Электроснабжение нефтеперерабатывающего завода





























































































































































































































































































































































СОДЕРЖАНИЕ
Введение
Технологический процесс
2 Выбор напряжения
3 Показатели качества электроэнергии
4 Определение расчетных электрических нагрузок
4.1 Расчетная нагрузка насосной №1
4.2 Расчетные нагрузки для остальных цехов завода
4.3 Определение расчетной нагрузки электрического освещения
4.4 Расчетная нагрузка всего завода
5 Определение количества и мощности трансформаторов
5.1 Предварительный выбор количества цеховых трансформаторов на предприятии
5.2 Определение мощности конденсаторов напряжением до 1 кВ и выше
5.3 Выбор варианта количества цеховых трансформаторов
5.4 Выбор местоположения и мощности трансформаторов ГПП
5.5 Определение количества трансформаторов в каждом цехе
5.6 Выбор мощности батарей конденсаторов
6 Расчет токов короткого замыкания
6.1 Составление схемы замещения и расчет ее параметров
6.2 Определение токов короткого замыкания
7 Выбор схемы внутреннего электроснабжения и ее параметров
7.2. Выбор сечений жил кабелей распределительной сети
7.3 Выбор оборудования электрической сети напряжением до 1 кВ
7.3.1 Подбор совокупности приемников, питаемых от ТП
7.3.2 Выбор шинопроводов
8 Выбор оборудования
8.1 Выбор ограничителей перенапряжения
8.2 Выбор измерительных трансформаторов тока
8.3 Выбор разъединителей
8.4 Выбор заземлителей
8.5 Выбор трансформаторов напряжения
8.6 Выбор вводных и секционных выключателей на стороне 6 кВ
8.7 Выбор выключателей на отходящих линиях
9 Расчет основных технико-экономических показателей Спроектированной сети
10 Релейная защита и автоматика
10.1 Защита кабельных линий и цеховых трансформаторов
10.2 Токовая отсечка
10.3 Максимальная токовая защита на стороне высшего напряжения
10.4 Защита нулевой последовательности
11 Безопасность жизнедеятельности
11.1 Общие требования безопасности к производственному оборудованию
11.2 Производственная санитария
11.3 Основы пожарной безопасности
12 Расчет защитного заземления цеха
12.1 Защитное заземление
12.2 Молниезащита цеха
13 Расчет электроосвещение
13.1 Выбор системы освещения и освещенности
13.2 Выбор типа и мощности источника света
13.3 Выбор кабелей, питающих щитки освещения
13.4 Выбор схемы питания осветительной установки
13.5 Выбор типа и расположения группового щитка, компоновка сети и её выполнение
14 Экономическая часть
15 Монтаж распределительных устройств и подстанций
Заключение
Список использованной литературы
Введение
На долю ЕЭС России приходится около 95 % производства электроэнергии страны. Она образовалась 1991 г., выделившись из состава ЕЭС бывшего советского союза.
В состав ЕЭС России входит шесть объединенных энергосистем (ОЭС): Северо - Запада, Центра, Средней Волги, Северного Кавказа, Урала и Сибири. ОЭС Востока работает изолированно.
Установленная мощность электростанций ЕЭС России на конец 2005 г. составила 197,3млн.кВт. Выработка электроэнергии всеми электростанциями ЕЭС России достигает 890,8 млрд. кВт ч.
ЕЭС России формировалась в составе ЕЭС СССР, поэтому размещение электростанций и подстанций, их структура, единичная мощность и схема сетей создавались из эффективности работы всего большого объединения.
ЕЭС СССР была крупнейшей единой энергосистемой в мире и представляла собой высшею форму интеграции электроэнергетики благодаря централизованному управлению ее функционированием и развитием и на протяжении многих лет обеспечивала надежное и эффективное электроснабжение страны.
С распадом Советского союза и переходом России к рыночной экономике электроэнергетика должна была функционировать в рыночной среде. В 1991 г. По инициативе Минэнерго и в соответствии с Указом Президента РФ электроэнергетика была приватизирована с контрольным пакетом акций у государства. При этом была создана двухуровневая регулируемая монополия: РАО “ЕЭС России” на федеральном уровне и 74 «АО-энерго» на уровне регионов.
С 2000 г., по инициативе РАО ЕЭС России началось новое реформирование электроэнергетики с созданием свободного конкурентного рынка электроэнергии, мощности и системных услуг.
В 2003 г., на базе крупных электростанции РАО “ЕЭС России” началось создание оптовых генерирующих компаний, на основе тепловых и гидравлических электростанций, региональных (ОГК) на базе ТЭЦ. Кроме того, уже существует государственная корпорация, объединяющая все атомные электростанции - Федеральное государственное унитарное предприятие «Росэнергоатом».
После выделения ЕЭС России из состава СССР возникли большие трудности с осуществлением параллельной работы. Часть объединений ЕЭС России таких как Северный Кавказ, Сибирь, а также Янтарьэнерго, оказались связанными с остальной частью ЕЭС через сети Украины, Казахстана и Балтии. Это создало большие трудности в функционировании ЕЭС и электроснабжении потребителей. До 1994г. ЕЭС России в составе шести объединенных систем работала синхронно с энергосистемами Балтии, Беларуси, Украины, Закавказья и Казахстана.
С 1995 г. в связи с экономическим кризисом в странах СНГ и по ряду других причин связи ОЭС Центра Украиной и Северным Кавказом были отключены. В 1996 г. были отключены также связи Урала с Казахстаном, а 1999г. - Казахстана с Сибирью. Сохранялась синхронная работа ЕЭС России только с Беларусью и Балтией. Эти обстоятельства вызвали большие трудности в электроснабжении дефицитного объединения Северного Кавказа, а также Омской энергосистемы ОЭС Сибири, которые соединялись с ЕЭС только слабыми связями 220 кВ. В результате при наличии мощных электрических сетей, проходящих по территориям Украины и Казахстана, в ЕЭС России потребовалось усиление усиление электрических сетей между северным Кавказом и Волгоградом, а также Сибирью и Уралом, проходящих по территории России.
В 2000 г. была востановлена синхронная работа с ОЭС Сибири через ОЭС Казахстана, а с 2001 г. – с Украиной и Молдовой, Закавказьем. В настоящее время ЕЭС России работает синхронно на территории, превышающей территорию бывшей ЕЭС Советского союза.
Таким образом, параллельная работа объединений ЕЭС России стала зависеть от загрузки сетей соседних государств, что в ряде случаев может приводить к ограничению пропускной способности сетей между объединениями ЕЭС.
В ближайшее время около 70% мощности тепловых электростанций ЕЭС России достигнут 30 - летнего срока службы. Продление его не позволяет улучшить экономические показатели работы станций, и отставание технического уровня нашей энергетики только увеличится. Масштабное техническое перевооружение энергетики потребует огромных финансовых и материальных ресурсов, что при современном состоянии нашей промышленности практически не реализуемо в ближайшие 15-20 лет.
Уже в 2001 г. число аварий и отказов резко увеличилось. КА и не доотпуск электроэнергии из-за них. После 2001 г. полные данные по надежности не приводятся. Указываются только отказы оборудования различных типов без пояснения последствий. Значительное снижение надежности работы ЕЭС было подтверждено тяжелейшей системной аварией в г. Москве и ОЭС Центра 25 мая 2005 г., подобных которой не было с начала создания ЕЭС в 1948 г. Развитие этой аварии в течении почти двух суток и не неудачные попытки ее ликвидации обнаружили низкие уровни эксплуатации и профессионализма, а также безответственность персонала всех звеньев.
Создание специальной службы ЦДУ ЕЭС по мониторингу и предотвращению системных аварий представляется совершенно бесполезным. Пока основной деятельностью этой структуры был сбор данных о запасе топлива на электростанциях и воды на ГЕС, состоянии всего оборудования энергетических объектов до их мельчайших деталей. По этим данным новой службой давались указания о необходимости устранения недостатков, т.е. выполнения технологических правил эксплуатации.
Стало очевидным, что свободный рынок в электроэнергетике в обычном понимании этого слова не может быть создан. Процесс реструктуризации в развитых странах замедлился, так начался поиск новых форм организации рыночных отношений в этой отрасли с учетом своих конкретных условий и сложившейся структуры электроэнергетики.
Очевидно, что в России организация эффективного свободного рынка столкнется с большими проблемами. К этому приведут неразвитость цивилизованных рыночных отношений в стране, огромная территория, техническая отсталость и изношенность оборудования промышленных предприятий и некоторые “национальные особенности“, выражающееся, в частности, в невыполнении правил и даже законов. Не ясна и экономическая эффективность перехода к “свободному” рынку от высшей формы интеграции электроэнергетики.
Следует оценить, хотя бы приближенно. Эффективность предлагаемых преобразований, а так же их последствия для населения. Необходимо также разработать такие способы государственного регулирования, которые обеспечат функционирование и развитие электроэнергетики страны в интересах государства и общества.
1 Технологический процесс
Процесс каталитического крекинга является основным процессом переработки вакуумного газойля с целью получения высококачественных компонентов моторных топлив и сырья для нефтехимических процессов.
Вакуумный газойль представляет собой сложную смесь углеводородов, сильно отличающиеся между собой как по химическому составу, так и по физико-механическим свойствам.
Сущность процесса каталитического крекинга основана на расщеплении высокомолекулярных компонентов вакуумного газойля на более мелкие молекулы в присутствии микросферического цеолитсодержащего катализатора при высокой температуре.
Сырье – вакуумный газойль по трубопроводу поступает на установку в буферную емкость.
Из емкости вакуумный газойль подается в межтрубное пространство теплообменника, где нагревается за счет I циркуляционного орошения
Вакуумный газойль после теплообменника направляется в однопоточную трубчатую печь, где нагревается до 2800С. После печи подается в прямоточный реактор, где происходит реакция каталитического крекинга.
Регенерированный катализатор с температурой 670-680 0С по линии регенерированного катализатора поступает из регенератора в основание прямоточного реактора. Вакуумный газойль, нагретый в сырьевой печи, поступает в раздаточный кольцевой коллектор узла ввода сырья и через пять сырьевых форсунок вводится в прямоточный реактор.
Из прямоточного реактора пары продуктов реакции крекинга в смеси с водяным паром и катализатором поступают в разгружающие циклоны реактора. После разделения от отработанного катализатора пары направляются в отстойную зону реактора и затем в доочищающие одноступенчатые высокоэффективные циклоны.
Регенерированный катализатор из кипящего слоя регенератора поступает в узел вывода и далее по линии поступает в прямоточный реактор.
Для аэрации катализатора в линии регенерированного катализатора подается технический воздух.
Узел фракционирования предназначен для отмывки поступающих из реактора паров продуктов крекинга от катализаторной пыли, охлаждения перегретых паров с последующим разделением продуктов крекинга, а также для концентрирования катализатора в шламе, возвращаемом в прямоточный реактор.
Пары продуктов крекинга из реактора по трансферной линии поступают в промывочно-сепарационную секцию основной фракционирующей колонны, оборудованную в нижней части тремя сетчатыми двухпоточными тарелками (33, 34, 35 тарелки). На сетчатых тарелках происходит контакт перегретых и загрязненных катализатором паров, поступающих из реактора. Жидкость с катализаторной пылью с каждой сетчатой тарелки по внутренним переточным трубам поступает в кубовую часть колонны.
Тяжелый газойль в смеси с катализаторной пылью с низа колонны подается в шламоотстойник, в котором происходит отстаивание катализатора. С низа шламоотстойника шлам направляется в прямоточный реактор. Отстоявшийся от катализаторной пыли тяжелый газойль в постоянном количестве возвращается на 33 тарелку колонны, а балансовый избыток по уровню в кубе выводится из цеха после охлаждения в сырьевом теплообменнике , в аппарате воздушного охлаждения и откачивается в товарные резервуары .
Фракция легкого газойля с глухой тарелки 20а колонны боковым погоном выводится в стриппинг.
Пары верха колонны ( углеводородный газ, нестабильный бензин, водяной пар) поступают в конденсаторы-холодильники, водяные доохладители и далее в рефлюксную емкость , где происходит разделение на нестабильный бензин, жирный газ и воду.
Газоразделение предназначено для очистки жирного газа от H2S и CO2 15 % раствором моноэтаноламина, фракционирующей абсорбции жирного газа, повторной абсорбции сухого газа, доочистки сухого газа 15 % раствором моноэтаноламина, стабилизации бензина, разделения “головки” стабилизации на пропан-пропиленовую и бутан-бутиленовую фракции.
Из газосепаратора жирный газ направляется на сероочистку в абсорбер.
Жирный газ поступает под 24 тарелку, а регенерированный раствор МЭА подается на пятую тарелку колонны. В результате абсорбции из жирного газа извлекается сероводород и углекислота. Для отмывки жирного газа от унесенного моноэтаноламина на первую тарелку подается химобессоленная вода.
Жирный сероочищенный газ из колонны направляется на компрессию через сепаратор, установленный на приеме газового компрессора ГК-301 для защиты компрессора от попадания жидкой фазы.
Жирный газ с нагнетания компресса ГК-301 с давлением 1,1 МПа поступает в воздушные холодильники на охлаждение и частичную конденсацию.
Регулирование температуры после каждого холодильника осуществляется регуляторами, которые регулируют частоту вращения лопастей воздушных холодильников.
После охлаждения жирный газ поступает в сепаратор на сепарацию.
Унесенные из К-301 пары воды, сконденсировавшиеся , отстаиваются в отстойнике сепаратора и выводятся по уровню раздела фаз из отстойника под собственным давлением в емкость загрязнённого технологического конденсата.
Газ из сепаратора с давлением приблезительно 1,0 мПа подается во фракционирующий абсорбер под 12 тарелку.
Нестабильный бензин от насоса поступает в межтрубное пространство теплообменника и подается на 16 тарелку стабилизатора, где происходит стабилизация бензина за счет выделения из нестабильного бензина фракций. Подогрев поступающего нестабильного бензина в теплообменнике осуществляется стабильным бензином, отходящим под избыточным давлением из кубовой части стабилизатора на всас насоса.
Тепло в колонну подается через термосифонные рибойлеры подачей в них в качестве теплоносителя IV ЦО колонны после теплообменника.
С куба стабилизатора стабильный бензин выводится на блок гидроочистки. Вывод стабильного бензина из куба колонны осуществляется по уровню, значение которого является корректирующим для регулятора расхода стабильного бензина от насоса на блок гидроочистки.
Для очистки бензина от серы предусмотрен блок гидроочистки бензина каталитического крекинга. В качестве катализатора используется высокоактивный алюмо–кобальт–молибденовый катализатор.
Процесс гидроочистки ведется в токе водорода высокой чистоты и парциального давления. Высокое парциальное давление водорода в реакторе увеличивает скорость реакции гидрообессеривания и уменьшает скорость дезактивации катализатора.
Бензин каталитического крекинга характеризуется значительным содержанием сернистых соединений – сульфидов и тиофенов и непредельных углеводородов – олефинов и диенов. Наблюдается также качественное присутствие меркаптанов. Основная часть непредельных углеводородов концентрируется в легких фракциях крекинга-бензина, выкипающих при температурах до 120 оС, в то время как содержание сернистых соединений резко возрастает с утяжелением фракционного состава.
Сущность процесса стабилизации бензина заключается в разделении углеводородных газов ректификацией на фракции в результате многократного двухстороннего массообмена при кипении и конденсации между противоточно движущимися парами и жидкостью. При ректификации происходит диффузия высококипящего компонента из пара в жидкость и низкокипящего из жидкости в пар в результате неравновесной разности концентраций между контактирующими потоками.
Очистка циркулирующего водородсодержащего газа (ЦВСГ), производимая раствором моноэтаноламина (МЭА), основана на процессе химического поглощения сероводорода (абсорбция с протеканием химических реакций).
Образовавшиеся соединения при нормальных условиях имеют заметное давление насыщенных паров. При повышении температуры давление насыщенных паров этих соединений быстро растет. С учетом того, что реакция поглощения сероводорода раствором МЭА экзотермическая (на 1 кг поглощенного сероводорода выделяется приблизительно 300 ккал тепла), повышение температуры насыщенного раствора МЭА сдвинет равновесие в сторону обратных реакций, что позволяет десорбировать сероводород из раствора МЭА.
Сырье – стабильный бензин каталитического крекинга, поступает на гидроочистку в межтрубное пространство теплообменника, предварительно смешиваясь с водородсодержащим газом (ВСГ), поступающим от циркуляционного компрессора
Смесь сырья и ВСГ проходит последовательно межтрубное пространство теплообменников, где за счет тепла смеси продуктов реакции гидроочистки и ВСГ нагревается до температуры 200-300оС.
После, газосырьевая смесь двумя потоками поступает в печь, где нагревается до температуры 250-350оС за счет сжигания топливного газа в горелках печи.
Из печи, нагретая до температуры 250-350оС, газосырьевая смесь направляется последовательно в реакторы гидроочистки, где на алюмокобальмолебденовом катализаторе протекает реакция гидрогинолиза серосодержащих соединений и гидрирование непредельных углеводородов, содержащихся в сырьевом потоке.
В реакторе идут реакции глубокого гидрообессеривания сульфидной и тиофеновой серы, насыщения углеводородов, превращения сернистых соединений и насыщения ароматических углеводородов. Реакции гидрообессеривания экзотермические (проходят с выделением тепла), что может привести к неуправляемому повышению температуры в реакторе. Далее газопродуктовая смесь с температурой 120-260оС и давлением 2,6 МПа поступает на охлаждение в аппараты воздушного охлаждения и далее в водяной холодильник .
Газопродуктовая смесь после холодильника с температурой 40-50 оС поступает в сепаратор высокого давления. В сепараторе происходит разделение газопродуктовой смеси на жидкие углеводороды, ВСГ и отстой кислой воды.
Кислая вода из отстойника выводится в емкость.
Водородсодержащий газ (ВСГ), отделенный от нестабильного гидрогенизата, поступает под нижнюю (20-ю) тарелку абсорбера К502, где происходит поглощение раствором МЭА сероводорода, содержащегося в ВСГ.
ВСГ проходит через абсорбер снизу вверх противотоком подаваемому 15 %-ному водному раствору моноэтаноламина (МЭА).
Регенерированный раствор МЭА насосом подается в емкость. Из емкости раствор МЭА с расходом 2,8 м3/ч подается насосом на верхнюю (1-ю) тарелку . Очищенный от сероводорода ВСГ с верха абсорбера поступает в сепаратор , где происходит сепарация из ВСГ унесенных капель МЭА, который выводится в емкость .
Далее ВСГ поступает в сепаратор, где происходит отделение из газа жидкой фазы. После сепаратора ВСГ поступает в буферные емкости всасывания 1-го и 2-го цилиндра компрессора ПК-501/1,2.
После сжатия газа в 1-ом и 2-ом цилиндрах до давления не более 38,0 кгс/см2, сжатый газ после нагнетательных клапанов 1-го и 2-го цилиндров компрессора через буферные емкости нагнетания с температурой не более 75 ºС подается на узел гидроочистки бензина.
Свежий водород, поступает с НПЗ в емкость и далее на всас компрессора.
Нестабильный бензин снизу сепаратора поступает в межтрубное пространство теплообменников, где нагревается за счет тепла, приносимого стабильным бензином из куба колонны.
В колонне на 24 трапециевидно-клапанных тарелках (6 шт. – однопоточные, 18 шт. – двухпоточные) происходит процесс стабилизации бензина. Тепло, необходимое для процесса ректификации, в колонну подводится стабильным бензином из печи.
Легкие газы и пары бензина с верха колонны с температурой 100-125 С поступают в воздушный холодильник, в котором происходит охлаждение смеси и частичная конденсация бензиновых фракций.
Из основной кубовой части колонны стабильный бензин подается на циркуляцию для подогрева через печь, а из кармана после охлаждения в выводится в цех .
Циркуляция стабильного бензина осуществляется насосом
Стабильный бензин насосом двумя параллельными потоками поступает в печь, где последовательно проходит конвекционную и радиантную камеры и нагревается до температуры 200-235 С за счет тепла, получаемого от сгорания топливного газа в печи.
Топливный газ с расходом н/б 500 нм3/ч поступает из сепаратора
Для регулирования разрежения в топке печи и работы горелок предусмотрена шиберная заслонка с электроприводом на выходе дымовых газов после конвективной зоны печи в атмосферу.
Стабильный бензин с куба колонны проходит трубное пространство, где охлаждается нестабильным бензином, поступающим в колонну, до температуры 70110 С, в воздушном холодильнике и в водяном холодильнике до температуры 3050 С. Стабильный бензин отправляется на склад.
2 Выбор напряжения электрической сети
Для повышения эффективности системы электроснабжения и экономии электроэнергии при ее проектировании следует стремиться к сокращению числа ступеней трансформации, повышению напряжения питающей сети, внедрению подстанций без выключателей с минимальным количеством оборудования, применению магистральных линий и токопроводов. Если при взаимном расположении производств и потребляемой ими мощности оптимальное число понизительных подстанций 35...220/6... 10 кВ оказывается больше единицы, то по территории предприятия следует проложить воздушную линию (ВЛ) или кабельную вставку с ответвлениями к подстанциям глубокого ввода (ПГВ), которые располагают в центрах нагрузок групп цехов, территориально обособленных на данном предприятии. При этом распределительные устройства напряжением 6...10 кВ ПГВ используют в качестве распределительных пунктов (РП) цехов.
Напряжение каждого звена системы электроснабжения нужно выбирать с учетом напряжений смежных звеньев.
Выбор напряжения питающей сети проводят на основании технико-экономических сравнений вариантов в случаях, когда:
- имеется возможность получения энергии от источника питания при двух и более напряжениях;
- предприятие с большой потребляемой мощностью нуждается в сооружении или значительном расширении существующих районных подстанций, электростанций или сооружения собственной электростанции;
- имеется связь электростанций предприятий с районными сетями.
Предпочтение отдают варианту с более высоким напряжением, даже при экономических преимуществах варианта с низшим из сравниваемых напряжений в пределах до 5...10% по приведенным затратам.
На первых ступенях распределения энергии для питания больших предприятий применяют напряжения 110, 220 и 330 кВ.
Напряжение 35 кВ применяют для частичного внутризаводского распределения электроэнергии при:
- наличии крупных электроприемников на напряжении 35 кВ;
- наличии удаленных нагрузок и других условий, требующих для питания потребителей повышенного напряжения;
- схеме глубокого ввода для питания группы подстанций 35/0,4...0,66 кВ малой и средней мощности.
Напряжение 10 кВ применяют для внутризаводского распределения энергии:
- на крупных предприятиях с наличием двигателей, допускающих непосредственное присоединение к сети 10 кВ;
- на предприятиях небольшой и средней мощности при отсутствии или незначительном числе двигателей, которые могут быть присоединены непосредственно к сети 6 кВ;
- при наличии заводской электростанции с напряжением генераторов 10 кВ.
Напряжение 6 кВ применяют:
- при наличии на предприятии значительного количества электроприемников на это напряжение;
- при наличии заводской электростанции на напряжение 6 кВ;
- если применение напряжения 6 кВ предопределяется условиями поставки электрооборудования, технико-экономическими расчетами или другими особыми соображениями;
- на реконструируемых предприятиях, имеющих напряжение 6 кВ в качестве основного для внутризаводского распределения электроэнергии.
При напряжении распределительной сети 10 кВ и небольшом числе двигателей средней мощности (350...800 кВт) следует применять напряжение 6 кВ с использованием схемы блока трансформатор — двигатель.
Напряжение 3 кВ в качестве основного напряжения распределительной сети на новых предприятиях не применяют. Оно не рекомендуется также и в качестве подсобного для питания электродвигателей средней мощности при основном напряжении распределительной сети 10 кВ.
Напряжение 380 В применяют для питания силовых общепромышленных электроприемников.
Напряжение 660 В рекомендуется для применения в следующих случаях:
- если по условиям генплана, технологии и окружающей среды не могут быть осуществлены в должной мере глубокие вводы, дробление цеховых подстанций и приближение их к центрам питаемых ими групп электроприемников и в связи с этим имеют место протяженные и разветвленные сети напряжением до 1000 В, а также при крупных концентрированных нагрузках; такое положение может быть в некоторых отраслях химической промышленности, на лесопромышленных комплексах и в аналогичных производствах;
- при первичном напряжении распределительной сети 10 кВ и при отсутствии на данном предприятии двигателей таких мощностей, которые не изготовляются на напряжение 660 В (за исключением мелких), т. е. в тех случаях, когда не потребуется введение промежуточного напряжения между 10 и 0,66 кВ;
- при больших плотностях нагрузок и мощных цеховых трансформаторах (более 1000 кВА), при которых токи короткого замыкания на стороне вторичного напряжения возрастают до недопустимых для аппаратов величин при напряжении 0,4 кВ.
Проектируемый завод бензинов расположен от источника питания на расстоянии 2 км, следовательно потери в линии небольшие, поэтому мой выбор на первой ступени распределения электроэнергии пал на напряжение 110кВ.
На предприятии имеются в наличии элктроприемники на напряжение 6 кВ, поэтому на второй ступени выбираю 6кВ.
3 Показатели качества электроэнергии
Обеспечение качества электроэнергии на зажимах приемников электроэнергии — одна из наиболее сложных задач, решаемых в процессе проектирования и эксплуатации систем электроснабжения. Появление в системах электроснабжения мощных электродвигателей, вентильных преобразователей и других приемников с резкопеременной нагрузкой создало проблему их электромагнитной совместимости с системой электроснабжения, успешное решение которой обеспечивает рациональную работу как этих приемников, так и приемников со спокойной нагрузкой, присоединенных к той же системе (освещение, электродвигатели длительного режима работы и др.).
Показатели качества электроэнергии регламентируются требованиями ГОСТ 13109—97.
К показателям качества электроэнергии для трехфазных сетей переменного тока относятся следующие:
- отклонение напряжения;
- колебание напряжения;
- коэффициенты несимметрии и неуравновешенности напряжений;
- коэффициент несинусоидальности напряжения;
- отклонение частоты;
- колебания частоты.
Соответствие перечисленных параметров ГОСТу способствует увеличению выпуска продукции и общей рентабельности производства.
Отклонение напряжения V — это разность действительного значения напряжения U и его номинального значения Uн для сети, возникающая при сравнительно медленном изменении режима работы, когда скорость изменения напряжения меньше 1% в секунду:
При понижении напряжения возрастает скольжение и уменьшается частота вращения асинхронных двигателей, являющихся основными приемниками электроэнергии. При этом возрастает сила потребляемого тока, двигатели перегреваются и быстрее изнашивается изоляция. Вращающий момент асинхронного двигателя пропорционален квадрату напряжения, поэтому при его понижении затрудняются пуск и самозапуск двигателей под нагрузкой. В связи с этим установлены пределы отклонения напряжения на зажимах электродвигателей, станций управления от — 5 до +10%.
Весьма чувствительны к изменению напряжения косинусные конденсаторы. Их реактивная мощность пропорциональна квадрату подводимого напряжения. Таким образом, при понижении напряжения на 10% мощность конденсатора снизится до 81%. Повышение напряжения на 10% увеличивает реактивную мощность конденсатора до 121% и приводит к его перегрузке, поэтому для конденсаторов допускается увеличение напряжения не более чем на 10%.
Значительное влияние отклонение напряжения оказывает на работу электросварочных установок, ухудшая качество сварки. Для рационального ведения этого процесса отклонение напряжения на сварочных установках должно составлять +5%.
Высокие требования к качеству напряжения предъявляют осветительные установки. При отклонениях напряжения изменяются сила света ламп накаливания и срок их службы. Сила света изменяется при этом пропорционально изменению напряжения в третьей — четвертой степени. Повышение напряжения на 10% сокращает срок службы ламп накаливания примерно в 3 раза.
ГОСТ 13109—97 допускает отклонения напряжения на зажимах электроосветительных приборов от — 2,5 до +5%.
Под колебанием напряжения Vt, подразумевается изменение напряжения в сети со скоростью более 1%:
Vt= Uнб-Uнм, (3.1)
где Uнб и Uнм — соответственно наибольшее и наименьшее действующие напряжения в кратковременном процессе его изменения, %.
Колебания напряжения ограничиваются частотой их возникновения. Для зрительного восприятия наиболее опасными считаются колебания с частотами в пределах 1...10 Гц. Их значение при этом ограничивается величиной порядка 1%. Если число колебаний в час не превышает 10, то это значение возрастает до 1,5%, при числе колебаний не более 1 раза в час — до 4%.
Допустимые значения колебаний напряжения в сетях, от которых питаются электроосветительные установки и радиоприборы, определяют по формуле
% (3.2)
где т — частота колебаний в час, 1/ч; ∆t— средний интервал между последовательными колебаниями, мин.
Для обеспечения нормируемого ГОСТ 13109—97 режима напряжения применяются различные способы и средства регулирования напряжения.
Способы регулирования:
- регулирование напряжения на шинах центра питания;
- изменение сопротивления элементов сети;
- изменение силы реактивного тока, протекающего в сети;
- изменение коэффициента трансформации трансформаторов и автотрансформаторов (линейных регуляторов).
Средства регулирования:
- трансформаторы с регулированием напряжения под нагрузкой (РПН):
- линейные регуляторы;
- управляемые батареи конденсаторов;
- синхронные двигатели с автоматическими регуляторами возбуждения.
Кроме того, можно использовать трансформаторы с переключением без возбуждения (ПБВ), неуправляемые батареи конденсаторов, синхронные двигатели без автоматического регулирования возбуждения.
Несимметрия напряжений и токов трехфазной системы один из важнейших показателей качества электрической энергии. Причина появления несимметрии, напряжений и токов — различные несимметричные режимы системы электроснабжения. Широкое применение однофазных установок значительной мощности различного рода привело к значительному увеличению доли несимметричных нагрузок. Подключение таких мощных несимметричных однофазных нагрузок к трехфазным сетям вызывает в системах электроснабжения длительный несимметричный режим, характеризующийся несимметрией напряжений и токов.
В системах электроснабжения различают кратковременные (аварийные) и длительные (эксплуатационные) несимметричные режимы. Кратковременные несимметричные режимы обычно связаны с различными аварийными процессами, например несимметричными короткими замыканиями, обрывами одного или двух проводов воздушной линии с замыканием на землю и т. п. Длительные несимметричные режимы обычно обусловлены несимметрией элементов электрической сети или подключением к системе электроснабжения несимметричных нагрузок.
Несимметрия напряжений и токов, обоусловленная несимметрией элементов электрической сети, называется продольной. Примером продольной несимметрии могут служить неполнофазные режимы воздушных линий. Несимметрия характерна также для специальных систем электропередачи: два провода — земля (ДПЗ); два провода — рельсы (ДПР), два провода — труба (ДПТ) и т. д.
Несимметрия напряжений и токов, вызванная подключением к сети много- и однофазных несимметричных нагрузок, называется поперечной.
Несимметрия характеризуется коэффициентом несимметрии напряжения Кн — отношение напряжения обратной последовательности основной частоты U2 к номинальному линейному напряжению U1:
% (3.3)
и коэффициентом неуравновешенности напряжения — отношением напряжений нулевой последовательности основной частоты Uo к номинальному фазному напряжению Uн:
% (3.4)
Коэффициент несимметрии напряжений служит нормированным показателем качества электрической энергии. В соответствии с ГОСТ 13109—97 % длительно допустим на зажимах любого трехфазного симметричного приемника электрической энергии. В случаях, когда коэффициент несимметрии оказывается больше, должны быть приняты меры к его снижению.
Несимметрия напряжений в системах электроснабжения оказывает значительное влияние на работу отдельных элементов сети и приемников электрической энергии. При несимметрии напряжений, обусловленных несимметричной нагрузкой, в статорах синхронных машин проходят токи прямой, обратной и нулевой последовательности, что вызывает нагрев ротора и увеличение вибрации, в некоторых случаях опасной для конструкции машин.
Особенно неблагоприятно несимметрия напряжений сказывается на работе и сроке службы асинхронных машин. При несимметрии напряжений конденсаторные установки неравномерно загружаются реактивной мощностью по фазам, мощность многофазных выпрямителей снижается.
При несимметричном режиме токи нулевой последовательности постоянно проходят через заземлители и отрицательно сказываются на их работе, вызывая высушивание грунта и увеличение сопротивления растеканию. Они оказывают значительное влияние на низкочастотные каналы проводной связи, сигнализации и автоблокировки.
Несинусоидальность формы кривой напряжения и тока. Широкое внедрение приемников электрической энергии с нелинейными вольт-амперными характеристиками, определяемое потребностями увеличения экономической эффективности производства, привело к отрицательному влиянию этих приемников на электрические параметры режима сети.
К элементам систем электроснабжения (СЭС) с нелинейными вольт-амперными характеристиками относятся вентильные преобразователи (ртутные и полупроводниковые), установки электросварки, газоразрядные источники света, а также трансформаторы и электродвигатели. Характерная особенность этих устройств — потребление ими из сети несинусоидальных токов при подведении к их зажимам несинусоидального напряжения.
Высшие гармонические токи и напряжения обусловливают дополнительные потери электроэнергии, приводят к нагреву электрооборудования и увеличивают интенсивность старения его изоляции и изоляции кабелей. Особенно неблагоприятное влияние эти гармоники оказывают на работу конденсаторных батарей, вызывая дополнительные потери и даже выход их из строя.
Токи высших гармоник, проходя по элементам сети, вызывают падения напряжения в сопротивлениях этих элементов, которые, накладывала на основную синусоиду напряжения, приводят к искажению формы кривой напряжения.
Степень несинусоидальности напряжения сети принято характеризовать коэффициентом несинусоидальности напряжения Кнс, который представляет собой отношение действующего значения гармонической составляющей несинусоидального напряжения к напряжению основной частоты, %:
, (3.5)
где Uv, U1 — действующие значения соответственно v-й и 1-й гармоник напряжения.
ГОСТ 13109—97 нормирует форму кривой напряжения у приемников электроэнергии, допуская отклонение действующего напряжения всех высших гармоник от действующего напряжения основной частоты не более 5%.
Для снижения уровня влияния высших гармоник на напряжение устанавливают силовые фильтры, уменьшают число фаз I выпрямления.
Отклонение частоты ∆f—разность действительного f и номинального fн значений основной частоты:в Гц
(3.6)
или в %
(3.7)
В нормальном режиме работы энергетической системы допускаются отклонения частоты, усредненные за 10 мин, ±0,1 Гц. Допускается временная работа энергетической системы с отклонением частоты, усредненным за 10мин, ±0,2 Гц.
Колебания частоты — это изменения частоты, происходящие со скоростью 0,2 Гц/с. Колебания частоты δf— разность наибольшего fнб и наименьшего fнм значений основной частоты за определенный промежуток времени: в Гц
(3.8)
или в роцентах
. (3.9)
В установившемся режиме частота во всей энергетической системе (связанной сетями переменного тока) одинакова и определяется частотой вращения генераторов. Однако частота вращения генераторов определяется частотой вращения первичных двигателей — турбин, которые имеют специальный регулятор частоты вращения (первичное регулирование), обладающий сравнительно большой инерцией (до 5%). Это значит, что частота вращения турбин зависит от механической нагрузки на ее валу и определяется расходом энергоносителя (пар, вода). Электрическая нагрузка турбин непрерывно изменяется, поэтому должна изменяться и частота вращения генераторов (турбогенераторов); при росте нагрузки частота вращения (и частота сети) снижается, а при уменьшении возрастает.
В настоящее время поддержание допустимого размаха колебаний частоты в энергетических системах во время аварийного отключения источников питания обеспечивается устройствами аварийной автоматической разгрузки по частоте (ААРЧ), которые отключают часть менее ответственных потребителей.
Нормализация параметров качества электроэнергии в каждом отдельном случае решается по-разному.
Значения показателей качества электроэнергии должны находиться в допустимых пределах с вероятностью 0,95 за установленный период времени. Показатели качества, выходящие за допустимые пределы с верояностью не более 0,05, должны в случае необходимости ограничиваться по величине и длительности по согласованию с энергоснабжающей организацией.
Согласно ГОСТу, проектные и эксплуатирующие организации должны предусматривать применение экономически обоснованных устройств и мероприятий, обеспечивающих нормированное качество электроэнергии у ее приемников. Решения отдельных организаций по размещению регулирующих и компенсирующих устройств в питающих и распределительных сетях, а также по снижению колебаний, несимметрии и несинусоидальности напряжения должны быть взаимно согласованы на основе технико-экономических обоснований.
Для обеспечения показателей качества электроэнергии у приемников по согласованию между электроснабжающей организацией и потребителем должны быть установлены значения показателей качества электроэнергии на границе раздела балансовой принадлежности электрических сетей. Контроль качества электроэнергии на границе раздела балансовой принадлежности должен осуществляться энергоснабжающей организацией и потребителем. Следует отметить, что практически все показатели качества электроэнергии по напряжению зависят от потребляемой промышленными электроприемниками реактивной мощности. Поэтому вопросы качества электроэнергии необходимо рассматривать в непосредственной связи с вопросами компенсации реактивной мощности.
4 Определение расчетных электрических нагрузок
Начальным этапом проектирования системы электроснабжения является определение электрических нагрузок. От правильной оценки ожидаемых нагрузок зависят капитальные затраты на систему электроснабжения, эксплуатационные расходы, надежность работы электрооборудования.
Определение электрических нагрузок производится для правильного выбора количества и мощности трансформаторов, проверки токоведущих элементов по нагреву и потери напряжения, правильного выбора защитных устройств и компенсирующих установок.
Результаты расчетов нагрузок являются исходными материалами для всего последующего проектирования. Для определения расчетных нагрузок групп приемников необходимо знать установленную мощность (сумма номинальных мощностей всех электроприемников группы) и характер технологического процесса.
Расчетная нагрузка определяется для смены с наибольшим потреблением энергии данной группы электроприемников, цехом или предприятием в целом для характерных суток.
4.1 Расчетная нагрузка насосной №2
Расчет ведется по коэффициенту спроса и установленной активной мощности.
Пример расчета:
Насосы: ,
(4.1)
(4.2)
(4.3)
кВт.
кВар.
Результаты расчетов сводим в таблицу 4.1.
Таблица 4.1 –Электрооборудование насосной №2 завода бензинов.
№ НА ПЛАНЕ
n
НАИМЕНОВАНИЕ ЭО
КИ
cos φ
КС
Р,кВт
Ррасч н.н, кВт
Qрасч.н.н. кВар
1..15
15
Насосы
0,65
0,8
0,75
75
843,7
472,5
16…26
10
Двигатели электрозадвижек
0,35
0,6
0,4
30
120
144
27…37
10
Вентиляторы
0,55
0,8
0,67
22
147
82,5
ИТОГО
1645
1110,7
699
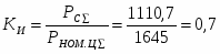
Суммарные мощности электрооборудования по насосной №2:
кВт.
кВар.
кВА.
Суммарная средняя мощность всех электроприемников:
кВт.
Групповой коэффициент использования:
4.2 Расчетные нагрузки для остальных цехов завода
Расчет производится по коэффициенту спроса (КС)
4.2.1 Определение расчетных электрических нагрузок на низшем (0,38кВ) напряжении
Компрессорная №1:
Коэффициент спроса и cosφ зависят от технологии производства и приводятся в отраслевых инструкциях и справочниках.
кВт;cosφ=0,8;
(4.4)
(4.5)
кВт.
кВар.
Результаты расчета сведены в таблицу 4.2
Таблица 4.2 – Ведомость электрических нагрузок завода
-
№
Наименование отделения
КИ
cosφ
КС
Р,
кВт
РРАСЧ
кВт
QРАСЧ
кВар
1
2
3
4
5
6
7
8
9
10
Воздушная компрессорня
Насосная №1
Блок водоподготовки
Газовая компрессорная
Насосная №2
Операторная
Блок печей
Реакторный блок
Водоблок
Факельное хозяйство
0,7
0,7
0,65
0,7
0,7
0,6
0,65
0,7
0,6
0,6
0,9
0,8
0,8
0,8
0,8
0,7
0,7
0,8
0,7
0,75
0,75
0,75
0,7
0,75
0,75
0,65
0,7
0,75
0,65
0,7
78,2
783,4
290,7
326
1645
20,5
30
742,6
802,3
150
58,65
587,5
218
260,811110,7
14,3
22,5
556,9
802,3
112,5
32,8
440,7
163,5
83,5
699
10
17
417,6
601,7
63
ИТОГО
4868,7
3744,2
2528,8
4.2.2 Определение расчетных электрических нагрузок на высшем (6кВ) напряжении
В проектируемом предприятии будет 2 потребителя на 6кВ. Расчет производится по коэффициенту использования (КИ).
Воздушная компрессорная (6кВ):
РУСТ=5300 кВт.
КИ=0,8
cosφ =0.9
(4.6)
(4.7)
(4.8)
кВт.
кВар.
кВА.
Газовая компрессорная (6кВ):
РУСТ=2500 кВт.
КИ=0,75
cosφ =0.9
(4.9)
(4.10)
кВт.
кВар.
кВА.
4.3 Определение расчетной нагрузки электрического освещения
В качестве источников электрического света на промышленном предприятии используются газоразрядные лампы и лампы накаливания.
, (4.11)
где F – площадь, м2.
Коэффициент спроса для расчета освещения цехов принимаем равным 0,8
(4.12)
Пример расчета для воздушной компрессорной:
17 кВт;м2.
кВт.
КВар.
Для остальных цехов расчет аналогичен. Результаты расчета сведены в таблицу 3.3
А – длина цеха, м.
В – ширина цеха, м.
Таблица 4.3 – Расчетные нагрузки электрического освещения цехов завода
№
Наименование отделения
F,м2
А,М
В,М
РРАСЧ
кВт
QРАСЧ
кВар
1
2
3
4
5
6
7
8
9
10
Воздушная компрессорня
Насосная №1
Блок водоподготовки
Газовая компрессорная
Насосная №2
Операторная
Блок печей
Реакторный блок
Водоблок
Факельное хозяйство
360
504
918
1404
1980
600
120
1800
642
150
30
42
50
78
66
50
30
45
51
10
12
12
18,3
18
30
12
4
40
18
15
4,9
6,8
12,5
19,09
26,9
8,16
1,6
24,5
8,8
0,5
1,2
1,7
3,09
4,7
6,66
2,02
0,4
6,06
2,2
0,2
ИТОГО
113,3
28,03
Расчетная нагрузка электрического освещения территории предприятия
кВт;м2.
кВт.
кВар.
4.4 Расчетная нагрузка всего завода
(4.13)
(4.14)
(4.15)
кВт.
кВар.
кВА.
Суммарные потери активной и реактивной мощности в трансформаторах, цеховых подстанциях и цеховых сетях до 1 кВ принимаем равным 3℅ и 10℅ полной мощности трансформируемой мощности.
(4.16)
(4.17)
кВт.
кВар.
Коэффициент одновременности максимумов для шин ГПП КОМ выбираем из в зависимости от величины средневзвешенного коэффициента использования КИ всей группы электроприемников, подключенной к шинам ГПП.
КОМ=0,85
Расчетная полная, активная и реактивная мощности завода бензинов
(4.18)
(4.19)
(4.20)
кВт.
кВар
кВА.
Реактивная мощность QC, поступающая от питающей энергосистемы к шинам низшего напряжения ГПП, определяется исходя из условий задания на проект и вычисленной выше расчетной активной мощности.
, (4.21)
где N – количество цехов.
tgφС=0,8
(4.22)
кВар.
Расчетная мощность трансформаторов ГПП.
(4.23)
11936,2 кВА.
Мощность компенсирующих устройств.
(4.24)
кВар.
Так как число отрицательное, компенсирующие устройства на стороне 6 кВ не устанавливаю.
5 Определение количества и мощности трансформаторов
5.1 Предварительный выбор количества цеховых трансформаторов на предприятии
Количество трансформаторов при практически полной компенсации реактивной мощности в сети до 1 кВ Nmin и при отсутствии компенсации в сети Nmax вычисляется следующим образом:
, (5.1)
Так как проектируемое предприятие 1 категории электроснабжения коэффициент загрузки цеховых трансформаторов, принимаем КЗТ=0,6
(5.2)
Удельная плотность нагрузки:
(5.3)
Так как удельная плотность нагрузки больше 0,2÷0,3 кВА ∕м2, то рекомендуется применять трансформаторы мощностью 1000 и 1600 кВА. Число типоразмеров рекомендуется ограничить до одного – двух, так как большое их разнообразие создает неудобство в эксплуатации и затруднения в отношении резервирования и взаимозаменяемости.
Берем два типоразмера трансформаторов 1000 и 1600 кВА.
SНОМ=1000кВА.
NТ=15…18;
SНОМ=1600 кВА.
NТ=10…11;
То есть необходимо рассмотреть варианты с количеством трансформаторов NТ=10…18.
5.2 Определение мощности конденсаторов напряжением до 1 кВ.
1)Для типоразмера 1000 кВА, NТ=15
Число трансформаторов определяет наибольшую реактивную мощность, которая может быть передана со стороны 6 кВ в сеть низшего напряжения, при NТ=15.
(5.4)
кВар.
Мощность компенсирующего устройства в сети напряжением до 1кВ определяется по условию баланса реактивной мощности на шинах низшего напряжения, цеховых подстанциях.
В качестве компенсирующих устройств принимаем батареи конденсаторов, мощность которых определяем из уравнения баланса реактивных мощностей.
(5.5)
кВар.
Мощность компенсирующего устройства в сети напряжением выше 1кВ определяется по условию баланса реактивной мощности на шинах вторичного напряжения ГПП.
(5.6)
кВар.
2). Для типоразмера 1000 кВА , NТ=18
кВар.
кВар.
кВар.
3). Для типоразмера 1600 кВА , NТ=10
кВар.
кВар.
кВар.
4). Для типоразмера 1600 кВА , NТ=11
кВар.
кВар.
кВар
5.3 Выбор варианта количества цеховых трансформаторов
Количество трансформаторов с вторичным напряжением до 1 кВ выбирается на основании технико-экономического расчета.
Удельные приведенные затраты на компенсацию реактивной мощности в сетях до и выше 1 кВ.
Стоимость трансформаторов 1000 и 1600 кВА:
КТ.1000=1200 тыс.руб
КТ.1600=2000 тыс.руб
Суммарные отчисления от капитальных затрат:
Капитальные затраты для каждого варианта:
(5.7)
1)
2)
3)
4)
Как видно из расчета, самым экономичным является вариант с 15-ю трансформаторами SНОМ.Т=1000 кВА.
5.4 Выбор мощности и местоположения трансформаторов ГПП
Мощность, местоположение и другие параметры ГПП в основном обуславливаются величиной и характером электрических нагрузок, размещением их на плане, а также производственными, архитектурно-строительными и эксплуатационными требованиями. Важно, чтобы ГПП находилась возможно ближе к центру, питаемых от нее нагрузок. Это сокращает протяженность, а следовательно, стоимость и потери в питающих и распределительных сетях электроснабжения предприятия
Положение центра нагрузок:
(5.8)
(5.9)
см
Центр нагрузок попадает на территорию, занимаемую производственными помещениями, поэтому расположение ГПП смещаю в сторону внешнего источника питания. Поскольку в данном случае глубокий ввод невозможен, то новое место расположения ГПП определяю условиями минимальной длины кабельных линий, питающих цеховые РУ, минимального расстояния до питающей ЛЭП и условиями электробезопасности, то есть выбираю расположение ГПП на западной стороне проектируемого предприятия.(Приложение 3)
Выбираем трансформатор на ГПП с 40℅ перегрузом:
(5.10)
кВА.
Выбираем трансформатор ТДН 10000/110
℅;
5.5 Определение количества трансформаторов в каждом цехе
(5.11)
кВар
Количество трансформаторов, необходимое для каждого подразделения
, (5.12)
где РНЦ - мощность цеха с учетом осветительной нагрузки, кВт.;
kЗТ – коэффициент загрузки трансформатора, 0,7;
(5.13)
Пример расчета воздушной компрессорной:
кВт.
, (5.14)
где tgφ – средневзвешенный 0,8;
(5.15)
кВар.
кВт.
Результаты расчета для других цехов в таблице 5.1
Таблица 5.1 – Количество трансформаторов в каждом цехе.
№
Р, кВт.
Q, кВар.
S, кВА.
N, расч.
N, реал.
1
63,55
50,84
81,4
0,12
-
2
294,3
235,4
376
0,54
1
3
218
174,4
279
0,43
-
4
279
223,2
357
0,52
1
5
1137
910
1456
2,26
2
6
22,5
18
27
0,05
-
7
24,1
19,3
30,8
0,17
-
8
556,9
445,5
713
1,07
1
9
811,1
648,9
1038,7
1,63
2
10
347,9
278,3
393,6
0,67
1
Как видно из таблицы 5.1 в цехах 1,3,6 и 7 можно обойтись без установки трансформаторов (NРАСЧ <0,5), т. е. Питание будет осуществлятся от других цехов. В результате расстановки трансформаторов получаем, что избыточная мощность, которую могут трансформировать трансформатор 2-го цеха будет передаваться по низшему (0,38 кВ) напряжению цеху 1; трансформаторы 4-го цеха 6- му;8-го – 3-му,от 4-го- 7-му.
6 Расчет токов короткого замыкания
6.1 Составление схемы замещения и расчет ее параметров
Расчет токов короткого замыкания проводится для выбора высоковольтного оборудования и для проверки чувствительности и селективности защиты на характерном участке внутризаводской сети.
Исходные данные для расчета параметров схемы замещения:
Система С: Мощность трехфазного короткого замыкания на стороне высшего напряжения подстанции энергосистемы
Sк(3) = 2000 MBA , kуд(3) =1,8
Трансформатор Т:
ТДН 10000/110 ST.HOM = 10МВА, Uвн=115кВ, Uнн=6,3кВ,
∆ РК.3 = 58 кВт, uK = 10,5%
Линия Л1: l = 2 км, ryд = 0,306Ом/км, xуд = 0,434 Ом/км.
Технические данные цеховых трансформаторов и расчетные характеристики кабельных линий внутризаводских распределительных сетей приведены соответственно:
ТМЗ 1000/6,3. ST.HOM = 1000кВА, Uвн=6,3кВ, Uнн=0,38кВ,
∆ РК.3 = 11кВт, uK = 5,5%
Линия Л2: l = 900м, ryд = 0,443*10-3 Ом/м, xуд = 0,08*10-3 Ом/км
Для расчета составляется схема замещения, в которую входят все сопротивления цепи КЗ.
Рисунок 6.1 Схема замещения
Определяются параметры схемы замещения в относительных единицах.
Принимаем:
MBA,кВ,кВ,Sк=2000 MBA,X0=0,4Ом/км
Найдем силу базисных токов:
(6.1)
(6.2)
Найдем базисные сопротивления:
(6.3)
(6.2)
(6.3)
Сила тока короткого замыкания до точки К1:
(6.4)
где, Iб1 – базисный ток,кА
Xбк1 – полное базисное сопротивление
Найдем ударный ток в точке К1
(6.5)
где,Куд –ударный коэфициэнт, принимаем 1,8
Найдем мощность короткого замыкания в точке К1
(6.6)
Относительное базисное сопротивление трансформатора
(6.7)
Результирующее сопротивление до точки К2
(6.6)
Сила тока короткого замыкания до точки К2
(6.7)
Ударный ток до точки К2
(6.8)
Мощность короткого замыкания до точки К2
(6.9)
Сопротивление трансформатора, в относительных еденицах
(6.10)
(6.11)
Сопротивление трансформатора в мОм
;
Сопротивление шин
;
Суммарное активное сопротивление до точки К3
(6.12)
где, rш – сопротивление шин
rтт – сопротивление первичной обмотки трансформатора тока
rр – сопротивление трехфазного рубильника
Суммарное реактивное сопротивление до точки К3
(6.13)
где, xт – реактивное сопротивление трансформатора
xтт – реактивное сопротивление трансформатора тока
xш – реактивное сопротивление шины
Полное сопротивление до точки К3
(6.14)
Сила тока короткого замыкания в точке К3
(6.15)
Сила ударного тока короткого замыкания
Мощность короткого замыкания в точке К3
(6.16)
Результаты расчетов сведены в таблицу 6.1
Таблица 6.1– Сила токов короткого замыкания
Точка К.З
IК1(3), (кА)
IК(2), (кА)
iуд , (кА)
Sк, (мВА)
К1
6,25
5,3
15,9
1243
К2
13,5
11,6
34,5
140
К3
23,4
20,1
42,9
15,4
7 Выбор схемы внутреннего электроснабжения и ее параметров
7.1 Выбор схемы межцеховой сети.
Схемы электрических сетей могут выполняться радиальными и магистральными. Схема межцеховой сети должна обеспечивать надежность питания потребителей ЭЭ, быть удобной в эксплуатации. Радиальные схемы распределения электроэнергии применяются главным образом в тех случаях, когда нагрузки расположены в различных направлениях от центра питания, а также для питания крупных электроприемников с напряжением выше 1 кВ.
Магистральные схемы целесообразны при распределенных нагрузках, при близком к линейному расположению подстанций на территории предприятия, благоприятствующем возможно более прямому прохождению магистралей от ГПП до ТП.
Расчет нагрузок трансформаторов. Результаты в таблице 7.1.
Таблица 7.1 – Нагрузки трансформаторных подстанций
№ТП
Рс, кВт
Qс, кВар
Sс, кВА
Кз.норм
Кз.п/ав
1
2
3
4
5
6
ТП 1
294,3
141,3
326
0,5
1
ТП 2
279,09
133,9
309,5
0,5
1
ТП 3
568,5
455
728
0,6
1,2
ТП 4
568,5
455
728
0,6
1,2
ТП 5
581
445,5
713
0,6
1,2
ТП 6
405,5
648
519,4
0,4
0,8
ТП 7
405,5
648
519,4
0,4
0,8
ТП 8
347,9
278,3
393,6
0,4
0,8
7.2 Выбор сечений жил кабелей распределительной сети для обоих вариантов схем
При проектировании кабельных линий используется экономическая плотность тока. В ПУЭ установлены величины экономических плотностей тока jЭК зависящие от материала, конструкции провода, продолжительности использования максимума нагрузки ТНБ и региона прокладки.
Экономически целесообразное сечение определяют предварительно по расчетному току линии IРАС.НОРМ нормального режима и экономической плотности тока:
(7.1)
Найденное расчетное значение сечения округляется до ближайшего стандартного.
Для обеспечения нормальных условий работы кабельных линий и правильной работы защищающих аппаратов выбранное сечение должно быть проверено по допустимой длительной нагрузке, по нагреву в нормальном и послеаварийном режимах, а также по термической стойкости при токах КЗ.
Проверка по допустимой токовой нагрузке по нагреву в нормальном и послеаварийном режимах производится по условию Iрас ≤ Iдоп. факт,
где Iрас – расчетный ток для проверки кабелей по нагреву;
Iдоп. факт – фактическая допустимая токовая нагрузка.
Расчетный ток линии определяется как
, (7.2)
где Sкаб – мощность, передаваемая по кабельной линии в нормальном или послеаварийном режиме работы; Uном – номинальное напряжение сети.
Фактическая допустимая токовая нагрузка в нормальном и послеаварийном режимах работы вычисляется по выражению
, (7.3)
где Iдоп.табл – допустимая длительная токовая нагрузка, при FСТ=50мм2 ÷ IДОП=165А; FСТ=70мм2 ÷ IДОП=210А; FСТ=95мм2 ÷ IДОП=255А;
Кt – коэффициент, учитывающий фактическую температуру окружающей среды, нормативная температура для кабелей, проложенных в земле +15°С;
Кпр – коэффициент, учитывающий количество проложенных кабелей в траншее;
Кпер – коэффициент перегрузки, зависящий от длительности перегрузки и способа прокладки (в земле или в воздухе), а также от коэффициента предварительной нагрузки.
Проверка сечений по термической стойкости проводится после расчетов токов КЗ. Тогда минимальное термически стойкое токам КЗ сечение кабеля:
, (7.4)
где - суммарный ток КЗ от энергосистемы и синхронных электродвигателей: tп=0,7 - приведенное расчетное время КЗ; С - термический коэффициент (функция) для кабелей 6 кВ с алюминиевыми жилами: поливинилхлоридная или резиновая изоляция С=78 Ас2/мм2; полиэтиленовая изоляция С=65 Ас2/мм2, бумажная изоляция - 83 Ас2/мм2[4]
Из четырех полученных по расчетам сечений - по экономической плотности тока, нагреву в нормальном и послеаварийных режимах и стойкости токам КЗ - принимается наибольшее, как удовлетворяющее всем условиям.
Пример расчета:
Экономическая плотность тока jЭК, необходимая для расчета экономически целесообразного сечения одной КЛ определяется по нескольким условиям.
а) в зависимости от числа часов использования максимума нагрузки Тнб=6200 ч/год.
б) в зависимости от вида изоляции КЛ – изоляция из сшитого полиэтилена.
в) в зависимости от материала, используемого при изготовлении жилы кабеля – медные.
г) в зависимости от района прокладки – европейская часть России.
В результате получаем:
Для КЛ №1:
Sкаб= 4703,2 кВА.
(7.5)
А
(7.6)
мм2
Таким образом, изFст = 300 мм2
Аналогично рассчитываются сечения для остальных кабелей.
Результаты - в таблице 7.2.
Проверка кабелей по допустимому нагреву в нормальном и послеаварийном режимах работы.
В нормальном режиме:
Kt= 1 KПР= 1 KПЕР= 0,8 IДЛ.ДОП= 570 А
IДОП.ФАКТ=510 А
Iрасч = 453,1 А
Iрасч < Iдоп, поэтому данное сечение удовлетворяет требованиям.
В послеаварийном режиме фактический длительный допустимый ток:
Kt= 1 KПР= 1 KПЕР= 1.25 IДЛ.ДОП= 570 А
IДОП.ФАКТ=712,5 А
Iрасч = 390,5 А
Условие I рас.пав < I доп.пав выполняется. Результаты расчета для других линий в таблице 7.2
Проверка кабелей на термическую стойкость.
Расчетное значения тока короткого замыкания в точке 2 равно 13,5 кА.
IΣ= 13500 А
tП - приведенное расчетное время КЗ, tП =0,7. Для кабелей, отходящих от ГПП, tП =1.25с.
С - термический коэффициент кабелей 6 кВ с медными жилам для
Изоляции из сшитого полиэтилена С=65 Ас2/мм2.[12]
Для кабеля №1:
мм2
Таким образом, минимальное допустимое сечение кабельной линии составляет 185 мм2.
Таблица 7.2 – Результаты расчетных токов, для кабельных линий
№ КЛ
НОРМАЛЬНЫЙ
ПОСЛЕАВАР.РЕЖИМ
КЗ НА ШИНАХ ГПП
Iрас,А
Fст,мм2
Iрас,А
Fст.мм2
Iкз,кА
Fтер, мм2
1
453,1
266,5≈300
453,1
300
13,5
185
2
31,4
18,5≈50
31,4
50
13,5
185
3
38
38≈50
38
50
13,5
185
4
70,1
41,3≈50
70,1
50
13,5
185
5
50
29,4≈50
50
50
13,5
185
6
29,8
17,5≈50
29,8
50
13,5
185
7
70,1
42,3≈50
70,1
50
13,5
185
8
68,7
40,4≈50
68,7
50
13,5
185
9
50
29,4≈50
50
50
13,5
185
10
240
140≈150
240
150
13,5
185
В системе электроснабжения завода применяются всего три вида сечений КЛ, поэтому требуется производить унификацию. Таким образом для прокладки внутризаводской сети используем кабели следующих сечений:
ВВГ 3*50,ВВГ 3*300,ВВГ 3*150.
7.3 Выбор оборудования электрической сети напряжением до 1 кВ
7.3.1 Подбор совокупности приемников, питаемых от ТП
Подбор совокупности электроприемников выполняем для насосной № 2. План цеха представлен в графической части проекта. Нагрузка этого цеха питается от ТП 3,ТП 4 Распределение нагрузки показано в таблице 7.6
Таблица 7.6 – электрооборудование насосной №2
№ НА ПЛАНЕ
n
НАИМЕНОВАНИЕ ЭО
РС,кВт
QС.кВар
SC,кВА
1…15
15
Насосы
843.7
472
966,7
16…26
10
Двигатели электрозадвижек
120
144
187
27….37
10
Вентиляторы
147
82.5
168,5
Итого
1110,7
533,5
1321,5
8 Выбор оборудования
8.1 Выбор ограничителей перенапряжения
Для защиты оборудования подстанции от набегающих с линии импульсов грозовых перенапряжений, на стороне высшего напряжения трансформаторов Т1 и Т2, устанавливаются ограничители перенапряжений ОПН-110.
8.2 Выбор измерительных трансформаторов тока
Условия выбора и проверки:
Uном Uном.сети ;
Iном Imax.расч ;
; (8.1)
(8.2)
Результаты выбора измерительных трансформаторов тока сведены в таблицу 7.1
Таблица 8.1 – Результаты выбора трансформаторов тока
условия выбора
расчетные данные
ТФЗМ-110Б-У1
Uном Uном.сети
Uном.сети=110 кВ
Uном=110 кВ
Iном Imax.расч
Imax.расч=50 А
Iном=150 А
iУ 1.41∙ кд ∙ Iном
iуд=6,25кА
1.41∙ кд ∙ Iном=58кА
8.3 Выбор разъединителей
Условия выбора и проверки:
Uном Uном.сети ; (8.3)
Iном Imax.расч ; (8.4)
iдин iуд ; (8.5)
(8.6)
Результаты выбора разъединителей сведены в таблицу 8.2.
8.4 Выбор заземлителей
Условия выбора и проверки:
Uном Uном.сети ; (8.7)
iдин iуд ; (8.8)
(8.9)
Результаты выбора заземлителей сведены в таблицу 7.3.
Таблица 8.3 Результаты выбора заземлителей
-
условия выбора
расчетные данные
ЗОН-110М-(I)УХЛ1
Uном Uном.сети
Uном.сети=110 кВ
Uном=110 кВ
iдин iуд
iуд=5.5 кА
iдин=16 кА
Bк=0.89 кА2с
I2т t т=160 кА2с
8.5 Выбор трансформатора напряжения
Для выработки сигналоизмерительной информации для электрических измерительных приборов и цепей учета, защиты и сигнализации выбираем трансформатор напряжения НКФ-110-58У1.
8.6 Выбор вводных и секционных выключателей на стороне 6,3 кВ.
На 1 секции 5 потребителей
А
Выключатель марки ВВЭ – 6 – 20/1000
Uном=6 кВ, Iном=1000 А.
Iном. откл= 20кА.
Iтор/I кр=40/4 кА.
iдин=128 кА.
Iдин=40 кА.
tсв=0,075 cек.
Цена=190 тыс.руб
На 2 секции 5 потребителей
Выключатель марки ВВЭ – 6 – 20/1000
Uном=6 кВ, Iном=1000А.
Iном. откл= 20кА.
Iтор/I кр=40/4 кА.
iдин=128 кА.
Iдин=40 кА.
tсв=0,075 cек.
Цена=190 тыс.руб
8.7. Выбор выключателей на отходящих линиях
Параметры трансформаторов цеховых ТП (ТМЗ -1000/10):
Sном=1000 кВА. Uk=5,5% , ΔPx=2,45 кВт. U=6.3 кВ. Цена=1000 тыс.руб
Выбираю ВВЭ – 6 – 20/630
Uном=6 кВ, Iном=630А.
Iном. откл= 20кА.
Цена=190 тыс. руб
Выключатель нагрузки ВНПу – 6/400 – 10У3
Цена=50 тыс. руб
9 Расчет основных технико – экономических показателей спроектированной сети
В этом разделе определяются основные показатели, характеризующие полные расходы денежных средств и электрооборудование, необходимое для сооружения и эксплуатации сети.
Капиталовложения на сооружение спроектированной сети:
К=Ккл+Квыкл+Ктп+Кгпп+Кбк (9.1)
Ккл=К0∙L , (9.2)
где К0 – укрупненный показатель стоимости сооружения 1 км линии.
Ккл=330 тыс.руб.
Квыкл – капиталовложения в ячейки КРУ с выключателями.
Ктп – стоимость КТП, включая трансформатор, дополнительное оборудование и постоянную часть затрат.
КГПП - капиталовложения на сооружения ГПП 110/6 кВ.
Кбк – стоимость конденсаторных батарей.
Ккл – капиталовложения на сооружения линии.
Капиталовложения для схемы 1:
КВЫКЛ б=3∙190=570 тыс.руб.
КВЫКЛ в=10∙190=1900 тыс.руб.
Ктп=8∙1000=8000 тыс. руб.
Трансформаторная подстанция 110/6 кВ выполнена по схеме мостик с разъединителями в перемычке и в цепях трансформаторов,Кору=2000 тыс.руб,
Ктр=8000 тыс.руб. , Кпост=3500 тыс.руб.
Кгпп=Кору+Ктр+Кпост (9.3)
Кгпп=2000+2∙8000+3500=21500 тыс.руб.
К∑=33200 тыс.руб
Эксплуатационные издержки
вк=0,028 кл=0,063 пст=0,094 тп=0,104
Икл= кл∙Ккл (9.4)
Икл=0,063∙330=20,8тыс.руб./год.
Игпп=пст∙(Кгпп+Квыкл) (9.5)
Игпп=0,094∙(21500+570+1900)=2253 тыс.руб./год.
Итп=тп∙(Кгпп+Квыкл)
Итп=0,104∙(21500+570)=2295,3 тыс.руб./год.
И=Икл+Игпп+Итп (9.6)
И=20,8+2253,3+2295=4569,1 тыс.руб./год.
Годовые потери в сети:
∆Р∑=24673,8-2079,25-2035,32-1184,82-2055,22-1195,62-1591-2102-528-426,22-472,86-773-1133,5-491,22-2103-1231,22-2134-2504=633,55 кВт.
∆Р`∑=100∙∆Р∑ / Рн∑
∆Р`∑=633,55 / 24673,8∙100%=2,56 %
Потери холостого хода:
∆Рх=к∙∆Рхтр1+к∙∆Рхтр2, (9.7)
где: к – количество трансформаторов.
∆Рхтр1 и ∆Рхтр2 – потери х.х. трансформаторов 1000 кВА и 10000 кВА.
∆Рх=8∙2,45+2∙10=39,6 кВт.
Нагрузочные потери:
∆Рн∑=633,55-39,6=593,4 кВт.
Время наибольших потерь: τ=3200 ч
∆WΣ=ΔPнΣ∙τ+ΔPх∙Тгод (9.8)
∆WΣ=593,4∙3200+39,6∙8760=536776 Вт ч / год.
∆W`Σ=100∙∆WΣ / РнΣ∙Т (9.9)
З`эi=2,2 коп/кВт ч; З``эi=1,7 коп/кВт ч.
Ипот=(2,2∙492,85∙3200+1,7∙140,65∙8760)∙10-5=55,64 тыс.руб./год.
Суммарные издержки спроектированной заводской сети.
ИΣпп=ИΣ+Ипот (9.10)
ИΣпп=316,73+55,64=372,37 тыс.руб / год.
Удельная стоимость электроэнергии будет определятся как:
С=ИΣпп / ∆WΣ
коп /кВт ч.
Эксплуатационные издержки для схемы 2:
Икл=817,15∙0,063=51,48 тыс.руб./год.
Игпп=0,094∙(460+57+437)=89,676 тыс.руб./год.
Итп=0,104∙(1073+315)=144,35 тыс.руб./год.
И=51,48+89,676+144,35=285,5 тыс.руб./год.
Годовые потери в сети:
∆Р∑=24673,8-2079,25-2035,32-1184,82-2055,22-1195,62-1591-2102-528-426,22-472,86-773-1133,5-491,22-2103-1231,22-2134-2504=633,55 кВт.
∆Р`∑=100∙∆Р∑ / Рн∑
∆Р`∑=633,55 / 24673,8∙100%=2,56 %
Потери холостого хода:
∆Рх=37∙2,45+2∙25=140,65 кВт.
Нагрузочные потери:
∆Рн∑=633,55-140,65=492,85 кВт.
Время наибольших потерь: τ=3200 ч.
∆WΣ=ΔPнΣ∙τ+ΔPх∙Тгод (9.11)
∆WΣ=492,85∙3200+140,65∙8760=2809214 Вт ч / год.
∆W`Σ=100∙∆WΣ / РнΣ∙Т (9.12)
З`эi=2,2 коп/кВт ч; З``эi=1,7 коп/кВт ч.
Ипот=(2,2∙492,85∙3200+1,7∙140,65∙8760)∙10-5=55,64 тыс.руб./год.
Суммарные издержки спроектированной заводской сети.
ИΣпп=ИΣ+Ипот (9.13)
ИΣпп=285,5+55,64=341,146 тыс.руб / год.
Удельная стоимость электроэнергии будет определятся как:
С=ИΣпп / ∆WΣ
коп /кВт ч.
Эксплуатационные издержки схемы 2 на 9% выгодней схемы 1
Суммарные потери активной мощности и энергии составляют:
ΔР`Σ=2,56 % , ΔW`Σ=2,42 %
Таблица 9.3 – Основные показатели спроектированной сети
Тип оборудования
количество
1
2
ТрансформаторТДН 10000/110
2 шт.
Трансформатор ТСЗ – 1000/6.3
8 шт.
Кабель АПвП-3Х150 мм2
2956 м.
Кабель АПвП-3Х 95 мм2
23778 м.
Выключатели ВВЭ – 6 - 20/1000
3шт
Выключатели
10 шт
Выключатели нагрузки ВНПу-6/400/10УЗ
8 шт
10 Релейная защита и автоматика
Защита трансформаторов.
Повреждения и ненормальные режимы работы:
Виды повреждений. Основными видами повреждений в трансформаторах и автотрансформаторах являются: замыкания между фазами внутри кожуха трансформатора (трехфазного) и на наружных выводах обмоток; замыкания в обмотках между витками одной фазы (витковые замыкания); замыкания на землю обмоток или их наружных выводов; повреждения магнитопровода трансформатора, приводящие к появлению местного нагрева и "пожару стали". Опыт показывает, что КЗ на выводах и витковые замыкания в обмотках происходят наиболее часто. Междуфазные повреждения внутри трансформаторов возникают значительно реже. В трехфазных трансформаторах они хотя и не исключены, но маловероятны вследствие большой прочности междуфазной изоляции. В трансформаторных группах, составленных из трех однофазных трансформаторов, замыкания между обмотками фаз практически невозможны.
При витковых замыканиях токи, идущие к местам повреждения от источников питания, могут быть небольшими. Чем меньше число замкнувшихся витков wa, тем меньше будет ток, приходящий из сети.
Виды ненормальных режимов. Наиболее частым ненормальным режимом работы трансформаторов является появление в них сверхтоков, т. е. токов, превышающих номинальный ток обмоток трансформатора. Сверхтоки в трансформаторе возникают при внешних КЗ, качаниях и перегрузках. Последние возникло вследствие самозапуска электродвигателей, увеличения нагрузки в результате отключения параллельно работающего трансформатора, автоматического подключения нагрузки при действии АВР и т. п.
Внешние КЗ. При внешнем КЗ, вызванном повреждением на шинах трансформатора или не отключившимся повреждением на отходящем от шин присоединении, по трансформатору проходят токи КЗ JK > /Ном> которые нагревают его обмотки сверх допустимого значения, что может привести к повреждению трансформатора. В связи с этим трансформаторы должны иметь РЗ от внешних КЗ, отключающую трансформатор.
Защита от внешних КЗ осуществляется при помощи МТЗ, МТЗ с блокировкой минимального напряжения, дистанционной РЗ, токовых РЗ нулевой и обратной последовательностей. В зону действия РЗ от внешних КЗ должны входить шины подстанций (I участок) и присоединения, отходящие от этих шин (II участок). Эти РЗ являются также резервными от повреждений в трансформаторе.
Перегрузка. Время действия РЗ от перегрузки определяется только нагревом изоляции обмоток. Масляные трансформаторы допускают длительную перегрузку на 5%. В аварийных режимах допускается кратковременная перегрузка в следующих пределах:
Кратность перегрузки............ ……….. 1,3 1,6 1,75 2 3
Допустимое время перегрузки, мин . . 120 45 20 10 1,5
Из этих данных видно, что перегрузку порядка (1,5-2)Iном можно допускать в течение значительного времени, измеряемого десятками минут. Наиболее часто возникают кратковременные, само ликвидирующиеся перегрузки, неопасные для трансформатора ввиду их непродолжительности, например перегрузки, вызванные самозапуском электродвигателей или толчкообразной нагрузкой (электропоезда, подъемники и т. п.). Отключения трансформатора при таких перегрузках не требуется. Более длительные перегрузки, вызванные, например, автоматическим подключением нагрузки от АВР, отключением параллельно работающего трансформатора и др., могут быть ликвидированы обслуживающим персоналом, который располагает для этого достаточным временем. На подстанциях без дежурного персонала ликвидация длительной перегрузки должна производиться автоматически от РЗ отключением менее ответственных потребителей или перегрузившегося
Таким образом, РЗ трансформатора от перегрузки должна действовать на отключение только в том случае, когда перегрузка не может быть устранена персоналом или автоматически.
Токовая отсечка:
Токовая отсечка - простая быстродействующая РЗ от повреждений в трансформаторе. Зона действия отсечки ограничена, она не действует при витковых замыканиях и замыканиях на землю в обмотке, работающей на сеть с малым током замыкания на землю.
Газовая защита трансформаторов:
Принцип действия и устройство газового реле. Газовая защита получила широкое распространение в качестве весьма чувствительной защиты от внутренних повреждений трансформаторов. Повреждения трансформатора, возникающие внутри его кожуха, сопровождаются электрической дугой или нагревом деталей, что приводит к разложению масла и изоляционных материалов и образованию летучих газов. Будучи легче масла, газы поднимаются в расширитель , который является самой высокой частью трансформатора и имеет сообщение с атмосферой. При интенсивном газообразовании, имеющем место при значительных повреждениях, бурно расширяющиеся газы создают сильное давление, под влиянием которого масло в кожухе трансформатора приходит в движение, перемещаясь в сторону расширителя.
Таким образом, образование газов в кожухе трансформатора и движение масла в сторону расширителя могут служить признаком повреждения внутри трансформатора.
Особенности защиты трансформаторов, не имеющих выключателей на стороне высшего напряжения:
Основные принципы выполнения РЗ на ЛЭП с ответвлениями, трансформаторы которых подключены к ЛЭП без выключателей. Широкое распространение получили схемы с короткозамыкателями и отделителями. При этом важной частью РЗ трансформаторов является схема действия на короткозамыкатель и отделитель.
Действие РЗ на короткозамыкатель и отделитель должно происходить в определенной последовательности, обеспечивающей работу отделителя в бес токовую паузу АПВ ЛЭП, т. е. в тот момент, когда по отделителю не проходит ток. Схема управления отделителя выполняется таким образом, чтобы импульс на его отключение подавался после срабатывания короткозамыкателя при условии, что питающая ЛЭП отключилась, и ток КЗ прекратился.
10.1Защита кабельных линий и цеховых трансформаторов
Защита трансформатора с низшей стороны напряжения.
Для защиты трансформатора с низшей стороны используется расцепитель автоматического выключателя типа ВА.
Номинальный ток расцепителя выбирается по следующему условию:
Iрц.ном.≥ Котс ∙Iраб.max, (10.1)
где : Iраб.max - максимальный рабочий ток.
Котс – коэффициент отстройки (для выключателей типа ВА равен 1.1).
Наибольший расчетный ток нагрузки, длительно протекающий по защищаемому элементу определяется по следующему выражению:
Iраб.max= (10.2)
A.
Тогда номинальный ток расцепителя будет следующим:
Iр.ц.ном. ≥ 1,1∙2020,7=2222,8 А
Для полупроводникового расцепителя селективного автоматического выключателя ВА 75-45 ( Iа ном=2500 А ) ближайшее устанавливаемое значение номинального тока Iрц.ном.=2500 А
Первая ступень защиты – токовая отсечка без выдержки времени. Уставка тока срабатывания первой ступени у полупроводникового расцепителя автоматического выключателя ВА75-45 не регулируется и зависит от его номинального тока. Для ВА75-45 он равен 40 кА. Токовая отсечка данного расцепителя чувствительна к повреждениям со стороны низшего напряжения трансформатора, так как значение тока трехфазного КЗ I(3)KB=17,64кА
Вторая ступень – токовая отсечка с выдержкой времени. Для исключения срабатывания второй ступени защиты при кратковременных перегрузках необходимо выполнить условие:
IIIс.з.=КIIотс. ∙Iпер (10.3)
При наличий УАВР учитывается режим кратковременной перегрузки после АВР, когда потребители второго трансформатора цеховой трансформаторной подстанций подключаются через секционный выключатель к защищаемому трансформатору:
Iпер.=К∙IP1+Kсзп∙IP2 (10.4)
где: К – коэффициент, учитывающий некоторое значения тока электродвигателей секции 1 при снижений напряжения на секции вследствие подключения к ней само запускающихся электродвигателей секции 2.
Kсзп – коэффициент самозапуска электродвигателей секции 2.
Расчет:
Iр1=Iр2=А
Iпер.=1,2∙1010,4+2,5∙1010,4=3738,48 А
I IIc.з=1,5∙3738,48=5607,5 А
Так как у полупроводникового расцепителя автоматического выключателя ток срабатывания второй ступени связан с номинальным током расцепителя коэффициентом кратности (к=2,3,5,7 для ВА75-45)[13], то выбирается ближайшее устанавливаемое значение. Требуемый коэффициент кратности:
ктреб.=I IIc.з / Iр.ц.ном. (10.5)
ктреб.=5607,5 / 2500=2,24
Выбирается ближайшее стандартное значение к=3 , тогда ток срабатывания второй ступени и определяется по следующей формуле:
I IIc.з=к∙Iр.ц.ном.=3∙2500=7500 (10.6)
Выдержка времени второй ступени защиты может быть установлена равной 0,1; 0,2: 0,3 с. Принимается среднее время срабатывания защиты tIIс.з.(SF13)=0,2 с.
Третья ступень – максимальная токовая защита. У полупроводниковых расцепителей уставка тока срабатывания третей ступени связана с номинальным током расцепителя:
IIIIc.з=1,25∙Iр.ц.ном (10.6)
IIIIc.з=1,25∙2500=3125 А.
В сетях, защищаемых от токов КЗ, расцепитель с выбранными уставками тока срабатывания должен удовлетворять требованию чувствительности.
Iк.min ≥ 3 IIIIс.з (10.7)
I (2)п.о.к > 3∙3125=9375 А
Чувствительность выбранного полупроводникового расцепителя достаточна, т.к. I (2)п.о.к=15,28кА.
10.2 Токовая отсечка
Ток срабатывания токовой отсечки можно выбирать по выражению:
(10.8)
где Котс - коэффициент отстройки зависящий от типа применяемого реле тока, Котс =1,2 – 1,3 при РТ-40;
I(3)пок3 - ток протекающий в месте установке защиты при 3х фазном КЗ на стороне НН в максимальном режиме работы системы приведенное к 6кВ,
I(3)пок3 = 1,12кА
кА
Коэффициент чувствительности защиты определяется для случая 2х фазного КЗ в месте ее установки.
, (10.9)
где I(2)пок2 - ток 2х фазного КЗ на выводах ВН трансформатора
I(2)пок2=5,46кА
По коэффициенту чувствительности отсечка должна быть >2.
10.3 Максимальная токовая защита на стороне высшего напряжения
Ток срабатывания максимальной токовой защиты на стороне высшего напряжения IСЗ:
, (10.10)
где Котс - коэффициент отстройки, Котс = 1,2
Кв - коэффициент возврата токового реле защиты: для РТ-40 = 0,85;
Кзап - коэффициент самозапуска электродвигателей обобщенной нагрузки; если двигатели не оборудованы устройством самозапуска, Кзап применяется 1,2 - 1,3;
Iс.з. = Kотс(Iраб.макс+Kзап. Iрабмакс.резерв), (10.11)
где Iраб.макс.резерв. - максимальный рабочий ток секции 0,4 кВ, который подключается к рассчитываемому трансформатору при срабатывании АВР; принимается равным 0,6-0,7 Iном.тр.
А
Ic.з. ≥ 1,2(1,2 ∙ 64,4 + 92) = 203,13 А. при отсутствии самозапуска
Выбираем трансформаторы тока ТОЛК - 6 300/5;
; применяется Iср=4А,
Время срабатывания максимальной токовой защиты применяем на ступень селективности ∆t = 0.4c ,чем время срабатывания 1 ступени ввода 0,4кВ (tc.з.=0,6с).
tс.з.= (i-1)max =tс.з.ввода 0,4кВ = 0,6 сек;
tс.з тр-ра.= tс.з.ввода 0,4кВ +∆t;
tс.з тр-ра =0,6+0,4=1,0с
Для РТ – 40/10 принимаем уставки: Icр= 10А
Iсз= 4∙60 = 240A
tс.з.=1,0c – реле времени с замыканием, замыкающим контактом на постоянном токе РВ – 112 или РВ – 122, РВ – 01.
10.4 Специальная токовая защита нулевой последовательности трансформаторов со схемой соединения обмоток ∆/Y-11 -10(6)/0,4 кВ
При однофазном КЗ для трансформатора расчетный ток в реле определяется по току однофазного короткого замыкания , который обычно вычисляется без учета сопротивления питающей сети по выражению:
(10.12)
Для практических расчетов по выражению:
(10.13)
В таблице П-4 значения I/Zт для трансформаторов с соединением ∆/Y:
Мощностью 1000кВА равно 0,009Ом.
Мощностью 1600кВА равно 0,006Ом.
На стороне 0,4кВ для трансформаторов 1000кВА
кА
Для трансформаторов со схемой соединения обмоток ∆/Y-11 ток, поскольку у этих трансформаторов , (причем этот ток вычислен с учетом сопротивления питающей сети), т.е. для трансформаторов 1000кВА.
Выбирается ток и время срабатывания специальной защиты нулевой последовательности на стороне 0,4кВ.
где Котс = 1,1÷1,2
Кп - коэффициент учитывающий кратковременную перегрузку трансформатора по ГОСТ 1402-69 и ПУЭ.
iht - номинальный ток трансформатора;
кта - коэффициент трансформации.
Выбираем трансформатор ТШП-0,66 , кта - 500/5 [15]
Динамическая устойчивость - 130
1-но секундная термическая устойчивость - 50.
Применяем
1ср = 16 А
Iсз =16-100 = 1600 А
реле РТ-40/20
Коэффициент чувствительности:
,
где - минимальное значение тока однофазного КЗ на сборных шинах или вблизи них на стороне НН ТП
Ic.з.- первичный ток срабатывания защиты
11 Безопасность жизнедеятельности
11.1 Общие требования безопасности к производственному оборудованию
В данном разделе рассматриваются вопросы обеспечения безопасности жизнедеятальности в проектируемом предприятии. Машины, аппараты и другое оборудование, применяемое в нефтехимической промышленности, чрезвычайно разнообразно по принципу действия, конструкции, типам и размерам. Однако существуют некоторые общие требования, соблюдение которых при конструировании оборудования позволяет обеспечить безопасность его эксплуатации. Эти требования сформулированы в ГОСТ 12.2.003-74.
Безопасность производственного оборудования обеспечивается правильным выбором принципов действия, конструктивных схем, материалов, рабочих процессов и т. п.; максимальным использованием средств механизации, автоматизации, дистанционного управления; применением в конструкции специальных защитных средств; выполнением эргономических требований; включением требований безопасности в техническую документацию по монтажу, эксплуатации, ремонту, транспортированию и хранению.
В процессе эксплуатации оборудование не должно загрязнять окружающую среду вредными веществами выше установленных норм и не должно представлять опасности с точки зрения взрыва и пожара.
Представляющие опасность движущиеся части оборудования должны быть ограждены или снабжены средствами защиты, за исключением частей, ограждение которых не допускается их функциональным назначением. В этом случае нужно предусматривать специальные меры защиты.
Оборудование не должно служить источником выделения в рабочую, зону производственных помещений вредных веществ, различного рода излучений выше предельно допустимых уровней (концентраций) больших количеств теплоты и влаги. Для функционального удаления и аварийного сброса вредных, взрыво- и пожароопасных веществ оборудование следует оснащать специальными устройствами.
Конструкция оборудования должна обеспечивать исключение или снижение до регламентированных уровней шума, ультразвука, инфразвука, вибраций.
Элементы оборудования, с которыми может контактировать человек, не должны иметь острых кромок, углов, неровных, горючих и переохлажденных поверхностей.
Входящие в конструкцию оборудования рабочие места и их элементы должны обеспечивать удобство и безопасность работающему.
При необходимости передвижения оператора во время обслуживания оборудования оно должно быть снабжено безопасными проходами, площадками, переходами, лестницами, перилами и т. п.
Оборудование должно иметь средства сигнализации о нарушении нормального режима работы, а в необходимых случаях - средства автоматического останова, торможения и отключения отключения от источников энергии.
Для предотвращения опасности при внезапном отключении источником энергии все рабочии органы, захватывающие, зажимные и подъемные устройства оборудования или их приводы должны быть снабжены специальными защитными приспособлениями. Причем нужно предотвращать возможность самопроизвольного включения приводов рабочих органов при восстановлении подачи энергии.
Конструкция оборудования должна обеспечивать защиту человека от поражения электрическим током.
Органы управления оборудованием должны соответствовать следующим основным требованиям: иметь форму, размеры и поверхность, безопасные и удобные для работы; удобно располагаться в рабочей зоне; размещаться с учетом требуемых для их перемещения усилий, не превышающих установленных стандартами, а также последовательности и частоты использвания; исключать возможность непроизвольного и самопроизвольного включения и выключения оборудования.
Управление однородным оборудованием должно быть унифицировано, а направление вращения маховичков, штурвалов, перемещение рычагов, педалей и т. п. — соответствовать установленным правилам.
Во всех функционально возможных случаях направление перемещения органов управления должно быть естественно связано с направлением движения рабочих органов оборудования.
Органы управления своей конструкцией (блокировками) должны исключать возможность осуществления неправильной последовательности операций или иметь схемы и надписи, наглядно указывающие правильную последовательность операций.
Органы аварийного выключения (кнопки, рычаги и т. п.) должны быть красного цвета, иметь указатели, облегчающие их поиск, надписи о назначении и быть легкодоступными для обслуживающего персонала.
11.2 Производственная санитария
Основные требования к зданиям производственного назначения изложены в СН 245-71 и СНиП И-90-81.При планировке производственных помещений нужно учитывать санитарную характеристику производственных процессов, соблюдать нормы полезной площади для работающих, а также нормативы площадей для размещения оборудования и необходимую ширину проходов, обеспечивающих безопасную работу и удобное обслуживание оборудования.
Объем производственного помещения на одного работающего должен составлять не менее 15 м3, площадь — не менее 4,5 м2.
Устройство рабочих помещений в подвальных этажах, как правило, запрещается. Для исключения пересечения технологических потоков наиболее целесообразно располагать помещения с учетом последовательности производственных операций.
Высота цехов выбирается в зависимости от характера технологического процесса такой, чтобы было обеспечено удаление избыточной теплоты, влаги и газов, но не менее 3,0 м. Помещения, в которых предполагается устройство естественной организованной вентиляции (аэрации), для обеспечения необходимого теплового напора должны иметь высоту не менее 4…6 м от расположения теплоизлучающей поверхности.
Производственные процессы, сопровождающиеся шумом, вибрацией, а также выделением пыли, вредных газов, необходимо изолировать, размещая их в кабинах или специальных помещениях.
Конструкция стен, потолков, полов и т. п. в производственных помещениях должна предусматривать создание для работающих наиболее благоприятных условий труда. С этой же точки зрения санитарные нормы, например, ограничивают площадь остекления промышленных зданий требованием создания необходимой естественной освещенности, учитывая при этом, что слишком большая площадь остекления «имеет свои недостатки, связанные с избытком солнечного освещения в южных районах страны и возможностью значительного охлаждения зимой в северных районах рабочих мест, расположенных вблизи окон. В случае, если оконные проемы заполнены стеклоблоками или стеклопрофилитом, должны быть предусмотрены устройства для естественного проветривания. В зданиях с верхним светом, при наличии больших площадей остекления, нужно предусматривать специальные механизированные устройства для открывания окон и фрамуг.
В последние годы все большее распространение получают производственные здания очень большой площади, имеющие определенные экономические и технологические преимущества. Однако при этом значительно затрудняется устройство аэрации и механической вентиляции. Внутренние части таких зданий обычно имеют недостаточную естественную освещенность, усложняется изоляция участков с вредными выделениями. Поэтому в таких зданиях реко-мендуется располагать производства с незначительными выделениями вредных веществ (например, инструментальные, механосборочные, деревообрабатывающие и т. п.). В таких зданиях цехи, где имеются теплоизбытки или выделяются вредные вещества, должны располагаться у наружных стен, а в многоэтажных корпусах — на верхнем этаже.
Большое значение имеет рациональная цветовая отделка производственных помещений, которую следует производить в соответствии с «Указаниями по проектированию цветовой отделки интерьеров производственных зданий промышленных предприятий» (СН 181 - 70).
11.3 Основы пожарной безопасности
Пожарная профилактика основывается на исключении условий, необходимых для горения, и использовании принципов обеспечения безопасности. При обеспечении пожарной безопасности решаются четыре задачи: предотвращение пожаров и загораний, локализация возникших пожаров, защита людей и материальных ценностей, тушение пожаров. Пожарная безопасность обеспечивается предотвращением пожаров и пожарной защитой. Предотвращение пожара достигается исключением образования горючей среды и источников зажигания, а также поддержанием параметров среды в пределах, исключающих горение.
Предотвращение образования источников зажигания достигается следующими мероприятиями: соответствующим исполнением, применением и режимом эксплуатации машин и механизмов; устройством молниезащиты зданий и сооружений; ликвидацией условий для самовозгорания; регламентацией допустимой температуры и энергии искрового разряда и др.
Пожарная защита реализуется следующими мероприятиями: применением негорючих и трудногорючих веществ и материалов, ограничением количества горючих веществ, ограничением распространения пожара, применением средств пожаротушения, регламентацией пределов огнестойкости; созданием условий для эвакуации людей, а также применением противодымной защиты, пожарной сигнализации и др.
Взрывопожарная и пожарная опасность. Производства (помещения) по взрывопожарной и пожарной опасности делятся на категории в соответствии с «Общесоюзными нормами технологического проектирования ОНТП 24-86» (Приложение VII).
Огнестойкость зданий и сооружений. Сопротивляемость зданий огню оценивается огнестойкостью. По огнестойкости здания делятся на пять степеней (I—V). Степень огнестойкости зданий и сооружений характеризуется группой горючести и пределом огнестойкости.
Предел огнестойкости конструкции — это время, выраженное в часах, от начала испытания ее по стандартному температурному режиму до возникновения одного из следующих признаков: 1) образования в конструкции сквозных трещин или отверстий; 2) повышения температуры на необогреваемой поверхности конструкции в среднем более, чем на 140°С или в любой точке этой поверхности более, чем на 180 °С; 3) потери конструкцией несущей способности.
Предел огнестойкости определяется экспериментально. Зная предел огнестойкости, можно определить требуемый предел огнестойкости строительных элементов проектируемого здания и группу возгораемости материалов. Сгораемые конструкции не имеют пределов огнестойкости.
Повысить огнестойкость зданий можно облицовкой или оштукатуриванием строительных конструкций. Особое значение имеет защита деревянных конструкций. Защищенные известково-цементной, асбесто-цементной или гипсовой штукатуркой такие конструкции относятся к трудносгораемым. Эффективным видом огнезащитной обработки древесины является пропитка антипиренами, которые представляют собой химические вещества, снижающие горючесть. Антиперенами являются фосфорнокислый аммоний (NH4)2HPO4, сернокислый аммоний (NH4)2SO4.
Взрывоопасные и пожароопасные зоны. В соответствии с ПУЭ выбор и установку электрооборудования производят с учетом классификации взрывоопасных и пожароопасных зон.
Зона класса В-1. К ней относят помещения, в которых могут образовываться взрывоопасные смеси паров и газов с воздухом при нормальных условиях работы (например, помещения, в которых производится слив ЛВЖ в открытые сосуды).
Зона класса В-Ia. В эту зону входят помещения, в которых взрывоопасные смеси не образуются при нормальных условиях эксплуатации оборудования, но могут образовываться при авариях или неисправностях.
Зона класса B-I6. К этому классу относят: а) помещения, в которых могут содержаться горючие пары и газы с высоким нижним пределом воспламенения (15 % и более), обладающие резким запахом (например, помещения аммиачных компрессоров); б) помещения, в которых возможно образование лишь локальных взрывоопасных смесей в объеме менее 5 % от объема помещения.
Зона класса В-1г. В эту зону входят наружные установки, в которых находятся взрывоопасные газы, пары и легко воспламеняющиеся жидкости (ЛВЖ) (например, газгольдеры, сливоналивные эстакады и т. п.).
Зона класса В-II. К ней относят помещения, в которых производится обработка горючих пылей и волокон, способных образовывать взрывоопасные смеси с воздухом при нормальных режимах работы (например, открытая загрузка и выгрузка из оборудования мелкодисперсных горючих материалов).
Зона класса В-IIa. В эту зону входят помещения, в которых взрывоопасные пылевоздушные смеси могут образовываться только в результате аварий и неисправностей (например, разгерматизация пневмотранспортирующего оборудования с применением азота, сепарационные установки с механической загрузкой и т. п.).
Помещения и установки, в которых содержатся горючие жидкости (ГЖ) и горючие пыли, нижний концентрационный предел которых выше 65г/м3, относят к пожароопасным и классифицируют. Классификационные зоны и установки приводятся ниже.
Зона класса П-I. К ней относят помещения, в которых содержатся ГЖ (например, минеральные масла).
Зона класса П-II. В эту зону входят помещения, в которых содержатся горючие пыли с нижним концентрационным пределом выше 65 г/м3.
Зона класса П-II а. К ней относят помещения, в которых содержатся твердые горючие вещества, неспособные переходить во взвешенное состояние.
Установки класса П-III. К ним относят наружные установки, в которых содержатся ГЖ (с температурой вспышки выше 61°С) или твердые горючие вещества.
Рассмотрим противопожарные требования к системам отопления, вентиляции, освещения и электроустановок. Наибольшую пожарную опасность представляет местное отопление, когда печи устанавливаются непосредственно в помещениях. При этом нагрев наружной поверхности может достигать 500°С. Наиболее безопасны в пожарном отношении центральные системы отопления и воздушное калориферное отопление. Дымовые трубы котельных, из которых могут вылетать искры, необходимо оборудовать искроуловителями. Значительную пожарную опасность имеют рециркуляционные системы, так как продукты горения из них поступают в проточную камеру, откуда нагнетаются во все помещения.
Защита от распространения пламени в вентиляционных установках достигается с помощью огнепреградителей, быстродействующих заслонок, шиберов, отсекателей и т. п. Действие огнепреградителей основано на том, что струя горючей смеси разбивается на большое число струек с таким малым диаметром, при котором пламя взрыва распространяться не может. Существуют различные конструкции огнепреградителей.
По данным статистики из общего числа пожаров, происходящих от электрооборудования, около 45 % возникает из-за коротких замыканий, 35 % от электронагревательных приборов, 13 % — от перегрузки электродвигателей и сетей, 5 % — от больших переходных сопротивлений.
Выбор общепромышленного или взрывозащищенного электрооборудования зависит от класса помещения. К взрывозащищенному относится электрооборудование, которое имеет устройства, обеспечивающие безопасность его применения в условиях взрывоопасных помещений и наружных установок.
Взрывозащищенное электрооборудование делится на взрывонепроницаемое, повышенной надежности против взрыва, маслонаполненное, продуваемое, искробезопасное и специальное. Взрывозащищенное оборудование имеет более высокую стоимость. Значительную пожарную опасность представляют светильники. Лампы накаливания более пожароопасны, чем лампы дневного света, так как температура поверхности колб первых достигает 500°С, а вторых — только 40—50°С. К противопожарным мероприятиям в электроосвещении относится правильный выбор типов светильников с учетом условий, в которых они эксплуатируются. Светильники делятся на открытые, защищенные (лампа закрыта стеклянным колпаком), пыленепроницаемые, взрывозащищенпые (допускается применение во взрывоопасной среде). Важное значение имеют правильный выбор и соблюдение режима эксплуатации электросетей, которые подбираются по допустимым токовым нагрузкам, потерям напряжения и нагреву.
К числу основных противопожарных мер в электросистемах относится правильный подбор аппаратов защиты.
Средства пожаротушения. Различают первичные, стационарные и передвижные средства пожаротушения.
К первичным средствам пожаротушения относятся огнетушители, гидропомпы (небольшие поршневые насосы), ведра, бочки с водой, лопаты, ящики с песком, асбестовые полотна, войлочные маты, кошмы, ломы, пилы, топоры. Огнетушители бывают химические пенные (ОХП-10, ОХПВ-10 и другие), углекислотные (ОУ-2, ОУ-5, ОУ-8), углекислотно-бромэтиловые (ОУБ-3, ОУБ-7), порошковые (ОПС-6, ОПС-10).
Для различных объектов и помещений существуют нормы первичных средств пожаротушения. На каждые 100 м2 пола производственных помещений обычно требуется 1—2 огнетушителя. Время действия пенных огнетушителей 50—70 с, длина струи 6—8 м, кратность пены 5, стойкость 40 мин.
Углекислотные огнетушители наполнены сжиженным углекислым газом, находящимся под давлением 6 МПа. Для приведения их в действие достаточно открыть вентиль. Углекислый газ выходит в виде снега и сразу превращается в газ. Применяется для тушения в электроустановках.
Порошковые огнетушители применяются для тушения горящих щелочных металлов. Выброс порошкового заряда из баллона производится с помощью сжатого воздуха, подаваемого из баллончика.
Для безопасного ведения технологического процесса и защиты обслуживающего персонала на проектируемом предприятии предусмотрены следующие технические решения:
технология процесса организуется таким образом, чтобы предотвратить возможность взрыва при регламентированных значениях параметров;
аппаратурное оформление, конструкция технологических аппаратов, их материальное исполнение подобрано таким образом, чтобы максимально снизить уровень взрывопожароопасности;
в аппаратах, где возможно превышение технологического давления выше расчетного давления аппарата, предусматривается регулирование давления клапанами КиА и защита аппарата предохранительными клапанами
выбросы от предохранительных клапанов направляются в факельную систему через емкость-сепаратор, установленный на границе установки, откачивание жидкости из сепаратора автоматическое
все непрерывно работающие насосы имеют 100% резерв для обеспечения непрерывности и надежности процесса
на нагнетательных и всасывающих трубопроводах установлена запорная арматура
на нагнетательных трубопроводах насосов установлены обратные клапаны, предотвращающие перемещение продуктов обратным ходом, на линиях всасывания установлены отсечные клапаны с дистанционным управлением;
центробежные насосы имеют двойные торцевые уплотнения, разработанные фирмой «Анод»
центробежные насосы с торцевыми уплотнениями оснащены системой контроля температуры подшипников с сигнализацией предельных значений и блокировкой при превышении параметра
горячая аппаратура и трубопроводы изолированы
во всех пожароопасных местах установлены пожарные извещатели
для защиты от статического электричества проектом предусмотрено заземление всей аппаратуры и оборудования
оборудование выбрано в соответствии с технологическими требованиями и производительностью
на установку подведен продувочный инертный газ-азот
по всей территории, во всех насосных устанавливаются сигнализаторы на ПДК по сероводороду в соответствии с ТУ-газ-86 и сигнализаторы довзрывной концентрации
оборудование расположено таким образом, чтобы был возможен
подъезд противопожарной техники
для удобства обслуживания на аппаратах предусматриваются стационарные площадки
постаменты и этажерки имеют ограждение в виде бортиков высотой не менее 150 мм
трудоемкие процессы на установке механизированы
для защиты обслуживающего персонала от вредных воздействий предусматриваются средства защиты ;
углеводороды периодически отводятся в закрытую дренажную систему легких углеводородов
для технологических блоков I категории взрывоопасности предусмотрена установка автоматических быстродействующих запорных, запорнорегулирующих и отсекающих устройств с временем срабатывания не более 12 сек
блок обеспечен двумя независимыми источниками энегрии
особо важные потребители блока обеспечиваются энергией от трех независимых источников
используется закрытая система дренирования из технологического оборудования;
на блоке предусмотрены отбортовки для колонн и емкостей
для исключения ожогов обслуживающего персонала все трубопроводы и оборудование в местах обслуживания изолируются
все этажерки и отдельно стоящие постаменты оборудованы лестницами и площадками для обслуживания в соответствие с действующими нормативными документами
в местах, где используется щелочь, предусмотрены душевые кабины и раковины самопомощи
постоянное пребывание обслуживающего персонала на территории блока не предусматривается.
12 Расчет защитног заземления насосной №2
12.1 Защитное заземление
Защитное заземление - преднамеренное электрическое соединение с землей или ее эквивалентом металлических нетоковедущих частей, которые могут оказаться под напряжением. Назначение защитного заземления - устранение опасности поражения током в случае прикосновения к корпусу электроустановки и другим нетоковедущим металлическим частям, оказавшимся под напряжением вследствие замыкания на корпус и по другим причинам.
Предполагается сооружение заземлителя с внешней стороны здания с расположением вертикальных электродов по периметру. В качестве вертикальных заземлителей принимаются стальные стержни диаметром 16мм и длиной 2,5м, которые погружаются в грунт методом ввертывания. Верхние концы электродов располагаются на глубине 0,7м от поверхности земли. К ним приваривают горизонтальные электроды стержневого типа из той же стали, что вертикальные электроды. Прилегающая КТП включается в общий контур заземления. Внутренняя сеть заземления выполняется горизонтальной полосой 40х4 мм.
Для стороны 10 кВ в соответствии с ПУЭ сопротивление заземляющего устройства определяется по формуле:
R3, (11.1)
где : I- расчетный ток замыкания на землю, (А).
R3=4,9Ом.
Сопротивление заземляющего устройства для электроустановок напряжением до 1 кВ не должно быть больше 4Ом [9], поэтому за расчетное сопротивление принимаю R3=4Ом. Сопротивление искусственного заземлителя, при отсутствии естественных принимается равным допустимому сопротивлению заземляющего устройства Ru = R3 =4 Ом.
Определим расчетное удельное сопротивление грунта с учетом повышающих коэффициентов, учитывающих высыхание грунта летом и промерзание его зимой:
, (11.2)
где: - удельное сопротивление грунта (суглинок – от 40 до 150Ом∙м);
kc- коэффициент сезонного изменения (для II климатической зоны принимается kc=1,45 [16]).
=290 Ом∙м.
Определяем сопротивление одного вертикального заземлителя [16].
R0= ∙ (Ом) , (11.3)
где: I – длина вертикального заземлителя, (от 3 до 5м); d - диаметр вертикального заземлителя, (0,015м); t - расстояние от поверхности земли до середины вертикального заземлителя, (0,7+L/2,м).
R0= ∙ =31,78 Ом.
Ориентировочное число вертикальных заземлителей (влияние горизонтальных заземлителей не учитывается, полагая что их проводимость будет идти в запас надежности):
N'= (11.4)
N'= = 7,9шт.
Потребное число вертикальных заземлителей с учетом их взаимного экранирования (при коэффициенте использования =от 0,78 до 0,82, принятым из табл.7.5 [16] при N=40 и , где р=280 м - периметр контура расположения электродов):
N= (11.5)
N==9,94 шт.
Окончательно принимается к установке 10 вертикальных электродов, расположенные по контуру цеха.
12.2 Молниезащита насосной №2
Все здания и сооружения подразделяются на три категории:
I — производственные здания и сооружения со взрывоопасными помещениями классов B-I и В-П по ПУЭ; здания электростанций и подстанций;
II — другие здания и сооружения со взрывоопасными помещениями, не относимые к I категории;
III — все остальные здания и сооружения, в том числе и пожароопасные помещения.
Проектируемая насосная №2 относится к I категории.
Молниезащита зданий и сооружений I категории выполняется:
а) от прямых ударов молний отдельно стоящими стержневыми и тросовыми молниеотводами, обеспечивающими требуемую зону защиты
б) от электростатической индукции — заземлением всех металлических корпусов, оборудования и аппаратов, установленных в защищаемых зданиях через специальные заземлители с сопротивлением растеканию тока не более 10Ом;
в) от электромагнитной индукции — для протяженных металлических предметов (трубопроводов, оболочек кабелей, каркасов сооружений). В местах сближения с источником индукции и через 20 м длины на параллельных трассах кабелей и трубопроводов ставят металлические перемычки, позволяющие избежать появления разомкнутых металлических контуров.
Рисунок 11.1 Зона защиты одиночного стержневого молниеотвода
Молниезащита зданий и сооружений II категории от прямых ударов молнии выполняется одним из следующих способов: а) отдельно стоящими или установленными на зданиях неизолированными стержневыми или тросовыми молниеотводами, обеспечивающими защитную зону; б) молниеприемной заземленной сеткой размером 6 х 6 м, накладываемой на неметаллическую кровлю; в) заземлением металлической кровли. Защита от электростатической и электромагнитной индукций выполняется аналогично защите сооружений I категории.
Молниезащита зданий III категории выполняется, как и для II категории, но при этом молниеприемная сетка имеет размер ячеек 12 х 12 или 6 х 24 м, а величина сопротивления заземлителя от прямых ударов молнии повышается до 20 Ом. В соответствии с вышеуказанными требованиями защита зданий и сооружений на объектах электроснабжения выполняется следующим образом. При расчете молниеотводов учитывается необходимость получения определенной зоны защиты, которая представляет собой пространство, защищаемое от прямых ударов молний (рисунок 11.1).
Для одиночного стержневого молниеотвода при высоте молниеотвода до 60 м, радиус защиты
rx=1,6h(h-hx)/(h + hx), (11.6)
где h - hx = ha — разность высот молниеотвода и защищаемого объекта, или активная высота; h — высота молниеотвода; hх —высота защищаемого объекта. Из (11.6) следует, что наибольший радиус защиты получается на поверхности земли, где rx = 1,5h, при угле защиты α = 40°.
Высота цеха – 12м, отсюда, если взять высоту молниеотвода h=60м,то
м
при длине цеха – 191м, и ширине цеха – 118м, необходимо установить 4 мониеотвода высотой 60м. (графическая часть)
13 РАСЧЕТ ЭЛЕКТРООСВЕЩЕНИЯ
13.1 Выбор системы освещения и освещенности цеха
Основными электроприемниками цеха являются насосы .
Работа с насосами относятся к работам малой точности, для общего освещения принимаем газоразрядные лампы.
Минимальная освещенность при комбинированном освещении составляет для разряда зрительных работ Vв 300лк. При этом освещенность от общего освещения в системе комбинированного – 200лк.
Также в цехе предусмотрена система аварийного освещения. Наименьшая освещенность рабочих поверхностей производственных помещений к территории предприятий, требующих обслуживания при аварийном режиме, должна составлять 5% от освещенности рабочего освещения при системе общего освещении.
Для создания равномерного распределения освещенности по всей площади цеха принимаем равномерное размещение светильников. Светильники располагаются рядами параллельно продольной оси цеха с разрывами для подвески светильников аварийного освещения.
13.2 Выбор типа и мощности источника света
Исходные данные:
длина цеха – 66м,
ширина цеха – 30м,
высота цеха – 12м,
напряжение питания системы освещения – 220В,
коэффициент отражения рn = 0,5; рс = 0,3; р пола = 0,1
минимальная освещенность – Ераб. = 200лк, Еав = 10лк
Для рабочего освещения цеха использую светильники с металлогалогеновой лампой ДРЛ-250
Высота подвеса светильников:
Нр = hу – hст =12– 1,2 = 10,8м,
где hу – высота цеха;
hст - от потолка до светильника 1,2м
Количество светильников в цехе:
где Sр – расчетная площадь цеха
Еср – средняя освещенность;
Kз – коэффициент запаса, Kз = 1,5
Kи – коэффициент использования светового потока, Kи = f(р,).
Фл - световой поток лампы Фл = 18000лм
Индекс помещения:
Kи = 1,08 (при рn = 0,5, рс = 0,3, рр = 0,1)
Количество светильников в цехе n = 30шт., что немного меньше расчетной величины, поэтому рассчитаем среднюю фактическую освещенность:
Общая установленная мощность рабочего освещения:
Робщ = n ∙ Рл = 30 · 250 = 7500Вт,
где Рл - мощность одной лампы.
Повторим расчет светового потока для аварийного освещения. Аварийное освещение выполнено светильниками В3Г с лампой накаливания 200Вт
коэффициент использования Kи = 0,84
коэффициент запаса Kз = 1,5
минимальная освещенность Еав = 10лк
световой поток лампы Фл = 4000лм
Количество светильников аварийного освещения:
Количество светильников аварийного освещенния в цехе принимаем 8 шт., что несколько больше расчетной величины, поэтому расчитываем фактическую аварийную освещенность цеха:
Общая установленная мощность аварийного освещения:
Робщ. ав. = n · Рл = 8 · 200 = 1600 Вт
13.3 Выбор кабелей, питающих щиты освещения
Условие выбора сечения электрических кабелей имеет вид:
Iр < Iд.д.,
Где: Iр - расчетный ток;
Iд.д. - допустимая длительная токовая нагрузка на кабель. Так как ремонтно-механический цех относится к помещениям с нормальной средой, то
Iд.д.=Iн.д. ,
где: Iд.д. - длительно допустимый ток для кабелей при нормальных условиях прокладки, который приводится в таблицах ПУЭ.
Выбираем кабель, питающий щиток рабочего освещения основного помещения механического цеха. Расчетная нагрузка внутреннего освещения здания Рр определяется по установленной мощности освещения Ру и коэффициенту спроса Кс:
Установленная мощность Ру определяется суммированием мощности ламп всех стационарных светильников, при этом для учета потерь в пускорегулирующих аппаратах разрядных ламп ДРЛ умножаем на 1,1:
,
где: N -количество ламп,
Рл - номинальная мощность лампы.
Вт
Кс=0,9
Вт
ВАР,
где: для ламп ДРЛ
Определяем полную мощность рабочего освещения:
ВА
Определяем расчетный ток для выбора кабеля:
,
где: Uном=380В - номинальное напряжение сети;
cos=0.57 - для ламп ДРЛ
А.
Выбираем кабель марки ВВГ 3х2,5 с Iн.д.=32А [14].
Выбор кабеля, питающего щит аварийного освещения насосной
Определяем расчетную нагрузку РР:
Кс=0,9
Вт.
Определяем расчетный ток для выбора кабеля IР:
А
где: cos=1 (для ЛН)
Принимаем кабель ВВГ 3х2,5, с Iн.д.= 32 А.
Таблица 13.1 – Выбор кабелей для щитков освещения
помещение
Рр
Qр
Sр
Iр
марка кабеля
Iн.д. кабеля
1
2
3
4
5
6
7
основное (рабочее)
7837,5
11286
13740,5
20,9
ВВГ(3х2,5мм2)
32
(аварийное)
1330
-
-
2,02
ВВГ(3х2,5мм2)
32
всего:
9167,5
11286
13740
-
-
-
13.4 Выбор схемы питания осветительной установки
Питание электрического освещения производится от общих для
осветительных и силовых нагрузок трансформаторов с низшим напряжением 400/230В (напряжение сети 380/220В).
Для питания ламп применяем кабели ВВГ.
Для распределения электроэнергии для рабочего и аварийного освещения, а также от защиты сетей от токов короткого замыкания применяем распределительный пункт ВЩО с автоматическими выключателями типа АЕ.
Осветительная сеть цеха предусматривает наличие двух групповых щитков, к котором групповыми линиями присоединяются светильники. В случае прекращения действия освещения предусмотрено аварийное освещение, обеспечивающее возможность продолжения работы и безопасную эвакуацию людей из цеха.
Управление рабочим освещением осуществляется автоматическими выключателями, установленными на групповом щитке. Для удобства эксплуатации и безопасности производства ремонтных работ и замены отдельных элементов схемы электроосвещения необходимо предусмотреть возможность отключения группового щитка. Эту функцию выполняет выключатель, установленный у ввода в здание.
Рисунок 13.1 Схема питания осветительной установки
13.5 Выбор типа и расположения группового щитка компоновка сети и ее выполнение
Питание электрического освещения производится от общих для силовых и осветительных нагрузок трансформаторов с низким напряжением 400/230В (напряжение сети 380/220В)
Для питания ламп применяют кабели проложенные на тросах. В качестве осветительных щитков применяем распределительные пункты серии ПР с автоматическими выключателями. Шкафы серии ПР предназначены для распределения электрической энергии, для защиты электрических установок напряжением до 660В переменного тока частоты 50Гц. при перегрузках и коротких замыканиях для нечастых включений и отключений электрических цепей, а также для защиты людей и животных от поражения электрическим током и предотвращения пожаров от электрического тока.
Выбираем щитки освещения и ЩОС для рабочего освещения основного помещения:
Светильники рабочего освещения расположены в 3 рядов по 10 светильников в ряду.
Таким образом, все фазы загружены одинаково.
Определяем расчетную мощность фазы в одном ряду:
,
где Ру=2500 Вт – мощность 10 ламп;
Кс=1,1 – коэффициент использования.
Вт.
Определяем расчетный ток для одной фазы:
где Uном=220 – номинальное напряжение сети;
cos=0,57 – для ламп ДРЛ .
А.
Нагрузка по фазам в одном кабеле составляет 22А.
Для рабочего освещения выбираем три кабеля ВВГ-3x2,5, с Iном=32А
Для распределения электроэнергии и защиты сетей от токов короткого замыкания применяем 2 распределительных шкафа ПР-8503 с автоматическими выключателями.
IНОМ=до 100А ,
Однополюсные фидерные выключатели – АЕ2043 , IНОМ..=25А,
В качестве вводного выключателя выбираем АЕ2050, IНОМ..=100А.
Групповые щитки, располагаемые на стыке питающих и групповых линий, предназначены для установки аппаратов защиты и управления электрическими осветительными сетями.
Выбираем щитки освещения и ЩОС для аварийного освещения основного помещения:
Светильники аварийного освещения расположены в 2 рядов по 4 светильников. Светильники распределены равномерно по фазам
Определяем расчетную мощность:
,
где Ру = 800Вт – мощность 4 ламп;
Кс=1,1 – коэффициент использования [1].
Вт
Определяем расчетный ток для одной фазы:
,
где Uном=220 – номинальное напряжение сети;
cos=0,57 – для ЛН .
Для аварийного освещения выбираем 2 кабеля ВВГ 3x2,5, с Iном=10А
Для распределения электроэнергии и защиты сетей от токов короткого замыкания применяем групповой распределительный шкаф ПР8503 с IНОМ=до 100А,
Однополюсные фидерные выключатели – АЕ2043, IНОМ..=10А,
В качестве вводного выключателя выбираем АЕ2050, IНОМ..=63А.
Выбранное оборудование сводим в таблицу 13.1:
Таблица 13.2 – Осветительные кабели и групповые щиты
Помещение (вид освещения)
Распределительный пункт
Кабели
Тип
Фидерные выключатели
Вводной выключатель
Тип
Iн.д, А
Тип
IНОМ, А
Тип
IНОМ, А
Основное (рабочее)
ВЩО
АЕ 2043
25
АЕ 2060
100
ВВГ (3х2,5мм2)
32
Основное (авар.)
ВЩО
АЕ 2043
10
АЕ 2050
63
ВВГ (3х2,5мм2)
32
План расположения светильников представлен в графической части проекта.
14 Экономическая часть
При проектировании предприятия решаются вопросы экономических затрат на сооружение электрической сети, затраты на потребление электрической энергии, организацию обслуживания подстанций питаемых данное предприятие. Величена удельных затрат характерезует энергоемкость и энерговооруженность производства. Она может быть использована в качестве критерия при сопоставлении энергетических показателей аналогичных предприятий, построенных в разное время.
Суммарный максимум нагрузки потребителей:
(14.1)
где, Суммарная мощность потребителей предприятия, МВт.
МВт.
Годовой полезный отпуск электроэнергии:
(14.2)
где, часы использования максимума нагрузки
Мвт·ч.
Потери мощности в электрической сети:
Средняя длинна кабельной линии, м
м,
Средняя мощность потребителей, кВА
кВА,
Потери электроэнергии в трансформаторе, кВт
(14.3)
где, Рхх –Потери холостого хода трансформатора, кВт
Ркз – Потери короткого замыкания трансформатора, кВт
кВт,
Потери в кабельных линиях :
(14.4)
где, удельное сопротивление Ом/км
U – номинальное напряжение, кВ
кВт,
Общие потери энергии в сети
(14.5)
кВт.
Годовые потери электроэнергии в электрической сети:
(14.6)
МВт·ч.
Годовое потребление электроэнергии:
(14.7)
где, Эсети.отп – годовой отпуск электроэнергии
МВт·ч.
Коэффициент полезного действия в режиме максимальных нагрузок:
(14.8)
.
Коэффициент полезного действия средневзвешенный за год:
(14.9)
.
Среднее значение коэффициента мощности по сети в режиме нагрузок:
(14.10)
Капитальные затраты по кабельным линиям:
l=3,7км, цена (ККЛ)=330тыс.руб.
Удельные капитальные затраты по кабельным линиям:
(14.11)
тыс.руб./км.
Капитальные затраты по подстанциям:
Таблица 14.1 - Капитальные затраты по подстанциям
Тип оборудования
Количество оборудования
Стоимость оборудования за одну ед., тыс.руб.
Общая стоимость оборудования, тыс.руб.
Трасформатор ТДН-10000/110
2
8000
16000
Трансформатор ТМЗ-1000/6
8
1000
8000
Выключатель ВВЭ-6-40/1000
3
190
570
Выключатель ВВЭ-6-25/630
10
150
1500
Выключательнагрузки ВНПу-6/400-10У3
9
50
450
Удельные капитальные затраты по подстанциям:
=+ (14.12)
где, - суммарные затраты
=16000+8000+570+1500+450=26520 тыс.руб
Капитальные затраты по электрической части в целом:
(14.13)
тыс.руб
Организация обслуживания подстанций и определение количества обслуживающего персонала. Для данной подстанции выбирается круглосуточное дежурство - смена по 8 часов, четырехбригадка. Количество оперативного персонала - 4 человека, ремонтного персонала - 20 человек. Из них 10 человек работают по 6 разряду и 14 человек - по 5 разряду.
Оплата повременная. Расчет производим по средней наработке 22 смены в месяц. Среднемесячный фонд рабочего времени 176 часов. Основная заработная плата рабочих:
по 6 разряду - 12 тыс.руб.,
по 5 разряду – 9 тыс.руб.
тыс.руб./мес
Дополнительная зарплата – премия 30 % от тарифной ставки:
тыс.руб./мес
Отчисления на социальное страхование с зарплаты:
(14.14)
тыс.руб./год
Расходы по содержанию и эксплуатации оборудования:
, (14.15)
где β - коэффициент, учитывающий затраты на ремонт и обслуживание оборудования (1,1÷1,18), - амортизационные отчисления:
(14.16)
тыс.руб./год
тыс.руб./год
тыс.руб./год
Цеховые расходы:
(14.18)
где - α - коэффициент зависящий от уровня напряжения и равно 0,15.
тыс.руб
Общие расходы на обслуживание оборудования:
(14.19)
тыс.руб./год
Покупная энергия:
(14.20)
тыс.руб./год.
Общие издержки сети:
тыс.руб/год.
где δ =1 - коэффициент учитывающий дорожные эксплуатационные расходы в районе с умеренным климатом.
Удельный вес затрат каждой калькуляционной статье:
(14.21)
Таблица 14.2 – Затраты на эксплуатацию сети
-
№
Наименование статей калькуляции
Затраты.т.р./год
1
Основная ЗП производственных рабочих
246
2
Дополнительная ЗП производственных рабочих
73,6
3
Отчисления на соц. Страхование с ЗП производственных робочих 26,7%
477,7
4
Расходы по содержанию эксплуатации оборудования
10,2
5
Цеховые расходы
1,53
Технико-экономические показатели работы проектируемой электрической сети:
Таблица 14.3 – технико экономические показатели
-
№
Наименование показателей
Единица измерения
Абсолютная величина
Энергетические показатели
1
Суммарная установленная мощность потребителей
МВт
9,2
2
Годовой отпуск полезной электроэнергии
МВт·ч
57040
3
Годовые потери электроэнергии
МВт
1440
4
Годовое потребление электроэнергии сетью
МВт
58480
5
КПД сети в режиме максимальных нагрузок
%
95
6
КПД сети средневзвешенный за год
%
97
Экономические показатели
2
Удельные капитальные затраты по кабельным линиям
тыс.руб./км
89,2
3
Удельные капитальные затраты по подстанциям
руб./год
26520
4
Численность оперативного персонала
чел.
4
5
Численность оперативно-ремонтного персонала
чел.
20
В данном разделе были произведены расчеты затрат на сооружение и эксплуатацию электрической сети, для обеспечения электроэнергией проектируемое предприятие. Были рассчитаны энергетические и экономические показатели, средневзвешенный КПД сети равен 97%.
15 Монтаж распределительных устройств и подстанций
Монтаж распредустройств и подстанций начинается с приемки от строителей по акту помещения РУ или территории подстанции под монтаж. В электропомещениях (щитовых, пультовых, подстанциях и распределительных устройствах, машинных залах, кабельных туннелях и каналах, кабельных полуэтажах) должны быть выполнены чистые полы с необходимым уклоном и гидроизоляцией и отделочные работы (штукатурные и окрасочные); установлены закладные детали и оставлены монтажные проемы; смонтированы предусмотренные проектом грузоподъемные и грузоперемещающие механизмы и устройства; подготовлены блоки труб, отверстия и проемы для прохода труб и кабелей, борозды, ниши и гнезда; выполнен подвод питания для временного освещения во всех помещениях.
В зданиях должны работать системы отопления и вентиляции, должны быть смонтированы и испытаны мостики, площадки и конструкции подвесных потолков, предусмотренные проектом для монтажа и обслуживания электроосветительных установок, расположенных на высоту; проложены снаружи и внутри зданий асбоцементные трубы и трубные блоки для прохода кабелей.
На ОРУ напряжением 35 кВ и выше строительная организация должна закончить сооружение подъездных путей, подходов и подъездов, должны быть установлены шинные и линейные порталы, сооружены фундаменты под электрооборудование, кабельные каналы с перекрытием, ограждения вокруг ОРУ, подземные коммуникации и закончена планировка территории. В конструкциях порталов и фундаментов под оборудование должны быть установлены закладные части и крепежные детали, необходимые для крепления гирлянд изоляторов и оборудования. В кабельных каналах и туннелях должны быть установлены закладные детали для крепления кабельных конструкций и воздухопроводов. Должно быть закончено сооружение водопровода и других противопожарных устройств.
Монтаж комплектных распредустройств, камер КСО и КТП начинается с приемки этого оборудования от заказчика, проверки его комплектности, наличия технической документации предприятия-изготовителя (паспорта, технического описания и инструкции по эксплуатации, электрических схем главных и вспомогательных цепей). На рабочее место КРУ, КСО и КТП устанавливают на основания, закладные части, опорные рамы, выверенные по уровню на проектной отметке; КТП можно устанавливать непосредственно на бетонном полу без крепления. Установку камер производят в соответствии со схемой заполнения, на которой указывают взаимное расположение камер и схему соединений всего РУ. Работы по монтажу ведутся в две стадии. На первой стадии монтажники контролируют правильность установки строителями закладных элементов, устанавливают конструкции для отдельно стоящих панелей и щитков, выполняют монтаж внутренней сети заземления, монтируют сеть общего освещения помещения РУ. Поверхность всех конструкций для установки камер должна быть в одной горизонтальной плоскости, стыки конструкций должны быть сварены с помощью накладок из полосовой стали для обеспечения непрерывности цепи заземления. Помещение РУ должно быть очищено от строительного мусора, высушено и приведено в состояние, при котором исключается возможность увлажнения монтируемого электрооборудования.
После приемки под монтаж строительной части помещения РУ приступают к монтажным работам второй стадии. Устанавливают камеры КРУ и КСО на рабочее место, каждую камеру КСО приваривают к закладным конструкциям по четырем углам, у камер КРУ приваривают к закладным конструкциям не менее чем в двух местах каждый из трех опорных швеллеров. После окончания монтажа первичных цепей проверяют уровень масла в бачках выключателей, проверяют работу выключателей, разъединителей, вспомогательных и блокировочных устройств. Эта проверка производится в соответствии с требованиями инструкции предприятия-изготовителя.
Одновременно с работами по первичным цепям на второй стадии монтажных работ выполняют монтаж вторичных цепей: устанавливают приборы и аппараты защиты, управления, сигнализации, измерения и учета; прокладывают в коробе провода межкамерных соединений и производят их подсоединение; прокладывают, разделывают и подключают контрольные кабели, кабели питания оперативным током и кабели освещения.
Силовые кабели прокладывают в каналах в помещениях РУ или ТП после установки камер на место. В каналах кабели раскладывают в соответствии с кабельным журналом. После монтажа концевых заделок у каждой заделки вешают маркировочную бирку с надписью в соответствии с кабельным журналом. Жилы кабелей, по которым может быть подано напряжение, подключают к РУ только после окончания всех монтажных работ и приемки РУ в эксплуатацию.
Перед сдачей в эксплуатацию восстанавливают поврежденную отделку камер, окрашивают дополнительно установленные монтажные изделия и конструкции и места сварок. На фасадах камер, а при наличии прохода позади камер и с задней стороны, выполняют четкие надписи в соответствии с проектом, где указывают наименование присоединений. У всех приводов выключателей и разъединителей делают надписи с указанием "Включено" и "Отключено". В камерах КСО рядом с приводами разъединителей завод-изготовитель выполняет надписи, поясняющие, к какому разъединителю относится данный привод. На фазах каждой секции шин РУ предусматриваются места для наложения переносного заземления. На дверях, выходящих из помещения РУ или ТП наружу или в другое помещение, с внешней стороны делают надписи с наименованием РУ или ТП и закрепляют стандартные металлические предупредительные плакаты «Высокое напряжение - опасно для жизни!»
Монтаж КТП выполняют аналогично монтажу КРУ. Сборка КТП включает: соединение выводов трансформатора с РУ; установку автоматического выключателя на вводе низкого напряжения; выполнение заземления; подсоединение отходящих линий; подсоединение кабеля к трансформатору или шкафу ввода. Распределительное устройство, состоящее из нескольких блоков, собирают поочередно.
Автоматические выключатели устанавливают в шкафы КТП после проверки их исправности и соответствия их технических данных указанным на схеме в проекте. Автоматические выключатели выдвижной конструкции вкатывают сначала вручную до упора роликов в опорные скобы, а затем с помощью рукоятки, вращаемой по часовой стрелке. Заземление выключателей выполняют специальными скользящими контактами.
После установки автоматических выключателей укрепляют ду-гогасительные камеры и проверяют ход подвижных контактов.
Максимально возможное количество указанных работ второй стадии выполняют вне зоны монтажа в период строительства помещения КТП и в период монтажных работ первой стадии.
Монтаж силовых трансформаторов. Трансформаторы доставляют на место установки полностью собранными и подготовленными к включению в работу. Только в случаях, когда не позволяет грузоподъемность транспортных средств и стесненность габаритов, трансформаторы большой мощности доставляются со снятыми радиаторами, расширителем и выхлопной трубой.
Правила предусматривают, что все трансформаторы должны допускать включение их в эксплуатацию без осмотра активных частей, при условии транспортирования и хранения трансформаторов в соответствии с требованиями ГОСТ и "Инструкции по транспортированию, хранению, монтажу и вводу в эксплуатацию без ревизии активных частей". Все операции по транспортировке и хранению силовых трансформаторов оформляются актами и протоколами: осмотра трансформатора и его демонтированных узлов после выгрузки и доставки к месту монтажа; хранения трансформатора до передачи в монтаж. Подготовительные работы к монтажу трансформаторов включают в себя разгрузку и доставку трансформатора к месту ревизии и установки и, в случае необходимости, сушку обмоток и масла. Разгрузку трансформаторов выполняют помощью кранов, а при их отсутствии - с помощью домкратов, путем выкатки на предварительно сложенную из железнодорожных шпал клетку с использованием электрической или ручной лебедки.
Ревизию трансформаторов выполняют по инструкции завода-поставщика. Трансформаторы мощностью до 1600кВА напряжением до 35кВ поступают с завода заполненными маслом с установленными на них расширителями. Трансформаторы мощностью более 1600кВА и напряжением 220кВ поступают заполненными маслом, но без расширителя. Не более чем через 6 месяцев после отправки с завода должен быть установлен расширитель и долито масло. Перед доливкой масла трансформатор испытывают на электрическую прочность, проводят химический анализ, проверяют герметичность бака и снимают электрические изоляционные характеристики трансформатора. Герметичность трансформаторов, поступивших с маслом, но без расширителя, проверяют давлением столба масла высотой 1,5м или посредством установки на баке вертикальной трубы диаметром 25-40мм с резьбой и уплотняющей гайкой и избыточным давлением осушенного воздуха 15кПа. Она будет удовлетворительной, если в течение 3ч избыточное давление не становится ниже 13кПа. Радиаторы перед навеской на бак трансформатора испытывают нагретым маслом или сухим воздухом при избыточном давлении 50кПа в течение 30мин, а затем промывают чистым трансформаторным маслом, нагретым до 50-60°С.
Маслоохладительную систему с принудительной циркуляцией масла и водяным охлаждением перед монтажом очищают от грязи и ржавчины, промывают маслом и после сборки испытывают маслом при давлении масла 500кПа в течение 30мин, при этом же давлении испытывают водой задвижки водяной системы. Маслоохладительную систему с принудительной циркуляцией масла и обдувом воздуха после очистки секций также испытывают маслом при давлении 500кПа в течение 30мин, проверяя работу вентиляторов и масляного насоса.
Специальные трансформаторы разделяются на герметизированные масляные, совтоловые и сухие. Герметизированные трансформаторы могут быть заполнены совтолом (ТНЗ) или трансформаторным маслом (ТМЗ, ТМУ). Такие трансформаторы устанавливают без ревизий, проверяют лишь наличие герметичности по показаниям установленного на трансформаторе мановакуумметра, которые сверяют с паспортными данными; кроме того отбирают пробы для испытания масла (или совтола) на пробивное напряжение.
Сухие трансформаторы до включения осматривают, проверяя надежность контактных соединений и прочих креплений. После проверки обмотки магнитопровод продувают сухим сжатым воздухом, затем измеряют сопротивление изоляции обмоток и стяжных шпилек; снижение изоляции против нормы не должно быть более 30%. При неудовлетворительной изоляции сухой трансформатор подвергают сушке горячим воздухом от воздуходувки или в вакуумном шкафу с обогревом обмотки током короткого замыкания при пониженном напряжении.
Сушка трансформатора производится в баке без масла при отсутствии вакуума с естественной или принудительной вентиляцией и под вакуумом с подсосом воздуха. Применяют следующие методы сушки: индукционными потерями, токами нулевой последовательности, инфракрасным излучением вне бака, обдувом горячим воздухом в утепленном укрытии или сушильном шкафу.
Самыми распространенными методами являются: метод обдува горячим воздухом без вакуума и метод сушки индукционными потерями в баке под вакуумом, при этом намагничивающую обмотку размещают на наружной поверхности бака. Для ускорения процесса сушки подогревают днище бака.
Сушку токами нулевой последовательности применяют для трансформаторов небольшой мощности (до 400кВА). При этом способе вторичные обмотки трансформатора подключают к сети. Поскольку обмотка высшего напряжения остается разомкнутой, должны быть приняты меры безопасности, так как на ней может появиться высокое напряжение. В результате воздействия одинаковых по значению и совпадающих по фазе магнитных потоков в меди и магнитопроводе будет выделяться теплота. Влага, испаряющаяся из изоляции, удаляется естественной вытяжкой через трубу, установленную на крышке. Данный способ отличается простотой, но не применяется при соединении вторичных обмоток в треугольник.
Меры безопасности при монтаже электрооборудования распределительных устройств станций и подстанций
Перед монтажными работами территорию ОРУ очищают от строительного мусора, кабельные каналы покрывают временными или постоянными плитами, а при открытых каналах делают переходы. Закрытые РУ освобождают от опалубки, строительных лесов и подмостей. Монтажные проемы, предусмотренные в ППР, ограждают надежными съемными перилами, которые разрешается снимать на время такелажа тяжелого оборудования, комплектных РУ, крупных блоков и т. п. с последующей установкой перил на место.
При монтаже РУ на рабочей площадке обычно перемещают электрооборудование, а также поднимают тяжелые детали на высоту, выполняют слесарные работы, при которых возможны механические травмы. Кроме того, при опробовании установленного электрооборудования под напряжением имеется опасность поражения людей электрическим током.
Подъем колонн порталов и приставок для установки на них аппаратов, гирлянд изоляторов, колонок разъединителей и других деталей электрооборудования производится с помощью механизмов. Подъем деталей оборудования или конструкций, имеющих массу более 20 кг, при монтаже их на высоте производится двумя рабочими. При массе конструкции или оборудования более 50 кг их поднимают с помощью блоков или лебедки. При подъеме и перемещении щитов, камер и блоков сборных РУ и другого оборудования применяют оттяжки, которые предотвращают возможное опрокидывание и повреждение оборудования. Опрокидывание оборудования может вызвать травмы работающих.
Рабочие места и проходы к ним на высоте 1,3 м и более и расстоянии менее 2 м от границы перепада по высоте ограждают временными защитными ограждениями. Их высота должна быть не менее 1,1 м. Ограждения содержат бортики, предотвращающие падение инструментов.
Перед установкой оборудования и аппаратуры проверяют надежность и прочность опорных конструкций и крепежных деталей. При установке различных конструкций закрытых РУ, закрепляемых в стенах, потолках и полах зданий с помощью цементного раствора поддерживающие их приспособления сохраняют до полного затвердения раствора Преждевременное удаление подпорок и растяжек может разрушить крепление, и конструкции упадут. Поднятые на высоту для монтажа различные элементы аппаратуры немедленно закрепляются на определенных местах во избежание их падения.
Во время монтажа электрооборудования, изоляторов и т. д. при подгонке болтовых отверстий необходимо пользоваться шпильками или специальными ломами; проверять овпадение отверстий руками не разрешается.
Значительный объем работ при монтаже РУ приходится на транс-форматоры. Работа по перемещению трансформатора выполняется под руководством инженерно-технического персонала, отвечающего как за перемещение, так и за технику безопасности при перемещении. Перед началом работ ответственный лично убеждается в исправности необходимых подъемных, тяговых механизмов и приспособлений, домкратов, полиспастов, тросов и т. п.
Нахождение людей на крышке трансформатора, на трейлере (кроме оператора) или на санях во время перемещения трансформатора (движения колонны) запрещается.
Если производится подъем или опускание сердечника трансформа-гора из бака или в бак, то при этом запрещается производить на трансформаторе и сердечнике какие-либо работы; необходимые работы производятся только после полного удаления сердечника от бака трансформатора и установки его на прочном основании.
При производстве работ по погрузке, разгрузке, перемещению, монтажу, сушке и прогреву трансформатора принимают меры противопожарной безопасности, так как трансформаторное масло является горючей жидкостью. При газосварочных работах принимают меры, исключающие возможность соединения масла с кислородом. При прогревах и сушках трансформатора необходимо получить разрешение пожарной инспекции на производство таких работ и организовать круг, лосуточный противопожарный пост, снабдив его противопожарным имуществом
Если проводятся работы внутри баков трансформаторов, заполненных на время транспортировки азотом, то предупреждают персонал об опасности, так как азот опасен для жизни (он вытесняет необходимый для дыхания кислород). Перед проведением работы азот удаляют. За состоянием работающих внутри бака во всех случаях устанавливают постоянное наблюдение.
Выводы первичных и вторичных обмоток силовых трансформаторов и трансформаторов напряжения после их монтажа и присоединения к шинам закорачивают и заземляют. Эта мера необходима на случай ошибочной подачи напряжения на трансформатор. Снимают переносные заземления с выводов трансформаторов только при сдаче оборудования в наладку.
Монтируемые в РУ аппараты также представляют собой источники опасностей, в основном механических травм. Это в первую очередь относится к приводам аппаратов и ножам разъединителей. Поэтому при перемещении, подъе-ме на конструкции и установке разъединителей, отделителей и короткозамыкателей их необходимо устанавливать во включенном положении, так как при таком положении ножа исключается возможность травмирования рабочих ножевыми контактами рубящего типа.
Все выключатели, электромагнитные приводы и другие аппараты, снабженные возвратными пружинами или механизмами свободного расцепления, следует перемещать с места на место в отключенном положении. Если на монтаж поступили приводы во включенном положении, то их с большой осторожностью отключают. У выключателей напряжением выше 1 кВ все подвижные части выключателя и привода необходимо застопорить, чтобы при случайном их перемещении не возникла травма.
При регулировании выключателей и разъединителей с автоматическими приводами принимают меры против непредвиденного включения или отключения приводов случайным лицом или самопроизвольно, так как при этом возможны ушибы рабочего, производящего регулировку, движущимися частями механизма выключателя. Для этого плавкие вставки предохранителей в цепях управления приводом снимают. Если при регулировании потребуется включить оперативный ток, то установка вставок предохранителей допускается только после удаления всех людей от привода выключателя и вывешивания предупреждающих плакатов.
Во время регулирования ножей и хода тяг между разъединителем и его приводом работающие должны строго согласовывать свои действия, чтобы не травмировать руки подвижными контактами аппарата. Особую осторожность следует проявлять, регулируя ножи выключателей нагрузки ВН-16. При недостаточном внимании и несогласованности действий подвижные контакты дугогасительной системы могут нанести тяжелые травмы.
Перед тем как производить дистанционное включение и отключение выключателя, необходимо снять рукоятку (рычаг) ручного управления, чтобы случайным поворотом рукоятки не вызвать работу аппарата. Нельзя находиться в баке выключателя, просовывать голову в бак или дотрагиваться руками до подвижных частей при оперировании выключателем.
Для проверки одновременного замыкания и размыкания дугогасительных контактов и момента размыкания вспомогательных контактов привода допускается применять напряжение не выше 12 В. Проверка зазоров механизма привода производится только шаблоном; проверка руками запрещается.
Большую опасность на монтажном участке может представлять наличие напряжения. Поэтому подают напряжение на вновь смонтированные электротехнические устройства только после сдачи объекта в наладку. Использовать монтируемые РУ, щиты, панели или их отдельные присоединения в качестве временных электроустановок для обслуживания строительных и монтажных работ запрещается.
ЗАКЛЮЧЕНИЕ
В дипломном проекте, темой которого является электроснабжение завода бензинов, были рассмотрены следующие вопросы: краткие сведения о проектируемом предприятии и о питающей энергосистеме, описание технологического процесса, выбор номинального напряжения, расчет электрических нагрузок предприятия, компенсация реактивной мощности с помощью конденсаторных установок, выбор мощности силовых трансформаторов ГПП и внутризаводских подстанций, выбор сечения питающей линии напряжением выше 1000 В, расчет токов короткого замыкания, с учетом величин токов короткого замыкания выбрано оборудование; расчёт освещения. Произведен выбор оптимального варианта схемы межцеховой сети.
Для обеспечения надежности и безопасности применены средства защиты и автоматики
В разделе БЖД рассмотрены:
Общие требования безопасности к производственному оборудованию. Производственная санитария и пожарная безопасность
Экономическая часть включила в себя:
расчет капитальных затрат по кабельным линиям, подстанциям;
расчет количества обслуживающего персонала;
Заработной платы;
Общих издержек сети;
Расходов по содержанию и эксплуатации оборудования
В экономической части курсового проекта произведен расчёт по определению себестоимости передачи и распределения 1 кВт.ч электроэнергии.
На основе произведенных расчетов можно сделать вывод, что выбран наиболее оптимальный и рациональный вариант электроснабжения завода бензинов.
СПИСОК ЛИТЕРАТУРЫ
1 Электротехнический справочник: В 4-х т. Т4/ под общ. ред. профессоров МЭИ В.Г.Герасимова и др. (гл. ред. А.И.Попов). – 8-е изд., испр. и доп. – М.: Издательство МЭИ 2002. – 696 с.
2 Шеховцов В.П. Расчет и проектирование схем электроснабжения. Методическое пособие для курсового проектирования. – М.: ФОРУМ: ИНФРА – М.,2003. – 214с.
3 Федоров А.А., Каменева В.В. Основы элетроснабжения промышленных предприятий: Учебник для вузов.
4 Справочник по проектированию электроснабжения/ Под ред. Ю.Г. Барыбина и др. – М.: Энергоатомиздат,1990. – 576с.
5 Неклепаев Б.Н., Крючков И.П. Электрическая часть электростанций и подстанций: Справочные материалы для курсового и дипломного проектирования: Учебное пособие для вузов. – 4-е изд., перераб. и доп. – М.: Энергоатомиздат, 1989. – 608с.: ил.
6 Чернобровов Н.В., Семенов В.А. Релейная защита энергетических систем: Учеб. пособие для техникумов. – М.: Энергоатомиздат,1998. – 800с.: ил.
7 Справочник по электроснабжению промышленных предприятий. Под общ. ред. А.А. Федоров и Г.В. Сербиновского. В 2-х кн. Кн – 1. Проектно – расчетные сведения. М., «Энергия». 1973.
8 Белоруссов Н.И. и др. Электрические кабели провода и шнуры: Справочник/ Н.И. Белоруссов, А.Е. Саакян, А.И. Яковлева; Под ред. Н.И. Белоруссова. – 5 изд., прераб. и доп. – М.: Энергоатомиздат,1987. – 536с.;ил.
9 Правила устройства электроустановок/ Минэнерго СССР. – 6-е изд., перраб. и доп. – М.: Энергоатомиздат.
10 Электротехнический справочник: В 4-х т. Т1 Общие вопросы. Электротехнические материалы/ под общ. ред. профессоров МЭИ В.Г.Герасимова и др. – 9-е изд., стер.– М.: Издательство МЭИ 2003. –440 с. ил.
11 Электротехнический справочник: В 4-х т. Т2 Электротехнические изделия и устройства/ под общ. ред. профессоров МЭИ В.Г.Герасимова и др. (гл. ред. И.Н. Орлов). – 9-е изд., стер. – М.: Издательство МЭИ 2003. – 518 с.
12 Электротехнический справочник В 4-х т. Т3 Производство, передача и распределение эл. энергии/ под общ. ред. профессоров МЭИ В.Г.Герасимова и др. (гл. ред. А.И.Попов). – 8-е изд., испр. и доп. – М.: Издательство МЭИ 2002. – 964 с.
13 Григорьев В.В., Киреева Э.А. Справочные материалы по электрооборудованию систем электроснабжения промышленных предприятий. – М.:Энергоатомиздат. 2002.
14 Пособие к курсовому и дипломному проектированию для электроэнергетических специальностей вузов: Учебное пособие для студентов электроэнергетических специальностей вузов, 2-е изд., перераб. И доп./В.М. Блок. – М.: Высш. шк., 1990. – 380с. ил.
15 Э.И. Басс, В.Г. Дорогунцев. Релейная защита электроэнергетических систем (Учебное пособие для вузов). – М. Издательство МЭИ, 2002.
16 Рожков Электрооборудование станций и подстанций М.:Энергоатомиздат. 2002.
17 Идельчик В.Н. Электротехнические системы и сети: Учебник для вузов. – М.: Энергоатомиздат, 1989. – 592с.: ил.
18 Правила технической эксплуатации электроустановок потребителей. Госэнергонадзор Минэнерго России – СПб: ООО Альтернативная полиграфия. 2003. – 312с.
Нравится материал? Поддержи автора!
Ещё документы из категории физика:
Чтобы скачать документ, порекомендуйте, пожалуйста, его своим друзьям в любой соц. сети.
После чего кнопка «СКАЧАТЬ» станет доступной!
Кнопочки находятся чуть ниже. Спасибо!
Кнопки:
Скачать документ