Лекции по физике








































































































































































































































































































































































































































































































































































































































Лекция 10
8.5. Линии равной толщины
Как ясно уже из заголовка, речь пойдет о пластинах (тонких пленках), толщина которых непостоянна. И, по существу, здесь не решается какая-то новая задача: механизм интерференции тот же, что и в случае плоскопараллельной пластине. Можно, например, зафиксировать величину угла падения , и мы получим готовую формулу, подставив в соответствующее выражение зависимость d от координат. Обычно принимают значение =0 - в общем виде выражение громоздко и не представляется полезным.
n=1 1 2 0 X d0 n>1
Для реальной пластины зависимость d от координат может быть какой угодно. Традиционно рассматриваются лишь некоторые частные случаи такой зависимости.
Например, пластина может иметь форму клина. У показанной на рисунке пластины толщина зависит от координаты x:
; .
Для соседних максимумов, очевидно, k=1, и мы имеем для ширины интерференционной полосы:
; .
Мы, вроде, получили новую формулу, но, оказывается, она нам знакома. Действительно, после отражения от поверхностей и преломления лучи 1 и 2 расходятся под углом =2n, мы же при анализе интерференции волн от двух точечных источников получили для ширины интерференционной полосы выражение . Оно оказывается справедливым и в этом случае, но тут появляются некоторые проблемы.
экран изображ. поверхности 1 2 локализации линза 1 2 поверхность локализации пластина
При интерференции волн от двух точечных источников волны реально, “на самом деле” взаимодействуют, складываются на поверхности экрана. Теперь же эти волны (1 и 2) после отражения от двух поверхностей расходятся под углом . Возникает вопрос, где же они интерферируют друг с другом или, как принято выражаться, где локализованы интерференционныу полосы.
Ответ на этот вопрос поясняется рисунком. Для наблюдения интерференции отраженных от поверхностей пластины (клина) волн используется линза и экран, на котором создается изображение поверхности локализации интерференционных полос. Эта последняя образована точками пересечения продолжений луча 1 (он “начинается” от верхней поверхности пластины) и луча 2 после его преломления.
Другая традиционно рассматриваемая задача - кольца Ньютона. Это также линии равной толщины, но роль пластины здесь играет воздушный промежуток между плоской поверхность стеклянной, например, пластины и выпуклой поверхностью плосковыпуклой линзы.
R d(r) r
Пусть угол между вертикалью и прямой, проведенной из центра кривизны к некоторой точке выпуклой поверхности линзы с координатой r, равен . Тогда
.
Показатель преломления в промежутке между стеклянными поверхностями можно считать равным единице. Поэтому условие максимума будет
; .
При таких значениях радиуса r будут наблюдаться максимумы. Очевидно, минимумы будут при
; .
В этих выражениях k - целое. Эти выражения для радиусов колец Ньютона можно объединить в одно:
.
Теперь нечетным значениям k соответствуют светлые кольца, четным - темные.
8.6. Интерферометры
8.6.1. Интерферометр Линника
Собственно, интерферометр Линника представляет собой слегка видоизмененный интерферометр Майкельсона и может быть назван и так и этак. Мы здесь обсудим не столько его устройство, сколько его применение для определения качества обработки поверхностей.
З’ исслед. 2 поверхн. 1 2’ 1 p1 P2 З 2 линза 1,2 З”
Основу интерферометра составляют две стеклянные пластины p1 и p2 и два зеркала, одним из которых служит исследуемая поверхность.
Нижняя поверхность первой пластины представляет собой полупрозрачное зеркало, на котором происходит разделение лучей: часть света (луч 1) отражается вверх, отражается от исследуемой поверхности и после отражения от нижнего зеркала З” направляется в окуляр (на рисунке не показан), через который и наблюдается интерференционная картина.
После прохождения пластины p1 луч 2 направляется к зеркалу З, отражается от него, затем от полупрозрачного зеркала и вместе с лучем 1 направляется к наблюдателю.
Луч 1 после отражения от полупрозрачного зеркала и на обратном пути дважды проходит через пластину p1, “набирая” тем самым некоторую “лишнюю” разность хода. Для ее компенсации служит пластина p2, изготовленная из того же материала, что и первая. Разумеется, эту “лишнюю разность хода” можно было бы легко скомпенсировать простым перемещением зеркала, если бы не было дисперсии, зависимости коэффициента преломления от длины волны n(). Применение компенсирующей пластины p1 позволяет осуществить такую компенсацию сразу для всех длин волн.
Почему образуется интерференционная картина и как она выглядит помогает понять укрупненный фрагмент рисунка слева вверху. Реальный луч 2 и его отражение от зеркала З можно заменить лучем 2’ и его “отражением” от изображения зеркала З в полупрозрачном зеркале - З’. Это изображение и исследуемая поверхность образуют клин, пластину изменяющейся толщины. Соответственно, через окуляр наблюдаются интерференционные линии равной толщины - прямые, направленные перпендикулярно плоскости рисунка. И эти линии видны искривленными, если исследуемая поверхность не вполне плоская. При “идеально” плоской поверхности это прямые линии.
Ту же мысль можно сформулировать и иначе. При отражении от идеально плоских поверхностей волны остаются плоскими, и фронты волн 1 и 2 составляют между собой угол 2, если угол между исследуемой поверхностью и изображением зеркала З’ равен . Если исследуемая поверхность обработана некачественно, волна 1 уже не будет плоской, интерференционная картина исказится.
Чрезвычайно простой в эксплуатации, такой интерферометр позволяет обнаружить весьма небольшие неровности на исследуемой поверхности - порядка долей длины волны.
8.6.2. Интерферометр Рэлея
Показатель преломления воздуха, как и других газов, при условиях, близких к “нормальным”, мало отличается от единицы. Должно быть понятным, что для измерения такой величины показателя преломления необходим достаточно точный метод. Такого рода измерения могут быть произведены с помощью интерферометра Рэлея.
x 1 S 0 2 l экран
По существу схема получения интерференционной картины в этом случае насильно отличается от классического опыта Юнга. Источником света служит освещаемая достаточно удаленным источником щель S, от которой распространяется цилиндрическая волна. С помощью линзы волна преобразуется в плоскую волну: лучи 1 и 2 становятся параллельными. Они проходят через кюветы, длины которых l могут быть достаточно велики.
Если показатели преломления газов в кюветах одинаковы, интерференционная полоса (максимум) с нулевой разностью хода помещается в центре экрана при x=0. Заметим - выше ее (на рисунке) расположатся линии (максимумы), для которых оптическая длина пути нижнего луча больше.
Если верхняя кювета заполняется газом с несколько большим показателем преломления, оптическая длина пути луча 1 на протяжении кюветы станет больше и линия с нулевой разностью хода (“центральная”) сместится вверх.
x 1 S d 0 2 f экран
Изображенная на предыдущем рисунке схема интерферометра Рэлея заимствована из задачника Иродова. При такой схеме ширина интерференционной полосы определяется выражением
.
Реальный интерферометр Рэлея устроен несколько иначе: за диафрагмой устанавливается линза, в фокальной плоскости которой и наблюдается интерференционные полосы (с помощью окуляра с достаточным увеличением).
Но тогда угловое расстояние между источниками становится нулевым, интерферировать должны параллельные лучи. Причина образования интерферационной картины становится не очень понятной, непонятно, чем определяется ширина полосы.
Но все это не так загадочно, как может показаться. Два точечных источника представляют собой частный случай периодического расположения источников, рассмотренный нами раньше. Заметив, что мы ограничимся лишь малыми значениями углов , повторим для пары источников проведенные ранее рассуждения.
При =0, естественно, будет наблюдаться максимум. Следующий максимум будет при значении , которое определяется условием
x d L f экран
;
и ширина полосы на экране
.
Эти уточнения и расчеты помогут нам понять принцип работы другого интерферометра, о котором речь пойдет ниже. Но обратите внимание на то, что ширина максимума на экране определяется их угловой шириной, которую надо умножить на фокусное расстояние линзы.
8.6.3. Звездный интерфероментр Майкельсона
Если угловое расстояние между двумя звездами очень мало, в телескоп они видны как одна звезда. В таком случае говорят о двойных звездах и надо провести специальное наблюдение, чтобы отличить их от звезд одиночных. Для этого используется звездный интерферометр Майкельсона, который позволяет к тому же определить угловое расстояние между звездами.
Устройство звездного интерферометра Майкельсона показано не рисунке. Лучи света, пришедшего от удаленной звезды, отражается от зеркал, разнесенных на достаточно большое расстояние D, затем от двух других зеркал и собираются линзой на экране, помещенном в фокальной плоскости. Разнесенные на расстояние D зеркала можно рассматривать как точечные источники, расстояние между которыми и равно D.
D линза x 0 X
Воспользуемся полученным ранее выражением для углового распределения максимумов излучения света
;
Иначе говоря,
.
На экране будут наблюдаться максимумы на расстояниях друг от друга.
Если наблюдаются две близкие звезды, лучи света от которых приходят под малым углом , то на экране будут наблюдаться две интерференционные картины, сдвинутые по отношению друг к другу на расстояние . Измерение углового расстояния между звездами производится следующим образом.
При изменении величины D изменяется . Несложно догадаться, что при видимость интерференционной картины ухудшится или она вообще не будет наблюдаться. Это позволяет определить угловое расстояние между звездами:
E0 0
; .
На рисунке показано именно такое взаимоположение интерференционных картин, интенсивность излучения одной из звезд несколько больше. При изменении расстояния между зеркалами изменяется величина .
Таким способом можно определить весьма малые угловые расстояния .
8.6.4. Интерферометр Фабри-Перо
1 2 3 n=1 n>1 1’2’3’
Интерференция лучей отразившихся от поверхностей плоскопараллельной пластины называется двухлучевой. И для такого названия имеется основание.
Коэффициент отражения границы стекло - воздух =I1/I0 невелик, несколько процентов. Обозначив интенсивность падающего луча как I0, для интенсивностей других лучей мы получим такие значения:
I1 =I0 ; I2 =I0(1-)2; I3 =I0(1-)24;
I1’=I0(1-)2; I2’=I0(1-)22; I3’=I0(1-)24.
Получаются эти выражения таким образом. Если коэффициент отражения , то коэффициент прохождения, как это следует из закона сохранения энергии, равен (1-). При определении интенсивности каждого луча интенсивность I0 следует умножить на коэффициент отражения и на коэффициент прохождения в степени, равной числу отражений и пересечения границы раздела соответственно. При малом коэффициенте отражения получается поэтому для отраженных и прошедших через пластинку лучей:
I1 I2; I3 << I2;
I3’<< I2’<< I1’.
Поэтому при сложении отраженных лучей мы учитываем только два луча - 1 и 2, интенсивности которых различаются несильно. Поэтому интенсивность в минимумах близка к нулю.
В проходящем свете также будет наблюдаться интерференционная картина, но из-за быстрого уменьшения интенсивности участвующих в интерференции лучей отношение интенсивности в максимуме и в минимуме различаются незначительно.
d 1 2 3 4
Устройство интерферометра Фабри-Перо показано на рисунке. Роль пластинки играет воздушный промежуток между двумя прозрачными пластинами, на внутренних поверхности которых напылен тонкий слой металла. Благодаря этому достигается большое значение коэффициента отражения - теперь он отличается от единицы лишь на несколько процентов, а коэффициент прохождения (1-) оказывается малым. Это существенно изменяет соотношения между интенсивностями лучей:
I1 >> I2 I3;
I1’ I2’ I3’.
При таких соотношениях при обсчете углового распределения интенсивности проходящего света необходимо учитывать много (все) проходящие через интерферометр лучи. В этом случае интерференция называется многолучевой.
Поскольку при прохождении прозрачных пластин энергия сохраняется, минимуму в отраженном свете должен соответствовать максимум в свете проходящем. Наконец, поскольку в промежутке между пластинами показатель преломления (воздуха) можно считать равным единице, мы получаем такое условие для максимума в проходящем свете:
; .
При практическом использовании интерферометра Фабри-Перо угол мал, а расстояние между пластинами d велико (порядка нескольких сантиметров). Так что длина когерентности световой волны 2 должна быть достаточно большой.
Лекция 11
8.6.5 Интерферометр Фабри-Перо.
Угловое распределение амплитуды проходящей волны
d 1 2 3 4
На своем пути каждый последующий из пронумерованных лучей испытывает два дополнительных отражения от внутренних поверхностей пластин. Стало быть, их интенсивности различаются в 2 раз. Интенсивность пропорциональна квадрату амплитуды и поэтому
; .
Далее, разность оптических путей соседних лучей равняется и разность фаз их колебаний в удаленной точке наблюдения
.
Таким образом, для амплитуды суммарных колебаний мы имеем выражение:
.
Начальную фазу колебаний первого луча мы положили равной нулю.
Для сложения этих колебаний перейдем к комплексным переменным - добавим мнимую часть, памятуя, что физический смысл имеет лишь реальная часть суммы, которую мы получим:
.
Итак, нам надо найти сумму членов бесконечной геометрической прогрессии, знаменатель которой . Таким образом,
.
Амплитуда суммарных колебаний равна модулю комплексного значения :
.
Воспользовавшись формулой Эйлера, произведем перемножение скобок под квадратным корнем в знаменателе:
.
: E 0,05 0,25 0,75 0
Вспомним, что
.
Таким образом,
.
Как и ожидалось, с увеличением коэффициента отражения глубина минимумов увеличивается. Одновременно уменьшается ширина интерференционных полос. Предвидеть этот результат было не так просто.
9. Дифракция Фраунгофура
Дифракция рассматривает процессы отклонения направления распространения света от прямолинейного при встрече с некоторыми препятствиями или при отражении от них. В случае дифракции Фраунгофера рассматривается падение на препятствие плоской волны (бесконечно удаленный источник света) и подразумевается, что зона наблюдения удалена от препятствия на достаточно большое расстояние (находится на бесконечности). Коротко говоря, это “дифракция в параллельных лучах”.
Как Вы увидите, основные задачи дифракции Фраунгофера мы, собственно, уже решили. Просто мы говорили о волнах вообще, а словом дифракция обычно обозначают именно оптические явления, поведение в том или ином случае световой (электромагнитной) волны.
9.1. Дифракция на щели
Ранее мы получили такое выражение для углового распределения амплитуды от системы точечных источников, от “цепочки” источников длиной b:
.
Ввиду особой важности да и сложности понимания этого результата получим его еще раз - другим способом.
X b 0
В связи с рассмотрением явлений дифракции формулируется принцип Гюйгенса-Френеля. Согласно этому принципу элементарный участок волнового фронта считается точечным источником вторичных волн, огибающая которого и является “новым” фронтом волны. В случае дифракции на щели в качестве таких источников выбираются узкие полоски (вдоль щели), которые являются источниками цилиндрических когерентных волн. Электромагнитные колебания в удаленной зоне наблюдения подсчитывается как сумма колебаний волн, пришедших от таких источников.
На этот раз мы проведем их сложение с помощью векторной диаграммы. Амплитуда вторичной волны пропорциональна ширине элементарной полоски: , а начальная фаза колебаний зависит от координаты выбранной полоски: . Таким образом, разность фаз колебаний от соседних элементарных полосок шириной x составит . На такой угол будут повернуты по отношению друг к другу соответствующие векторы на фазовой диаграмме.
E R E0
При стремлении ширины полоски x к нулю образованная элементарными векторами ломаная превращается в дугу окружности радиуса R, угловой размер дуги
.
При изменении угла угловые размеры дуги изменяется. Но длина дуги, равная сумме модулей (длин) элементарных векторов, считается постоянной:
.
Это позволяет нам определить радиус дуги и амплитуду суммарных колебаний (см. рисунок) при произвольном :
; .
Как видите, мы получили то же выражение, что и раньше. Но векторная диаграмма позволяет нам нагляднее представить причины обращения амплитуды суммарных колебаний в нуль и достижение максимумов.
При дуга превращается в окружность, амплитуда суммарных колебаний равна нулю. Максимумы достигаются при и, (приблизительно) при 2k.
1 2 E 3 E E0 E0
Эти ситуации показаны на рисунке. При =0 все элементарные векторы лежат на прямой, амплитуда суммарных колебаний максимальна и равна E0. По мере увеличения угла наблюдения и, соответственно, угла амплитуда колебаний уменьшается и при обращается в нуль. Затем дуга скручивается в спираль и максимум достигается приблизительно в тот момент, когда она представляет собой полторы окружности (2, ). При этом амплитуда колебаний равна примерно диаметру окружности: . Затем спираль становится “двойной окружностью”, амплитуда колебаний снова обращается в нуль (3) и т.д.
9.2. Дифракционная решетка
b d
Такая решетка состоит из большого числа щелей шириной b, расположенных на расстоянии d друг от друга. Разумеется, b
; .
E 0 E 0
Но этот результат мы получили для изотропных точечных источников, интенсивность излучения которых не зависит от направления. Теперь у нас источниками являются щели, у которых амплитуда волны существенно зависит от направления наблюдения. Поэтому в выражение для углового распределения амплитуды волны, рождаемой периодически расположенными источниками, надо вставить угловое распределение амплитуды волны самих источников, щелей:
.
Это довольно сложное выражение, но смысл его должен быть понятен. Он поясняется и рисунком. Вверху показано угловое распределение амплитуды волны, излучаемой изотропными источниками. Внизу - угловое распределение амплитуды после прохождени светом решетки. Там же показано угловое распределение амплитуды волны, излучаемой щелью. По рисунку можно оценить отношение ширины щели к периоду решетки b/d.
9.3. Дифракционная решетка как спектральный прибор
Очевидно, что дифракционная решетка может быть использована для разворачивания падающего на нее света в спектр, когда угловое положение максимума зависит от длины волны . При наблюдается максимум для всех длин волн. Но (угловые) положения максимумов k-того порядка при k>1 различны для разных длин волн. Это следует из условия максимума . То, как “быстро” изменяется угол , под которым наблюдается максимум, при изменении длины волны определяет угловую дисперсию решетки (это - определение термина)
.
Как видно, дисперсия возрастает с ростом порядка максимума k и с уменьшением периода решетки d. Обратите внимание, что в знаменателе стоит , который уменьшается с увеличением угла.
Естественно, чем больше угловая дисперсия, тем успешнее могут быть разрешены близкие по длине линии спектра, наблюдаться как отдельные линии. Попробуем разобраться с вопросом разрешения линий детальнее.
Пусть в спектре имеется пара линий с близкими длинами волн 1 и 2, разность длин волн . Любая линия обладает некоторой “естественной” шириной, которая предполагается меньше разности длин вол самих линий: 1<.
Но даже если бы ширина каждой линии была равна нулю, при наблюдении излучения после дифракционной решетки каждой линии будет отвечать некоторая полоса (на рисунке внизу). Она определяется свойствами самой решетки и для разрешения близких по длине волны линий эта ширина должна быть меньше или равна .
В физике вводится величина, называемая разрешающей способностью:
.
В этом выражении означает минимальную разность длин волн линий, которые могут наблюдаться в спектре как отдельные линии, и величина R является характеристикой спектрального прибора (например, дифракционной решетки).
Подсчитаем разрешающую способность дифракционной решетки. Для этой цели используется критерий Рэлея: линии считаются разрешенными, наблюдаются как отдельные линии, если при разложении в спектр максимум одной линии совпадает с минимумом другой. Ширина дифракционной полосы (отвечающей определенной линии) определяется положением ближайших к максимуму минимумов. Положение минимумов, в свою очередь, определяется выражениями
; k’0,N,2N,...
Если k’ кратно количеству щелей N, то наблюдается максимум - знаменатель второго сомножителя выражения для распределения амплитуды колебаний в удаленной зоне наблюдения обращается в нуль:
.
Таким образом, максимум первой волны наблюдается при условии . Потребуем, чтобы при этом же угле наблюдался минимум второй волны:
;
.
Считая, что и поэтому пренебреая последним слагаемым в выписанном выражении, получаем:
; .
Таким образом, разрешающая способность тем выше, чем больше порядок интерференционного максимума, и чем больше количество щелей решетки.
Лекция 12
10. Дифракция на круглом отверстии
В плане историческом теоретическое исследование явлений дифракции было исключительно важным для утверждения представлений о волновой природе света. Что и говорить, правильные представления в каждой области очень важны для общего правильного представления о Природе. Только в таком случае мы можем успешно использовать явления всякого рода для наших нужд.
В оптике различные приборы по понятным причинам имеют круглое входные отверстия, диафрагмы и проч. И неизбежная дифракция на круглых отверстиях ограничивает возможности этих приборов. При знакомстве, например, с линзой мы ограничивались параксиальными лучами, достаточно узкими пучками света. Лишь при этом условии преломляющие поверхности линзы можно изготавливать сферическими. Но это, естественно, ограничивает возможности изготовленных из таких линз оптических приборов и, в частности, из-за дифракции. А вот, например, для астрономических наблюдений необходимы грандиозно большие входные отверстия, изменяемые метрами. В этом случае задача изготовления телескопа неимоверно усложняется, телескопы с такими отверстиями очень дороги и, соответственно, уникальны.
Вот для некоторого, хотя бы, понимания этих проблем нам и необходимо заняться обсуждением дифракции на круглых отверстиях.
10.1. Зоны Френеля
При знакомстве с дифракцией в параллельных лучах (при бесконечных расстояниях до источника света и до зоны наблюдения) их параллельность сильно упрощала математические проблемы необходимых расчетов, хотя результаты и их смысл не становились от этого очень простыми. Теперь нам придется иметь дело со сферическими волнами, их лучи, разумеется, не параллельны друг другу. Это усложняет нужную для расчета математику, большинство задач поэтому мы будем решать приближенно. Но вначале оставим хотя бы расстояние до источника бесконечным - рассмотрим дифракцию плоской волны на круглом отверстии.
s P P
В соответствии с принципом Гюйгенса-Френеля каждый элементарный участок фронта s может быть рассмотрен как точечный источник сферических волн. Такой участок показан на рисунке. Точка наблюдения p в наших задачах, как правило, будет находиться на оси симметрии на некотором расстоянии от отверстия или от круглой преграды. Разумеется, от различных элементарных участков фронта свет к точке наблюдения будет проходить разные расстояния и при сложении колебаний нам необходимо будет учитывать разности фаз отдельных колебаний. Но разности фаз , понятно, будут нулевыми, если элементарные участки расположены в пределах тонкого кольца, и тогда (пока мы не перешли к другому кольцу) мы можем просто складывать амплитуды колебаний волн, приходящих от таких участков. Поэтому и сами элементарные участки мы будем выбирать в виде тонких колец. Фаза колебаний в точке наблюдения будет зависеть от радиуса такого кольца.
Итак, рассмотрим падение плоской волны на круглое отверстие и проанализируем, как зависит от радиуса отверстия амплитуда суммарных колебаний в точке наблюдения.
L r =r/b b P
Из рисунка видно, что разность хода лучей от края кольца радиуса r и от центра отверстия
.
Поэтому от кольца с радиусом r колебания будут приходить с запаздыванием по фазе на
.
С помощью векторной диаграммы мы будем складывать колебания, приходящие в точку наблюдения от тонких колечек толщиной r. Соответствующие векторы на фазовой диаграмме будут повернуты по отношению друг к другу на угол
.
При достаточно большом радиусе будет
.
Соответствующий радиус r1 называется (внешним) радиусом первой зоны Френеля. При дальнейшем увеличении радиуса, естественно, величина будет увеличиваться. Из условия k мы получаем выражение для радиуса k-й зоны Френеля:
; .
E0
Мы уже достаточно много работали с векторными диаграммами, и должно быть понятно, что при дальнейшем увеличении радиуса отверстия (по сравнению с r1) амплитуда суммарных колебаний в точке наблюдения, пропорциональная длине отрезка (вектора), соединяющего начало и конец дуги, будет уменьшаться. Она достигнет минимума, когда радиус отверстия достигнет внешнего радиуса второй зоны Френеля. Но в отличии от задачи о колебаниях волны, излучаемой щелью при дифракции Фраунгофера, дуга не замкнется в окружность, мы получим некоторую скручивающуюся спираль. Длина вектора, проведенного от начала к центру спирали, дает, очевидно, амплитуду падающей волны - скручивание спирали к центру соответствует бесконечно большому радиуса отверстия, когда дифракция не наблюдается.
Подобная спираль, которую называют спиралью Френеля, получается и в том случае, когда на отверстие падает сферическая волна конечного радиуса a. Выражение для радиусов зон Френеля в этом случае, естественно, иное.
a S r b P
На рисунке a - радиус фронта волны, b - расстояние от фронта до точки наблюдения P. Таким образом, расстояние от источника света S до точки наблюдения вдоль оси равно (a+b).
Подсчитаем теперь длину некоторого произвольного луча. Как и раньше, рассматриваем лишь параксиальные лучи. При таком ограничении наши выражения будут приближенными.
Нижний катет прямоугольного треугольника, образованного радиусом фронта a, осью системы и радиусом r некоторого кольца на фронте волны, будет равен
.
Расстояние от источника света до края кольца и от него до точки наблюдения будет равен
.
При преобразованиях мы пренебрегли слагаемым с четвертой степенью r и воспользовались приближенным равенством .
Таким образом, разность хода “прямого” луча от S к точке наблюдения P и луча, проходящего через край кольца радиуса r
,
и разность фаз колебаний волн, проходящим по этим путям,
.
Наконец, из условия получаем для внешнего радиуса k-й зоны Френеля выражение:
.
Естественно, при a это выражение переходит в полученное нами ранее выражение для случая падения на отверстие плоской волны.
10.2. Обсуждение полученных результатов.
Зонная пластинка
Попробуем разобраться, к каким эффектам приводит дифракция на круглом отверстии. При этом не будем ни на минуту забывать, что спираль Френеля состоит из элементарных векторов, которые, соответственно, представляют колебания от элементарных колечек круглого фронта падающей волны. Вся спираль представляет колебания от полностью открытого фронта (k ), если открыта часть зон Френеля, “реализуется” лишь часть спирали. Амплитуда суммарных колебаний представляется длиной вектора, соединяющего начало спирали и ее конец.
0,5 1 1,5 2 2,5 E0
Проиллюстрируем эти слова. На рисунке показаны случаи, когда открыта половина первой зоны, первая зона, полторы зона, две и две с половиной. Иначе говоря, когда радиус круглого отверстия равен радиусу половине первой зоны Френеля, радиусу первой зоны и т.д.
1 2 3 4 5 ... ;
Витки спирали для первых зон Френеля им будем считать окружностями. Поэтому на рисунке выписаны такие значения амплитуды суммарных колебаний E. Подсчет амплитуд колебаний производится приближенно, но для нас важно понимание причин изменения амплитуд при изменении радиуса отверстия, хотя бы и за счет некоторого снижения точности.
При суммировании амплитуд колебаний от первой, второй и т.д. зон Френеля мы должны получить амплитуду E0. Но если бы мы складывали только колебания от четных или только от нечетных зон Френеля, мы получили бы колебания с амплитудой, модуль которой намного превосходит величину E0. Действительно, вместо суммы членов знакопеременного ряда мы бы тогда складывали значения E одного знака.
Технически такое сложение осуществляется с помощью зонной пластинки. Она представляет собой систему непрозрачных концентрических колец, которые закрывают, например, нечетные зоны Френеля. Амплитуда колебаний в точке наблюдения при использовании такой пластинки сильно возрастает.
Зонная пластинка действует в этом случае подобно линзе, которая фокусирует свет в некоторой точке. Соответственно, для зонной пластинки может быть введено фокусное расстояние. На рисунке показана зонная пластинка, закрывающая нечетные зоны Френеля. Разность хода нарисованных лучей равна , и амплитуда колебаний от открытых зон при одинаковых знаках складываются по модулю. Поэтому и получается большая интенсивность колебаний в точке наблюдения, фокусировка лучей.
зоны Френеля: 6 4 2 P b
Следующим шагом в своего рода совершенствовании зонной пластинки является превращение ее в прозрачную фазовую зонную пластинку. Вместо того, чтобы закрывать, например, нечетные зоны Френеля, мы можем изменять на фазу приходящих от них колебаний. Тогда амплитуда колебаний в точке наблюдения примерно удвоится. Чтобы достигнуть этого, необходимо изменить для них оптическую длину пут на половину длинны волны, обеспечить выполнение условия , где d - толщина фазовой пластины из материала с показателем преломления n.
10.3. Линза как дифракционный прибор
Фазовая пластинка представляется удивительным прибором. Ее способность фокусировать лучи основана на том, что она изменяет на фазу колебаний от, например, четных зон Френеля E2k. В отсутствии пластинки эти колебания противоположны по фазе колебаниям от нечетных зон E2k-1, противоположны им по знаку. Естественно, суммарная амплитуда сильно увеличивается, происходит фокусировка. Но у нас имеется еще одна и еще более мощная возможность увеличить амплитуду колебаний - выпрямить сами дуги спирали и вместо хорд складывать длины этих дуг.
d 1 2 L=r r/f r f F d0
Приходящие от элементарных колечек в пределах некоторой зоны Френеля колебания имеют различные фазы, что и проявляется в скручивании элементарных векторов на векторной диаграмме в дугу. Если же обеспечить нужное плавное изменение фазы колебаний в пределах отверстия, можно добиться желаемого результата - синфазности колебаний от всех элементарных колечек. Собственно, это и обеспечивается линзой при фокусировке лучей.
Действительно, лучи 1 и 2 проходят одинаковые геометрические пути, но один из них проходит путь d в материале с показателем преломления n. В результате на этом участке он проходит больший оптический путь, появляется оптическая разность хода .
Рассмотрим теперь прохождение луча света через плоско-выпуклую линзу из материала с показателем преломления n. Луч от отмеченной пунктиром плоскости до выпуклой поверхности линзы проходит путь и в материале линзы . Таким образом, на этом участке оптическая длина пути будет . С другой стороны от края колечка на плоской стороне линзы до фокуса луч пройдет путь . Чтобы в фокусе колебания волн, проходящих по путям всех лучей, складывались, необходимо, чтобы этот путь на зависел от радиуса колечка:
;
.
Мы получили прежнее выражение для фокуса линзы, но на этот раз исходя их требования синфазности колебаний волн, приходящих в некоторую точку наблюдения, которая называется фокусом.
10.4. Пятно Пуассона
E
С помощью спирали Френеля можно получить еще один замечательный результат. Действительно, если на пути сферической волны находится непрозрачное круглое отверстие (любого размера), то оказывается закрытым какое-то число внутренних зон Френеля. Но вклад в колебания в точке наблюдения, находящегося в центре геометрической тени, будут давать остальные зоны. В результате в этой точке должен наблюдаться свет.
Этот результат показался в свое время Пуассону столь невероятным, что он выдвинул его как возражение против рассуждений и расчетов Френеля при рассмотрении дифракции. Однако, когда был проведен соответствующий опыт, такое светлое пятнышко в центра геометрической тени было обнаружено. С тех пор оно носит название пятна Пуассона, хотя он не допускал и самой возможности его существования.
Лекция 13
11.1. Свет поляризованный и неполяризованный.
Закон Малюса
До сих пор при исследовании дифракции или интерференции мы занимались волнами без учета их поляризации. Можно сказать, что в случае волн поперечных, мы считали их поляризованными одинаково. Только в этом случае с помощью векторной диаграммы можно складывать амплитуды колебаний, т.е. в случае, если они происходят по одному направлению.
Теперь нам нужно сосредоточиться на поперечных волнах, при сложении которых может оказаться существенной поляризация волны.
Поляризация определяется тем, как направлен, например, вектор электрического поля в плоскости, перпендикулярной к направлению распространения волны.
Вектор перпендикулярен направлению распространения волны, но это направление может тем или иным способом изменяться. Свет называют поляризованным, если наблюдается некоторая регулярность такого изменения.
В естественном свете это направление изменяется случайным образом. Такой свет называют неполяризованным.
анализатор o’ o фотоприемник
Каким образом можно судить о поляризованности света? Имеются приборы, которые пропускают только свет с определенным направлением вектора (в зависимости от назначения их называют поляризаторами или анализаторами). Если свет неполяризован, то при повороте анализатора вокруг горизонтальной оси интенсивность света, воспринимаемого фотоприемником, не изменяется: амплитуда колебаний электрического вектора остается неизменной.
Кроме света неполяризованного выделяют частично поляризованный свет. В этом случае направление вектора электрического поля также изменяется хаотически, но имеется некоторое направление, при котором в среднем амплитуда колебаний больше. Для такого случая вводится понятие степени поляризации: вращая анализатор, определяют значения максимальной и минимальной интенсивности, воспринимаемой фотоприемником. Степень поляризации определяется выражением:
.
Частично поляризованным может быть смесь неполяризованного и линейно поляризованного света.
Если неполяризованный свет проходит через поляризатор, он становится линейно или плоско поляризованным светом. В этом случае колебания вектора происходят в некоторой плоскости, проходящей через направление распространения световой волны, которая и называется плоскостью поляризации. При этом, очевидно, Imin=0 и степень поляризации равна единице.
E0 O’ E E O
Для линейно поляризованного света справедлив закон Малюса. Пусть колебания электрического вектора происходят в вертикальной плоскости и амплитуда колебаний равна E0. Если ось анализатора повернута не угол по отношению к направлению поляризации, к фотоприемнику пройдет свет с амплитудой
.
Поскольку интенсивность света пропорциональна квадрату амплитуды, мы получаем закон Малюса
.
Свет с амплитудой E задерживается анализатором.
11.2. Одноосные кристаллы
Кристаллы не обязательно или даже редко бывают изотропными. В частности, скорость распространения света в кристалле может зависеть от направления (плоскости) колебаний вектора электрического поля. Простейшим случаем является одноосный кристалл.
Если внутри такого кристалла имеется точечный источник света, волновой фронт (лучевая поверхность) будет иметь форму эллипсоида вращения. Дело в том, что скорость распространения в таком кристалле зависит от ориентации направления поляризации света по отношению к некоторму направлению - оси кристалла. В показанном на рисунке случае положительного одноосного кристалла скорость распространения света максимальна, если направление поляризации перпендикулярно оси. Существуют также отрицательные одноосные кристаллы, в которых эта скорость минимальна.
Вообще говоря эту поверхность удобно называть фронтом - колебания во всех ее точках происходят с одинаковой фазой. Но лучше называть ее лучевой поверхностью: нарисованные в определенном масштабе, лучи, вышедшие из точки, где расположен источник света, будут равны по длине расстоянию до этой поверхности. Но при этом они не будут, естественно, перпендикулярны к этой поверхности.
Для таких кристаллов вводятся понятия обыкновенного и необыкновенного лучей. Обыкновенным лучем называется такой, направление поляризации которого перпендикулярно оптической оси. Соответственно, вводится два показателя преломления: обыкновенного луча no и необыкновенного ne. В положительном кристалле . Это соответствует тому, что скорость распространения света вдоль оси кристалла (обыкновенный луч) больше скорости в поперечном направлении, когда колебания вектора электрического поля направлены вдоль оси кристалла. Для отрицательного кристалла соотношение показателей преломления обратное.
11.3. Скрещенные поляризаторы
y X Z F
d
Эксперименты с одноосными кристаллами обычно проводятся с использованием скрещенных поляризаторов. При этом оси поляризаторов обычно направляются под углом 450 к вертикали. Соответственно, и направление плоскости поляризации составляет 450 к вертикали.
Амплитуды колебаний x- и y-составляющих электрического поля одинаковы при таких условиях. Естественно, свет через такую систему не проходит.
Иное дело, если между скрещенными поляризаторами помещается кристалл, оптическую ось которого обычно направляют вертикально.
Луч, вдоль которой распространяется волна является обыкновенным - направление вектора электрического поля для него перпендикулярно оптической оси, показатель преломления . У другого луча направление поляризации совпадает с осью кристалла и показатель преломления . Эти лучи мы будем называть обыкновенным и необыкновенным. Заметим еще раз, что различаются эти лучи направлением плоскости поляризации по отношению к оси кристалла. Заметим также, что направление поляризации это ни что иное, как направление действующей на электроны вещества силы. Значения показателей преломления различны потому, что собственные частоты колебаний электронов вдоль оси и в поперечном направлении различны.
Из-за различия показателей преломления внутри кристалла эти лучи, двигаясь параллельно, пройдут разные оптические пути - и , возникнет разность фаз колебаний. Проходящий через систему скрещенных поляризаторов свет можно зафиксировать помещенным за системой поляризаторов фотоприемником. Результат определяется тем, какой будет поляризация после прохождения светом поляризатора и кристаллической пластинки.
Рассмотрим подробнее, какие здесь возможны случаи.
При прохождении светом одноосного кристалла у обыкновенного и необыкновенного лучей фазы изменятся таким образом:
; .
Разность фаз колебаний в этих лучах после прохождения кристалла (но перед вторым поляризатором!) будет
.
И будем еще помнить, что это разность фаз колебаний y- и x-колебаний электрического вектора волны после прохождения кристалла.
Естественно, не представляет особого интереса случай, когда - в этом случае вид поляризации не изменится, свет через скрещенные поляризаторы проходить не будет. Если вращать второй поляризатор, используя его как анализатор, интенсивность в зависимости от угла поворота будет изменяться по закону Малюса.
Изменяя толщину пластинки, можно добиться выполнения условия . В этом случае y- и x-колебаний электрического вектора волны (волн) будут происходить в противофазе. Это означает поворот плоскости поляризации света на 900. Свет не будет задерживаться вторым поляризатором, с ось которого теперь совпадает направление поляризации. Но при повороте анализатора опять-таки будет выполняться закон Малюса.
Возникновение при прохождение пластинки разности фаз означает, что один из лучей отстал от другого на нечетное количество полуволн - такая кристаллическая пластинка называется “пластинкой в пол волны”.
Круговой после прохождения кристаллической пластинки поляризация будет при условии . Такая пластинка по понятным причинам называется пластинкой “в четверть волны”.
Y Y’ EY X’ EY’ EX 0 X EX’
Наконец, при произвольной толщине пластинки поляризация будет, вообще говоря, эллиптической. При этом оси эллипса составят угол 450 с осью кристалла. Свяжем параметры эллипса с толщиной и показателями преломления n0 и ne кристаллической пластинки.
Запишем колебания электрического вектора световой волны после прохождения кристаллической пластинки:
.
Проведя проецирование этих составляющих на оси повернутой на угол = 450 системы координат, мы получим:
;
.
Проведя сложение тригонометрических функций в скобках, получим:
;
.
Введя обозначение , можем записать:
.
Мы исключили из уравнений время и получили уравнение эллипса с полуосями
; .
Теперь мы доказали, что при произвольной толщине кристаллической пластинки d линейно поляризованный свет после ее прохождения будет поляризован эллиптически.
11.4. Двойное лучепреломление
e,o
Естественно, при наличии двух разных показателях преломления как правило возникает двойное лучепреломление. Рассмотрим сначала простой случай, когда оптическая ось кристалла направлена перпендикулярно плоскости падения луча.
Естественный неполяризованный свет при входе в кристалл разделяется на лучи обыкновенный и необыкновенный. У них разные показатели преломления, поэтому различны и углы преломления. Естественно, преломленные лучи оказываются уже поляризованными: у обыкновенного луча плоскость поляризации совпадает с плоскостью рисунка -направление поляризации перпендикулярно оси кристалла.
направления поляризации
Рассмотрим теперь более сложный случай, когда оптическая ось кристалла направлена под некоторым углом к поверхности. Тогда луч с направлением поляризации, перпендикулярном плоскости чертежа, будет обыкновенным. Сечения его лучевых поверхностей будет окружностями, и он пройдет в кристалл без преломления (на рисунке справа).
Для лучей, показанных слева, сечения лучевых поверхностей будут эллипсами. Направление распространения света будет от центров этих эллипсов к точкам касательной к их огибающей. Таким образом, даже при нормальном падении на поверхность кристалла эти лучи будут преломляться!
11.5. Поляризаторы
У многих кристаллов поглощение света зависит от направления электрического вектора световой волны. К таким кристаллам относится, например, турмалин. В нем обыкновенный луч поглощается намного сильнее необыкновенного. Поэтому после прохождения пластинки турмалина свет оказывается частично поляризованным. Если пластинка достаточно толстая (около 1 см), то обыкновенный луч поглощается практически полностью, и проходящий свет оказывается линейно поляризованным.
1 2
По-своему интересна как поляризатор призма Волластона. Она состоит из двух треугольных призм, изготовленных из одноосных кристаллов, оптические оси которых взаимно перпендикулярны.
В левой половине призмы обыкновенный и необыкновенный лучи распространяются по одной прямой, хотя и с разными скоростями. Но на границе обыкновенный луч, скажем, луч 1, становится необыкновенны. И наоборот - второй луч из необыкновенного превращается в обыкновенным. Поэтому законы преломления для них выглядят по-разному:
; .
В этих выражениях, очевидно, . Выходящие из призмы лучи линейно поляризованы во взаимно перпендикулярных направлениях.
e o K поляризатор анализатор
Первая поляризационная призма была изобретена шотландским физиком Николем. Такая призма обычно и называется николем, как и некоторые другие призмы сходной конструкции.
Изготавливается она из исландского шпата и состоит из двух частей специальной формы. Половинки призмы склеиваются между собой канадским бальзамом.
Углы шлифовки боковых граней и угол разрезания кристалла подбираются таким образом, чтобы обыкновенный луч o испытывал на границе полное отражение. Затем от поглощается на зачерненной боковой рани, а из николя выходит линейно поляризованный луч.
На рисунке также показаны обычно используемые условные обозначения поляризатора и анализатора. Между ними помещен исследуемый кристалл K.
Лекция 14
11.6. Анализ поляризованного света
При анализ вида поляризации светового луча могут возникнуть определенные трудности. Скажем, у нас имеется луч света неполяризованного. Поставив на его пути николь (анализатор) и поворачивая его, мы не обнаружим изменения интенсивности. Но тот же эффект будет и в том случае, если свет будет поляризован по кругу!
Y Y x x поляризация правая левая
Чтобы различить два таких луча следует использовать пластину в - после прохождения такой пластины в случае круговой поляризации свет станет поляризованным линейно. Теперь, поворачивая анализатор, мы сможем при некотором его положении достичь нулевой интенсивности света.
Рассмотрим эту задачу несколько более детально. При круговой поляризации вращение вектора электрического поля может происходить по часовой стрелке, или против нее (правая и левая круговая поляризация). Запишем соответствующие аналитические выражения:
; .
Поставим на пути луча света пластинку в . Предположим, что наша пластинка имеет меньшую на оптическую длину для обыкновенного луча (x-составляющая). Предположим также, что выписанные выражения описывают колебания непосредственно перед пластинкой в .
Введем обозначения для волновых чисел обыкновенного и необыкновенного лучей в кристалле - ko и ke. Согласно первому предположению . Как видно из выражения , если после пластинки фаза колебаний необыкновенного луча изменится на , то обыкновенного - на . Мы всегда можем положить (или k). Поэтому выписанные выражения изменятся следующим образом:
Y Y E1 E2 X X
;
-
такие колебания будут происходить в некоторой точке за кристаллической пластинкой. В обоих случаях циркулярно поляризованный свет превращается в линейно поляризованный. Но в первом случае плоскость поляризации пересекает плоскость XOY по второму и четвертому квадрантам, во втором - по первому и третьему квадрантам.
Y Y Y X X X
А теперь рассмотрим, как действует пластинка в на эллиптически поляризованный свет.
Поворачивая анализатор, можно определить направления максимума и минимума электромагнитных колебаний. Проделав мысленно такие манипуляции, совместим направление, например, оси OY с большой осью эллипса. Тогда аналитическая запись колебаний вектора будет выглядеть так:
.
От круговых колебаний эту запись отличает лишь неравенство Ex и Ey. Поэтому после прохождение пластинки в такой свет станет линейно поляризованным. В отличии от случая круговой поляризации направление колебаний не будет составлять угла в 450 с осями, а то, по каким квадрантам пройдет направление колебаний, зависит от того, право- или лево-поляризованным является эллиптически поляризованный свет.
11.7. Естественное вращение плоскости поляризации
Некоторые вещества, например, раствор сахара обладают способностью поворачивать плоскость поляризации линейно поляризованного света. Объяснение этого явления достаточно просто.
Причиной вращения (поворота) плоскости поляризации является то, что лево- и право-поляризованный по кругу свет распространяется в таких веществах с различной скоростью, а луч линейно поляризованного света можно представить как сумму двух лучей, поляризованных по кругу в разные стороны:
.
В веществе, которое обладает способностью поворачивать плоскость поляризации, скорости распространения циркулярно право- и лево-поляризованного света различны. Поэтому,
.
Сопоставив эту запись с первоначальной
,
мы увидим, что плоскость поляризации повернулась на угол
.
В промышленности эффект вращения плоскости поляризации при прохождении света через раствор сахара практически применяется для измерения концентрации раствора.
11.8. Эффект Зеемана и поляризация
Исходя из понимания, что излучение световой волны происходит в результате колебаний электрического диполя, рассмотрим поведение диполя в магнитном поле.
На движущийся со скоростью действует сила Лоренца
.
В результате, естественно, характер движения электрона в ходе колебаний изменится. Перейдем, однако, во вращающуюся систему координат. В такой системе на тот же электрон будет действовать сила Кориолиса
,
где - скорость вращения системы отсчета.
,Z Y pxy t X
Зависимость этих сил от скорости с одной стороны, и от поля и от скорости вращения с другой - одинаковы. Это обстоятельство позволяет нам просто решить задачу о колебаниях электрического диполя в магнитном поле: направив скорость вращения системы вдоль магнитного поля и подобрав нужную скорость вращения системы, мы можем добиться компенсации силы Лоренца и силы Кориолиса. В результате во вращающейся системе отсчета колебания будет происходить “обыкновенным” способом, как они происходили бы в отсутствии магнитного поля. Для этого необходимо лишь выполнение условия
при подходящем направлении вращения системы.
Высказанные утверждения составляют суть (и доказательство) теоремы Лармора.
Нас, разумеется, будет интересовать излучение в лабораторной, неподвижной системе отсчета. Такое излучение в определенном направлении определяется составляющей вектора дипольного момента, перпендикулярной этому направлению.
Проще всего обстоит дело с z-составляющей амплитуда ее колебаний остается неизменной. Мы можем записать для нее выражение . Это некоторый колеблющийся диполь, направленный вдоль оси OZ - его излучение имеет максимум в плоскости XOY.
Запишем теперь выражения для других составляющих:
;
.
Преобразуем эти выражения:
.
Итак, мы убедились, что в направлении оси OZ, в направлении магнитного поля диполь излучает две волны. Они различаются частотами () и поляризованы по кругу в противоположных направлениях.
Z c c Y c 0 X
Вообще говоря, для анализа эффекта Зеемана необходим квантовый подход. Позднее мы еще вернемся к этому вопросу, а пока лишь отметим, что классическая физика объясняет только так называемый простой эффект Зеемана. На основе эффекта Зеемана ниже будет проанализирован эффект магнитного вращения плоскости поляризации света.
11.9. Искусственное двойное лучепреломление
Сколько-нибудь детально строением кристаллов мы заниматься не будем (или - не можем). Причины возникновения анизотропии, которая является причиной двойного лучепреломления, для нас останутся загадкой. Поэтому для нас особенно ценно обсуждение искусственного двойного лучепреломления, когда причины анизатропии совершенно прозрачны.
E
Может, не самым простым, но имеющим большую практическую ценность, является создание анизотропии с помощью электрического поля. если молекулы вещества полярны, их расположение под действием поля становится в определенной степени упорядоченным. Неполярные молекулы под действием поля поляризуются. Направление поляризации и становится осью, определяющей анизотропию скорости распространения света.
Соответствующее устройство называется ячейкой Керра. Рабочим веществом обычно является жидкость. В нее погружаются параллельные металлические пластины, образующие плоский конденсатор, поле которого и осуществляет поляризацию вещества. Разность показателей обыкновенного и необыкновенного лучей оказывается пропорциональной показателю преломления вещества n и квадрату электрического поля E2 - эффект является квадратичным. В выражении коэффициент пропорциональности k называется постоянной Керра.
Поместив ячейку Керра между скрещенными поляризаторами и подавая на нее импульсное напряжение. можно осуществлять управление проходящим через систему светом. Время переключения света может быть чрезвычайно малым - порядка 10-12 с.
Другой способ искусственного создания анизотропии - деформация, видимо, не требует особых пояснений. При сжатии или растяжении изотропного материала в направлении деформации создается оптическая ось и проявляется явление двойного лучепреломления.
Кстати, пластинку в , например, можно изготовить из обыкновенного целлофана, в котором после его изготовления остаются остаточные напряжения. Сам по себе этот материал вполне изотропный.
11.10. Магнитное вращение плоскости поляризации
Как мы уже знаем, луч линейно поляризованного света может быть представлен как сумма (суперпозиция) двух циклически поляризованных лучей:
.
Для вакуума это лишь тождественное преобразование выражения, но в магнитном поле благодаря эффекту Зеемана у циклически право- и лево-поляризованных будут разные собственные частоты и . Следовательно, у этих лучей будут разными и показатели преломления:
.
Введя обозначение , запишем выражение для производной показателя преломления:
.
В нашем случае при подсчете следует взять . Поэтому, считая , получим:
.
Далее можно провести такие рассуждения. Некоторое расстояние l волны пройдут за времена и . При этом вектор электрического поля каждой волны вращается (в разные стороны) с угловой скоростью . Один из векторов повернется на угол , другой (в противоположную сторону) на . Поэтому угол поворота плоскости поляризации на длине l
;
.
В выписанных выражениях R - постоянная вращения (постоянная Верде).
Лекция 15
12. Тепловое излучение
12.1. Основные понятия. Закон Кирхгофа
До сих пор мы в основном занимались волнами как таковыми, необязательно конкретизируя природу волны. Соответственно, в определенном смысле, в разговорах часто присутствовало больше геометрии, чем физики. Хотя, конечно, физика без геометрии - это не физика.
Но вот теперь на первый план выходят очень непростые существенно физические проблемы и закономерности. И, в частности, разговор о тепловом излучении требует введения некоторых специальных понятий.
Говоря о тепловом излучении, мы будем говорить о равновесном состоянии, о равновесии между нагретыми телами - эти тела излучают тепловую энергию и поглощают ее. Иначе говоря, имеет место равновесие между телами и электромагнитным полем, в которые эти тела оказываются “погруженными”.
Для описания этих процессов нам понадобятся некоторые новые понятия. Прежде всего это энергетическая светимость R. В соответствии с определением, с элементарной поверхности s за время t излучается энергия W = Rst. Эта энергия относится ко всему частотному диапазону и излучается в пределах телесного угла .
Следующее понятие - испускательная способность . Она входит в выражение и определяет энергетическую светимость в диапазоне d. Однако, испускательная способность зависит также и от температуры. Поэтому обычно пишут . Тогда энергетическая светимость при некоторой температуре
.
Испускательную способность иногда удобно относить не к некоторому значению частоты, а к значению длины волны . Тогда пишут . Поскольку
и по смыслу , мы имеем:
;
;
.
Последнее выражение связывает величины r и r, и мы при необходимости можем переходить от одной к другой.
При падении лучистой энергии на поверхность часть ее, вообще говоря, поглощается. Поглощательная способность зависит от частоты и от температуры. Поэтому выражение для нее записывается в виде:
.
В знаменателе стоит поток падающей лучистой (электромагнитной) энергии, относящейся к интервалу d, в числителе - поглощенная часть потока. Если при любых частотах , тело называется абсолютно черным. При частичном поглощении падающего потока энергии говорят о сером теле. При этом подразумевается, что поглощательная способность не зависит от частоты: . Естественно, поглощательная способность не может быть больше единицы.
Таковы основные понятия, необходимые нам для разговора о тепловом излучении.
Мы уже говорили, что речь идет о тепловом равновесии между телом (его излучением) и окружающем его пространстве, заполненном лучистой энергии. Что будет, если имеется несколько тел с разными свойствами поверхностей? Оказывается, что отношение испускательных и поглощательных способностей обязаны быть равны:
.
Действительно, в противном случае у них были бы различные температуры и мы с легкостью получили бы вечный двигатель.
Это отношение представляет собой некоторую функцию частоты и температуры (или же длины волны и температуры):
.
Это соотношение между функциями следует из таких соображений. Для абсолютно черного тела и, стало быть,
.
Абсолютно черное тело является некоторой идеализацией - таких тел в природе просто не существует. Но к свойствам абсолютно черного тела могут быть сколь угодно близки свойства некоторого специального устройства. Оно представляет собой некую полость с, вообще говоря, зачерненной шероховатой внутренней поверхностью и небольшим отверстием. Проникшая через отверстие, электромагнитная волна любой частоты будет рассеиваться на внутренней поверхности полости, частично поглощаться и может выйти из нее только после многочисленных отражений. Доля вышедшей после многочисленных частичных поглощений при “соприкосновении” с внутренней поверхностью полости явно весьма незначительна.
Хотя поглощательная способность внутренней поверхности полости и не равна единице, при каждом отражении происходит поглощение части энергии, при многочисленных отражениях будет поглощена практически вся энергия.
Таким образом, входное отверстие такой полости, даже не являясь поверхностью какого-нибудь тела, обладает свойствами поверхности абсолютно черного тела. И для нас, конечно, важно не столько то, что (почти) вся падающая на эту “поверхность” энергия будет поглощена, сколько то, что ее излучение будет практически совпадать с излучением абсолютно черного тела. В соответствии с законом Кирхгофа.
12.2. Плотность лучистой энергии
V d R R
Рассмотрим детальнее равновесие элемента поверхности абсолютно черного тела и лучистой энергии, в которую оно “погружено”. Выделим элемент поверхности s и некоторый элементарный объем V в окружающем его пространстве.
Введя плотность энергии , мы можем записать выражение для части заключенной в выделенном объеме энергии, которая протечет через выделенную площадку:
.
Это выражение написано из таких соображений. Запасенная в выделенном объеме энергия будет распространяться в пределах телесного угла 4. Значит, через выделенную площадку пройдет часть этой энергии, равная отношению телесного угла , под которым из выделенного объема видна площадка, к полному телесному углу.
V d R R
Далее, в силу симметрии, элементарный объем можно выбрать в виде “бублика”, объем которого
.
Таким образом, чтобы подсчитать энергию, которая пройдет через выделенную площадку за время , нам надо взять интеграл по d :
.
В условиях равновесия за то же время площадкой s будет испущена такая же по величине энергия. Поэтому,
;
.
Мы нашли связь между испускательной способностью абсолютно черного тела и плотностью электромагнитной энергии в условиях равновесия.
12.3. Лучистая энергия
Мы нашли связь между функциями испускательной способности и плотности электромагнитной энергии. Но представляется совершенно неясным, каким способом можно было бы найти вид этих функций. Здесь нужны какие-то дополнительные гипотезы о способе существования, что ли, лучистой, волновой энергии. Ясно, что такое описание распределения энергии по частотам (это функции частоты!) при определенной температуре должно быть вероятностным, но в основе должно предположить существование какой-то функции распределения, подобно тому, как мы в свое время нашли вид функции распределения Максвелла для молекул (атомов).
; Z Y d b 0 a X
Такой гипотезой явилось предположение, что лучистая энергия могла бы существовать в виде стоячих волн. Стоячими волнами мы ранее немного занимались, но теперь нам надо исследовать этот вопрос детальнее.
Пусть у нас имеется полость в виде прямоугольного параллелепипеда со сторонами a,b,c. Условием существования стоячей волны вида
является выполнение условий
.
Речь, разумеется, идет о плоской волне, и только при выполнении этих условий любой луч волны окажется замкнутым. Причем в любую “стартовую” точку волна будет возвращаться с неизменной фазой.
Теперь можно говорить о некотором распределении стоячих волн по оси частот - они могут принимать лишь некоторые дискретные значения.
Перейдем в декартово пространство, в котором по осям отложены значения составляющих векторов . Концы векторов, удовлетворяющих условию стоячей волны, будут иметь координаты . Это позволяет нам говорить о плотности таких точек в k - пространстве: поскольку , элементарный объем на одну точку (конец вектора ) . Равная обратной величине элементарного объема, плотность точек Nk в k - пространстве оказывается величиной постоянной: .
Собственно, нас интересуют количества векторов в модулем от k до k+k. Чтобы подсчитать это количество, выберем элементарный объем в k - пространстве в виде тонкого шарового слоя радиуса k и толщиной k и умножим его на плотность точек:
.
Теперь нам надо проделать еще такие операции. Во-первых, перейдем от волновых векторов k к частотам : . Затем нам надо умножить полученное число на 2, поскольку имеется два взаимно перпендикулярных направления колебаний - это будут разные стоячие волны. Тогда на единицу объема мы получаем такое количество волн с частотой :
.
Y kX<0 kX>0 kY>0 X kY<0
Теперь попробуем понять, что мы, собственно, получили. Это выражение дает нам число волн с частотой в единице объема. Но это еще не количество стоячих волн. При каждом отражении волна изменяет направление распространения, но это остается та же волна с частотой . При нашем же подсчете они считались различными волнами - с определенным модулем волнового числа k и независимо от направления вектора . Поэтому полученное количество волн нам надо разделить на 8 и вот почему.
При каждом отражении изменяется знак одной из проекций вектора . Как видно из рисунка, изменение знаков проекций kX и kY дает четыре возможные направления вектора . Но остается еще возможность изменения знака kZ - итого получается 8 возможных направлений распространения (одной и той же) волны с частотой . Таким образом, переходя к дифференциалам, мы получаем нужное выражение:
.
Эти стоячие волны заманчиво трактовать как колебательные степени свободы для лучистой энергии. Тогда на каждую стоячую волну пришлась бы порция энергии kT. Но здесь нас ждет большая неприятность: количество стоячих волн (вплоть до ) неограничено, плотность энергии оказывается бесконечной, что, конечно, никак не может отвечать реальности.
Тем не менее не стоит приходить в отчаяние. Нам еще придется сделать некоторые уточнения, связанные с более глубоким пониманием физики. Тогда мы и получим разумный результат.
12.4. Формула Планка
Изучение теплового равновесного излучения как и других явлений привело физиков к идее квантования. Каждой колебательной степени свободы пришлось приписать энергию в несколько энергетических квантов - порций энергии величиной ћ.
Количество стоячих волн с энергией определяется распределением Больцмана:
.
С увеличением частоты количество волн с большой энергией уменьшается и тем самым снимается проблема бесконечной плотности энергии.
Подсчитаем среднюю энергию стоячей волны с частотой :
.
Мы ввели обозначение .
Выражение под знаком логарифма представляет собой сумму членов бесконечной геометрической прогрессии со знаменателем . Поэтому средняя энергия стоячей волны
.
Умножив это значение на количество волн в интервале d, получим энергию в этом интервале:
,
мы получим для плотности лучистой энергии выражение
,
которое носит название формулы Планка.
Лекция 16
12.5. Закон Стефана-Больцмана и закон смещения Вина
Мы с Вами получили связь между плотностью лучистой энергии и испускательной способностью абсолютно черного тела
и формулу Планка для плотности энергии
.
Это позволяет нам записать выражение для испускательной способности абсолютно черного тела:
.
Это выражение также называют формулой Планка. С ее помощью можно получить закон Стефана-Больцмана - связь энергетической светимости абсолютно черного тела с температурой:
.
Произведем замену переменной: введем . Тогда выражение для энергетической светимости примет вид:
.
Интеграл в правой части выражения равен . Таким образом,
; .
Величина называется постоянной Стефана-Больцмана и ее значение, подсчитанное с помощью формулы Планка, весьма точно совпадает с определенным экспериментально.
Закон смещения Вина связывает температуру и длину волны, на которую приходится максимум излучения абсолютно черного тела:
; .
Чтобы получить выражение для b, нужно исследовать функцию
на экстремум. Принципиальных проблем в этой связи не возникает, но вычисления оказываются достаточно громоздкими. И тем не менее, учитывая огромную важность формулы Планка, нам следует заняться этими вычислениями.
Прежде всего перейдем в функции от переменной к переменной . Проследите внимательно за выкладками:
.
Мы ввели обозначение . Поскольку
,
мы получаем не такое уж сложное выражение:
.
Теперь займемся дифференцированием. Нам необходимо решить уравнение
;
.
Решить это уравнение “напрямую” нам не удастся. Поэтому перепишем его в виде
и решим методом последовательных приближений, в данном случае весьма эффективным.
В качестве нулевого приближения напрашивается значение . Тогда
;
;
.
Ограничившись четырьмя знаками после запятой, получаем:
;
; .
Полученное нами значение b очень хорошо совпадает с экспериментальным значением.
Сами законы Стефана-Больцмана и закон смещения Вина были установлены раньше, чем была получена формула Планка. То, что из нее были затем получены верные значения констант и b, явилось блестящим подтверждением верности тех представлений, которые были заложены при ее получении. Но смысл этих представлений нам еще нужно осознать.
12.7. Оптическая пирометрия
Установление законов Стефана-Больцмана и закона смещения Вина позволили создать измерители температуры, работающие без контакта с горячим, лучшее сказать, с раскаленным телом.
Об G Пр Ок
Радиационные пирометры. Такие пирометры основаны на фокусировке излучения раскаленной поверхности на некотором теплоприемнике. Замечательно, что яркость резкого (сфокусированного) изображения не зависит от расстояния до объекта, если это последнее велико по сравнению с фокусным расстоянием объектива. Собственно, приходящую от удаленного объекта волну можно считать плоской, отчего попадающая на теплоприемник энергия слабо зависит от расстояния. Важно только, чтобы создаваемое объективом изображение полностью перекрывало теплоприемник.
Разумеется, предварительно производится градуировка пирометра по абсолютно черному телу. Но поскольку энергетическая светимость реальной раскаленной поверхности при той же температуре меньше светимости абсолютно черного тела (в соответствии с законом Кирхгофа), измеренная радиационная температура оказывается меньше действительной.
В справочниках имеются соответствующие поправочные коэффициенты, учитывающем отличие светимости поверхностей реальных материалов от светимости абсолютно черного тела. Любопытно, что значения этих коэффициентов в свою очередь зависят от температуры.
меньше равна больше яркость нити по отношению к фону
Яркостные пирометры. Как следует из названия, действие такого пирометра основано на сравнении яркости свечения тела, температура которого измеряется, и некоторого другого - нити лампы накаливания. Наиболее удобным здесь оказался красный цвет и именно через красный светофильтр производится в этом случае наблюдение (=660 нм).
Применение пирометров обычно связано с металлургией. Производится наблюдение, например, окошка в стенки доменной или мартеновской печи. На фоне изображения светящегося окошка наблюдается нить лампочки накаливания. Регулируя ток через лампочку, добиваются уравнивания их яркостей в красном цвете. При этом нить лампочки становится невидимой - потому такой пирометр называют пирометром с “исчезающей” нитью.
Пирометр градуируется по абсолютно черному телу - при изменении тока накала по находящейся в поле наблюдения шкале считывается температура черного тела, при котором нить должна “исчезает”. Естественно, поскольку светимость реального тела при той же температуре меньше, для достижения равенства яркостей черного и нечерного тел это последнее должно быть нагрето сильнее, яркостная температура оказывается завышенной.
Об G Пр Ок Сф
Цветовые пирометры. Серое тело имеет тот же спектральный состав, что и абсолютно черное тело. Поэтому температуру серого тела можно определить в соответствии с законом смещения Вина, определив длину волны m, на которую приходится максимум излучения.
Однако, вместо исследования всего спектра излучения, производится измерения светимостей на двух различных частотах (при двух значениях длин волн) и по их отношению определяется температура тела. Заметим, что для черного тела при любой температуре это отношение известно.
Собственно, такой пирометр отличается от радиационного тем, что наблюдения производятся через сменные светофильтры.
13.1. Теплоемкость кристаллической решетки
Носителями энергии равновесного теплового излучения согласно концепции Планка являются стоячие (электромагнитные) волны. При этом энергия для каждой частоты отмеряется “порциями”, квантами ћ, количество которых определяется распределением Больцмана:
.
И весьма интересно, что в совсем другой задаче, задаче о теплоемкости кристаллической решетки опять-таки “проходит” такой же подход.
Однако, сначала нужно сказать несколько слов об истории вопроса. Содержащий N атомов кристалл имеет 3N степеней свободы - столько значений координат необходимо для описания положения атомов. Согласно классическим представлениям на каждую степень свободы должна приходиться энергия kT: по kT/2 на кинетическую и на потенциальную энергию. Отсюда следует закон Дюлонга и Пти, согласно которому молярная теплоемкость Cm всех кристаллов одинакова:
.
Здесь NA - число Авогадро, R - универсальная газовая постоянная.
И действительно, при достаточно высоких температурах этот закон оказывается справедливым, но он нарушается при низких температурах. И причина в том, что при низких температурах и при достаточно высоких частотах колебаний оказывается ћ>kT, а между тем величина ћ - минимальная порция энергии на частоте . Значит, при низкой температуре невозможна энергия kT на степень свободы.
Поправить дело попытался Эйнштейн. Он ввел квантование для энергий колебаний отдельных атомом кристалла (3N осцилляторов), введя для каждого среднюю энергию . При этом распределение осцилляторов по энергиям он считал подчиняющимся распределению Больцмана.
Полученное им выражение качественно верно описывало поведение теплоемкости и вблизи нулевой температуры. Но много более точный результат был получен Дебаем.
Дебай посчитал, что колебания отдельных атомов не являются независимыми - колебания одного атома вынуждают колебания соседних атомов. Иначе говоря, колебания представляют собой стоячие волны. Любопытно, но количество возможных стоячих волн должно совпадать с числом степеней свободы - 3N.
Собственно, рассуждения Дебая в основном повторяют рассуждения Планка. Выбрав некий объем в виде прямоугольного параллелепипеда V=abd, подсчитывается количество возможных стоячих волн. Условия существования стоячей волны остается прежним: произведение составляющей волнового вектора на соответствующий размер тела должен быть равен целому числу .
Для струны это сводится к условию кратности ее длины длине полуволны:
.
Для прямоугольной пластины площадью S=ab необходимое условие будет
.
При таком условии вышедшая из некоторой точки волна после отражений от краев пластины возвращается в то же точку с той же фазой.
2 a b 1
Пояснение этому утверждению дается рисунком. Введем радиус-вектор, соединяющий точки 1 и 2
.
Движение волны вдоль этого радиус-вектора эквивалентно распространении волны в пределах пластины. И поскольку
,
волна из точки 1 в точку 2 прийдет с изменение фазы на целое число 2. Значит, это утверждение справедливо и для распространения волны в пределах пластины из точки 1 и, - после отражений, снова в точку 1.
kZ k k kX kY
Перейдем теперь к трехмерному кристаллу размерами abd. При этом добавляется еще условие .
На рисунке схематически показана 1/8 часть сферы радиуса k в пространстве k-векторов и соответствующая часть сферического слоя толщиной k. На один конец k-вектора приходится объем . Следовательно, количество k - векторов с модулем в пределах от k до k+k и положительными проекциями на оси будет
.
Мы учитываем только k-векторы с положительными проекциями на оси. Смена знака одной из проекций происходит при отражении волны, но это та же волна, повторно учитывать ее не следует.
Количество таких k-векторов на единицу объема кристалла
.
Поскольку , мы можем перейти в этом выражении к частотам. Кроме того, необходимо еще добавить множитель 3, поскольку упругие колебания могут происходить в направлении распространения волны и в двух взаимно перпендикулярных поперечных направлениях. Таким образом, переходя к дифференциалам, получаем
.
Такова плотность стоячих волн в кристалле. Однако с подсчетом энергии колебаний здесь возникают некоторые особенности, о которых речь пойдет ниже.
Лекция 17
13.2. Теплоемкость кристаллической решетки.
Продолжение
Здесь мы проведем некоторые подсчеты, повторяющие проведенные при выводе формулы Планка. Прежде всего запишем выражения для количества стоячих волн с энергией и для их энергий:
; .
Средняя энергия
.
Введя переменную , перепишем это выражение в виде
.
При преобразованиях мы воспользовались выражением для суммы членов бесконечной геометрической прогрессии. Наконец, выполнив дифференцирование, получаем нужное выражение:
.
Подсчитаем теперь тепловую энергию моля кристаллического вещества. При выводе формулы Планка не существует ограничения на максимальную частоту . В случае же кристалла не имеет смысла говорить о волне, длина которой меньше расстояния между атомами. А говоря иначе, количество стоячих волн должно равняться числу степеней свободы 3NA. Это позволяет определить максимальное значение частоты (Vмоль-объем моля вещества):
;
.
Для подсчета тепловой энергии, запасенной молем вещества, нам надо взять интеграл:
.
При высокой температуре и экспоненту в знаменателе подынтегрального выражения можно разложить в ряд, ограничившись первым членом разложения: . Кроме того, куб скорости в знаменателе можно представить в виде:
.
Тогда для ET мы получим:
.
Таким образом, при высокой температуре молярная теплоемкость кристалла
,
и мы получаем закон Дюлонга и Пти. Как должно быть ясно из сказанного, это выражение справедливо лишь при достаточно высокой температуре, когда возможно разложение экспоненты в ряд с ограниченным количеством членов разложения.
Анализировать поведение теплоемкости при низких температурах мы не будем. Отметим только, что в качестве “граничной” температуры вводится так называемая температура Дебая , которая определяется условием: . При температурах необходимо учитывать эффекты квантования энергии.
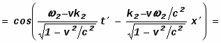
14.1. Преобразования Лоренца
Y Y’ K K’ v O O’ X,X’
До сих пор у нас не возникало необходимости переходить из одной системы отсчета в другую при больших скоростях относительного движения этих систем. Потому мы пользовались преобразования Галилея, не учитывающими релятивистские эффекты. Но теперь нам понадобятся преобразования Лоренца. При движении со скоростью v некоторой системы K’ вдоль оси OX “неподвижной” системы K они имеют вид:
;
; .
Мы выписали прямые и обратные преобразования. Отмеченные штрихами величины относятся к движущейся системе отсчета.
Чтобы немного привыкнуть к этим преобразованиям, решим две частные задачи, не имеющие прямого отношения к волнам.
Рассмотрим движение некоторого стержня вдоль оси OX. Свяжем с ним движущуюся систему отсчета K’. Его длина в этой системе отсчета . Заметим, что, поскольку стержень в этой системе неподвижен, координаты его концов могут быть определены в произвольные моменты времени - координаты не изменяются во времени. Обратите внимание на это существенное обстоятельство.
Получим теперь выражение для длины стержня в неподвижной системе отсчета. Запишем такое выражение:
.
Чтобы определить длину движущегося стержня в неподвижной системе отсчета, нам следует определить координаты его концов в один и тот же момент времени, т.е. положить . При этом условии - длина стержня в неподвижной системе отсчета. Таким образом, длина движущегося стержня оказывается меньше его “собственной” длины:
.
В таком случае говорят о лоренцовом сокращении длины движущегося стержня.
Предположим теперь, что в неподвижной системе отсчета произошли два события, разделенные промежутком времени . Например, это может быть промежуток времени между рождением и распадом некоторой нестабильной частицы. Считая, что частица движется со скоростью v, свяжем с ней систему отсчета. В этой системе промежуток времени между событиями, которые, заметим, в ней произошли в одной и той же точке с координатой x’, будет:
;
.
В таком случае говорят о замедлении хода часов в движущейся системе отсчета.
Это замедление хода часов (или хода времени) приводит к любопытному эффекту. Исследуя некоторую нестабильную частицу, мы можем измерить ее “время жизни” которое является характеристикой частицы, а не системы отсчета. Если такая частица после рождения движется со скоростью v, мы можем подумать, что до момента распада она пройдет путь v - от рождения и до распада в связанной с частицей системе отсчета пройдет время . Между тем пройденный за это время путь мы, естественно, измеряем в неподвижной системе отсчета. И тогда этот путь окажется намного больше, если скорость частицы близка к скорости света:
.
Так что, измеряя пройденное от момента рождения частицы до ее распада расстояние, можно непосредственно проверить вывод о замедлении хода времени в движущейся системе отсчета.
14.2. Эффект Допплера
v з
При излучении волны движущимся источником частота излученной волны не совпадает с частотой колебаний источника. Соответственно, воспринимаемая движущимся приемником частота колебаний не совпадает с частотой колебаний, распространяющихся с волной. Связанные с переходом из одной системы в другую изменения частоты и волнового вектора носят название эффекта Допплера.
Рассмотрим процесс отражения электромагнитной волны от движущегося навстречу ей зеркала.
На рисунке представлены электромагнитные волны до и после отражения. Перейдем в систему отсчета, связанной с движущимся зеркалом.
Подставим в выражение для падающей на зеркало волны значения t и x и проведем перегруппировку сомножителей:
.
В аргументе падающей на зеркало волны в движущейся K’ системе
;
.
Такой представляется волна наблюдателю, движущемуся вместе с зеркалом.
Проделаем те же операции с аргументом отраженной волны, распространяющейся направо:
.
Естественно, в этих выражениях и k одни и те же: в связанной с зеркалом K’ системе волна отражается без изменения частоты и волнового числа. Поэтому
; .
С помощью этих равенств мы можем выразить значения 2 и k2 через частоту и волновое число падающей волны 1 и k1:
;
.
При преобразованиях мы воспользовались выражением .
Таким образом, при отражении волны от движущегося навстречу ей зеркала происходит увеличение частоты и, соответственно волнового числа. Если волна имела квант энергии ћ1, после отражения эта энергия возрастет - за счет работы против сил давления на зеркало в процессе отражения. Это означает, что такой квант энергии обладает импульсом.
Получим выражение для импульса из самых элементарных соображений. Введя среднюю силу взаимодействия кванта F, запишем для изменения импульса выражение:
,
и, поскольку взаимодействие происходит на скорости света c, изменение энергии
.
Поэтому
; .
Таким вот образом постепенно появляется представление о некоторой частице - фотоне. Ее энергия и импульс связываются с частотой и волновым числом k.
14.3. Поперечный эффект Допплера. Аберрация
Преобразования Лоренца мы выписали для случая движения системы отсчета K’ вдоль оси OX. Их надо еще дополнить выражениями для преобразований y- и z-координат. Они имеют вид
.
Вообще говоря, это приводит к выражениям и . Поэтому может создаться впечатление, что при движении электромагнитной волны в перпендикулярном к оси OX направлении релятивистские эффекты несущественны. Однако это не так.
Предположим, что волна в неподвижной системе отсчета распространяется вдоль оси OY (). Перейдем, как мы делали это раньше, в движущуюся систему отсчета:
;
.
Изменение частоты при поперечном эффекте Допплера связано с замедлением хода времени в движущейся системе отсчета. При этом еще изменяется и направление распространение волны - ее угол с осью OY определяется выражениями
.
c v
Связанное с этим смещение видимого положения звезды на угол по отношению к ее истинному положению называют аберрацией. В течение года направление движения Земли при ее обращении вокруг Солнца изменяется, изменяется и положение наблюдаемой звезды на небосводе.
Сама по себе аберрация не является следствием теории относительности. Забыв о последней, мы могли бы провести такие рассуждения.
Если телескоп движется перпендикулярно к направлению на звезду, необходимо наклонить его так, чтобы свет распространялся вдоль оси телескопа. Угол наклона при этом должен быть таким, чтобы . Как видите, результат при этом получается другой. Точное измерение необходимого угла наклона позволяет еще раз проверить справедливость теории относительности.
Лекция 18
15. Фотоны
При подсчете плотности равновесного теплового излучения присвоение каждой степени свободы (стоячей волне) энергии kT приводит к абсурдному результату - бесконечной плотности лучистой энергии. При анализе равновесного теплового излучения потребовался совершенно новый подход - введение квантования энергии в виде “порций” величиной ћ, и количество таких порций определяется распределением Больцмана. Последующие исследования показали, что поглощение или излучение электромагнитной энергии происходит такими же “порциями”, квантами.
В конце концов кванты электромагнитной энергии стали восприниматься как особые частицы, фотоны. И для этого были достаточно серьезные основания.
V s R R
Пусть в некоторой полости находится равновесное тепловое излучение. Подсчитаем давление, которое оно оказывает на поглощающую поверхность (отражающую).
В объеме V “запасена” энергия uV. Из этой энергии на площадку s попадет часть, пропорциональная телесному углу - под таким углом площадка s “видна” из элементарного объема V:
.
С этой энергией, равной mc2, площадке будет передан импульс mc=и подействует сила . Вклад в давление даст лишь нормальная составляющая этой силы и поэтому выражение для давления будет иметь вид:
.
Мы выбрали элементарный объем в виде небольшого кубика. Но под таким же углом площадка s видна из любой точки колечка радиуса , показанного на рисунке. Поэтому в качестве элементарного объема может быть выбрано это колечко, поперечное сечение которого :
;
.
Прежде всего нас будет интересовать давление на зеркальную поверхность, которая вдвое больше выписанной величины. Таким образом, после интегрирования по в пределах от нуля до мы получаем
.
Но это же выражение мы можем получить и с помощью других рассуждений. Используя понятие фотона, мы скажем, что в объеме V содержится nd фотонов с частотой в пределах от до +d и с импульсом . На площадку s попадет
фотонов и они передадут (зеркальной) поверхности импульс
.
Время “падения” этих фотонов на площадку будет . Чтобы найти подействовавшую на площадку силу, нам надо разделить на это время переданный импульс. Нормальная к площадке составляющая силы определит давление на площадку:
;
.
Нам осталось, как мы это делали раньше, вместо кубика выбрать элементарный объем в виде колечка, и мы получим:
.
После интегрирования по и мы получаем то же самое выражение для давления:
; .
Таким образом, и волновое рассмотрение равновесного теплового излучения и рассмотрение его как фотонного газа дает один и тот же результат.
Мы рассмотрели в качестве примера задачу о давлении равновесного теплового излучения на поверхность с двух разных позиций вот для чего. Сейчас, когда мы еще не слишком далеко зашли в анализе проблемы квантования, полезно вспомнить, что для определения “концентрации фотонов” мы воспользовались выражением для . Иначе говоря, мы произвели некоторую формальную замену переменных - объемную плотность стоячих волн мы заменили на концентрацию фотонов.
Но это не такая “безобидная” замена, как может показаться. Чтобы атом поглотил энергию ћ, он должен какое-то время находиться в переменном электромагнитном поле соответствующей частоты. То же самое можно сказать и об излучении - оно должно “занять” некоторое время. А говоря об излучении или поглощении фотона, мы теряем ощущение временной протяженности актов поглощения и излучения. Получается так, будто поглощение или излучение фотона происходит “мгновенно”, поскольку из рассмотрения исключается процесс излучения или поглощения. Между тем время излучения или поглощения иногда бывает очень существенно, как мы увидим в дальнейшем.
16. Примеры использования понятия фотона
16.1. Опыт Боте
Сч Сч Ф М М Л
В этом опыте тонкая фольга облучалась слабым рентгеновским излучением, в результате чего она сама становилась излучателем рентгеновских лучей (наблюдалась рентгеновская флюоресценция). Два независимых счетчика фиксировали фотоны, в момент поглощения фотона на движущейся ленте ставилась метка. Эти метки, фиксирующие поглощения фотонов (квантов рентгеновского излучения) двумя счетчиками, не совпадали во времени. Отсюда и делался вывод о том, что (вторичное) излучение происходило не равномерно в разные стороны, а в определенном направления - к тому или иному счетчику.
Безусловно, это очень удобный способ объяснения работы механизма: фольгой поглощается квант энергии, фотон, возбуждается какой-то атом и этот атом испускает фотон в сторону одного из счетчиков (конечно, фотон может и миновать оба счетчика, остаться незафиксированным). Но такое рассуждение не может считаться доказательством того, что электромагнитная энергия “на самом деле” распространяется в виде направленного движения квантов энергии, фотонов.
Действительно, в основе доказательства лежит принятое априори предположение, что фольге возбуждается один атом, что именно излучение этого атома фиксируется счетчиком. Но картина происходящих процессов может быть совершенно иной, более сложной.
Под действием слабого излучения источника в фольге могут возбуждаться некоторые случайные группы атомов. В результате интерференции угловая диаграмма их излучения совершенно необязательно симметрична по отношению к счетчикам, что и приведет к неодновременному их срабатыванию.
И тем не менее, предлагаемый способ объяснения результатов опыта на основе гипотезы о распространении элекиромагнитного излучения в виде фотонов очень удобен и нет никаких оснований от него отказываться.
16.2. Энергетические соотношения
При облучении быстрыми электронами некоторых веществ наблюдается коротковолновое электромагнитное излучение (). Это излучение получило название рентгеновских лучей.
к ц антикатод - +
Устройство рентгеновской трубки показано на рисунке. Вылетающие из раскаленного катода электроны разгоняются приложенным к аноду напряжением (анод рентгеновской трубки обычно называют антикатодом). Электрод в виде цилиндра предназначается для фокусировки пучка электронов.
Ускоренные приложенным к антикатоду напряжением электроны тормозятся в антикатоде, и в результате возникает так называемое тормозное рентгеновское излучение. Обычно в излучение превращается лишь незначительная часть энергии потока электронов (единицы процентов). Чтобы получить достаточно интенсивное излучение необходимо отводить от антикатода выделяющееся тепло. Сам антикатод по этой же причине делается достаточно массивным.
Детали процесса излучения электромагнитной волны при торможении быстрых электронов весьма сложны и не представляют для нас особого интереса. Рентгеновское излучение интересно для нас тем, что в этом процессе наблюдается так называемая коротковолновая граница излучения. В виде кванта может реализоваться часть энергии электрона, но не более самой этой энергии. Если напряжение на трубке равно U, то
.
Таким образом, имеется некоторая предельно большая частота или некоторая предельно малая длина волны - коротковолновая граница излучения.
С использованием понятия фотона объяснение этого эффекта оказывается очень естественным: при взаимодействии быстрого электрона с веществом антикатода рождается частица, называемая фотоном, энергия которого ћ и, это кажется вполне естественным, она не может быть больше энергии электрона eU.
G + - (-) (+)
В определенном смысле обратным излучению рентгеновских лучей является фотоэффект. В этом случае на некоторой поверхности происходит поглощение квантов света (фотонов), в результате чего с поверхности вылетают электроны.
Металлический электрод, подключенный к отрицательному полюсу источника питания, содержит свободные электроны. Они не покидают электрод самопроизвольно, поскольку для этого необходима дополнительная энергия A - так называемая работа выхода. Заметный выход электронов из металла (термоэлектронная эмиссия) наблюдается лишь при достаточно высокой температуре.
При освещении электрода из него вылетают электроны, достигающие затем положительно заряженного электрода - в цепи протекает ток, который фиксируется гальванометром G.
Но ток протекает и при смене полярности напряжения на электродах, хотя при уменьшении разности потенциалов между электродами и, тем более, при смене его знака ток уменьшается.
У вылетающих из электрода электронов энергия (как показывает опыт) не может быть больше энергии фотона ћ. Поэтому
.
Это соотношение называется формулой Эйнштейна.
16.3. Эффект Комптона
Еще одним и, пожалуй, наиболее эффектным проявлением корпускулярных свойств электромагнитного излучения является эффект Комптона. Заключается он в изменении частоты (т.е. энергии) фотона после “упругого столкновения” с электроном. Но прежде, чем перейти к выводу соответствующего выражения, поговорим немного об энергии и импульсе в релятивистской механике.
Выражение для импульса, собственно, остается неизменным, лишь вместо “просто” массы (иначе - массы покоя) в него входит некоторая масса , зависящая от скорости движения тела:
;
При малой скорости движения выражение для импульса переходит в “обыкновенное”, используемое в нерелятивистском приближении, масса в нем считается константой.
Несколько сложнее обстоит дело с релятивистским выражением для энергии тела. Здесь вводится понятие энергии покоя m0c2. Собственно, это выражение остается справедливым и при движении тела, только вместо массы покоя m0 записывается масса :
.
При малой скорости движения в разложении квадратного корня в знаменателе можно ограничиться первыми двумя членами:
.
Это выражение можно “прочитать” таким образом: при малых скоростях движения энергия тела представляет собой сумму энергии покоя и “обычной” нерелятивистской кинетической энергии.
Для наших целей выражение для кинетической энергии тела удобно записать иначе:
.
Действительно,
Для решения задачи о столкновении фотона и электрона необходимо записать законы сохранения:
; .
Воспользовавшись соотношением , преобразуем первое из уравнений:
;
;
.
С другой стороны, из закона сохранения импульса получаем:
; .
Приравняем полученные выражения для квадрата импульса электрона после столкновения и проведем несложные преобразования:
;
; .
Имеющая размерность длины величина называется Комптоновской длиной волны электрона. Мы бы не затевали этого разговора, если бы экспериментально определенное значение C = 0, нм не совпадало с теоретическим значением C.
Лекция 18
15. Фотоны
При подсчете плотности равновесного теплового излучения присвоение каждой степени свободы (стоячей волне) энергии kT приводит к абсурдному результату - бесконечной плотности лучистой энергии. При анализе равновесного теплового излучения потребовался совершенно новый подход - введение квантования энергии в виде “порций” величиной ћ, и количество таких порций определяется распределением Больцмана. Последующие исследования показали, что поглощение или излучение электромагнитной энергии происходит такими же “порциями”, квантами.
В конце концов кванты электромагнитной энергии стали восприниматься как особые частицы, фотоны. И для этого были достаточно серьезные основания.
V s R R
Пусть в некоторой полости находится равновесное тепловое излучение. Подсчитаем давление, которое оно оказывает на поглощающую поверхность (отражающую).
В объеме V “запасена” энергия uV. Из этой энергии на площадку s попадет часть, пропорциональная телесному углу - под таким углом площадка s “видна” из элементарного объема V:
.
С этой энергией, равной mc2, площадке будет передан импульс mc=и подействует сила . Вклад в давление даст лишь нормальная составляющая этой силы и поэтому выражение для давления будет иметь вид:
.
Мы выбрали элементарный объем в виде небольшого кубика. Но под таким же углом площадка s видна из любой точки колечка радиуса , показанного на рисунке. Поэтому в качестве элементарного объема может быть выбрано это колечко, поперечное сечение которого :
;
.
Прежде всего нас будет интересовать давление на зеркальную поверхность, которая вдвое больше выписанной величины. Таким образом, после интегрирования по в пределах от нуля до мы получаем
.
Но это же выражение мы можем получить и с помощью других рассуждений. Используя понятие фотона, мы скажем, что в объеме V содержится nd фотонов с частотой в пределах от до +d и с импульсом . На площадку s попадет
фотонов и они передадут (зеркальной) поверхности импульс
.
Время “падения” этих фотонов на площадку будет . Чтобы найти подействовавшую на площадку силу, нам надо разделить на это время переданный импульс. Нормальная к площадке составляющая силы определит давление на площадку:
;
.
Нам осталось, как мы это делали раньше, вместо кубика выбрать элементарный объем в виде колечка, и мы получим:
.
После интегрирования по и мы получаем то же самое выражение для давления:
; .
Таким образом, и волновое рассмотрение равновесного теплового излучения и рассмотрение его как фотонного газа дает один и тот же результат.
Мы рассмотрели в качестве примера задачу о давлении равновесного теплового излучения на поверхность с двух разных позиций вот для чего. Сейчас, когда мы еще не слишком далеко зашли в анализе проблемы квантования, полезно вспомнить, что для определения “концентрации фотонов” мы воспользовались выражением для . Иначе говоря, мы произвели некоторую формальную замену переменных - объемную плотность стоячих волн мы заменили на концентрацию фотонов.
Но это не такая “безобидная” замена, как может показаться. Чтобы атом поглотил энергию ћ, он должен какое-то время находиться в переменном электромагнитном поле соответствующей частоты. То же самое можно сказать и об излучении - оно должно “занять” некоторое время. А говоря об излучении или поглощении фотона, мы теряем ощущение временной протяженности актов поглощения и излучения. Получается так, будто поглощение или излучение фотона происходит “мгновенно”, поскольку из рассмотрения исключается процесс излучения или поглощения. Между тем время излучения или поглощения иногда бывает очень существенно, как мы увидим в дальнейшем.
16. Примеры использования понятия фотона
16.1. Опыт Боте
Сч Сч Ф М М Л
В этом опыте тонкая фольга облучалась слабым рентгеновским излучением, в результате чего она сама становилась излучателем рентгеновских лучей (наблюдалась рентгеновская флюоресценция). Два независимых счетчика фиксировали фотоны, в момент поглощения фотона на движущейся ленте ставилась метка. Эти метки, фиксирующие поглощения фотонов (квантов рентгеновского излучения) двумя счетчиками, не совпадали во времени. Отсюда и делался вывод о том, что (вторичное) излучение происходило не равномерно в разные стороны, а в определенном направления - к тому или иному счетчику.
Безусловно, это очень удобный способ объяснения работы механизма: фольгой поглощается квант энергии, фотон, возбуждается какой-то атом и этот атом испускает фотон в сторону одного из счетчиков (конечно, фотон может и миновать оба счетчика, остаться незафиксированным). Но такое рассуждение не может считаться доказательством того, что электромагнитная энергия “на самом деле” распространяется в виде направленного движения квантов энергии, фотонов.
Действительно, в основе доказательства лежит принятое априори предположение, что фольге возбуждается один атом, что именно излучение этого атома фиксируется счетчиком. Но картина происходящих процессов может быть совершенно иной, более сложной.
Под действием слабого излучения источника в фольге могут возбуждаться некоторые случайные группы атомов. В результате интерференции угловая диаграмма их излучения совершенно необязательно симметрична по отношению к счетчикам, что и приведет к неодновременному их срабатыванию.
И тем не менее, предлагаемый способ объяснения результатов опыта на основе гипотезы о распространении элекиромагнитного излучения в виде фотонов очень удобен и нет никаких оснований от него отказываться.
16.2. Энергетические соотношения
При облучении быстрыми электронами некоторых веществ наблюдается коротковолновое электромагнитное излучение (). Это излучение получило название рентгеновских лучей.
к ц антикатод - +
Устройство рентгеновской трубки показано на рисунке. Вылетающие из раскаленного катода электроны разгоняются приложенным к аноду напряжением (анод рентгеновской трубки обычно называют антикатодом). Электрод в виде цилиндра предназначается для фокусировки пучка электронов.
Ускоренные приложенным к антикатоду напряжением электроны тормозятся в антикатоде, и в результате возникает так называемое тормозное рентгеновское излучение. Обычно в излучение превращается лишь незначительная часть энергии потока электронов (единицы процентов). Чтобы получить достаточно интенсивное излучение необходимо отводить от антикатода выделяющееся тепло. Сам антикатод по этой же причине делается достаточно массивным.
Детали процесса излучения электромагнитной волны при торможении быстрых электронов весьма сложны и не представляют для нас особого интереса. Рентгеновское излучение интересно для нас тем, что в этом процессе наблюдается так называемая коротковолновая граница излучения. В виде кванта может реализоваться часть энергии электрона, но не более самой этой энергии. Если напряжение на трубке равно U, то
.
Таким образом, имеется некоторая предельно большая частота или некоторая предельно малая длина волны - коротковолновая граница излучения.
С использованием понятия фотона объяснение этого эффекта оказывается очень естественным: при взаимодействии быстрого электрона с веществом антикатода рождается частица, называемая фотоном, энергия которого ћ и, это кажется вполне естественным, она не может быть больше энергии электрона eU.
G + - (-) (+)
В определенном смысле обратным излучению рентгеновских лучей является фотоэффект. В этом случае на некоторой поверхности происходит поглощение квантов света (фотонов), в результате чего с поверхности вылетают электроны.
Металлический электрод, подключенный к отрицательному полюсу источника питания, содержит свободные электроны. Они не покидают электрод самопроизвольно, поскольку для этого необходима дополнительная энергия A - так называемая работа выхода. Заметный выход электронов из металла (термоэлектронная эмиссия) наблюдается лишь при достаточно высокой температуре.
При освещении электрода из него вылетают электроны, достигающие затем положительно заряженного электрода - в цепи протекает ток, который фиксируется гальванометром G.
Но ток протекает и при смене полярности напряжения на электродах, хотя при уменьшении разности потенциалов между электродами и, тем более, при смене его знака ток уменьшается.
У вылетающих из электрода электронов энергия (как показывает опыт) не может быть больше энергии фотона ћ. Поэтому
.
Это соотношение называется формулой Эйнштейна.
16.3. Эффект Комптона
Еще одним и, пожалуй, наиболее эффектным проявлением корпускулярных свойств электромагнитного излучения является эффект Комптона. Заключается он в изменении частоты (т.е. энергии) фотона после “упругого столкновения” с электроном. Но прежде, чем перейти к выводу соответствующего выражения, поговорим немного об энергии и импульсе в релятивистской механике.
Выражение для импульса, собственно, остается неизменным, лишь вместо “просто” массы (иначе - массы покоя) в него входит некоторая масса , зависящая от скорости движения тела:
;
При малой скорости движения выражение для импульса переходит в “обыкновенное”, используемое в нерелятивистском приближении, масса в нем считается константой.
Несколько сложнее обстоит дело с релятивистским выражением для энергии тела. Здесь вводится понятие энергии покоя m0c2. Собственно, это выражение остается справедливым и при движении тела, только вместо массы покоя m0 записывается масса :
.
При малой скорости движения в разложении квадратного корня в знаменателе можно ограничиться первыми двумя членами:
.
Это выражение можно “прочитать” таким образом: при малых скоростях движения энергия тела представляет собой сумму энергии покоя и “обычной” нерелятивистской кинетической энергии.
Для наших целей выражение для кинетической энергии тела удобно записать иначе:
.
Действительно,
Для решения задачи о столкновении фотона и электрона необходимо записать законы сохранения:
; .
Воспользовавшись соотношением , преобразуем первое из уравнений:
;
;
.
С другой стороны, из закона сохранения импульса получаем:
; .
Приравняем полученные выражения для квадрата импульса электрона после столкновения и проведем несложные преобразования:
;
; .
Имеющая размерность длины величина называется Комптоновской длиной волны электрона. Мы бы не затевали этого разговора, если бы экспериментально определенное значение C = 0, нм не совпадало с теоретическим значением C.
Лекция 20
18.4. Стоячая волна
Как и всякая другая волна, электронная волна xt может быть стоячей волной. Для этого нам необходимо сложить две волны с одинаковыми амплитудами, движущиеся навстречу друг другу:
.
Волна как волна, с узлами и пучностями, но вместо, скажем, закрепленных концов струны в точках с координатами x=-l/2 и x=+l/2 нам при значениях координат x-l/2 и x+l/2 нужно иметь U= - правее и левее выделенного интервала возможно решением будет . Используя условие непрерывности -функции, можно определить значение (комплексной) амплитуды 0.
Для простоты внутри интервала будем считать U=0. Ведь потенциальная энергия определена с точностью до произвольной константы.
Для существования стоячей волны необходимо выполнение условия и, следовательно, при U=0 будет:
; .
Мы получили весьма важный результат: электрон в состоянии стоячей волны может иметь лишь вполне определенные дискретные значения энергии En. Энергия электрона квантуется! И при этом минимальное значение его энергии определяется линейными размерами потенциальной ямы, что существенно для дальнейшего.
0 x U= U=0 U= U=0 U= U=0
Любопытно провести такое исследование полученного результата. Подсчитаем силу, с которой электрон действует на стенку потенциальной ямы.
Очевидно,
.
А теперь попробуем получить выражение для силы Fx на основе корпускулярных представлений. При отражении электрона от стенки последней будет передан импульс 2p. При этом частота ударов определяется временем движения электрона между ударами
.
Выражение для силы мы получим, если разделим переданный импульс на это время:
.
Мы получили для силы то же значение, но это не означает, что в этой задаче волновой и корпускулярных подходы равноправны. При корпускулярном рассмотрении энергия электрона E произвольна, при волновом - она квантуется.
Поэтому, хотя волновое представление для нас, может, в чем-то не до конца понятно, корпускулярное представление следует назвать просто непонятным. При его использовании мы не сможем объяснить квантование энергии электрона.
К задаче о стоячих волнах -функций мы еще вернемся, а сейчас просто необходимо поговорить о смысле этой функции.
18.5. Физический смысл волновой функции
Высказанная де Бройлем гипотеза была проверена экспериментально, Шрёдингер написал волновое уравнение для некоторой -функции, полученные с помощью уравнения результаты для длины волны также подтверждаются экспериментом. И осталось всего лишь понять, что это за функция, колебания чего распространяются при движении электрона.
Здесь мы с Вами вступаем на весьма зыбкую почву. Говоря о смысле -функции, легко попасть в какую-нибудь ловушку, высказать утверждение, которое вступает в противоречие (или кажущееся противоречие) с некоторыми из многочисленных экспериментально наблюдаемых эффектов. “Ибо сказано: мысль изреченная есть ложь”. И хотим мы этого или не хотим, мы будем пытаться объясниться на “старом” языке, используя знакомые и привычные понятия и термины. Другого языка мы просто не знаем:
“Раз поведение атомов так не похоже на наш обыденный опыт, то к нему очень трудно привыкнуть. И новичку в науке, и опытному физику - всем оно кажется своеобразным и туманным. Даже большие ученые не понимают его настолько, как им хотелось бы, ...” 1[1]
Вдумайтесь в эти слова. Сказано, собственно, что даже большие ученые пытаются объяснить поведение квантового микрообъекта с помощью представлений, справедливых для макрообъекта. Это безнадежное занятие, мы подошли к той границе, за которой действуют уже другие законы и требуется иной способ мышления. Но - хочется продолжать рассуждать по-старому. Такие рассуждения не приводят к правильным результатам и отсюда происходит ощущение непонятности.
Эта непонятность поведения атомов и других мельчайших частиц вела “ко все большему замешательству среди физиков”. И вот,
“В 1926-1927 гг. оно было устранено работами Шрёдингера, Гейзенберга и Борна. Им удалось в конце концов получить непротиворечивое описание поведения вещества атомных размеров.” 2[2]
Это “непротиворечивое описание” в общих чертах таково. Квантовое поведение микрочастицы описывается волновым уравнением Шрёдингера, для нее справедлив принцип неопределенностей, но при этом волновой функции приписывается чисто математический смысл:
“... волновая функция, удовлетворяющая уравнению, не похожа на реальную волну в пространстве; с этой волной нельзя связать никакой реальности, как это делается со звуковой волной.” 3[3]
-волну для электрона часто называют просто электронной волной. Но употребления этого термина в то же время всячески пытаются избежать. Вместо этого говорят про волну амплитуды плотности вероятности. Смысл термина вот в чем. Энергия колебаний пропорциональна квадрату амплитуды колебаний. Поток энергии при распространении волны пропорционален квадрату ее амплитуды. Подобно этому пропорциональной квадрату амплитуды плотности вероятности оказывается некоторая плотность вероятности.
Собственно, одну трудность заменили другой. На основе классических представлений нельзя понять, как ведет себя электрон в атоме. Но разве можно понять, как не связанная ни с какой реальностью волна амплитуды плотности вероятности дифрагирует на реальной кристаллической решетке? Однако, такая “непонятность” мало беспокоила теоретиков.
Констатировав, что на “старом” языке классической физики объяснить вновь открытые явления не удается, нам предлагается не новый язык, а просто говорят: “Поведение электрона описывается -функцией, которая физического смысла не имеет, она имеет лишь математический смысл.”
Не удивительно, что “новичку” при знакомстве с квантовой физикой “все кажется своеобразным и туманным”. И при этом саму непонятность предлагаемых объяснений предлагается считать особенностью, свойством квантовой физики.
Рискуя вызвать гнев коллег - физиков, я хочу все-таки попытаться хоть что-то сделать понятным. Впрочем, я буду рассуждать, а соглашаться со мной или нет - Ваше дело. Думайте.
19.1. Как нам это объясняют
Всякого рода объяснения я склонен делить на такие, которые понять трудно, и такие, которые понять нельзя. Вот какие объяснения я лично не понимаю и, мне кажется, понять их нельзя. Для начала цитата из учебника (!) И.В.Савельева:
“Иногда соотношение неопределенностей получает следующее толкование: в действительности у микрочастицы имеются точные значения координат и импульсов, однако ощутимое для такой частицы воздействие измерительного прибора не позволяет точно определить эти значения. Такое толкование является совершенно неправильным.” 4[4]
И чуть дальше:
“Согласно Борну квадрат модуля волновой функции определяет вероятность dP того, что частица будет обнаружена в объеме dV:
. (14.2)
Интеграл от выражения (14.2), взятый по всему пространству, должен равняться единице:
. (14.3)
Действительно, этот интеграл дает вероятность того, что частица находится в одной из точек пространства, которая равна единице.” 5[5]
Как совместить утверждение, что частица с вероятностью, равной единице, находится в одной из точек пространства (вторая цитата), и что частица не может иметь точных координат (первая цитата)? Или частица как-то может находиться в некоторой точке пространства без точных координат?
У Фейнмана, разумеется, столь противоречивых утверждений на соседних страницах нет. Но и в его изложении проблемы порой встречаются слова странные, которые скорее запутывают читателя, чем помогают что-нибудь понять. По поводу пулеметной стрельбы по щели он пишет:
“Если движение всего вещества, подобно электронам, нужно описывать, пользуясь волновыми понятиями, то как быть в нашем первом опыте? Почему мы не увидели там интерференционной картины? Дело, оказывается, в том, что у пуль длина волны столь незначительна, что интерференционные полосы становятся очень тонкими. Столь тонкими, что никакой детектор разумных размеров не разделит их на отдельные максимумы и минимумы.” 6[6]
Неужели Фейнман всерьез думает и предлагает думать нам, что рикошетирование пуль на краях щели хоть как-то связано с интерференцией? И почему “движение всего вещества ... нужно описывать, пользуясь волновыми понятиями”?
Мы уже говорили о том, что -функция по мнению Фейнмана не может быть связана с какой-то реальностью. Более элегантно выражается по этому поводу Гейзенберг (цитата приводится Вайскопфом 7[7]):
«Концепция объективной реальности элементарных частиц, следовательно, курьезным образом испаряется, обращаясь не в туман, не в какое-то новое неясное или еще не постигнутое понятие реальности, а в прозрачную ясность математики, которая теперь соответствует не поведению атомных частиц, а, скорее, нашим знаниям об этом поведении.»
И В.Вайскопф возражает против такой концепции тоже весьма элегантно:
“Я не согласен с заявлением о том, что в атомном мире существует какой-то недостаток реальности. В конце концов, видимый реальный мир состоит из тех же самых атомов, обнаруживающих такое странное поведение. Действительно, атомный мир отличается от нашего привычного мира сильнее, чем когда-то ожидали; он обладает более богатым набором явлений, чем можно вообразить, пользуясь классическими представлениями. Но все это не делает его менее реальным.” 8[8]
И еще несколько слов о том, как, скажем так, небрежное объяснение затрудняет понимание существа дела. Как выяснилось, электрон обладает спином - собственным моментом импульса. И по поводу невозможности объяснения существования этого последнего в рамках классической физики приводится обычно такое обоснование.
Магнитный момент электрона, который “вращается” по орбите, связывается с механическим моментом M (мы изменили принятое нами ранее обозначение для момента импульса) соотношением
.
Однако, для спиновых моментов
“... отношение собственных магнитного и механического моментов в два раза больше, чем для орбитальных моментов:
. (31.2)
Таким образом, представление об электроне как о вращающемся шарике оказалось несостоятельным.” 9[9]
Конечно, отношение к написанному в книжках должно быть уважительным, но не обязательно все написанное принимать на веру. Вот и эта “трудность” с вдвое большим отношением моментов, если немного подумать, может быть легко преодолена.
Представим себе электрон в виде заряженной сферы очень маленького радиуса и пусть масса этой сферы ровно в два раза меньше массы электрона. Другая половина массы будет приходиться на электрическое поле, от электрона, естественно, неотделимое.
Подсчитаем энергию поля и приравняем ее половине массы электрона:
;
;
.
Эта величина приводится в справочниках как “классический радиус электрона”. Если предположить, что это и есть радиус нашей заряженной вращающейся сферы, то, поскольку при ее вращении электрическое поле не вращается, а удельный заряд сферы вдвое больше, чем у электрона (масса в два раза меньше), мы как раз и получим нужное нам отношение .
Я ни в коем случае не предлагаю Вам представлять себе электрон в виде “вращающегося маленького шарика”! Я просто хочу обратить внимание на неправомочность утверждения “оказалось несостоятельным”.
Лекция 21
19.2. Как нам это понимать
Итак, было сказано предельно ясно: трудности понимания квантовой физики возникают потому, что мы пытаемся применить старые представления к новым явлениям. Понять квантовые явления, разумеется, не просто, как, впрочем, непросто было понимать и классические воззрения при знакомстве с ними. Но ясно одно - что бы что-нибудь понять в квантовой физике нам следует применить какие-то новые воззрения. К великому сожалению, все объяснения обычно сводятся лишь к бесконечному повторению одной мысли: понять новое нельзя на основе старых представлений. Но в чем же заключаются новые представления?
Мир един и физика едина. И классическая физика и квантовая, - обе они описывают один и тот же мир, в котором мы живем. И к некоторому хотя бы пониманию квантовых явлений не может привести бесконечное их противопоставление. Попробуем, по возможности аккуратно, хотя бы начать создавать в наших головах эти новые представления.
D З1 З2 Линза I 0 X Звездный интерферометр Майкельсона
Во многих книжках рассматривается модельная задача о дифракции электронов на двух щелях. Мне более симпатична задача о работе звездного интерферометра Майкельсона. Все-таки это реальный прибор, в работе которого участвуют несколько более понятные с точки зрения физики кванты - фотоны.
Свет от звезды очень слаб, но мы можем ослабить его еще больше. Тогда можно говорить о поглощении атомами фотоэмульсии пластинки, на которой получается изображение дифракционной картинки, первого кванта, второго и т.д.
Во-первых, видимо, нам придется отказаться от буквального понимания гипотезы о распространении света в виде микрочастиц - фотонов. Если на зеркала попадают разные фотоны, то трудно представить себе, что колебаний электрического поля в них синфазны. Но, с другой стороны, расстояние между зеркалами измеряется метрами, и пришедшая в точку поглощения кванта порция энергии ћ не может принадлежать одному фотону, испущенному далекой звездой в направлении нашего интерферометра - даже если мы представим себе фотон выросшим до таких размеров, в зеркалах не отразится, “провалится” средняя часть фотона. Не видно и способа определить, от какого из зеркал отразился этот поглощенный фотопластинкой квант света.
В то же время кажется уместным и более интересным вопрос, чем определяется “выбор” точки, в которой происходит поглощение кванта. При поглощении большого количества квантов кривая степени почернения фотопластинки будет соответствовать кривой дифракции Фраунгофера на двух щелях c максимумами в точках , полученная на основе волновых представлений. Но каким образом первый, второй и т.д. кванты “узнают”, что им следует поглощаться чаще вблизи одного из максимумов кривой, а не вблизи минимума? Боюсь, что и на этот вопрос мы не сможем ответить вразумительно. Нам придется констатировать факт, что рассчитанная кривая зависимости интенсивности света I(x) представляет собой лишь кривую распределения вероятности P(x) поглощения фотона. Это утверждение мы можем проверить экспериментально, проведя фотографирование с помощью интерферометра некой далекой звезды. Но дисциплина мышления требует говорить лишь о том, что мы можем проверить опытом.
По этому поводу, видимо, не следует сокрушаться - эта пара вопросов не составляет особого исключения, физика не может ответить и на множество других вопросов. Не так редко мы рассчитываем некий процесс “в общем”, не зная ничего о его деталях. Важно выбрать правильное приближение, чтобы получить верный и полезный для практики результат. В данном случае это будет волновое приближение. На основе корпускулярных представлений решение задачи представляется, как минимум, затруднительным.
Подчеркну еще раз. На основе волновых представлений мы можем рассчитать только вероятность поглощения кванта света в той или иной точке. Деталей этого процесса, как и деталей прохождения кванта через зеркала, мы объяснить не умеем. Во всяком случае мы не сможем наблюдать эти процессы экспериментально - тем самым мы разрушили бы “хрупкую индивидуальность квантового состояния”. Это, однако, не делает электромагнитное поле хоть в чем-то нереальным!
Мы легко можем допустить, что какие-то “внутренние” процессы происходят при поглощении кванта света. Но, собственно, в этой невозможности определить детали процесса прохождения фотона через щели и/или поглощения кванта, в этом и заключается один из важных элементов квантовомеханического представления поведения микрочастиц, нового способа мышления:
“Главный пункт в подходе Бора заключается в опровержении того, что можно решить всю проблему, заглянув внутрь атомной структуры, что, применив тончайшие средства наблюдения, можно решить вопрос о том, является электрон волной или частицей. Природа устроена так, что никакое наблюдение крошечного объекта нельзя выполнить, не воздействуя на него. Квантовое состояние обладает характерной способностью ускользать от обычного наблюдения, так как сам акт такого наблюдения уничтожает условия существования квантового состояния.”10[1]
В этом суть. Быть может только можно выразиться чуть аккуратнее: вместо слова “уничтожает” воспользоваться словом “изменяет”, поскольку квантовый объект не может существовать в неквантовом состоянии. И попытки понять, почему “природа устроена так” скорее запутает нас, чем прояснит ситуацию.
Как видите, речь мы ведем о дуализме, о двойственности представления света в виде волны или потока фотонов, но при таком подходе понятие дуализма приобретает несколько иной оттенок. Речь не идет о двойственности природы частицы-фотона, речь идет о двух возможных приближениях при описании кванта электромагнитного поля.
19.3. Парадокс Больцмана
Создается впечатление, что квантовая физика описывает процессы “приблизительно”, не давая точных и однозначных ответов на некоторые вопросы. В.Вайскопф относит себя к старым противникам такого утверждения. Он считает, что как раз квантовая физика привнесла в науку о природе большую точностью
Главное, что квантовая физика сняла много вопросов, остававшихся без ответа в рамках классических представлений. Одна из решенных квантовой физикой задач - это разрешение парадокса Больцмана, о котором вспоминают не слишком часто:
“... согласно классической механике, мы предполагаем, что в системе атомов, находящейся в тепловом равновесии при данной температуре, тепловая энергия должна быть равномерно распределена среди всех возможных видов движения. В куске нагретого вещества электроны должны вращаться быстрее, протоны внутри ядер должны колебаться более энергично, составные части протонов должны колебаться более энергично в пределах своих границ и т.д. Таким образом, удельная теплоемкость любого простого куска вещества должна быть чрезвычайно велика. В действительности же удельная теплоемкость имеет именно такое значение, которое можно получить, рассматривая только внешнее движение атомов. Было непонятно, почему тепловая энергия не проникает внутрь атома и не возбуждает его внутренние степени свободы. Парадокс Больцмана был сформулирован в 1892 г., задолго до создания квантовой механики. Но объяснения ему не было.” 11[2]
Особенно остро сформулированная в парадоксе Больцмана проблема проявилась при анализе равновесного теплового излучения, когда создалась ситуация, получившая название “ультрафиолетовой катастрофы”. Квантование энергии стоячих волн снимает проблему и приводит к результатам, великолепно совпадающим с результатами эксперимента.
В этом главное: появившиеся в поле зрения физиков новые объекты - кванты, при всем их разнообразии, обладают одним общим свойством, не характерным для классических макрообъектов: они не могут быть разделены на части, за поведением которых нам хотелось бы проследить. И это фундаментальное их свойство:
“Одной из главных особенностей классической физики является возможность делить каждый процесс на составные части. Любой физический процесс можно считать состоящим из последовательности составляющих его процессов. По крайней мере теоретически каждый процесс можно проследить шаг за шагом во времени и в пространстве. Орбиту электрона вокруг ядра можно представить в виде последовательности малых перемещений. Электрон можно считать состоящим из частей с меньшими зарядами. Но эту точку зрения следует отбросить, если мы хотим понять, что видим в природе...” 12[3]
И к этому утверждению “примыкает” такое:
“Здесь мы сталкиваемся с весьма важным фактом, заключающимся в том, что указанная невозможность выполнения некоторых измерений означает больше, чем простое техническое ограничение, которое в один прекрасный день может быть преодолено с помощью хитроумного оборудования.” 13[4]
Коротко это звучит так. Квантовые объекты - это по своей природе неделимые объекты. Его состояние можно изменить, но выделить какую-то его часть нельзя.
19.4. Химические элементы
Другая проблема, которую не могла решить классическая физика, это существование атомов химических элементов с определенными свойствами. Принятая после опытов Резерфорда планетарная модель атома в рамках классических представлений оказалась неприемлемой.
Прежде всего, электрон при ускоренном движении по орбите (центростремительное ускорение!) должен терять энергию, излучая электромагнитную волну. Кроме того, в рамках классических представлений невозможно объяснить, почему атом меди, например, всегда остается атомом меди независимо от того, каким способом, где и когда была получена медь.
Звездные системы со своими планетами, которые дали название принятой в физике модели атома, обязательно различны. И не удивительно - движение планет описывается классической физикой. Так почему атомы, образованные квантовыми объектами, идентичны? Ответ, мне кажется, достаточно ясен:
“Во многих отношениях электронные орбиты демонстрируют поразительное сходство с волновыми колебаниями, локализованными в пределах атома. Например, волна, ограниченная определенным объемом, т.е. стоячая волна, может иметь только определенное число конфигураций... Эти конфигурации вполне определенны и имеют простые симметричные структуры - факт, известный из наблюдения других стоячих волн, например, колебаний скрипичной струны или волн в воздушном столбе органной трубы. Они обладают свойством «восстановления»; если возмущающий эффект изменил их форму, первичная конфигурация волн восстанавливается, когда действие возмущения прекращается.” 14[5]
Итак, стабильность атома обеспечивается волновыми свойствами электронов. Но для понимания квантовых объектов важно еще понимание того, что определенной конфигурации стоячей электронной волны отвечает определенная энергия. Мы это видели на примере бесконечно глубокой одномерной потенциальной ямы.
В то же время следует знать и помнить, что уравнением Шрёдингера описываются отнюдь не все свойства электрона. Например, в нем отсутствует спин. И уж никак из этого уравнения не следует принцип Паули, согласно которому в атоме может быть лишь два электрона с некоторой определенной конфигурацией стоячей волны.
Эти конфигурации характеризуются набором квантовых чисел. Поэтому применительно к атому принцип Паули формулируется так: в атоме может существовать лишь два электрона с одинаковым набором квантовых чисел, различающиеся знаком спина. Если спиновое квантовое число ввести в общий набор квантовых чисел, формулировка принципа Паули становится более лаконичной: каждый электрон в атоме должен иметь свой набор квантовых чисел.
Здесь, видимо, вновь следует обратиться к вопросу о “понятности” свойств квантового объекта, в частности, электрона. Мы не можем дать какого-то объяснения принципу Паули, равно как волновой природе квантового объекта, как, впрочем, и “понятному” закону сохранения энергии, например. Все это лишь констатация свойств природы, выясненных в результате наблюдений и экспериментов. Мы не придумываем природу, мы ее изучаем.
19.5. Нормирование волновой функции
Уравнением Шрёдингера волновая функция определяется с точностью до постоянного множителя. Этот множитель определяется с помощью условия нормировки
.
Размерность амплитуды -функции оказывается, таким образом, обратно пропорциональной объему и квадрат ее модуля называют плотностью вероятности обнаружения, например, электрона в некоторой области пространства. Оставим условие нормировки и терминологию такими, но обдумаем их смысл. Заранее оговорюсь, что понимать все это буквально не следует.
Во-первых, само слово “обнаружить” электрон в некоторой области пространства приемлемо лишь в том случае, если мы считаем, что он в момент обнаружения там находится. Нельзя обнаружить то, чего нет. В действительности дело обстоит, мягко говоря, не так.
Пусть электрон локализован в некотором более или менее строго очерченном объеме V. Далее предположим, что в результате некоторых наших действий он оказался локализован (“обнаружен”) в объеме V < V. Это автоматически означает увеличение его энергии, изменение квантового состояния. Это уже не тот электрон (не в том состоянии), который мы имели до “обнаружения”. Измерение, уточнение значений его координат “уничтожает условия существования квантового состояния” (ссылка 1).
Обратимся вновь к модельной задаче о состоянии электрона в бесконечно глубокой одномерной потенциальной яме.” В этом случае (задача одномерная) условие нормировки принимает вид:
0 X x l
.
При этом минимальная энергия электрона
.
При “обнаружении” электрона в интервале x минимальная его энергия возрастет до
.
Вот как обстоят дела при “обнаружении” электрона в некоторой области пространства: при этом увеличивается его энергия. Обнаружение же электрона “в точке” просто бессмысленно, поскольку это означало бы бесконечное увеличение его энергии. Вот мнение В.Вайскопфа по этому поводу:
“Волновая природа атомного электрона связана с неделимостью, целостностью атомного состояния. Если выделить часть процесса и затем пытаться установить более точно, действительно ли электрон находится внутри этой волны, его можно обнаружить там как реальную частицу, но при этом нарушится деликатная индивидуальность квантового состояния. Однако именно волновая природа обусловливает характерные особенности квантового состояния - его простую геометрию, восстановление первоначальной формы после окончания действия возмущения, короче говоря, специфические свойства атома. Великим открытием квантовой физики явилось обнаружение существования этих индивидуальных квантовых состояний, каждое из которых представляет собой единое целое, пока не подвергается воздействию средств наблюдения. Любая попытка наблюдать выделенную часть состояния связана с использованием столь высокой энергии, что при этом разрушается хрупкая структура квантового состояния.
Та же ситуация наблюдается и в обсуждавшемся выше случае электронного пучка, проходящего сквозь пару щелей в экране и создающего за ним интерференционные явления. Этот процесс также индивидуален и неделим. Когда пытаются выполнить опыт, чтобы обнаружить, через какую именно щель прошел электрон, явление интерференции пропадает: опыт оказывается слишком сильнодействующим, он нарушает целостность квантового состояния.” 15[6]
Вспомним еще раз, что это воображаемый опыт. Заключения по поводу того или иного эффекта основаны на уже существующих представлениях о свойствах квантового состояния электрона. И он в момент прохождения пары щелей находится в некотором определенном состоянии, которое, естественно, разрушается при его “обнаружении” вблизи одной из щелей, при его локализации в пределах размеров одной щели. Что же тут загадочного, если после этого не наблюдается картина дифракции на двух щелях? Другое дело, если длина волны света, используемого для “зондирования”, больше расстояния между щелями: возмущение слабое, интерференция наблюдается.
Я хочу теперь еще раз сформулировать свое мнение. Само словосочетание “частица обладает волновыми свойствами” бессмысленно. То, что мы называем электроном-частицей, представляет собой некий сложный объект, исчерпывающего описания для которого у нас нет. Но даже и в том случае, если бы такое описание нам было известно, оно наверняка было бы достаточно сложным, и едва ли мы стали бы им пользоваться. Чтобы понять некоторые эффекты, чтобы провести расчеты для предсказания поведения реального электрона, мы воспользовались бы либо волновым, либо корпускулярным приближением. Но никак не обоими одновременно.
Лекция 22
20. Стоячие волны. Рефракция
Мы рассмотрели стоячие волны для -функции в бесконечно глубокой одномерной потенциальной яме. Но и в других случаях стационарное решение уравнения Шрёдингера представляет собой стоячую волну, хотя это не всегда столь очевидно.
Какой может быть, например, стоячая волна -функции электрона в поле протона, в атоме водорода? Ведь в этом случае, вроде бы, вообще нет каких-нибудь отражающих волну стенок. И в этой связи мы вспомним о явлении, которое, вообще говоря, заслуживает более детального разговора, - о рефракции.
Говоря о прямолинейности распространения света, например, мы подразумевали однородную среду. Но в неоднородной среде направление распространения волны не остается постоянным.
Z 1 2
Пусть в неоднородной среде распространяется волна с плоским фронтом. И пусть скорость волны (фазовая) возрастает в направлении оси Z, параллельной фронту. Основываясь на принципе Гюйгенса-Френеля, рассмотрим каждую точку фронта волны как источник вторичных волн. Тогда “новый” фронт (плоскость, касательная к волновым поверхностям вторичных источников) не будет параллелен старому, будет происходить искривление луча, понимаемого как кривая, касательная к которой перпендикулярна фронту волны. Вот это явление “искривления” луча в неоднородной среде и называется рефракцией.
Проявления рефракции весьма разнообразны, и подробный разговор о ней мог бы быть достаточно интересен. Но - нельзя объять необъятное и особенно за весьма ограниченное время, которое есть в нашем распоряжении. Однако, посмотрим, как это явление проявляется в атоме водорода.
В поле протона по мере увеличения радиуса потенциальная энергия электрона возрастает. При постоянной полной энергии E = const это означает уменьшение кинетической энергии, уменьшение импульса:
; .
Так что уменьшение импульса означает и увеличение фазовой скорости v при увеличении радиуса r. Таким образом, луч электронной волны будет искривляться в направлении к протону и при определенных условиях может стать окружностью. При каких?
Условие, которое должно быть выполнено, достаточно очевидно. Поскольку длина окружности пропорциональна радиусу, пропорциональной радиусу должна быть и фазовая скорость. Таким образом мы получаем:
.
Исключив фазовую скорость, получим выражение для зависимости импульса от радиуса:
.
Запишем вновь выражение для энергии электрона и продифференцируем его по радиусу. С учетом выражения для и условия E = const мы получим:
.
Нам осталось лишь потребовать выполнения очевидного для существования стоячей волны условия - на длине орбиты должно укладываться целое число длин волн :
.
Из двух подчеркнутых выражений следует:
.
Таким образом, выражение для энергии электрона принимает вид:
.
Это выражение для электрона совпадает с точным значением, полученным из решения уравнения Шрёдингера. Наши оценочные расчеты никак не избавляют от необходимости решать это уравнение. Они должны лишь помочь понять, что квантовое состояние электрона в атоме описывается стоячей волной.
21. “Внутреннее движение” квантового состояния
Все то, о чем мы сейчас ведем речь, вообще говоря, не имеет прямого отношения к решению задач о поведении электрона в том или ином случае. Просто слишком часто квантовая физика противопоставляется классической, тогда как в ряде своих проявлений новая физика оказывается прямой “наследницей” старой.
Мы говорили о том, что принципиально новое привносит квантование в физику. Неплохо отметить и те воззрения, что могут быть оставлены без изменений.
Обратимся вновь к задаче об электроне в потенциальной яме. Квадрат модуля -функции для любого n является функцией координаты, не зависит от времени:
.
Никакого “движения материи” в этом выражении не видно. И тем не менее энергию электрона мы можем подсчитать как кинетическую энергию , тем не менее на стенку ямы действует сила . В этом не будет ничего загадочного, если мы не станем отказывать волне -функции в реальности, будем помнить, что стоячая волна представляет собой сумму бегущих в противоположных направлениях волн, которые отражаются от стенок. Волна переносит импульс и при отражении происходит изменение его направления. Конечно, как непрерывный процесс, а не “мгновенное”, как при корпускулярном представлении электрона.
При этом то обстоятельство, что функция не зависит от времени, дает хорошее, естественное объяснение того, почему в стационарном состоянии не происходит излучения электромагнитной энергии - нет колебаний электрического заряда.
Линейному волновому уравнению Шрёдингера удовлетворяет и волновая функция, представляющая собой суперпозицию двух (стоячих) волн с разными частотами и волновыми числами:
.
Квадрат модуля этой функции:
.
Выражение получается достаточно громоздким, но легко видеть, что его можно записать в виде:
.
Если не придумывать для квантового объекта какого-то нового способа излучения электромагнитной энергии кроме осцилляции заряда, то это выражение “объяснит” нам, почему при переходе электрона с одного энергетического уровня на другой, в процессе такого перехода происходит поглощение или излучение электромагнитной энергии на частоте .
Иногда говорят, что наблюдаются только стационарные состояния электрона, например, в случае атома водорода
.
Пожалуй, можно сказать, что это утверждение верно с точностью до наоборот: наблюдается, собственно, излучение или поглощение электромагнитной энергии, которые происходят при изменении энергии электрона от одного квантованного значения до другого. Если, конечно, признать, что процесс, например, излучения занимает некоторое время, и что в квантовой физике выполняется закон сохранения энергии.
Подчеркну еще раз: предлагаемые рассуждения никаким образом не влияют на практическое решение квантовомеханических задач. Речь идет только о “картинке” процесса, которую Вы можете иметь у себя в голове. Если Вам понятнее утверждение, что в квантовой физике излучение никак не связано с осцилляцией заряда, то - воля Ваша. Правда, давно было сказано: “Не умножай число сущностей без надобности”.
Но при этом необходимо отметить и такое обстоятельство. Экпериментально наблюдать осцилляцию заряда мы не можем - при попытке такого наблюдения разрушится “хрупкая индивидуальность квантового состояния”. Об осцилляции свидетельствует лишь то, что происходит излучение или поглощение электромагнитной энергии.
22. Квантование момента импульса
Другое “скрытое движение” внутри квантового объекта проявляется в наличии момента импульса его состояния. В случае, например, стоячей электронной волны в поле ядра атома момент импульса не определяется с помощью суммирования элементарных моментов импульсов, его (момента импульса) наличие или отсутствие явной связи с некоторым движением не обнаруживает. Однако, у нас нет и оснований считать, что момент импульса в этом случае создается как-то иначе, чем в физике обыкновенной, как-то без движения. Вспомните, что мы говорили об импульсе электрона в одномерной потенциальной яме.
При решении уравнения Шрёдингера определяется лишь модуль (точнее, квадрат модуля) момента импульса и одна из проекций (составляющих?) момента импульса. Но - не любая, а лишь проекция на ось симметрии квадрата модуля волновой функции (ось квантования). Так что обычное небрежное замечание, что может быть определена лишь одна из проекций Mx, My или Mz значит не более, чем утверждение, что ось квантования мы можем обозначить любой буквой. И направить ее, как нам захочется
Попробуем представить себе обособленный, не испытывающий внешних воздействий атом. Как направлен его момент импульса? Как направлена ось симметрии состояния? Видимо, ответ должен быть такой - как угодно. Положим, мы хотим определить эти направления. Если Вы сразу вспомните, что измерения характеристик квантового состояния сопряжены с изменением самого состояния, это очень хорошо. Но - тем не менее.
Направление момента импульса нам определить никак не удастся - оно не определяет каких-нибудь физических процессов или их характеристик. И здесь мы встречаемся с изумительной гармонией: то, что мы не можем определить экспериментально, не может быть и рассчитано. И это, видимо, должно нас радовать, это означает, что наши уравнения описывают реальные физические процессы. Эта гармония не является особенностью квантовой механики. Так же обстоит дело и с потенциальной энергией - она определена с точностью до произвольного слагаемого. Экспериментально определяется только изменение, приращение потенциальной энергии. Соответственно, у нас нет и возможности рассчитать однозначное ее значение.
Теперь - ось квантования. Если мы поместим атом в электрическое или магнитное поле, она окажется направленной вдоль поля. Магнитное квантовое число m определяет составляющую момента импульса электрона вдоль оси квантования. Экспериментально это проявляется в том, что в результате взаимодействия с полем изменяется энергия состояния. Это изменение энергии пропорционально величине магнитного поля и составляющей магнитного момента вдоль оси квантования. Величина магнитного момента считается пропорциональной механическому моменту, и изменение энергии электрона в магнитном поле, таким образом, связывается с магнитным квантовым числом. Почему оно так и называется.
23. Классический гироскоп в магнитном поле
Момент импульса электрона (атома) не может быть направлен вдоль оси квантования, как иногда говорят, вдоль “физически выделенного направления”. Бытует мнение, что это одна из особенностей квантовой механики. Я хочу обсудить этот вопрос применительно к классической физике.
Будем рассматривать гироскоп в виде несущего некоторый заряд кольца. Гироскоп обычно определяют как тело, имеющее ось симметрии и быстро раскрученное вокруг этой оси. Момент импульса такого гироскопа направлен вдоль его оси симметрии.
Z q
Поместив вращающееся заряженное кольцо в магнитное поле, мы легко убедимся, что действующий на него момент сил равен нулю. В самом деле, действующая на любой выделенный участок кольца с зарядом q сила имеет нулевой момент относительно центра кольца.
Однако, такое движение гироскопа представляет собой лишь частный случай. В общем случае направление момента импульса не обязательно совпадает с осью симметрии гироскопа. Такое движение можно легко наблюдать, подбросив с закручиванием какой-нибудь диск (например, плоскую тарелку) в воздух. Почти наверняка Ваш диск в полете будет покачиваться. Происходит это потому, что в отсутствии моментов внешних сил момент импульса остается постоянным, а ось симметрии, не совпадающая с моментом импульса, описывает конус вокруг его направления.
Z O’ q q O
Рассмотрим именно такое движение заряженного кольца в магнитном поле. Выделим два малых участка кольца с зарядами q на концах диаметра, который лежит в одной плоскости с вектором момента импульса и осью симметрии OO’. Хотя поле параллельно вектору момента импульса, момент сил относительно центра кольца отличен от нуля.
Этот результат наводит на определенные размышления. Во-первых, он означает, что в общем случае момент импульса гироскопа, несущего электрический заряд, и в классической физике не может совпадать с направлением магнитного поля. И другое, быть может, более важное.
Момент импульса и магнитный момент, которым определяется взаимодействие такого гироскопа с магнитным полем, не направлены по одной прямой. Не рассматривая этой задачи более подробно, я хочу лишь обратить Ваше внимание на то, что при анализе поведения атома в магнитном поле без какого-нибудь обоснования считается, что эти векторы направлены по одной прямой.
Но все это только наводит на определенные размышления. Каких-нибудь выводов я здесь делать не хочу.
24. Эпилог
Мы с Вами заканчиваем разговор о физике в рамках “физики общей”. В разделе “Механика и молекулярная физика” за основу было взято рассмотрение механического движения в приближении материальной точки, твердого тела, деформируемого тела и молекулярного движения, для описания которого оказалось необходимым использование вероятностного подхода.
В разделе “Электричество и магнетизм” мы сосредоточились на рассмотрении стационарных или квазистационарных полей. Собственно, одного - электромагнитного поля.
Наконец, третий раздел “Волны” был посвящен рассмотрению волновых процессов и закончился обсуждением явления, которое обычно называют волновыми свойствами частиц. Здесь мы обсудили некоторые вопросы интерпретации представлений квантовой физики. Считая, что это не вопрос общей физики, математического аппарата и большинства результатов, полученных квантовой физикой, я не касался.
Курс получился достаточно сложный. Я все время старался, чтобы обсуждаемые явления и результаты были понятны. Увы, это очень несовременный подход. В чем это проявляется? Например, уже в том, что последняя книжка Савельева названа учебником. До того учебников по физике для ВУЗов не существовало. Были только учебные пособия. В разных пособиях некоторые вопросы иногда трактовались по-разному. Учебники такой вольности не допускают.
Современным, к сожалению, часто оказывается формальное запоминание и пересказ предложенного материала на экзамене. Как заметил один китайский профессор, “похоже, мы учим студентов не физике, а тому, как сдать экзамен”. Не случайно слова “получить образование” прочно забыты. Сейчас при обучении “даются знания”. Такой способ учебы раньше назывался зубрежкой. Сейчас это норма.
Очень может быть, что при обсуждении проблем квантовой физики я был в чем-то очень не прав. Но и частое предложение давать квантовые представления в рецептурном плане мне очень не нравится - как можно отказываться от хотя бы попыток понять смысл физики? Понимать сложно, но только в понимании смысл образования.
На этом я прощаюсь с Вами, впрочем, пока что только до экзамена. Последнего Вашего экзамена по общей физике.
1[1] [1] : Р.Фейнман,Р.Лейтон,М.Сэндс, “Фенмановские лекции по физике”, вып.3, М., Мир, 1977, гл.37, с.202.
2[2] [1] : с.202
3[3] [2] : Р.Фейнман,Р.Лейтон,М.Сэндс, “Фенмановские лекции по физике”, вып.8, М., Мир, 1978, гл.1, с.15.
4[4] [3]: И.В.Савельев, Курс физики, т.3, М., Наука, с.59.
5[5] [3], с.61.
6[6] [1], с.216.
7[7] [4]: В.Вайскопф, ”Физика в двадцатом столетии”, М., Атомиздат, 1977г, с.41.
8[8] [4], с.41.
9[9] [3], с.108.
10[1] [4]: В.Вайскопф, ”Физика в двадцатом столетии”, М., Атомиздат, 1977г, с.58.
11[2] [4], с.47.
12[3] [4], с.37.
13[4] [4], с.39.
14[5] [4], с.38.
15[6] [4], с.40.
Нравится материал? Поддержи автора!
Ещё документы из категории физика:
Чтобы скачать документ, порекомендуйте, пожалуйста, его своим друзьям в любой соц. сети.
После чего кнопка «СКАЧАТЬ» станет доступной!
Кнопочки находятся чуть ниже. Спасибо!
Кнопки:
Скачать документ