Магнітне поле у вакуумі



















































































РЕФЕРАТ
на тему:”МАГНІТНЕ ПОЛЕ У ВАКУУМІ”
План
1. Магнітне поле. Магнітна індукція. Закон Ампера.
2. Закон Біо-Савара-Лапласа та його використання в найпростіших випадках:
а) Магнітне поле прямолінійного провідника із струмом;
б) Магнітне поле кругового провідника із струмом;
в) Магнітне поле соленоїда.
Магнітний момент контуру із струмом.
1. Магнітне поле. Магнітна індукція. Закон Ампера
Дослідним шляхом установлено, що подібно до електричних зарядів, навколо яких виникає електричне поле, в просторі навколо провідників із струмом або постійних магнітів виникає магнітне поле. Магнітне поле – це одна із форм існування матерії, завдяки якій здійснюється взаємодія струмів і постійних магнітів.
Встановлено також, що:
- магнітне поле діє лише на рухомі електричні заряди;
- рухомі електричні заряди створюють у просторі магнітне поле;
- магнітне поле не діє на статичні заряди.
Характер дії магнітного поля на струм залежить:
- від форми провідника, по якому тече струм;
- від розміщення провідника в просторі.
У якості пробного тіла для дослідження магнітного поля використовують замкнутий пробний контур з струмом, лінійні розміри якого досить малі. Магнітне поле такого пробного контуру не повинно створювати зовнішнього магнітного поля. При розміщенні такої рамки у досліджуване зовнішнє магнітне поле, із сторони останнього, на рамку діятиме обертальний момент сил М. Елементарна рамка із струмом займе певний напрям у просторі так, щоб магнітне поле рамки і досліджуваного магнітного поля збігалися (рис 11.1).
Рис11.1
Орієнтація контуру в просторі характеризується напрямком нормалі до контуру.
Додатний напрям нормалі визначається правилом правого гвинта. За позитивний напрям нормалі приймається напрям поступального руху правого гвинта, обертання якого збігаються з напрямком струму в пробній рамці.
За напрям магнітного поля у даній точці простору приймається напрям, вздовж якого направляється позитивно орієнтована нормаль до контуру.
Момент сил, який створюється зовнішнім магнітним полем у рамці із струмом, визначається векторним добутком вектора магнітного моменту рамки із струмом і магнітної індукції зовнішнього магнітного поля
, (11.1.1)
де - магнітний момент пробної рамки із струмом I і площею S; - вектор магнітної індукції – силова характеристика зовнішнього магнітного поля.
Скалярна величина вектора моменту сили визначається формулою
. (11.1.2)
Якщо в дану точку зовнішнього магнітного поля розміщувати елементарні рамки із різними магнітними моментами , то на них з сторони магнітного поля будуть діяти різні обертальні механічні моменти сил . Однак відношення для кожного випадку буде сталою величиною, яка є силовою характеристикою цього поля. Позначають цю величину буквою і називають індукцією магнітного поля.
. (11.1.3)
Індукція магнітного поля вимірюється у теслах (Тл), розмірність якого визначається з (11.1.3)
.
Подібно до електричного поля магнітне поле зображають з допомогою силових ліній магнітного поля, напрям яких у кожній точці поля збігається із напрямком вектора .
Лінії індукції магнітного поля завжди замкнуті й охоплюють провідники із струмом. Замкнутість силових ліній магнітного поля характеризує вихровий характер цього поля.
Природа магнітного поля зводиться або до руху електричних зарядів, або до змінного в часі електричного поля. Про це свідчать рівняння Максвела:
а) , (11.1.4)
де - циркуляція вектора електростатичного поля вздовж довільного замкнутого контуру; - потік змінного в часі вихрового магнітного поля крізь довільну замкнуту поверхню;
б) , (11.1.5)
де - струм провідності, який створюється в провіднику вільними електричними зарядами; - потік змінного в часі електричного поля, що інколи називають струмом зміщення. Струм зміщення не пов’язаний з рухом будь-яких електричних зарядів.
Рівняння Максвелла (11.1.4) і (11.1.5) характеризують взаємозв’язок електричних і магнітних явищ. З рівняння (11.1.4) чітко видно, що змінне в часі магнітне поле є причиною виникнення вихрового електричного поля. Останнє, створює електричний струм у замкнутому провіднику.
З рівняння (11.1.5) випливає, що причиною виникнення магнітного поля може бути або струм провідності, або змінне в часі електричне поле, яке не обов’язково призводить до руху зарядів у провіднику.
Оскільки будь-який струм є причиною виникнення магнітного поля, то це пояснює дослідний факт силової дії магнітного поля на провідник із струмом.
Величину цієї сили знайшов Ампер, тому вона називається силою Ампера
, (11.1.6)
де - вектор елементу струму, що збігається з напрямком струму у провіднику; - індукція зовнішнього магнітного поля.
Рис.11.2
На рис.11.2 струм створюється позитивними зарядами, напрям руху яких збігається з напрямком струму.
Напрям сили Ампера визначається правилом лівої руки. Якщо силові лінії магнітного поля входять в долоню лівої руки, а чотири пальці направлені по напрямку струму у провіднику, то великий палець, відхилений на 900, покаже напрямок сили Ампера.
2. Закон Біо-Савара-Лапласа та його використання у найпростіших випадках
Ще на початку 19-го сторіччя французькі фізики Біо і Савар, обробляючи величезний експериментальний матеріал вивчення характеристик магнітного поля провідників зі струмом за участю математика Лапласа, одержали формулу, яка дістала назву у фізиці закону Біо-Савара-Лапласа.
У векторній формі цей закон має вигляд
, (11.2.1)
де - відносна магнітна проникність середовища, безрозмірна величина; о – магнітна постійна (); I – струм у провіднику; - елемент провідника; - відстань від елемента струму до точки, в якій знаходиться індукція магнітного поля (рис.11.3).
Рис.11.3
З видно, що вектор індукції магнітного поля є дотичною до силової лінії магнітного поля, яка охоплює провідник, і проходить через точку, в якій визначається індукція магнітного поля.
Напрям силової лінії визначається за допомогою правила правого гвинта, як це показано на рисунку.
Поряд із індукцією магнітного поля магнітне поле характеризується напруженістю . Ця величина не залежить від властивостей середовища і дорівнює
. (11.2.2)
Величина напруженості магнітного поля входить в одне із рівнянь Максвелла. Розмірність напруженості буде встановлена трохи пізніше.
Закон Біо – Савара - Лапласа для напруженості магнітного поля Н має вигляд
, (11.2.3)
або в скалярній формі
. (11.2.4)
Магнітному полю властивий принцип суперпозиції. Це означає, що поля від кількох джерел магнітного поля накладаються як вектори, тобто
. (11.2.5)
Знайдемо індукцію магнітного поля біля безмежного прямого провідника із струмом (рис.11.4).
Скористаємось законом Біо – Савара - Лапласа в скалярній формі
, (11.2.6)
де кут - це кут між напрямком елемента провідника із струмом і радіусом-вектором , як це показано на рис.11.4; - дотичний вектор до силової лінії, напрям якого збігаються з напрямком обертання правого гвинта.
Рис.11.4
З рисунка видно, що
dS=dlsin і dS=rd,
звідки
.
Радіус-вектор також можна виразити через ro і кут , тобто
.
З урахуванням цих зауважень закон Біо – Савара - Лапласа набуде вигляду
. (11.2.7)
Інтегруємо вираз (11.2.7) в межах зміни кута від 1 до 2, в результаті чого одержимо
. (11.2.8)
Якщо у виразі (11.2.8) 1 прямує до 0, а 2 прямує до , то одержимо безмежний прямий провідник із струмом.
У цьому випадку:
а) індукція магнітного поля буде дорівнювати
. (11.2.9)
б) напруженість магнітного поля буде дорівнювати
. (11.2.10)
З останньої формули легко встановити розмірність напруженості магнітного поля
.
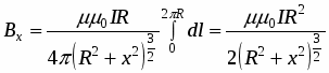
Знайдемо магнітне поле на осі кругового витка із струмом (рис.11.5).
Рис.11.5
Елемент провідника із струмом dl, створює на осі x індукцію магнітного поля dB. Вектор є дотичним до силової лінії, зображеної на рисунку пунктирною лінією. Складова вектора індукції магнітного поля dBy буде скомпенсована аналогічним елементом з протилежної сторони. Результуючу індукцію магнітного поля від кругового витка із струмом слід шукати в напрямку осі x (принцип суперпозиції магнітних полів).
З рисунка видно, що
. (11.2.11)
Закон Біо – Савара - Лапласа запишеться
, (11.2.12)
тут враховано, що .
Підставимо вираз (11.2.12) у (11.2.11), одержимо
. (11.2.13)
Але врахувавши, що
; і ,
одержимо
. (11.2.14)
Інтегруємо цей вираз в межах довжини витка від 0 до 2πR, одержимо
.
Таким чином, магнітна індукція на осі кругового витка дорівнює визначається за допомогою формули
. (11.2.15)
Напруженість магнітного поля у цьому випадку буде дорівнювати
. (11.2.16)
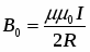
Для індукції та напруженості магнітного поля у центрі колового витка зі струмом одержимо
, (11.2.17)
. (11.2.18)
Знайдемо індукцію і напруженість магнітного поля на осі довгого соленоїда з струмом (рис.11.6).
Рис.11.6
Виділений елемент соленоїда шириною dx, в якому dN витків, що щільно прилягають один до одного, можна розглянути як круговий виток, індукція якого розраховується за формулою (11.2.15)
, (11.2.19)
Кількість витків у виділеному елементі соленоїда дорівнює
dN = ndx,
де n – число витків на одиницю довжини соленоїда.
З урахуванням цих позначень одержуємо
. (11.2.20)
Виконаємо заміну змінних у співвідношенні (11.2.20), тобто
, і .
З урахуванням цих позначень одержимо, що
.
Інтегруємо цей вираз у межах зміни кута від 1 до 2. Після інтегрування одержимо
. (11.2.21)
Якщо 10, а 2, одержимо соленоїд безмежної довжини. У цьому випадку:
а) індукція магнітного поля на осі довгого соленоїда
. (11.2.22)
б) напруженість магнітного поля на осі довгого соленоїда
. (11.2.23)
3. Магнітний момент контуру із струмом
Для плоского контуру із струмом I магнітний момент визначається співвідношенням:
, (11.3.1)
де I – струм у контурі; S – площа контуру; - нормаль до площини контуру, яка збігається з поступальним рухом правого гвинта, якщо його обертати за напрямком струму у витку.
Рис.11.7
Якщо контур із струмом розмістити у зовнішнє магнітне поле, то результуюча сила Ампера, яка діє зі сторони зовнішнього магнітного поля на контур з струмом, буде дорівнювати нулю, тобто
.
У випадку неоднорідного магнітного поля результуючий вектор сили Ампера не буде дорівнювати нулю.
Відповідні розрахунки показують, що в цьому випадку
(11.3.2)
де - похідна вектора в напрямку нормалі або градієнт вектора в напрямку нормалі до контуру; - магнітний момент контуру.
Нравится материал? Поддержи автора!
Ещё документы из категории физика:
Чтобы скачать документ, порекомендуйте, пожалуйста, его своим друзьям в любой соц. сети.
После чего кнопка «СКАЧАТЬ» станет доступной!
Кнопочки находятся чуть ниже. Спасибо!
Кнопки:
Скачать документ