Определение моментов инерции тел методом трифилярного подвеса











































Министерство образования РФ
Рязанская государственная радиотехническая академия
Кафедра ОиЭФ
Контрольная работа
«Определение моментов инерции тел методом трифилярного подвеса»
Выполнил Ампилогов Н.В.
Проверил Малютин А.Е.
Рязань 2002
Цель работы
Определить момент инерции тела относительно оси, проходящей через центр его масс, экспериментально проверить аддитивность момента инерции и теорему Штейнера.
Приборы и принадлежности: трифилярный подвес, секундомер, штангенциркуль, линейка набор тел.
Элементы теории
Момент инерции тела является мерой его инерции при вращательном движении и зависит не только от массы данного тела, но и от распределения данной массы относительно оси вращения.
Момент инерции материальной тачки (I) относительно некоторой оси равен:
I = mr2, где m – масса материальной точки; r – расстояние от точки до оси вращения.
В силу аддитивности момента инерции можно записать выражение:
,
где Ik – момент инерции k-ой части вращающейся системы; N – число частей во вращающейся системе.
Для протяженных тел момент инерции определяется, как сумма моментов инерции отдельных элементарных объёмов (dV), на которые можно разбить данное тело и которые можно считать материальными точками:
,
где dm = dV – масса элементарного объёма; - плотность тела в данной точке. Для однородных тел, у которых - const:
.
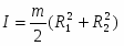
Так, момент инерции однородного круглого пустотелого цилиндра или диска массой m с внутренним радиусом R2 относительно оси, совпадающей сего геометрической осью, рассчитанный с помощью формулы (4), равен:
.
Тогда:
для сплошного цилиндра, у которого R1 = 0, R2 = R.
;
для тонкого кольца, у которого R1 = R2 = R
I = mR2.
Согласно определению момента инерции одно и то же тело относительно разных осей обладает различными моментами инерции, которые могут быть найдены по теореме Штейнера:
8) I = I0 + ma2, где I0 –момент инерции тела относительно оси, проходящей через центр масс тела; I – момент инерции того же тела относительно оси, параллельной предыдущей и смещённой на расстояние a от неё; m – масса тела.
В данной работе требуется определить момент инерции ненагруженной платформы и платформы с исследуемыми телами, что позволяет найти момент инерции самих тел и провести проверку аддитивности момента инерции, а так же убедиться в справедливости теоремы Штейнера. Для этого в ней используется метод трифилярного подвеса.
После однократного выведения данной системы (подвеса или подвеса с грузом) из положения устойчивого равновесия, поворотом на некоторый угол , система начинает совершать произвольные колебания, период которых зависит момента инерции системы, а следовательно и от её массы. Таким образом полную механическую энергию данной системы (E) в произвольный момент времени t (и пренебрегая трением) можно записать так:
,
где J – момент инерции системы, состоящей из платформы и установленного на ней исследуемого твёрдого тела; = d / dt – угловая скорость системы при повороте её на угол ; M – масса системы (платформы с грузом или без оного). В формуле (9) - кинетическая энергия вращательного движения системы, - потенциальная энергия системы. При (z – z0) – есть небольшая высота, на которую приподнимается система при вращении в силу перекоса нитей на которых смонтирован трифилярный подвес (z0 – высота покоящейся платформы; z – высота платформы, совершающей крутильные колебания, в произвольный момент времени).
В предоставленном после этого самому себе устройстве начнут совершаться крутильные колебания, период которых зависит от момента инерции подвешенной системы. Момент инерции, а следовательно, и период колебаний будут меняться, если платформу нагружать какими-либо телами.
Координаты точки А1 верхнего диска в системе координат, указанной на рисунке, равны: х1=r; y1 = 0; z1 = 0. Координаты же точки А крепления нижней платформы к нити подвеса в момент времени, когда платформа повернулась на малый угол , равны, соответственно,
x = Rcos(); у = Rsin(); z = z.
Расстояние между точками А и А1 равно длине нити подвеса (l), и поскольку при колебаниях платформы длина нитей не меняется, то в любой момент времени справедливо соотношение:
.
С учетом указанных выше координат точек А и А1 на основании (11) можно написать для произвольного значения угла а поворота следующее выражение:
.
Если = 0, то
.
Здесь x = R; у = 0; z = z0 - координаты точки А нижней платформы в момент времени, когда = 0. Приравнивая выражения (12) и (13) и раскрывая скобки, получаем:
Так как угол мал, то для него можно использовать следующие соотношения:
sin() ;
Используя их, из (14) для малых углов получаем:
.
Учитывая соотношение (14), получаем:
;
или
.
Подставив в (9) найденное значение (z0-z), имеем
;
или
.
Дифференцируя выражение (21) по времени и учитывая, что полная энергия системы Е с течением времени не меняется, получаем:
.
Из последнего выражения следует:
.
Обозначив
,
получим
.
Это дифференциальное уравнение гармонического осциллятора. Решение уравнения (25) можно записать в виде:
,
где 0 - амплитуда колебания; 0 - циклическая частота колебаний.
Период колебаний равен:
.
Решив последнее уравнение относительно J, получим расчетную формулу:
.
На основании (28) по известным параметрам установки (R, r, z0, М) и измеренному на опыте периоду колебаний можно определить момент инерции системы.
Расчётная часть
R = 12,410-2 м.; R1 = 54,2510-3 м.;
R2 = 4910-3 м.; r = 3,210-2 м.;
L = 19210-2 м.; mпл = 37310-7 кг.;
R 0; R1 0;
R2 0; r 0;
L 0; mпл 0;
mтела = 18710-7 кг.; mтела 0;
№ п/п
1) Определение J платформы
2) Определение J тела
3) Проверка аддитивности момента инерции
4) Проверка теорема Штейнера
N
t, с
t, с
n
t, с
t, с
n
t, с
t, с
n
t, с
t, с
1
15
69
1,9910-4
15
59
1,9910-4
15
52
1,9910-4
15
59
1,9910-4
2
66
61
54
60
3
70
59
53
58
Ср.
Знач.
68,33
59,67
53
59
Вначале определим периоды Ti колебаний системы во всех случаях снятия показаний (см. таблицу).
Ti = tср/n;
1) c. 2) c. 3) c. 4) c.
Используя измерения снятые в 1-ом случае, по формуле (28) рассчитаем момент инерции ненагруженной платформы Jпл:
кгм2.
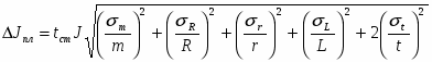
Вычислим значение абсолютной погрешности Jпл:
Jпл = Jпл tст; где tст = 1,95 при P = 0.95
;
;
Полагая, что значения среднеквадратичных погрешностей m, R, r и L пренебрежимо малы (в силу приведения их значений по умолчанию), формулу для вычисления Jпл можно свести к формуле:
.
В свою очередь t найдём следующим способом:
;
;
при k = 1,1 (для P = 95) и c = 1 с.
с.
Тогда Jпл принимает значение:
кгм2.
Теперь найдём момент инерции системы (J платформы с грузом) для 2-ого случая.
кгм2.
Далее найдём момент инерции тела (Jт) исходя из аддитивности момента инерции по формуле:
Jт = J - Jпл;
Jт = (4,55 – 3,97)10-3 = 5,810-4 кгм2.
Найдём момент инерции того же тела через его массу и размеры (по формуле (5)):
кгм2.
Вычислим суммарный момент инерции системы для 3-его случая.
кгм2.
Для проверки аддитивности момента инерции надо убедиться в верности соотношения (2).
I = J + Jт = Jпл + 2Jт;
(45,5 +5,8)10-4 = (39,7 + 25,8)10-4 (47,8 1,99)10-4 кгм2.
Остаётся проверить теорему Штейнера с использованием результатов измерений в 4-ом случае.
Определим момент инерции всей системы по формуле (28):
кгм2.
Теперь рассчитаем момент инерции тела по приведённой ниже формуле.
Jт = (J - Jпл)/2;
Jт = 10-3(5,92 – 3,97)/2 = 0,9710-3 кгм2.
Найдём момент инерции тела через выражение (8), при a = м.
0,5810-3 + 18710-7
Нравится материал? Поддержи автора!
Ещё документы из категории физика:
Чтобы скачать документ, порекомендуйте, пожалуйста, его своим друзьям в любой соц. сети.
После чего кнопка «СКАЧАТЬ» станет доступной!
Кнопочки находятся чуть ниже. Спасибо!
Кнопки:
Скачать документ