Фізика напівпровідників














































































































































































































































































































































































































































































































































































































































































































































































































































































































































































































































































































































Міністерство освіти і науки України
Український державний університет водного господарства і природокористування
Кафедра фізики
073–90
В.О.Дубчак, М.О.Ковалець,
В.Ф.Орленко, Є.С.Никонюк
З А Г А Л Ь Н А Ф І З И К А
Частина 2. Магнетизм, електромагнітні коливання і хвилі. Оптика, теорія відносності. Елемен- ти атомної фізики, квантової механіки і фізики твердого тіла. Фізика ядра та еле- ментарних часток.
За редакцією В.О.Дубчака
Рекомендовано
методичною комісією по спеціальності “Гідромеліорація” як конспект лекцій для студентів інженерно-технічних спеціаль-
ностей, заочна форма навчання
Протокол № від 2002р.
Рівне – 2002
В.О.Дубчак, М.О.Ковалець, В.Ф.Орленко, Є.С.Никонюк. Загальна фізика. За редакцією
В.О.Дубчака. Ч. 2. Магнетизм, електромагнітні коливання і хвилі. Оптика, теорія відносності. Елементи атомної фізики, квантової механіки і фізики твердого тіла. Фізика ядра та елементарних часток: конспект лекцій,–Рівне: УДУВГП, 2002.–94с.
Укладачі: В.О.Дубчак, кандидат фізико-математичних
наук, доцент;
М.О.Ковалець, кандидат фізико-математич- них наук, доцент;
В.Ф.Орленко, кандидат фізико-математичних
наук, доцент;
Є.С.Никонюк, кандидат фізико-математичних наук, професор
Комп’ютерний набір: В.Д.Віюк
Відповідальний за випуск: В.Ф.Орленко, зав. кафедри фізики, доцент, кандидат фізико-математичних наук
Рецензенти: М.В.Бялик, доцент кафедри фізики, кандидат
фізико математичних наук;
М.В.Яцков, зав. кафедри хімії, професор, кан-
дидат хімічних наук
ЗМІСТ
Передмова
Розділ ІV. Магнетизм. Електромагнітні коливання і хвилі
§ 4.1. Магнітне поле і його характеристики. Дія магнітного поля на контур зі струмом. Магнітний момент контура. Принцип суперпозиції
§ 4.2. Закон Біо-Савара-Лапласа для елемента струму. Магнітне поле прямолінійного та колового струмів
§ 4.3. Теорема про циркуляцію вектора . Поле соленоїда
§4.4.Дія магнітного поля на струм, закон Ампера. Сила Лоренца
§4.5. Магнітна взаємодія струмів
§ 4.6. Магнітний потік
§ 4.7. Робота переміщення провідника та контура зі струмом у магнітному полі
§ 4.8. Явище електромагнітної індукції. Закон Фарадея, правило Ленца. Явище самоіндукції, індуктивність контура (соленоїда). Взаємоіндукція
§ 4.9. Енергія магнітного поля. Густина енергії магнітного поля
§ 4.10. Магнітне поле в речовині
§ 4.11. Вільні електромагнітні коливання
§ 4.12. Згасаючі електромагнітні коливання
§ 4.13. Вимушені електромагнітні коливання
§ 4.14. Електромагнітні хвилі
Розділ V. Оптика. Теорія відносності
§ 5.1. Закони відбивання і заломлення світла. Явище повного внутрішнього відбивання
§ 5.2. Тонкі лінзи
§ 5.3. Інтерференція світла
§ 5.4. Дифракція світла
1. Принцип Гюйгенса-Френеля. Метод зон Френеля
2. Дифракція Фраунгофера
3. Дифракція рентгенівських променів
§ 5.5. Поляризація світла
Типи поляризації. Поляризація при відбиванні
2. Поляризація при подвійному променезаломленні. Поляроїди і поляризаційні призми
3. Інтерференція поляризованих променів. Штучна оптична анізотропія
4. Обертання площини поляризації
§ 5.6. Квантова природа випромінювання. Теплове випромінюван- ня
§ 5.7. Фотоефект
§ 5.8. Тиск світла
§ 5.9. Ефект Комптона
§ 5.10. Гальмівне рентгенівське випромінювання
§ 5.11. Елементи теорії відносності (релятивістська механіка)
Розділ VI. Елементи атомної фізики, квантової механіки і фізики твердого тіла
§6.1.Ядерна модель атома. Воднеподібний атом Бора. Спект-ральні серії
§ 6.2. Корпускулярно-хвильовий дуалізм матерії; гіпотеза де Бройля. Співвідношення невизначеностей Гайзенберга
§ 6.3. Хвильова функція та її зміст. Рівняння Шрьодінгера
§6.4. Частинка в одновимірній прямокутній потенціальній ямі (ящику). Проходження частинки через потенціальний бар’єр
§ 6.5. Квантовий лінійний гармонічний осцилятор
§ 6.6. Воднеподібні атоми в квантовій механіці. Квантові числа електрона в атомі
§ 6.7. Власний момент (спін) електрона. Принцип Паулі. Забудова складних атомів. Характеристичне рентгенівське випромінювання
§ 6.8. Теплові коливання кристалічної гратки і теплоємність твердих тіл
§ 6.9. Елементи зонної теорії твердих тіл
§ 6.10. Розподіл і концентрація носіїв в зонах
§6.11.Електричні властивості металів і напівпровідників
Розділ VІІ. Фізика ядра та елементарних часток
§7.1. Склад і характеристики ядра
§7.2. Дефект маси та енергія зв’язку ядра. Ядерні сили. Моделі ядра
§7.3. Радіоактивність
§7.4. Ядерні реакції
§7.5. Елементарні частинки та фундаментальні взаємодії
Передмова
Друга частина конспекту лекцій з курсу загальної фізики для інженерно-технічних спеціальностей містить короткий виклад розділів: магнетизм (з елементами електромагнітних коливань і хвиль) (доц. Ковалець М.О.); оптика (з елементами теорії відносностей) (доц. Орленко В.Ф.); квантова механіка, фізика твердого тіла (доц. Никонюк Є.С.); фізика ядра та елементарних часток (доц. Дубчак В.О.). Виклад розрахований на 5–7 оглядових лекцій для студентів-заочників по другій частині курсу загальної фізики і виконання ними з цієї частини курсу двох контрольних робіт. Він побудований у відповідності з робочою програмою цієї частини курсу, дотриманням вимог загальноприйнятих найменувань і позначення фізичних величин та одиниць їх вимірювання у системі SI; нумерація формул і малюнків проведена в межах кожного розділу.
Розділ IV. Магнетизм. Електромагнітні коливання і хвилі.
§ 4.1. Магнітне поле і його характеристики. Дія магнітного поля на контур зі струмом. Магнітний момент контура. Принцип суперпозиції
Більше як 2000 років тому була відкрита властивість магнітної стрілки орієнтуватись вздовж земного меридіана. Кінець стрілки, повернутий на північ, дістав назву північного магнітного полюса, а протилежний – південного. Було також відкрито взаємодію полюсів – притягання різнойменних та відштовхування однойменних.
У 1820 році Ерстед відкрив явище відхилення магнітної стрілки електричним струмом, а Ампер – взаємодію паралельних струмів і висунув гіпотезу про те, що магнітні поля створюються струмами, тобто рухомими електричними зарядами. В магнетизмі всі струми поділяються на макроструми, що зумовлені напрямленим рухом вільних носіїв (електронів, дірок, іонів), і мікроструми, що зумовлені рухом електронів в атомах і молекулах; саме мікроструми створюють магнітні поля постійних магнітів. Отже, магнітне поле – особливий вид матерії, що створюється рухомими електричними зарядами (струмами) і діє на рухомі заряди, провідники зі струмом та постійні магніти.
Досліди показують, що магнітне поле певним чином орієнтує вміщений в нього контур зі струмом, тобто на контур з боку магнітного поля діє момент сили. Цей момент дорівнює нулю в рівноважному положенні контура, а в деякому положенні він – максимальний.
Пробний контур характеризується магнітним моментом
, (4.1)
де І – сила струму в контурі, S – його площа, – одиничний вектор нормалі до площини контура, напрямок якого визначається за правилом свердлика.
Відношення максимального обертового моменту до магнітного моменту контура характеризує магнітне поле в даному місці простору і називається магнітною індукцією:
. (4.2)
Напрямок визначається за напрямком магнітного моменту контура з струмом, який перебуває в рівноважному положенні.
В міжнародній системі СІ магнітна індукція вимірюється в Теслах: .
Відмітимо, що у випадку довільної орієнтації контура відносно поля (мал.4.1), на нього діє обертовий момент
(4.3)
де – кут між та . У векторній формі
(4.4)
Для магнітних полів справедливий принцип суперпозиції: індукція магнітного поля, створеного в певній точці простору кількома струмами, дорівнює векторній сумі індукцій полів, створених в цій точці кожним струмом зокрема,
(4.5)
Як вже відмічалось, в будь-якому середовищі існують мікроструми, зумовлені рухом електронів в атомах (мал.4.2). При відсутності зовнішнього магнітного поля магнітні моменти мікрострумів, завдяки тепловому руху атомів, орієнтовані хаотично і їх магнітні поля в середньому скомпенсовані. В зовнішньому магнітному полі магнітні моменти атомів орієнтуються вздовж ліній поля; сумарне поле мікрострумів стає відмінним від нуля і додається до поля макроструму. Тому результуюче магнітне поле в середовищі буде відрізнятись від поля макроструму:
, (4.6)
де – магнітна проникність середовища (магнетика),яка показує, у скільки разів магнітне поле в середовищі відрізняється від поля макроструму у вакуумі, тобто . Для вакууму .
Історично склалось так, що поле макрострумів характеризується іншою характеристокою – напруженістю магнітного поля (). В системі СІ індукція та напруженість магнітного поля мають різні одиниці вимірювання: ; між цими двома характеристиками магнітного поля існує зв’язок
, (4.7)
де – магнітна стала.
Для графічного зображення магнітного поля використовують лінії магнітної індукції, які проводяться так, щоб дотична до них в кожній точці співпадала з напрямком в цій точці. Лінії магнітної індукції проводяться з такою густиною, щоб число ліній, які перетинають нормальну до них площадку одиничної площі чисельно дорівнювало в даному місці простору. Лінії магнітної індукції не мають ні початку, ні кінця, вони або замикаються навколо провідників зі струмом, або ідуть з нескінченності в нескінченність. Їх напрямок встановлюється згідно з правилом свердлика (див.мал.4.3, 4.4).
Магнітне поле прямолінійного Магнітне поле довгого соленоїда нескінченно довгого провідника зі зі струмом.
Магнітне поле називається однорідним, якщо у всіх його точках . Лінії індукції однорідного поля – паралельні прямі, проведені з однаковою густиною. Однорідним є поле всередині нескінченно довгого соленоїда (мал.4.4).
§ 4.2. Закон Біо-Савара-Лапласа для елемента струму. Магнітне поле прямолінійного та колового струмів
Закон Біо-Савара-Лапласа встановлює індукцію магнітного поля, створеного елементом струму в певній точці простору:
(4.8)
або, у скалярній формі,
(4.9)
де – радіус-вектор, проведений від елемента струму до даної точки; – кут між елементом струму і радіусом-вектором . Напрямок визначається за правилом свердлика (мал.4.5).
Індукцію поля, створеного в даній точці простору всім провідником, знаходимо за принципом суперпозиції:
(4.10)
Закон Біо-Савара-Лапласа та принцип суперпозиції дозволяють отримати вирази для магнітних полів, створених провідниками різних конфігурацій. Зокрема:
а) магнітне поле скінченного прямолінійного струму в точці простору на відстані R від провідника (мал.4.6)
, (4.11)
б) магнітне поле нескінченно довгого струму в точці простору на відстані R від провідника (мал. 4.7)
, (4.12)
в) магнітне поле в центрі колового струму (мал.4.8)
. (4.13)
§ 4.3. Теорема про циркуляцію вектора . Поле соленоїда
Циркуляцією вектора по деякому замкненому контуру l називається інтеграл виду
(4.14)
де – проекція вектора на напрямок дотичної до елемента контура dl. Ця фізична величина описується однойменною теоремою:
циркуляція вектора напруженості магнітного поля по довільному замкненому контуру дорівнює алгебраїчній сумі всіх струмів, охоплених цим контуром,
. (4.15)
За допомогою цієї теореми можна розрахувати напруженість магнітного поля всередині довгого соленоїда (мал.4.4):
, (4.16)
де – число витків на одиниці довжини соленоїда.
Індукція магнітного поля всередині соленоїда
, (4.17)
де – магнітна проникність осердя.
§ 4.4. Дія магнітного поля на струм, закон Ампера. Сила Лоренца
Нехай у магнітному полі з індукцією знаходиться лінійний елемент струму . На цей елемент з боку поля діє сила, величина і напрямок якої визначаються законом Ампера:
(4.18)
або, в скалярній формі,
, (4.19)
де – кут між напрямком струму в провіднику і напрямком магнітного поля. Сила, що діє на провідник зі струмом скінченної довжини, знаходиться з (4.18) або (4.19) інтегруванням по всій довжині провідника:
, (4.20)
або
. (4.21)
Зокрема, для прямолінійного провідника в однорідному магнітному полі
(4.22)
Напрямок сили Ампера можна знаходити за правилом лівої руки (мал. 4.9).
На електричний заряд, що рухається в магнітному полі, діє сила, перпендикулярна як до швидкості заряду, так і до ліній магнітної індукції; вона називається силою Лоренца і визначається за формулою
(4.23)
або, в скалярній формі,
, (4.24)
де – кут між швидкістю заряду і напрямком .
Для позитивного заряду напрямок сили Лоренца визначається за правилом лівої руки (мал.4.10). Якщо заряд негативний, напрямок сили Лоренца буде протилежним. Відмітимо окремо, що на нерухомий заряд магнітне поле не діє. В цьому – його принципова відмінність від електричного поля.
§ 4.5. Магнітна взаємодія струмів
Як відмічалось у § 4.4, на провідник зі струмом, вміщений в магнітне поле, діє сила Ампера. Зокрема, така сила буде діяти на провідник зі струмом з боку магнітного поля іншого струму. На мал.4.11 зображені два паралельних нескінченно довгих провідники зі струмами. На струм діє сила Ампера з боку магнітного поля, створеного струмом
. (4.25)
(– індукція поля першого струму на віддалі R від нього). Аналогічно, на перший струм з боку магнітного поля другого струму діє сила
. (4.26)
Напрямки сил і знайдені за правилом лівої руки і вказані на мал.4.11. Порівнюючи (4.25) та (4.26), а також врахувавши напрямки та , можна записати , що узгоджується з третім законом Ньютона.
Якщо струми в провідниках будуть напрямлені антипаралельно, то напрямки сил взаємодії зміняться і провідники будуть відштовхуватись один від одного.
Отже, сила взаємодії двох паралельних провідників зі струмами
. (4.27)
Основна одиниця сили струму в системі СІ – Ампер –вводиться на основі (4.27). Один ампер – це сила такого постійного струму, який при проходженні по двох паралельних прямолінійних провідниках нескінченної довжини і малого поперечного перерізу, розміщених на відстані 1метр один від одного у вакуумі, викликає між ними магнітну взаємодію силою ньютон на кожен метр довжини.
§ 4.6. Магнітний потік
Магнітним потоком через деяку площадку dS називається скалярна фізична величина, що дорівнює
, (4.28)
де – проекція на напрямок нормалі до площадки; – кут між векторами та (мал. 4.12).
Якщо врахувати правила побудови ліній магнітної індукції (див. § 4.1), то стає очевидним фізичний зміст магнітного потоку: він чисельно дорівнює кількості ліній магнітної індукції, що перетинають дану площадку. Магнітний потік через довільну поверхню
(4.29)
В системі СІ магнітний потік вимірюється у веберах: .
§ 4.7. Робота переміщення провідника та контура зі струмом у магнітному полі
Нехай у магнітному полі індукцією під дією сили Ампера переміщується провідник зі струмом (мал.4.13). Робота сили Ампера при нескінченно малому переміщенні
, (4.30)
оскільки – площа, яку перетнув провідник, а – магнітний потік, який перетнув провідник. Повна робота
– (4.31)
дорівнює добутку сили струму на скінченний магнітний потік, який перетнув провідник.
Нехай тепер у магнітному полі переміщується контур зі струмом з положення 1234 у положення , як показано на мал.4.14.
Роботу переміщення контура зі струмом можна розглядати як суму робіт переміщення його сторін: .
Очевидно, , оскільки сили Ампера, що діють на ці сторони, напрямлені перпендикулярно до їх переміщення; отже не виконують роботи.
(сила Ампера напрям-лена протилежно до переміщення); (сила Ампера направлена в бік переміщення). Отже, . З використанням формули (4.31) останній вираз запишемо у вигляді
(4.32)
тобто робота переміщення контура зі струмом у магнітному полі дорівнює добутку сили струму в контурі на зміну магнітного потоку через площу контура. Формула (4.32) лишається справедливою для контура довільної форми і довільної орієнтації відносно магнітного поля.
§ 4.8. Явище електромагнітної індукції. Закон Фарадея, правило Ленца. Явище самоіндукції, індуктивність контура (соленоїда). Взаємоіндукція.
Явищем електромагнітної індукції називається виникнення електричного струму в замкненому контурі при зміні магнітного потоку через цей контур. Це явище було відкрите Фарадеєм у 1831 році. Він установив закон, згідно якому е.р.с. індукції, що виникає в контурі, дорівнює швидкості зміни магнітного потоку через поверхню, обмежену цим контуром:
; (4.33)
це – миттєве значення е.р.с. індукції. Середнє значення е.р.с. індукції
. (4.34)
Знак “–” у законі Фарадея відповідає правилу Ленца: індукційний струм має такий напрямок, щоб своїм магнітним потоком протидіяти зміні того магнітного потоку, який викликає появу даного індукційного струму.
Якщо по провідному контуру тече струм силою І, то поверхню, обмежену цим контуром, перетинає власний магнітний потік Ф (мал.4.15), що пропорційний силі струму, , або
, (4.35)
де коефіцієнт пропорційності L залежить від розмірів і форми контура, а також – від магнітної проникності навколишнього середовища. Він називається індуктивністю контура Якщо сила струму в контурі змінюється, то в ньому виникає, згідно із законом Фарадея, е.р.с. індукції, яка в даному випадку називається е.р.с. самоіндукції. Отже, самоіндукцією називається явище виникнення е.р.с. та індукційного струму в тому самому контурі, по якому тече змінний електричний струм. Застосовуючи формули (4.33) та (4.35), для е.р.с. самоіндукції запишемо
(4.36)
Знак “–” в (4.36), у відповідності з правилом Ленца, означає, що струм самоіндукції завжди протидіє зміні струму, який викликав його появу.
В системі СІ одиницею індуктивності є Генрі. З (4.36) отримаємо:
=Гн.
Знайдемо тепер вираз для індуктивності довгого соленоїда. Магнітний потік соленоїда дорівнює сумі магнітних потоків через усі N витків соленоїда. Враховуючи, що всередині соленоїда магнітне поле однорідне й напрямлене паралельно до осі соленоїда, запишемо , де –магнітний потік через один виток, S – площа витка. Враховуючи (4.17), отримаємо , де – число витків на одиниці довжини
Соленоїда; N, тому
(4.37)
Підставивши (4.37) у (4.35), знайдемо
– (4.38)
індуктивність довгого соленоїда.
Розглянемо тепер два близько розміщених провідних контури. Нехай по одному з цих контурів тече електричний струм силою (мал.4.16).
– власний магнітний потік першого контура Частину цього магнітного потоку, який перетинає другий контур, позначимо . Очевидно, що , тобто , де – коефіцієнт взаємної індукції контурів 2 і 1. Якщо змінюється, то змінюється і , і в контурі 2 виникає е.р.с. взаємоіндукції
. (4.39)
Якщо, навпаки, змінний струм тече в контурі 2, а е.р.с. індукується в контурі 1, то отримаємо аналогічний результат: ;
, (4.40)
де – коефіцієнт взаємної індукції контурів 1 і 2. Можна довести, що , тобто можна говорити про коефіцієнт взаємної індукції двох контурів. Цей коефіцієнт залежить від розмірів та форми контурів, магнітної проникності навколиш-нього середовища та від їх взаємного розміщення. Так, для двох котушок, що мають спільне тороїдальне осердя, (мал.4.17)
, (4.41)
де l – довжина середньої лінії осердя, та – кількості витків першої та другої котушок.
§ 4.9. Енергія магнітного поля. Густина енергії магнітного поля
Провідник зі струмом завжди оточений магнітним полем, причому магнітне поле з’являється і зникає разом із виникненням та зникненням електричного струму. Оскільки магнітне поле, як і електричне, володіє енергією, то очевидно, що енергія магнітного поля дорівнює роботі, виконаній джерелом при створенні цього струму.
Розглянемо контур індуктивністю L, по якому тече струм силою І. Власний магнітний потік . При зміні сили струму на dI магнітний потік змінюється на dФ. При цьому, згідно (4.32), джерело струму виконує роботу .
Проінтегрувавши останній вираз, отримаємо .
Отже, енергія магнітного поля контура
. (4.42)
Знайдемо тепер енергію магнітного поля всередині довгого соленоїда. Підставивши (4.38) у (4.42), отримаємо
.
Враховуючи, що об’єм магнітного поля практично співпадає з об’ємом соленоїда , а напруженість магнітного поля в соленоїді , останній вираз запишемо у вигляді
. (4.43)
Введемо тепер поняття густини енергії магнітного поля як енергії одиниці об’єму поля
. (4.44)
Підставивши (4.43) у (4.44), для густини енергії магнітного поля одержимо
. (4.45)
Формула (4.45), виведена для однорідного поля всередині соленоїда, лишається справедливою для будь-якого магнітного поля.
§ 4.10. Магнітне поле в речовині
У всіх тілах, що знаходяться в магнітному полі, виникає результуючий магнітний момент. Це явище називають намагнічуванням, а відповідне тіло – магнетиком.
Магнітне поле в магнетику складається з двох частин: поля макрострумів, що течуть по провідниках, з індукцією і власного поля , створеного мікрострумами середовища. Індукція результуючого магнітного поля в магнетику .
В молекулах речовини циркулюють замкнені струми; кожен такий струм має магнітний момент; у відсутності зовнішнього магнітного поля молекулярні струми, внаслідок теплового руху молекул, орієнтовані хаотично і створене ними середнє поле дорівнює нулю. У зовнішньому полі магнітні моменти молекул орієнтуються переважно вздовж напрямку ( в деяких речовинах, так званих діамагнетиках,– проти зовнішнього поля), внаслідок чого речовина намагнічується. Кількісною характеристикою намагнічування речовини є вектор намагнічування (), рівний векторній сумі магнітних моментів усіх молекул в одиниці об’єму речовини:
. (4.46)
Вектор намагнічування пропорційний напруженості магнітного поля:
. (4.47)
Коефіцієнт пропорційності називається магнітною сприйнятливістю; це безрозмірна величина, що залежить від природи магнетика.
Величини , , , а також і зв’язані між собою:
;.
Крива залежності В (Н) називається кривою намагнічування.
Речовини, для яких , , називаються парамагнетиками (;Fe Cl).
Речовини, для яких , , називаються діамагнетиками (;Zn;He; Аr; Сr; Ne).
Речовини, для яких , називаються феромагнетиками (Fe; Со; Ni).
Феромагнетики відрізняються від парамагнетиків і діамагнетиків рядом властивостей:
а) крива намагнічування феромагнетика має складний характер (мал. 4.18), тоді як для парамагнетиків вона являє собою пряму з додатнім кутовим коефіцієнтом, а для діамагнетиків – пряму з від’ємним кутовим коефіцієнтом;
б)магнітна проникність феромагнетиків залежить від напруженості поля; у діа- і парамагнетиків – не залежить;
в) розмагнічений феромагнетик намагнічується зовнішнім магнітним полем; залежність В(Н) виражається кривою 01 (мал.4.18). При зменшенні Н до нуля В(Н) змінюється по кривій 1-2; має місце відставання зміни індукції від зміни напруженості. Це явище називається магнітним гістерезисом. Магнітна індукція, що зберігається в феромагнетику після зникнення зовнішнього поля (коли Н=0), називається залишковою магнітною індукцією (Вr). Щоб розмагнітити феромагнетик, треба зняти залишкову індукцію; для цього потрібно створити поле протилежного напрямку. Напруженість поля Нс (відрізок 03 на мал.4.18), при якій магнітна індукція дорівнює нулю, називається коерцитивною силою.
Така залежність В (Н) називається петлею гістерезису.
Властивості феромагнетиків пояснюються наявністю в них областей спонтанної намагніченості – доменів. Розташування магнітних моментів доменів у відсутності зовнішнього поля – хаотичне, тому і сумарна намагніченість дорівнює нулю. В зовнішньому полі магнітні моменти доменів повертаються вздовж поля і феромагнетик намагнічується.
§ 4.11. Вільні електромагнітні коливання
Вільні електромагнітні коливання виникають в ідеальному коливному контурі, що складається з конденсатора ємністю С та котушки індуктивністю L (мал.4.19). Конденсатор заряджається від джерела постійної напруги (ключ К в положенні 1) і в момент часу t=0 під’єднується до котушки (ключ К в положенні 2). Процес розрядки конденсатора супроводжується збільшенням сили струму в котушці; отже, з’являється е.р.с. самоіндукції. Згідно з правилом Лєнца, струм самоіндукції тече проти струму розрядки. Через чверть періода конденсатор повністю розряджений, а сила струму в котушці досягає максимуму. Далі сила струму в котушці зменшується, а струм самоіндукції, згідно з правилом Лєнца, тече в тому ж самому напрямку, що і струм розрядки, перезаряджаючи конденсатор. Далі такі процеси повторюються у зворотньому напрямку, і в момент часу t=T система повертається у вихідний стан.
Періодичні зміни заряду на пластинах конденсатора та сили струму в котушці називаються електромагнітними коливаннями. Якщо втрати енергії на нагрівання відсутні (контур ідеальний, R=0), то коливання будуть незгасаючими. Запишемо для такого контура 2-й закон Кірхгофа: , де – напруга на конденсаторі, –е.р.с. самоіндукції. Підставивши вирази для цих двох величин в 2-й закон Кірхгофа, після нескладних перетворень отримаємо
, (4.48)
де – циклічна частота вільних електромагнітних коливань (власна частота). (4.48) являє собою диференціальне рівняння вільних електромагнітних коливань; його розв’язок має вигляд
(4.49)
(кінетичне рівняння вільних електромагнітних коливань). Період вільних електромагнітних коливань
(4.50)
(формула Томсона).
Знайдемо тепер вираз для сили струму в котушці контура: , або
(4.51)
Видно, що коливання сили струму І випереджують коливання заряду q на чверть періода (мал. 4.20).
При вільних гар-монічних коливан-нях в коливному контурі відбуває-ться періодичне перетворення енер-гії електричного поля конденсатора в енер-гію магнітного поля котушки: .
Величини та змінюються від 0 до максимальних значень, рівних, відповідно, та . Коливання і Wм зміщені за фазою: в ті моменти часу, коли , і навпаки. Повна енергія електромагнітних коливань в контурі з часом не змінюється:
. (4.52)
§ 4.12. Згасаючі електромагнітні коливання
Згасання коливань в реальному коливному контурі, опір якого R, обумовлене втратою енергії на нагрівання провідників.
Запишемо для реального контура (мал.4.21) 2-й закон Кірхгофа:
(4.53)
де – напруга на конденсаторі, – напруга на опорі, – е.р.с. самоіндукції. Підставивши вирази для цих величин в (4.53), після нескладних перетворень одержимо диференціальне рівняння згасаючих електромагнітних коливань
, (4.54)
де – коефіцієнт згасання, – власна циклічна частота. Розв’язок (4.54) має вигляд
, (4.55)
що є кінематичним рівнянням згасаючих електромагнітних коливань. Частота згасаючих коливань
. (4.56)
Графік згасаючих коливань, побудований згідно (4.55), зображений на (мал.4.22).
Логарифмічний декремент згасання – це логарифм відношення двох амплітуд, розділених в часі на один період:
. (4.57)
Ця формула встановлює зв’язок між логарифмічним декрементом, коефіцієнтом згасання та періодом згасаючих коливань.
§ 4.13. Вимушені електромагнітні коливання
Для здійснення вимушених електромагнітних коливань в коливний контур потрібно включити джерело змінної напруги (мал.4.23).
Запишемо 2-й закон Кірхгофа для такого контура
, (4.58)
де – напруга на конденсаторі, – напруга на опорі, – е.р.с. самоіндукції. Підставивши вирази для цих величин в (4.58) після перетворень отримаємо
, (4.59)
тобто диференціальне рівняння вимушених електромагнітних коливань, в якому ; . Його розв’язок для коливань, що встановились, має вигляд
, (4.60)
де – (4.61)
амплітуда вимушених коливань,
– (4.62)
початкова фаза вимушених коливань.
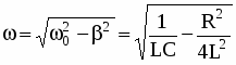
Графік вимушених коливань приведений на (мал.4.24).Як видно з (4.61), амплітуда вимушених коливань залежить від співвідношення між частотою змінної напруги і власною частотою контура .
Графік залежності q0 приведений на мал.4.25. При деякій частоті змінної напруги, яка називається резонансною, амплітуда вимушених коливань досягає максимуму (мал.4.25). Явище різкого зростання амплітуди вимушених коливань при наближенні частоти змінної напруги до резонансної називається резонансом. Можна показати, що
. (4.63)
В ідеальному контурі (R=0), як видно з (4.63), і , коли (див.4.61).
Знайдемо вираз сили струму . З урахуванням (4.60) і (4.61) після перетворень отримаємо
, (4.64)
Вираз (4.64) являє собою закон Ома для кола змінного струму, де повний опір (імпеданс) контура
, (4.65)
– індуктивний опір котушки, – ємнісний опір конденсатора, R – активний опір контура.
§ 4.14. Рівняння Максвела для електромагнітного поля. Електромагнітні хвилі
Максвел створив теорію електромагнітного поля, яка дозволила з єдиної точки зору пояснити електричні та магнітні явища. В її основі лежать 4 рівняння (рівняння Максвела в інтегральній формі):
це рівняння показує, що джерелами електричного поля можуть бути не тільки електричні заряди, але і змінні магнітні поля: в кожній точці простору, внаслідок зміни з часом індукції магнітного поля, утворюється вихрове електричне поле, напруженість якого лежить в площині, перпендикулярній .
це рівняння показує, що магнітні поля можуть створюватись як електричним струмом, так і змінним електричним полем. Змінний струм, на відміну від постійного, проходить через конденсатор; але цей струм не являється струмом провідності; він називається струмом зміщення. Струм зміщення являє собою змінне електричне поле; його густина
– теорема Гауса для електричного поля.
– теорема Гауса для магнітного поля.
Величини, що входять в рівняння Максвела зв’язані між собою співвідношеннями
, ,
( – електрична і магнітна сталі, відповідно,
– діелектрична та магнітна проникності,
– питома електропровідність).
Сукупність змінних електричного та магнітного полів, що нерозривно зв’язані одне з одним, називається електромагнітним полем.
Можна показати, що перші два рівняння Максвела можна перетворити таким чином:
(4.66)
тобто вектори напруженостей та змінного електромагнітного поля задовольняють хвильовому рівнянню Будь-яка функція, що задовольняє хвильовому рівнянню, описує деяку хвилю. Отже, з рівнянь Максвела випливає, що електромагнітне поле існує у вигляді електромагнітних хвиль. Їх основні властивості:
а) вектори напруженостей електричного і магнітного полів та в електромагнітній хвилі перпендикулярні, як один до одного, так і до напрямку поширення хвилі.
б) коливання векторів та відбуваються синфазно в часі і просторі, тобто та одночасно досягають максимуму і одночасно перетворюються на нуль (див. мал.4.26);
в) миттєві значення Е та Н зв’язані співвідношенням
; (4.67)
г) швидкість розповсюдження електромагнітної хвилі залежить від властивостей середовища
(4.68)
де – швидкість світла у вакуумі, та – електрична та магнітна проникності середовища. Оскільки , а , то , тобто швидкість розповсюдження електромагнітних хвиль у середовищах завжди менша ніж у вакуумі.
Хвильовому рівнянню (4.66) задовольняє, зокрема, плоска біжуча хвиля. Рівняння плоскої електромагнітної хвилі, що розповсюджується вздовж осі х:
, (4.69)
де і – амплітуди напруженостей електричного і магнітного полів, відповідно, – циклічна частота, х – координата, v – швидкість розповсюдження хвилі, – початкова фаза хвилі.
Електромагнітні хвилі переносять енергію. Об’ємна густина енергії електромагнітної хвилі дорівнює сумі об’ємних густин енергії електричного і магнітного полів:
.
З використанням (4.67) останнє рівняння можна привести до вигляду
, (4.70)
де – швидкість розповсюдження електромагнітних хвиль у середовищі.
Перенос енергії електромагнітною хвилею характеризується вектором Пойнтінга , модуль якого дорівнює енергії, що переноситься хвилею за одиницю часу через площадку одиничної площі, перпендикулярну до напрямку розповсюдження хвилі.
(4.71)
Електромагнітні хвилі мають широкий діапазон частот, відрізняються за способами генерації та застосуванням (див. шкалу електромагнітних хвиль).
Шкала електромагнітних хвиль
Вид
випромінювання
Довжини хвиль,
м
Частоти,
Гц
Основні способи генерації та застосування
Радіохвилі
Генератори електромагніт-них коливань різних конст-рукцій. Використовуються в телеграфії, телебаченні, раді-олокації, радіоастрономії.
Інфрачервоні
промені
Випромінювання нагрітих тіл (дугові та газорозрядні лампи). Використовуються в інфрачервоній спектроскопії, при фотографуванні в темно-ті.
Видиме світло
Лампи, лазери.
Ультрафіолетові промені
Випромінювання Сонця, ртутні лампи. Використову-ються в ультрафіолетовій мі-кроскопії, в медицині.
Рентгенівські промені
Трубки Рентгена (Пулюя). Використовуються в медич- ній діагностиці, дефектоско-
пії.
промені
Виникають при радіоактив- них розпадах ядер. Викорис- товуються в спектроско- пії.
Розділ V. Оптика. Теорія відносності.
§ 5.1. Закони відбивання і заломлення світла. Явище повного внутрішнього відбивання
В основі геометричної оптики лежать закони відбивання і заломлення світла.
Закон відбивання твердить, що відбитий промінь лежить в одній площині з падаючим променем і нормаллю, проведеною в точці падіння; при цьому кут відбивання рівний куту падіння (.
Закон заломлення: промінь падаючий, заломлений і нормаль в точці падіння лежать в одній площині. Відношення синуса кута падіння до синуса кута заломлення є величина стала для даної пари двох середовищ і рівна відносному показнику заломлення другого середовища відносно першого (мал.5.1)
(5.1)
Відносний показник заломлення – це відношення абсолютних показників заломлення середовищ і , де (с – швидкість світла у вакуумі, і – швидкості світла в першому і другому середовищах).
Отже,
(5.2)
Якщо промінь поширюється з оптично більш густого середовища в менш густе (то при деякому граничному куті падіння заломлений промінь буде ковзати по межі поділу двох середовищ, тобто При куті падіння світловий промінь повністю відбивається. В цьому полягає суть явища повного внутрішнього відбивання (мал.5.2). Очевидно, в цьому випадку
(5.3)
На явищі повного внутрішнього відбивання базується робота приладів (рефрактометрів), які дозволяють визначати показник заломлення середовища.
§ 5.2. Тонкі лінзи.
Лінза називається тонкою, якщо її товщина d мала порівняно з радіусами кривизни її поверхонь R1 і R2 (мал.5.3).
Головною оптичною віссю лінзи називають пряму, що проходить через центри кривизни її поверхонь. Можна вважати, що в такій лінзі точки перетину головної оптичної осі з обома поверхнями лінзи співпадають. Цю точку називають центром лінзи. Промені, які проходять через центр лінзи, не зазнають заломлень.
Величину
(5.4)
називають оптичною силою тонкої лінзи і – абсолютні показники заломлення для матеріалу лінзи і оточуючого середовища). Для збирної (додатньої) лінзи Ф>0, для розсівної (від’ємної) Ф<0. Точки, що лежать на головній оптичній осі лінзи по обидві сторони від оптичного центру на відстанях, f, називають головними фокусами лінзи (мал.5.4).
Для першого головного фокуса F
(5.5)
Аналогічно друга головна фоку-
сна відстань
(5.6)
Площини, які проходять через головні фокуси F і лінзи ерпендикулярно до головної оптичної осі, називаються фокальними площинами лінзи.
Найчастіше буває, що речовина по обидва боки від лінзи одна й таж (наприклад, повітря). Тоді головні фокусні відстані чисельно дорівнюють одна одній. Протилежні знаки означають, що головні фокуси лежать з різних боків від лінзи. Для збирної лінзи (оскільки Ф>0) , для розсівної лінзи (оскільки Ф<0)
Для лінз справедлива формула
, (5.7)
або у вигляді
(5.8)
де всі відрізки відраховуються від центра лінзи, а радіуси кривизни завжди напрямлені від вершини поверхні до центра сферичної поверхні. Вони вважаються додатніми, якщо напрямлені в сторону поширення світла. Кути відраховуються від напрямку головної оптичної осі і вважаються додатніми, якщо вони відраховані за стрілкою годинника. Відрізки, перпендикулярні до оптичної осі, відраховуються від оптичної осі; вони додатні вище оптичної осі і від’ємні нижче оптичної осі.
При розв’язуванні задач основне рівняння тонкої лінзи (5.7) записують у вигляді:
(5.9)
де , , знак плюс відповідає збирній лінзі, знак мінус – розсівній.
Лінійне збільшення для тонкої лінзи визначається як
. (5.10)
Для дійсних зображень Г<0, тобто вони обернені; для уявних зображень Г>0, тобто вони прямі.
Оптична сила Ф центрованої системи двох тонких лінз на відстані d одна від одної з оптичними силами Ф1 і Ф2 дорівнює
. (5.11)
§ 5.3. Інтерференція світла
Інтерференція світла – це явище накладання когерентних світлових хвиль, в результаті якого відбувається перерозподіл світлової енергії в просторі. В точках простору, куди когерентні хвилі приходять у фазі, вони підсилюють одна одну; в точках, куди вони попадають в протифазі, відбувається послаблення світла. На екрані спостерігається характерна інтерференційна картина у вигляді чергування темних і світлих смуг – максимумів і мінімумів освітленості, якщо падаюче світло моно- хроматичне.
Хвилі називаються когерентними, якщо їхня різниця фаз не залежить від часу.
У випадку максимуму інтенсивності інтерференційної картини в оптичній різниці ходу двох когерентних хвиль вкладається ціле число довжин хвиль (у вакуумі) тобто
(k=0, 1, 2, …) (5.12)
У середовищі довжина хвилі Мінімум інтерференції спостерігається, коли в оптичній різниці ходу вкладається непарне число півхвиль, тобто
∆=(2k+1) (k=0, 1, 2, …) (5.13)
Оптичною довжиною шляху променя називають добуток геометричного шляху променя на показник заломлення середовища.
Природні джерела світла не є когерентними. Це зумовлене тим, що акти випромінювань атомів відбуваються при хаотичній зміні різниці фаз. Для отримання когерентних світлових хвиль за допомогою звичайних джерел світла застосовують метод поділу світла від одного джерела (метод поділу амплітуди або фронту хвилі) на дві або декілька систем хвиль. В кожній з них представлене випромінювання одних і тих же атомів джерела, тому внаслідок однакового походження ці хвилі когерентні.
Поділ фронту хвилі відбувається при інтерференції на двох щілинах (дослід Юнга), дзеркалах Френеля, біпризмі Френеля. Поділ амплітуди світлових хвиль має місце при інтерференції на тонких плівках (плоскопаралельна пластинка, клин).
Можна показати, що відстань від центра інтерференційної картини до k–го інтерференційного максимуму
(5.14)
а мінімуму
(5.15)
де – довжина хвилі, L – відстань від екрана до джерел світла, d – відстань між джерелами. Зі співвідношень (5.14) і (5.15) видно, що відстань між інтерференційними смугами дорівнює
(5.16)
Умови максимумів і мінімумів інтерференції світла на плоскопаралельній пластинці (клину) у відбитому світлі визначаються співвідношеннями:
(k=0, 1, 2, …) (5.17)
(k=0, 1, 2, …) (5.18)
де d – товщина пластинки, – абсолютні показники заломлення середовищ, і – кут падіння променя на пластинку (мал.5.6).
У прохідному світлі умови підсилення і послаблення світла міняються місцями.
Інтерференційна картина на плоско-паралельній пластинці локалізована в нескінченності. Вона являє собою смуги рівного нахилу.
Умови (5.17) і (5.18) справедливі також для клину (клиноподібних плівок). У цьому випадку інтерференційна картина являє собою смуги рівної товщини і локалізована біля поверхні клину.
Явище інтерференції використовують в точних вимірювальних приладах – інтерферометрах, які з високою точністю дозволяють вимірювати відрізки довжин (похибка порядку м), показники заломлення (інтерференційний рефрактометр). Інтерферометри також застосовують для спектрального аналізу світла (інтерференційний спектрометр), чистоти обробки поверхні металевих виробів (інтерферометр Лінника).
Вертикальний пучок монохроматичного світла від джерела S падає під кутом на плоско-паралельну напівпрозору пластинку А. Частина світла відбивається пластиною (промінь 1), а частина–проходить крізь пластинку (промінь 2). Промінь 1 відбивається від дзеркала Д і частково проходить через пластинку А (промінь . Промінь 2 відбивається від дзеркала Д і повертається до пластинки двічі проходячи через скляну пластинку К, яка компенсує оптичну різницю ходу в обох плечах інтерферометра. Хвилі і когерентні, їх оптична різниця ходу
(5.19)
де n – абсолютний показник заломлення повітря, а і – відстані від точки О до дзеркал Д і Д Якщо то спостерігається інтерференційний максимум. Зміщення одного з дзеркал на відстань приводить до появи інтерференційного мінімуму. Таким чином, по зміні інтерференційної картини можна фіксувати малі переміщення.
§ 5.4. Дифракція світла.
1. Принцип Гюйгенса - Френеля. Метод зон Френеля
Дифракція – це явище огинання світловими хвилями перешкод і проникнення світла в область геометричної тіні. Для спостереження дифракції необхідно, щоб розміри перешкод були співмірні з довжиною хвилі світла.
Проникнення світла в область геометричної тіні пояснює принцип Гюйгенса: кожна точка фронту хвилі являється джерелом вторинної сферичної хвилі. Положення фронту хвилі в наступний момент визначається огинаючою фронтів всіх вторинних хвиль. Принцип Гюйгенса не дозволяє знайти інтенсивність дифрагованої хвилі. Цей недолік усунув Френель, який доповнив принцип Гюйгенса уявленням про інтерференцію вторинних хвиль.
Нехай S (мал.5.8) – хвильова поверхня світла, яке поширюється від деякого джерела. Кожен елемент поверхні служить джерелом вторинної хвилі. Ці хвилі –когерентні. Від кожного елемента поверхні dS в точку Р приходить коливання
(5.20)
Тут – амплітуда і фаза коливання в місці знаходження хвильової поверхні S, k – хвильове число, r – відстань від елемента dS до точки Р. Коефіцієнт залежить від орієнтації елемента dS відносно r.
Результуюче коливання в точці Р, згідно Френелю, являє суперпозицію коливань всієї хвильової поверхні S:
(5.21)
Формула (5.21) є аналітичним виразом принципу Гюйгенса-Френеля.
В ряді дифракційних задач, що мають осьову симетрію, розрахунок інтерференції вторинних хвиль спрощується за допомогою розбиття фронту хвилі на кільцеві зони Френеля. Розбиття на зони проводиться таким чином, що оптична різниця ходу від відповідних точок кожної пари сусідніх зон до точки спостереження Р дорівнює Вторинні хвилі від відповідних точок двох сусідніх зон приходять в точку Р в протифазі і послаблюють одна одну при накладанні (мал.5.9).
Нехай …, – величини результуючих амплітуд хвиль, які приходять в точку Р від кожної зони. Сумарна амплітуда в точці Р від усього фронту буде дорівнювати
. (5.22)
За рахунок збільшення кута нахилу з ростом номера зони, амплітуди хвиль монотонно зменшуються
Можна вважати, що
(5.23)
Тепер результуючу амплітуду А можна записати у вигляді
Очевидно, що вирази в дужках дорівнюють нулю, тоді
(5.24)
для парного числа зон Френеля. Результуюча амплітуда при цьому мінімальна і в точці Р буде мінімум освітленості. Якщо ж N – непарне, то
(5.25)
і в точці Р спостерігається максимум освітленості.
Для повністю відкритої хвильової поверхні і тому тобто дія всієї хвильової поверхні еквівалентна дії половини центральної зони Френеля.
Якщо дифракція світла відбувається на круглому диску, який закриває N перших зон Френеля, то результуюча амплітуда в точці Р буде визначатися величиною
(5.26)
Дифракційна картина у цьому випадку має вигляд концентричних світлих і темних кілець. В центрі картини при довільному N (парному, чи непарному) спостерігається світла пляма (пляма Пуасона). При збільшенні розмірів диска величина амплітуди буде зменшуватись. Врешті-решт при досить великих розмірах диска і При цьому в точці Р буде темна пляма – геометрична тінь.
Таким чином, закони геометричної оптики можна застосовувати у тих випадках, коли розміри перешкод і отворів великі порівняно з довжиною хвилі світла.
2. Дифракція Фраунгофера
Дифракцією Фраунгофера називається дифракція плоских хвиль. Дифракція Фраунгофера має більше практичне значення, ніж дифракція Френеля (дифракція сферичних хвиль).
Розглянемо довгу прямокутну щілину BС шириною b, на яку нормально падає паралельний пучок монохроматич- ного світла (мал.5.10). Згідно з принципом Гюйгенса-Френеля, точки щілини являються когерентними вторинними джерелами, що коливаються в одній фазі (площина щілини співпадає з фронтом хвилі).
За допомогою лінзи Л на екрані Е спостерігається дифракційна картина, яка являє собою систему максимумів і мінімумів. Знайдемо умови спостереження максимумів і мінімумів. Для цього розіб’ємо фронт хвилі ВС на зони Френеля таким чином, щоб оптична різниця ходу від країв сусідніх зон у певному напрямку поширення дифрагованої хвилі під кутом дифракції складала половину довжини хвилі З мал.5.10 видно, що ширина зони Френеля дорівнює Якщо число зон парне, тобто
(m1,2,3,…), (5.27)
то під кутом спостерігається дифракційний мінімум. Випромінювання відповідних точок сусідніх зон відбувається у протифазі, через те сусідні зони гасять одна одну.
Якщо число зон непарне, тобто
, (m1, 2, 3, …), (5.28)
то спостерігається дифракційний максимум, який відповідає дії однієї нескомпенсованої зони Френеля. Величина m називається порядком дифракційного максимуму.
Амплітуда хвилі в точці спостереження одержується на основі принципу Гюйгенса-Френеля:
(5.29)
де – амплітуда в центрі дифракційної картини при
Розподіл інтенсивностей :
(5.30)
Цей розподіл показаний на мал.5.11.
Перейдемо до дифракції на одномірній дифракційній решітці, яка являє собою систему N однакових паралельних щілин шириною а, розміщених на однакових відстанях b. Величина d=a+b називається періодом решітки. Сучасна дифракційна решітка має до 1200 щілин (штрихів) на 1 мм.
Дифракційна картина після решітки складніша порівняно з картиною від однієї щілини. Це зумовлене тим, що відбувається інтерференція хвиль, які йдуть від різних щілин решітки. Крім того, має місце підсилення максимумів і їх звуження.
Якщо світло падає нормально на решітку, то виконуються слідуючі умови:
для головних максимумів: (m0, 1, 2, …); (5.31)
для головних мінімумів: (n1, 2, 3, …); (5.32)
для додаткових мінімумів: (5.33)
(k–довільні цілі додатні числа крім 0, N, 2N, 3N, …).
Розподіл інтенсивності на екрані спостереження:
(5.34)
де –інтенсивність в напрямку для однієї щілини. В головних максимумах інтенсивність в разів більша, ніж дає у відповідних місцях щілина. При великому значенні N вторинні максимуми майже непомітні на екрані, їх інтенсивність не більша 5% від інтенсивності головного максимуму.
На мал.5.12 показана дифракційна картина після дифракційної решітки в білому ( світлі (вторинні максимуми не зображені).
З умови головних максимумів випливає, що для всіх порядків, крім m, біле світло розкладається в спектр. Тому дифракційна решітка використовується як диспергуючий елемент в спектрометрах.
Важливою характеристикою оптичних приладів є їхня роздільна здатність. Згідно з критерієм Релея, зображення двох близьких точок можна вважати розділеними, якщо центральний дифракційний максимум від однієї точки співпадає з першим дифракційним мінімумом для другої точки.
Для об’єктива роздільна здатність
(5.35)
де D – діаметр об’єктива, – довжина хвилі світла.
Мірою роздільної здатності дифракційної решітки (спектрального приладу) прийнято вважати відношення довжини хвилі біля якої виконується вимірювання до мінімального роздільного інтервалу тобто Користуючись критерієм Релея, можна показати, що
(5.36)
де m – порядок спектру, N – кількість щілин дифракційної решітки.
Дифракція рентгенівських променів
Відстань між атомами в кристалі ( співмірна з довжиною хвилі рентгенівського випромінювання, тому кристалічна решітка може служити просторовою дифракційною решіткою для рентгенівських променів.
Якщо на кристал спрямувати потік рентгенівського випромінювання від рентгенівської трубки з неперервним спектром, то для даного кристалу знайдуться промені з такою довжиною хвилі що умови дифракції будуть виконуватись.
Розрахунок дифракційної картини від кристалічної решітки можна провести слідуючим простим способом. Проведемо через вузли кристалічної решітки паралельні рівновіддалені площини (атомні площини). Якщо падаюча на кристал хвиля – плоска, то і огинаюча вторинних хвиль, які породжені атомами даного атомного шару, також буде площиною. Плоскі вторинні хвилі, відбиті від різних атомних площин, – когерентні і будуть давати інтерференційну картину. При цьому, як і у випадку дифракційної решітки, вторинні хвилі будуть практично гасити одна одну у всіх напрямках крім тих, для яких різниця ходу між сусідніми хвилями буде кратною .
З мал 5.13 видно, що різниця ходу для хвиль, які відбились від сусідніх атомних площин, дорівнює 2dsin, де d – період кристалічної решітки, – кут ковзання падаючих променів.
Напрямки, в яких спостеріга-ються дифракційні максимуми, визначаються умовою Вульфа-Брегга:
2dsin (m1, 2, 3, …). (5.37)
Наявність багатьох атомних площин призводить лише до того, що максимуми інтенсивностей стають більш гострими, як і при збільшенні числа щілин дифракційної решітки.
Дифракція рентгенівських променів від кристалів має два основних практичних застосування. Вона використовується для визначення спектрального складу рентгенівського випромінювання (рентгенівська спектроскопія). Визначаючи напрямки дифракційних максимумів досліджуваного рентгенівського випромінювання від кристалів з відомою структурою можна обчислити (за формулою 5.37) довжини хвиль.
Друге практичне використання – вивчення структури кристалів (рентгеноструктурний аналіз). У цьому випадку за відомим спектральним складом падаючого випромінювання знаходять міжатомні відстані в кристалі. Існують різні методики рентгеноструктурного аналізу (метод Лауе, метод Дебая).
§ 5.5. Поляризація світла.
Типи поляризації. Поляризація при відбиванні
Світлова хвиля складається з багатьох цугів електромагнітних хвиль, що випромінюються окремими атомами. Площина коливань (площина коливань вектора ) для кожного цугу орієнтована випадково. Тому в природному світлі коливання різних напрямків швидко і хаотично змінюють одне одного.
Світло, в якому напрямок коливань якимось чином впорядкований, називається поляризованим. Якщо коливання світлового вектора (вектора ) відбувається в одній площині, світло називають плоско- (або лінійно-) поляризованим.
Площиною поляризації називають площину, перпендикулярну до площини коливань (мал.5.14).
Якщо кінець вектора описує еліпс, то світло називається еліптично-поляризованим. Таке світло можна представити як суму двох когерентних плоскополяри-зованих хвиль, площини коливань яких взаємно перпендикулярні. Проекції світлових векторів на відповідні осі змінюються по закону:
. (5.38)
При різниці фаз еліпс вироджується в пряму – маємо плоскополяризоване світло. При різниці фаз і рівності амплітуд еліпс перетворюється в коло. В цьому випадку маємо циркулярно-поляризоване світло (кругова поляризація).
В залежності від напрямку обертання вектора розрізняють праву і ліву еліптичну і кругову поляризації.
Плоскополяризоване світло можна отримати з природного за допомогою поляризаторів. Ці прилади вільно пропускають коливання паралельно площині поляризатора і повністю затримують коливання, перпендикулярні до цієї площини.
Нехай на поляризатор падає плоскополяризоване світло амплітуди з інтенсивністю (мал.5.15). Крізь прилад пройде складова коливання з амплітудою де – кут між площиною коливань падаючого світла і площиною поляризатора. Інтенсивність світла, що пройшло через поляризатор
(5.39)
Це співвідношення носить назву закону Малюса.
Поляризований промінь можна також отримати при відбиванні світла на межі поділу двох середовищ. При куті падіння, який задовольняє умові
(5.40)
(закон Брюстера) відбитий промінь – повністю поляризований. Коливання у відбитому промені відбуваються у площині, перпендикулярній до площини падіння. Ступінь поляризації заломленого променя при куті падіння – максимальний, однак цей промінь лишається поляризованим лише частково (мал.5.16).
Поляризація при подвійному променезаломленні. Поляроїди і поляризаційні призми
При проходженні світла через анізотропні кристали відбувається явище подвійного променезаломлення. Падаючий на кристал природний промінь ділиться на два плоскополяризовані – звичайний (0) і незвичайний (е). Звичайний промінь підкоряється закону заломлення. Незвичайний – ні; для нього показник заломлення різний в різних напрямках.
В кожному анізотропному кристалі існує напрямок (або два), вздовж якого подвійне променезаломлення не відбувається. Звичайний і незвичайний промені рухаються з однаковою швидкістю. Такий напрямок називається оптичною віссю кристалу. Існують одноосні кристали (кварц, ісландський шпат) і двоосні (слюда, гіпс). Довільна площина, яка проходить через оптичну вісь, називається головною площиною кристалу. На мал.5.17 – оптична вісь, тому площина малюнка є головною площиною.
Подвійне променезаломлення лежить в основі роботи поляризаторів: поляризаційних призм і поляроїдів.
Поляризаційна призма Ніколя являє собою призму з ісландського шпату, розрізану по діагоналі і склеєну канадським бальзамом. Показ-ник заломлення канадського бальзаму n лежить між показниками заломлення і звичайного і незвичайного променів в кристалі (). Кут падіння такий, що звичайний промінь зазнає на прошарку клею повне внутрішнє відбивання і не проходить крізь призму. З мал.5.17 видно, що призма Ніколя пропускає лише незвичайний лінійнополяризований промінь.
В деяких кристалах один з променів поглинається сильніше іншого. Це явище називається дихроїзмом. Так, наприклад, в кристалі турмаліну звичайний промінь на довжині 1 мм поглинається практично повністю. Таку ж властивість має поляроїд-целулоїдна плівка, в яку введена велика кількість однаково орієнтованих кристалів сульфату йодистого хініну.
Інтерференція поляризованих променів. Штучна оптична анізотропія
Звичайна і незвичайна хвилі, які поширюються в одноосному кристалі при падінні на нього природного світла, – некогерентні. Якщо ж на одноосний кристал падає лінійнополяризоване світло, то звичайна і незвичайна хвилі в кристалі будуть когерентні. Ці хвилі мають попарно когерентні складові кожного з цугів хвиль, які проходять через поляризатор. Інтерференція поляризованих променів має практичне застосування. Нехай плоскопаралельна пластинка, яка вирізана з одноосного кристалу паралельно його оптичній осі, знаходиться між двома ніколями (мал.5.19). На виході з пластинки між звичайною і незвичайною хвилями виникає різниця фаз
. (5.41)
Хоча ці хвилі після пластинки – когерентні, однак вони не можуть давати інтерференцію через те, що вони поляризовані у взаємно перпендикулярних площинах. Для спостереження інтерфере-нції цих хвиль необхідно за допомогою аналізатора виді- лити з них складові, які поляризовані в одній площині і тому здатні давати інтерферен-
цію.
Інтерференційна картина після аналізатора залежить від різниці фаз довжини хвилі падаючого світла, від кута між його площиною поляризації і оптичною віссю пластини, а також від взаємної орієнтації площин поляризації поляризатора і аналізатора.
Інтерференцію поляризованих променів спостерігають при штучній анізотропії, яка може бути зумовлена деформацією або електричним полем.
Зеебек і Брюстер (1816) відкрили явище фотопружності, яке полягає в тому, що оптично ізотропне тверде тіло під впливом механічної деформації стає оптично анізотропним (тіло набуває властивостей одноосного кристалу вісь якого направлена вздовж напрямку стиску або розтягу). Різниця показників заломлення де –нормальна напруга. Таким чином, помістивши деформоване тіло між поляризатором і аналізатором можна спостерігати інтерференційну картину. По вигляду інтерференційних смуг можна судити про розподіл напруг в досліджуваному тілі ( кожна ізохромата проходить через точки, в яких однакові). Оптичний метод вивчення на прозорих моделях розподілу внутрішніх напруг в деталях і конструкціях широко використовується в сучасній техніці і будівництві.
Штучна анізотропія, викликана електричним полем, була відкрита Кером (1875) і носить назву ефекту Кера. Схема його спостереження зображена на мал.5.20, де П і А – поляризатор і схрещений з ним аналізатор, К – комірка Кера (кювета з рідиною і плоским конденсатором). Під дією однорідного електричного поля ізотропна рідина набуває властивостей одноосного кристалу. При цьому
(5.42)
де –довжина хвилі світла у вакуумі, В – стала Кера, Е – напруженість електричного поля.
Анізотропія пояснюється тим, що рідина в електричному полі поляризується і набуває анізотропних властивостей. Орієнтація і дезорієнтація молекул відбувається на протязі секунди, тому при вимиканні електричного поля практично миттєво зникає світло після аналізатора, тобто комірка Кера працює як безінерційний світловий перемикач.
Обертання площини поляризації
При проходженні лінійно-поляризованого світла через оптично активні речовини (кварц, розчин цукру) площина поляризації світла обертається навколо напрямку поширення променя. Кут повороту пропорційний шляху , пройденому променем в речовині:
(5.43)
Коефіцієнт називають постійною обертання.
В розчинах кут повороту площини поляризації пропорційний шляху променя в розчині і концентрації розчину С:
(5.44)
де – питома постійна обертання.
Залежність (5.44) використовується для вимірювання невідомої концентрації за відомою концентрацією розчину
(5.45)
де – кут повороту для невідомої концентрації, – кут повороту для відомої концентрації.
Явище оптичної активності покладене в основу роботи цукрометрів – приладів для вимірювання концентрації розчинів.
§ 5.6. Квантова природа випромінювання. Теплове випромінювання
Нагріті тіла випромінюють електромагнітні хвилі. Це відбувається внаслідок перетворення енергії теплового руху молекул тіла в енергію випромінювання. Теплове випромінювання знаходиться в рівновазі з випромінюючим тілом, тобто розподіл енергії між тілом і випромінюванням лишається незмінним для кожної довжини хвилі. Таке випромінювання називається рівноважним.
Розглянемо закони теплового випромінювання. Введемо випромінювальну здатність – кількість енергії, яка випромінюється одиницею площі поверхні тіла за одиницю часу в одиничному інтервалі частот. Енергетична світність, або інтегральна випромінювальна здатність – це кількість енергії, яка випромінюється одиницею площі за одиницю часу у всьому спектральному діапазоні, тобто
(5.46)
Поглинальна здатність визначає долю енергії падаючих електромагнітних хвиль за одиницю часу на одиницю площі поверхні тіла в діапазоні частот від до яка поглинається тілом:
(5.47)
Тіло називається абсолютно чорним, якщо воно при будь-якій температурі повністю поглинає всі падаючі на нього електромагнітні хвилі:
. (5.48)
Для довільної частоти і температури відношення випромінювальної здатності тіла до його поглинальної здатності однакове для всіх тіл і дорівнює випромінювальній здатності абсолютно чорного тіла:
. (5.49)
Це є закон Кірхгофа в диференціальній формі.
Інтегральна випромінювальна здатність абсолютно чорного тіла:
(5.50)
Планк у 1900р. на основі квантових уявлень про випромінювання отримав аналітичний вираз Згідно Планку енергія кванта випромінювання пропорційна частоті:
(5.51)
де – стала Планка.
В результаті,
(5.52)
На мал.5.21 зображена залежність спектральної випромінювальної здат-ності абсолютно чорного тіла для різних температур. Площа під кривою визначає інтегральну випромінювальну здатність абсолютно чорного тіла.
Підставляючи (5.52) в (5.50) і інтегруючи, знайдемо
(5.53)
Отже, інтегральна випромінювальна здатність абсолютно чорного тіла пропорційна четвертій степені абсолютної температури. Це є закон Стефана-Больцмана. У формулі (5.53) – постійна Стефана-Больцмана.
Досліджуючи вираз спектральної випромінювальної здатності на екстремум, знайдемо, що частота при якій спостерігається максимум спектральної випромінювальної здатності абсолютно чорного тіла, пропорційна температурі, або відповідна довжина хвилі
(5.54)
Це – закон зміщення Віна. Стала . Згідно закону Віна, максимум спектральної випромінювальної здатності при зростанні температури тіла зміщується у високочастотну ділянку спектра.
На законах Стефана-Больцмана і Віна базується робота пірометрів – приладів, які дозволяють вимірювати високі температури.
§ 5.7. Фотоефект
Розрізняють зовнішній і внутрішній фотоефект. Внутрішній фотоефект спостерігається в напівпровідниках і полягає в тому, що під дією світла електрони відриваються від атома, але залишаються всередині кристалу, в результаті чого збільшується провідність напівпровідника.
Зовнішній фотоефект – це явище виривання електронів з поверхні металу під дією світла. Зовнішній фотоефект був відкритий Герцем у 1887 р. і досліджений Столєтовим у 1888-89 рр. Схема дослідів Столєтова приведена на мал 5.22.
Основні закономірності фотоефекту:
сила фотоструму прямо пропор-ційна інтенсивності світла, яке падає на катод;
фотоефект – безінерційний;
кінетична енергія вирваних елек-тронів збільшується зі збільшенням частоти падаючого світла. Існує мінімальна частота, з якої починається фотоефект. Це – червона межа фотоефекту.
Теоретичне пояснення фото-ефекту дав Ейнштейн у 1905 р. Він використав гіпотезу Планка про квантову природу випромінювання світла і припустив, що енергія поглинутого кванта йде на роботу виходу електрона з металу і на надання електрону кінетичної енергії:
(5.55)
Це – рівняння Ейнштейна для фотоефекту. З рівняння (5.55) можна знайти найменшу частоту при якій починається фотоефект. Це і є червона межа фотоефекту:
(5.56)
§ 5.8. Тиск світла
Тиск світла можна пояснити з квантової точки зору. Кванти світла (фотони) мають масу та імпульс. Маса фотона визначається з релятивістського співвідношення Ейнштейна Звідки, враховуючи (5.51), отримаємо
(5.57)
Залежність маси від швидкості в застосуванні до фотона має зміст лише при Це означає, що маса спокою фотона рівна нулю.
Імпульс фотона, з врахуванням (5.57),
(5.58)
Нехай на одиницю поверхні тіла за одиницю часу падає n фотонів. При цьому – число відбитих фотонів (R – коефіцієнт відбивання), і (1-R)n – число поглинутих фотонів. Тоді, за другим законом Ньютона, зміна імпульсу площадки визначатиме тиск світла:
(5.59)
Враховуючи, що – інтенсивність світла, отримаємо:
. (5.60)
Для дзеркальної поверхні , а для чорної ( . Таким чином, тиск на дзеркальну поверхню – вдвічі більший, ніж на чорну, що і спостерігав П.М.Лєбєдєв в своїх дослідах з вимірювання тиску світла.
§ 5.9. Ефект Комптона
Досліджуючи розсіювання рентгенівських променів в кристалах, Комптон (1923 р.) встановив, що в розсіяному випромінюванні, крім незміщеної компоненти з довжиною хвилі , існує зміщена компонента з довжиною хвилі . При розсіюванні легкими атомами ( В) практично все розсіяне випромінювання має зміщену довжину хвилі. По мірі збільшення атомного номера все більша частина випромінювання розсіюється без зміни довжини хвилі.
Ефект Комптона можна пояснити з квантової точки зору, як процес непружного розсіювання рентгенівських фотонів на вільних електронах. Вільними можна вважати слабо зв’язані з атомами електрони.
Нехай і – значення енергії і імпульсу фотона до розсіювання. Після зіткнення енергія і імпульс фотона зменшуються: і . Звідси випливає, що . Тобто, в результаті розсіювання частота фотона зменшується (довжина хвилі збільшується). Згідно законів збереження енергії і імпульсу, зміна довжини хвилі фотона при розсіюванні
, (5.61)
де – стала величина, яка називається комптонівською довжиною хвилі тієї вільної частинки, на якій відбувається розсіювання (– маса спокою вільної частинки).
Для електрона .
Формула (5.61) добре узгоджується з результатами експериментальних досліджень ефекту Комптона.
Таким чином, світло одночасно має властивості неперервних електромагнітних хвиль (інтерференція, дифракція) і властивості дискретних фотонів (фотоефект, ефект Комптона). Воно являє собою діалектичну єдність цих протилежних властивостей. В прояві хвильових і корпускулярних властивостей світла є закономірність: при зменшенні довжини хвилі більш чітко проявляються квантові властивості і навпаки, у довгохвильового випромінювання основну роль відіграють його хвильові характеристики.
Можна зробити висновок, що корпускулярні і хвильові властивості світла не виключають, а, навпаки, взаємно доповнюють одна одну. Зв’язок між корпускулярними і хвильовими характеристиками світла виражається формулою
, (5.62)
де – довжина хвилі, p – імпульс фотона, h – стала Планка.
Квадрат амплітуди світлової хвилі в деякій точці простору являється мірою імовірності попадання фотонів в цю точку. Корпускулярні властивості зумовлені тим, що енергія, імпульс і маса випромінювання локалізовані в дискретних частинках – фотонах, хвильові – статистичними закономірностями розподілу фотонів у просторі.
§ 5.10. Гальмівне рентгенівське випромінювання
Рентгенівські промені ( виникають при бомбардуванні швидкими електронами твердих тіл. Такий процес реалізується в рентгені-вських трубках. У найпростішому випадку це – двоелектродна ва-куумна трубка (мал.5. 23), катод К якої є джерелом електронів, що виникають внаслідок явища термоелектронної емісії. Анод А, виготовлений із важких металів (Cu, Fe, Co, W тощо), служить мішенню.
Якщо між катодом і анодом прикладена велика напруга U, то електрони розганяються до енергій еU=104–105еВ. Попадаючи в речовину анода, електрони сильно гальмуються і тому випромінюють електромагнітні хвилі – гальмівне рентгенівське випромінювання.
Відомо, що заряд, який рухається прискорено, є джерелом електромагнітних хвиль із неперервним спектром. Спектр гальмівного рентгенівського випромі-нювання (мал.5.24) хоч і суцільний, але обмежений з боку малих довжин хвиль так званою короткохвильовою межею . З ростом прискорюючої напруги U зменшується. Класична електродинаміка не пояснює появи короткохвильової межі гальмівного випромінювання. Її існування безпосередньо випливає з квантової природи випромінювання. Якщо врахувати, що максимальна енергія рентгенівського кванта не може перевищувати кінетичної енергії електрона, то
. (5.63)
Звідси
, (5.64)
що відповідає експериментальним вимірюванням. Оскільки електрон віддає довільну частину своєї енергії, то поява електромагнітного випромінювання різних довжин хвиль цілком зрозуміла.
При достатньо великій швидкості електронів, крім гальмівного випромінювання, виникає також характеристичне випромінювання. Воно зумовлене збудженням внутрішніх електронних оболонок атомів. Рентгенівський спектр характеристичного випромінювання – дискретний.
§ 5.11. Елементи теорії відносності (релятивістська механіка)
Рух тіл зі швидкостями значно меншими від швидкості світла у вакуумі ( описується законами класичної механіки.
Розглянемо будь-які дві інерціальні системи відліку К і (мал.5.25). Перетворення координат Галілея для переходу від однієї інерціальної системи відліку до іншої К(х,у,z) у випадку, показаному на мал.5.25, мають вигляд:
(5.65)
де v0 – швидкість руху системи відносно К (при t=0 початки координат систем відліку співпадають). З перетворень координат Галілея випливає правило додавання швидкостей (5.66)
де – швидкість тіла у системі К, – його швидкість у системі відліку
Величини відрізків і проміжки часу при переході від однієї системи відліку до іншої не змінюються:
(5.67)
В класичній механіці простір і час розглядаються незалежно один від одного. Механічні закони незмінні (інваріантні) при переході від однієї системи відліку до іншої. Інваріантність законів механіки відносно перетворень координат Галілея є математичним виразом механічного принципу відносності: у різних інерціальних системах відліку всі механічні процеси при рівних умовах протікають однаково, тобто всі інерціальні системи відліку рівноправні між собою.
Якщо швидкість тіл наближається до швидкості світла у вакуумі, то закони класичної механіки перестають бути справедливими. У цьому випадку слід користуватись спеціальною теорією відносності – релятивістською механікою.
Спеціальна теорія відносності грунтується на двох постулатах Ейнштейна. Перший постулат: всі закони природи інваріантні при переході від однієї інерціальної системи відліку до іншої. Ейнштейн, фактично, поширив механічний принцип відносності Галілея на всі фізичні явища. Другий постулат: швидкість світла у вакуумі однакова у всіх інерціальних системах відліку і не залежить від руху джерел і приймачів світла.
Ці два принципи являють собою основу спеціальної теорії відносності, яка, в свою чергу, є теорією простору і часу.
В спеціальній теорії відносності замість перетворень Галілея слід користуватись перетвореннями Лоренца. У простому випадку, коли координатні осі 0Х і співпадають, перетворення координат Лоренца мають вигляд:
(5.68)
Зауважимо, що перетворення Лоренца при v<<c переходять у перетворення Галілея.
З перетворень Лоренца випливають два важливих наслідки. По-перше, довжина тіла l, виміряна в системі (К), відносно якої воно рухається, виявляється меншою довжини тіла l0, виміряної в системі (), відносно якої тіло нерухоме
. (5.69)
Систему відліку (, відносно якої тіло нерухоме, називають власною системою відліку.
По-друге, власний проміжок часу менший проміжку часу , відрахованого за годинником, який рухається відносно тіла
. (5.70)
Власний час відраховується за годинником системи відліку, яка рухається разом з тілом.
Залежність маси m від швидкості його руху дається рівнянням:
m, (5.71)
де m0 – маса спокою тіла.
Динаміка руху тіла в релятивістській механіці описується рівнянням
, (5.72)
де (5.73)
є релятивістський імпульс.
Між повною енергією тіла і його релятивістською масою існує взаємозв’язок,
W=mc2. (5.74)
Цю залежність називають законом взаємозв’язку маси і енергії.
Енергію W0=m0c2 (5.75)
називають енергією спокою тіла.
Кінетична енергія тіла
(5.76)
У випадку малих швидкостей ця формула переходить у відомий вираз
. (5.77)
Зв’язок між повною енергією та імпульсом
. (5.78)
Головний висновок теорії відносності: простір і час органічно взаємно пов’язані і утворюють єдину форму існування матерії – простір-час. Саме тому просторово-часовий інтервал між двома подіями – абсолютний (однаковий у всіх інерціальних системах):
(5.79)
Окремо взяті просторові і часові проміжки між подіями – відносні.
Таким чином, перетворення Лоренца і всі висновки, які з них випливають, визначають об’єктивно існуючі просторово-часові співвідношення рухомої матерії.
Розділ VI. Елементи атомної фізики, квантової механіки і фізики твердого тіла.
§ 6. 1. Ядерна модель атома. Воднеподібний атом Бора. Спектральні серії
Оскільки світло випромінюється і поглинається атомами речовини, то виникає питання: яка структура атомів забезпечує квантовий (дискретний) характер вказаних процесів? Відповідь на це питання дав Резерфорд (1911р), аналізуючи результати експериментального дослідження розсіяння -частинок на тонких металічних плівках. Він запропонував ядерну модель атома, згідно з якою в центрі атома розміщене позитивно заряджене ядро , в якому сконцентрована практично вся маса атома. Навколо ядер по колових чи еліптичних орбітах рухаються електрони. Якщо в нейтральному атомі Z електронів, то заряд ядра , де – елементарний заряд.
Рух електрона по орбіті є прискореним. І тому, з точки зору класичної фізики, електрон, що рухається прискорено, повинен випромінювати електромагнітні хвилі, втрачати енергію і кінець кінцем впасти на ядро. Але атом – стійка система електричних зарядів. І тому, приймаючи ядерну модель атома, потрібно відмовитись від класичного опису орбітального руху електронів.
Перший крок в цьому напрямку зробив Н. Бор (1913 р.), сформулювавши наступні постулати:
а) із усіх можливих механічних станів (орбіт) електрона в атомі здійснюються лише такі, для яких момент імпульсу орбітального руху електрона кратний до постійної Планка h, тобто
, (6.1)
де – квантове число стану (номер орбіти), а – постійна Дірака; такі стани (орбіти) називаються стаціонарними;
б) перебуваючи в стаціонарному стані, електрон атома не випромінює і не поглинає енергії;
в) при переході з одного стаціонарного стану на інший (мал.6.1) електрон випромінює (поглинає) квант світла з енергією, рівною різниці енергій цих станів, тобто
. (6.2)
Отже, основна ідея постулатів Бора полягає в квантуванні (дискретності) механічних характеристик руху електронів в атомі (моменту імпульса, енергії тощо) і в стрибкоподібній зміні цих характеристик.
Вперше ядерна модель атома з постулатами Бора була застосована до воднеподібних атомів тощо), в яких навколо ядра рухається по коловій орбіті радіусом r лише один електрон. При цьому ядро вважається нерухомим, а електрон розглядається як класична матеріальна точка. Враховуючи, що в ролі доцентрової сили виступає кулонівська сила взаємодії між електроном та ядром, тобто , і вираз (6.1), отримаємо для радіуса стаціонарної орбіти електрона вираз
, (6.3)
де – борівський радіус, який має зміст радіуса першої (орбіти електрона в атомі водню (. Отже, має місце квантування радіусів стаціонарних орбіт електрона, оскільки .
Для повної механічної енергії електрона легко отримати вираз
, (6.4)
де – постійна Рідберга.
Отже, енергія воднеподібних атомів в стаціонарних станах приймає дискретні значення, тобто квантується. Стан з найнижчою енергією називається основним, усі інші стани – збудженими. Стан з найвищою енергією відповідає іонізації атома. Отже, енергія іонізації воднеподібних атомів
, (еВ).
І тому зручно інколи (6.4) записувати у вигляді
. (6.5)
Зобразимо енергетичну діаграму борівського атома водню ((мал.6.2). В основному стані атом може перебувати як завгодно довго. Якщо ж його перевести певним чином (теплом, світлом, ударом вільних електронів тощо) в збуджений стан, то тривалість перебування в цьому стані складає , і атом самовільно переходить в основний чи нижчі збуджені стани (мал.6.2), випромінюючи фотони з енергіями
.
Довжини випромінюваних світлових хвиль розраховуються за серіальною формулою Бальмера:
, (6.6)
де n2 – квантове число стану, з якого відбувається перехід, n1 – квантове число стану, в який переходить атом.
Усі спектральні лінії можна згрупувати в наступні серії: І–серія Лаймана ( n2; ІІ–серія Бальмера ( ІІІ–серія Пашена ( тощо. Лінії серії Лаймана лежать в ультрафіолетовій області, серії Бальмера – у видимій області, серії Пашена – в інфрачервоній області.
Теорія Бора дуже добре описала положення спектральних ліній випромінювання воднеподібних атомів, але виявилась нездатною пояснити спектри випромінювання складних атомів, а також інтенсивності спектральних ліній навіть атомарного водню. Слабкість цієї теорії зумовлена її непослідовністю: вона – напівкласична, напівквантова.
§ 6.2. Корпускулярно-хвильовий дуалізм матерії; гіпотеза де Бройля. Співвідношення невизначеностей Гайзенберга
В 1924 р. Луі де Бройль висунув гіпотезу (постулат) про те, що корпускулярно-хвильовий дуалізм притаманний не тільки світлу, як це показано в розділі V, але матерії взагалі: усяка частинка, яка має імпульс і енергію Е, володіє хвильовими властивостями, її рух супроводжується хвильовим процесом з довжиною хвилі де Бройля
(6.7)
та частотою . (6.8)
В залежності від величини швидкості v (чи кінетичної енергії Т) частинок, їх імпульс розраховується або за класичною формулою (при v<<c, T<<E0)
, (6.9)
або за релятивістською формулою (при , Т співмірна з Е0)
, (6.10)
де m0 – маса спокою частинки (таблична величина), – її енергія спокою.
Відомо, що хвильові властивості світла найбільш чітко проявляються в явищі дифракції. І тому прояву хвильових властивостей електронних (нейтронних, атомних тощо) пучків слід очікувати в цьому явищі, при якому чітка дифракційна картина спостерігатиметься, коли довжина хвилі співмірна з розміром дифракційної неоднорідності.
Оцінимо довжину хвилі де Бройля електронів, які прискорились відносно слабким електричним полем (. Саме такі напруги використовуються у вакуумних електронних приладах (радіолампи, ЕПТ, рентгенівські трубки тощо). Підставляючи в (6.9) значення кінетичної енергії еВ, отримаємо за (6.7) значення довжин хвиль де Бройля нм. Оскільки розміри макроприладів значно більші від , то хвильові властивості електронів в цьому випадку не відслідковуються. В цей же час розраховані значення співмірні з розміром кристалічної гратки (нм) твердих тіл. І тому така гратка повинна бути дифракційним пристроєм для електронних пучків. Дійсно, при проходженні електронних пучків через тонкі полікристалічні металічні плівки та при їх відбиванні від монокристалів спостерігається дифракційна картина, така ж як і у випадку рентгенівських променів.
Відмітимо, що довжина хвиль де Бройля рухомих макротіл, за рахунок великої маси, настільки мала, що їх хвильову природу виявити неможливо.
В класичній механіці стан частинки задається сукупністю точно заданих координат (x,y,z) та проекцій вектора імпульсу (рх, рy, рz). Зокрема, для одновимірного випадку неточності (невизначеності) координати ( та імпульсу (рівні нулю, і тому: .
Корпускулярно-хвильовий дуалізм частинок в мікросвіті накладає обмеження на можливості класичного опису. Дійсно, вільна частинка, що рухається вздовж осі х, описується плоскою монохроматичною хвилею де Бройля
, (6.11)
де – її циклічна частота, – її хвильове число. В цьому випадку , і тому положення частинки повністю невизначене: . З іншого боку, імпульс такої частинки (строго визначений, бо і . А отже, добуток є математично невизначеним (.
В мікросвіті можна змоделювати об’єкти (наприклад, хвильовий пакет), для яких координата точно визначена (, але імпульс повністю невизначений (, і тому має місце математична невизначеність типу
Аналізуючи умовні експерименти, пов’язані з проходженням мікрочастинок через щілини, Гайзенберг (1927 р.) встановив наступні співвідношення між невизначеностями координат та відповідних імпульсів мікрочастинок
. (6.12)
Інтерпретацію цих співвідношень дав Н. Бор у вигляді принципу доповнюваності:
1) інформація про стан мікрочастинок може бути отримана лише за допомогою макроприладів, які взаємодіють з мікрочастинками;
2) за допомогою конкретного макроприладу можна встановити точне значення або координати, або імпульсу; при цьому чим точніше встановлена одна характеристика, тим невизначеніша інша.
Із співвідношення Гайзенберга слідує, зокрема, що поняття електронної орбіти в атомі втрачає зміст. Дійсно, якщо невизначеність швидкості електрона співмірна з самою швидкістю, тобто , то невизначеність координати , що співмірно з розміром атома. А отже, електрон “розмазаний” по всьому об’ємі атома.
Пара “координата-імпульс” у співвідношенні (6.12) не є випадковою, оскільки вона входить як добуток в рівняння плоскої хвилі де Бройля (6.11), представлене у вигляді
. (6.13)
І тому слід очікувати, що і для іншої пари “енергія-час” матиме місце співвідношення невизначеності
, (6.14)
де має зміст тривалості перебування (часу життя) мікрочастинки в певному стані. Зокрема, для основного стану електрона у воднеподібному атомі і тому , тобто енергетичний рівень основного стану нерозмитий.
§ 6.3. Хвильова функція та її зміст. Рівняння Шрьодінгера
Корпускулярно-хвильовий дуалізм матерії встановлює межі застосування класичної механіки, і для опису мікросвіту використовуються закони квантової механіки, в якій стан мікрочастинок задається вже не координатами та імпульсами, а хвильовою функцією . Зокрема, для вільної одновимірної частинки хвильовою функцією є плоска хвиля де Бройля, яку представимо тут у комплексній формі:
, (6.15)
де . Помноживши на комплексно спряжену функцію , отримаємо
.
З точки зору хвильових уявлень квадрат амплітуди хвилі визначає її інтенсивність; з точки зору корпускулярних уявлень – це ймовірність виявити мікрочастинку в певній області простору. Отже, фізичний зміст має не сама хвильова функція, а вираз , який називається густиною імовірності. Імовірність знайти частинку в елементарному об’ємі становить
. (6.16)
Для частинок, які не є вільними, хвильова функція не представляється хвилею де Бройля, але її ймовірнісна інтерпретація залишається в силі.
Оскільки імовірність повинна бути однозначною, неперервною і скінченною, то на хвильову функцію накладаються наступні стандартні вимоги:
1) вона повинна бути однозначною, неперервною і скінченною;
перші похідні від хвильової функції по координатах і часу також повинні бути неперервними, що забезпечить “гладкість” імовірності;
вона повинна бути інтегрованою; зокрема, , як імовірність знайти частинку в будь-якій точці простору V (імовірність вірогідної події).
Для знаходження хвильової функції конкретного квантовомеханічного об’єкту необхідно розв’язати рівняння Шрьодінгера (1926 р.)
, (6.17)
яке є аналогом ІІ закону Ньютона класичної механіки. В цьому рівнянні
– (6.18)
оператор Гамільтона або оператор повної енергії частинки, де m – маса частинки, – оператор Лапласа:
, (6.19)
U – оператор потенціальної енергії, дія якого зводиться до простого множення на хвильову функцію.
Якщо потенціальна енергія частинки явно не залежить від часу, тобто , то квантовомеханічна задача називається стаціонарною. І хвильову функцію можна представити у вигляді .
Координатнозалежну складову хвильової функції знаходять із розв’язку рівняння Шрьодінгера для стаціонарних станів
, (6.20)
де параметр Е має зміст енергії частинки.
Розв’язок цього диференційного рівняння задовільняє стандартні вимоги до хвильової функції, як правило, не при усяких, а дозволених (дискретних) значеннях параметра Е. Ці значення Е називаються власними значеннями оператора , а відповідні хвильові функції – власними функціями цього оператора. В кожному конкретному випадку потрібно задати аналітичну форму оператора (6.18), тобто побудувати потенціальну модель квантомеханічного об’єкту.
§6.4. Частинка в одновимірній прямокутній потенціальній ямі (ящику). Проходження частинки через потенціальний бар’єр
Усякий зв’язаний стан частинки (електрон в атомі, вільний електрон в металі, нуклон в ядрі тощо), тобто стан з від’ємною потенціальною енергією, можна описати поняттям потенціальної ями.
Розглянемо найпростіший випадок, коли частинка масою m перебуває в одновимірній прямокутній нескінченно глибокій потенціальній ямі шириною l .Оскільки початок відліку потенціальної енергії можна вибирати довільно, то задачу про “яму” замінимо задачею про “ящик”, на дні якого потенціальна енергія дорівнює нулю, а стінки якого нескінченно високі (мал.6.3). Оператор Гамільтона (6.18) для цього випадку має вигляд
, (6.21)
де
Всередині ящика рівняння Шрьодінгера запишеться як
. (6.22)
Розв’язок цього рівняння, з врахуванням стандартних вимог, зокрема, , має вигляд
, (6.23)
де n=1,2,3,… – квантове число стану частинки. Енергія частинки в різних квантових станах
, (6.24)
тобто приймає не довільні, а дискретні значення Е1, Е2, Е3, …, зображені на мал.6.3 відповідними енергетичними рівнями. Густина імовірності залежить від координати частинки, при цьому по різному в кожному квантовому стані.
Відстань між сусідніми енергетичними рівнями
. (6.25)
Зокрема, для електрона в ямі шириною l, яка співмірна з розміром атома, отримаємо В цей же час для макрооб’єктів, коли m i l – дуже великі, відстань між рівнями стає зникаюче малою, і тому квантуванням енергії можна знехтувати. Задача про частинку в потенціальній ямі скінченної глибини має дещо складніший розв’язок, але висновок про квантування енергії залишається в силі і в цьому випадку.
Спорідненою до описаної є задача про проходження частинки через потенціальний бар’єр шириною l і висотою U0 (мал.6.4). Якщо частинка класична, то вона пролітає над бар’єром, коли Е>U0, і відбивається від нього, коли Е<U0, бо проникнення під бар’єр означало б, що її кінетична енергія від’ємна.
Для квантовомеханічної мікро-частинки розв’язок рівняння Шрьодінгера дає, що хвильові функції в усіх трьох областях (відмінні від нуля, тобто мікрочастинка проникає під бар’єр і за бар’єр. Це явище називається тунелюванням. Від’ємні значення кінетичної енергії в області ІІ не можуть турбувати, бо в квантовій механіці, в силу дії співвідношення Гайзенберга (§ 6.2), кінетична енергія , як і потенціальна енергія U(x), не є точно визначеними. Прозорість бар’єру тим більша, чим менша його ширина і висота, а також, чим менша маса частинки, тобто ефект тунелювання помітний лише в мікросвіті.
§ 6.5. Квантовий лінійний гармонічний осцилятор
Лінійний гармонічний осцилятор – це матеріальна точка, яка здійснює рух вздовж осі х під дією квазіпружної сили . Потенціальна енергія осцилятора (мал.6.5):
, (6.26)
де m – маса осцилятора, – його власна циклічна частота, х – зміщення від положення рівноваги. Підставляючи (6.26) в рівняння Шрьодінгера (6.20), отримаємо
. (6.27)
Розв’язок цього рівняння, виражений через поліноми Чебишева-Ерміта, задовільняє стандартні вимоги до хвильових функцій лише тоді, коли енергія осцилятора квантується за законом
, (6.28)
де =0,1,2,… – коливальне квантове число.
Відмітимо, що найменша енергія квантового осцилятора при =0, так звана нульова енергія, на відміну від класичного осцилятора не дорівнює нулю. Наявність нульових коливань підтверджується експериментально фактом розсіяння світла кристалами при дуже низьких температурах.
Перебуваючи в певному квантовому стані, осцилятор не поглинає і не випромінює енергії. Випромінювання (поглинання) енергії відбувається при переході осцилятора між квантовими станами, при цьому дозволяються (правила відбору) переходи лише між сусідніми енергетичними рівнями (мал.6.5), тобто . Енергія випромінюваного (поглинутого) кванту , що підтверджує квантовий постулат Планка.
§ 6.6. Воднеподібні атоми в квантовій механіці. Квантові числа електрона в атомі
Потенціальна енергія електрона в кулонівському полі ядра воднеподібного атома має вигляд
, (6.29)
де r – відстань від центру ядра.
З врахуванням (6.29) стаціонарне рівняння Шрьодінгера (6.20) запишеться як
. (6.30)
Оскільки кулонівське поле володіє центральною симетрією, то зручно перейти до сферичних координат, де положення довільної точки описується однією лінійною координатою (r) і двома кутовими (. В цьому випадку у хвильовій функції електрона можна провести розділення змінних:
.
Стандартні вимоги як до хвильової функції в цілому, так і до окремих складових виконуються лише при певних (дискретних) значеннях не тільки енергії електрона Еn, але і квадрату моменту імпульсу його орбітального руху , а також проекції цього моменту на вибраний напрямок (вісь z). Квантування вказаних характеристик визначається трьома квантовими числами: головним n, орбітальним (азімутальним) та магнітним наступним чином:
, (6.31)
де n=1,2,3,…; відмітимо, що (6.31) співпадає з (6.4) для борівського воднеподібного атома;
, (6.32)
де =0,1,2,…, n-1;
, (6.33)
де =0,.
Оскільки енергія електрона Еn визначається лише головним квантовим числом n, а хвильова функція – трьома квантовими числами, то декільком станам з різними та відповідає одне значення енергії. Така ситуація називається квантовомеханічним виродженням. Наприклад, енергія Е2 реалізується в чотирьох станах з хвильовими функціями . В загальному, кратність виродження дорівнює n2 . Традиційно, стани з різними позначаються наступними буквами:
: 0, 1, 2, 3, …
стан: s, p, d, f, …
Для попереднього прикладу енергія Е2 реалізується в станах 2s i 2p.
Основний стан (1s) є невиродженим і описується хвильовою функцією
. (6.34)
Для цього стану імовірність перебування електрона в сферичному шарі одиничної товщини на відстані r від центру ядра
~. (6.35)
Як видно з мал.6.6, де представлена залежність , максимальна імовірність реалізується на відстанях, рівних борівському радіусу а0 . Отже, борівські траєкторії можна інтерпретувати в квантовій механіці як геометричне місце точок з максимальною імовірністю перебування електрона. Хоч в дійсності його заряд “розмазаний” по всьому об’єму атома.
§ 6.7. Власний момент (спін) електрона. Принцип Паулі. Забудова складних атомів. Характеристичне рентгенівське випромінювання
Орбітальний рух електрона в атомі можна розглядати як коловий струм, з яким пов’язаний магнітний момент . Проекція цього моменту на вибраний напрямок, який задається магнітним полем індукцією В,
, (6.36)
де mел – маса електрона, – магнітне квантове число. В s-стані =0, і тому такий електрон не повинен володіти магнітним моментом, що суперечить ряду експериментальних спостережень. І тому була висунута
(1925 р.) гіпотеза про те, що електрони володіють власним, не пов’язаним з просторовим переміщенням, моментом імпульсу і відповідним магнітним моментом. Ця властивість електронів була названа спіном. Спіновий момент імпульсу електрона визначається формулою
, (6.37)
де s – cпінове квантове число, рівне .
Проекція цього моменту на вибраний напрямок (наприклад, напрямок магнітного поля)
, (6.38)
де ms=–магнітне спінове число.
Пізніше виявилось, що спіном володіють усі мікрочастинки. При цьому частинки з напівцілим спіном утворюють клас ферміонів (електрони, протони, нейтрони тощо), а частинки з цілим спіном (s=0,1,…) утворюють клас бозонів (фотони, мезони тощо). Для ферміонів справедливий принцип Паулі: два тотожні ферміони не можуть одночасно перебувати в однаковому стані.
В багатоелектронних атомах стан кожного електрона описується четвіркою квантових чисел: n, , , ms. Принцип Паулі в цьому випадку гласить: в атомі не може бути двох електронів з ідентичним набором чотирьох квантових чисел. Електрони, які мають однакове головне квантове число n, утворюють шар. Максимальна кількість електронів у шарі визначається формулою 2n2. Класифікація шарів: К(n=1), L(n=2), M(n=3), N(n=4) тощо. Електрони з однаковими квантовими числами n i утворюють оболонку. Максимальна кількість електронів в оболонці визначається формулою 2(2+1). Класифікація оболонок: s(=0), p(=1), d(=2), f(=3) тощо.
При забудові електронами шарів і оболонок, крім принципу Паулі, необхідно врахувати принцип мінімальності енергії. Це означає, що забудова починається з шарів і оболонок, де енергія електронів найменша. У воднеподібних атомах енергія електрона залежить лише від головного квантового числа n. В складних атомах на окремий електрон діє поле не тільки ядра, але і решти електронів. Це приводить до того, що виродження по знімається, і енергія починає залежати як від n, так і від . Але, як правило, залежність від n сильніша. І тому заповнення починається з глибоких шарів. Наприклад, електронна конфігурація атома міді має наступний вигляд (цифри над символами вказують на кількість електронів в оболонках): 1s2 2s2 2p6 3s2 3p6 3d10 4s1. Видно, що оболонки шарів K, L, M повністю заповнені, і лише оболонка 4s заповнена частково. Відмітимо, що повні моменти імпульсів як орбітального, так і спінового рухів електронів заповнених оболонок рівні нулю. І тому стан атома визначається електронами частково заповненої оболонки; такі електрони називаються валентними. В нашому прикладі атом міді має один валентний електрон в s-стані. Саме валентні електрони забезпечують хімічний зв’язок між атомами в молекулах і в кристалічній гратці твердих тіл. Вони відповідальні за спектри випромінювання та поглинання атомів.
Зрозуміло, що переходи між енергетичними рівнями повністю заповнених шарів і оболонок неможливі. Але така можливість з’являється, якщо певним чином вибити електрон з глибокого шару, наприклад, при бомбардуванні металічного анода (антикатода) рентгенівської трубки швидкими електронами. В цьому випадку на вакантне місце глибокого шару може перейти електрон вищого шару. При такому переході випромінюється фотон з енергією , у відповідності з енергетичною діаграмою (мал.6.7), на якій кожен шар зображений одним енергетичним рівнем. (В дійсності всі шари, крім К-шару, володіють декількома близькими рівнями, бо енергія залежить як від головного квантового числа n, так і від орбітального квантового числа ).
Оскільки відстань між енергетичними рівнями глибоких шарів дуже велика (, то довжини хвиль випромінюваних фотонів , що відповідає рентгенівському діапазону. Зрозуміло, що спектр такого випромінювання, яке називають характеристичним, – дискретний. Спектральні лінії характеристичного рентгенівського випромінювання групуються в серії: K, L, М, N – серії. Наприклад, К-серія формується при переході електронів на вакантне місце в К-шари (n1=1) з шарів L, M, N, …(n2=2, 3, 4, …) – відповідно: – лінії. Довжини хвиль спектральних ліній в серіях описуються формулою Мозлі
, (6.39)
де R – постійна Рідберга (§ 6.1), – постійна екранування ( для К-серії). Ця формула переходить у формулу Бальмера (6.6), якщо покласти . Постійна екранування враховує цю обставину, що “випромінюючий” електрон перебуває не тільки в кулонівському полі ядра, як це мало місце у воднеподібних атомах, але і в екрануючому полі інших електронів складних атомів.
§ 6.8. Теплові коливання кристалічної гратки і теплоємність твердих тіл
Більшість твердих тіл володіють кристалічною структурою, тобто є сукупністю великого числа атомів, впорядковано розміщених в просторі, і які тим самим утворюють кристалічну гратку. Оскільки атоми, що перебувають в сусідніх вузлах кристалічної гратки, зазнають взаємного притягання і відштовхування, то потенціальна енергія взаємодії між ними має вигляд потенціальної ями (мал.6.8).
В рамках класичної фізики при абсо-лютному нулю атоми повинні перебувати на дні потенціальної ями, на відстані r0 один від іншого. І, звичайно, бути нерухомими. З підвищенням температури енергія атомів зростає, і кожен атом починає здійснювати коливний рух відносно рівноважного положення між точками А і В. При дуже низьких температурах ці коливання можна вважати гармонічними, бо залежність Ер(r) – приблизно параболічна. При вищих температурах, як видно з мал.6.8, з’являється асиметрія відхилень від рівноважного положення r0: коливання стають ангармонічними. За рахунок ангармонізму середня відстань між атомами з ростом температури збільшується – має місце теплове розширення твердих тіл.
Оскільки три взаємноперпендикулярні напрямки коливань є рівноправними, то можна вважати, що атом в кристалічній гратці володіє трьома коливними ступенями вільності (і=3). Якщо знехтувати ефектом ангармонізму, то теплові коливання окремого атома можна моделювати сукупністю трьох незалежних лінійних осциляторів. Будемо вважати коливання окремих атомів незалежними. Тоді для одного моля речовини кількість ступенів вільності коливного руху складатиме 3NA, де NA – число Авогадро. В класичній фізиці на одну ступінь вільності коливного руху припадає енергія к0Т, де к0 – постійна Больцмана. Отже, внутрішня енергія моля твердого тіла
, (6.40)
де R – універсальна газова стала.
Молярна теплоємність тіла
. (6.41)
Такий результат (закон Дюлонга-Пті) підтверджується експериментально для багатьох простих кристалічних речовин при високих температурах. Але при низьких температурах експеримент (мал.6.9) і класична теорія катастрофічно розходяться. Зокрема, при дуже низьких температурах виконується “закон кубів Дебая” , у відповідності з яким .
Першу спробу узгодити експери-мент з теорією здійснив А. Ейнштейн
(1907 р.), який залишивши тезу про незалежність осциляторів, запропонував вважати останні не класичними, а квантовими.
Як показано в § 6.5, енергія квантового лінійного осцилятора
. (6.42)
Ейнштейн припустив, що всі осцилятори коливаються з однаковою частотою , а їх розподіл за енергією описується класичною функцією розподілу Максвелла-Больцмана
, (6.43)
де N0 – загальна кількість атомів, а N – кількість атомів, коливна енергія яких складає . Тоді середня енергія одного осцилятора, тобто енергія, що припадає на одну ступінь вільності,
. (6.44)
Після математичних перетворень останній вираз запишеться як
. (6.45)
Внутрішня енергія одного моля твердого тіла
,
а молярна теплоємність
. (6.46)
При високих температурах, коли к0Т>>h, формула (6.46) дає , тобто закон Дюлонга-Пті. При низьких температурах, коли к0Т<<h, отримаємо
. (6.47)
Оскільки експоненційна залежність сильніша від степеневої, то (6.47) дає зменшення теплоємності з пониженням температури, що лише якісно узгоджується з експериментом (мал.6.9), але не забезпечує кількісно виконання “закону кубів Дебая”. Для розділення областей високотемпературного і низькотемпературного наближень вводиться характеристична температура Ейнштейна , при якій ; звідси . Отже, при виконується закон Дюлонга-Пті; при виконується залежність (6.47).
Подальше удосконалення теорії, здійснене Дебаєм (1912 р.), полягає в тому, що коливання атомів кристалічної гратки вже не вважаються незалежними; в кристалі встановлюється система т.з. нормальних коливань з частотою від 0 до ; при цьому в коливанні певної частоти беруть участь всі атоми гратки. Розглядаючи кожне коливання як квантовий лінійний осцилятор, після математичних перетворень отримаємо для внутрішньої енергії моля твердого тіла
,
а для молярної теплоємності , ввівши позначення ,
. (6.48)
За аналогією з попереднім введемо характеристичну температуру Дебая , використавши співвідношення ; звідси
. (6.49)
Оскільки , то (6.48) після інтегрування набуде вигляду
. (6.50)
При високих температурах (Т>>), коли х, використавши наближення , отримаємо , тобто закон Дюлонга-Пті. При низьких температурах (Т<<), коли , отримаємо “закон кубів Дебая”
, (6.51)
який кількісно узгоджується з експериментом (мал.6.9).
В рамках концепції корпускулярно-хвильового дуалізму речовини зміну енергії коливного руху кристалічної гратки можна описати процесами випромінювання чи поглинання особливої квазічастинки – фонона, яка володіє нульовим спіном і тому належить до класу бозонів (§6.7) .
§ 6.9. Елементи зонної теорії твердих тіл
При утворенні кристалічної гратки твердих тіл, тобто при зближенні окремих атомів на відстані , атомні енергетичні рівні повинні розщеплюватись в зони рівнів, оскільки принцип Паулі тепер стосується не окремих атомів, а кристалічної гратки в цілому. Розщеплення тим сильніше, чим менша відстань між атомами і чим вищий енергетичний рівень (мал.6.10). Таким чином шкала енергій електронів в кристалічній гратці розбивається на зони дозволених енергій і зони заборонених енергій (на мал.6.10б заштриховані зони дозволених енергій, які відповідають рівноважній відстані між атомами R0).
Кількість енергетичних рівнів в зонах співмірна з кількістю атомів речовини, тобто . Оскільки ширина зон , то відстань між окремими рівнями , що значно менше від енергії теплового руху к0Т. І тому можна вважати розподіл енергій в зонах неперервним.
У відповідності з принципом Паулі на кожному енергетичному рівні в зонах може перебувати не більше двох електронів з протилежними спінами. Якщо зона утворена з повністю заповненого електронами атомного рівня, то всі рівні такої зони також повністю заповнені. Зрозуміло, що це стосується зон, утворених з глибоких атомних рівнів. Електрони таких зон не можуть брати участь в електричних і теплових явищах, бо ні енергія електричного поля, ні теплова енергія не є достатніми для переводу електрона в сусідню вищу зону, а переходи в межах заповненої зони неможливі.
Інша ситуація в зонах, утворених з частково заповнених рівнів, тобто рівнів валентних електронів. Зрозуміло, що такі зони будуть заповнені також частково. Для прикладу розглянемо зону, утворену з атомного s-рівня, на якому перебуває лише один (валентний) електрон (Li, Na, K тощо). Якщо кристалічна гратка утворена з N атомів, то вказана зона має N рівнів, на яких може розміститись 2N електронів. Оскільки валентних електронів лише N, то заповниться лише половина зони (мал.6.11а ). А це означає, що під впливом зовнішнього збудження (тепло, електричне поле) електрони можуть вільно переходити на вищі рівні в межах однієї зони, тим самим збільшувати свою енергію, тобто прискорюватися. Отже, електрони в частково заповненій зоні є носіями струму. І тому така зона, яку ми назвемо валентною, є одночасно зоною провідності.
В залежності від характеру заповнення валентної зони всі тверді тіла поділяються на метали, з одного боку (мал.6.11а), і напівпро- відники та діелектрики, з іншого (мал.6.11б). В металах валентна зона (V-зона) заповнена частково, всі вищі зони порожні, всі нижчі зони заповнені повністю. В напівпровідниках і діелектриках V-зона заповнена повністю (при Т=0) і тому не може бути зоною провідності. Наступна вища зона при Т=0 повністю порожня. Ця зона називається зоною провідності (С-зоною), бо при певних умовах (Т) в ній можуть з’явитися електрони, які будуть носіями струму. Енергетична відстань між дном С-зони (Ес) і стелею V-зони (Еv) називається забороненою зоною Еg=Ec–Ev. Якщо Еg<2,5eB, то речовина – напівпровідник, якщо Еg>2,5eB, то – діелектрик.
Появу носіїв струму в напівпровідниках пояснимо, використавши плоску модель кристалічної гратки атомного напівпровідника, наприклад, Ge (мал.6.12). Такий напівпро- відник має тетраедричну криста- лічну структуру, при якій кожен атом оточений чотирма сусідами. Зв’язок між сусідніми атомами забезпечується двома валентними електронами з протилежними спінами. При Т=0 всі валентні електрони перебувають на зв’язках, “зайвих” електронів немає, що відповідає повністю заповненій валентній зоні і порожній зоні провідності.
При нагріванні кристалу деякі електрони за рахунок енергії теплового руху можуть вийти із зв’язків, стати вільними і в електричному полі напруженістю набути швидкості напрямленого руху . На звільнене вакантне місце може перейти електрон із сусіднього зв’язку, що рівнозначне рухові дірки (hole) в протилежному напрямку зі швидкістію . Оскільки дірка рухається за полем (електрон – проти поля), то дірку слід розглядати як позитивний заряд +е. На енергетичній діаграмі теплова генерація вільних електронів і дірок зображається як перехід електрона з V-зони у C-зону (мал.6.13). Зрозуміло, що чим вища інтенсивність теплового збудження (чим вища температура), тим вища концентрація електронів (n) і дірок (р) у відповідних зонах. Відмітимо, що ця концентрація не перевищує, як правило, 0,1% від кількості енергетичних рівнів в зонах. Отже, електрони є носіями струму в майже порожній зоні провідності, а дірки – в майже повністю заповненій валентній зоні.
Енергія вільного електрона
, (6.52)
де р – імпульс електрона. В багатьох випадках для опису енергії електронів в металах і напівпровідниках можна користуватись цією ж формулою, але ввівши замість маси спокою електрона m0 ефективну масу mn*, яка може бути як більшою, так і меншою m0, і яка враховує взаємодію зонних електронів з полем кристалічної гратки. Аналогічно вводиться і ефективна маса зонних дірок mp*. І тому енергії електронів і дірок виражаються через їх імпульси наступним чином
; , (6.53)
де відлік енергії ведеться від краю відповідної зони: вверх від Ес для електронів і вниз від Еv для дірок. Співвідношення (6.53) називаються законами дисперсії.
§ 6.10. Розподіл і концентрація носіїв в зонах
Розподіл частинок з напівцілим спіном (ферміонів), в т.ч. і електронів, за енергіями описується квантовою функцією розподілу Фермі-Дірака
f(E)=, (6.54)
де f(E) – імовірність електрону перебувати на рівні з енергією Е, а F – енергія (рівень) Фермі. Зміст останньої зрозумілий з аналізу f(F) при Т=0. Якщо Е>F, то f(Е)=0, тобто рівень порожній; якщо Е<F, то f(F)=1, тобто рівень заповнений. Отже, енергія Фермі відповідає найвищому рівню, який ще заповнений при Т=0 (мал.6.14). При Т>0 f(F)=1/2, якщо Е=F, тобто енергія Фермі відповідає рівню, який при ненульовій температурі заповнений наполовину (мал.6.14). При певних умовах, а саме, коли Е-F>>к0Т, квантовий розподіл Фермі-Дірака переходить в класичний розподіл Максвелла-Больцмана
f(Е)=A(T). (6.55)
Електронний газ, що описується таким розподілом, називається невиродженим газом. В цей же час електронний газ, що описується розподілом Фермі-Дірака, називається виродженим. Критерієм виродження є нерівність
, (6.56)
тобто виродження має місце при високій концентрації електронів, малій їх ефективній масі та низьких температурах. В металах електронний газ завжди вироджений (n, в напівпровідниках, як правило, невироджений (n<.
В металах при низьких температурах концентрація електронів зони провідності, енергія яких лежить в інтервалі ,
dn(E)=2dg(E),
де dg(E) – кількість енергетичних рівнів у вказаному інтервалі. Якщо справедливий параболічний закон дисперсії (6.53), то нескладний розрахунок дає
. (6.57)
Тоді повна концентрація носіів в с-зоні металу при низьких температурах
(6.58)
і від температури не залежить. Енергія Фермі
, (6.59)
що дає при . Середня енергія зонних електронів в металах , що значно більше к0Т.
А це означає, що лише незначна кількість електронів, що перебувають на рівнях, близьких до рівня Фермі, може змінити свою енергію при зміні температури. Таким чином, електронний газ в металах практично не вносить вкладу в теплоємність кристалу (див. § 6.8), незважаючи на високу загальну концентрацію електронів.
В напівпровідниках рівень Фермі, як правило, лежить в забороненій зоні (мал.6.13), і тому при розрахунку концентрації невироджених електронів в зоні провідності потрібно врахувати, що функція розподілу (6.55) в усьому діапазоні енергій Е>Ec менша від одиниці і залежить від температури. І тому
, (6.60)
де Аn – множник, який слабо залежить від температури і визначається ефективною масою носіїв, а Еg – ширина забороненої зони.
Як слідує з (6.60) з ростом температури концентрація зонних (вільних) електронів збільшується за експоненційним законом. Ця формула справедлива лише для бездомішкового, т.з. власного, напівпровідника. Зрозуміло (див. мал. 6.13), що концентрація дірок у валентній зоні дорівнює концентрації електронів в зоні провідності: n=p=ni – власна концентрація носіїв струму.
Ситуація радикально змінюється, коли в напівпровідник ввести домішки. Зокрема, коли вводяться донорні домішки, тобто домішки, які легко віддають електрони в С-зону, то n>>p; такий домішковий напівпровідник називається електронним (n-типу). Якщо ж вводяться акцепторні домішки, тобто домішки, які легко захоплюють електрони з V-зони, то p>>n; такий домішковий напівпровідник називається дірковим (р-типу). В класичних напівпровідниках Ge i Si в ролі донорних домішок виступають As, P, а акцепторних – Ga, Іn.
§ 6.11. Електричні властивості металів і напівпровідників
Відомо (розділ ІІІ), що густина електричного струму в провідниках (металах, напівпровідниках, електролітах тощо) визначається зарядом носіїв, їх концентрацією n та середньою швидкістю напрямленого (впорядкованого) руху <, зумовленого електричним полем напруженістю . Якщо носіями струму є електрони, то густина струму (j=
j=en
В слабких електричних полях, де виконується закон Ома, швидкість напрямленого руху лінійно залежить від напруженості електричного поля, тобто
, (6.62)
де – рухливість електронів.
Підставляючи (6.62) в (6.61), отримаємо
, (6.63)
тобто закон Ома в диференційній формі, де
– (6.64)
питома електропровідність електронного провідника (металу, напівпровідника n-типу).
Питома електропровідність власного напівпровідника
, (6.65)
де – рухливість дірок.
Рухливість носіїв визначається так званим часом релаксації , який формально можна розглядати як проміжок часу між двома послідовними актами зіткнення (розсіяння) носіїв з недосконалостями кристалу. Основними недосконалостями (відхиленнями від ідеальності) є коливання кристалічної гратки (фонони) і домішки кристалу. В рамках вказаного формалізму середній час релаксації носіїв
, (6.66)
де – середня довжина вільного (між двома послідовними зіткненнями) пробігу носіїв, <> – середня швидкість теплового (хаотичного) руху носіїв.
Строга квантова теорія дає
. (6.67)
Підставляючи (6.67) у (6.64), отримаємо для питомої електропровідності металів
. (6.68)
Оскільки в металах концентрація носіїв (електронів у С-зоні) від температури не залежить, то залежність питомої електропровідності визначається лише відношенням . Виявляється, що, за винятком дуже низьких температур, . І тому , а питомий опір , у відповідності з відомим експериментальним законом . Відмітимо, що при оціночних розрахунках можна покладати .
Принципово інша ситуація в напівпровідниках, де концентрація носіїв експоненційно залежить від температури (6.60). Рухливість носіїв в напівпровідниках також залежить від температури, але за слабшим, степеневим законом:
, (6.69)
де при різних температурах приймає значення від –1,5 до +1,5. Підставляючи (6.60) та (6.69) у (6.65), отримаємо вираз для питомої електропровідності власного (n=p) напівпровідника
, (6.70)
де передекспоненційний множник В можемо наближено вважати від температури незалежним. Узагальнюючи (6.70) на випадок домішкового напівпровідника, запишемо
, (6.71)
де а – енергія активації провідності, яка у власному напівпровіднику дорівнює , а в домішкових напівпровідниках має зміст енергії іонізації донорів чи акцепторів. Отже, питома електропровідність напівпровідників експоненційно збільшується з ростом температури, чим останні принципово відрізняються від металів.
Розділ VII. Фізика ядра та елементарних часток.
§ 7.1. Склад і характеристики ядра
Ядро атома, як центральну позитивно заряджену масивну частину атома, навколо якої рухаються електрони, відкрив англійський фізик Е.Резерфорд на основі своїх дослідів по розсіюванню - частинок речовиною (1911 р). Позитивний заряд ядра чисельно рівний сумі негативних зарядів електронів нейтрального атома. За обрахунками Резерфорда радіус ядра rя~10-15м (радіус атома ra~10-10м). Плідність ядерної моделі атома підтвердила теорія атома водню Н.Бора (1913 р). Після того, як Г. Мозлі (1913 р) експериментально показав, що позитивний заряд ядра
, (7.1)
де Z – порядковий номер елемента в таблиці Менделєєва, а е – елементарний електричний заряд, чисельно рівний зарядові електрона (, уявлення про ядро атома стало загальноприйнятим.
Ядра атомів різних хімічних елементів мають загальну назву нукліди. В ядерній фізиці за одиницю заряду приймають елементарний електричний заряд е, а за одиницю маси – атомну одиницю маси (а.о.м.). 1а.о.м. рівна 1/12 маси найбільш поширеного нукліда вуглецю. Очевидно, 1а.о.м.
де mc – маса нукліда вуглецю, – маса моля вуглецю, NA – число Авогадро. В таких одиницях заряд ядра Q=Z (Z називають зарядовим числом ядра), а маси нуклідів різних елементів виражаються дробовими числами. Заокруглена до найближчого цілого маса нукліда даного елемента, виражена в а.о.м., співпадає з так званим масовим числом нукліда А.
Зарядове число Z і масове число А являються основними характеристиками будь-якого ядра, тому ядро даного елемента позначається хімічним символом цього елемента з індексами Z та А, а саме – . Наприклад, ядро атома водню позначається ; цю частинку Резерфорд назвав протон (р). На момент відкриття ядра була вже відома легка негативно заряджена частинка електрон (–). Оскільки маса електорна , електрон, іноді, позначається . При розгляді ядерних реакцій на основі законів збереження енергії та імпульсу Д.Чедвік (1932р.) відкрив нову важку елементарну частинку нейтрон (n). Д.Іваненко (1932р.) висунув гіпотезу, що ядро атома складається з нуклонів : протонів і нейтронів; ця гіпотеза була розвинута В. Гейзенбергом (1932 р) і дістала дослідне підтвердження.
Детальне вивчення нуклонів показало, що протон – стабільна елементарна частинка з зарядом +1 і масою mp=1,00728 а.о.м.; він також має спін j=1/2 і магнітний момент , де Дж/Тл – так званий ядерний магнетон (одиниця магнітного моменту). Нейтрон – нейтральна частинка з масою mn=1,00867 а.о.м., спіном j=1/2 і власним магнітним моментом ; mn>mp , при чому mn–mp=2,5me. У вільному стані нейтрон – нестабільний з періодом напіврозпаду Т~12 хв.
Згідно з нуклонною моделлю ядро містить всього А нуклонів; власне, під масовим числом ядра і розуміють загальне число нуклонів (протонів і нейтронів) у ядрі. При цьому, число протонів у ядрі є Z, а число нейтронів – N=A–Z. Ядра з однаковими Z називаються ізотопами, з однаковими А – ізобарами, з однаковими N – ізотонами, з однаковими Z i A, але різними періодами напіврозпаду,– ізомерами. Всього відомо ~ 1500 різних ядер, які чим-небудь відрізняються; приблизно 1/5 з них – стабільні, решта – радіоактивні.
В природі зустрічаються елементи з атомним номером Z від 1 до 92 (крім технецію і прометію ). Трансуранові елементи, починаючи з Z=93, були одержані штучно за допомогою різних ядерних реакцій. Згідно з сучасними уявленнями хімічні елементи виникли в процесі нуклеосинтезу на етапі зоряної еволюції Всесвіту. За час існування Землі (~5трансуранові елементи із-за відносно малого часу життя не збереглися в земній корі (за винятком і , мікросліди яких знайдені в уранових рудах). Межу періодичної системи елементів повинна визначати нестабільність відносно самовільного ділення ядер; є теоритичні вказівки, що ця межа може знаходитися поблизу Z=114 (можливо, Z=126).
Ефективний радіус ядра виражається формулою
, (7.2)
де . З (7.2) випливає, що об’єм ядра пропорційний числу нуклонів у ядрі, а це означає, що густина ядерної речовини приблизно однакова для всіх ядер (~1017кг/м3).
Спіни і магнітні моменти нуклонів складаються в результуючий спін і магнітний момент ядра. Оскільки спін нуклона , квантове число спіну ядра буде напівцілим при непарному числі нуклонів і – цілим або нулем при парному А. Спіни ядер не перевищують декількох одиниць, це свідчить, що спіни більшості нуклонів у ядрі компенсуються, розміщуючись антипаралельно.
Взаємодією магнітних моментів ядра та електронів атома обумовлюється так звана надтонка структура атомних спектрів. Пов’язаний зі спіном ядра магнітний момент знайшов широкі застосування в експериментальній методиці ядерного магнітного резонансу.
§ 7.2. Дефект маси та енергія зв’язку ядра. Ядерні сили. Моделі ядра
Користуючись таблицею мас ізотопів, можна пересвідчитись, що маса ядра mя менша суми мас нуклонів, з яких воно складається. Величину
(7.3)
називають дефектом маси ядра. Його існування обумовлене тим, що при об’єднанні нуклонів у ядро виділяється енергія у виді квантів, які виносять частину маси. Цю енергію можна розрахувати за формулою Ейнштейна про взаємозв’язок маси-енергії
с2, (7.4)
де с – швидкість світла у вакуумі. Очевидно, щоб розкласти ядро на невзаємодіючі нуклони, потрібно таку ж енергію затратити. Ця енергія
(7.5)
називається енергією зв’язку ядра.
Для практичних застосувань співвідношення (7.5) зручно записувати у вигляді:
с2, (7.6)
де mн – маса атома водню, ma – маса атома елемента, ядро якого розглядається. При переході до наближеної формули (7.6) нехтують малою енергією зв’язку електронів з ядром; зручність (7.6) полягає у тому, що в довідниках наводяться не маси ядер mя, а маси атомів ізотопів ma. На основі (7.4) можна пересвідчитись, що 1а.о.м. еквівалентна енергії 931,5 МеВ, тому, виражаючи квадратну дужку формули (7.6) в а.о.м., для енергії зв’язку ядра в МеВ одержують:
. (7.7)
Очевидно, енергія зв’язку характеризує міцність ядра. Прийнято розглядати так звану питому енергію зв’язку (енергія зв’язку, що припадає на один нуклон). Розрахунки показують, що вона залежить від масового числа елемента (мал.7.1).
Для легких ядер ( стрибкоподібно зростає до (6–7) МеВ, далі більш повільно зростає до максимального значення 8,7 МеВ у елементів з масовим числом
А~50–60, а тоді повільно зменшується у важких елементів (наприклад, для З (мал.7.1) видно, що найбільш стійкими є ядра середньої частини таблиці Менделєєва. Стає зрозумілим також, що енергетично можливими є два процеси, які повинні супроводжуватися виділенням енергії: 1) поділ важких ядер на більш легкі; 2) злиття (синтез) легких ядер у більш важкі. Обидва ці процеси реалізовані на Землі: перший – в ланцюговій реакції ділення важких ядер (атомна бомба, реактори), другий – в термоядерній реакції синтезу легких ядер (воднева бомба).
Величезна питома енергія зв’язку свідчить, що між нуклонами в ядрі діють особливі сили притягання, які значно переважають електромагнітну та гравітаційну взаємодію нуклонів. Взаємодія між нуклонами в ядрі одержала назву сильної взаємодії. Ядерні сили мають ряд характерних особливостей, вони:
1 – короткодіючі, радіус їх дії~10–15м;
2 – зарядовонезалежні, мають неелектричну природу;
3 – спіновозалежні, залежать від орієнтації спінів нуклонів;
4 є нецентральними, не напрямлені вздовж прямої, що з’єднує центри нуклонів;
5 мають властивість насичення, діють лише між найближчими сусідами.
У 1934 р. І.Є. Тамм висунув гіпотезу, що сильна взаємодія повинна мати обмінну природу. По аналогії з електромагнітною взаємодією, яка квантовою електродинамікою описується як процес віртуального обміну електронів фотонами:
, (7.8)
нуклони в ядрі повинні обмінюватись деякими віртуальними частинками з масою спокою відмінною від нуля. Віртуальними називаються частинки, час життя яких менший того, що визначається співвідношенням невизначеностей
, (7.9)
де – невизначеність енергії квантового стану, – тривалість існування цього стану, – стала Дірака. З (7.9) випливає, що радіус дії обмінних сил оцінюється величиною
, (7.10)
тобто він може бути скінченним, якщо маса спокою віртуальної частинки відмінна від нуля.
У 1935 р. Х. Юкава показав, що для пояснення величини ядерних сил слід припустити існування віртуальних частинок з масою спокою у 200–300 разів більшою маси спокою електрона. Віртуальна частинка може стати реальною, якщо їй надати достатньої енергії. Такі частинки були відкриті Поуелом і Оккіаліні (1947 р.) в космічних променях; вони дістали
назву -мезонів. Існують –мезони. Заряд –мезонів рівний елементарному зарядові е. Їх маса 273 me, маса , спін усіх –мезонів j=0, всі вони – нестабільні; час життя =2,6, . За рахунок процесів:
, (7.11)
, (7.12)
, (7.13)
здійснюється обмін нуклонів віртуальними –мезонами в ядрі, що приводить до сильної взаємодії між нуклонами.
Обмін нуклонів віртуальними –мезонами підтверджується, зокрема, дослідами по розсіюванню нейтронів на протонах, в яких були виявлені процеси перетворення нейтронів в протони і навпаки при проходженні пучка нейтронів через водень. На основі процесів (7.11), (7.12) можна пояснити магнітні моменти протона і нейтрона. Згідно з (7.11), магнітний момент протона (більший одного магнетона) обумовлений орбітальним рухом +–мезона у віртуальному стані протона n++. Від’ємний магнітний момент нейтрона обумовлений орбітальним рухом ––мезона, коли, згідно з (7.12), нейтрон частину часу проводить у віртуальному стані р+–.
Незважаючи на пояснення природи ядерних сил, послідовна кількісна теорія ядра не побудована, бо являє собою громіздку квантову задачу багатьох тіл (А нуклонів). Це спонукає йти по шляху створення моделей ядра, які, за рахунок введення певних параметрів, що підбираються в узгодженні з дослідом, дозволяють простими засобами описувати деяку сукупність властивостей ядра. Найбільш аргументованими з них є краплинна та оболонкова моделі ядра.
Краплинна модель ядра (Я.І. Френкель, Н. Бор, 1935–1939 р.), базуючись на властивості насичення ядерних сил і молекулярних сил в рідині, а також на малій стисливості рідини і ядерної речовини, уподібнює ядро зарядженій краплині рідини. Це дозволило вивести напівемпіричну формулу для енергії зв’язку ядра і, зокрема, пояснити процеси ділення важких ядер.
Оболонкова модель ядра (М. Гепперт-Мейєр, 1949–1950 р.) базується на уявленні, що нуклони рухаються незалежно в усередненому центральносиметричному полі. У зв’язку з цим виникають дискретні енергетичні рівні, які заповнюються нуклонами на основі принципу Паулі. Ці рівні групуються в оболонки, в кожній з яких може знаходитись певне число нуклонів. Повністю заповнена оболонка являється особливо стійким утворенням. Такими особливо стійкими (магічними) є ядра, у яких число протонів Z або число нейтронів N рівні 2, 8, 20, 28, 50, 82, 126. Ядра, у яких магічними є Z та N, називаються двічі магічними. Їх відомо п’ять: , вони – особливо стійкі. Зокрема, мабуть тому -частинка () – єдина складна частинка, яка випромінюється важкими ядрами при радіоактивності.
§ 7.3. Радіоактивність
Радіоактивність – процес самовільного перетворення нестабільних ядер в інші з випромінюванням часток. До радіоактивних перетворень відносяться: -розпад, -розпад (з випромінюванням електрона, позитрона чи захопленням орбітального електрона), самовільне ділення ядер, протонна та нейтронна радіоактивність, інші види розпадів. Радіоактивність нестабільних ядер, які існують в природніх умовах, називається природньою (А.Беккерель, 1896 р.), а тих, що одержані шляхом ядерних реакцій,– штучною (І. та Ф. Жоліо-Кюрі,1934 р). Обидва види радіоактивності підкоряються одному законові радіоактивного розпаду.
Із-за незалежності радіоактивних перетворень окремих ядер можна вважати, що число ядер dN, які розпадаються за проміжок часу dt, пропорційне наявному числу ядер N і величині проміжку dt:
, (7.14)
де – постійна розпаду,яка характеризує ймовірність розпаду ядра за одиницю часу; знак мінус вказує, що число ядер зменшується з часом. Інтегруючи (7.14) при умові , одержуємо
. (7.15)
Закон радіоактивного розпаду (7.15) показує, що число радіоактивних ядер N, які не розпалися до моменту часу t, зменшується з часом експоненційно (мал.7.2).
Кількість ядер, які розпались за час t,
, (7.16)
Час Т, протягом якого розпадається половина початкової кількості ядер, називається періодом напіврозпаду. З (7.16) при t=T i випливає
. (7.17)
Період напіврозпаду відомих радіонуклідів змінюється в дуже широких межах: від с до років. Очевидно, величина характеризує середній час життя ядра, тому з (7.14) випливає
. (7.18)
Виявляється, що в процесі радіоактивного перетворення материнського ядра виникає дочірнє ядро, яке теж може бути радіоактивним, і т.д. Тому виникає ряд радіоактивних елементів, генетично зв’язаних між собою. Для природньорадіоактивних елементів відомо 3 таких ряди: ряд торію ряд урану ряд актинію які закінчуються стабільними ізотопами свинцю З часом в кожному радіоактивному ряді встановлюється так звана вікова рівновага, при якій швидкості утворення і розпаду проміжних членів ряду рівні, що дає
. (7.19)
Вікова рівновага встановлюється на протязі проміжку часу найбільш довгоживучого члена ряду. По мірі його розпаду загальний вміст членів ряду в земній корі повільно зменшується. Наприклад, для через великі проміжки часу виникає стільки ядер свинцю, скільки розпадається ядер урану. Тому, вимірюючи концентрацію урану і свинцю в уранових рудах, можна оцінити середній вік Землі, що дає величину ~4,5років.
Вже перші дослідники природньої радіоактивності (П. та М. Кюрі, Е.Резерфорд) виявили, що радіоактивна речовина є джерелом трьох видів випромінювань: -, - і -променів. -промені являють собою потік ядер гелію . -розпад відбувається за схемою
. (7.20)
Індекси дочірнього ядра встановлюються на основі законів збереження зарядового і масового чисел: зарядове чи масове число до реакції рівне сумі відповідних чисел після реакції. Звідси випливають так звані правила зміщення; зокрема, при -розпаді Z дочірнього ядра на 2, а А на 4 менше, ніж у материнського ядра, наприклад
.
Енергія реакції -розпаду визначається на основі формули (7.7), де дефект маси реакції
. (7.21)
Ця енергія виділяється у вигляді кінетичної енергії продуктів реакції, яку можна розрахувати на основі законів збереження енергії та імпульсу.
У більшості випадків радіоактивний елемент випромінює -частинки декількох чітко визначених груп. Це обумовлено тим, що дочірнє ядро може виникати не тільки в основному стані 1, але і в збуджених станах 2,3,… (мал.7.3). За час існування збуджених станів с дочірнє ядро переходить в більш низький чи нормальний стан, випромінюючи -квант. Так виникають -промені, які, звичайно, супроводжують -розпад, хоча дочірнє ядро може звільнитись від надлишку енергії також іншими способами: випромінюючи яку-небудь частинку, або йонізуючи атом (процес внутрішньої конверсії).
Процес -розпаду не можна пояснити на основі класичної механіки: з радіоактивних ядер випромінюються -частинки з енергією ~6МеВ, в той же час, при бомбардуванні ядер -частинками з енергією ~8МеВ такі -частинки не проникають в ядро. Ядро для -частинки є потенціальним бар’єром, висота якого U0 більша енергії -частинки Е (мал.7.4). Внутрішня сторона бар’єру обумовлена ядерними силами, зовнішня – силами кулонівського відштовхування. Явище стає зрозумілим на основі квантової механіки: -частинка виникає в момент радіоактивного розпаду ядра і долає бар’єр ядра на основі тунельного ефекту (для мікро- частинки існує відмінна від нуля ймовірність проникнути через бар’єр з енергією, меншою висоти бар’єру; Г. Гамов, 1929 р).
Маючи великий заряд і масу, -частинки інтенсивно йонізу- ють молекули речовини, тому пробіг -частинок в речовині – незначний; вони, наприклад, повністю затримуються аркушем паперу. Проникна здатність - променів – значна: щоб зменшити їх інтенсивність вдвічі, потрібний шар свинцю товщиною~1см.
Існує три різновиди -розпаду: -розпад (ядро випромінює електрон ), -розпад (ядро випромінює позитрон ) і так зване електронне захоплення (ядро поглинає один з електронів К–, рідше L–, чи М– шару свого атома).
-розпад відбувається за схемою
; (7.22)
звідси видно, що при -розпаді масове число дочірнього ядра не змінюється, а зарядове число змінюється на одиницю, наприклад, . Пояснення -розпаду зустрілося з труднощами:
незрозумілим було походження електрона (електронів у ядрах немає);
незрозумілим був неперервний характер -спектрів ядер (мал.7.5);
було незрозуміло, чому при -розпаді не змінюється спін ядра?
Ці труднощі усунули В. Паулі та Е.Фермі (1932–1934 р.р.). Вони висунули гіпотезу, що електрон при -розпаді виникає в ядрі разом з антинейтрино за рахунок процесу
. (7.23)
Антинейтрино не має маси спокою і електричного заряду, але має спін 1/2. Процес (7.23) – можливий енергетично, бо він пояснює походження електрона при -розпаді, а також – незмінність масового числа і зростання зарядового числа дочірнього ядра на одиницю (протон залишається в ядрі). Виліт з ядра двох партнерів (електрона і антинейтрино), спіни яких компенсуються, усуває трудність зі спіном при -розпаді, а також пояснює неперервний характер -спектру, бо максимальна енергія -розпаду розподіляється між двома партнерами статистично. Походження -променів, що супроводжують -розпад – таке ж, як і при -розпаді: дочірнє ядро може виникати у збуджених станах, висвічуючи -кванти при переходах у більш низькі стани.
-розпад відбувається за схемою
, (7.24)
наприклад, . Він супроводжується випромінюванням позитрона і нейтрино , які є античастинками, відповідно, для електрона і антинейтрино . Цей вид -розпаду має місце для штучнорадіоактивних ядер, які мають надлишок протонів над нейтронами. Його можна пояснити за рахунок процесу
. (7.25)
Для вільного протона цей процес – неможливий, бо ; в ядрі ж протон може запозичити потрібну енергію від інших нуклонів ядра.
Реакція електронного захоплення має вигляд
, (7.26)
що можна пояснити перетворенням протона в нейтрон
. (7.27)
Захоплення електрона ядром супроводжується характеристичним рентгенівським випромінюванням, яке обумовлене перебудовою електронної оболонки атома внаслідок виникнення електронної вакансії в ній. По цьому випромінюванню і було відкрите К-захоплення експериментально (Альварец, 1937 р.).
Суттєва для пояснення -розпаду гіпотеза нейтрино Паулі-Фермі стала початком вивчення так званої слабкої взаємодії, відповідальної за ряд перетворень елементарних часток. Ця гіпотеза була підтверджена експериментально Рейнсом і Коуеном (1953–1956р.р.), яким при роботі на реакторі вдалось підтвердити реакцію
, (7.28)
що є, фактично, оберненням реакції (7.23).
Важливим для практичних застосувань радіоактивності є поняття активності радіоактивного препарату. Під активністю радіоактивного зразка розуміють число розпадів, які відбуваються в ньому за одиницю часу
. (7.29)
З (7.15) випливає, що
, (7.30)
тобто активність змінюється з часом за законом
, (7.31)
де – активність при . Одиницею активності в системі СІ є Ібеккерель (Бк), що відповідає одному розпадові за секунду. Позасистемними одиницями активності є Ік’юрі (Кі) та Ірезерфорд (Рд); ІКіБк, ІРдБк. За відомою активністю може бути розрахована експозиційна доза радіації та поглинута доза (енергія йонізуючого випромінювання, розрахована на одиницю маси поглинаючої речовини). Для вимірювання експозиційної та поглинутої доз використовуються прилади різних типів – дозиметри.
§ 7.4. Ядерні реакції
Ядерні реакції – перетворення ядер при їх взаємодії з легкими частинками або іншими ядрами. Така взаємодія виникає при зближенні реагуючих часток до відстаней ~10-13см. Найбільш поширеним типом ядерної реакції є взаємодія легкої частинки a з ядром Х, в результаті якої утворюється легка частинка b і ядро Y
, (7.32)
що скорочено позначають Х(а,b)Y. В якості легких часток можуть фігурувати: нейтрон, протон, дейтон, -частинка, -квант. Ядерні реакції–основний метод вивчення структури ядра і його властивостей.
У будь-якій ядерній реакції виконуються закони збереження зарядового і масового чисел, а також енергії, імпульсу та момента імпульсу. Енергію реакції можна розрахувати на основі формули (7.7), де дефект маси реакції визначається співвідношенням
. (7.33)
Якщо енергія виділяється; якщо енергія поглинається.
Тип ядерної реакції залежить від енергії бомбардуючих часток. При малих енергіях реакція здійснюється в два етапи (Н. Бор, 1936 р.). На першому етапі ядро Х захоплює частинку а, в резулттаті чого виникає збуджене проміжне компаунд-ядро П. На другому етапі ядро П випромінює частинку b і перетворюється в ядро Y; в цілому процес має вигляд
. (7.34)
Середній час життя компаунд-ядра складає (10-15–10-16)с, він значно більший часу проходження нуклоном ядра c, тому захоплення частинки а і випромінення частинки b – незалежні процеси. Якщо , процес (7.34) називають розсіюванням; власне ядерна реакція має місце, якщо . При енергії збудження ядра П, яка менша необхідної для відокремлення від нього часток, єдиний шлях його розпаду – випромінювання -квантів; такий процес називають радіаційним захопленням. При великих енергіях бомбардуючих часток проміжне ядро не утворюється, процес має вигляд (7.32) і носить назву прямої ядерної взаємодії.
Ймовірність різних взаємодій в ядерній фізиці прийнято характеризувати за допомогою ефективного перерізу взаємодії
, (7.35)
де N – потік часток, що падають на деяку мішень, – число часток, які зазнають взаємодії, d – товщина мішені, n – концентрація ядер мішені. Ця величина характеризує ймовірність взаємодії в розрахунку на одне ядро в шарі одиничної товщини. Її прийнято вимірювати в барнах:1барн=10-24см2.
Велике значення мають реакції, які викликаються нейтронами. Із-за відсутності електричного заряду нейтрону не доводиться долати потенціальний бар’єр ядра, тому в ядра легко проникають навіть теплові нейтрони з енергією Е~0,03еВ. Звичайно для захоплення нейтронів має місце монотонна залежність , однак спостерігаються випадки резонансного захоплення нейтронів. Так, для різко зростає при Е=7еВ, досягаючи 23000 барн. Таке резонансне поглинання має місце, коли енергія, внесена нейтроном в ядро, рівна тій, яка необхідна для його переводу на збуджений енергетичний рівень.
Важливу групу ядерних реакцій складають реакції ділення важких ядер при їх бомбардуванні нейтронами (О.Ган, Р.Штрасман, О.Фріш, Л. Мейтнер, 1939 р.). При цьому ядро ділиться на декілька більш легких ядер (найчастіше – на два осколки зі співвідношенням мас 2:3) з випроміненням 2-3 вторинних нейтронів і виділенням величезної енергії (~ІМеВ на нуклон), наприклад,
. (7.36)
Мінімальна енергія, необхідна для поділу ядра, називається енергією активації; її вносить в ядро бомбардуючий нейтрон. Це приводить до деформації ядра внаслідок порушення рівноваги кулонівських сил і сил поверхневого натягу, поділу ядра і розлітання осколків з великими швидкостями (Н.Бор, Я.І.Френкель, 1940 р.). Осколки виносять понад 80% енергії ділення, декілька МеВ виносять нейтрони, решта енергії виділяється пізніше під час -розпаду продуктів ділення.
Оскільки відношення числа нейтронів до числа протонів для середніх ядер рівне 1,3, а для важких ядер – 1,6, звільнення осколків від надлишку нейтронів і приводить до виникнення вторинних нейтронів. Переважна більшість з них виникає в момент ділення (миттєві нейтрони); однак, 0,75% вторинних нейтронів виникають з запізненням (запізнілі нейтрони). Вони “випаровуються” -радіоактивними осколками вже після ділення ядра з розкидом в часі від 0,05с до десятків секунд. Саме це дозволяє плавно керувати ланцюговою реакцією ділення.
Ядерна реакція стає ланцюговою, якщо частинки, що її викликають, виникають як продукти цієї реакції. В реакції типу (7.36), викликаній тепловим нейтроном, вторинні нейтрони виникають швидкими в середній кількості на кожний акт ділення. Якщо частина f загальної кількості вторинних нейтронів буде використана для продовження реакції ділення, то на один нейтрон першого покоління прийдеться
(7.37)
нейтронів другого покоління, тому швидкість зміни потоку нейтронів і
, (7.38)
де n0-потік нейтронів при , -час життя покоління нейтронів. Якщо , здійснюється самопідтримувана ланцюгова реакція, що має місце в ядерних реакторах. При реакція перестає бути регульованою і закінчується вибухом; при ланцюгова реакція згасає.
Вивчення можливостей реалізації цих умов показало, що природній уран містить ~99,3% ізотопу і ~0,7% ізотопу . Ядра діляться як швидкими, так і тепловими нейтронами, ядра діляться лише швидкими нейтронами з енергією Е > 1МеВ, але ефективний переріз поділу для них малий. Конкуруючими процесами є непружне розсіяння і радіаційне захоплення нейтронів, тому в природньому урані ланцюгова реакція ділення самочинно розвинутись не може. Якщо природній уран збагатити ізотопом , то на швидких нейтронах реалізується співвідношення типу (7.37):
, (7.39)
де -середнє число нейтронів на кожний захоплений нейтрон, -коефіцієнт використання швидких нейтронів. З умови визначаються критичні розміри і критична маса атомної бомби, що для дає ~9см і ~50кг. При ядерні заряди можна зберігати; при з’єднанні докритичних мас у надкритичні відбувається атомний вибух еквівалентний вибуху тон тротилу (США, 1945; СРСР, 1949р).
При реалізації ланцюгової реакції ділення на теплових нейтронах необхідне використання сповільнювача нейтронів (важка вода , графіт, які мало поглинають нейтрони). Тоді стає можливим використання природнього урану. Коефіцієнт розмноження теплових нейтронів у цьому випадку визначається співвідношенням:
. (7.40)
Це – так звана формула чотирьох співмножників, де -коефіцієнт зростання потоку нейтронів за рахунок поділу ядер швидкими нейтронами, -доля сповільнюваних нейтронів, які не зазнають поглинання ядрами , - коефіцієнт використання теплових нейтронів (не поглинутих домішками і не вилітаючих за межі активної зони). Якщо перші два співмножники залежать лише від активно подільного матеріалу, другі два суттєво залежать від конструкції реактора. Оптимізація цих коефіцієнтів в уран-графітовому реакторі, де стержні з природнього урану відповідного діаметра складаються у своєрідну решітку з блоками графітового сповільнювача, дозволяє досягти і за допомогою автоматично регульованих стержнів з і В, які активно поглинають нейтрони, підтримувати регульовану ланцюгову реакцію ділення ядер на заданому рівні (США, 1942р; СРСР, 1945р). Використання відповідного теплоносія (вода, рідкі метали), який циркулює через активну зону, дозволяє виводити з неї тепло, що виділяється за рахунок утилізації кінетичної енергії осколків ділення, і перетворювати її в енергію пари (атомні двигуни) та електричну енергію (атомні електростанції). Запуск і плавне регулювання роботи атомного реактора можливі за рахунок використання запізнілих нейтронів; його зупинка досягається скиданням в реактор поглинаючих стержнів з Cd і В, внаслідок чого k стає меншим одиниці.
Миттєві нейтрони реактора використовуються частково для підтримання ланцюгової реакції, а частково – для відтворення ядерного пального. За рахунок радіаційного захоплення нейтронів ядрами виникає ізотоп , який після двох -розпадів перетворюється в . Цей ізотоп, як і , є активно подільним матеріалом, тому після хімічного виділення з відпрацьованих уранових стержнів реактора може використовуватись для виготовлення ядерних боєзарядів. На цих засадах базується сучасна ядерна енергетика з усіма її використаннями у мирних та військових цілях і екологічними проблемами, які вона породила. Зокрема, все більш актуальною стає проблема поховання радіоактивних відходів, що накопичуються.
Іншою групою ядерних реакцій, які супроводжуються виділенням величезної енергії, є термоядерні реакції синтезу важких ядер (наприклад, ) з більш легких (наприклад, ізотопів водню ). Для їх реалізації потрібні високі температури (, щоб за рахунок кінетичної енергії ядра могли зблизитись до відстані порядку радіуса дії ядерних сил (10-13см). В природніх умовах такі реакції мають місце в надрах зірок, обумовлюючи їх величезне випромінювання. Як показав Г.Бете (1938 р), перетворення водню в гелій на зірках здійснюється за допомогою водневого і вуглецевого циклів, які в кінцевому результаті еквівалентні реакції
. (7.41)
Завдяки величезним розмірам і масам зірок на них ідеально вирішується проблема гравітаційного утримування і термоізоляції плазми (речовина при Т~К являє собою високойонізовану плазму). На Землі для цього треба шукати інші підходи.
Термоядерна реакція синтезу на Землі поки що здійснена лише як вибухова у водневій бомбі (СРСР, США, 1953 р.), де детонатором служить атомна бомба, внаслідок вибуху якої у рівнокомпонентній суміші дейтерію і тритію виникають температура Т~К і тиск Р~атм, що приводить до “підпалювання” термоядерної реакції
. (7.42)
В реакції (7.42) виділяється енергія ~17,6МеВ, яка на одиницю маси реагуючої речовини в 4 рази більша, ніж в реакції ділення, тому енергія термоядерних бомб становить ~(105–106)т тротилового еквіваленту.
Надзвичайно привабливими видаються перспективи керованого термоядерного синтезу (КТС), як з точки зору практичної невичерпності дешевого для КТС пального (дейтерію у водах океанів), так і з огляду на суттєво меншу радіаційну загрозу реакторів КТС, ніж у реакторів ділення, тому вивчення КТС розпочалося ще у 50-і роки ХХ століття. Створення реактора КТС передбачає: 1) одержання плазми, нагрітої до температур ~К; 2) утримання плазмової конфігурації протягом часу, необхідного для протікання термоядерних реакцій. Керовано нагріти речовину до таких температур можна газовим розрядом, гігантським лазерним імпульсом або бомбардуванням інтенсивним пучком часток. Тому дослідження проблем КТС ведуться в напрямку створення квазістаціонарних реакторів з магнітним утримуванням плазми та імпульсних реакторів з інерційним утримуванням плазми. В обох підходах ще є принципові труднощі, пов’язані з нестійкістю плазмових конфігурацій та проблемою домішок у плазмі, що ведуть до надмірних енергетичних втрат. Проте, небезпідставним є оптимізм, що реактор енергетики майбутнього буде побудований.
§ 7.5. Елементарні частинки та фундаментальні взаємодії
Елементарні частинки в точному розумінні цього терміну – первинні, далі неподільні частинки, з яких за припущенням складається вся матерія. В сучасній фізиці цей термін вживається менш точно – для найменування всіх мікрочастинок, які (за винятком протонів) не є атомами, чи атомними ядрами. Крім протонів, сюди відносяться: нейтрони, електрони, фотони, -мезони, м’юони , важкі лептони , нейтрино трьох типів ( дивні частинки (к-мезони, гіперони), різноманітні резонанси, -частинки, “чарівні” частинки, іпсилон-частинки ۷, “красиві” частинки, проміжні векторні бозони () – всього ~ 400 часток, здебільшого нестабільних, кількість яких продовжує зростати. Фактично, більшість з них не є елементарними; частинки, що претендують на роль первинних елементів матерії, прийнято називати істинно елементарними.
Відкриття складного, несподіваного світу елементарних частинок – надбання квантово-релятивістської фізики ХХ століття. Деякі з елементарних часток були відкриті в зв’язку з вивченням будови атома (е– ) та ядра (р, n, ) і в космічних променях (е+, К, ), решта – на прискорювачах заряджених часток, які стали основним інструментом дослідження елементарних часток. Всі елементарні частинки є об’єктами винятково малих мас і розмірів, що обумовлює квантову специфіку їх поведінки. Найбільш важлива квантова властивість всіх елементарних часток – їх здатність народжуватися і знищуватися (випромінюватися і поглинатися) при взаємодії.
Різні процеси з елементарними частинками помітно відрізняються за інтенсивністю їх протікання. В зв’язку з цим взаємодії елементарних часток ділять на види: сильну, електромагнітну, слабку, гравітаційну. Інтенсивність взаємодій прийнято характеризувати безрозмірними параметрами, пов’язаними з квадратами констант зв’язку відповідних взаємодій.
Сильна взаємодія обумовлює найбільший зв’язок елементарних часток; для неї , радіус дії ; саме вона забезпечує зв’язок нуклонів у ядрі.
Електромагнітна взаємодія – менш інтенсивна і характеризується параметрами , ; зокрема, ця взаємодія відповідальна за зв’язок електронів з ядрами в атомах і – атомів в молекулах.
Слабка взаємодія теж – короткодіюча, її параметри – , ; вона відповідальна за повільні процеси розпаду квазістабільних часток, час життя яких лежить в межах 10–6 – 10–14с.
Гравітаційна взаємодія – універсальна, але, в зв’язку з малими масами елементарних часток, на характерних для них відстанях ~10–15м вона помітної ролі не грає; , ; однак, вона може стати суттєвою на відстанях ~10–35м.
Слід відмітити, що відносна роль різних взаємодій змінюється з ростом енергії часток. Проте, різні властивості симетрії сприяють розділенню взаємодій до досить значних енергій. Лише в границі самих великих енергій поділ взаємодій на види, мабуть, втрачає зміст.
В залежності від участі в тих чи інших взаємодіях елементарні частинки ділять на класи: фотон, лептони (“легкі” частинки), адрони (“сильні” частинки) з підкласами мезонів (“середніх” часток) та баріонів (“важких” часток), гравітон.
Фотони є квантами електромагнітного поля зі спіном j=1; вони приймають участь лише в електромагнітній взаємодії, але не зазнають сильної і слабкої взаємодії.
Групу лептонів складають електрон е–, м’юон , тау-лептон , відповідні нейтрино та їх античастинки. Спін всіх цих частинок j=1/2, тобто вони є ферміонами (підкоряються статистиці Фермі-Дірака); m, . Лептони приймають участь у слабкій взаємодії (заряджені – також і в електромагнітній), але не зазнають сильної взаємодії.
Підгрупу мезонів складають піони , каони , -мезон, деони ; , , . Всі вони – нестабільні: розпадаються за рахунок слабкої і електромагнітної взаємодії, приймають участь також у сильній взаємодії. Спін мезонів j=0, тобто вони є бозонами (підкоряються статистиці Бозе-Ейнштейна).
Підгрупа баріонів об’єднує нуклони (р, n) і гіперони ( , маса яких ~1,2~1,8 mp. Спін баріонів j=1/2, тобто вони, як і лептони, є ферміонами. Баріони приймають участь у всіх видах взаємодій. Відкриті на прискорювачах резонанси, список яких все збільшується, є сильновзаємодіючими короткоживучими частинками (). Вони трапляються з цілим і напівцілим спіном, тому, відповідно, відносяться до мезонів або баріонів.
Гравітони (гіпотетичні кванти гравітаційного поля) – частинки зі спіном j=2, приймають участь лише у гравітаційній взаємодії.
Кожна елементарна частинка описується сукупністю дискретних значень певних фізичних величин, що її характеризують (квантових чисел). Загальними характеристиками всіх елементарних часток є маса m, час життя , спін j, електричний заряд Q. В залежності від часу життя елементарні частинки діляться на стабільні, квазістабільні і нестабільні. Стабільними вважаються електрон, протон, фотон, нейтрино. До квазістабільних відносяться частинки, які розпадаються за рахунок електромагнітної і слабкої взаємодії. Нестабільними є резонанси, які розпадаються за рахунок сильної взаємодії. Спін частинки j, що характеризує її власний момент імпульсу, може бути цілим або напівцілим кратним величини – постійної Дірака. В цих одиницях у відомих часток j набуває значень 0, , 1, … Електричний заряд Q частинки є цілим кратним елементарного заряду е; у відомих елементарних частинок Q.
Було помічено, що квантові числа елементарних часток пов’язані з законами збереження, які відображають певні симетрії природи. Наприклад, закони збереження енергії Е, імпульсу , момента імпульсу відображають властивості симетрії простору-часу. Відповідні закони збереження (а також закон збереження електричного заряду) є точними. вони виконуються у всіх видах взаємодій. Разом з цим, елементарні частинки характеризуються ще рядом квантових чисел, пов’язаних з так званими “внутрішніми” симетріями.
Це, перш за все,– баріонний заряд В. Для всіх баріонів В=+1, для антибаріонів В=–1, для останніх часток В=0; має місце закон збереження баріонного заряду; вважається, що він може порушуватися.
По-друге,– лептонний заряд L. Для всіх лептонів L=+1, для антилептонів L=–1, для останніх часток L=0; має місце закон збереження лептонного заряду; вважається, що і він може порушуватися.
При розгляді адронів було помічено, що вони розбиваються на групи часток близьких за масою з подібними властивостями, якщо “виключити” електромагнітну взаємодію (зарядові мультиплети). Для характеристики цього було введене квантове число ізотопічного спіну І, яке пробігає цілі і напівцілі значення. Число часток у мультиплеті N=2I+1, вони відрізняються значенням “проекції” ізоспіну Із і величиною електричного
заряду (заряд часток у мультиплеті Q=Iз+В/2). Наприклад, для нуклонів І=1/2, тому (протон, нейтрон). Має місце закон збереження ізоспіну, порушується електромагнітною і слабкою взаємодією.
Важливою характеристикою адронів є так звана внутрішня парність , яка описує симетрію правого і лівого; порушується слабкою взаємодією. Нею ж порушується так звана зарядова парність яка описує симетрію часток та античасток і вводиться для абсолютно нейтральних часток.
Поняття античастинки ввів П. Дірак (1928 р.). Він встановив квантово-релятивістське рівняння для електрона, яке, при заданому імпульсі частинки р, дає власні значення енергії
, (7.43)
тобто одержуються дві області значень енергій, розділені забороненим проміжком шириною 2mec2 (мал.7.6).
В класичній теорії переходи в стани з від’ємною енергією заборонені, оскільки енергія змінюється неперервно. В квантовій теорії, де енергія квантується, такі переходи можливі. Але частинка з від’ємною енергією має від’ємну масу, що – нефізично. Дірак висунув гіпотезу, що стани з від’ємною енергією не спостерігаються, оскільки вони заповнені електронами. Збудження системи зводиться до переходу електрона з заповнених рівнів на вільні; внаслідок цього виникає вільний електрон і вакансія в системі заповнених рівнів – “дірка”. Ця вакансія веде себе як електрон з додатніми масою і зарядом, вона одержала назву позитрон. Для виникнення пари електрон-позитрон потрібна мінімальна енергія Е=2mec2. Процес
(7.44)
являє собою процес народження пари фотоном; із-за необхідності виконання законів збереження енергії та імпульсу він повинен відбуватись в полі частинки Х. Можливий і зворотній процес
, (7.45)
процес аннігіляції пари; він не вимагає присутності сторонньої частинки, оскільки народжуються два фотони.
У 1932 р. позитрони були виявлені в космічних променях; напротязі 1955–1956 р.р. були відкриті антипротон і антинейтрон . Античастинки існують і у бозонів: , наприклад, є античастинкою для . Існують і абсолютно нейтральні частинки (. Вони нездатні аннігілювати, але можуть перетворюватися в інші частинки.
Найбільша група елементарних часток – адрони діляться на звичайні, дивні, “чарівні”, “красиві”, “істинні” частинки. Цьому поділу відповідає наявність у адронів екзотичних квантових чисел: дивності S, чарівності С, краси b, істинності t; вони зберігаються у сильній та електромагнітній взаємодіях, але не зберігаються у слабкій взаємодії.
Таким чином, кожне квантове число описує певний вид симетрії часток і взаємодій з відповідним законом збереження, який може бути точним чи наближеним. Вивчення цих симетрій привело до класифікації елементарних часток і спроб побудови єдиної теорії фундаментальних взаємодій.
Нравится материал? Поддержи автора!
Ещё документы из категории физика:
Чтобы скачать документ, порекомендуйте, пожалуйста, его своим друзьям в любой соц. сети.
После чего кнопка «СКАЧАТЬ» станет доступной!
Кнопочки находятся чуть ниже. Спасибо!
Кнопки:
Скачать документ