Определение устойчивости равновесия Расчет зависимости напряженности электрического поля от











































































































































































































































































































































































302
Два положительных точечных заряда и закреплены на расстоянии друг от друга. Определить, в какой точке на прямой, проходящей через заряды, следует поместить третий заряд так, чтобы он находился в равновесии. Указать, какой знак должен иметь этот заряд для того, чтобы равновесие было устойчивым, если перемещение зарядов возможны только вдоль прямой, проходящей через закрепленные заряды.
Решение:
Определим знак заряда, при котором равновесие будет устойчивым.
Если заряд отрицательный, то при смещении его влево сила (направленная влево) возрастает, а сила (направленная вправо) возрастает. Под действием этой силы заряд удаляется от положения равновесия. То же происходит и при смещении заряда вправо. Равновесие будет неустойчивым.
Если заряд положителен, то при смещении его влево сила (направленная вправо) возрастает, а сила (направленная влево) убывает, следовательно, результирующая сила будет направлена вправо и заряд возвращается к положению равновесия. То же происходит и при смещении заряда вправо. Равновесие будет устойчивым.
Предположим, что заряд находится в точке . Тогда условие равновесия заряда запишется так:
Подставив в уравнение вместо сил их значения по закону Кулона, и произведя сокращения, получим:
Решая относительно , получаем:
Так как –эта точка расположена вне отрезка , что невозможно для равновесия заряда .
Произведем вычисления:
Ответ: положительный.
322
На двух концентрических сферах радиусом и равномерно распределены заряды с поверхностными плотностями и соответственно. Используя теорему Гаусса, найти зависимость напряженности электрического поля от расстояния для трех областей: и . Принять , . 2) вычислить напряженность в точке, удаленной от центра на расстояние и указать направление вектора для значений , . 3) построить график .
Решение:
1) Для определения напряженности в области проведем гауссову поверхность радиусом .
По теореме Остроградского –Гаусса имеем:
Для области : -заряда внутри сферы нет
Напряженность поля в области равна нулю.
Для области проведем гауссову поверхность радиуса :
Площадь гауссовой поверхности:
Площадь поверхности шара:
Для области проведем гауссову поверхность радиуса . Гауссова поверхность охватывает обе сферы:
2) Найдем напряженность для точки, удаленной от центра на расстояние :
3) Строим график :
3) Строим график Е(r):
-9
-6
-3
0
3
-12
-15
-18
-21
I
II
III
R
2R
332
Электрическое поле создано зарядами и , находящимися в точках и соответственно (). Точка находится на прямой (). Точка находится на продолжении отрезка (). Определить работу сил поля, совершаемую при перемещении заряда из точки в точку .
Решение:
+
-
Для определения работы А12 сил поля воспользуемся соотношением:
Расстояние между точкой, в которой расположен заряд и точкой по теореме Пифагора равно
Применяя принцип суперпозиции электрических полей, определим потенциалы и точек и поля:
Разность потенциалов:
Искомая работа:
Проверим единицы измерения:
Произведем вычисления:
Ответ: .
352
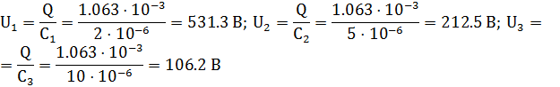
Конденсаторы емкостями , и соединены последовательно и находятся под напряжением . Определить напряжение и заряд на каждом из конденсаторов.
Решение:
Так как конденсаторы соединены последовательно, то:
Заряд:
Произведем вычисления:
Разности потенциалов:
Ответ: .
402
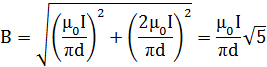
По двум скрещенным под прямым углом бесконечно длинным проводам текут токи и (). Определить магнитную индукцию в центре отрезка, перпендикулярного к обоим проводам, если длина его составляет . Указать направление вектора для выбранных направлений тока.
Решение:
В соответствии с принципом суперпозиции магнитных полей, магнитная индукция , создаваемая токами и определяется выражениями:
Направление векторов и найдем по правилу буравчика. Вектор , создаваемый 2-м проводом направлен перпендикулярно плоскости рисунка «от нас». Вектор , создаваемый 1-м проводом, направлен вверх от точки . Так как , скалярно получаем:
Магнитные индукции, создаваемые проводами определим по формулам расчета магнитной индукции для бесконечно длинного прямолинейного провода с током:
В нашем случае: ;
Получаем:
Искомая магнитная индукция:
Произведем вычисления:
Ответ:
412
Квадратная проволочная рамка расположена в одной плоскости с длинным прямым проводом так, что две ее стороны параллельны проводу. По рамке и проводу текут одинаковые токи . Определить силу , действующую на рамку, если ближайшая к проводу сторона рамки находится от него на расстоянии, равном ее длине.
Решение:
Сила, действующая на провод с током в магнитном поле:
где -угол между направлением тока в проводе и вектором магнитной индукции .
На стороны рамки, расположенные перпендикулярно проводу, действуют силы равные по модулю и противоположные по направлению, которые уравновешивают друг друга.
Магнитная индукция поля прямого тока:
Сила, действующая на ближайшую сторону рамки:
Сила, действующая на дальнюю сторону рамки:
Суммарная сила:
Проверим единицы измерения:
Произведем вычисления:
Ответ: .
442
Альфа-частица влетела в скрещенные под прямым углом магнитное () и электрическое поля. Определить ускорение альфа-частицы в начальный момент времени, если ее скорость перпендикулярна векторам и , причем силы, действующие со стороны этих полей, противоположно направлены.
Решение:
-
На движущуюся заряженную частицу в скрещенных магнитном и электрическом полях действуют две силы:
Сила Лоренца, направленная перпендикулярно скорости и вектору магнитной индукции и кулоновская сила , противоположно направленная вектору напряженности электростатического поля.
Ускорение можно найти по 2-му закону Ньютона:
Куловская сила:
Сила Лоренца:
Искомое ускорение электрона:
-масса альфа-частицы
- заряд -частицы
Проверим единицы измерения:
Произведем вычисления:
Ответ: .
462
В проволочное кольцо, присоединенное к баллистическому гальванометру, вставили прямой магнит. При этом по цепи прошел заряд . Определить изменение магнитного потока через кольцо; если сопротивление цепи гальванометра .
Решение:
В тот момент, когда вставили магнит, произошло изменение магнитного поля. В кольце возникнет ЭДС индукции, определяемая основным законом электромагнитной индукции:
Возникшая ЭДС индукции вызовет в рамке индукционный ток, мгновенное значение которого можно определить, воспользовавшись законом Ома для полной цепи:
где –сопротивление гальванометра
Проинтегрируем последнее равенство:
Откуда искомая величина:
Проверим единицы измерения:
Произведем вычисления:
Ответ: .
Литература
Трофимова Т.И. Курс физики. М. 2000
Савельев И.В. Курс общей физики, в 5 т. М. 2001
Чертов А.Г., Воробьев А.А. Задачник по физике. М., 1981
Нравится материал? Поддержи автора!
Ещё документы из категории физика:
Чтобы скачать документ, порекомендуйте, пожалуйста, его своим друзьям в любой соц. сети.
После чего кнопка «СКАЧАТЬ» станет доступной!
Кнопочки находятся чуть ниже. Спасибо!
Кнопки:
Скачать документ