Электричество





























































































































ЭЛЕКТРИЧЕСТВО
Электрический заряд. Взаимодействие заряженных тел.
Закон Кулона. Закон сохранения заряда
Электрический заряд – это физическая величина, характеризующая свойство тел или частиц вступать в электромагнитное взаимодействие. Существует два вида зарядов, которые условно называют положительными и отрицательными. Единица измерения заряда в СИ -– кулон (Кл). Она выражается через основную единицу СИ – ампер (А).
.
Носителями заряда являются элементарные частицы. Электрический заряд любого тела состоит из целого числа n элементарных зарядов
,
где - элементарный заряд.
Заряд электрона – е, заряд протона +е.
Точечным зарядом называют заряженное тело, размерами которого можно пренебречь. Закон взаимодействия неподвижных точечных зарядов экспериментально установил Кулон.
Закон Кулона:
Сила электрического взаимодействия между двумя точечными электрическими зарядами прямо пропорциональна произведению величин зарядов и обратно пропорциональна квадрату расстояния между ними и направлена вдоль прямой, соединяющей эти заряды.
,(3.1)
где - для вакуума;
- для среды;
- электрическая постоянная,
- относительная диэлектрическая проницаемость среды.
Одноименные заряды отталкиваются, разноименные – притягиваются .
Закон сохранения электрического заряда.
Алгебраическая сумма электрических зарядов замкнутой системы тел остается постоянной при любых процессах в этой системе:
.
Электрическое поле. Напряженность электрического поля. Электрическое поле точечного заряда. Принцип суперпозиции полей.
Электрические заряды не действуют друг на друга непосредственно. Каждый из них создает в окружающем пространстве электрическое поле.
Электрическое поле – вид материи, посредством которой осуществляется взаимодействие электрических зарядов. Если электрические заряды неподвижны, то поле является электростатическим.
Напряженность поля – физическая величина, равная отношению силы, с которой поле действует на точечный положительный (пробный) заряд q, помещенный в данную точку поля, к величине этого заряда:
(3.2)
вектор напряженности совпадает по направлению с вектором силы. Единица измерения напряженности или (вольт на метр).
Напряженность электростатического поля точечного заряда Q можно определить, используя закон Кулона:
и формулу (3.2):
(3.3)
Здесь r – расстояние от заряда до точки, в которой определяется напряженность. Для изображения поля используют линии напряженности (силовые линии), касательные к которым в каждой точке дают направление вектора напряженности.
На рис. показаны силовые линии точечного положительного заряда, на рис. – отрицательного заряда. Густота силовых линий там больше, где больше напряженность поля.
Каждый электрический заряд создает электрическое поле независимо от наличия других зарядов.
Принцип суперпозиции:
напряженность поля, созданная двумя и более зарядами, находится как векторная сумма полей, созданных каждым зарядом в отдельности.
3.3 Электромагнитная индукция. Магнитный поток
В 1831 г. Фарадей открыл явление электромагнитной индукции, заключающееся в возникновении тока под действием переменного магнитного поля. Схема опытов Фарадея приведена на рисунках. Он установил, что ток в первой катушке возникает:
при движении постоянного магнита относительно катушки (рис.);
при изменении тока во второй катушке ;
при движении катушек относительно друг друга (во второй при этом существует постоянный ток).
Отсюда можно сделать вывод:
в замкнутом контуре возникает ток при изменении магнитного потока, пронизывающего контур.
Магнитным потоком Ф через поверхность площадью S называется скалярная величина, равная произведению модуля вектора магнитной индукции на площадь S и косинус угла между нормалью к поверхности и вектором (рис.):
Магнитный поток можно наглядно истолковать как величину, пропорциональную числу линий магнитной индукции, пронизывающих контур.
Единица измерения потока – вебер:
Величина индукционного тока пропорциональна скорости изменения магнитного потока, отсюда с учетом закона Ома следует закон для ЭДС индукции.
ЭДС индукции равна скорости изменения магнитного потока, пронизывающего контур (производной от потока по времени):
(3.20)
Знак минус в правой части отражает правило Ленца.
Правило Ленца гласит:
возникающий в замкнутом контуре ток своим магнитным полем противодействует тому изменению магнитного потока, которым он был вызван (то есть) противодействует причине, его породившей).
На рис. показан опыт с внесением магнита в замкнутое кольцо. Возникающий в кольце индукционный ток создает магнитное поле, препятствующее внесению магнита, и отталкивает кольцо от магнита. При внесении магнита в разрезанное кольцо эффект отсутствует.
Явление самоиндукции. Энергия магнитного поля
Явление возникновения ЭДС в проводнике с током при изменении собственного магнитного потока, создаваемого этим током, называется самоиндукцией, а возникающую ЭДС – ЭДС самоиндукции.
Магнитный поток, создаваемый магнитным полем любого проводника, пропорционален силе тока в проводнике (как и магнитная индукция – см. (3.18) и (3.19)):
где L – индуктивность проводника, величина, зависящая от его длины и формы.
С учетом закона электромагнитной индукции (3.20) получим:
(3.21).
Индуктивность численно равна ЭДС самоиндукции, возникающей в данном проводнике при изменении в нем тока за единицу времени, и в СИ измеряется в генри:
.
Для увеличения индуктивности проводник наматывается в виде катушки, индуктивность которой зависит:
от числа витков
магнитной проницаемости сердечника (если он помещен в катушку).
Явление самоиндукции можно наблюдать на опыте (рис.3.31).
При замыкании цепи лампа, включенная в цепь с катушкой индуктивности, загорается позже вследствие возникновения ЭДС самоиндукции, препятствующей быстрому нарастанию тока.
Для создания в проводнике с индуктивностью L силы тока I источник тока должен совершить работу против ЭДС самоиндукции. Из закона сохранения энергии следует, что при этом энергия источника тока превращается в энергию магнитного поля.
Эту энергию определяют по формуле:
После размыкания цепи ток не исчезнет мгновенно, а какое-то время существует за счет этой энергии.
Магнитные свойства вещества. Магнитная проницаемость.
Ферромагнетики
Электроны в атомах вещества представляют собой замкнутые токи, создающие собственное магнитное поле. Хаотические направления полей отдельных атомов дают в сумме собственное нулевое поле. Если вещество находится во внешнем магнитном поле, то электронные поля частично поворачиваются в направлении внешнего поля и усиливают его. Этот процесс называется намагничивание.
Индукция общего поля
где и - векторы индукции внешнего и внутреннего полей.
Магнитная проницаемость – отношение модулей векторов индукции
показывает, во сколько раз поле в веществе больше внешнего поля.
Ферромагнетики:
железо,
кобальт,
никель и др.
В ферромагнетиках существуют области сильного самопроизвольного намагничивания размерами порядка 0,01 мм (домены). При появлении внешнего поля направления полей доменов переключаются на направление поля и значительно его усиливают (в 10000 – 100000 раз). У ферромагнетиков результирующее внешнее поле может сохраняться и при =0 (постоянные магниты). Ферромагнетики относятся к сильномагнитным веществам.
Большинство веществ в природе являются слабомагнитными. К парамагнетикам, к которым относятся:
кислород;
алюминий;
платина и др.
У парамагнетиков магнитная проницаемость чуть больше единицы (на величину ).
К диамагнетикам относятся:
азот;
серебро;
висмут и др.
У диамагнетиков магнитная проницаемость чуть меньше единицы (на величину ).
В диамагнетиках магнитное поле меньше, чем в вакууме. Атомы диамагнетика при отсутствии внешнего поля не создают собственного магнитного поля (магнитные поля «кольцевых токов» электронов в таких атомах компенсируют друг друга). При появлении внешнего поля движение электронов изменяется таким образом, как будто возник дополнительный индукционный ток, создающий в соответствии с правилом Ленца магнитное поле, противоположное внешнему.
Электрический ток. Сила тока.Электродвижущая сила
Электрический ток – это упорядоченное движение электрических зарядов. В металлах носителями заряда являются электроны, в электролитах – ионы, в газах – ионы и электроны.
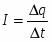
Силой тока называется физическая величина, численно равная заряду, переносимому за единицу времени через поперечное сечение проводника
.
Силу тока в СИ измеряют в амперах. Один ампер – это основная единица в СИ, она определяется по силе магнитного взаимодействия токов.
За единицу силы принимают силу такого тока, при котором отрезки параллельных проводников длиной 1 м, находящиеся на расстоянии 1 м в вакууме, взаимодействуют с силой .
Через единицу силы тока определяются другие электрические единицы, например
.
Если сила тока и его направление со временем не меняются, то такой ток называют постоянным.
Для поддержания тока в замкнутой цепи необходимо наличие сил неэлектростатической природы (сторонних сил), способных совершать работу по переносу заряда в замкнутой цепи.
Сторонние силы действуют обычно лишь на части замкнутой цепи – в источнике тока. Происхождение этих сил в разных источниках различно:
в гальванических элементах и аккумуляторах эти силы имеют химическую природу,
в фотоэлементах разделение зарядов происходит в результате действия света на полупроводник,
в генераторах – за счет движения проводников в магнитном поле.
Чем больший заряд перемещается по проводнику, тем большая работа совершается.
Электродвижущая сила (ЭДС) источника – физическая величина, численно равная работе, которую совершают сторонние силы при перемещении единого положительного заряда по замкнутому контуру
.
При движении заряда по проводнику на него могут действовать как силы электростатического происхождения, так и сторонние силы.
Полная работа по перемещению положительного заряда на участке 1,2 отнесенная к величине заряда, называется напряжением U
(3.13а)
Напряжение, как ЭДС и разность потенциалов, измеряется в вольтах.
Рассмотрим частные случаи, вытекающие из (3.13а):
если на участке цепи отсутствуют источники , то напряжение равно разности потенциалов на концах участка цепи;
если ток равен нулю (цепь разомкнута), то разность потенциалов на концах участка цепи равна ЭДС с обратным знаком.
Закон Ома. Сопротивление. Последовательное и параллельное
соединение
Закон Ома для произвольного участка цепи:
сила тока прямо пропорциональна напряжению на участке цепи 1,2 и обратно пропорциональна сопротивлению этого участка
,(3.14)
где определяется из (3.13).
Если участок цепи не содержит ЭДС (однородный участок), выражение для закона Ома упрощается
.
Сопротивление проводника – физическая величина, характеризующая электрические свойства проводника. Сопротивление проводника может быть определено с помощью закона Ома через значение тока и напряжения
.
Сопротивление измеряют в омах
.
Сопротивление однородного проводника
,
где l – длина;
S – площадь поперечного сечения проводника;
- удельное сопротивление проводника (сопротивление одного цилиндрического проводника, изготовленного из данного материала, имеющего единичную длину и единичную площадь поперечного сечения).
При последовательном соединении проводников (рис.3.11)
,
,
следовательно из закона Ома получаем
.
При параллельном соединении проводников (рис.3.12)
,
.
поэтому
.
Если участок цепи содержит ЭДС (рис.3.13), закон Ома удобнее применять в следующем виде
(3.15)
Знаки входящих в это выражение величин определяются следующим правилом:
ток считается положительным, если протекает от точки с потенциалом к точке с потенциалом ;
ЭДС принимается положительной, если поддерживает ток в том же направлении.
На рис.3.13, где показана часть цепи, по которой протекает ток, ЭДС является положительной, а - отрицательной.
Проиллюстрируем применение закона Ома для участка цепи, содержащего ЭДС, на примере схемы .
Дано:
;
;
;
;
;
.
Необходимо определить ток I.
Произвольно выбираем направление тока от точки с потенциалом к точке с потенциалом . Подставляем данные нам значения в формулу (3.15), учитывая, что полное сопротивление участка равно сумме последовательно соединенных сопротивлений
.
Из этого уравнения находим величину тока
.
Полученный знак минус означает, что ток направлен в направлении, противоположном тому, которое указано на рис. .
Закон Ома для полной цепи. Работа и мощность тока.Правила Кирхгофа
Если цепь замкнута , то разность потенциалов соединенных в одной точке проводников будет равна нулю, и из формулы (3.15) следует: ЭДС, действующая в замкнутой проводящей цепи, равна сумме произведений тока на сопротивления внешней и внутренней частей цепи:
(внутреннее сопротивление источника на рис.3.14 не показано).
Закон Ома для замкнутой цепи:
сила тока прямо пропорциональна ЭДС и обратно пропорциональна полному сопротивлению цепи:
.
При переносе заряда на внешнем участке совершается работа, равная
.
Эту работу называют работой тока.
Мощность постоянного тока равна работе, совершаемой в единицу времени
.
Проводник, по которому идет ток, нагревается и отдает теплоту окружающим телам.
Закон Джоуля-Ленца определяет количество теплоты, выделяемое током в проводнике
.
Для рассмотрения сложных разветвленных цепей используют правила Кирхгофа.
В таких цепях выделяют узлы – точки, в которых сходится не менее трех проводников (точки А, В на схеме рис.3.15) и ветви – участки цепи между двумя соседними узлами. Во всей ветви ток один и тот же. На рис.3.15 ветвь АСВ содержит источник тока с ЭДС и резистор . Ток, протекающий по этой ветви .
Если направления токов в ветвях неизвестны, их выбирают произвольно.
Первое правило:
алгебраическая сумма токов, сходящихся в узле равна нулю
.
Считая токи, входящие в узел, положительными, а выходящие отрицательными, получаем для узла А следующее уравнение:
.
Уравнения, составляемые для каждого следующего узла, будут независимыми, если в узел входит хотя бы один новый ток. В узел В на рис. 3.15 входят те же токи, что и в узел А, поэтому для этой цепи на основании первого правила Кирхгофа можно составить только одно независимое уравнение.
Второе правило:
в любом выделенном в разветвленной цепи замкнутом контуре алгебраическая сумма произведений токов на сопротивление равна алгебраической сумме ЭДС
.
Для составления уравнений по второму правилу Кирхгофа в разветвленной цепи необходимо выбрать замкнутый контур, например контур АСВD, и произвольно направление его обхода, например против часовой стрелки. Если направление обхода контура совпадает с направление тока в ветви, то произведение включаем со знаком плюс, в противном случае – со знаком минус.
Если направление обхода контура совпадает с направление ЭДС (направление ЭДС совпадает с направлением тока, который этот источник поддерживает во внешней цепи, на рис. показано стрелкой у ), эта ЭДС со знаком плюс, в противном случае – со знаком минус.
Для выбранного направления обхода контура АСВD получаем следующее уравнение
.
Каждый следующий контур выбираем так, чтобы в него входила хотя бы одна новая ветвь. Для цепи (рис.) можно выбрать еще только один контур, включающий нижнюю ветвь.
Задача может быть решена, если число составленных на основании правил Кирхгофа уравнений не меньше, чем число неизвестных. Если в результате решения будет получено отрицательное значение для какого-либо тока, это означает, что в действительности ток имеет направление, противоположное выбранному.
Переменный электрический ток. Генератор переменного тока.
Трансформатор
Переменный ток – это ток, периодически меняющийся по величине и направлению. Возбуждение электродвижущей силы индукции в контуре, вращающемся в магнитном поле, используется в технике для получения переменного электрического тока.
Рассмотрим принцип действия генератора переменного тока на примере вращения витка провода в однородном магнитном поле .
Пусть виток ограничивает поверхность площадью S и вектор индукции однородного магнитного поля расположен под углом к перпендикуляру к плоскости витка.
При вращении витка с угловой скоростью угол изменяется по закону:
,
а магнитный поток Ф, пронизывающий виток, изменяется по закону:
Так как
,
где Т- период, то
.
Изменения магнитного потока возбуждают в витке ЭДС индукции, согласно закону электромагнитной индукции равную производной от потока по времени (строчными буквами мы будем обозначать мгновенные значения):
где - амплитуда ЭДС индукции.
С помощью контактных колец и скользящих по ним щеток концы витка соединяют с электрической цепью, в которой под действием ЭДС индукции, изменяющейся со временем по гармоническому закону, возникнет переменный ток такой же частоты.
Напряжение на выходных зажимах генератора несколько меньше ЭДС (на величину напряжения на внутреннем сопротивлении
и также изменяется по гармоническому закону
.
Мгновенное значение силы тока в цепи будет равно:
,
где - амплитуда колебаний силы тока;
- разность фаз между колебаниями тока и напряжения.
Эти величины зависят от характера сопротивления цепи .
Трансформатор
Трансформатор – это устройство для преобразования напряжения переменного тока, основанное на явлении электромагнитной индукции.
Трансформатор (рис.) состоит из замкнутого железного сердечника, на который надеты две (или более) катушки с проволочными обмотками.
Переменный ток, проходящий по первичной обмотке создает в сердечнике трансформатора изменяющийся магнитный поток, который охватывается витками как вторичной, так и первичной обмоток.
Вследствие явления электромагнитной индукции в каждом витке вторичной обмотки возникает ЭДС индукции. В результате напряжение на обмотках трансформатора пропорционально числу витков в этих обмотках:
где К – коэффициент трансформации.
Если , трансформатор повышающий, при трансформатор является понижающим.
Активное, емкостное, индуктивное сопротивление. Мощность в цепи переменного тока
Активным называется сопротивление (обозначается через R), в котором поглощается энергия, поступающая от генератора. Пусть напряжение, приложенное к активному сопротивлению, изменяется по закону
.
Применим к участку цепи 1,2 (рис.) закон Ома для мгновенных значений тока и напряжения в виде (3.14):
.
Колебания напряжения на активном сопротивлении совпадают с колебаниями тока по фазе, так как .
Для амплитудных значений справедлив закон Ома, имеющий для рассматриваемого участка цепи вид:
.
Действующим (эффективным) значением силы тока называют величину постоянного тока, который на активном сопротивлении за то же время выделяет такое же количество теплоты, как и данный переменный ток.
Действующее (эффективное) значение силы тока связано с амплитудным значением соотношением:
.
Аналогично определяется значение напряжения
.
Выше приведенное выражение для закона Ома справедливо и для действующих значений.
Рассмотрим конденсатор в цепи переменного тока (рис. 3.35). Постоянный ток не протекает через конденсатор, поскольку тот фактически разрывает цепь постоянного тока. Однако при возникновении колебаний напряжения на конденсаторе происходит его перезарядка, и в подводящих проводах возникают колебания тока.
Пусть заряд на конденсаторе меняется по закону:
.
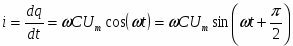
Сила тока является производной заряда по времени:
.
Следовательно, колебания силы тока опережают колебания напряжения на конденсаторе на .
Амплитуда силы тока равна
.
Если ввести емкостное сопротивление
и вместо амплитудных значений использовать действующие, то получим закон Ома для действующих значений:
.
Индуктивность в цепи переменного тока (рис.) тоже влияет на величину тока, так как возникает ЭДС самоиндукции. Если активным сопротивлением катушки можно пренебречь, то разность потенциалов на катушке равна:
.
Если ток в цепи меняется по закону
,
то
.
Колебания силы тока в катушке отстают от колебаний напряжения на .
Индуктивное сопротивление равно
.
Действующие (и амплитудные) значения тока и напряжения также связаны между собой законом Ома
.
Мгновенное значение мощности переменного тока равно произведению мгновенных значений силы тока и напряжения:
.
Практический интерес представляет среднее за период значение мощности:
,
или через действующие значения тока и напряжения
.
Косинус угла сдвига фаз между током и напряжением называют коэффициентом мощности.
Если в электрической цепи не совершается работа, средняя мощность выделяется в активном сопротивлении в виде тепла. При сдвиге фаз (как в конденсаторе или катушке индуктивности без активного сопротивления) средняя выделяемая мощность равна нулю. Поэтому сопротивления называются реактивными.
Нравится материал? Поддержи автора!
Ещё документы из категории физика:
Чтобы скачать документ, порекомендуйте, пожалуйста, его своим друзьям в любой соц. сети.
После чего кнопка «СКАЧАТЬ» станет доступной!
Кнопочки находятся чуть ниже. Спасибо!
Кнопки:
Скачать документ