Принцип соответственных состояний. Прогнозирование коэффициентов сжимаемости и фугитивности



































Принцип соответственных состояний. Прогнозирование коэффициентов сжимаемости и фугитивности.
Когда Ван-дер-Ваальс записал свое уравнение при помощи приведенных свойств (4.9), он впервые сформулировал принцип соответственных состояний.
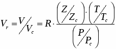
Согласно этому принципу предполагается, что приведенные конфигурационные свойства всех газов и жидкостей, по существу, одинаковы, если их сравнивать при одинаковых приведенных температурах и давлениях. Для P-V-T свойств этот принцип дает
(4.30)
или
. (4.31)
Значение критического коэффициента сжимаемости для большинства органических веществ, за исключением очень полярных или состоящих из больших молекул газов и жидкостей, находится в диапазоне 0,27–0,29. Если принять постоянным, то уравнение (4.31) переходит в уравнение
, (4.32)
в котором коэффициент сжимаемости коррелирован с приведенной температурой () и приведенным давлением ().
Зависимость (4.32) является параметрическим уравнением состояния. Параметрами служат и . Это значит, что зная и для данного вещества, можно определить волюметрические свойства при различных температурах и давлениях. Расчет может быть выполнен по диаграммам, широко приводимым в литературе, с использованием таблиц или аналитических зависимостей.
Уравнения состояния в приведенном виде применяются в настоящее время достаточно широко, однако следует иметь в виду, что их точность в целом не выше, чем точность исходных уравнений. В то же время можно привести множество примеров, когда экспериментальные данные лучше согласуются с прогнозом на основе принципа соответственных состояний, чем с привлечением специальных уравнений состояния. Согласованность с принципом соответственных состояний часто нарушается при высоких значениях и .
Было сделано много попыток увеличить точность расчетного метода. Наиболее успешные модификации чаще всего включают дополнительный, третий параметр в функции, выраженной уравнением (4.32). Третий коррелирующий параметр обычно связывают либо с приведенным давлением паров при избранной температуре, либо с каким-нибудь волюметрическим свойством в критической точке или около нее.
Этот третий коррелирующий параметр является, фактически, критерием подобия, а принцип соответственных состояний - частным случаем общей теории подобия.
В настоящее время предложено значительное количество различных критериев подобия в приложении к принципу соответственных состояний. Между большинством из них относительно несложно установить количественные соотношения. Как правило, в литературе такие соотношения приводятся.
Одним из наиболее широко применяемых критериев подобия для P-V-T зависимостей является ацентрический фактор. С его использованием Питцер и др. [6] представили коэффициент сжимаемости
(4.33)
В большинстве случаев оказывается достаточной линейная форма уравнения
, (4.34)
в котором - функция, характеризующая поведение молекул простого вещества, - функция, характеризующая отклонение в поведении молекул рассматриваемого вещества от поведения молекул простого вещества.
Уравнения (4.33) и (4.34) принято называть разложением Питцера. В литературе имеются таблицы значений и в виде функций и . По ним можно определять коэффициенты сжимаемости и для газов, и для жидкостей. Таблицы, как правило, рекомендованы для неполярных веществ. Имеются специальные диаграммы для полярных веществ. Выделены в особую группу также легкие газы - водород, гелий и неон. Кроме того, для очень высоких температур и давлений рекомендованы диаграммы “приведенное давление - приведенная температура - приведенная плотность”. Многообразие диаграмм имеет некоторые непринципиальные различия, которые обусловлены различиями массивов отобранных для их составления экспериментальных данных и тем, как эти данные сглаживались.
Широко апробированы и рекомендуются для прогнозирования Z таблицы Ли-Кеслера (табл. 4.6, 4.7). Некоторые примеры применения этих таблиц приведены в разд. 6. В основе таблиц Ли-Кеслера лежит модифицированное ими уравнение состояния Бенедикта-Уэбба-Рубина, которое признано одним из наиболее эффективных уравнений и превосходит по возможностям даже кубические уравнения состояния.
Критический коэффициент сжимаемости можно вычислять по уравнению Эдмистера, зная ацентрический фактор :
(4.35)
Многие методы прогнозирования свойств реальных газов и жидкостей основаны на фугитивности (летучести). Фугитивность () - это такая функция, использование которой вместо давления в термодинамических соотношениях для идеальных газов и жидкостей делает их применимыми для описания свойств реальных газов и жидкостей. Для прогнозирования фугитивности широко используются методы, основанные на принципе соответственных состояний, в частности таблицы Ли-Кеслера (табл. 4.8, 4.9) и разложение Питцера для коэффициента фугитивности ():
; (4.36)
- функция, характеризующая поведение молекул простого вещества,
- функция, характеризующая отклонение в поведении молекул
рассматриваемого вещества от поведения молекул простого вещества,
- ацентрический фактор.
Принципы построения таблиц Ли-Кеслера для коэффициентов фугитивности и использования их при прогнозировании свойств веществ аналогичны таковым для коэффициентов сжимаемости.
Фазовые диаграммы однокомпонентных систем. Бинодаль, спинодаль.
Для графического представления P-V-T соотношений наибольшей известностью пользуется P-V диаграмма вещества. На рис. 4.6. представлены важнейшие элементы этой диаграммы. Ось абсцисс (ось молярных объемов) изображается лучом, отходящим от начала координат - отрицательные значения объема не имеют физического смысла. Ось ординат (ось давлений) содержит и положительные, и отрицательные значения. Положительные - это давления сжатия, отрицательные соответствуют растяжению, которому можно подвергнуть плотную жидкость или кристалл.
На рис. 4.6. точки B и F соответствуют молярным объемам газа и жидкости (соответственно), находящимся в равновесии при соответствующих значениях давления и температуры. Если аналогичные точки на других докритических изотермах соединить линией, то получится колоколообразная кривая - бинодаль; кривая сосуществования “жидкость-пар”. Ее левая ветвь - объемы жидкости, находящиеся в равновесии с паром; иногда говорят “насыщенная жидкость”. Правая ветвь - объемы насыщенного пара. Обе ветви бинодали смыкаются в критической точке К, которая является вершиной бинодали.
Прогнозирование коэффициентов сжимаемости газов и жидкостей
Tr
Pr
0,010
0,050
0,100
0,200
0,400
0,600
0,800
0,30
0,0029
0,0145
0,0290
0,0579
0,1158
0,1737
0,2315
0,35
0,0026
0,0130
0,0261
0,0522
0,1043
0,1564
0,2084
0,40
0,0024
0,0119
0,0239
0,0477
0,0953
0,1429
0,1904
0,45
0,0022
0,0110
0,0221
0,0442
0,0882
0,1322
0,1762
0,50
0,0021
0,0103
0,0207
0,0413
0,0825
0,1236
0,1647
0,55
0,9804
0,0098
0,0195
0,0390
0,0778
0,1166
0,1553
0,60
0,9849
0,0093
0,0186
0,0371
0,0741
0,1109
0,1476
0,65
0,9881
0,9377
0,0178
0,0356
0,0710
0,1063
0,1415
0,70
0,9904
0,9504
0,8958
0,0344
0,0687
0,1027
0,1366
0,75
0,9922
0,9598
0,9165
0,0336
0,0670
0,1001
0,1330
0,80
0,9935
0,9669
0,9319
0,8539
0,0661
0,0985
0,1307
0,85
0,9946
0,9725
0,9436
0,8810
0,0661
0,0983
0,1301
0,90
0,9954
0,9768
0,9528
0,9015
0,7800
0,1006
0,1321
0,93
0,9959
0,9790
0,9573
0,9115
0,8059
0,6635
0,1359
0,95
0,9961
0,9803
0,9600
0,9174
0,8206
0,6967
0,1410
0,97
0,9963
0,9815
0,9625
0,9227
0,8338
0,7240
0,5580
0,98
0,9965
0,9821
0,9637
0,9253
0,8398
0,7360
0,5887
0,99
0,9966
0,9826
0,9648
0,9277
0,8455
0,7471
0,6138
1,00
0,9967
0,9832
0,9659
0,9300
0,8509
0,7574
0,6553
1,01
0,9968
0,9837
0,9669
0,9322
0,8561
0,7671
0,6542
1,02
0,9969
0,9842
0,9679
0,9343
0,8610
0,7761
0,6710
1,05
0,9971
0,9855
0,9707
0,9401
0,8743
0,8002
0,7130
1,10
0,9975
0,9874
0,9747
0,9485
0,8930
0,8323
0,7649
1,15
0,9978
0,9891
0,9780
0,9554
0,9081
0,8576
0,8032
1,20
0,9981
0,9904
0,9808
0,9611
0,9205
0,8779
0,8330
1,30
0,9985
0,9926
0,9852
0,9702
0,9396
0,9083
0,8764
1,40
0,9988
0,9942
0,9884
0,9768
0,9534
0,9298
0,9062
1,50
0,9991
0,9954
0,9909
0,9818
0,9636
0,9456
0,9278
1,60
0,9993
0,9964
0,9928
0,9856
0,9714
0,9575
0,9439
1,70
0,9994
0,9971
0,9943
0,9886
0,9775
0,9667
0,9563
1,80
0,9995
0,9977
0,9955
0,9910
0,9823
0,9739
0,9659
1,90
0,9996
0,9982
0,9964
0,9929
0,9861
0,9796
0,9735
2,00
0,9997
0,9986
0,9972
0,9944
0,9892
0,9842
0,9796
2,20
0,9998
0,9992
0,9983
0,9967
0,9937
0,9910
0,9886
2,40
0,9999
0,9996
0,9991
0,9983
0,9969
0,9957
0,9948
2,60
1,0000
0,9998
0,9997
0,9994
0,9991
0,9990
0,9990
2,80
1,0000
1,0000
1,0001
1,0002
1,0007
1,0013
1,0021
3,00
1,0000
1,0002
1,0004
1,0008
1,0018
1,0030
1,0043
3,50
1,0001
1,0004
1,0008
1,0017
1,0035
1,0055
1,0075
4,00
1,0001
1,0005
1,0010
0,0021
0,0043
1,0066
1,0090
Таблица 4.6
методом Ли-Кеслера
Pr
1,000
1,200
1,500
2,000
3,000
5,000
7,000
10,000
0,2892
0,3470
0,4335
0,5775
0,8648
1,4366
2,0048
2,8507
02604
0,3123
0,3901
0,5195
0,7775
1,2902
1,7987
2,5539
0,2379
0,2853
0,3563
0,4744
0,7095
1,1758
1,6373
2,3211
0,2200
0,2638
0,3294
0,4384
0,6551
1,0841
1,5077
2,1338
0,2056
0,2465
0,3077
0,4092
0,6110
1,0094
1,4017
1,9801
0,1939
0,2323
0,2899
0,3853
0,5747
0,9475
1,3137
1,8520
0,1842
0,2207
0,2753
0,3657
0,5446
0,8959
1,2398
1,7440
0,1765
0,2113
0,2634
0,3495
0,5197
0,8526
1,1773
1,6519
0,1703
0,2038
0,2538
0,3364
0,4991
0,8161
1,1241
1,5729
0,1656
0,1981
0,2464
0,3260
0,4823
0,7854
1,0787
1,5047
0,1626
0,1942
0,2411
0,3182
0,4690
0,7598
1,0400
1,4456
0,1614
0,1924
0,2382
0,3132
0,4591
0,7388
1,0071
1,3943
0,1630
0,1935
0,2383
0,3114
0,4527
0,7220
0,9793
1,3496
0,1664
0,1963
0,2405
0,3122
0,4507
0,7138
0,9648
1,3257
0,1705
0,1998
0,2432
0,3138
0,4501
0,7092
0,9561
1,3108
0,1779
0,2055
0,2474
0,3164
0,4504
0,7052
0,9480
1,2968
0,1844
0,2097
0,2503
0,3182
0,4508
0,7035
0,9442
1,2901
0,1959
0,2154
0,2538
0,3204
0,4514
0,7018
0,9406
1,2835
0,2901
0,2237
0,2583
0,3229
0,4522
0,7004
0,9372
1,2772
0,4648
0,2370
0,2640
0,3260
0,4533
0,6991
0,9339
1,2710
0,5146
0,2629
0,2715
0,3297
0,4547
0,6980
0,9307
1,2650
0,6026
0,4437
0,3131
0,3452
0,4604
0,6956
0,9222
1,2481
06880
0,5984
0,4580
0,3953
0,4770
0,6950
0,9110
1,2232
0,7443
0,6803
0,5798
0,4760
0,5042
0,6987
0,9033
1,2021
0,7858
0,7363
0,6605
0,5605
0,5425
0,7069
0,8990
1,1844
0,8438
0,8111
0,7624
0,6908
0,6344
0,7358
0,8998
1,1580
0,8827
0,8595
0,8256
0,7753
0,7202
0,7761
0,9112
1,1419
0,9103
0,8933
0,8689
0,8328
0,7887
0,8200
0,9297
1,1339
0,9308
0,9180
0,9000
0,8738
0,8410
0,8617
0,9518
1,1320
0,9463
0,9367
0,9234
0,9043
0,8809
0,8984
0,9745
1,1343
0,9583
0,9511
0,9413
0,9275
0,9118
0,9297
0,9961
1,1391
0,9678
0,9624
0,9552
0,9456
0,9359
0,9557
1,0157
1,1452
0,9754
0,9715
0,9664
0,9599
0,9550
0,9772
1,0328
1,1516
0,9865
0,9847
0,9826
0,9806
0,9827
1,0094
1,0600
1,1635
0,9941
0,9936
0,9935
0,9945
1,0011
0,0313
1,0793
1,1728
0,9993
0,9998
1,0010
1,0040
1,0137
1,0463
1,0926
1,1792
1,0031
1,0042
1,0063
1,0106
1,0223
1,0565
1,1016
1,1830
1,0057
1,0074
1,0101
1,0153
1,0284
1,0635
1,1075
1,1848
1,0097
1,0120
1,0156
1,0221
1,0368
1,0723
1,1138
1,1834
0,0115
1,0140
1,0179
1,0249
1,0401
1,0747
1,1136
1,1773
Прогнозирование коэффициентов сжимаемости газов и жидкостей
Значения
Tr
Pr
0,010
0,050
0,100
0,200
0,400
0,600
0,800
0,30
–0,0008
–0,0040
–0,0081
–0,0161
–0,0323
–0,0484
–0,0645
0,35
–0,0009
–0,0046
–0,0093
–0,0185
–0,0370
–0,0554
–0,0738
0,40
–0,0010
–0,0048
–0,0095
–0,0190
–0,0380
–0,0570
–0,0758
0,45
–0,0009
–0,0047
–0,0094
–0,0187
–0,0374
–0,0560
–0,0745
0,50
–0,0009
–0,0045
–0,0090
–0,0181
–0,0360
–0,0539
–0,0716
0,55
–0,0314
–0,0043
–0,0086
–0,0172
–0,0343
–0,0513
–0,0682
0,60
–0,0205
–0,0041
–0,0082
–0,0164
–0,0326
–0,0487
–0,0646
0,65
–0,0137
–0,0772
–0,0078
–0,0156
–0,0309
–0,0461
–0,0611
0,70
–0,0093
–0,0507
–0,1161
–0,0148
–0,0294
–0,0438
–0,0579
0,75
–0,0064
–0,0339
–0,0744
–0,0143
–0,0282
–0,0417
–0,0550
0,80
–0,0044
–0,0228
–0,0487
–0,1160
–0,0272
–0,0401
–0,0526
0,85
–0,0029
–0,0152
–0,0319
–0,0715
–0,0268
–0,0391
–0,0509
0,90
–0,0019
–0,0099
–0,0205
–0,0442
–0,1118
–0,0396
–0,0503
0,93
–0,0015
–0,0075
–0,0154
–0,0326
–0,0763
–0,1662
–0,0514
0,95
–0,0012
–0,0062
–0,0126
–0,0262
–0,0589
–0,1110
–0,0540
0,97
–0,0010
–0,0050
–0,0101
–0,0208
–0,0450
–0,0770
–0,1647
0,98
–0,0009
–0,0044
–0,0090
–0,0184
–0,0390
–0,0641
–0,1110
0,99
–0,0008
–0,0039
–0,0079
–0,0161
–0,0335
–0,0531
–0,0796
1,00
–0,0007
–0,0034
–0,0069
–0,0140
–0,0285
–0,0435
–0,0588
1,01
–0,0006
–0,0030
–0,0060
–0,0120
–0,0240
–0,0351
–0,0429
1,02
–0,0005
–0,0026
–0,0051
–0,0102
–0,0198
–0,0277
–0,0303
1,05
–0,0003
–0,0015
–0,0029
–0,0054
–0,0092
–0,0097
–0,0032
1,10
–0,0000
0,0000
0,0001
0,0007
0,0038
0,0106
0,0236
1,15
0,0002
0,0011
0,0023
0,0052
0,0127
0,0237
0,0396
1,20
0,0004
0,0019
0,0039
0,0084
0,0190
0,0326
0,0499
1,30
0,0006
0,0030
0,0061
0,0125
0,0267
0,0429
0,0612
1,40
0,0007
0,0036
0,0072
0,0147
0,0306
0,0477
0,0661
1,50
0,0008
0,0039
0,0078
0,0158
0,0323
0,0497
0,0677
1,60
0,0008
0,0040
0,0080
0,0162
0,0330
0,0501
0,0677
1,70
0,0008
0,0040
0,0081
0,0163
0,0329
0,0497
0,0677
1,80
0,0008
0,0040
0,0081
0,0162
0,0325
0,0488
0,0652
1,90
0,0008
0,0040
0,0079
0,0159
0,0318
0,0477
0,0635
2,00
0,0008
0,0039
0,0078
0,0155
0,0310
0,0464
0,0617
2,20
0,0007
0,0037
0,0074
0,0147
0,0293
0,0437
0,0579
2,40
0,0007
0,0035
0,0070
0,0139
0,0276
0,0411
0,0544
2,60
0,0007
0,0033
0,0066
0,0131
0,0260
0,0387
0,0512
2,80
0,0006
0,0031
0,0062
0,0124
0,0245
0,0365
0,0483
3,00
0,0006
0,0029
0,0059
0,0117
0,0232
0,0345
0,0456
3,50
0,0005
0,0026
0,0052
0,0103
0,0204
0,0303
0,0401
4,00
0,0005
0,0023
0,0046
0,0091
0,0182
0,0270
0,0357
Таблица 4.7 методом Ли-Кеслера
Pr
1,000
1,200
1,500
2,000
3,000
5,000
7,000
10,000
–0,0806
–0,0966
–0,1207
–0,1608
–0,2407
–0,3996
–0,5572
–0,7915
–0,0921
–0,1105
–0,1379
–0,1834
–0,2738
–0,4523
–0,6279
–0,8863
–0,0946
–0,1134
–0,1414
–0,1879
–0,2799
–0,4603
–0,6365
–0,8936
–0,0929
–0,1113
–0,1387
–0,1840
–0,2734
–0,4475
–0,6162
–0,8606
–0,0893
–0,1069
–0,1330
–0,1762
–0,2611
–0,4253
–0,5831
–0,8099
–0,0849
–0,1015
–0,1263
–0,1669
–0,2465
–0,3991
–0,5446
–0,7521
–0,0803
–0,0960
–0,1192
–0,1572
–0,2312
–0,3718
–0,5047
–0,6928
–0,0759
–0,0906
–0,1122
–0,1476
–0,2160
–0,3447
–0,4653
–0,6346
–0,0718
–0,0855
–0,1057
–0,1385
–0,2013
–0,3184
–0,4270
–0,5785
–0,0681
–0,0808
–0,0966
–0,1298
–0,1872
–0,2929
–0,3901
–0,5250
–0,0648
–0,0767
–0,0940
–0,1217
–0,1736
–0,2682
–0,3545
–0,4740
–0,0622
–0,0731
–0,0888
–0,1138
–0,1602
–0,2439
–0,3201
–0,4254
–0,0604
–0,0701
–0,0840
–0,1059
–0,1463
–0,2195
–0,2862
–0,3788
–0,0602
–0,0687
–0,0810
–0,1007
–0,1374
–0,2045
–0,2661
–0,3516
–0,0607
–0,0678
–0,0788
–0,0967
–0,1310
–0,1943
–0,2526
–0,3339
–0,0623
–0,0669
–0,0759
–0,0921
–0,1240
–0,1837
–0,2391
–0,3163
–0,0641
–0,0661
–0,0740
–0,0893
–0,1202
–0,1783
–0,2322
–0,3075
–0,0680
–0,0646
–0,0715
–0,0861
–0,1162
–0,1728
–0,2254
–0,2989
–0,0879
–0,0609
–0,0678
–0,0824
–0,1118
–0,1672
–0,2185
–0,2902
–0,0223
–0,0473
–0,0621
–0,0778
–0,1072
–0,1615
–0,2116
–0,2816
–0,0062
–0,0227
–0,0524
–0,0722
–0,1021
–0,1556
–0,2047
–0,2731
0,0220
0,1059
0,0451
–0,0432
–0,0838
–0,1370
–0,1835
–0,2476
0,0476
0,0897
0,1630
0,0698
–0,0373
–0,1021
–0,1469
–0,2056
0,0625
0,0943
0,1548
0,1667
0,0332
–0,0611
–0,1084
–0,1642
0,0719
0,0991
0,1477
0,1990
0,1095
–0,0141
–0,0678
–0,1231
0,0819
0,1048
0,1420
0,1991
0,2079
0,0875
0,0176
–0,0423
0,0857
0,1063
0,1383
0,1894
0,2397
0,1737
0,1008
0,0350
0,0864
0,1055
0,1345
0,1806
0,2433
0,2309
0,1717
0,1058
0,0855
0,1035
0,1303
0,1729
0,2381
0,2631
0,2255
0,1673
0,0838
0,1008
0,1259
0,1658
0,2305
0,2788
0,2628
0,2179
0,0816
0,0978
0,1216
0,1593
0,2224
0,2846
0,2871
0,2576
0,0792
0,0947
0,1173
0,1532
0,2144
0,2848
0,3017
0,2876
0,0767
0,0916
0,1133
0,1476
0,2069
0,2819
0,3097
0,3096
0,0719
0,0857
0,1057
0,1374
0,1932
0,2720
0,3135
0,3355
0,0675
0,0803
0,0989
0,1285
0,1812
0,2602
0,3089
0,3459
0,0634
0,0754
0,0929
0,1207
0,1706
0,2784
0,3009
0,3475
0,0598
0,0711
0,0876
0,1138
0,1613
0,2372
0,2915
0,3443
0,0565
0,0672
0,0828
0,1076
0,1529
0,2268
0,2817
0,3385
0,0497
0,0591
0,0728
0,0949
0,1356
0,2042
0,2584
0,3194
0,0443
0,0527
0,0651
0,0849
0,1219
0,1857
0,2378
0,2994
Коэффициенты фугитивности, рассчитанные по уравнению
Значения для простого вещества
Tr
Pr
0,010
0,050
0,100
0,200
0,400
0,600
0,800
0,30
–3,708
–4,402
–4,696
–4,985
–5,261
–5,412
–5,512
0,35
–2,471
–3,166
–3,461
–3,751
–4,029
–4,183
–4,285
0,40
–1,566
–2,261
–2,557
–2,848
–3,128
–3,283
–3,387
0,45
–0,879
–1,575
–1,871
–2,162
–2,444
–2,601
–2,707
0,50
–0,344
–1,040
–1,336
–1,628
–1,912
–2,070
–2,177
0,55
–0,008
–0,614
–0,911
–1,204
–1,488
–1,647
–1,755
0,60
–0,007
–0,269
–0,566
–0,859
–1,144
–1,304
–1,413
0,65
–0,005
–0,026
–0,283
–0,575
–0,862
–1,023
–1,132
0,70
–0,004
–0,021
–0,043
–0,341
–0,627
–0,789
–0,899
0,75
–0,003
–0,017
–0,035
–0,144
–0,430
–0,592
–0,703
0,80
–0,003
–0,014
–0,029
–0,059
–0,264
–0,426
–0,537
0,85
–0,002
–0,012
–0,024
–0,049
–0,123
–0,285
–0,396
0,90
–0,002
–0,010
–0,020
–0,041
–0,086
–0,166
–0,276
0,93
–0,002
–0,009
–0,018
–0,037
–0,077
–0,122
–0,214
0,95
–0,002
–0,008
–0,017
–0,035
–0,072
–0,113
–0,176
0,97
–0,002
–0,008
–0,016
–0,033
–0,067
–0,105
–0,148
0,98
–0,002
–0,008
–0,016
–0,032
–0,065
–0,101
–0,142
0,99
–0,001
–0,007
–0,015
–0,031
–0,063
–0,098
–0,137
1,00
–0,001
–0,007
–0,015
–0,030
–0,061
–0,095
–0,132
1,01
–0,001
–0,007
–0,014
–0,029
–0,059
–0,091
–0,127
1,02
–0,001
–0,007
–0,014
–0,028
–0,057
–0,088
–0,122
1,05
–0,001
–0,006
–0,013
–0,025
–0,052
–0,080
–0,110
1,10
–0,001
–0,005
–0,011
–0,022
–0,045
–0,069
–0,093
1,15
–0,001
–0,005
–0,009
–0,019
–0,039
–0,059
–0,080
1,20
–0,001
–0,004
–0,008
–0,017
–0,034
–0,051
–0,069
1,30
–0,001
–0,003
–0,006
–0,013
–0,026
–0,039
–0,052
1,40
–0,001
–0,003
–0,005
–0,010
–0,020
–0,030
–0,040
1,50
–0,000
–0,002
–0,004
–0,008
–0,016
–0,024
–0,032
1,60
–0,000
–0,002
–0,003
–0,006
–0,012
–0,019
–0,025
1,70
–0,000
–0,001
–0,002
–0,005
–0,010
–0,015
–0,020
1,80
–0,000
–0,001
–0,002
–0,004
–0,008
–0,012
–0,015
1,90
–0,000
–0,001
–0,002
–0,003
–0,006
–0,009
–0,012
2,00
–0,000
–0,001
–0,001
–0,002
–0,005
–0,007
–0,009
2,20
–0,000
–0,000
–0,001
–0,001
–0,003
–0,004
–0,005
2,40
–0,000
–0,000
–0,000
–0,001
–0,001
–0,002
–0,003
2,60
–0,000
–0,000
–0,000
–0,000
–0,000
–0,001
–0,001
2,80
0,000
0,000
0,000
0,000
0,000
0,000
0,001
3,00
0,000
0,000
0,000
0,000
0,000
0,000
0,002
3,50
0,000
0,000
0,000
0,001
0,000
0,000
0,003
4,00
0,000
0,000
0,000
0,001
0,000
0,000
0,004
Таблица 4.8
состояния Ли-Кеслера
Pr
1,000
1,200
1,500
2,000
3,000
5,000
7,000
10,000
–5,584
–5,638
–5,697
–5,759
–5,810
–5,782
–5,679
–5,461
–4,359
–4,416
–4,479
–4,547
–4,611
–4,608
–4,530
–4,352
–3,463
–3,522
–3,588
–3,661
–3,735
–3,752
–3,694
–3,545
–2,785
–2,845
–2,913
–2,990
–3,071
–3,104
–3,063
–2,938
–2,256
–2,317
–2,387
–2,468
–2,555
–2,601
–2,572
–2,468
–1,835
–1,897
–1,969
–2,052
–2,145
–2,201
–2,183
–2,096
–1,494
–1,557
–1,630
–1,715
–1,812
–1,878
–1,869
–1,795
–1,214
–1,278
–1,352
–1,439
–1,539
–1,612
–1,611
–1,549
–0,981
–1,045
–1,120
–1,208
–1,312
–1,391
–1,396
–1,344
–0,785
–0,850
–0,925
–1,015
–1,121
–1,204
–1,215
–1,172
–0,619
–0,685
–0,760
–0,851
–0,958
–1,046
–1,062
–1,026
–0,479
–0,544
–0,620
–0,711
–0,819
–0,911
–0,930
–0,901
–0,359
–0,424
–0,500
–0,591
–0,700
–0,794
–0,817
–0,793
–0,296
–0,361
–0,437
–0,527
–0,637
–0,732
–0,756
–0,735
–0,258
–0,322
–0,398
–0,488
–0,598
–0,693
–0,719
–0,699
–0,223
–0,287
–0,362
–0,452
–0,561
–0,657
–0,683
–0,665
–0,206
–0,270
–0,344
–0,434
–0,543
–0,639
–0,666
–0,649
–0,191
–0,254
–0,328
–0,417
–0,526
–0,622
–0,649
–0,633
–0,176
–0,238
–0,312
–0,401
–0,509
–0,605
–0,633
–0,617
–0,168
–0,224
–0,297
–0,385
–0,493
–0,589
–0,617
–0,602
–0,161
–0,210
–0,282
–0,370
–0,477
–0,573
–0,601
–0,588
–0,143
–0,180
–0,242
–0,327
–0,433
–0,529
–0,557
–0,546
–0,120
–0,148
–0,193
–0,267
–0,368
–0,462
–0,491
–0,482
–0,102
–0,125
–0,160
–0,220
–0,312
–0,403
–0,433
–0,426
–0,088
–0,106
–0,135
–0,184
–0,266
–0,352
–0,382
–0,377
–0,066
–0,080
–0,100
–0,134
–0,195
–0,269
–0,296
–0,293
–0,051
–0,061
–0,076
–0,101
–0,146
–0,205
–0,229
–0,226
–0,039
–0,047
–0,059
–0,077
–0,111
–0,157
–0,176
–0,173
–0,031
–0,037
–0,046
–0,060
–0,085
–0,120
–0,135
–0,129
–0,024
–0,029
–0,036
–0,046
–0,065
–0,092
–0,102
–0,094
–0,019
–0,023
–0,028
–0,036
–0,050
–0,062
–0,075
–0,066
–0,015
–0,018
–0,022
–0,028
–0,038
–0,052
–0,054
–0,043
–0,012
–0,014
–0,017
–0,021
–0,029
–0,037
–0,037
–0,024
–0,007
–0,008
–0,009
–0,012
–0,015
–0,017
–0,012
0,004
–0,003
–0,004
–0,004
–0,005
–0,006
–0,003
0,005
0,024
–0,001
–0,001
–0,001
–0,001
0,001
0,007
0,017
0,037
0,001
0,001
0,002
0,003
0,005
0,014
0,025
0,046
0,002
0,003
0,003
0,005
0,009
0,018
0,031
0,053
0,004
0,005
0,006
0,008
0,013
0,025
0,038
0,061
0,005
0,006
0,007
0,010
0,016
0,028
0,041
0,064
Коэффициенты фугитивности, рассчитанные по уравнению
Значения для простого вещества
Tr
Pr
0,010
0,050
0,100
0,200
0,400
0,600
0,800
0,30
–8,778
–8,779
–8,781
–8,785
–8,790
–8,797
–8,804
0,35
–6,528
–6,530
–6,532
–6,536
–6,544
–6,551
–6,559
0,40
–4,912
–4,914
–4,916
–4,919
–4,929
–4,937
–4,945
0,45
–3,726
–3,728
–3,730
–3,734
–3,742
–3,750
–3,758
0,50
–2,838
–2,839
–2,841
–2,845
–2,853
–2,861
–2,869
0,55
–0,013
–2,163
–2,165
–2,169
–2,177
–2,184
–2,192
0,60
–0,009
–1,644
–1,646
–1,650
–1,657
–1,664
–1,671
0,65
–0,006
–0,031
–1,242
–1,245
–1,252
–1,258
–1,265
0,70
–0,004
–0,021
–0,044
–0,927
–0,934
–0,940
–0,946
0,75
–0,003
–0,014
–0,030
–0,675
–0,682
–0,688
–0,694
0,80
–0,002
–0,010
–0,020
–0,043
–0,481
–0,487
–0,493
0,85
–0,001
–0,006
–0,013
–0,028
–0,321
–0,327
–0,332
0,90
–0,001
–0,004
–0,009
–0,018
–0,039
–0,199
–0,204
0,93
–0,001
–0,003
–0,007
–0,013
–0,029
–0,048
–0,141
0,95
–0,001
–0,003
–0,005
–0,011
–0,023
–0,037
–0,103
0,97
–0,000
–0,002
–0,004
–0,009
–0,018
–0,029
–0,042
0,98
–0,000
–0,002
–0,004
–0,008
–0,016
–0,025
–0,035
0,99
–0,000
–0,002
–0,003
–0,007
–0,014
–0,021
–0,030
1,00
–0,000
–0,001
–0,003
–0,006
–0,012
–0,018
–0,025
1,01
–0,000
–0,001
–0,003
–0,005
–0,010
–0,016
–0,021
1,02
–0,000
–0,001
–0,002
–0,004
–0,009
–0,013
–0,017
1,05
–0,000
–0,001
–0,001
–0,002
–0,005
–0,006
–0,007
1,10
–0,000
–0,000
0,000
0,000
0,001
0,002
0,004
1,15
0,000
0,000
0,001
0,002
0,005
0,008
0,011
1,20
0,000
0,001
0,002
0,003
0,007
0,012
0,017
1,30
0,000
0,001
0,003
0,005
0,011
0,017
0,023
1,40
0,000
0,002
0,003
0,006
0,013
0,020
0,027
1,50
0,000
0,002
0,003
0,007
0,014
0,021
0,028
1,60
0,000
0,002
0,003
0,007
0,014
0,021
0,029
1,70
0,000
0,002
0,004
0,007
0,014
0,021
0,029
1,80
0,000
0,002
0,003
0,007
0,014
0,021
0,028
1,90
0,000
0,002
0,003
0,007
0,014
0,021
0,028
2,00
0,000
0,002
0,003
0,007
0,013
0,020
0,027
2,20
0,000
0,002
0,003
0,006
0,013
0,019
0,025
2,40
0,000
0,002
0,003
0,006
0,012
0,018
0,024
2,60
0,000
0,001
0,003
0,006
0,011
0,017
0,023
2,80
0,000
0,001
0,003
0,005
0,011
0,016
0,021
3,00
0,000
0,001
0,003
0,005
0,010
0,015
0,020
3,50
0,000
0,001
0,003
0,004
0,009
0,013
0,018
4,00
0,000
0,001
0,003
0,004
0,008
0,012
0,016
Таблица 4.9 состояния Ли-Кеслера
Pr
1,000
1,200
1,500
2,000
3,000
5,000
7,000
10,000
–8,811
–8,818
–8,828
–8,845
–8,880
–8,953
–9,022
–9,126
–6,567
–6,575
–6,587
–6,606
–6,645
–6,723
–6,800
–6,919
–4,954
–4,962
–4,974
–4,995
–5,035
–5,115
–5,195
–5,312
–3,766
–3,774
–3,786
–3,806
–3,845
–3,923
–4,001
–4,114
–2,877
–2,884
–2,896
–2,915
–2,953
–3,027
–3,101
–3,208
–2,199
–2,207
–2,218
–2,236
–2,273
–2,342
–2,410
–2,510
–1,677
–1,684
–1,695
–1,712
–1,747
–1,812
–1,875
–1,967
–1,271
–1,278
–1,287
–1,304
–1,336
–1,397
–1,456
–1,539
–0,952
–0,958
–0,967
–0,983
–1,013
–1,070
–1,124
–1,201
–0,700
–0,705
–0,714
–0,728
–0,756
–0,809
–0,858
–0,929
–0,499
–0,504
–0,512
–0,526
–0,551
–0,600
–0,645
–0,709
–0,338
–0,343
–0,351
–0,364
–0,388
–0,432
–0,473
–0,530
–0,210
–0,215
–0,222
–0,234
–0,256
–0,296
–0,333
–0,384
–0,146
–0,151
–0,158
–0,170
–0,190
–0,228
–0,262
–0,310
–0,108
–0,114
–0,121
–0,132
–0,151
–0,187
–0,220
–0,265
–0,075
–0,080
–0,087
–0,097
–0,116
–0,149
–0,180
–0,223
–0,059
–0,064
–0,071
–0,081
–0,099
–0,132
–0,162
–0,203
–0,044
–0,050
–0,056
–0,066
–0,084
–0,115
–0,144
–0,184
–0,031
–0,036
–0,042
–0,052
–0,069
–0,099
–0,127
–0,166
–0,024
–0,024
–0,030
–0,038
–0,054
–0,084
–0,111
–0,149
–0,019
–0,015
–0,018
–0,026
–0,041
–0,069
–0,095
–0,132
–0,007
–0,002
0,008
0,007
–0,005
–0,029
–0,052
–0,085
0,007
0,012
0,025
0,041
0,042
0,026
0,008
–0,019
0,016
0,022
0,034
0,056
0,074
0,069
0,057
0,036
0,023
0,029
0,041
0,064
0,093
0,102
0,096
0,081
0,030
0,038
0,049
0,071
0,109
0,142
0,150
0,148
0,034
0,041
0,053
0,074
0,112
0,161
0,181
0,191
0,036
0,043
0,055
0,074
0,112
0,167
0,197
0,218
0,036
0,043
0,055
0,074
0,110
0,167
0,204
0,234
0,036
0,043
0,054
0,072
0,107
0,165
0,205
0,242
0,035
0,042
0,053
0,070
0,104
0,161
0,203
0,246
0,034
0,041
0,052
0,068
0,101
0,157
0,200
0,246
0,034
0,040
0,050
0,066
0,097
0,152
0,196
0,244
0,032
0,038
0,047
0,062
0,091
0,143
0,186
0,236
0,030
0,036
0,044
0,058
0,086
0,134
0,176
0,227
0,028
0,034
0,042
0,055
0,080
0,127
0,167
0,217
0,027
0,032
0,039
0,052
0,076
0,120
0,158
0,208
0,025
0,030
0,037
0,049
0,072
0,114
0,151
0,199
0,022
0,026
0,033
0,043
0,063
0,101
0,134
0,179
0,020
0,023
0,029
0,038
0,057
0,090
0,121
0,163
Область P-V-T пространства, ограниченная бинодалью и изотермой, проходящей через тройную точку, соответствует двухфазовому, расслаивающемуся парожидкостному состоянию системы. Точки, лежащие на горизонтальной линии внутри бинодали (линия BDF на рис. 4.6.), соответствуют различным соотношениям количеств жидкой и паровой фаз (и, соответственно, разным объемам системы). Вблизи точки F основной объем принадлежит жидкости, имеются лишь следы (пузырьки) пара. Вблизи точки В, наоборот, основу системы образует пар, имеются лишь капли жидкости.
Участок FE кривой BCDEF на рис. 4.6. (Е - точка минимума изотермы) соответствует метастабильной (пересыщенной) жидкости. Другая метастабильная область докритической изотермы - участок ВС (С - точка максимума изотермы). Это область метастабильного (пересыщенного) пара. Оба метастабильных состояния системы могут достигаться экспериментально.
Между двумя метастабильными участками лежит область абсолютно неустойчивых состояний (кривая CDE), физически не существующая для чистого вещества, так как соответствует изменениям давления и объема в одном и том же направлении при постоянной температуре.
Линия, соединяющая точки С разных изотерм друг с другом и, соответственно, разные точки Е, образует колоколообразную кривую - спинодаль. Спинодаль - граница области абсолютной неустойчивости. Неустойчивые состояния лежат внутри спинодали, к ней с обеих сторон примыкают метастабильные состояния жидкости и пара. Спинодаль заключена внутри бинодали и имеет с ней единственную общую точку (К) - критическую, где одновременно касаются друг друга бинодаль, спинодаль и критическая изотерма. На рис. 4.6. спинодаль изображена кривой CKE.
Конфигурация спинодали определяется соотношением
, (4.37)
т.е. условиями экстремальности для соответствующих точек изотермы.
Рис. 4.6. Фазовая диаграмма однокомпонентной системы
Аналитическое определение конфигурации бинодали производится в соответствии с правилом Максвелла, согласно которому равновесное давление при заданной температуре определяется из условия
(4.38)
Круговой интеграл берется по контуру BCDEFDB (рис. 4.6.), т.е. работа обратимого изотермического цикла по BCDEFDB равна нулю. Следовательно, две области, ограниченные кривой FEDCB и горизонтальной линией FB, равны. В соответствии с этим положением давление насыщения и объем насыщения при данной температуре можно установить посредством пересечения изотермы ABCDEFG с горизонтальной линией, расположенной таким образом, чтобы области FED и DCB были равны.
Математически это условие записывается следующим образом:
Площадь = . (4.39)
Нравится материал? Поддержи автора!
Ещё документы из категории физика:
Чтобы скачать документ, порекомендуйте, пожалуйста, его своим друзьям в любой соц. сети.
После чего кнопка «СКАЧАТЬ» станет доступной!
Кнопочки находятся чуть ниже. Спасибо!
Кнопки:
Скачать документ