Понимание экономической природы заработной платы как стоимости (цены) рабочей силы означает, что ее уровень должен быть ориентирован на соответствие прожиточному минимуму и потреблению на уровне минимального потребительского бюджета. Что же касается дифференциации в оплате по профессионально-квалификационным группам работников, по сферам приложения труда, то в основе ее должны лежать различия в сложности, интенсивности и результативности труда. Персонифицированный учет квалификации работников, уровня их профессиональной подготовки и результативности труда, отношения к выполнению порученной работы призван создавать более высокие мотивационные механизмы к высокопроизводительному труду, обеспечивать стимулирующее воздействие на работника
В соответствии со ст. 77 Кодекса законов о труде Российской Федерации "оплата труда каждого работника зависит от личного трудового вклада и качества труда и максимальным размером не ограничивается". Предоставление партнерам на рынке труда полной свободы самостоятельно устанавливать размер оплаты труда - одно из объективных требований рыночной экономики [3].
2. ОСОБЕННОСТИ ЗАРАБОТНОЙ ПЛАТЫ РОССИИ
Из классической экономической теории известно, что для стабилизации экономики и экономического роста в стране необходимо поддерживать оптимальное соотношение между увеличением заработной платы населения и ростом экономики, в конечном счете – ростом производительности труда. С одной стороны повышение оплаты труда - это основной экономический стимул, основная мотивация, но, с другой стороны, оно увеличивает издержки производителей, себестоимость продукции, что делает ее неконкурентоспособной на рынке. А если рост зарплат опережает рост экономики, то это негативно сказывается и на темпах инфляции.
В России в последние годы этот баланс нарушен. Рост доходов населения оправдывает социальные ожидания государства – вывести страну к 2015 году на уровень стран Европы по уровню жизни граждан. Средняя заработная плата за 2003 – 2007 годы выросла в 2,5 раз с 5498 до 13200 рублей. Но стремление россиян жить по стандартам передовых стран пока не способствует их экономической отдаче. Производительность труда в России ниже, чем в Бразилии, Южной Африке, Польше, Чехии. С учетом стоимости труда, т.е. оплаты за труд, она ниже, чем в Китае и Индии. При этом реальная (скорректированная с учетом темпов роста инфляции) заработная плата растет очень быстро, подрывая как раз те отрасли российской промышленности, которые должны стать основой технологического роста.
В 2008 году зарплатоемкость российского ВВП может достичь 35,5%,а по расчетам Росстата и Минэкономразвития официальный прогноз составляет 38952 млрд руб. За 2007 год суммарная номинальная зарплата россиян составила 34,8% ВВП, а за последние восемь лет этот показатель вырос на 11,2 процентных пункта. Это вновь подтверждает вывод о том, что россияне слишком много зарабатывают и недостаточно производят.
Даже в экономически развитых странах в последние годы наблюдается снижение зарплатоемкости. В Германии доля зарплат в ВВП снизилась с 43,6% в 1995 году до 40,1% в 2006 г., а в целом зарплатоемкость ВВП стран Евросоюза упала с 39,8% в 1995 году до 38,8% в 2005 году.
Ускоренный темп роста зарплат может уменьшить валовую прибыль экономики страны. Рост российского ВВП (до 40%) обусловлен в значительной степени удорожанием нефти и газа. А сели цены на них начнут падать, то доля зарплаты окажется слишком высокой.
По данным Росстат, зарплата за 2007 год увеличилась на 76,2%, за 2006 год – на 13,3% по отношению к предыдущему году, а производительность труда выросла в 2006 году – на 4,6%, а в 2007 году – на 7,9% соответственно к предыдущему году. Необходимо реальный рост зарплаты «привязать» к производительности труда, иначе экономика будет себя «проедать».
Учитывая специфику России, предельная зарплатоемкость в ВВП, по мнению автора, не должна быть больше 25 – 30%, иначе рост экономики за счет производства, услуг невозможен. Мы не сможем конкурировать на рынке с теми же производителями из Китая, Индии. Ниже представлена производительность труда по различным странам мира (ВВП, разделенный на число занятых за 2005г., по расчетам Международной организации труда (ILO), вв тыс. долл.
Таблица 2 - Производительность труда по различным странам мира
Россия
США
Ирландия
Белоруссия
Казахстан
15 536
63 885
55 986
21 527
18 688
Эти данные, с одной стороны, отражают ВВП этих стран, а с другой стороны – отношение к труду. По мнению автора, за годы перестройки и вхождения России в рынок в стране отбили у людей желание работать. Все видели примеры быстрого обогащения олигархов и бизнесменов не за счет работы и увеличения производительности труда, а за счет того, что нужно оказаться «в нужное время и в нужном месте».А теперь, со стороны государства, никто не может грамотно объяснить народу, что процесс первоначального накопления капитала кончился и не все могут быть предпринимателями. Выход остается – работать. В таблице приведены данные Росстат по зарплатоемкости в России.
Таблица 3 - Зарплатоемкость России.
Год
Зарплатоемкость, %
1999
23,83
2000
23,59
2001
28,34
2002
32,22
2003
33,04
2004
32,13
2005
32,46
2006
32,66
2007
34,8
2008
35,5
Среди экономистов существует и другая точка зрения: рост доходов населения может привести к накоплению сбережений, что должно стимулировать инвестиции. Но это не подходит для экономики России из-за инфляции (за 2007 год она составила 12,9%). Люди предпочитают тратить, так как нет стабильного и ликвидного инструмента накопления и сохранности сбережений. А траты опять увеличивают стоимость жизни, цены на товары и инфляцию. Государство, которое является крупнейшим работодателем в стране (в госучереждениях и на госпредприятиях, по данным Росстата, работает около 30% занятых в экономике), могло бы остановить рост зарплат или хотя бы как-то нормировать его, но оно наоборот всячески пытается увеличить их.
Зарплаты госслужащих за 2006 – 2007 годы выросли в среднем в 2,65 раза, а силовиков – в 2,8 раза. Кроме этого, налоговые органы «деликатно» рекомендовали предпринимателям не устанавливать зарплаты ниже прожиточного минимума. А так как заработная плата входит в себестоимость продукции, то неизбежен рост цен и оправдана инфляция за 2007год [9, с. 140].
Рисунок 4 – Доля оплаты труда в ВВП
Как видно, из приведенной выше статистики, заработная плата занимает существенную часть в ВВП по источникам доходов и, изучив график можно сделать вывод, что заработная плата на протяжении практически семи лет стабильно занимает половину всего ВВП по источникам доходов. Остальную же часть занимают чистые налоги (на производство и импорт), валовая прибыль экономики и валовые смешанные доходы
I полугодие 2009г.
Июнь 2009г.
рублей
в % к
I полугодию
2008г.
рублей
в % к
июню
2008г.
маю
2009г.
Российская Федерация
17928,9
110,3
19247,1
108,2
106,9
Центральный
федеральный округ
21521,1
111,9
22938,3
107,3
106,6
Белгородская область
13393,6
104,9
14554,3
105,9
105,9
Брянская область
10619,3
109,0
11977,1
111,5
113,5
Владимирская область
12568,5
111,0
13501,4
110,2
106,6
Воронежская область
12517,8
110,8
13705,5
110,8
105,7
Ивановская область
10780,4
111,4
11761,5
110,1
106,1
Калужская область
14475,2
108,6
15500,1
107,1
106,6
Костромская область
11982,8
110,1
12765,3
109,3
105,2
Курская область
11666,1
111,4
12556,2
111,1
107,5
Липецкая область
13245,5
101,9
14058,5
103,9
108,2
Московская область
23261,3
116,9
24721,0
114,0
105,0
Орловская область
11234,5
106,8
12231,5
107,5
107,7
Рязанская область
12905,1
108,8
13966,2
109,6
108,2
Смоленская область
12394,7
110,6
13411,9
110,5
107,0
Тамбовская область
10890,3
114,3
12049,1
114,5
108,6
Тверская область
13344,1
109,6
14443,7
109,0
106,6
Тульская область
13831,9
114,2
14755,6
111,1
106,3
Ярославская область
13852,3
105,7
14877,5
105,8
104,4
г.Москва
31517,3
110,4
33339,4
103,6
107,1
Северо-Западный
федеральный округ
20203,8
110,5
21633,7
109,2
107,1
Республика Карелия
17719,9
111,9
18745,4
110,1
107,7
Республика Коми
22190,6
114,1
23562,8
117,0
107,6
Архангельская область
19137,2
111,3
20192,9
110,1
105,3
в том числе Ненецкий авт.округ
42748,6
109,0
43711,5
109,7
104,4
Вологодская область
16329,3
105,0
17340,6
103,3
108,4
Калининградская область
15615,9
108,1
16931,4
107,3
105,9
Ленинградская область
17953,7
108,9
19444,4
108,5
108,2
Мурманская область
25328,9
114,1
26438,0
112,2
102,7
Новгородская область
14438,8
112,3
15279,0
108,6
109,1
Псковская область
11897,2
112,6
13360,1
115,0
112,1
г.Санкт-Петербург
23297,6
109,7
25058,1
107,7
107,5
Южный
федеральный округ
12584,2
115,0
13811,2
113,6
108,7
Республика Адыгея
10846,9
113,6
11401,6
112,4
105,1
Республика Дагестан
8579,6
121,9
10235,9
121,8
120,8
Республика Ингушетия
10386,2
113,1
11232,7
109,4
103,5
Кабардино-Балкарская Республика
10592,5
118,4
11523,6
117,8
109,5
Республика Калмыкия
10119,4
118,1
10885,6
112,7
108,1
Карачаево-Черкесская Республика
10007,0
109,1
10913,0
108,3
108,4
Республика Северная Осетия Алания
10170,2
117,7
11094,5
116,1
109,0
Ставропольский край
12092,5
117,3
13244,1
116,6
109,5
Астраханская область
13232,1
117,8
14195,9
114,0
104,5
Волгоградская область
12524,8
110,8
13938,0
113,3
110,7
Ростовская область
13199,2
116,8
14067,9
112,6
105,1
Приволжский
федеральный округ
13456,7
108,1
14484,8
106,8
106,5
Республика Башкортостан
14379,5
109,8
15610,6
107,8
106,2
Республика Марий Эл
10769,8
108,0
11722,3
108,2
107,0
Республика Мордовия
11019,3
109,6
11840,9
106,9
105,6
Республика Татарстан
14639,3
103,8
15773,5
102,4
105,5
Удмуртская Республика
12678,2
110,1
13266,2
106,9
103,9
Чувашская Республика
11038,6
103,3
11957,2
100,6
108,2
Пермский край
14843,0
104,8
15916,6
103,7
108,0
Кировская область
12068,1
109,9
13269,0
109,5
107,0
Нижегородская область
13593,0
109,2
14973,2
110,2
108,4
Оренбургская область
12997,9
109,0
13809,2
108,5
105,6
Пензенская область
12551,9
116,1
13410,1
112,4
104,5
Самарская область
14614,5
105,1
15367,2
103,0
105,7
Саратовская область
12487,0
116,8
13621,9
116,1
108,3
Ульяновская область
11140,2
108,9
11838,4
106,9
106,8
Уральский
федеральный округ
21832,9
104,2
23486,0
104,5
107,8
Курганская область
11597,8
107,7
12725,1
106,5
110,6
Свердловская область
17032,5
100,3
17979,2
99,1
105,2
Тюменская область
34288,1
106,1
36889,5
107,3
109,0
в том числе:
Ханты-Мансийский авт.округ Югра
37085,5
104,9
39546,2
105,4
108,4
Ямало-Ненецкий авт.округ
46339,5
108,1
48209,4
107,9
104,4
Челябинская область
14357,9
101,3
15619,3
101,6
107,2
Сибирский
федеральный округ
15993,5
109,7
17322,4
109,9
106,9
Республика Алтай
12102,1
109,1
13174,0
106,5
106,7
Республика Бурятия
15747,3
117,8
18185,9
120,8
110,9
Республика Тыва
15719,9
118,5
16718,5
110,7
105,6
Республика Хакасия
15524,9
111,5
16808,5
109,6
106,1
Алтайский край
10229,3
111,6
10910,6
111,5
104,7
Забайкальский край
15820,5
111,6
17281,5
112,6
107,3
Красноярский край
19595,9
108,5
21016,5
107,7
105,9
Иркутская область
17813,8
110,4
19380,7
112,3
107,3
Кемеровская область
15384,9
104,6
16154,5
103,5
103,8
Новосибирская область
16349,9
Рисунок 5 - Среднемесячная номинальная начисленная заработная плата
Из среднемесячной номинальной заработной платы по России (Рисунок 4) мы можем видеть, что в среднем заработная плата увеличивается, но ценности в реальных показателях не прибавляется, причина тому – инфляция. Заработная плата России идет не на опережение, а в ногу с инфляцией, а зачастую и не догоняет.
Таким образом, сегодня заработная плата большинства россиян не выполняет не воспроизводственной, ни стимулирующей функции. Это в значительной мере объясняет некоторые иррациональные с точки зрения теории рынка мотивы формирования предложения труда и спроса на него.
ЗАКЛЮЧЕНИЕ
В целом, исходя из целей, проанализировав экономическую природу заработной платы, ее дифференциацию, формы и системы оплаты труда, следует сказать, что, несмотря на то, что заработная плата является одной из самых ранних экономических категорий, тем не менее, ее развитие еще не закончено. Теория заработной платы в настоящее время дорабатывается и дополняется. Особенно отчетливо это проявляется на формах и системах оплаты труда работников – постоянно изобретаются новые системы и совершенствуются комбинации уже существующих форм оплаты труда.
Одной из важных проблем в теории заработной платы всегда будет оставаться дифференциация ее уровней. Сегодня, в век специализации, уникальности знаний и профессиональных навыков она только увеличивается. В этой ситуации важная роль отводится государству, которое должно стремиться уменьшить дифференцированность доходов населения, с использованием инструментов социальной политики.
Основными факторами, влияющими на величину заработной платы являются социально-экономические, а также сложность выполняемой работы, соотношение спроса и предложения на рынке труда, вводимый государством гарантированный минимум заработной платы
Относительно России ясно только одно: что необходимо остановить рост инфляции и принять все меры для её снижения. Параллельно с этим необходимо выработать четкую государственную программу регламентизации заработной платы населения, сделав её зависимой от производительности труда и экономики в целом. Заработная плата - важнейший фактор, обостряющий старые и новые проблемы рынка труда, Одним из итогов перехода к рыночной экономике в России явилось снижение доли зарплаты в общей сумме доходов населения. Правительство России устранилось от регулирования оплаты труда, так что работодатель вправе устанавливать заработную плату на каком угодно низком уровне.
Как известно, долгосрочной целью развития России является повышение уровня жизни населения и достижение уровня ВВП в 18 тысяч долларов на душу населения по паритету покупательной способности (ППС), что близко к современному уровню Португалии и Германии. При условии сохранения нынешних темпов роста зарплат поставленная цель может быть достигнута только в 2017 году.
Поставленные в курсовой работе задачи решены достаточно полно, тем не менее, существуют перспективы дальнейшего развития темы.
СПИСОК ЛИТЕРАТУРЫ
1. Акумова Н.В. Научный отчет о результатах исследования по теме: « Разработка минимального отраслевого стандарта оплаты труда в машиностроении», М., 2002.- С.13
2. Берлин Ю.И.Статистическое изучение заработной платы [Электронный ресурс] – Режим доступа: http://209.85.229.132/search?q=cache:7wip6DoVy2QJ:www.vzfei.ru/zip-docs/platforms/stat/l12.doc+статистика+заработной+платы+в+россии&cd=3&hl=ru&ct=clnk&gl=ru&client=firefox-a
3. Библиотека "Полка букиниста".Политика доходов и заработной платы. [Электронный ресурс] – Режим доступа:http://society.polbu.ru/policy_incomes/ch50_i.html
4. Маркс К. Заработная плата, цена и прибыль. Наемный труд и капитал. - М.: Политиздат, 1990. – 108с
5. Яковлев P.A. Концепция реформирования заработной платы. М.: Институт труда Минтруда РФ, 1998.
6. Смит А. Исследование о природе и причинах богатства народов. Книга I, глава V. – М.: Наука, 1993.-579с
7. Соболевская А. Роль заработной платы в рыночной экономике// Мировая экономика и международные отношения. - 2002.- №12.- 54с
8. Среднемесячная номинальная начисленная заработная плата за 2009 год. [Электронный ресурс] – Режим доступа: http://www.gks.ru/gis/tables/UROV-7.htm
9. Тюкавкин Н.М. «Зарплата как элемент экономики», \\журнал экономической теории №3, М.2008. – 140с.
10. Финансовый журнал Аудит [Электронный ресурс] – Режим доступа: http://www.audit-it.ru/articles/personnel/a110/44293.html
Нравится материал? Поддержи автора!
Ещё документы из категории экономика:
Чтобы скачать документ, порекомендуйте, пожалуйста, его своим друзьям в любой соц. сети.
После чего кнопка «СКАЧАТЬ» станет доступной!
Кнопочки находятся чуть ниже. Спасибо!
Кнопки:
Скачать документ