Зношення, амортизація та відновлення основних фондів підприємства
1









































































































































































































































































































ВСТУП
Однієї з найбільше важливих задач розвитку промисловості є забезпечення виробництва насамперед за рахунок підвищення його ефективності і більш повного використання внутрішньогосподарських резервів. Для цього необхідно раціонально використовувати основні фонди і виробничі потужності.
Усі основні засоби, крім землі піддані фізичному та моральному зносу, тобто під впливом фізичних сил, технічних та економічних факторів вони поступово втрачають свої якості та приходять до непотребу. Поступове перенесення вартості діючих основних фондів на готовий продукт та накопичення грошового фонду для заміни зношених об’єктів називається амортизацією. На світі декілька різноманітних концепцій амортизації. На Україні діє “натуралістична” концепція.
Нарахування амортизації (зносу) регламентується П(С)БО №7, за яким амортизація – це систематичне розподілення вартості основних засобів, яка амортизується протягом строку їх корисного використання (експлуатації).
Нарахування амортизації основних засобів робиться такими методами:
прямолінійний;
виробничий;
зменшення залишкової вартості;
прискореного зменшення залишкової вартості;
кумулятивний;
Серед альтернативних методів нарахування амортизації, що передбачені стандартами GAAP, можна визначити такі, як метод списання та заміни, метод групового та змістовного обліку зносу, метод оцінки товарно-матеріальних запасів.
Нарахування амортизації у податковому обліку регламентується Законом України “Про оподаткування прибутку підприємств”, за яким амортизація – це поступове віднесення витрат, що пов’язані з придбанням, виготовленням та покращенням основних фондів, на зменшення скоректованого прибутку у межах поставлених норм амортизаційних відрахувань. У податковому обліку існує метод зменшення залишкової вартості та прискорений метод.
Треба зазначити, що П(С)БО №7 дозволяє нарахування амортизації податковими методами , що приводить до різноманітних протиріч.
Основним питанням амортизаційної політики – який метод амортизаційних відрахувань обрати. Щоб відповісти на це питання треба детально розгляну усі існуючи методи та визначити фактори, що пов’язані з експлуатацією об’єктів основних засобів, бо чітких рекомендацій по цьому у світі не існує. Обраний метод нарахування амортизації закріпляється наказом та відображається у обліковій політиці підприємства.
Отже, амортизаційні відрахування – один з головних джерел здійснення реальних інвестицій. За допомогою амортизації регулюється швидкість звороту основних засобів, інтенсифікується процес її відтворення, регулюється технічна та виробнича політика на підприємстві. В Україні не вироблено амортизаційної політики, яка б дала змогу стимулювати використання одного з найбільших інвестиційних ресурсів. Необхідно створити таку систему амортизації, яка б у рамках загальнодержавного регламенту дала змогу кожному підприємству обирати найсприятливіші режими відновлення основних фондів.
1 ЗНОШЕННЯ, АМОРТИЗАЦІЯ І РЕМОНТ ОСНОВНИХ ФОНДІВ
Процес виробництва здійснюється за умови поєднання робочої сили і засобів виробництва. Засоби виробництва; складаються із засобів праці та предметів праці. У вартісному виразі вони становлять виробничі фонди (виробничі засоби) підприємства, які поділяються на основні та 1 оборотні. Головними ознаками основних фондів є термін І їх експлуатації (більше одного календарного року), вартість і спосіб її перенесення. Основні фонди, у свою чергу, поділяються на основні виробничі та основні невиробничі фонди.
До основних виробничих фондів відносять засоби праці, які беруть участь у процесі виробництва упродовж тривалого періоду, при цьому не змінюють своєї натурально-речової форми і переносять свою вартість на вартість виготовленої продукції частинами.
Основні невиробничі фонди за тривалістю функціонування і втратою споживної вартості подібні до основних виробничих фондів, але між ними існує різниця. Основні невиробничі фонди не беруть безпосередньої участі в процесі виробництва. Джерелом відтворення їх є прибуток підприємства, тоді як джерелом простого відтворення основних виробничих фондів є амортизаційні відрахування. До основних невиробничих фондів належать фонди житлово-комунальних господарств, будинки відпочинку, спортивні табори, дошкільні установи, об'єкти соціально-побутового призначення.
У промисловості залежно від сфери функціонування основні виробничі фонди поділяються на промислово-виробничі та непромислово-виробничі.
До промислово-виробничих фондів належать засоби праці підприємства, призначені для виробництва промислової продукції. Непромислово-виробничі фонди — це засоби праці непромислових підприємств (підприємства сільськогосподарського призначення, ремонтно-будівельні дільниці, транспортні цехи та ін.).
Основні фонди неоднорідні і різняться між собою натурально-речовим складом, термінами служби, призначенням і роллю у виробництві. Все це обумовлює необхідність їх класифікації.
Класифікують основні фонди за видами, функціональною ознакою, галузевою належністю, віковим складом.
Видова класифікація основних фондів, що застосовується в бухгалтерському обліку, така:
земельні ділянки;
капітальні витрати на поліпшення земель;
будинки, споруди та передавальні пристрої;
машини та обладнання;
транспортні засоби;
інструменти, прилади, інвентар (меблі);
робоча і продуктивна худоба;
багаторічні насадження;
інші основні фонди.
Група основних фондів "Земельні ділянки" відображає вартість земельних ділянок, які було придбано відповідно до Указу Президента від 19 січня 1999 р. № 32/99 "Про продаж земельних ділянок несільськогосподарського призначення".
До групи "Капітальні витрати на поліпшення земель" відносять витрати неінвентарного характеру (не пов'язані зі створенням споруд) на культурно-технічні заходи щодо поверхневого поліпшення земель для сільськогосподарського користування, здійснювані за рахунок капітальних вкладень (планування земельних ділянок, корчування площ під ріллю, очищення полів від каменів і валунів, зрізування купин, осушення та ін.).
Група “Будинки, споруди та передавальні пристрої" охоплює будинки і будови, у яких відбуваються основні "допоміжні" та обслуговуючі процеси, адміністративні будівлі та господарські споруди; житлові будинки; споруди (інженерно-будівельні об'єкти — нафтові та газові свердловини, стволи шахт, штольні, тунелі, мости, очисні споруди тощо); передавальні пристрої, лінії та мережі зв'язку, лінії електроживлення та ін.
До групи "Машини та обладнання" відносять насамперед робочі машини та устаткування, силові машини та устаткування (двигуни, генератори та трансформатори), пристрої розподілу електроенергії тощо.
До групи "Транспортні засоби"належать засоби пересування, призначені для переміщення людей та вантажів, а також магістральні трубопроводи, призначенням яких є транспортування рідких і газоподібних речовин від постачальника до місця їх перебування [1].
До групи "Інструменти, прилади та інвентар (меблі)"відносять: ріжучі, ударні, давлючі та ущільнюючі знаряддя праці, включаючи ручні механізовані знаряддя, які працюють за допомогою електроенергії, стисненого повітря тощо, а також будь-які пристрої для обробки матеріалу, здійснення монтажних робіт та ін. До виробничого інвентарю і приладдя належать предмети виробничого призначення, які використовуються для полегшення виробничих операцій під час роботи, обладнання для охорони праці, ємності для зберігання рідких та сипучих речовин. До цієї групи входять також меблі.
До групи "Робоча і продуктивна худоба"належать: робоча худоба — коні, воли, верблюди, віслюки та інші робочі тварини, продуктивна худоба — корови, бики-плідники, буйволи та яки, жеребці-плідники та племінні кобили та ін.
До групи "Багаторічні насадження"відносять усі штучні багаторічні насадження незалежно від їх віку.
До групи "Інші основні засоби"належать усі основні засоби, що не увійшли до зазначених вище груп.
Відповідно до податкового обліку основні фонди класифікують за функціональним призначенням на три групи (Державний класифікатор України "Класифікація основних фондів", який був затверджений 19 серпня 1997 р.).
До першої групи відносять будівлі, споруди, їх структурні компоненти та передавальні пристрої.
До другої групи належать транспортні засоби, меблі, конторське (офісне) обладнання; побутові електромеханічні прилади та інструменти; інформаційні системи, включаючи електронно-обчислювальні та інші машини для автоматичної обробки інформації.
До третьої групи відносять інші основні фонди, що не увійшли до першої та другої груп, включаючи сільськогосподарські машини й знаряддя, робочу і продуктивну худобу та багаторічні насадження.
Згідно з наведеною вище класифікацією та роллю, яку відіграють у процесі виробництва ті чи інші види основних фондів, розрізняють активну та пасивну частини.
До активної частини відносять основні фонди що беруть безпосередню участь у процесі виробництва. Це машини та устаткування, інструменти, прилади та пристрої для вимірювання тощо. До пасивної частини (будівлі, споруди) належать основні фонди, що забезпечують нормальне функціонування виробничого процесу, створюють умови для цього.
Співвідношення різних груп основних фондів у загальній їх вартості становить функціональну (технологічну) структуру основних фондів.
Чим більша питома вага активної частини основних фондів, тим прогресивніша їх структура.
Технологічна структура основних фондів залежить від багатьох факторів, і передусім від таких, як виробничі та матеріально-технічні особливості галузі; технічний рівень виробництва; форми відтворення основних фондів, форми суспільної організації виробництва; географічне розташування підприємства.
Поліпшення структури основних фондів досягається за рахунок: оновлення та модернізації устаткування; механізації та автоматизації виробництва; правильного розроблення проектів будівництва та високоякісного виконання планів будівництва підприємств; ліквідації не використовуваного або мало використовуваного устаткування та встановлення устаткування, що забезпечить правильніші пропорції між його окремими групами.
Галузева структура основних фондів характеризується співвідношенням величини основних фондів різних галузей у їх загальній вартості.
Вікова структура основних фондів являє собою співвідношення різних вікових груп основних фондів у їх загальній вартості.
Планування відтворення основних фондів, амортизації, використання резервів підвищення фондовіддачі зумовлюють необхідність організації обліку й оцінювання основних фондів. Облік основних фондів здійснюється у натуральних та вартісних показниках.
Кожний об'єкт основних фондів обчислюється у натуральних одиницях (штуках), які характеризують певні його параметри (продуктивність, вагу, габарити тощо). Натуральні показники основних фондів використовуються для розрахунку виробничих потужностей, складання балансів устаткування, визначення технічного стану основних фондів.
Вартісні показники основних фондів дають змогу визначити загальний їх обсяг, динаміку, знос, нарахувати амортизацію, розраховувати собівартість продукції, рентабельність підприємства.
Залежно від часу оцінювання, характеру і стану основних фондів розрізняють:
балансову вартість основних фондів на рівні їх первісної (реальної) вартості;
балансову вартість основних фондів на рівні їх первісної вартості.
Первісна вартість основних фондів — це фактична собівартість основних фондів, сплачена (передана) на дату їх придбання (створення). Первісна вартість складається з таких витрат:
суми, що сплачують постачальникам засобів праці (продавцям) та підрядникам за виконання будівельно-монтажних робіт;
реєстраційні збори, державне мито та аналогічні платежі, що здійснюються у зв'язку з придбанням (отриманням) прав на об'єкти основних фондів;
суми ввізного мита;
суми непрямих податків у зв'язку з придбанням (створенням) основних фондів (якщо вони не відшкодовуються підприємству);
витрати зі страхування ризиків доставляння основних фондів;
витрати на установлення, монтаж, налагодження основних фондів;
інші витрати, безпосередньо пов'язані з доведенням основних фондів до стану, у якому вони придатні для використання із запланованою метою.
Первісна вартість основних фондів, придбана в обмін, дорівнює їх справедливій вартості.
Справедлива (реальна) вартість об'єкта основних фондів дорівнює сумі, за якою цей об'єкт може бути обмінений у разі здійснення угоди між компетентними, обізнаними, заінтересованими та незалежними сторонами. Справедлива вартість основних фондів визначається також при їх переоцінці.
Справедливою вартістю в більшості випадків є ринкова вартість за умови тривалого збереження способу господарського використання відповідних об'єктів, тобто використання для ведення одного й того самого або аналогічного виду діяльності. Ринкова вартість визначається професійними оцінювачами. У разі неможливості отримання інформації про ринкову вартість яких-небудь об'єктів через їх специфічний характер вони переоцінюються за відновленою вартістю з урахуванням фактичного зносу.
Сума коштів (їх еквівалентів) або інших форм компенсації, яку необхідно було б витратити для придбання (або створення) такого самого засобу праці на дату складення звітності, називається відновленою вартістю.
Залишкова вартість основних фондів визначається як різниця між вартістю, за якою об'єкт основних фондів був занесений на баланс підприємства, та сумою зносу, тобто тієї частини вартості основних фондів, яку вони в процесі виробництва перенесли на вартість готової продукції. Залишкова вартість основних фондів на час їх вибуття з експлуатації, обумовленого зношенням, називається ліквідаційною вартістю.
Ліквідаційна вартість — це сума коштів, яку підприємство має отримати від реалізації (ліквідації) основних фондів після закінчення періоду їх корисного використання (експлуатації) за вирахуванням витрат, пов'язаних із реалізацією (ліквідацією).
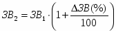
Показники ліквідаційної вартості є розрахунковими, оскільки вони визначаються на підставі приблизних розрахунків, а не за допомогою безпосереднього вимірювання. Використання показників ліквідаційної вартості дає змогу більш обґрунтовано визначити ту частину вартості об'єкта, яка має бути віднесена на витрати протягом періоду його використання підприємством (за умови достатньо точного визначення ліквідаційної вартості). Підприємство здійснює переоцінку об'єктів основних фондів, якщо їх залишкова вартість значно (більше як на 10%) відрізняється від справедливої вартості на дату складення балансу. Під час переоцінки об'єкта основних фондів на ту саму дату здійснюється переоцінка всіх об'єктів групи основних фондів, до якої належить цей об'єкт. Переоцінена первісна вартість та сума зносу об'єкта основних фондів визначаються множенням відповідно первісної вартості і суми зносу об'єкта основних фондів на індекс переоцінки. Індекс переоцінки обчислюється діленням справедливої вартості об'єкта, який переоцінюється, на його залишкову вартість. Основні фонди в процесі експлуатації піддаються зносу. Знос основних фондів — це втрата ними своєї вартості. Розрізняють два види зносу — фізичний та моральний.
Фізичний знос — це поступова втрата основними фондами своєї первісної споживної вартості, яка обумовлена не тільки їх функціонуванням, а й їх бездіяльністю (руйнування від зовнішнього, атмосферного впливу, корозії). Унаслідок фізичного зносу основних фондів погіршуються їх техніко-економічні та соціальні характеристики - знижується продуктивність, збільшуються експлуатаційні витрати, змінюється режим роботи тощо. На фізичний знос впливають якість основних фондів, їх технічна досконалість (конструкції, вид і якість матеріалів); особливості технологічного процесу (величина швидкості та сили різання, подання тощо), режим роботи, організація догляду, якості і своєчасність ремонту, якість перероблюваної сировини, ступінь захищеності від зовнішніх умов (вологості, кислотності, атмосферних опадів) тощо.
Розрізняють фізичний частковий та фізичний повний знос основних фондів. Частковий знос можна усунути. Це означає, що споживні вар тості основних фондів відновлюються за рахунок ремонту. Повний знос не можна усунути, він зумовлює необхідність ліквідації зношених фондів та заміни їх новими. Рівень зносу основних фондів та оцінку їхньої придатності визначають під час інвентаризації та переоцінки основних фондів. Мірилом фізичного зносу є коефіцієнт фізичного зносу[1].
Моральний знос, як правило, настає раніше фізичного зносу, тобто основні фонди, які ще можуть бути використані, економічно вже не ефективні. Моральний знос - це зменшення вартості основних фондів під впливом підвищення продуктивності праці в галузях, що виробляють засоби праці (скорочення суспільно необхідних витрат на їх відтворення), а також у результаті створення нових, більш продуктивних і економічно вигідних машин та устаткування, ніж ті, що перебувають в експлуатації.
Таким чином, моральний знос виявляється у двох формах. Перша полягає в знецінення старих засобів у результаті зниження вартості їх відтворення, друга — як наслідок знецінення старих основних фондів через створення нових, більш ефективних.
У сучасних умовах дедалі більшого значення набуває врахування морального зносу. Поява нових, досконаліших видів машин та устаткування з підвищеною продуктивністю, кращими умовами обслуговування та експлуатації обумовлює неефективність подальшого використання старих засобів праці, оскільки на них виробляється більш дорога і гіршої якості продукція (нижча продуктивність праці, більші амортизаційні відрахування). Тому застарілі засоби праці доцільно заміняти новими ще до закінчення їхнього фізичного строку служби. Моральному зносу другої форми підлягає в основному активна частина основних фондів. Характерною особливістю застосовуваних основних фондів у процесі виробництва є їх відновлення. Для відновлення засобів праці у натуральному виразі необхідне їх відшкодування у вартісній формі, яке здійснюється шляхом амортизації. Об'єктом амортизації є всі основні фонди (крім землі). Амортизація — це процес перенесення вартості основних фондів на вартість новоствореної продукції з метою їх повного відновлення. Для відшкодування вартості зношеної частини основних фондів підприємства відраховують певні суми грошей відповідно до розмірів їх зносу (фізичного та морального), які включають до собівартості новоствореної продукції. Ці відрахування називаються амортизаційними. Після реалізації створеної продукції частина грошової суми, що відповідає перенесеній вартості основних фондів, відокремлюється і накопичується до повної величини, яка в основному відповідає первісній вартості основних фондів. Накопичені амортизаційні відрахування і є джерелом відновлення основних фондів
Амортизаційні відрахування здійснюють за певними нормами відносно балансової вартості об'єкта основних фондів. Норма амортизації — це встановлений річний відсоток відшкодування вартості зношеної частини основних фондів. Норма амортизації розраховується за формулою:
,
де - термін служби.
Норми амортизації, які застосовуються на підприємстві, мають бути економічно обґрунтованими і спрямованими на своєчасне відшкодування основних фондів. Під час їх розрахунку дуже важливо правильно визначити термін використання (експлуатації) основних фондів, який установлюється підприємством при зарахуванні об'єктів основних фондів на баланс. Термін використання (експлуатації) об'єкта основних фондів переглядається в разі зміни очікуваних підприємством економічних вигод від його експлуатації. У такому разі відповідно до нового терміну використання і будуть визначатись норми амортизації об'єкта основних фондів. Важливими у системі амортизації є методи її нарахування, які дають змогу активно впливати на обсяг амортизаційних відрахувань, ступінь концентрації ресурсів у різні періоди функціонування фондів, що дає змогу динамічно підходити до створення основних фондів, ураховувати вплив чинника часу. Вибір методу амортизації визначається низкою об'єктивних чинників залежно від специфіки виробництва, темпів технічного прогресу, складності та особливостей розрахунків тощо.
Відомі такі основні методи амортизації.
Прямолінійний (рівномірний) метод полягає в тому, що кожного року на собівартість виготовленої продукції переноситься однакова частина вартості основних фондів. За такого методу щорічні амортизаційні відрахування обчислюються за формулою:
.
Прямолінійний метод амортизації є простим, наочним, забезпечує рівномірні, стабільні амортизаційні накопичення протягом усього терміну служби. Водночас цей метод має низку недоліків.
По-перше, цей метод передбачає рівномірний знос основних фондів протягом усього терміну їх використання, але в реальному виробництві устаткування зношується нерівномірно (простої, поломки, неповне завантаження за зміну) і вартість основних фондів на вартість продукції переноситься нерівномірно.
По-друге, прямолінійний метод амортизації не враховує морального зносу основних фондів, який зменшує вартість машин та устаткування або зменшує можливу їх вартість за рахунок введення в експлуатацію нових, більш досконалих, ефективних машин та устаткування. Це обумовлює дострокове виведення застарілої техніки з експлуатації, а значить, і недоамортизацію цієї техніки. Збитки від недоамортизації відбиваються на результатах діяльності підприємства. Методи прискореної амортизації. Ці методи дають змогу протягом першої половини корисного строку використання основних фондів відшкодувати до 60—70% їх вартості завдяки застосуванню в цей період підвищених норм амортизації. Прискорена амортизація означає щорічне зниження суми амортизаційних відрахувань, тому методи прискорення амортизації - це методи дегресивної амортизації.
Доцільність застосування методів прискорення амортизації пояснюються такими обставинами:
найбільша інтенсивність використання основних фондів припадає на перші роки їх експлуатації, коли вони фізично і морально ще є новими;
накопичуються кошти для заміни об'єкта, що амортизується, у разі його швидкого морального старіння та інфляції [1].
Найпоширенішими методами прискореної амортизації є метод зменшення залишкової вартості та методу суми чисел (кумулятивний метод).
Метод зменшення залишкової вартості передбачає визначення суми амортизаційних відрахувань множенням залишкової вартості об'єкта на початок звітного періоду або первісної вартості на дату початку нарахування амортизації на річну норму амортизації (у відсотках), яка визначається за такою формулою:
,
,
де - строк служби.
Кумулятивний метод (метод суми чисел) характеризується також більш високими нормами амортизації в першій половині строку використання і поступовим їх зниженням у другій половині. Норма амортизації тут — величина змінна і розраховується діленням числа років (що залишились до кінця амортизаційного строку служби) на кумулятивне число, що являє собою суму чисел членів арифметичної прогресії (від 1 до 7, якщо строк служби сім років). Кумулятивне число розраховується як сума числових значень років служби устаткування. При семирічному терміні служби це дорівнюватиме:
1 + 2 + 3 + 4 + 5 +6 + 7 = 28,або (1 + 7) : 2 • 7 = 28.
Норма амортизації для першого року (коли залишилось сім років строку служби) дорівнюватиме
(7 : 28)100% = 25%,
для другого року (коли залишилось шість років служби)
(6:28)100% = 21,43%.
При використанні цього методу в перші три роки амортизовано буде понад 64% вартості основних фондів, а через п'ять років — майже 90%.
Досвід показує, що застосування методів прискореної амортизації основних фондів зумовлюється їх узгодженістю з конкретним механізмом ринкових відносин. Ці методи слугують для підприємств гарантією від втрат унаслідок знецінення основних фондів, посилюють роль амортизації як джерела нагромадження.
Виробничий метод амортизації ґрунтується на передбаченні, що функціональна корисність основних фондів залежить не від часу, а від результатів їх використання. При цьому термін корисної служби визначається кількістю продукції та обсягом послуг, які підприємство планує виготовити або надати, використовуючи наявні засоби праці. При використанні цього методу річна сума амортизації визначається як:
,
де - річний обсяг виробництва.
Виробничий метод амортизації застосовується на промислових підприємствах з нерівномірним випуском продукції по періодах.
Підприємства України можуть застосовувати норми й методи нарахування амортизації основних фондів, передбачені податковим законодавством, згідно з яким амортизаційні відрахування обчислюються окремо за кожною з трьох груп основних фондів, визначених за функціональним призначенням. Суми амортизаційних відрахувань звітного періоду визначаються множенням норми амортизації на балансову вартість групи основних фондів на початок звітного періоду.
Річні норми амортизації для кожної з груп основних фондів установлені такі:
група 1— 5% (квартальна 1,25%);
група 2— 25% (квартальна 6,25%);
група 3 —15% (квартальна 5,75%).
У процесі використання основні фонди піддаються фізичному зносу. Різниця в умовах їх експлуатації призводить до того, що окремі об'єкти основних фондів, їх складові елементи зношуються нерівномірно. Звідси виникає необхідність заміни або відновлення зношених конструктивних елементів засобів праці з метою відтворення їх споживних вартостей та підтримування у робочому стані до закінчення строку корисної експлуатації. Здійснюється все це за допомогою ремонтних робіт.
Ремонт це комплекс робіт щодо підтримування основних фондів у робочому стані протягом усього строку їх служби. Залежно від ролі у відтворенні та оновленні основних фондів усі види ремонту поділяються на поточні та капітальні. З допомогою поточного ремонту усуваються дрібні неполадки, ушкодження, замінюються окремі деталі, попереджається прогресуючий фізичний знос. Отже, поточний ремонт не відновлює основних фондів, а лише підтримує їх у робочому стані.
Капітальний ремонт, зумовлений нормальним закономірним зносом основних фондів. Під час капітального ремонту об'єкти основних фондів повністю демонтуються, замінюються або відновлюються зношені конструктивні елементи, вузли; максимально відновлюються їх первісні техніко-експлуатаційні параметри. Цей вид ремонту веде до оновлення основних фондів і на відміну від поточного набагато складніший за обсягом виконуваних робіт, потребує значних одноразових витрат і здійснюється один раз на кілька років.
Особливим видом найскладніших ремонтів є відновний ремонт основних фондів, спричинений їх зруйнуванням унаслідок стихійних лих (пожежі, повені, землетрусу), досить тривалою бездіяльністю.
У міжремонтний період працездатність основних фондів підтримується за допомогою таких профілактичних заходів, як усунення незначних поломок, чищення, змащування, регулювання тощо. Усі організаційні та технічні заходи з догляду, обслуговування та ремонту здійснюються в певній послідовності відповідно до типових систем технічного обслуговування та ремонту основних фондів, що застосовуються на підприємствах.
Протягом усього фактичного періоду експлуатації устаткування капітально ремонтують кілька разів, у зв'язку з цим виникає необхідність економічної оцінки доцільності капітальних ремонтів, особливо наступних після першого.
Оцінюючи ефективність капітального ремонту, порівнюють два варіанти витрат: перший — капітальний ремонт зношеного устаткування, другий - придбання нового устаткування, що замінить старе, яке потребує ремонту. Витрати за першим варіантом будуть складатись: з витрат на ремонт (Рк) — вартість замінюваних елементів, витрати на заробітну плату при проведенні ремонтних робіт тощо та експлуатаційних витрат (Ср) протягом одного ремонтного циклу на капітально відремонтовану машину. Ремонтний цикл охоплює період від початку експлуатації до першого капітального ремонту або період між двома капітальними ремонтами.
Витрати за другим варіантом охоплюють вартість придбання та встановлення нової машини (К11),експлуатаційні витрати по новій машині (Сн) та втрати від недоамортизації діючої машини (Са). Крім цього, необхідно врахувати відмінність у продуктивності і тривалості ремонтного циклу капітально відремонтованого та нового устаткування.
Капітальний ремонт устаткування найчастіше поєднується з його модернізацією — удосконаленням засобів з метою повного або часткового усунення морального зносу (другої форми) та підвищенням техніко-експлуатаційних параметрів до рівня сучасних вимог виробництва.
Витрати на поточний ремонт є постійними і відносно рівномірними протягом експлуатаційного періоду, а тому їх відносять до поточних витрат, що включаються до собівартості продукції (наданих послуг). Проведення капітального ремонту потребує значно більших одноразових витрат, які визначають заздалегідь і відносять на собівартість продукції рівномірно протягом ремонтного циклу. Витрати на капітальний ремонт, що забезпечують поліпшення стану основних фондів (продовжується строк корисного використання, підвищується продуктивність засобів праці), входять до балансової вартості основних фондів.
Відновний ремонт фінансується з державного резервного фонду. За характером та обсягом робіт, що виконуються, його відносять до капітального будівництва.
2. РОЗРОБКА УСТАНОВЧИХ ДОКУМЕНТІВ
Основними установчими документами для утворення суб’єкту підприємницької діяльності – юридичної особи є засновницький договір та статут. Засновницький договір – це угода між засновниками суб’єкта підприємницької діяльності, в якій регламентується питання створення юридичної особи, формування статутного фонду, даються відомості про засновників, обумовлюються майнові, фінансові, організаційні умови взаємодії між засновниками, порядок розподілу прибутків та покриття збитків. При складанні засновницького договору особливу увагу слід звернути на визначення конкретних розмірів, строків і порядку участі засновників (учасників) формуванні статутного фонду; умов участі засновників (учасників) у розподілі прибутків та покритті збитків; прав та обов’язків засновників (учасників) тощо. Основним документом, що регламентує діяльність юридичної особи є статут. Завдання статуту – дати повне уявлення про правовий статус і види діяльності суб’єкта підприємницької діяльності як самостійного суб’єкта господарювання. У цьому розумінні статут - це нормативний документ, який доповнює і конкретизує більшість положень засновницького договору.
Чинне законодавство не містить спеціальних вимог до змісту та розмежування окремих положень статуту. Згідно завдання потрібно розробити установчі документи виробничого кооперативу, величина статутного фонду якого 10 тис. грн. Засновниками якого є 7 фізичних осіб, займається підприємство виготовленням телевізорів. Виробничі кооперативи – це добровільне об’єднання фізичних осіб (громадян) для спільного здійснення господарської діяльності, що базується на їх особистій трудовій участі та об’єднанні майнових пайових внесків. Членами виробничого кооперативу можуть бути особи, які досягли 16-річного віку. Кількість членів виробничого кооперативу не може бути меншою, ніж три особи. Джерелом формування статутного фонду є вступні та пайові внески засновників. Величина статутного фонду законодавчо не обумовлена.
Майно, продукція і прибуток виробничого кооперативу є власністю кооперативу, але кожен член кооперативу має в цій власності свою частку (пай).І при виході з кооперативу цей пай повертається учаснику. Всі учасники виробничого кооперативу мають право брати участь в управлінні підприємством шляхом голосування на загальних зборах за принципом – “одна особа – один голос”. Виробничі кооперативи мають дво-, три- або чотирирівневі схеми управління. Найповніша – це чотирирівнева схема управління: загальні збори членів кооперативу → спостережна рада → правління → ревізійна комісія.
Використовуючи відомості про виробничі кооперативи, складаємо засновницький договір виробничого кооперативу – основний установчий документ, наведений в додатку А. Реєстраційна картка – документ встановленого зразка, який підтверджує волевиявлення особи (осіб) щодо створення та державної реєстрації суб’єкта підприємницької діяльності – юридичної особи. Реєстраційна картка заповнюється машинодруку або від руки друкованими літерами. Реєстраційна картка виробничого кооперативу приведена в додатку Б. Свідоцтво про державну реєстрацію – це документ встановленого зразка, який засвідчує факт внесення до Єдиного державного реєстру запису про державну реєстрацію юридичної особи.
Свідоцтво про державну реєстрацію виробничого кооперативу наведене в додатку В. Отже, підготовчим етапом підприємництва є створення установчих документів та проведення державної реєстрації. Лише після реєстрування підприємства в Єдиному державному реєстрі можна законно починати діяльність. Свідченням того, що суб’єкт підприємництва зареєстрований є свідоцтво. В установчих документах вказані основні положення про діяльність та майно підприємства, його засновників та правовий статус [2].
3. РОЗРОБКА КОМЕРЦІЙНОЇ ІДЕЇ ТА ОЦІНКА ЇЇ НА ПРЕДМЕТ МОЖЛИВОСТІ РЕАЛІЗАЦІЇ
Одним із важливих завдань при започаткуванні підприємства є вибір виду діяльності та розробка комерційної ідеї, з якою майбутній підприємець планує вийти на ринок. Комерційна ідея – це конкретне цілісне знання про доцільність, можливість та ефективність розробки і впровадження певного технічного або іншого рішення. Це те, що може бути реально зроблено та поставлено на ринок.
Життєздатні комерційні ідеї потрібні не лише для того, щоб розпочати власну справу, але для успішного функціонування бізнесу на всіх його етапах.
Нові комерційні ідеї потрібні для:
розробки нових видів продукції, послуг;
захоплення нових ринків та залучення нових клієнтів;
зменшення рівня витрат виробництва;
підвищення прибутковості бізнесу тощо;
При розробці комерційної ідеї потрібно пам’ятати про три обставини:
1. Нові ідеї генерувати важко;
2. Існують традиційні висловлювання, які можуть “знищити” розроблену ідею “на пні”. До таких висловлювань належать: “Це не буде працювати”, “Це вже використовували чи випробували”, “Хто за це буде платити”, “Це дурниця” тощо.
Є такі основні підходи до розробки комерційної ідеї:
запозичити чужу ідею.
використати якійсь унікальний фактор.
запропонувати абсолютно нову ідею, якої до цього ще не було.
Наука і практика розробили чимало методів творчого пошуку комерційної ідеї [2].
В даній курсовій роботі комерційна ідея розробляється методом, який базується на використанні так званої карти ідей. Даний метод передбачає виконання низки дій, які можна об’єднати в певні етапи розробки.
Ключове слово для розробки комерційної ідеї [2]: Телевізори.
Перший етап розробки комерційної ідеї полягає в заповнення карти ідей за наступними напрямками та в виборі пріоритетної позиції:
Виробництво: Плоскі, плоскі рідинно-кристалічні, домашні кінотеатри, плазмові панелі, підставки, тумби для телевізорів, широкоформатні телевізори.
Торгівля: Різноманітні моделі телевізорів, підставки для телевізорів, засоби для догляду за телевізорами.
Послуги: Упаковка та установка телевізорів, настройка кабельного, супутникового телебачення.
Обрана пріоритетна позиція: Виготовлення плоских рідинно-кристалічних телевізорів.
Таблиця 3.1 – Проблеми, що вирішує потенційна комерційна ідея
Потенційна комерційна ідея
(виробництво, товар, послуга)
Які проблеми вирішуються?
1. Виготовлення широкоформатних телевізорів.
1. Гігієни зору.
2. Телевізору для великого приміщення.
3. Повноцінного сприйняття фільму.
2. Маленькі рідинно-кристалічні телевізори.
1. Телевізору на кухні.
2. Телевізору для маленького приміщення.
3. Транспортабельності телевізору.
3. Навесні телевізори.
1. Збереження місця.
2. Надання оселі певного стилю.
3. Захисту телевізору від механічних пошкоджень.
4. Ультратонкі телевізори.
1. Надання інтер’єру оригінальності.
2. Збереження місця в оселі.
3. Задоволення потреб покупців.
Другий етап розробки полягає в формуванні потенційної комерційної ідеї з врахуванням того, які саме проблеми можуть бути вирішені у випадку реалізації даної комерційної ідеї. Проаналізувавши потенційну комерційну ідею заповнюємо таблицю 3.1. Обрана комерційна ідея: “Виготовлення навісних ультра тонких телевізорів з сріблястою, чорною, білою рамкою”.
Третій етап полягає в уточненні потенційної комерційної ідеї з врахуванням можливих змін в потребах, смаках та уподобаннях споживачів.
Для уточнення комерційної ідеї відповідно до змін в потребах, смаках, уподобаннях заповнюємо таблицю 3.2
Таблиця 3.2 – Уточнення комерційної ідеї
Зміни
Конкретні зміни
Нові можливості, що відкриваються при врахуванні змін
1. Стилю життя
1. Підвищення ролі особистості.
2. підвищення добробуту людей.
3. Надання значної уваги фірмовим речам.
1. Окремий телевізор в кожну кімнату.
2. Збільшення кількості споживачів.
3. Виготовлення брендових моделей.
2. Моди
1. На стиль “Хай тек” в інтер’єрі.
2. На плазмові широкоформатні телевізори.
3. На вбудовані телевізори.
1. Розробка нового дизайну для телевізорів.
2. Створення домашнього кінотеатру.
3. Телевізори, що не кидаються в очі, коли вони вимкнені.
3. Технологій
1. Поява нових мікросхем.
2. Поява нової системи передачі зображення.
3. Поява нової технології виготовлення телевізорів.
1. Створення майже будь-якого телевізору за формою та розмірами.
2. Можливо створити надзвичайно тонкий телевізор.
3. Підвищення надійності та швидкості виготовлення телевізорів.
Уточнена комерційна ідея: “Виготовлення ультра тонких надійних телевізорів”. Четвертим етапом розробки комерційної ідеї є удосконалення потенційної комерційної ідеї з метою надання їй більш привабливих рис.
Ідея: “Виготовлення вбудованих ультра тонких надійних телевізорів, що встановлюються фірмою-продавцем або безпосередньо виробником”.
П’ятий етап розробки комерційної ідеї полягає в удосконаленні комерційної ідеї за рахунок внесення в цю ідею спеціальних знань та навичок самого розробника. Ідея: “Виготовлення вбудованих ультра тонких надійних телевізорів, що встановлюються фірмою-продавцем або безпосередньо виробником. З вбудованими колонками, що відключаються, якщо телевізор підключається до системи домашнього кінотеатру”.
Шостий етап полягає в оцінюванні комерційної ідеї на предмет можливості її реалізації. Для оцінювання ідеї на предмет можливості її реалізації потрібно відповісти на запитання, заповнивши таблицю 2.3
Таблиця 3.3 – Оцінювання комерційної ідеї на предмет можливості її реалізації
Питання
Так
Ні
Чи є потреба в додатковій інформації?
1. Чи буде працювати Ваша ідея?
+
2. Чи буде ця ідея спрацьовувати протягом певного (визначеного) часу?
+
3. Чи будуть люди за це платити?
+
4.Чи достатня кількість людей буде за це платити?
+
5. Чи усвідомлюєте Ви, які потреби людей при цьому задовольняються?
+
6.Чи знаєте Ви, якими будуть витрати на реалізацію висунутої комерційної ідеї?
+
7. Чи безпечна Ваша ідея?
+
8. Чи законна Ваша ідея?
+
9. Чи сподобається Ваша ідея іншим людям?
+
10. Чи можете ви знайти необхідну кількість грошей для реалізації ідеї?
+
11. Чи потрібно Вам спеціальне обладнання?
+
12. Чи володієте ви необхідними навичками (знаннями) для реалізації ідеї?
+
13. Чи потрібен Вам персонал зі спеціальними знаннями (навичками) для реалізації запропонованої ідеї?
+
Отже, ідея виготовлення ультра тонких телевізорів, що легко вбудовуються в стіну, з вбудованими колонками та можливістю підключення системи домашнього кінотеатру є новою та цікавою ідеєю. Дана ідея повинна знайти свого споживача на ринку. Оцінка ідеї на предмет можливості реалізації показала, що ідею доцільно реалізувати якнайшвидше.
4 ВИБІР ОПТИМАЛЬНОГО МІСЦЯ РОЗТАШУВАННЯ ПІДПРИЄМСТВА
Одним із найважливіших стратегічних питань підприємництва відноситься вибір місця розташування суб'єкта бізнесу - підприємства. При цьому потрібно розрізняти такі питання:
- вибір місця розташування офісу підприємства;
- вибір місця розташування самого підприємства.
Місцем розташування підприємства є те місце, де знаходяться його виробничі, торговельні та інші підрозділи, які безпосереднім чином впливають на отримання доходів. Якщо ці приміщення розташовані за різними адресами, тобто підприємство має декілька місць розташування, то прийнято говорити про «фірму», представлену багатьма підприємствами.
Вибір місця розташування підприємства може бути обмеженим або вільним. Обмежений вибір характерний для підприємств, які «прив'язані» до джерел сировини або енергії. Всі інші підприємства мають вільний вибір місця розташування, отже можуть вибрати таке місце, яке буде здаватися їм найкращим.
На вибір місця знаходження підприємства впливають такі основні фактори:
- витрати на транспортування матеріалів, сировину, комплектуючі;
- витрати на заробітну плату в місці знаходження підприємства;
- витрати на орендну плату (або вартість будівництва нових основних засобів);
- відрахування за діючою системою оподаткування в місці розташування підприємства;
- вплив інфраструктури тощо.
Аналізуючи зазначені фактори, потрібно враховувати, що всі вони мають різний вплив для підприємств різних видів діяльності. Так, для підприємств, які надають послуги, важливо, щоб клієнтура мала вільний та зручний доступ до них. Для промислових підприємств потрібно, щоб витрати на доставку матеріалів, сировини, робочої сили, комунальні послуги, витрати на транспортування готової продукції до споживачів були мінімальними. Для торгівельних підприємств потрібно, щоб до них могли потрапити якомога більше покупців, щоб ці покупці мали високу купівельну спроможність, щоб витрати на оренду приміщень, транспортування товарів до торгових точок, витрати на рекламу цих товарів тощо були найнижчі. Потрібно також враховувати наявність поблизу підприємства конкурентів, які можуть відтягувати на себе певну кількість потенційних покупців тощо.
Основна проблема вибору місця розташування підприємства полягає в тому, що ні результати діяльності цього підприємства, ні відповідні витрати не можна визначити точно. Всі вони будуть мати певну невизначеність, тому вибране місце розташування підприємства може виявитись неоптимальним. Із цього витікає, що вибір місця розташування підприємства - це проблема прийняття рішень в умовах невизначеності, яку слід вирішувати шляхом зіставлення альтернативних розрахунків, на основі яких вибирається найкращий варіант.
Найтяжче оцінити такий фактор, як вплив інфраструктури. Так, недостатній розвиток сітки вулиць, залізниць, портів, енергопостачання тощо, з одного боку, збільшує витрати на доставку матеріалів, сировини тощо, а з іншого боку, зменшує витрати на заробітну плату, тому що все це характерно для країн, що розвиваються, де рівень зарплати низький. Окрім цього недостатньо розвинута транспортна система вимагає наявності більш змістовних складів, що потребує додаткових витрат на їх оренду, обслуговування тощо.
Загальне правило вибору оптимального місця розташування підприємства: «Підприємство повинно бути розташовано там, де результати його роботи, які залежать безпосередньо від місця знаходження підприємства, в найбільшій мірі перевищували б відповідні витрати».
Отже, кращим буде таке розташування підприємства, де так званий брутто-прибуток (БП), тобто прибуток, який безпосередньо залежить від місця знаходження підприємства, буде найбільшим:
БП = Д—Вмаксимум, a (4.1)
де Д - дохід (виторг) підприємства за рік, грн.;
В - річні витрати, які безпосередньо залежать від місця розташування підприємства, грн.
Вибрати оптимальне місце розташування підприємства (варіант 20).
Для кожного із варіантів можливого розташування підприємства, які задані в завданні, нарисуємо схеми руху, за якими матеріали та сировина будуть доставлятися з пункту, який визначає джерело постачання (В), до точок, в яких планується розмістити підприємство (5, 21,7, 10). Схема руху від джерела постачання до точок, де можна розташувати підприємство показана на рисунку 4.1
Рисунок 4.1 Схема руху від джерела постачання до точок, де можна розташувати підприємство
Таблиця 4.1 – Показники, що характеризують діяльність підприємства
Вар.
αі
Зі
β
Nі
dі
S
K
λ
δ
Р
Ц
М
грн/ тонно
-км
грн./ міс.
чол.
грн./
кв.м
кв.м
тис. грн.
%
%
тис.
чол.
грн.
кг
20
1,56
109
0,3
5
3,2
103
91
1,1
27
1107
27
2,1
1. Керуючись схемами вибраних маршрутів доставки матеріалів та сировини, розрахуємо довжину маршрутів L для кожного із варіантів, в км.:
L5 = 3+7.3=10.3км;
L7 =5.8+2.1=7.9км;
L10 =3+2=5км;
L21 =3+5.9+3.7=12.6км.
Розрахуємо масу матеріалів та сировини, яка буде перевозитись за рік за кожним із варіантів маршрутів, за формулою:
тонн, (4.2)
де - маса одного виробу, кг;
- кількість потенційних покупців, які мешкають в регіоні;
- коефіцієнт, який враховує, скільки саме покупців, які проживають в регіоні, завітають до підприємства:
якщо підприємство знаходиться в елітному, центральному районі з дуже розвинутою інфраструктурою, то = 0,3 ... 0,4;
якщо підприємство знаходиться в районі з розвинутою інфраструктурою, або у вільній економічній зоні, то = 0,1 ... 0,15;
- якщо підприємство знаходиться в звичайному районі, то
=0,025 ... 0,05;
- коефіцієнт, який враховує, скільки потенційних покупців зроблять покупки, зайшовши до даного підприємства:
якщо підприємство знаходиться в елітному, центральному районі з дуже розвинутою інфраструктурою, то = 0,1 ... 0,15;
якщо підприємство знаходиться в районі з розвинутою інфраструктурою або у вільній економічній зоні, то = 0,12 ... 0,17;
якщо підприємство знаходиться в звичайному районі, то =
= 0,15 ... 0,2.
Оскільки підприємство “5” розташоване в звичайному районі, то вибираємо наступні коефіцієнти:
К =0,033; К=0,18.
Підприємство “7” розташоване в районі з розвинутою інфраструктурою, то вибираємо наступні коефіцієнти:
К =0,13; К =0,15.
Оскільки підприємство “10” розташовані в вільній економічній зоні, то вибираємо наступні коефіцієнти:
К =0,13; К =0,14 .
Оскільки підприємство “21” розташоване в елітному, центральному районі з дуже розвинутою інфраструктурою, то вибираємо наступні коефіцієнти:
К =0,35; К=0,12.
Підставивши значення в формулу 4.2, отримаємо:
Q5 = 13,8 тонн;
Q7 = 45,33 тонн;
Q10 = 42,3 тонн ;
Q21 = 97,63 тонн;
За формулою 4.3 для кожного із варіантів розташування підприємства розрахуємо виручку (виторг) підприємства за рік:
(грн.), (4.3)
де - середня ціна одиниці товару, грн.;
- кількість потенційних покупців, які мешкають в даному регіоні.
Підставивши значення, отримаємо:
Д5 = 2711070000,0330,18=177540,66 грн. ;
Д7 = 2711070000,130,15= 582835,5 грн.;
Д10 = 2711070000,130,14= 543979,8 грн.;
Д21 = 2711070000,350,12=1255338 грн.;
За формулами 4.4 і 4.8, для кожного із варіантів розрахуємо
витрати, які залежать від місця розташування підприємства. Витрати та транспортування матеріалів та сировини, комплектуючих, готової продукції від джерел постачання до місця розташування підприємства можна розрахувати за формулою:
(грн.), (4.4)
де - вартість транспортування 1 тонно-км вантажу даного виду, грн.;
- відстань від джерела постачання до місця розташування підприємства, км.;
- маса матеріалів, сировини, комплектуючих, готової продукції, які постачаються на підприємство від джерела постачання за рік, тонн;
- кількість видів сировини, матеріалів, готової продукції, комплектуючих тощо.
- коефіцієнт, який враховує додаткові витрати на переміщення транспортних засобів від джерел постачання до місця знаходження підприємства, включаючи оплату проїзду транспорту порожняком:
- якщо підприємство знаходиться в елітному, центральному районі з дуже розвинутою інфраструктурою, то = 1,25 ... 1,5;
- якщо підприємство знаходиться в районі з розвинутою інфраструктурою, то = 1,1 ... 1,25;
- якщо підприємство знаходиться в звичайному районі або у вільній економічній зоні, то =1,00 ... 1,10.
B15 = 1,051,5610.313,8=232.82грн.;
B17 = 1,21,567.945,33=670.37грн.;
B110 = 1,051,56542,3=346.43грн.;
B121 = 1,331,5612.697,63=2552.29грн.
Витрати на заробітну плату персоналу підприємства , включаючи її доставку до місця роботи, можна розрахувати за формулою:
(грн.), (4.5)
де - середньомісячна заробітна плата одного працівника даної професії та спеціальності, грн./місяць.;
- коефіцієнт, який враховує виплати підприємства в обов'язкові державні соціальні фонди, в відносних одиницях;
- кількість працівників даної професії або спеціальності;
12 - число місяців в році;
- коефіцієнт, який враховує додаткові витрати на заробітну плату в випадку, коли підприємство знаходиться в зоні дуже розвинутої інфраструктури:
якщо підприємство знаходиться в елітному, центральному районі з дуже розвинутою інфраструктурою, то = 1,15 ... 1,3;
якщо підприємство знаходиться в районі з розвинутою інфраструктурою, то = 1,05 ... 1,15;
- якщо підприємство знаходиться в звичайному районі, то =1,00 ... 1,05;
- число професій або спеціальностей працівників.
B25 = 1,025109 (1+0,3) 512 = 8714,55 грн.;
B27 = 1,1109 (1+0,3) 512 = 9352,2 грн.;
B210 = 1,22109 (1+0,3) 512 = 10372,44 грн.;
B221 = 1,22109 (1+0,3) 512 = 10372,44 грн.
Витрати на оренду приміщень можна розрахувати за формулою:
, (4.6)
де - розцінка, тобто плата за оренду 1 кв. м. приміщень за місяць, яка діє в даний час, грн./кв.м;
- площа приміщень, які орендуються, кв.м.;
12 - число місяців в році;
- коефіцієнт, який враховує збільшення орендної плати персоналу при наближенні до центральних районів, тобто до розвинутої інфраструктури:
якщо підприємство знаходиться в елітному, центральному районі з дуже розвинутою інфраструктурою, то = 1,3 ... 1,6;
якщо підприємство знаходиться в районі з розвинутою інфраструктурою, то = 1,1 ...1,3;
- якщо підприємство знаходиться в звичайному районі або у вільній економічній зоні, то =1,0.
B35 = 13,210312 = 3955,2 грн.;
B37 = 1,23,210312 = 4746,24грн.;
B310 = 13,210312 = 3955,2 грн.;
B321 = 1,453,210312 = 5735,04грн.
Величина податків на капітал розраховується за формулою:
, (4.7)
де - вартість основного капіталу, який задіяний в бізнесі, грн.;
- загальна ставка податку на основний капітал, в %;
- коефіцієнт, який враховує зменшення податків при розташуванні підприємства в вільній економічній зоні:
- якщо підприємство знаходиться в районі вільної економічної
зони, то коефіцієнт = 0,2 ... 0,5;
- якщо підприємство знаходиться в інших районах, то =1,0.
B45 = 910,0111= 1,001 грн.;
B47 = 910,0111= 1,001 грн.;
B410 =910,0110,35 = 0,35 грн.;
B421 =910,0111= 1,001 грн.
Величина податків з доходу (виторгу) розраховується за формулою:
, (4.8)
де - виручка (виторг) підприємства за рік, грн.;
- загальна ставка податку з обороту (непрямі та прямі податки на бізнес) та податку на прибуток, у відсотках.
B55 = 177540,660271= 47935,97 грн.;
B57 = 582835,50271= 157365,58 грн.;
B510 = 543979,80,270,35 = 51406,1 грн.;
B521 = 12553380, 271= 338941,26 грн.
За формулою 4.9 для кожного із варіантів розрахуємо загальні витрати, які залежать від місця розташування підприємства.
Річні витрати, які безпосередньо залежать від місця розташування підприємства, розраховуються за формулою:
(грн..), (4.9)
Підставивши значення, отримаємо:
B5 = 232.82+8714,55+3955,2+1,001+47935,97 = 60839.54грн.;
B7 = 670.37 +9352,2+4746,24+1,001+157365,58 = 172135.37 грн.;
B10 = 346.43+10372,44+3955,2+0,35+51406,1 = 66080.52 грн.;
B21 = 2552.29+10372,44+5735,04+1,001+338941,26 =357602.03 грн.
За формулою 4.1 для кожного із варіантів розрахуємо брутто-прибуток та виберемо найкращий варіант місця розташування підприємства:
БП5 = 177540,66 - 60839.54 = 116701.12 грн.;
БП7 = 582835,5 - 172135.37 = 410700.13 грн.;
БП10 = 543979,8 - 66080.52 = 477899.28 грн.;
БП21 = 1255338 - 357602.03 = 897735.97 грн.
Результати розрахунків зведемо до таблиці 4.2
Таблиця 4.2 – Зведена таблиця розрахунків брутто-прибутку
Варіант
Д,грн.
В1 ,грн.
В2,грн.
В3,грн.
В4,
грн.
В5,
грн.
,грн.
БП,грн.
5
177540,66
232.82
8714,55
3955,2
1,001
47935,97
60839.54
116701.12
7
582835,5
670.37
9352,2
4746,24
1,001
157365,58
172135.37
410700.13
10
543979,8
346.43
10372,44
3955,2
0,35
51406,1
66080.52
477899.28
21
1255338
2552.29
10372,44
5735,04
1,001
338941,26
357602.03
897735.97
Зробимо висновки
Найкращий варіант місця розташування підприємства – це 21 – підприємство знаходиться в елітному центрі з дуже розвинутою інфраструктурою. Це пояснюється тим, що брутто-прибуток, тобто прибуток, який безпосередньо залежить від місця знаходження підприємства, найбільший: БП = 897735.97 грн.
5. РОЗРАХУНОК ПОТРЕБИ В СТАРТОВОМУ КАПІТАЛІ ПІДПРИЄМСТВА
Для здійснення підприємницької діяльності потрібно мати певний капітал. Без його наявності не може бути підприємництва. Чим потужнішим є капітал підприємця, тим масштабнішими можуть бути результати його діяльності. Капітал – грошові і матеріальні кошти, об’єкти права інтелектуальної власності і організаторські навички (гудвіл), котрі використовуються в процесі виробництва і виступають джерелом отримання прибутку. До основних капіталоутворювальних елементів відносяться: засоби виробництва, матеріальні оборотні елементи виробництва, оплата праці працівників, оборотні кошти в грошовій формі.
Стартовий капітал – це капітал, який вкладається у будь-яку підприємницьку справу з самого початку практичної реалізації комерційної ідеї. Чим складніше продукція, чим триваліший виробничий цикл, тим більшою повинна бути величина стартового капіталу. В найбільш загальному вигляді потребу в стартовому капіталі К, який необхідний для початку підприємництва, можна розрахувати за формулою:
(5.1)
де – грошові кошти на придбання (оренду) будівель, споруд, передавальних пристроїв, машин, обчислювальної техніки, інструменту, транспортних засобів;
– грошові кошти на оплату сировини, матеріалів, напівфабрикатів, палива, енергії;
– грошові кошти для оплати праці найманих працівників;
– грошові кошти на оплату інформаційних послуг, рекламу, придбання об’єктів інтелектуальної власності та інші кошти.
Стартовий капітал складається з основного та оборотного капіталу. Основний капітал функціонує протягом тривалого часу, в процесі експлуатації не змінює свою натуральну форму, а свою вартість переносить на виготовлену продукцію частинами, в міру зношення. Оборотній капітал функціонує протягом одного виробничого циклу, повністю змінює свою натуральну форму, а свою вартість переносить на готову продукцію одразу і повністю. Також практично завжди стартовий капітал складається з власного капіталу, який вноситься засновниками справи, та капіталу покриття, який вкладається в справу на умовах, обумовлених іншими особами: інвесторами, комерційними банками, кредиторами тощо [2]. Величину стартового капіталу та капіталу покриття розраховують на основі економічних розрахунків. Розрахунок складається з 11 кроків. 1-й крок. Визначаємо загальну величину витрат на придбання або оренду будівель, споруд, машин, обладнання, інструменту і т.д. Вибираємо найефективніший варіант вкладання грошей. Визначаємо терміни протягом яких будуть використані ці кошти. Варіант використання коштів і терміни витрат вже розподілені. 2-й крок. Визначаємо щомісячні витрати на оплату праці працівників з урахуванням всіх обов’язкових виплат. За завданням цей крок вже зроблено. 3-й крок. Визначаємо загальні витрати, згідно варіанту дані наведені в таблиці 5.1 (дані за січень), коефіцієнти зміни витрат по місяцям наведено в таблиці 5.2 [2] а конкретні витрати по місяцям з врахуванням коефіцієнтів зміни витрат в таблиці 5.3 [2].
Таблиця 5.1 – Витрати за січень
, тис. грн.
, тис. грн.
, тис. грн.
, тис. грн.
, тис. грн.
47
312
9
35
6
Таблиця 5.2 – Коефіцієнти зміни витрат по місяцях
Г
січ.
лют.
бер.
квіт.
трав.
черв.
лип.
серп.
вер.
жовт.
лист.
груд.
1
1,2
1,2
1,2
1,2
1,2
1,1
1,2
1,2
1,2
1,2
1,2
1
3
1
1,3
0
0
0
0
0
0
0
0
1
0,8
0,8
0,8
1,1
1,1
1,1
1,1
1,1
1,1
1,1
1,1
1
1
0
1,1
1,1
1,5
0,9
1,2
1
1
1
1
1
2
2
1
0
0
0
0
0
0
0
0
Таблиця 5.3 – Щомісячні витрати
, тис. грн.
, тис. грн.
, тис. грн.
, тис.грн.
, тис. грн.
місяць
∑Г, тис. грн.
47
312
9
35
6
Січень
409
56,4
936
7,2
35
12
Лютий
1046,6
56,4
312
7,2
0
12
Березень
387,6
56,4
405,6
7,2
38,5
6
Квітень
513,7
56,4
0
9,9
38,5
0
Травень
104,8
56,4
0
9,9
52,5
0
Червень
118,8
51,7
0
9,9
31,5
0
Липень
93,1
56,4
0
9,9
42
0
Серпень
108,3
56,4
0
9,9
35
0
Вересень
101,3
56,4
0
9,9
35
0
Жовтень
101,3
56,4
0
9,9
35
0
Листопад
101,3
56,4
0
9,9
35
0
Грудень
101,3
4-й крок. Будуємо графік зміни щомісячних загальних витрат у часі, рис. 5.1.
Рисунок 5.1 – Графік зміни загальних щомісячних витрат
5-й крок. Прогнозуємо з якого часу підприємець почне отримувати виручку, а також її можливу величину. Кількість виготовленої продукції (N), вартість реалізації одиниці (P) та час реалізації, дані для розрахунку доходу наведені в таблиці 5.4 [2], величина щомісячного доходу наведена в таблиці 5.5.
Таблиця 5.4 – Дані по реалізації продукції
Р, грн.
N, тис. шт.(по місяцям)
ВК, тис.грн.
4-й
5-й
6-й
7-й
8-й
9-й
10-й
11-й
12-й
62
0
1
2
3,1
3,1
3,1
4,1
4,1
4,1
1600
Таблиця 5.5 – Прибуток підприємства по місяцях
місяць
4-й
5-й
6-й
7-й
8-й
9-й
10-й
11-й
12-й
прибуток, грн.
0
62
124
192,2
192,2
192,2
254,2
254,2
254,2
6-й крок. Будуємо графік щомісячної потреби в капіталі, рис. 5.2. Для побудови графіка потрібно визначити величину реальних потреб в капіталі.
Використовуючи таблиці 5.3 та 5.5 знайдемо реальну потребу в капіталі, як різницю між витратами та прибутком по місяцям, результати наведені в табл. 5.6.
Таблиця 5.6 – Реальна щомісячна потреба в капіталі
місяць
1-й
2-й
3-й
4-й
5-й
6-й
7-й
8-й
9-й
10-й
11-й
12-й
витрати, тис.грн
409
1046,6
387,6
513,7 – 0
= 513,7
104,8 – 62
= 42,8
118,8 – 124
= --5,2
93,1 – 192,2
= -99,1
108,3 – 192,2
= -83,9
101,3 – 192,2
= -90,9
101,3 – 254,2
= -152,9
101,3 – 254,2
= 152,9
101,3 – 254,2
= 152,9
Рисунок 5.2 – Графік щомісячної потреби в капіталі
Як видно з графіка потреба в капіталі буде відчуватись протягом перших п’яти місяців.
7-й крок. Розраховуємо величину стартового капіталу. Для даного варіанту величину стартового капіталу дорівнює:
409+1046,6+387,6+513,7+42,8 = 2399,7тис. грн.
8-й крок. Розраховуємо величину капіталу покриття. За рахунок власного капіталу підприємства зменшаться щомісячні витрати наступним чином:
Січень – 409 – 409 = 0 тис. грн.
Залишок власного капіталу: 1600 – 409 = 1191 тис. грн.
Лютий – 1046,6 – 1046,6 = 0 тис. грн.
Залишок власного капіталу: 1191 – 1046,6 = 144,4 тис .грн.
Березень – 387,6 – 144,4 = 243,2 тис. грн.
Весь власний капітал вже витрачено.
Загальна величина капіталу покриття дорівнює:
0+0+243,2+513,7+42,8 = 799,7 тис. грн.
9-й крок. Будуємо графік щомісячної потреби капіталу покриття (рис. 5.3). Потреба капіталу покриття по місяцям наведено в таблиці 5.7.
Таблиця 5.7 – Потреба капіталу покриття по місяцям
Місяць
січ.
лют.
бер.
квіт.
трав.
черв.
лип.
серп.
вер.
жовт.
лист.
груд.
Капітал, тис. грн.
0
0
243,2
513,7
42,8
-5,2
-99,1
-83,9
-90,9
-152,9
-152,9
-152,9
Рисунок 5.3 – Графік щомісячної потреби в капіталі покриття (заштрихована ділянка)
Чистий прибуток підприємства дорівнює:
5,2+99,1+83,9+90,9+152,9+152,9+152,9 = 737,8 тис .грн.
Середньомісячний прибуток дорівнює: 737,8/7 = 105,4 тис .грн.
10-й крок. Визначаємо реальні джерела покриття потреб.
Згідно завдання – це позика.
11-й крок. Визначаємо термін повернення взятої позики.
Величина позики дорівнює: 737,8 тис .грн. Починаючи з 6-ого місяця підприємство починає отримувати середньомісячний прибуток в 105,4 тис. грн.. Припустимо, що 50% цієї суми, тобто 52,7 тис. грн. спрямовано на повернення позики. Тоді термін повернення позики буде дорівнювати:
737,8 (тис. грн.)/52,7 (тис. грн./міс.) = 14 міс.
Загальний термін на який потрібно взяти позику дорівнює: 3+14 = 17 міс.
За перші два місяця затрати повністю покриваються власним капіталом.
Отже, потреба в капіталі необхідному, щоб розпочати діяльність становить: 2399,7 тис. грн. Щоб отримати ці кошти підприємство бере позику в розмірі 737,8 тис. грн. і зможе повернути її лише через 17 місяців.
Проведені розрахунки є приблизними, адже вони не враховують ні інфляції, ні процентних ставок і т. п. На момент відкриття підприємства це є найважливіший підрахунок, адже від його правильності залежить прибуток підприємства на початку його діяльності .
6. РОЗРАХУНОК ПОДАТКУ З ПРИБУТКУ ТА ПОДАТКУ НА ДОДАНУ ВАРТІСТЬ, ЩО ЇХ СПЛАЧУЄ СУБ’ЄКТ ПІДПРИЄМНИЦТВА – ЮРИДИЧНА ОСОБА
В процесі своєї діяльності суб’єкт підприємницької діяльності – юридична особа повинен сплачувати близько 20 основних та 15 місцевих податків. Основними із них є податок на прибуток та податок на додану вартість. Розрахунок величини цих податків здійснюється на основі чинного законодавства, даних бухгалтерського обліку, звітів про результати діяльності підприємства за встановленими формами.
Податок на прибуток – це один з основних прямих податків. Керуючись формулами оптової ціни та витрат підприємства в розрахунку на один виріб, можна записати, що величина податку на прибуток Пп в розрахунку на один виріб може бути розрахована за формулою:
, (6.1)
В тому випадку, якщо ставка податку на прибуток α задана в відносних одиницях, величина податку на прибуток в розрахунку на один виріб Пп визначається за формулою:
, (6.2)
де Пдо – прибуток на оподаткування в розрахунку на один виріб, грн.;
Цо – оптова ціна виробу, грн.;
Вр – витрати на виробництво та реалізацію одного виробу (з урахуванням операційних та інших витрат), грн.;
α – ставка податку на прибуток;
Податок на прибуток, що його повинно сплачувати підприємство за результатами діяльності в цілому, розраховується за даними бухгалтерського обліку даного підприємства. Величина податку на прибуток Пп(заг), що його повинно сплатити підприємство за результатами діяльності в цілому протягом певного періоду часу, може бути розрахована за формулою:
, (6.3)
ВД – валовий дохід (виручка) підприємства за визначений період часу, зазвичай за квартал, грн.;
ВВ – валові витрати підприємства за той же період часу, включаючи амортизаційні відрахування, грн.;
α – ставка податку на прибуток, %. В 2009 році α = 0,25.
Розраховуємо величину податку на прибуток. Для розрахунку використаємо дані завдання та формулу 6.3.
1. Визначаємо дати настання валового доходу та валових витрат:
а) Валовий довий дохід: 1.01 (І квартал); 21.04 (II квартал); 12.07 (III квартал); 12.11 (IV квартал).
б) Валові витрати: 22.02 (І квартал); 12.08 (II квартал);14.09 (III квартал); 10.12 (IV квартал).
2. Визначаємо величину податку на прибуток
І квартал Ппзаг =(380000 –153000)∙0,25 = 56750 грн.
ІІ квартал Ппзаг = 310000∙0,25 = 77500 грн.
ІІІ квартал Ппзаг = (360000 – 157000 – 154000)∙0,25 = 12250 грн.
IV квартал Ппзаг = (396000 – 152000) ∙0,25 = 61000 грн.
3. Якщо продукція відвантажена, але неоплачена вже платиться податок на прибуток, а реальних грошей на підприємстві в цьому випадку немає. Отже може статись так, що у підприємство буде не в змозі заплатити податок.
4. Коригувати величину податку на прибуток в певному кварталі можна зменшуючи чи збільшуючи валові надходження чи валові витрати, змінюючи дату фіксації валового доходу або валових витрат.
Податок на додану вартість ПДВ - один із найголовніших непрямих податків. Об’єктом оподаткування є операції з пролажу товарів, робіт, послуг, а також вивезення товарів в Україну.
Величина податку на додану вартість ПДВ у розрахунку на один виріб розраховується по формулі:
, (6.4)
де Цо – вільна ринкова ціна виробу, грн.;
β – ставка податку на додану вартість; В 2009 році β=0,20.
Величина податку на додану вартість в цілому на підприємстві розраховується за формулою:
, (6.5)
де Цві – вільна ринкова ціна виробу і-го найменування, грн.;
n – кількість найменувань виробів.
Величина ПДВ, що підлягає сплаті в цілому по підприємству, розраховується за формулою:
, (6.6)
де Цві2 – вільна ринкова ціна проданого товару і-ого виду, грн.;
Цвj1 – вільна ринкова ціна купленого матеріалу j-ого виду, грн.;
n – кількість видів проданих товарів;
m – кількість видів куплених матеріалів.
Розраховуємо величину податку на додану вартість
1. Визначаємо величину, дату та суму рахунку податкового кредиту (ПК) для кожної операції, для отриманих матеріалів.
Операція а: 13.01 – січень; ПК = 3250000∙0,2 = 650000 грн.;
Сума рахунку = 3250000+650000 = 3900000 грн.
Операція б: 21.02 – лютий; ПК = 3700000∙0,2 = 740000 грн.;
Сума рахунку = 3700000+740000 = 4440000 грн.
Операція в: 12.03 – березень; ПК = 3550000∙0,2 = 710000 грн.;
Сума рахунку = 3550000+710000 = 4260000 грн.
2. Визначаємо ціну вільну ринкову
Операція а: Цвр = 6100000+3250000 = 9350000 грн.
Операція б: Цвр = 6130000+3700000 = 9830000 грн.
Операція в: Цвр = 6320000+3550000 = 9870000 грн.
3.Визначаємо величину, дату та суму рахунку податкових забов’язань для кожної операції.
Операція а:– січень; ПЗ = 9350000∙0,2 = 1870000 грн.;
Сума рахунку = 9350000+1870000 = 11220000 грн.
Операція а:– лютий; ПЗ = 9830000∙0,2 = 1966000 грн.;
Сума рахунку = 9830000+1966000 = 11796000 грн.
Операція а:– березень; ПЗ = 9870000∙0,2 = 1974000 грн.;
Сума рахунку = 9870000+1974000 = 11844000 грн.
4.Розраховуємо ПДВ за касовим методом:
Дати податкового забов’язання по касовому методу:
Січень – 17.01; Лютий – 18.02; Березень –13.03;
Визначається за датою отримання коштів.
ПДВ = ПЗ – ПК
ПДВсічень = 1870000 – 650000 = 1220000 грн.
ПДВлютий = 0 – 740000 = -740000 грн. (від’ємне значення означає, що держава або відшкодує кошти або зменшить величину податку в майбутньому)
ПДВберезень = 1974000+1966000 – 710000 = 20916000 грн.
∑ = 1220000 – 740000+20916000 = 21396 тис. грн.
5.Розраховуємо ПДВ за методом настання ПЗ у момент відвантаження
продукції:
Дати ПЗ за методом настання ПЗ у момент відвантаження продукції:
ПДВ = ПЗ – ПК
ПДВсічень = 0 – 650000 = -650000 грн.
ПДВлютий = 1966000+1870000 – 740000 = -3564000 грн.
ПДВберезень = 0 – 710000 = -710000 тис. грн.
ПДВквітень = 1974000 – 0 =1974000грн.
∑ = -650000 -3564000 – -710000 +1974000 = -3660000 тис. грн.
Таким чином, ми розрахували основні види податків для підприємства: податок на прибуток та податок на додану вартість. Ми бачимо, що величину одного і того ж податку можна розраховувати декількома способами.
7. РОЗРАХУНОК ТОВАРНОГО ЗАПАСУ ТА ОЦІНЮВАННЯ ПОВНОТИ ТОРГОВОГО АСОРТИМЕНТУ МАГАЗИНУ
Основою діяльності будь-якого торговельного підприємства є формування товарного асортименту.
Товарний асортимент - це сукупність груп, видів, різновидів, сортів товарів, об'єднаних за певною ознакою. Товарний асортимент буває:
а) виробничий і торговий.
Виробничий асортимент - це номенклатура (перелік) товарів, що випускаються промисловими і сільськогосподарськими підприємствами, а також іншими виробниками. Торговий асортимент - це номенклатура товарів, що підлягають продажу в роздрібній торгівлі. Торговий асортимент, в свою чергу, поділяється на дві товарні галузі: продовольчі та непродовольчі товари. Кожна із галузей ділиться на товарні групи, товарні групи поділяються на товарні підгрупи, кожна підгрупа складається з різних видів товарів; види поділяються на різновиди (або сорти). Сукупність всіх різновидів (сортів) складає асортиментний перелік товарів, що знаходяться в магазині.
б) груповий і внутрішньо груповий (розгорнений).
Груповий асортимент - це перелік товарних груп. Внутрішньогруповий асортимент - це де галізація групового асортименту за конкретними підгрупами, видами і різновидами товарів. Ширина асортименту - це кількість товарних груп. Глибина асортименту - це кількість різновидів товару в рамках кожної товарної групи;
в)простий та складний.
Простий асортимент складається із товарів, які практично не мають різновидів (наприклад, овочі, сіль, господарське мило). Складний асортимент складається із товарів, які в межах одного виду товару мають власну внутрішню класифікацію: фасони, розміри тощо;
г) з різною частотою попиту на товари. За частотою попиту товари поділяються на такі, що купуються найчастіше і навіть щодня; товари періодичного попиту; товари рідкого попиту (предмети тривалого користування); сезонні товари;
д) з різною стабільністю попиту на товари. За рівнем стабільності попит на товари буває:
стабільним, коли попит на товари стійкий. Такі товари не допускають заміни;
схильним до різних коливань;
альтернативним, коли є взаємозамінність товарів (наприклад, цукерки);
імпульсним, коли попит виникає безпосередньо в торговому залі під впливом реклами, аргументацій продавця тощо;
є) з різними ознаками комплексності товарів. За комплексністю розрізняють:
комплекси товарів за статевовіковою ознакою: „Товари для жінок", „Товари для дітей" і т. ін.;
комплекси товарів за особливостями стилю життя і проведення дозвілля: „Товари для саду", „Товари для туриста", „Товари для дому" тощо.
Зазначені комплекси, в свою чергу, можуть поділятися на мікрокомплекси: „Одяг", „Взуття", „Білизна" тощо.
ж) для оптових та для роздрібних підприємств (магазинів).
Формування торгового асортименту на оптових підприємствах - це процес підбору груп, видів і різновидів товарів у відповідності з попитом населення. Формування асортименту здійснюється у такий послідовності:
визначається груповий асортимент товарів;
визначається число різновидів товарів кожного виду.
Контроль за наявністю на оптовому підприємстві товарів відповідно до асортиментного переліку здійснюють товарознавці-комерсанти. Для цієї мети використовуються картки обліку, які зведені в картотеки для кожної товарної групи. Картотеку рекомендуються ділити на три частини. В першій знаходяться картки на товари, запаси яких є в необхідній кількості, у другій - картки на товари, запас яких є критичним, і в третій - картки на товари, відсутні в даний момент часу [6].
Формування торгового асортименту в магазинах складається з 3-х етапів:
встановлюється груповий асортимент товарів в магазині. Дана робота проводиться на основі маркетингових досліджень;
проводяться розрахунки структури групового асортименту, тобто визначаються кількісні співвідношення окремих груп товарів;
- визначається внутрішньо груповий асортимент, тобто конкретний
перелік товарів кожного виду в межах кожної групи.
Повнота асортименту - це відповідність фактичної наявності товарів на полицях магазину розробленому асортиментному переліку. Для оцінювання повноти асортименту можна користуватись показником, який має назву „коефіцієнт повноти асортименту".
Коефіцієнт повноти асортименту , розраховується за формулою:
(7.1)
де - фактична кількість різновидів товарів па момент перевірки;
- кількість різновидів товарів, передбачена нормативним асортиментним переліком.
Коефіцієнт повноти асортименту є показником не дуже точним, оскільки залежить від багатьох випадкових чинників: наприклад, від затримки у відвантаженні продукції, порушення графіка завезень товарів і т.ін.). Тому рекомендується застосовувати більш точний показник коефіцієнт умовної стійкості асортименту Кст.
Коефіцієнт умовної стійкості асортименту Кст розраховується за формулою:
(7.2)
Таблиця 7.1 - Дані перевірок
Варіфнт
Асортимент товарів
Д роб., дні
Перевірки
20
А,В,Д,Е,Ж,К
28
3
3
6
2
Підставивши значення з таблиці 7.1, отримаємо:
Одним із шляхів забезпечення повноти асортименту є наявність в магазині відповідних запасів товарів. З одного боку, чим більші запаси товарів, тим на більш тривалий час буде забезпечена повнота асортименту. Але, з другого боку, чим більші запаси, тим більшими будуть витрати на утримання, оренду приміщень, більшими будуть втрати товарів через псування, закінчення терміну використання тощо.
Тому визначимо оптимальний запас товарів. Відомо, що в магазині здійснюється торгівля певним асортиментом товарів. Різновиди товарів, а також інші характеристики наведено в таблиці 7.1
Таблиця 7.1 Різновиди товарів і характеристик
Товар
Ктз
Нзал., дні
Qпл., шт
Зс.м., шт
Qс.м., шт
А
0,56
15
1200
410
1000
В
0,13
4
4000
500
4100
Д
0,12
3
5000
300
4800
Е
0,18
5
6000
500
5500
Ж
0,4
9
600
300
700
К
0,14
4
4100
550
4000
Для кожного різновиду товару розрахуємо величину запасу на початок місяцю використовуючи такі методів:
1. Через використання коефіцієнта товарного запасу Ктз.
Коефіцієнт товарного запасу Ктз розраховується за формулою:
(7.3)
де Зп - запас товару даного різновиду на початок місяця (або на останній день місяця), натуральних одиниць;
Q с.м. - середньомісячний обсяг реалізації товару даного різновиду за місяць, натуральних одиниць.
Тоді запас товару даного різновиду на початок місяця Зп можна розрахувати за формулою:
Зп=КтзQпл, (7.4)
де Ктз - коефіцієнт товарного запасу;
Qпл - плановий обсяг реалізації товарів даного різновиду за мп. яш,. пат. одиниць.
Підставивши значення з таблиці 7.2 у формулу 7.3, отримаємо:
Підставивши значення з таблиці 7.2 у формулу 7.4, отримаємо:
2. Через використання норми запасу товару даного різновиду Нзал.. Норма запасу визначає число днів торгівлі, на які вистачить запасу товару даного різновиду, і являє собою інтервал часу між суміжними поставками товару [6].
Знаючи норму запасу Нзал., розрахуємо запас товару даного різновиду на початок місяця Зп:
(7.5)
е Н зал. - норма запасу товару даного різновиду, днів;
Д роб. - число днів роботи магазину за місяць.
Підставимо значення у формулу 7.5:
3. Через врахування коливань рівня запасу відносно коливання обсягу реалізації. В цьому випадку запас товару даного різновиду на початок місяця 3п розраховують за формулою:
(7.6)
де Зс.м. - середньомісячний запас товару даного різновиду, нат. одиниць;
Qc.м. - середньомісячний обсяг реалізації товару даного різновиду, натуральних одиниць.
Підставимо значення у формулу 7.6:
4. Через врахування базового (мінімального) товарного запасу. В цьому випадку запас товару 3П на початок місяця розраховується за формулою:
Зп=Qпл + (Зс.м. - Qс.м) (7.7)
де Qпл - плановий обсяг реалізації товарів даного різновиду за місяць, нат. одиниць;
Зс.м. - середньомісячний запас товару даного різновиду, нат. одиниць; Qc.м - середньомісячний обсяг реалізації товару даного різновиду нат. одиниць. Даний метод розрахунку товарних запасів застосовується для магазинів, де оборотність товарних запасів становить не більше 6-ти разів на рік.
Підставимо значення у формулу 7.7:
Зробимо висновки:
Так як Кст = 0,58, то наявність товару на полицях магазину відповідає розробленому асортиментному переліку. Порівнявши отримані результати бачимо, що доцільніше використовувати метод з використання норми запасу товару даного різновиду Нзал., так як товарний запас за ним є оптимальним, при якому в магазині не буде зафіксовано випадків відсутності товарів, що запитуються споживачами.
8. АНАЛІЗ БЕЗЗБИТКОВОСТІ РОБОТИ ПІДПРИЄМСТВА
Підприємництво, а особливо мале, пов'язане з ризиком. Щоб зменшити ризик підприємницької діяльності, потрібно постійно визначати фінансовий стан підприємства та прораховувати його в майбутньому.
Одним із методів визначення фінансового стану підприємства є розрахунок так званої точки беззбитковості.
Постійні витрати - це такі витрати, які майже не залежать (або дуже мало залежать) від обсягів виробництва. До них належать: втрати на придбання обладнання; оплата ліцензій; заробітна плата адміністративно-управлінського персоналу; орендна плата за приміщення; управлінські витрати; витрати на опалення та освітлення приміщень, на збут продукції, на рекламу тощо.
Змінні витрати - це витрати на сировину та матеріали, що витрачаються на виробництво продукції; заробітна плата виробничих робітників та нарахування на цю заробітну плату; транспорті витрати, витрати на силову електроенергію тощо [6].
Точка беззбитковості - це такий рівень (обсяг) виробництва (або обсяг реалізації), при якому в діяльності підприємства відсутній як прибуток, так і збитки, тобто, дохід від реалізації продукції повністю покривають витрати па її виробництво. Точку беззбитковості Хбез, можна розрахувати за формулою;
, (8.1)
де ПВ - постійні витрати на виробництво продукції, грн.;
В виручка (або дохід) від реалізації одиниці продукції, грн./шт.;
ЗВ - змінні витрати на виробництво одиниці продукції, грн./шт. Ці витрати ще носять назву „неповна собівартість".
Дані підприємства зведено до таблиці 8.1
Таблиця 8.1 – Дані підприємства
Варіант
ПВ, грн..
В, грн..
ЗВ, грн.
N, шт.
14
95000
430
305
1900
12
20
15
21
Керуючись даними таблиці 8.1, розрахуємо точку беззбитковості, яка складе:
(8.1)
Це означає, що при виробництві та реалізації 760 виробів підприємство повністю покриє свої витрати, і тільки при реалізації 761-го виробу почне отримувати прибуток.
Точку беззбитковості можна визначити графічно (рисунок 8.1)
Формулу (8.1) можна записати в іншому вигляді. Так, відомо, що змінні витрати на виробництво продукції (за визначенням) завжди залежать від обсягу виробництва та реалізації продукції. Тому можна записати таке співвідношення:
ЗВ• N = а• В• N, (8.2)
де ЗВ - змінні витрати на виробництво одиниці продукції, грн./шт.;
N - кількість виготовленої продукції, грн./шт.;
ЗВ • N - змінні витрати на виробництво всієї продукції, грн.;
а - коефіцієнт пропорційності;
Далі провівши перетворення, отримаємо:
, (8.3)
де ОРкр - критичний обсяг реалізації продукції, який показує, на яку суму підприємство повинно реалізувати продукцію, щоб покрити свої витрати та досягти точки беззбитковості, грн.;
а - коефіцієнт пропорційності.
Спочатку визначимо коефіцієнт пропорційності:
.
Далі розрахуємо критичний обсяг реалізації продукції:
Це означає, що, реалізувавши продукції на 327586,2 грн., підприємство досягне точки беззбитковості.
Так, зміна положення точки беззбитковості Хбсз при зміні постійних витрат розраховується за формулою:
(8.4)
де ± ПВ - зміна постійних витрат виготовлення продукції, грн.;
а - коефіцієнт пропорційності;
В - виручка (дохід) від реалізації одиниці продукції, грн./шт.
Розрахуємо величину зміни постійних витрат на виготовлення та реалізацію продукції:
(8.5)
Далі розрахуємо зміну положення точки беззбитковості:
Це означає, що для того, щоб досягти точки беззбитковості, підприємство повинно збільшити обсяг виробництва та реалізації продукції на 91 шт. і довести його до (760 + 91) = 851 шт.
Критичний обсяг реалізації продукції в цьому випадку складе:
ОРкр= 430851 = 365930 (грн.)
У випадку, коли змінюються змінні витрати на виготовлення продукції, зміна положення точки беззбитковості Хбсз розраховується за формулою:
(8.6)
де В - виручка (дохід) від реалізації одиниці продукції, грн./шт.
ЗВі - початкові змінні витрати па виробництво одиниці продукції, грн./шт.;
ЗВ2 - змінні витрати на виробництво одиниці продукції після їх змін, грн./шт.
Змінні витрати на виробництво одиниці продукції після підвищення заробітної плати робітників:
(8.7)
Розрахуємо змінні витрати на виробництво одиниці продукції після підвищення заробітної плати робітників:
Далі визначимо зміну положення точки беззбитковості:
Це означає, що підприємству потрібно додатково виробити та реалізувати 724 вироби, щоб досягти точки беззбитковості. Обсяг виробництва та реалізації в цьому випадку повинен складати 760+724=1484 вироби.
Критичний обсяг реалізації продукції в цьому випадку складе:
ОРкр= 4301484 = 638120 (грн.)
У випадку, коли змінюється ціна реалізації продукції, зміна положення точки беззбитковості Хбсз розраховується за формулою:
(8.8)
де В2 - виручка (дохід) від реалізації одиниці продукції після підвищення ціни реалізації, грн./шт.
В1 - початкова виручка від реалізації одиниці продукції, грн./шт.;
ЗВ - змінні витрати на виробництво одиниці продукції, грн./шт.
Ціну реалізації одиниці продукції після підвищення ціни на продукцію розраховується:
(8.9)
Підставивши значення, отримаємо:
Далі визначимо зміну положення точки беззбитковості за формулою 8.8:
Це означає, що підприємство може зменшити обсяги виробництва та реалізації продукції на 257 виробів і досягне при цьому точки беззбитковості. Обсяг виробництва та реалізації в цьому випадку може скласти (760 -257) = =503 вироби.
Критичний обсяг реалізації продукції буде дорівнювати:
ОРкр= 430503 = 216290 (грн.)
Розрахунок величини прибутку (або збитку) П, що його може отримати підприємство при виробництві та реалізації певного обсягу виробництва, здійснюється за формулою:
(8.10)
де N - обсяг виготовленої та реалізованої продукції (фактичний чи плановий), шт.;
(В - ЗВ) N - маржинальний дохід, грн.
В першому випадку величина прибутку, що його може отримати підприємство, якщо виготовить та реалізує на ринку 1400 шт. виробів, буде дорівнювати:
П = (430 -305) 1900 - 95000 = 142500 грн.
Це означає, що у випадку реалізації 1900 виробів підприємство отримає 142500 грн. прибутку.
В другому випадку величина прибутку величину прибутку, що його може отримати підприємство, якщо виготовить та реалізує на ринку 950 шт. виробів, буде дорівнювати:
П = (430 -305) 950 - 95000 = 23750 грн.
Це означає, що у випадку виробництва та реалізації 950 виробів підприємство буде мати прибуток 23750 грн., тобто прибуток зменшується.
При збільшені величини отриманого прибутку N розраховується за формулою:
(8.11)
де П - збільшення величини прибутку, що планується, грн.
Величина прибутку, що його отримувало підприємство, дорівнювала:
П = (430 -305) 1900 - 95000 = 142500 грн.
Планове збільшення величини прибутку розрахуємо за формулою:
(8.12)
Підставивши, отримаємо:
Додатковий випуск продукції при цьому:
(8.13)
Це означає, що при збільшенні обсягу виробництва та реалізації продукції на 239 шт. величина прибутку, що його отримає підприємство, зросте на 21%.
У відносному вимірі зростання обсягу виробництва та реалізації продукції N(%) повинно скласти:
(8.14)
Фінансова стійкість - це різниця між реальним та критичним обсягами реалізації продукції. Величина ФС може бути розрахована за формулою:
(8.15)
де ОРф - фактичний обсяг реалізації продукції, грн.;
ОРкр - критичний обсяг реалізації продукції, грн.;
В - ціна реалізації одиниці продукції, грн./шт.;
N - фактичний обсяг реалізації продукції, шт.;
Х6ез - точка беззбитковості, шт.
Фінансовий запас міцності ОР(%) розраховується за формулою:
(8.16)
Фактичний обсяг реалізації продукції складе:
ОРф = 4301900 = 817000 грн.
Точка беззбитковості буде дорівнювати:
Критичний обсяг реалізації складе:
ОРкр = 430 760 = 326800 (грн.)
Фінансова стійкість підприємства буде дорівнювати:
ФС = 817000- 326800 =490200 (грн.)
Це означає, що фінансовий стан підприємства задовільний. Фінансовий запас міцності (формула 8.16) буде дорівнювати:
Це означає, що підприємство може зменшити обсяг реалізації продукції на 150% і не зазнає при цьому збитків.
Зробимо висновки:
Точка беззбитковості буде досягатися при виготовлені 760 шт. при зменшені виробництва підприємство не отримає збитків.
Фінансовий стан підприємства є стабільним, так як ФС>0. Також підприємство має великий запас міцності .
9. АНАЛІЗ ВПЛИВУ СТРУКТУРИ ВИРОБНИЦТВА НА ФІНАНСОВИЙ СТАН ПІДПРИЄМСТВА
Точка беззбитковості - це такий рівень (обсяг) виробництва (або обсяг реалізації), при якому в діяльності підприємства відсутній як прибуток, так і збитки, тобто, дохід від реалізації продукції повністю покриває витрати на її виробництво. Точку беззбитковості Хбез можна розрахувати за формулою:
нат. одиниць (шт.), (9.1)
де ПВ - постійні витрати на виробництво продукції, грн.;
В - виручка (або дохід) від реалізації одиниці продукції, грн./шт.;
ЗВ - змінні витрати на виробництво одиниці продукції, грн./шт. Ці витрати ще носять назву "неповна собівартість" [6].
Проведемо розрахунок точка беззбитковості Хбез, коли на підприємстві виготовляються вироби різних найменувань. Для цього скористаємося таблицею 9.1
Показники
Позначення
Одиниці вимірювання
Види продукції
А
Б
В
Ціна реалізації виробу
В
грн./шт..
138
148
208
Кількість
N
шт..
264
2640
1240
Зміна витрат на один виріб
ЗВ
грн./шт..
68
79
118
Постійні витрати
ПВ
тис.грн.
203
Виріб, що виготовляється в найменшій кількості, приймаємо за базовий. Це буде виріб А. Тоді: NА = Nбаз= 264 шт.
Виразимо кількість інших видів виробів Ni через кількість виробу, що був взятий за базовий, за наведеною нижче формулою:
(9.2)
де Nбаз - кількість виробів i-го найменування, що був взятий за базовий.
Для нашого випадку:
Оскільки точка беззбитковості означає, що підприємство, виготовивши та реалізувавши певну кількість виробів, не отримує ні прибутків, ні збитків, то формулу 9.1 можна записати у вигляді:
(9.3)
де Nі - кількість виробу і-го найменування, який заплановано виготовити та реалізувати, виражена через кількість виробу, що був взятий за базовий, шт.;
Ві - ціна реалізації виробу і-го найменування, грн./шт.;
ЗВі - змінні витрати в розрахунку на один виріб і-го найменування, грн./шт.;
ПВ - величина постійних витрат, грн.;
n - кількість найменувань (видів) виробів.
Підставивши наші значення у формулу 9.3, отримаємо:
0 = [NA(138 - 68) + 10NA (148 - 79) + 4NA (208 - 118)] – 203000;
70 NA + 690NA + 360 NA = 203000;
1120 NA =203000,
NA =181 шт.
Тоді NБ = 10 NA = 1810 шт., а NВ = 4 NA = 724 шт.
Це означає, що точку беззбитковості утворюють 181 виробів «А», 1810 виробів «Б» та 724 виробів «В». Тобто, для досягнення точки беззбитковості підприємству потрібно додатково виготовити та реалізувати 180 виробів «А», 1080 виробів «Б» та 1680 виробів «В»:
NA=(181-264) = -83 шт.,
NБ = (1810-2640) = -830 шт.,
NB = (724-1240) = -516 шт.
Прибуток П, що його отримає підприємство у випадку зміни кількості виробництва та реалізації продукції відносно точки беззбитковості, розраховується за формулою:
, (9.4)
Де ОРкр - критичний обсяг виробництва та реалізації продукції, грн. (дивися практичне заняття 33);
±Nі - збільшення (+) або зменшення (-) обсягів виробництва виробів і-го найменування відносно точки беззбитковості, у відносних одиницях.
Кількість виробів, що утворюють точку беззбитковості: вироби А - 181 шт., вироби Б - 1810 шт., вироби В - 724 шт.
Розрахуємо критичний обсяг виробництва та реалізації продукції ОРкр:
0Ркр = 138 • 181 + 148 •1810+208•724 = 443450 грн.
I, нарешті, розрахуємо прибуток, що його отримає підприємство, у випадку збільшення виробництва та реалізації виробів А, Б та В:
Зробимо висновки:
Підприємство отримає збиток у 118744,5 грн., змінивши структуру виробництва та реалізації продукції, тому доцільніше буде не змінювати структуру виробництва.
ВИСНОВОК
У першому розділі курсової роботи міститься теоретичні відомості про зношення, амортизацію та ремонт основних фондів. Розглянуто класифікація основних фондів, методи амортизації та види зносу.
В другому розділі розглянуто питання державної реєстрації підприємств. Розроблено установчі документи, що подаються в орган державної реєстрації підприємств – статут та реєстраційна картка (додаток А та Б). Після проведення державної реєстрації суб’єкти підприємницької діяльності – юридичні особи отримують свідоцтво, зразок якого наведено в додатку В.
В третьому розділі курсової роботи розроблено комерційну ідею: ”Виготовлення навісних ультра тонких телевізорів з сріблястою, чорною, білою рамкою ”.
В четвертому розділі проводився вибір оптимального місця розташування підприємства.
В п’ятому розділі представлено етапи розрахунку стартового капіталу та обраховано величину капіталу покриття та термін погашення позики.
В шостому розділі було розраховано податок на прибуток, податок на додану вартість, акцизний збір. При розрахунках для порівняння використано різні методи. Порівнюючи загальну суму акцизного збору за кожним з методів визначаємо, що кращим методом обрахунку акцизного збору є метод за ставками, які встановлені одночасно у процентах до обороту з реалізації та у твердих сумах з одиниці реалізованого товару .
В сьомому розділі було проведено розрахунок товарного запасу та оцінювання повноти торгового асортименту магазину.
В восьмому розділі проведено аналіз беззбитковості роботи підприємства.
В дев’ятому розділі проведено аналіз впливу структури виробництва на фінансовий стан підприємства.
ПЕРЕЛІК ПОСИЛАНЬ
1. http://www.refine.org.ua/pageid-4872-1.html
2. Шегда А.В. Економіка підприємства. Навчальний посібник. – Київ: “Знання”, 2005. – 431 c.
3. Козловський В.О. Підприємницька діяльність. Практикум. Частина 1. – Вінниця: ВНТУ, 2006. – 175 с.
4. Козловський В.О. Підприємницька діяльність. Практикум. Частина 2. – Вінниця: ВНТУ, 2006. – 170 с.
5. Козловський В.О. Основи підприємства. Курс лекцій. Частина 1. – Вінниця: ВНТУ, 2005. – 196 с.
6. В.О. Козловський / Основи підприємництва/ В.О. Козловський, Б.В. Погріщук // Навчальний посібник/ Тернопіль 2005
ДОДАТОК А
(обов’язковий)
СТАТУТ
Виробничого кооперативу “Фортезза”
1 ЗАГАЛЬНІ ПОЛОЖЕННЯ
1.1 Виробничий кооператив “Фортезза”, в подальшому „Товариство", створено за погодженням між:
громадянином Бондарем Володимиром Олександровичем, паспорт серії АВ№982351, виданий Ленінським РВ УМВС України у Вінницький області 14.05.89 р., що мешкає за адресою: м. Вінниця, вул. Стахурського, буд. 10, кв. 18,
громадянином Войт Ігорем Петровичем, паспорт серії АА№563029, виданий Ленінським РВ УМВС України в Вінницькій області 17.03.95р., що мешкає за адресою м. Вінниця, вул.Квятека, буд.45, кв. 90,
громадянином Мандебурою Юрієм Романовичем, паспорт серії АВ№523190, виданий Ленінським РВ УМВС У;країни у вінницькій області 30.01.93р., що мешкає за адресою м. Вінниця, вул. Космонавтів, буд.20, кв.14,
громадянином Покрівським Антоном Дем’яновичем, паспорт серії АВ№965123, виданий Ленінським РВ УМВС Україна в Вінницькій області 04.12.01, що мешкає за адресою м. Вінниця, вул. Київська, буд.13, кв. 78,
громадянином Войтко Олексієм Олеговичем, паспорт серії АВ№675809, виданий Ленінським РВ УМВС у Вінницькі області 15.09.94р., що мешкає за адресою м. Вінниця, вул. Дем’яна бідного, б.23,
громадянкою Розановою Юлією Костянтинівною, паспорт серії АВ№634192, виданий Ленінським РВ УМВС України у Вінницькій області 29.10.95р., що мешкає за адресою м. Вінниця, вул. Менделеєва б.44, кв.99,
громадянкою Гундаревою Наталією Миколаївною, паспорт серії АВ№521456, виданий Ленінським РВ УМВС України у Вінницькій області 05.12.95р., що мешкає за адресою м. Вінниця, вул. Шевченко, б.87.
в подальшому „Учасники", на основі їх загальної власності шляхом об'єднання внесків та підприємницької діяльності з метою найповнішого задоволення потреб населення в товарах та послугах, здійснення іншої діяльності, що не суперечить чинному законодавству України, а також реалізації на основі отриманого прибутку соціальних та економічних інтересів Учасників та членів трудового колективу Товариства.
Статут Товариства розроблено відповідно до Господарського кодексу України, Закону України “Про господарські товариства" та інших законодавчих актів, чинних на території України, а також на основі підприємницької ініціативи Учасників.
Товариство діє на основі засновницького договору, статуту і у відповідності з чинним на території України законодавством.
Статут підлягає коригуванню у випадку виникнення протиріч з чинним законодавством.
Товариство є юридичною особою з моменту його державної реєстрації у встановленому порядку, володіє відособленим майном, має самостійний баланс, розрахункові та інші рахунки в українських та зарубіжних банках, печатки та штампи зі своїм найменуванням, знак для товарів і послуг, емблему та інші реквізити.
Товариство має право від свого імені укладати договори, набувати майнові та немайнові права, здійснювати виробничу, господарську, комерційну, науково-технічну, сервісну та іншу діяльність, може бути позивачем і відповідачем в господарському і третейському судах..
Найменування Товариства:
повне українською мовою: виробничий кооператив “Фортезза”;
скорочене українською мовою: ВК „Фортезза";
1.8 Місцезнаходження Товариства: 21027, м. Вінниця, вул. Пирогова, б.18, кв.56.
2 МЕТА І ПРЕДМЕТ ДІЯЛЬНОСТІ
Виробничий кооператив “Фортезза” створюється з метою найповнішого задоволення потреб населення в виробництві телевізорів, здійснення іншої діяльності, що не суперечить чинному законодавству України, а також реалізації на основі отриманого прибутку соціальних та економічних інтересів Учасників і членів трудового колективу Товариства.
Основні види діяльності Товариства:
Вирощування овочів ;
Постачання овочеві на овочеві бази;
Продаж овочів;
та інші види діяльності не заборонені чинним законодавством.
З. УЧАСНИКИ ТОВАРИСТВА, ЇХ ПРАВА ТА ОБОВ'ЯЗКИ
Учасниками Товариства є 7 фізичних осіб, вказані в п. 1.1 даного Статуту.
Учасники Товариства мають право:
бути співробітниками Товариства;
брати участь в управлінні справами Товариства;
отримувати частку прибутку від діяльності Товариства у розмірі, відповідному внеску до статутного фонду;
вносити додаткові внески до статутного фонду в порядку, передбаченому рішенням зборів Учасників;
отримувати повну інформацію про діяльність Товариства;
знайомитись з даними бухгалтерського обліку, звітності та іншою документацією.
в разі бажання продати та купити акції.
Учасники Товариства зобов'язані:
дотримуватись положень засновницького договору та статуту;
виконувати рішення зборів Учасників;
вносити пайові внески в порядку і розмірах, передбачених засновницьким договором;
виконувати прийняті на себе обов'язки стосовно Товариства та сприяти в здійсненні Товариством своєї діяльності;
не розголошувати інформацію про діяльність Товариства.
4 МАЙНО ТОВАРИСТВА
Майно Товариства е власністю Учасників і складається із основних фондів та оборотних засобів, а також інших цінностей, вартість яких відображається в самостійному балансі Товариства. Майно знаходиться в його повному розпорядженні і вилученню не підлягає.
Джерелом формування майна Товариства є:
грошові та майнові внески Учасників;
прибутки, отримані від реалізації золотих виробів;
кредити банків;
благодійні внески, пожертвування, дари юридичних та фізичних осіб;
інші джерела, не заборонені чинним законодавством.
Товариство має статутний фонд 10 тис. грн. Учасники володіють частками:
пан Бондар В.О. – 1,5 тис. грн., що становить15 % статутного фонду;
пан Війт І.П. - 1 тис. грн., що становить 10% статутного фонду;
пан Мандебура Ю.Р. – 1 тис. грн., що становить 10% статутного фонду;
пан Покрівський А.Д. - 1 тис. грн., що становить 10% статутного фонду;
пан Войтко О. О. – 1,5 тис. грн., що становить 15% статутного фонду;
пані Розанова Ю.К. – 1 тис .грн., що становить 10% статутного фонду;
пані Гундарева Н.М. – 3 тис. грн., що становить 30% статутного фонду;
Збори Учасників на основі одноголосно прийнятого рішення вправі передбачати внесення Учасниками додаткових внесків до статутного фонду.
Внеском Учасника Товариства можуть бути: грошові кошти; будівлі, споруди, обладнання та інші матеріальні цінності; цінні папери; права на користування землею, водою та іншими природними ресурсами; інші майнові і немайнові права, в тому числі і права на інтелектуальну власність.
Учасник Товариства може без дозволу інших Учасників поступитися своїм внеском одному або декільком Учасникам Товариства (або третім особам). Учасники Товариства користуються переважним правом придбання внеску (частини внеску) Учасника, що поступається ним, пропорційно їх часткам в статутному фонді. Передача Учасником внеску (частини внеску) третім особам можлива тільки після повного внесення ним внеску і з дозволу зборів Учасників. Пай (частка) Учасника після повного внесення ним пайового внеску може бути придбаний самим Товариством. В цьому випадку Товариство зобов'язане передати придбану частку іншим Учасникам або третім особам до кінця поточного календарного року. Протягом цього періоду розподіл прибутку, а також голосування й визначення кворуму на зборах Учасників проводиться без врахування придбаного Товариством внеску, тобто, за фактичною кількістю Учасників, що залишились.
У випадку виходу Учасника із Товариства йому повністю сплачується внесений пайовий внесок і отримана на цей внесок частка прибутку за період до моменту виходу Учасника, а також відповідна частка майна Товариства на момент виходу із Товариства. Виплата проводиться після затвердження звіту за рік, в якому Учасник вийшов із Товариства, і в строк до 6-ти місяців з дня виходу, з відшкодуванням збитків від інфляції за строк виплати.
При бажанні Учасника і з дозволу зборів Учасників його внесок, частка прибутку, отримана на цей внесок за період до моменту виходу Учасника, а також відповідна частка майна Товариства на момент виходу Учасника можуть бути повернені частково чи повністю в натуральній формі. Майно, передане Товариству тільки в користування, повертається в натуральній формі.
У випадку смерті одного з Учасників Товариства всі права і обов'язки переходять до спадкоємця, який має переважне право спадковості за законом або у відповідності з заповітом померлого Учасника.
4.7.2 При відмові правонаступника (спадкоємця) від вступу до Товариства йому видається в грошовій або натуральній формі: внесений, пайовий внесок, що належить вибулому Учаснику, отримана на пайовий внесок частка прибутку і відповідна частка майна Товариства на час вибуття померлого Учасника. Виплата проводиться після затвердження звіту за рік, в якому він вибув з Товариства, і в строк до 6-ти місяців з дня вибуття з відшкодуванням збитків від інфляції за строк виплати. В цьому випадку розмір статутного фонду Товариства підлягає відповідному зменшенню, але повинен бути поновлений протягом одного року шляхом внесення додаткових внесків іншими Учасниками або новоприйнятими Учасниками.
Грошові кошти Товариства зберігаються на розрахункових і інших рахунках в установах комерційних банків в національній та іноземній валютах.
Товариство має право продавати, передавати, обмінювати, дарувати, здавати в оренду іншим юридичним і фізичним особам майно та інші цінності, що йому належать.
Товариство має право приймати дари і здійснювати акти дарування стосовно юридичних і фізичних осіб.
Держава не відповідає за зобов'язаннями Товариства, Товариство не відповідає за зобов'язаннями держави.
Товариство несе майнову відповідальність за своїми зобов'язаннями в межах статутного фонду.
Товариство не відповідає за зобов'язаннями своїх засновників-юридичних осіб, фізичних осіб. Юридичні особи-засновники, фізичні особи-засновники не відповідають за зобов'язаннями Товариства.
Товариство не відповідає за зобов'язаннями Учасників.
Учасники Товариства несуть відповідальність за його зобов'язаннями тільки в межах своїх внесків до статутного фонду.
5. ГОСПОДАРСЬКА ДІЯЛЬНІСТЬ ТОВАРИСТВА
Товариство самостійно здійснює свою діяльність на принципах самозабезпечення, самофінансування та самоокупності, несе відповідальність згідно з чинним законодавством за наслідки своєї діяльності і виконання взятих на себе зобов'язань перед державним бюджетом, банками, іншими суб'єктами підприємницької діяльності тощо.
Товариство самостійно на основі замовлень та договорів планує свою діяльність і визначає перспективи розвитку.
Товариство для здійснення основних статутних завдань:
організовує матеріально-технічне забезпечення своєї діяльності, дочірніх підприємств, філій, представництв та інших відокремлених підрозділів шляхом придбання ресурсів у виробників, в оптовій торгівлі, на біржах, ярмарках, аукціонах, у роздрібній торгівлі, у фізичних та юридичних осіб за готівку або безготівкове в національній та іноземній валютах без обмежень вартості;
користується банківськими кредитами;
володіє і користується землею та іншими природними ресурсами;
вступає в господарські товариства, асоціації та інші об'єднання;
бере участь в аукціонах, ярмарках, виставках;
створює дочірні підприємства з правом юридичної особи, а також філії, представництва та інші відокремлені підрозділи без прав юридичної особи, затверджує положення про їх діяльність;
укладає угоди, договори;
надає посередницькі, маркетингові, інжинірингові послуги тощо;
- купує цінні папери;
бере на роботу фахівців, в тому числі за сумісництвом або контрактом, формує тимчасові творчі колективи для виконання конкретних замовлень;
має власні основні й оборотні фонди, а також створює різні фонди за рахунок відрахувань від прибутку;
використовує статутний фонд з наступним його відновленням;
реалізує продукцію, товари, роботи, послуги, вироби, матеріали ;
матеріально заохочує своїх працівників;
проводить науково-дослідні, проектно-конструкторські роботи;
здійснює інші види діяльності, що не суперечать чинному законодавству.
6. ЗОВШНЬОЕКОНОМІЧНА ДІЯЛЬНІСТЬ
Товариство самостійно здійснює зовнішньоекономічну діяльність в порядку, передбаченому чинним законодавством.
Товариство має право самостійно:
укладати договори з зарубіжними юридичними та фізичними особами;
проводити експортно-імпортні операції;
засновувати за кордоном у встановленому порядку власні дочірні підприємства, філії, представництва та інші відокремлені підрозділи; затверджувати їх статути та положення;
створювати спільні з зарубіжними юридичними та фізичними особами підприємства і брати участь в їх діяльності;
здійснювати експорт і імпорт продукції, товарів, капіталів, робочої сили;
здійснювати операції з придбання, продажу та обміну валют на валютних аукціонах, валютних біржах та на міжбанківському валютному ринку;
входити до складу, а також брати участь в створенні і діяльності асоціацій, акціонерних товариств та інших об'єднань, що знаходяться за кордоном;
6.3 Валютна виручка зараховується на валютні рахунки Товариства і використовується ним самостійно.
7. УТВОРЕННЯ І ВИКОРИСТАННЯ КОШТІВ ТОВАРИСТВА
Фінансові ресурси Товариства формуються за рахунок виручки від продажу та виробництва, кредитів, пожертвувань, дарів та інших не заборонених фінансових надходжень.
Майно Товариства утворюється за рахунок вкладень засновників, проценти вкладів вказані в пункті 4.1.
3 виручки від реалізації продукції (робіт, послуг) та інших надходжень сплачуються податки, вносяться страхові платежі, виплачуються проценти за кредитами, відшкодовуються матеріальні та інші витрати, здійснюється виплата заробітної плати.
Чистий прибуток надходить у повне розпорядження Товариства, яке самостійно визначає напрямки використання цього прибутку.
За рахунок чистого прибутку Товариство формує резервний фонд та інші фонди, величина яких визначається зборами Учасників. Резервний фонд формується в розмірі 25% від статутного фонду. Щорічні відрахування в резервний фонд складають не менше 5% чистого прибутку. Після створення резервного фонду вказані відрахування можуть спрямовуватися на формування інших фондів.
Кошти резервного фонду використовуються для покриття нестачі оборотних коштів, на оплату праці у випадку відсутності на це коштів, а також на покриття непередбачених витрат і збитків Товариства.
Частина чистого прибутку, що залишається Товариству, підлягає розподілу між Учасниками за підсумками роботи за рік пропорційно розмірам пайових внесків Учасників у статутному фонді.
Оплата праці працівників Товариства проводиться за рахунок коштів Товариства. Порядок оплати праці визначається положеннями, які затверджує директор за згодою зборів Учасників.
Оплата праці кожного працівника визначається його особистим трудовим внеском в результати роботи Товариства і не обмежується максимальними розмірами.
Оплата праці працівників не може бути менша за мінімальну заробітну плату, визначену чинним законодавством.
8. УПРАВЛІННЯ ТОВАРИСТВОМ
8.1 Органами управління Товариства є:
збори членів кооперативу;
спостережна рада;
правління.
ревізійна комісія.
До складу зборів Учасників входять Учасники або їх представники. Учасник має право в будь-який момент замінити свого представника, повідомивши про це інших Учасників.
Учасники володіють кількістю голосів, пропорційно розміру їх пайових внесків у статутний фонд. Одна акція – один голос. Власники привілейованих акцій не мають права голосу, але отримують підвищені дивіденди.
При розгляді питання про виключення Учасників із складу Товариства ці Учасники або їх представники участі в голосуванні не беруть.
До виключної компетенції зборів Учасників належить:
визначення основних напрямків діяльності Товариства, затвердження планів та звіти про їх виконання;
зміни та доповнення до статуту;
встановлення розміру, форми і порядку внесення Учасниками додаткових внесків до статутного фонду;
вирішення питання про придбання Товариством внеску (частини внеску) Учасника;
прийом нових Учасників;
виключення Учасників із Товариства;
затвердження річних результатів діяльності Товариства;
скликання зборів учасників, вибори та відкликання членів ревізійної комісії;
заснування та ліквідація дочірніх підприємств, філій, представництв; затвердженні статуту та положень про діяльність цих структур;
вирішення питань про входження Товариства до інших об' єднань та виходу з них;
визначення умов оплати праці учасників;
затвердження договорів на суму понад 100 тис. грн.
З першого, другого, п'ятого та шостого питань рішення приймаються при наявності на зборах всіх Учасників. Рішення вважаються прийнятими, якщо за них проголосували учасники які мають більше як 50% голосів в статутному фонді. З усіх інших питань рішення приймаються простою більшістю голосів.
Збори вважаються правочинними, якщо на них присутні Учасники (представники Учасників), які володіють у сукупності більш як 60% голосів, а з питань, що вимагають одностайності, всі Учасники.
Кожен з Учасників має право вимагати розгляду питання на зборах Учасників за умови, що воно було поставлене не пізніше, ніж за 25 днів до початку засідання Зборів.
Голова зборів Учасників обирається Зборами.
Голова скликає Збори, визначає порядок денний, день, місце та час їх проведення, забезпечує своєчасне запрошення на засідання Учасників не пізніше, ніж за 30 днів до початку зборів. Голова зборів організовує ведення протоколів зборів.
8.10 Збори скликаються не менше 2-х разів на рік. Позачергові збори скликаються Головою зборів
Учасників у випадках, коли цього вимагають інтереси Товариства. Збори Учасників можуть бути скликані на вимогу директора або ревізійної комісії.
8. 11 Учасники, які володіють у сукупності більш як 20% голосів, мають право вимагати скликання позачергових зборів Учасників у будь-який час і з будь-якого приводу, якщо це стосується діяльності Товариства. Якщо протягом 25 днів Голова зборів не виконав зазначеної вимоги, вони вправі самі скликати збори Учасників.
Генеральна дирекція вирішує всі питання діяльності Товариства за винятком тих, що входять до виключної компетенції зборів Учасників. Збори Учасників можуть винести рішення про передачу частини повноважень, що їм належать, до компетенції дирекції.
Дирекція підзвітна зборам Учасників і організує виконання їх рішень. Вона не має права приймати рішення, що відносяться до компетенції зборів Учасників.
Дирекція без доручення діє від імені Товариства, представляє його інтереси у відносинах з іншими юридичними і фізичними особами, державними органами, податковою інспекцією тощо, укладає договори, в тому числі і трудові, видає доручення, відкриває в банках рахунки, користується правом розпоряджатись коштами Товариства, видає накази і розпорядження, обов'язкові для всіх працівників Товариства.
Збори Учасників призначають і звільняють з посад всіх працівників Товариства.
Контроль за фінансово-господарською діяльністю Товариства і його підрозділів здійснює ревізійна комісія, яка складається з трьох членів, включаючи голову, які обираються зборами Учасників. Термін роботи ревізійної комісії визначається зборами Учасників.
Ревізійна комісія має право перевіряти все майно і всю діяльність Товариства.
Ревізійна комісія відповідає за свою діяльність перед зборами Учасників, надає їм звіти проведених ревізій і висновки з річних звітів.
Кожний Учасник може вимагати проведення позачергової ревізії діяльності Товариства.
Члени ревізійної комісії здійснюють свою діяльність відповідно до чинного законодавства, відповідають перед Товариством за збитки, що виникли в результаті помилкової діяльності комісії.
Трудовий колектив Товариства складають всі громадяни, що беруть участь своєю працею в його діяльності на основі трудового договору або контракту. Повноваження трудового колективу та його виборних органів визначаються чинним законодавством.
9. ТРУДОВІ ВІДНОСИНИ. СОЦІАЛЬНЕ ЗАБЕЗПЕЧЕННЯ ПРАЦІВНИКІВ
Трудові відносини працівників Товариства регулюються трудовим договором або контрактом, який вони уклали з Товариством.
Товариство забезпечує всім працюючим безпечні умови праці і несе відповідальність за шкоду, заподіяну здоров'ю і працездатності працівників.
Прийняття, переведення і звільнення працівників, їх робочий час і час відпочинку, охорона праці, трудова дисципліна, оплата праці та інші питання трудових відносин працюючих регулюються чинним законодавством та правилами внутрішнього трудового розпорядку.
Трудовий колектив Товариства укладає з адміністрацією колективний договір, в якому регулюються найсуттєвіші питання трудових відносин і соціального розвитку трудового колективу. Порядок укладання договору та його реєстрації регулюється чинним законодавством.
Працівники Товариства підлягають соціальному, медичному страхуванню і соціальному забезпеченню в порядку і на умовах, визначених чинним законодавством, трудовим договором або контрактом, а також колективним договором.
Товариство може за рахунок власних коштів страхувати своїх працівників без обмеження суми і строку страхування.
В Товаристві ведеться у встановленому порядку облік військовозобов'язаних та призовників.
10. ВІДПОВІДАЛЬНІСТЬ УЧАСНИКІВ ТОВАРИСТВА
Кожен Учасник Товариства несе матеріальну відповідальність за збитки, спричинені Товариству або іншим Учасникам, якщо він навмисно або ненавмисно вказав в установчих документах Товариства неправильні відомості або діяв всупереч положень засновницького договору та статуту.
Учасники Товариства несуть солідарну відповідальність за втрату майна, яке було передано їм на зберігання.
Учасники Товариства несуть майнову відповідальність за результати діяльності Товариства величиною власної частки в статутному фонді.
10.4. Працівники Товариства несуть відповідальність за збитки, заподіяні Товариству, в повному або обмеженому розмірі згідно з чинним законодавством та на умовах, обумовлених в трудовому договорі або контракті.
11. РЕОРГАНІЗАЦІЯ ТА ЛІКВІДАЦІЯ ТОВАРИСТВА
Реорганізація Товариства проводиться за рішенням зборів Учасників.
Умови і порядок ліквідації Товариства визначаються рішенням зборів Учасників і чинним законодавством (ст.19-22 Закону України „Про господарські товариства").
Припинення діяльності Товариства проводиться за рішенням зборів Учасників або за рішенням господарського суду.
При ліквідації Товариства створюється ліквідаційна комісія. Порядок створення ліквідаційної комісії визначається чинним законодавством.
Майно, що є у Товаристві, його грошові кошти, включаючи виручку від продажу майна при ліквідації, після розрахунків з бюджетом, кредиторами, оплати праці працівників Товариства, виконання обов'язків перед власниками цінних паперів, випущених Товариством, розподіляються між Учасниками пропорційно їх пайовим часткам у статутному фонді. Майно, передане Товариству його Учасниками в користування, повертається в натуральній формі.
Внесення змін та доповнень до установчих документів Товариства здійснюється відповідно до ст. 29-32 Закону України „Про державну реєстрацію юридичних осіб та фізичних осіб - підприємців" від 15 травня 2003 року.
ДОДАТОК Б
(обов’язковий)
Форма 1 Реєстраційна картка на проведення державної реєстрації юридичної особи, утвореної шляхом заснування нової юридичної особи
Відомості про юридичну особу
Повне найменування юридичної особи
Організаційно-правова форма юридичної особи Код КОПФ
Виробничий кооператив 180
Назва юридичної особи
“Фортезза”
Скорочене найменування юридичної особи
ВК “Фортезза”
Місцезнаходження юридичної особи
Країна Поштовий індекс
Україна 21027
Область
Вінницька
Район -
Місто (село) Вінниця
Вулиця Пирогова Будинок Корпус Квартира (офіс) 18 56
Форма власності юридичної особи Код КФВ
Колективна 20
Вищий орган управління юридичної особи
Збори членів кооперативу
Розмір внеску до статутного фонду (грн.) 10 тис.
Розмір сплаченого внеску до статутного фонду (грн.) 10 тис.
Дата закінчення формування статутного фонду 23.11.2009 р
Керівник юридичної особи
Прізвище
Розанова
Ім’я, по-батькові
Юлія Костянтинівна
Ідентифікаційний номер 10023677
Орган виконавчої влади, до сфери управління якого належить юридична особа державної форми власності чи юридична особа, в статутному фонді якої частка державної власності становить не менше 25%
Найменування органу
Вінницька міська реєстраційна палата
Ідентифікаційний код органу
56329871
Підпис державного реєстратора ___________ _____________
(підпис) (дата)
Свідоцтво про державну реєстрацію та один примірник оригіналів установчих документів отримав:
Гундарева Н.М. ____________ ____________
(прізвище, ініціали) (підпис) (дата)
ДОДАТОК В
(обов’язковий)
Серія А01 №569821
СВІДОЦТВО
про державну реєстрацію
юридичної особи
Найменування Виробничий кооператив “Фортезза”
(повне)
Ідентифікаційний код юридичної особи 56987523
Місцезнаходження юридичної особи
м. Вінниця, Пирогова, б. 18, кв.56
Місце проведення державної реєстрації
Виконавчий комітет Вінницької міської ради
Дата проведення державної реєстрації
28.11.2007р. № 1 456 567 0076 000568
Державний реєстратор __________ Павлов Г.П..
(підпис) (прізвище, ініціали)
М.П.
Нравится материал? Поддержи автора!
Ещё документы из категории экономика:
Чтобы скачать документ, порекомендуйте, пожалуйста, его своим друзьям в любой соц. сети.
После чего кнопка «СКАЧАТЬ» станет доступной!
Кнопочки находятся чуть ниже. Спасибо!
Кнопки:
Скачать документ