Проектирование электроснабжения участка



























































































































оПНЕЙРХПНБЮМХЕ ЩКЕЙРПНЯМЮАФЕМХЪ СВЮЯРЙЮ
вСБЮЬЯЙХИ цНЯСДЮПЯРБЕММШИ сМХБЕПЯХРЕР
ХЛЕМХ х.м.сКЭЪМНБЮ
щМЕПЦЕРХВЕЯЙХИ ХМЯРХРСР
щКЕЙРПНРЕУМХВЕЯЙХИ ТЮЙСКЭРЕР
йЮТЕДПЮ ющрся
йспянбни опнейр
он дхяжхокхме:
щкейрпнямюафемхе щрс
мю релс:
опнейрхпнбюмхе щкейрпнямюафемхъ свюярйю
бШОНКМХК: ЯРСДЕМР
ЦПСООШ щр-51-02
йНМЯРЮМРХМНБ д.б.
оПНБЕПХК: ОПЕОНДЮБЮРЕКЭ
кЮБХМ х.ю.
вЕАНЙЯЮПШ - 2006 Ц.
оНЪЯМХРЕКЭМЮЪ ГЮОХЯЙЮ ЯНЯРНХР ХГ 35 ЯРПЮМХЖ, БЙКЧВЮЕР Б ЯЕАЪ 11 ХККЧЯРПЮЖХИ, ХЯОНКЭГНБЮМН 6 ХЯРНВМХЙНБ.
оевэ, йпхярюккхгюрнп, ьхмю, ондднм, нркхбйю.
б ДЮММНЛ ЙСПЯНБНЛ ОПНЕЙРЕ ЛМНЧ АШКН ЯОПНЕЙРХПНБЮМН ЩКЕЙРПНЯМЮАФЕМХЕ СВЮЯРЙЮ ЖЕУЮ БЙКЧВЮЧЫЕЦН Б ЯЕАЪ 2 ОЕВХ ЩКЕЙРПНЬКЮЙНБНЦН ОЕПЕОКЮБЮ, ДКЪ ОНКСВЕМХЪ ЯКХРЙЮ БЕЯНЛ 0,25Р, ТКЧЯНОКЮБХКЭМСЧ ОЕВЭ с-560. аШК ЯНЯРЮБКЕМ ХМДХБХДСЮКЭМШИ Х ЦПСООНБНИ ЦПЮТХЙ МЮЦПСГЙХ СВЮЯРЙЮ. пЮГПЮАНРЮМЮ ЯУЕЛЮ ЩКЕЙРПНЯМЮАФЕМХЪ СВЮЯРЙЮ, БШАПЮМН ЯХКНБНЕ НАНПСДНБЮМХЕ щрс. пЮЯЯВХРЮМШ РНЙХ ЙНПНРЙНЦН ГЮЛШЙЮМХЪ МЮ ЬХМЮУ ОЕВМНИ ОНДЯРЮМЖХХ. пЮГПЮАНРЮМЮ ЯУЕЛЮ СОПЮБКЕМХЪ, ГЮЫХРШ Х ЯХЦМЮКХГЮЖХХ. оНДНАПЮМШ ЙНМРПНКЭМН-ХГЛЕПХРЕКЭМШЕ ОПХАНПШ.
петепюр
яндепфюмхе
ббедемхе
1.реумхвеяйюъ уюпюйрепхярхйю
2.окюм свюярйю жеую
3.хяундмше дюммше
4.нохяюмхе реумнкнцхвеяйнцн опнжеяяю
5.щкейрпнькюйнбше йюй онрпеахрекх щкейрпнщмепцхх.
6.пюяв╗р цпсоонбнцн цпютхйю яхкнбни мюцпсгйх свюярйю
7.пюяв╗р рнйнб йнпрйнцн гюлшйюмхъ мю йнлокейрмни рпюмятнплюрнпмни ондярюмжхх
8.бшанп йнлокейрмни рппюмятнплюрнпмни ондярюмжхх
9.пюяв╗р рнйнб йнпнрйнцн гюлшйюмхъ мю ьхмюу оевмни ондярюмжхх
10.йнлокейрмюъ рпюмятнплюрнпмюъ ондярюмжхъ
11.бшанп нанпсднбюмхъ
12.пюяв╗р оюпюлерпнб япюаюршбюмхъ пекеимни гюыхрш
гюйкчвемхе
яохянй хяонкэгселни кхрепюрспш
б МЮЯРНЪЫЕЕ БПЕЛЪ АНКЭЬНЕ БМХЛЮМХЕ СДЕКЪЕРЯЪ ПЮГПЮАНРЙЕ РЕУ БХДНБ РЕУМХЙХ Х РЕУМНКНЦХХ, ЙНРНПШЕ НАЕЯОЕВХБЮЧР ГМЮВХРЕКЭМСЧ ЩЙНМНЛХЧ ЯШПЭЕБШУ ЩМЕПЦЕРХВЕЯЙХУ Х РПСДНБШУ ПЕЯСПЯНБ. б ЯБЪГХ Я ЩРХЛ АНКЭЬНЕ ГМЮВЕМХЕ ОПХНАПЕРЮЕР ПЮГБХРХЕ ЩКЕЙРПНРЕПЛХВЕЯЙХУ РЕУМНКНЦХИ Х СЯРЮМНБНЙ щрс.
б ПЪДЕ ЯКСВЮЕБ щрс ЪБКЪЧРЯЪ ЯОЕЖХТХВЕЯЙХЛХ ОПХ╦ЛМХЙЮЛХ ЩКЕЙРПНЩМЕПЦХХ. гЮВЮЯРСЧ НМХ ОПЕДЗЪБКЪЧР ОНБШЬЕММШЕ РПЕАНБЮМХЪ Й МЮД╦ФМНЯРХ Х ЯРЮАХКЭМНЯРХ ЩКЕЙРПНЯМЮАФЕМХЪ. оНЩРНЛС ХУ ОПНЕЙРХПНБЙЮ Х ЩЙЯОКСЮРЮЖХЪ РПЕАСЕР НЯНАНЦН ОНДУНДЮ. лМНЦХЕ щрс УЮПЮЙРЕПХГСЧРЯЪ БШЯНЙХЛ СПНБМЕЛ ЦЕМЕПХПСЕЛШУ ЦЮПЛНМХЙ, ПЕГЙН ЙНКЕАЮРЕКЭМШЛ ПЕФХЛНЛ, ОНБШЬЕММШЛ СПНБМЕЛ ОНРПЕАКЕМХЪ ПЕЮЙРХБМНИ ЛНЫМНЯРХ. щРН ГЮЯРЮБКЪЕР ОПХМХЛЮРЭ ЯОЕЖХЮКЭМШЕ ЛЕПШ ОН ОПЕДНРБПЮЫЕМХЧ ХУ БКХЪМХЪ МЮ ЙЮВЕЯРБН ЩКЕЙРПНЩМЕПЦХХ Б ЯХЯРЕЛЮУ ЩКЕЙРПНЯМЮАФЕМХЪ ОПНЛШЬКЕММШУ ОПЕДОПХЪРХИ.
рПЕАНБЮМХЪ МЮСВМН-РЕУМХВЕЯЙНЦН ОПНЦПЕЯЯЮ ДХЙРСЧР МЕНАУНДХЛНЯРЭ ЯНБЕПЬЕМЯРБНБЮМХЪ ОПНЛШЬКЕММНИ ЩКЕЙРПНЩМЕПЦЕРХЙХ: ЯНГДЮМХЕ ЩЙНМНЛХВМШУ, МЮД╦ФМШУ ЯХЯРЕЛ ЩКЕЙРПНЯМЮАФЕМХЪ ОПНЛШЬКЕММШУ ОПЕДОПХЪРХИ, ПЮГБХРХЪ ЩКЕЙРПХВЕЯЙХУ ЯЕРЕИ Х ЩКЕЙРПННАНПСДНБЮМХЪ, ЮБРНЛЮРХГХПНБЮММШУ ЩКЕЙРПНОПХБНДНБ Х ЯХЯРЕЛ СОПЮБКЕМХЪ.
яПЕДМЪЪ ЛНЫМНЯРЭ, Йбю
145
яПЕДМЕЙБЮДПЮРХВМЮЪ ЛНЫМНЯРЭ, Йбю
193,6
гЮЪБКЕММЮЪ ЛНЫМНЯРЭ, Йбю
396
лНЫМНЯРЭ оЕВХ щьо-0,25, Йбю
630
лНЫМНЯРЭ тоо с-560, Йбю
750
йНКХВЕЯРБН ОЕВЕИ щьо-0,25
2
йНКХВЕЯРБН тоо
1
йНЛОКЕЙРМЮЪ ДБСУРПЮМЯТНПЛЮРНПМЮЪ ОНДЯРЮМЖХЪ йро-1000
1
пХЯСМНЙ.1.- оКЮМ СВЮЯРЙЮ ЖЕУЮ
цщя:
цЕМЕПЮРНП: яб395/250-12, U=10,5Йб.
рПЮМЯТНПЛЮРНП: рдм-80000/110, 115/10,5.
рщж:
цЕМЕПЮРНП: р-12-2сг,10,5Йб.
рПЮМЯТНПЛЮРНП: рд-16000/35, 38,5/10,5.
пЕЮЙРНП: па10-1600-0,25сг.
цоо:
рПЮМЯТНПЛЮРНП (р-3): рдрм-25000/110, 115/38,5/11.
кХМХХ:
бк-1;бк-2 √ 20ЙЛ.
бк-3;бк-4 √ 10ЙЛ.
й-1,й-2 - 3ЙЛ.
мЮОПЪФЕМХЕ МЮ ОНМХГХРЕКЭМНИ ОНДЯРЮМЖХХ: 11Йб.
пХЯСМНЙ.2.- яУЕЛЮ ОХРЮМХЪ СВЮЯРЙЮ
4.нохяюмхе реумнкнцхвеяйнцн опнжеяяю
яУЕЛС ЩКЕЙРПНЬКЮЙНБНЦН ОПНЖЕЯЯЮ ЛНФМН ОПЕДЯРЮБХРЭ ЯКЕДСЧЫХЛ НАПЮГНЛ. б БНДННУКЮФДЮЕЛНИ РПСАЕ (ЙПХЯРЮККХГЮРНП), ГЮЙПШРНИ ЯМХГС БНДННУКЮФДЮЕЛШЛ ОНДДНМНЛ, МЮУНДХРЯЪ БЮММЮ ФХДЙНЦН ЬКЮЙЮ, Б ЙНРНПСЧ НОСЯЙЮЧРЯЪ ПЮЯУНДСЕЛШЕ ГЮЦНРНБЙХ √ ЩКЕЙРПНДШ. щКЕЙРПНДШ Х ОНДДНМ ОНДЙКЧВЮЕРЯЪ Й ХЯРНВМХЙС ОХРЮМХЪ.
бЮММЮ ФХДЙНЦН ЛЕРЮККЮ ЪБКЪЕРЯЪ ОПНБНДМХЙНЛ Я НОПЕДЕКЕММНИ ОПНБНДХЛНЯРЭЧ Х ОПХ ОПНРЕЙЮМХХ ВЕПЕГ МЕ╦ РНЙЮ ХЦПЮЕР ПНКЭ МЮЦПЕБЮРЕКЪ √ ОПЕНАПЮГНБЮРЕКЪ ЩКЕЙРПХВЕЯЙНИ ЩМЕПЦХХ Б РЕОКНБСЧ. бШДЕКЪЕЛНЕ РЕОКН ОНДДЕПФХБЮЕР БШЯНЙСЧ РЕЛОЕПЮРСПС ЬКЮЙЮ Х НОКЮБКЪЕР ПЮЯУНДСЕЛШЕ ГЮЦНРНБЙХ (ЩКЕЙРПНДШ). пЮЯОКЮБКЕММШИ ЩКЕЙРПНД ЙЮОКЪЛХ ЯРЕЙЮЕР БМХГ, НАПЮГСЪ Б ЙПХЯРЮККХГЮРНПЕ БЮММС ФХДЙНЦН ЛЕРЮККЮ, ЙНРНПЮЪ ОНЯРЕОЕММН ГЮРБЕПДЕБЮЪ ТНПЛХПСЕР ЯКХРНЙ. дКЪ ЙНЛОЕМЯЮЖХХ ЯОКЮБКЕМХЪ ЩКЕЙРПНДНБ, ОНЯКЕДМХЕ МЕОПЕПШБМН ОНДЮЧРЯЪ БМХГ. щКЕЙРПНЬКЮЙНБШЕ ОЕВХ НАШВМН ОХРЮЧРЯЪ НР ХЯРНВМХЙНБ ОЕПЕЛЕММНЦН ЯХМСЯНХДЮКЭМНЦН РНЙЮ ОПНЛШЬКЕММНИ ВЮЯРНРШ.
оПХ ЙНМРЮЙРЕ ЯРЕМЙХ ЙПХЯРЮККХГЮРНПЮ Я ПЮЯОКЮБКЕММШЛ ЬКЮЙНЛ МЮ МЕИ НАПЮГСЕРЯЪ РНМЙЮЪ ЙНПНВЙЮ ГЮЯРШБЬЕЦН ЬКЮЙЮ √ ЬКЮЙНБШИ ЦЮПМХЯЮФ, ЙНРНПШИ ОПХ МЮОКЮБКЕМХХ ЯКХРЙЮ ОПЕОЪРЯРБСЕР ОПЪЛНЛС ЙНМРЮЙРС ФХДЙНЦН Х РБ╦ПДНЦН ЛЕРЮККЮ Я ОНБЕПУМНЯРЭЧ ЙПХЯРЮККХГЮРНПЮ. мЮКХВХЕ ЬКЮЙНБНЦН ЦЮПМХЯЮФЮ НЙЮГШБЮЕР ЦКСАНЙНЕ БКХЪМХЕ МЮ ПЮЯОПЕДЕКЕМХЕ РЕОКЮ Б ОЕВХ Х ЛЕРЮККСПЦХВЕЯЙХЕ ОПНЖЕЯЯШ.
уЮПЮЙРЕП ГЮЯРШБЮМХЪ ЯКХРЙЮ ОПХ щьо ЙНПЕММШЛ НАПЮГНЛ НРКХВЮЕРЯЪ НР РЮЙНБНЦН Б НАШВМНИ ХГКНФМХЖЕ, РЮЙ ЙЮЙ ЛЕРЮКК ОНЯРСОЮЕР Б ЙПХЯРЮККХГЮРНП МЕОПЕПШБМН Я МЕАНКЭЬХЛХ ЛЮЯЯНБШЛХ ЯЙНПНЯРЪЛХ НДМНБПЕЛЕММН Я ЕЦН ГЮЯРШБЮМХЕЛ.
оНЩРНЛС Б ЙПХЯРЮККХГЮРНПЕ БЮММЮ ФХДЙНЦН ЛЕРЮККЮ НЦПЮМХВЕММНЦН НАЗ╦ЛЮ. оПХВ╦Л ГЮ ЯВ╦Р ХГЛЕМЕМХЪ ПЕФХЛЮ щьо ЛНФМН НАЕЯОЕВХРЭ ХГЛЕМЕМХЕ ЯЙНПНЯРЕИ МЮОКЮБКЕМХЪ Х ЙПХЯРЮККХГЮЖХХ ЛЕРЮККЮ. щРН ОНГБНКЪЕР ОНКСВЮРЭ МЕХГЛЕММСЧ БН БПЕЛЕМХ ОКЮБЙХ ЙНМТХЦСПЮЖХЧ ФХДЙНИ ЛЕРЮККХВЕЯЙНИ БЮММШ, ВРН ЯНГДЮ╦Р СЯКНБХЪ ДКЪ ОНКСВЕМХЪ ПЮБМНЛЕПМНИ ЯРПСЙРСПШ ЯКХРЙЮ ОН Е╦ БШЯНРЕ.
щКЕЙРПНЬКЮЙНБШИ ОЕПЕОКЮБ ОН ЯБНЕЛС ОПХМЖХОС АЕГДСЦНБНИ ОПНЖЕЯЯ. щРН ЯБЪГЮМН Я РЕЛ, ВРН ОПХ ЦНПЕМХХ Б ЬКЮЙЕ ДСЦХ ОПНХЯУНДХР СУСДЬЕМХЕ ЙЮВЕЯРБЮ ЛЕРЮККЮ ГЮ ЯВ╦Р ЕЦН МЮЯШЫЕМХЪ ЦЮГЮЛХ √ ОПНДСЙРЮЛХ ПЮГКНФЕМХЪ ЯНЯРЮБКЪЧЫХУ ЬКЮЙЮ. б ЯБЪГХ Я ЩРХЛ ДСЦНБНИ ПЕФХЛ ОПХ щьо ЯВХРЮЕРЯЪ ЮБЮПХИМШЛ. бПЕЛЪ ОКЮБЙХ МЮ щьо ПЮГДЕКЪЧРЯЪ МЮ НЯМНБМНИ Х БЯОНЛНЦЮРЕКЭМШИ ОЕПХНДШ. нЯМНБМНИ ОЕПХНД ОКЮБЙХ, Б ОПНЖЕЯЯЕ ЙНРНПНЦН ОПНХЯУНДХР МЮОКЮБКЕМХЕ ЯКХРЙЮ, БЙКЧВЮЕР Б ЯЕАЪ ОЕПЕОКЮБ ЛЕРЮККЮ Х БШБНД СЯЮДНВМНИ. оНЯКЕДМХИ ЯКСФХР ДКЪ СКСВЬЕМХЪ ЙЮВЕЯРБЮ ЛЕРЮККЮ Б БЕПУМЕИ ВЮЯРХ ЯКХРЙЮ, ВРН ОНГБНКЪЕР ЯМХГХРЭ ЕЦН НАПЕГЭ Х ОНБШЯХРЭ БШУНД ЦНДМНЦН ЛЕРЮККЮ. дКЪ НЯСЫЕЯРБКЕМХЪ БШБНДЮ ПЮЙНБХМШ ББНДХЛЮЪ Б БЮММС ЛНЫМНЯРЭ Б ЙНМЖЕ ОКЮБЙХ ОНЯРЕОЕММН ЯМХФЮЕРЯЪ. дКХРЕКЭМНЯРЭ ОЕПХНДЮ ОЕПЕОКЮБЮ ЛЕРЮККЮ ГЮБХЯХР НР УХЛЯНЯРЮБЮ ОЕПЕОКЮБКЪЕЛНЦН ЛЕРЮККЮ, ПЮГБЕЯЮ ЯКХРЙЮ Х УХЛЯНЯРЮБЮ ЬКЮЙЮ.
бН БЯОНЛНЦЮРЕКЭМШИ ОЕПХНД НЯСЫЕЯРБКЪЕРЯЪ ОНДЦНРНБЙЮ ОЕВХ Й ОКЮБЙЕ Х МЮБЕДЕМХЪ Б ЙПХЯРЮККХГЮРНПЕ БЮММШ ФХДЙНЦН ЬКЮЙЮ. б ЩРНР ОЕПХНД ОПНХГБНДЪРЯЪ ЯКЕДСЧЫХЕ ОНДЦНРНБХРЕКЭМШЕ НОЕПЮЖХХ:
1. нЯРШБЮМХЕ ЯКХРЙЮ Б ЙПХЯРЮККХГЮРНПЕ ОНЯКЕ ОПЕДШДСЫЕИ ОКЮБЙХ;
2. ═бШЦПСГЙЮ ЯКХРЙЮ Х ГЮЯРШБЬЕЦН ЬКЮЙЮ ХГ ЙПХЯРЮККХГЮРНПЮ Х СДЮКЕМХЕ ХУ Я ОЕВХ;
3. яМЪРХЕ Я ОЕВХ НЦЮПЙНБ ЩКЕЙРПНДНБ Х СЯРЮМНБЙЮ МНБШУ ЩКЕЙРПНДНБ Б ЩКЕЙРПНДЕПФЮРЕКЭ;
4. вХЯРЙЮ ЙПХЯРЮККХГЮРНПЮ Х ОНДДНМЮ;
5. нЙНМВЮРЕКЭМЮЪ ЯАНПЙЮ ОЕВХ (СЯРЮМНБЙЮ ЙПХЯРЮККХГЮРНПЮ, ЬЮИАШ-ГЮРПЮБЙХ, ЖЕМРПНБЙЮ ЩКЕЙРПНДНБ Х Р.Д.)
дКХРЕКЭМНЯРЭ ОНДЦНРНБХРЕКЭМШУ НОЕПЮЖХИ МЮ ОЕВЮУ ЛЮКНИ Х ЯПЕДМЕИ ╦ЛЙНЯРХ ЙНКЕАКЕРЯЪ Б ОПЕДЕКЮУ 1,2-4,5В. оНЯКЕ ХУ НЙНМВЮМХЪ ОПХЯРСОЮЧР Й ОЕПХНДС МЮБЕДЕМХЪ ЬКЮЙНБНИ БЮММШ Б ЙПХЯРЮККХГЮРНПЕ. мЮ ОЕВЮУ щьо ОПХЛЕМЪЧРЯЪ РБ╦ПДШИ Х ФХДЙХИ ЯРЮПРШ. оПХ РБ╦ПДНЛ ЯРЮПРЕ ЬКЮЙ ПЮЯОКЮБКЪЕРЯЪ МЕОНЯПЕДЯРБЕММН Б ЙПХЯРЮККХГЮРНПЕ ОЕВХ ПЮЯУНДСЕЛШЛ ЩКЕЙРПНДНЛ. оПХ ФХДЙНЛ ЯРЮПРЕ ЬКЮЙ ОПЕДБЮПХРЕКЭМН ПЮЯОКЮБКЪЧР БН ТКЧЯНОКЮБХКЭМНИ ОЕВХ, ГЮРЕЛ ГЮКХБЮЧР Б ЙПХЯРЮККХГЮРНП КХАН ЯБЕПУС, КХАН ЯХТНММШЛ ЯОНЯНАНЛ.
ьКЮЙХ ДКЪ щьо ДНКФМШ ЯННРБЕРЯРБНБЮРЭ НОПЕДЕК╦ММШЛ РПЕАНБЮМХЪЛ. нМХ ДНКФМШ НАКЮДЮРЭ:
1. бШЯНЙНИ ПЮТХМХПСЧЫЕИ ЯОНЯНАМНЯРЭЧ, ОНГБНКЪЧЫЕИ ДНАХБЮРЭЯЪ ЛЮЙЯХЛЮКЭМНЦН НВХЫЕМХЪ ЛЕРЮККЮ НР ОПХЛЕЯЕИ;
2. яОНЯНАМНЯРЭЧ ТНПЛХПНБЮРЭ ЦКЮДЙСЧ ОНБЕПУМНЯРЭ ЯКХРЙЮ, МЕ РПЕАСЧЫЕИ ДНОНКМХРЕКЭМНИ ЛЕУЮМХВЕЯЙНИ НАПЮАНРЙХ;
3. дНЯРЮРНВМН БШЯНЙХЛ СДЕКЭМШЛ ЯНОПНРХБКЕМХЕЛ, ВРН НАЕЯОЕВХБЮЕР ЩТТЕЙРХБМНЯРЭ БШОНКМЕМХЪ ЬКЮЙНБНИ БЮММШ ПНКХ ОПХ╦ЛМХЙЮ Х ОПЕНАПЮГНБЮРЕКЪ ЩКЕЙРПНЩМЕПЦХХ.
оПХЛЕМЕМХЕ РНЦН ХКХ ХМНЦН ЬКЮЙЮ НОПЕДЕКЪЕРЯЪ ЙНМЙПЕРМШЛХ РЕУМНКНЦХВЕЯЙХЛХ СЯКНБХЪЛХ ОЕПЕОКЮБЮ ЛЕРЮККЮ ГЮДЮММНЦН УХЛЯНЯРЮБЮ. рЮЙ ОПХ щьо ЯРЮКЕИ Х ЯОКЮБНБ, ЯНДЕПФЮЫХУ КЕЦЙННЙХЯКЪЧЫХЕЯЪ ЩКЕЛЕМРШ, НАШВМН ОПХЛЕМЪЕРЯЪ АЕГЙХЯКНПНДМШИ ЬКЮЙ юмт-1о; ОПХ МЕНАУНДХЛНЯРХ ЛЮЙЯХЛЮКЭМНЦН НВХЫЕМХЪ ЛЕРЮККЮ НР ЯЕПШ ХЯОНКЭГСЕРЯЪ ЬКЮЙ юмт-6 Х Р.Д. оПХ ОЕПЕОКЮБЕ Б ЦКСУХЕ ЙПХЯРЮККХГЮРНПШ МЮХАНКЕЕ ПЮЯОПНЯРПЮМ╦ММШЛ ЪБКЪЕРЯЪ ЬКЮЙ юмт-6; оПХ ОЕПЕОКЮБЕ Я БШРЪФЙНИ ЯКХРЙЮ ХКХ ОЕПЕЛЕЫЕМХЕЛ ЙПХЯРЮККХГЮРНПЮ НАШВМН ХЯОНКЭГСЕРЯЪ ЬКЮЙ РХОЮ юмт-28 ХКХ юмт-29.
б ОПНЖЕЯЯЕ щьо ОПНХЯУНДХР ГМЮВХРЕКЭМНЕ СКСВЬЕМХЕ ЙЮВЕЯРБЮ ЛЕРЮККЮ БЯКЕДЯРБХЕ:
1. хЯЙКЧВЕМХЪ БГЮХЛНДЕИЯРБХЪ ФХДЙНЦН ЛЕРЮККЮ Я ЮРЛНЯТЕПНИ Х ТСРЕПНБЙНИ ОПХ ЕЦН БШОКЮБЙЕ Х ТНПЛХПНБЮМХЕ ЯКХРЙЮ;
2. нАПЮАНРЙХ ФХДЙНЦН ЛЕРЮККЮ БШЯНЙНЮЙРХБМШЛ ПЮЯОКЮБКЕММШЛ ЬКЮЙНЛ;
3. гЮЛЕДКЕММНИ Х МЮОПЮБКЕММНИ ЙПХЯРЮККХГЮЖХЕИ ЛЕРЮККЮ Б БНДН-НУКЮФДЮЕЛНЛ ЙПХЯРЮККХГЮРНПЕ.
5.щкейрпнькюйнбше йюй онрпеахрекх щкейрпнщмепцхх
щКЕЙРПНЬКЮЙНБШЕ ОЕВХ ЪБКЪЧРЯЪ НДМХЛХ ХГ НЯМНБМШУ ЮЦПЕЦЮРНБ ЯОЕЖХЮКЭМНИ ЩКЕЙРПНЛЕРЮККСПЦХХ, ОНГБНКЪЧЫХЛХ ОНКСВЮРЭ ЯКХРЙХ Х НРКХБЙХ БШЯНЙНЦН ЙЮВЕЯРБЮ. нМХ ЬХПНЙН ОПХЛЕМЪЧРЯЪ МЮ ЛЕРЮККСПЦХВЕЯЙХУ Х ЛЮЬХМНЯРПНХРЕКЭМШУ ГЮБНДЮУ. лЮЯЯЮ БШОКЮБКЪЕЛШУ ЯКХРЙНБ Х НРКХБНЙ КЕФХР Б ОПЕДЕКЮУ НР МЕЯЙНКЭЙХУ ДЕЯЪРЙНБ ЙХКНЦПЮЛЛНБ ДН ЯНРЕМ РНММ. дКЪ ЩКЕЙРПНЬКЮЙНБШУ ОПНЖЕЯЯНБ ЯСЫЕЯРБСЕР ЬХПНЙЮЪ МНЛЕМЙКЮРСПЮ ОЕВЕИ ПЮГКХВМШУ ЙНМЯРПСЙЖХИ Я СЯРЮМНБКЕММНИ ЛНЫМНЯРЭЧ НР 630 ДН 15000 Йб·ю. щКЕЙРПНЬКЮЙНБШЕ ОЕВХ ПЮГДЕКЪЧРЯЪ МЮ ЛЕРЮККСПЦХВЕЯЙХЕ ОЕВХ ЩКЕЙРПНЬКЮЙНБНЦН ОЕПЕОКЮБЮ (щьо), Б ЙНРНПШУ ОНКСВЮЧР ЦКЮДЙХЕ ЯКХРЙХ ПЮГКХВМШУ ТНП ЯЕВЕМХЪ, Х МЮ ОЕВХ ЩКЕЙРПНЬКЮЙНБНЦН КХРЭЪ (щьк), ОПЕДМЮГМЮВЕММШЕ ДКЪ ОНКСВЕМХЪ НРКХБНЙ ЯКНФМНИ ТНПЛШ.
нЯМНБМШЛ ЩКЕЛЕМРНЛ ЩКЕЙРПНЬКЮЙНБНИ ОЕВХ ЪБКЪЕРЯЪ БЮММЮ ПЮЯОКЮБКЕММНЦН ЬКЮЙЮ, ЙНРНПШИ ЪБКЪЕРЯЪ ЩКЕЙРПНКХРНЛ Х ХЛЕЕР ДНЯРЮРНВМН БШЯНЙСЧ ХНММСЧ ОПНБНДХЛНЯРЭ. щКЕЙРПНЬКЮЙНБШИ ОПНЖЕЯЯ Б ОПХМЖХОЕ АЕГДСЦНБНИ, ВРН НАЕЯОЕВХБЮЕРЯЪ ОНДАНПНЛ ОХРЮЧЫЕЦН БЮММС МЮОПЪФЕМХЪ (35-55)б, ОНКНФЕМХЕЛ ЩКЕЙРПНДЮ Б ЬКЮЙЕ Х СПНБМЕЛ ББНДХЛНИ ЛНЫМНЯРХ. оНЩРНЛС ЩКЕЙРПНЬКЮЙНБЮЪ ОЕВЭ ЙЮЙ ОПХ╦ЛМХЙ ЩКЕЙРПНЩМЕПЦХХ ОПЕДЯРЮБКЪЕР ЯНАНИ ОЕВЭ ЯНОПНРХБКЕМХЪ ЙНЯБЕММНЦН ДЕИЯРБХЪ Я ФХДЙХЛ МЮЦПЕБЮРЕКЕЛ.
нАШВМН ЩКЕЙРПНЬКЮЙНБШЕ ОЕВХ ОХРЮЧРЯЪ ОЕПЕЛЕММШЛ РНЙНЛ ОПНЛШЬКЕММНИ ВЮЯРНРШ. щРН ЯБЪГЮМН Я РЕЛ, ВРН МЮ ОЕПЕЛЕММНЛ РНЙЕ ХМРЕМЯХБМН ПЮГБХРН ПЮТХМХПНБЮМХЕ ЛЕРЮККЮ ЬКЮЙНЛ.
дКЪ СКСВЬЕМХЪ ЩКЕЙРПХВЕЯЙХУ УЮПЮЙРЕПХЯРХЙ ЙПСОМШУ ОЕВЕИ, Ю Б ОНЯКЕДМЕЕ БПЕЛЪ Х ОЕВЕИ ЯПЕДМЕИ ╦ЛЙНЯРХ ХМНЦДЮ ХЯОНКЭГСЕРЯЪ ОЕПЕЛЕММШИ РНЙ ОНМХФЕММНИ ВЮЯРНРШ (2-10) цЖ. нАШВМН ОХРЮМХЕ РЮЙХУ СЯРЮМНБНЙ ОПНХГБНДХРЯЪ ПЕБЕПЯХБМШЛ ОНЯРНЪММШЛ РНЙНЛ Я ОНЛНЫЭЧ ДБСУ ОПЕНАПЮГНБЮРЕКЕИ РХОЮ рб-9. бННАЫЕ БНГЛНФМН ОХРЮМХЕ МЕ РНКЭЙН ЯХЛЛЕРПХВМШЛ, МН Х МЕЯХЛЛЕРПХВМШЛ РНЙНЛ, Б ПЕГСКЭРЮРЕ ВЕЦН БНГМХЙЮЕР СОПЮБКЪЕЛЮЪ ОНЯРНЪММЮЪ ЯНЯРЮБКЪЧЫЮЪ РНЙЮ, ЙНРНПЮЪ ЛНФЕР АШРЭ ХЯОНКЭГНБЮМЮ ДКЪ ЩКЕЙРПНУХЛХВЕЯЙНИ НОРХЛХГЮЖХХ ЛЕРЮККСПЦХВЕЯЙХУ ОПНЖЕЯЯНБ.
нДМЮЙН ОПХЛЕМЕМХЕ ЛМНЦНЮЛОЕПМШУ РХПХЯРНПМШУ ОПЕНАПЮГНБЮРЕКЕИ СЯКНФМЪЕР Х СДНПНФЮЕР СЯРЮМНБЙС, ЯМХФЮЕР МЮД╦ФМНЯРЭ Е╦ ПЮАНРШ. оНЩРНЛС ОНЙЮ МЮХАНКЕЕ ПЮЯОПНЯРПЮМ╦ММШЛ ПНДНЛ РНЙЮ ЪБКЪЕРЯЪ ОЕПЕЛЕММШИ РНЙ ОПНЛШЬКЕММНИ ВЮЯРНРШ. оХРЮМХЕ ЩКЕЙРПНЬКЮЙНБШУ ОЕВЕИ ОПНХГБНДЪРЯЪ Б ГЮБХЯХЛНЯРХ НР ЛНЫМНЯРХ КХАН НР ЖЕУНБНИ ЯЕРХ МЮОПЪФЕМХЕЛ 0,4 Йб, КХАН НР БШЯНЙНБНКЭРМШУ ОЕВМШУ ОНДЯРЮМЖХИ МЮОПЪФЕМХЕЛ 6-10 Йб ВЕПЕГ ЯОЕЖХЮКЭМШЕ ОНМХГХРЕКЭМШЕ РПЮМЯТНПЛЮРНПШ.
нДМНИ ХГ НЯМНБМШУ ЯУЕЛ ОХРЮМХЪ ЪБКЪЕРЯЪ ЯУЕЛЮ ЩКЕЙРПНД-ОНДДНМ. хГ-ГЮ МХГЙХУ БРНПХВМШУ МЮОПЪФЕМХИ Б ОЕВЮУ ОПНРЕЙЮЧР ГМЮВХРЕКЭМШЕ БРНПХВМШЕ РНЙХ, ВРН БШГШБЮЕР МЕНАУНДХЛНЯРЭ ХЛЕРЭ ЯКНФМШЕ РНЙНОНДБНДШ ЯН ЯПЮБМХРЕКЭМН МХГЙХЛХ ЩКЕЙРПНРЕУМХВЕЯЙХЛХ УЮПЮЙРЕПХЯРХЙЮЛХ. нЯНАЕММНЯРЭЧ РНЙНОНДБНДНБ ОЕВЕИ щьо ОН ЯПЮБМЕМХЧ Я дяо ЪБКЪЕРЯЪ АНКЭЬЮЪ ПНКЭ ЮЙРХБМШУ Х ПЕЮЙРХБМШУ ЯНОПНРХБКЕМХИ ЩКЕЙРПНДЮ Б НАЫЕЛ ЯНОПНРХБКЕМХХ РНЙНОНДБНДЮ. гМЮВХРЕКЭМЮЪ ПЕЮЙРХБМНЯРЭ РНЙНОНДБНДЮ НОПЕДЕКЪЕР МХГЙХЕ ГМЮВЕМХЪ ЙНЩТТХЖХЕМРЮ ЛНЫМНЯРХ, ЙНРНПШИ СЛЕМЭЬЮЕРЯЪ Я СБЕКХВЕМХЕЛ ПЮГБЕЯЮ ЯКХРЙЮ. б ПЕГСКЭРЮРЕ ЩРНЦН БШОКЮБЙЮ ЯКХРЙНБ ЛЮЯЯНИ АНКЕЕ 30-40 Р. ОН ЯУЕЛЕ ЩКЕЙРПНД-ОНДДНМ МЮ ОЕПЕЛЕММНЛ РНЙЕ ОПНЛШЬКЕММНИ ВЮЯРНРШ ОПХЛЕМЪЕРЯЪ ПЕДЙН.
дКЪ ЯМХФЕМХЪ ПЕЮЙРХБМНЯРХ ЛМНЦНЩКЕЙРПНДМШУ ОЕВЕИ щьо ЬХПНЙН ХЯОНКЭГСЧРЯЪ m/2 АХТХКЪПМШЕ ЯУЕЛШ ОХРЮМХЪ. щКЕЙРПНЬКЮЙНБШЕ ОЕВХ Я ВХЯКНЛ ЩКЕЙРПНДНБ, ЙПЮРМШЛ ДБСЛ, ЛНЦСР ОХРЮРЭЯЪ ОН ДБСУ ТЮГМНИ ЯУЕЛЕ, ЙПЮРМШЛ ЬЕЯРХ, ОН ЬЕЯРХТЮГМНИ. бН БЯЕУ ЩРХУ ЯУЕЛЮУ НЯСЫЕЯРБКЪЕРЯЪ ОНОЮПМНЕ АХТХКХПНБЮМХЕ ЩКЕЙРПНДНБ Х БЕРБЕИ ЙНПНРЙНИ ЯЕРХ, ВРН ОНГБНКЪЕР ГМЮВХРЕКЭМН ЯМХГХРЭ ПЕЮЙРХБМНЕ ЯНОПНРХБКЕМХЕ РНЙНОНДБНДНБ.
дКЪ ЙНЛОЕМЯЮЖХХ ПЕЮЙРХБМНИ ЛНЫМНЯРХ Х ОНБШЬЕМХЪ cosφ ДН РПЕАСЕЛНИ ЯХЯРЕЛНИ ГМЮВЕМХЪ МЮ ОХРЮЧЫХУ ЬХМЮУ ПЮЯОПЕДСЯРПНИЯРБ СЯРЮМЮБКХБЮЧРЯЪ АЮРЮПЕХ ЯРЮРХВЕЯЙХУ ЙНМДЕМЯЮРНПНБ.
щКЕЙРПНЬКЮЙНБШЕ ОЕВХ ЙЮЙ ЩКЕЙРПНРЕУМНКНЦХВЕЯЙХЕ ЮЦПЕЦЮРШ ХЛЕЧР ЖХЙКХВЕЯЙХИ УЮПЮЙРЕП ПЮАНРШ. жХЙК ОКЮБЙХ ПЮГАХБЮЕРЯЪ МЮ ╚ЦНПЪВЕЕ╩ БПЕЛЪ, Б РЕВЕМХЕ ЙНРНПНЦН ОПНХЯУНДХР ОЕПЕОКЮБ ЩКЕЙРПНДЮ, Х ╚УНКНДМНЕ╩, ЙНРНПНЕ ГЮРПЮВХБЮЕРЯЪ МЮ НЯРШБЮМХЕ ЯКХРЙЮ, МЮБЕДЕМХЕ ЬКЮЙНБНИ БЮММШ Х ОНДЦНРНБХРЕКЭМШЕ НОЕПЮЖХХ. йНЩТТХЖХЕМР БЙКЧВЕМХЪ ГЮБХЯХР НР ПЮГБЕЯЮ ЯКХРЙЮ Х РЕУМНКНЦХВЕЯЙХУ НЯНАЕММНЯРЕИ ОКЮБЙХ.
оЕВХ ЛЮКНИ Х ЯПЕДМЕИ ╦ЛЙНЯРХ НАШВМН СЯРЮМЮБКХБЮЧРЯЪ ЦПСООЮЛХ ОН 5-10 Х АНКЕЕ ОЕВЕИ. гЮ ЯВ╦Р ЯДБХЦЮ ЖХЙКНБ ХУ ПЮАНРШ ЙНЩТТХЖХЕМР БЙКЧВЕМХЪ ЩКЕЙРПНЬКЮЙНБНИ МЮЦПСГЙХ ЖЕУЮ ОПХАКХФЮЕРЯЪ Й ЕДХМХЖЕ.
мЮЦПСГЙЮ ЩКЕЙРПНЬКЮЙНБНИ ОЕВХ ОПХ ОПЮБХКЭМН БШАПЮММНЛ ЩКЕЙРПХВЕЯЙНЛ ПЕФХЛЕ ЪБКЪЕРЯЪ ЯОНЙНИМНИ, АЕГ йг Х АПНЯЙНБ РНЙЮ, ХЯЙКЧВЮЪ ЙПЮРЙНБПЕЛЕММШИ МЮВЮКЭМШИ ЩРЮО ОЕПХНДЮ МЮБЕДЕМХЪ ЬКЮЙНБНИ БЮММШ ОПХ ╚РБ╦ПДНЛ ЯРЮПРЕ╩. б ОЕПХНД ОЕПЕОКЮБЮ ЙПХБШЕ РНЙЮ Х МЮОПЪФЕМХЪ ОПНЛНДСКХПНБЮММШ ОЕПЕЛЕММШЛ ЯХЦМЮКНЛ Я ВЮЯРНРНИ 1-5цЖ, НРПЮФЮЧЫХЛ ОПНЖЕЯЯ ХГЛЕМЕМХЪ ОПНБНДХЛНЯРХ ЬКЮЙНБНИ БЮММШ, ОПХ МЮПЮЯРЮМХХ Х НРПШБЕ ЙЮОЕКЭ ЩКЕЙРПНДМНЦН ЛЕРЮККЮ. хГ-ГЮ ЕЦН МЕАНКЭЬНИ БЕКХВХМШ БКХЪМХЕ ЙЮОЕКЭМНЦН ОЕПЕМНЯЮ МЮ ЩМЕПЦЕРХВЕЯЙХИ ПЕФХЛ Х ОХРЮЧЫСЧ ЯЕРЭ МЕГМЮВХРЕКЭМН.
бН БПЕЛЪ ОКЮБЙХ МЮЦПСГЙЮ ОЕВХ ЪБКЪЕРЯЪ МЕПЮБМНЛЕПМНИ. щРН ЯБЪГЮМН Я РПЕЛЪ НЯМНБМШЛХ ТЮЙРНПЮЛХ √ МЕЯРЮЖХНМЮПМНЯРЭЧ РЕОКНБНЦН ПЕФХЛЮ Б МЮВЮКЭМШИ ОЕПХНД ОКЮБЙХ, ХГЛЕМЕМХЧ ЦЕНЛЕРПХВЕЯЙХУ ПЮГЛЕПНБ ЯКХРЙЮ Х СЛЕМЭЬЕМХЕЛ ЯНОПНРХБКЕМХЪ ОНДБНДЪЫЕИ ЯЕРХ ОПХ ЯОКЮБКЕМХХ ЩКЕЙРПНДЮ. мЮ ПХЯСМЙЕ 1 ОНЙЮГЮМЮ РХОХВМЮЪ ЙПХБЮЪ ХГЛЕМЕМХЪ ЛНЫМНЯРХ ОЕВХ ОПХ ОЕПЕОКЮБЕ ЩКЕЙРПНДНБ Б ЦКЮДЙХИ ЙПХЯРЮККХГЮРНП ЯН ГМЮВХРЕКЭМНИ ЙНМСЯМНЯРЭЧ, хГ МЕЦН БХДМН, ВРН БН БПЕЛЪ ОКЮБЙХ ББНДХЛЮЪ ЛНЫМНЯРЭ ГЮЙНМНЛЕПМН СЛЕМЭЬЮЕРЯЪ, НЯНАЕММН ЯХКЭМН Б ОЕПХНД БШБЕДЕМХЪ СЯЮДНВМНИ ПЮЙНБХМШ.
пХЯСМНЙ.3.-хГЛЕМЕМХЕ ЛНЫМНЯРХ ЩКЕЙРПНЬКЮЙНБНИ ОЕВХ БН БПЕЛЪ ОКЮБЙХ.
аНКЭЬХМЯРБН ЩКЕЙРПНЬКЮЙНБШУ ОЕВЕИ ЛЮКНИ Х ЯПЕДМЕИ ЪБКЪЧРЯЪ НДМНТЮГМНИ МЮЦПСГЙНИ, дКЪ СЛЕМЭЬЕМХЪ БКХЪМХЪ МЕЯХЛЛЕРПХХ МЮЦПСГЙХ ОПХМХЛЮЧРЯЪ ЛЕПШ ОН ПЮБМНЛЕПМНЛС ПЮЯОПЕДЕКЕМХЧ НДМНТЮГМШУ ОЕВЕИ ОН ТЮГЮЛ ЯЕРХ, ВРН НАШВМН БНГЛНФМН Б ЖЕУЮУ щьо Х щьк ХГ-ГЮ ГМЮВХРЕКЭМНЦН ЙНКХВЕЯРБЮ СЯРЮМНБНЙ. яКНФМЕЕ НАЯРНХР ДЕКН Я НРДЕКЭМН СЯРЮМНБКЕММШЛХ ЙПСОМШЛХ ОЕВЮЛХ. б ЩРХУ ЯКСВЮЪУ МЕНАУНДХЛН ОПХЛЕМЕМХЕ ПЮГКХВМШУ ЯХЛЛЕРПХПСЧЫХУ СЯРПНИЯРБ МЮ ЯРНПНМЕ БШЯНЙНЦН МЮОПЪФЕМХЪ РПЮМЯТНПЛЮРНПЮ. щКЕЙРПНЬКЮЙНБШЕ СЯРЮМНБЙХ РПЕАСЧР БШЯНЙНИ МЮД╦ФМНЯРХ ЩКЕЙРПНОХРЮМХЪ. оПХ ОЕПЕПШБЕ ОХРЮМХЪ, ДКХРЕКЭМНЯРЭ ЙНРНПНЦН ГЮБХЯХР НР ПЮГБЕЯЮ ЯКХРЙЮ, МЮПСЬЕМХЪ ЯРПСЙРСПШ ЯКХРЙЮ ЯРЮМНБХРЯЪ ДНЯРЮРНВМШЛ ДКЪ ЕЦН НРАПЮЙНБЙХ. оНЩРНЛС ЩКЕЙРПНЬКЮЙНБШЕ ОЕВХ НРМНЯЪРЯЪ ЙН БРНПНИ ЙЮРЕЦНПХХ ОН МЮД╦ФМНЯРХ ОХРЮМХЪ. нДМЮЙН СЯРЮМНБЙХ НАЕЯОЕВХБЮЧЫХЕ БНДНЯМЮАФЕМХЕ ОЕВЕИ щьо Х щьк, НРМНЯЪРЯЪ Й ОНРПЕАХРЕКЪЛ ОЕПБНИ ЙЮРЕЦНПХХ, РЮЙ ЙЮЙ ОЕПЕПШБ Б БНДННУКЮФДЕМХХ ОНДДНМНБ, ЙПХЯРЮККХГЮРНПНБ Х ДНПМНБ ЛНФЕР ОПХБЕЯРХ Й ХУ ОПНФНЦС, БГПШБС ОЕВХ ХКХ БШОКЕЯЙС ЬКЮЙЮ Х ЛЕРЮККЮ, НОЮЯМНЛС ДКЪ ФХГМХ.
уЮПЮЙРЕП БНГДЕИЯРБХЪ ЙНКЕАЮМХИ МЮОПЪФЕМХЪ МЮ ЙЮВЕЯРБН ЯКХРЙЮ Х НРКХБЙХ НОПЕДЕКЪЕРЯЪ ДХМЮЛХВЕЯЙХЛХ УЮПЮЙРЕПХЯРХЙЮЛХ ЩКЕЙРПНЬКЮЙНБНИ ОЕВХ. йНКЕАЮМХЪ МЮОПЪФЕМХЪ БШГШБЮЧР ЙНКЕАЮМХЪ ЛНЫМНЯРХ ЬКЮЙНБНИ БЮММШ Я СДБНЕММНИ ВЮЯРНРНИ. рЮЙХЕ ЙНКЕАЮМХЪ оям РПЮМЯТНПЛЮРНПЮ НРПЮАНРЮРЭ МЕ ЛНЦСР. бНГДЕИЯРБХЕ ЙНКЕАЮМХИ ЛНЫМНЯРХ МЮ ЙЮВЕЯРБН ЯКХРЙЮ Х НРКХБЙХ НОПЕДЕКЪЕРЯЪ БНГМХЙЮЧЫХЛХ ОПХ ЩРНЛ ЙНКЕАЮМХЪЛХ РЕЛОЕПЮРСПШ ЬКЮЙНБНИ БЮММШ ΘЬ, ЯЙНПНЯРХ НОКЮБКЕМХЪ ЛЕРЮККЮ G, ТПНМРЮ ЙПХЯРЮККХГЮЖХХ ЯКХРЙЮ йТП Х РНКЫХМШ ЬКЮЙНБНЦН ЦЮПМХЯЮФЮ δЦ. оНЯКЕДМХЕ ОПХБНДЪР Й ХГЛЕМЕМХЧ ДХЮЛЕРПЮ МЮОКЮБКЪЕЛНЦН ЯКХРЙЮ Х БНГМХЙМНБЕМХЧ ЦНТП Х ОЕПЕФХЛНБ.
дХМЮЛХВЕЯЙХЕ УЮПЮЙРЕПХЯРХЙХ ЩРХУ БНГЛСЫЕМХИ НОХЯШБЮЧРЯЪ ОЕПЕДЮРНВМШЛХ ТСМЙЖХЪЛХ:
;
;
;
.
цДЕ - НОЕПЮРХБМШЕ НРМНЯХРЕКЭМШЕ НРЙКНМЕМХЪ ОЮПЮЛЕРПНБ f;
- НРМНЯХРЕКЭМШЕ ЙНЩТТХЖХЕМРШ ОЕПЕДЮВХ ОПХ БНГДЕИЯРБХХ МЮ РЕЛОЕПЮРСПС, ЯЙНПНЯРЭ ОКЮБКЕМХЪ Х РНКЫХМС ЦЮПМХЯЮФЮ , ЛНЫМНЯРХ; - ЙНЩТТХЖХЕМР ОЕПЕДЮВХ ОПХ БНГДЕИЯРБХХ ЯЙНПНЯРХ ОКЮБЙХ МЮ ЙНЩТТХЖХЕМР ТПНМРЮ ЙПХЯРЮККХГЮЖХХ ЯКХРЙЮ(ЛЕРЮККЮ); - ОНЯРНЪММШЕ БПЕЛЕМХ ЬКЮЙНБНИ Х ФХДЙНИ ЛЕРЮККХВЕЯЙНИ БЮММ Х ЬКЮЙНБНЦН ЦЮПМХЯЮФЮ.
═щКЕЙРПНЬКЮЙНБЮЪ ОЕВЭ ОПЕДЯРЮБКЪЕР ЯНАНИ ХМЕПЖХНММШИ НАЗЕЙР ЯН ГМЮВХРЕКЭМШЛХ ОНЯРНЪММШЛХ БПЕЛЕМХ, ЯНЯРЮБКЪЧЫХЛХ ЕДХМХЖШ Х ДЕЯЪРЙХ ЛХМСР. хГБЕЯРМН, ВРН РЮЙХЕ НАЗЕЙРШ ЪБКЪЧРЯЪ ЩТТЕЙРХБМШЛХ БШЯНЙХУ ВЮЯРНР. вЮЯРНРШ ЯПЕГЮ, БШЬЕ ЙНРНПШУ ПЕЮЙЖХЪ ЯНЯРЮБКЪЕР ЛЕМЕЕ 5% БНГЛСЫЕМХЪ, ЯНЯРЮБКЪЕР ДКЪ БЯЕЦН ЯОЕЙРПЮ ╦ЛЙНЯРЕИ ОЕВЕИ ДЕЯЪРШЕ ДНКХ ЦЕПЖЮ. щРН ЯБХДЕРЕКЭЯРБСЕР Н РНЛ, ВРН ОПНЛШЬКЕММШЕ ЩКЕЙРПНЬКЮЙНБШЕ ОЕВХ МЮ ЙНКЕАЮМХЪ МЮОПЪФЕМХЪ ОПЮЙРХВЕЯЙХ МЕ ПЕЮЦХПСЧР.
6.пюяв╗р цпсоонбнцн цпютхйю яхкнбни мюцпсгйх свюярйю
щКЕЙРПХВЕЯЙХЕ МЮЦПСГЙХ УЮПЮЙРЕПХГСЧР ОНРПЕАКЕМХЕ ЩКЕЙРПНЩМЕПЦХХ НРДЕКЭМШЛХ ОПХ╦ЛМХЙЮЛХ ХКХ ЦПСООНИ ОПХ╦ЛМХЙНБ, ОПЕДОПХЪРХЪ Б ЖЕКНЛ.
оПЮБХКЭМНЕ НОПЕДЕКЕМХЕ НФХДЮЕЛШУ ЩКЕЙРПХВЕЯЙХУ МЮЦПСГНЙ ОПХ ОПНЕЙРХПНБЮМХХ ЪБКЪЕРЯЪ НЯМНБНИ ДКЪ ПЮЖХНМЮКЭМНЦН ЩКЕЙРПНЯМЮАФЕМХЪ ОПЕДОПХЪРХЪ. нР ХУ ГМЮВЕМХЪ ГЮБХЯХР БШАНП БЯЕУ РНЙНБЕДСЫХУ ЩКЕЛЕМРНБ Х ЮООЮПЮРНБ Х РЕУМХЙН-ЩЙНМНЛХВЕЯЙХЕ ОНЙЮГЮРЕКХ ОПНЕЙРХПСЕЛНИ ЯХЯРЕЛШ ЩКЕЙРПНЯМЮАФЕМХЪ.
цПЮТХЙ МЮЦПСГЙХ ПЮЯЯВХРШБЮЕЛ ДКЪ СВЮЯРЙЮ ЯНДЕПФЮЫЕЦН 2 ОЕВХ ЩКЕЙРПНЬКЮЙНБНЦН ОЕПЕОКЮБЮ ПЮЯЯВХРЮММНИ ДКЪ БШОКЮБЙХ НЯХ РПЮЙРНПЮ ЛЮЯЯНИ 250 ЙЦ, Х НДМНИ ТКЧЯНОКЮБХКЭМНИ ОЕВХ с-560.
цПСООНБНИ ЦПЮТХЙ МЮЦПСГЙХ ЯНЯРЮБКЪЧ Я ХЯОНКЭГНБЮМХЕЛ ХМДХБХДСЮКЭМШУ ЦПЮТХЙНБ МЮЦПСГЙХ щьо-0,25 Х тоо с-560.
пХЯСМНЙ.4.- хМДХБХДСЮКЭМШИ ЦПЮТХЙ МЮЦПСГЙХ ОЕВХ щьо.
пХЯСМНЙ.5.- хМДХБХДСЮКЭМШИ ЦПЮТХЙ МЮЦПСГЙХ тоо с-560.
жХЙК ПЮАНРШ щьо-0,25 ЯНЯРЮБКЪЕР 96 ЛХМСР, ХГ МХУ МЮ ОНКСВЕМХЕ НРКХБЙХ СУНДХР 28 ЛХМСР, НЯРЮБЬХЕЯЪ 68 ЛХМСР ЯНЯРЮБКЪЕР ЛЕФОКЮБНВМШИ ОПНЯРНИ. дКЪ МЮВЮКЮ ПЮАНРШ ОЕВХ МЕНАУНДХЛН МЮКХВХЕ ЬКЮЙЮ, ЙНРНПШИ ОНКСВЮЧР Б ТКЧЯНОКЮБХКЭМНИ ОЕВХ, ХЯУНДЪ ХГ ЩРНЦН ЛНФМН ЯНЯРЮБХРЭ НАЫХИ ЦПЮТХЙ МЮЦПСГЙХ ДКЪ щьо Х тоо ЙНРНПШИ АСДЕР ХЛЕРЭ БХД:
пХЯСМНЙ.6.- цПЮТХЙ МЮЦПСГЙХ ОЕВХ щьо Х тоо.
хЯУНДЪ ХГ РНЦН, ВРН МЮ СВЮЯРЙЕ ОПЕДСЯЛНРПЕМН 2 ОЕВХ щьо, ПЮАНРЮ БЕД╦РЯЪ Б РПХ ЯЛЕМШ, ГЮ ЯЛЕМС МЕНАУНДХЛН ЯНБЕПЬХРЭ 2 ОКЮБЙХ, ОЕПЕД ЙЮФДНИ ОКЮБЙНИ МЕНАУНДХЛН 8ЙЦ ФХДЙНЦН ТКЧЯЮ Х МЕНАУНДХЛНЯРХ ОНКСВЕМХЪ ЛЮЙЯХЛЮКЭМНЦН ╚ЯЦКЮФЕММНЦН╩ ЦПСООНБНЦН ЦПЮТХЙЮ ОНКСВХКХ ЯКЕДСЧЫХИ БХД ЦПСООНБНЦН ЦПЮТХЙЮ МЮЦПСГЙХ:
пХЯСМНЙ.7.- цПСООНБНИ ЦПЮТХЙ МЮЦПСГЙХ.
дКЪ МЮУНФДЕМХЪ ЯПЕДМЕЦН ГМЮВЕМХЪ МЮЦПСГЙХ МЕНАУНДХЛН НОПЕДЕКХРЭ ОКНЫЮДЭ НОХЯШБЮЕЛСЧ КНЛЮМНИ ЦПЮТХЙЮ МЮЦПСГЙХ ДКЪ ЩРНЦН ПЮГДЕКХЛ ЦПЮТХЙ МЮ НОПЕДЕК╦ММНЕ ЙНКХВЕЯРБН ОПЪЛНСЦНКЭМХЙНБ.
ЦДЕ Si-ЛНЫМНЯРЭ БШАПЮММНЦН ХМРЕПБЮКЮ БПЕЛЕМХ,
ti- ХМРЕПБЮК БПЕЛЕМХ Б РЕВЕМХЕ ЙНРНПНЦН ЛНЫМНЯРЭ НЯРЮ╦РЯЪ ОНЯРНЪММНИ.
S∑=8*100+5*125+7*140+(3*360+5*325+5*280+4*260+5*250+5*200+1*100)*2 = 800+625+980+(1080+1625+1400+1040+1250+1000+100)=17395 Йбю*ЛХМ.
яПЕДМЕЕ ГМЮВЕМХЕ МЮЦПСГЙХ ПЯП:
═ЦДЕ t∑ - ЯСЛЛЮПМНЕ БПЕЛЪ ПЮАНРШ.
Йбю.
яПЕДМЕЙБЮДПЮРХВМШЕ МЮЦПСГЙХ МЮУНДХЛ ОН ТНПЛСКЕ:
═ЦДЕ t∑ - ЯСЛЛЮПМНЕ БПЕЛЪ ПЮАНРШ.
S∑ЙБ=8*100^2+5*125^2+7*140^2+(3*360^2+5*325^2+5*280^2+4*260^2+5*250^2+5*200^2+1*100^2)*2 = 295325+4203650=4498975.
═Йбю.
нОПЕДЕКЕМХЕ ЙНЩТТХЖХЕМРНБ:
йНЩТТХЖХЕМР ХЯОНКЭГНБЮМХЪ: ;
;
йНЩТТХЖХЕМР БЙКЧВЕМХЪ: ;
ЦДЕ tБЙК- ОПНДНКФХРЕКЭМНЯРЭ БЙКЧВЕМХЪ ОПХ╦ЛМХЙЮ Б ЖХЙКЕ,
рЖ √ ОПНДНКФХРЕКЭМНЯРЭ ЖХЙКЮ.
.
йНЩТТХЖХЕМР ГЮЦПСГЙХ: ;
.
SГЮЪБК= Smax 1.1=360∙1.1=396 Йбю;
йНЩТТХЖХЕМР ЯОПНЯЮ:
;
.
7.пюяв╗р рнйнб йнпрйнцн гюлшйюмхъ мю йнлокейрмни рпюмятнплюрнпмни ондярюмжхх
дКЪ ЮМЮКХГЮ ПЮАНРШ ЩМЕПЦЕРХВЕЯЙХУ ЯХЯРЕЛ, БШАНПЮ ПЕКЕИМНИ ГЮЫХРШ, ЯПЕДЯРБ НЦПЮМХВЕМХЪ РНЙНБ ЙНПНРЙНЦН ГЮЛШЙЮМХЪ Х ПЮАНРНЯОНЯНАМНЯРХ ЩКЕЙРПХВЕЯЙНЦН НАНПСДНБЮМХЪ Б ЮБЮПХИМШУ ПЕФХЛЮУ ПЮЯЯВХРШБЮЧ ОПЕДОНКЮЦЮЕЛШЕ РНЙХ ЙНПНРЙНЦН ГЮЛШЙЮМХЪ (й.г.). оПХ ПЮЯВ╦РЕ ХЯОНКЭГСЧРЯЪ ЯКЕДСЧЫХЕ ДНОСЫЕМХЪ:
- Б РЕВЕМХЕ БЯЕЦН ОПНЖЕЯЯЮ й.г. щдя БЯЕУ ЦЕМЕПЮРНПНБ ЯХЯРЕЛШ ЯНБОЮДЮЧР ОН ТЮГЕ;
- МЕ СВХРШБЮЕРЯЪ МЮЯШЫЕМХЕ ЛЮЦМХРМШУ ЯХЯРЕЛ, ВРН ОНГБНКЪЕР ЯВХРЮРЭ ОНЯРНЪММШЛХ Х МЕГЮБХЯЪЫХЛХ НР РНЙЮ ХМДСЙРХБМШЕ ЩКЕЛЕМРШ ЙНПНРЙНГЮЛЙМСРНИ ЖЕОХ;
- ОПЕМЕАПЕЦЮЧ МЮЛЮЦМХВХБЮЧЫХЛХ РНЙЮЛХ ЯХКНБШУ РПЮМЯТНПЛЮРНПНБ;
- МЕ СВХРШБЮЧРЯЪ ╦ЛЙНЯРХ БЯЕУ ЩКЕЛЕМРНБ ЙНПНРЙНГЮЛЙМСРНИ ЖЕОХ, БЙКЧВЮЪ БНГДСЬМШЕ Х ЙЮАЕКЭМШЕ КХМХХ;
- РП╦УТЮГМЮЪ ЯХЯРЕЛЮ ОПХМХЛЮЕРЯЪ ЯХЛЛЕРПХВМНИ.
пХЯСМНЙ.8.- яУЕЛЮ ЯМЮАФЕМХЪ СВЮЯРЙЮ ЖЕУЮ.
дКЪ ПЮЯВ╦РЕ РНЙЮ й.г. ЬХМЮУ ОЕВМНИ ОНДЯРЮМЖХХ, Б МЮВЮКЕ ПЮЯЯВХРЮЕЛ РНЙХ ОПХ й.г. МЮ ЬХМЮУ йро. дКЪ ЩРНЦН ГЮДЮДХЛЯЪ АЮГХЯМШЛХ БЕКХВХМЮЛХ.
═Йб; ═лбю;
рНЦДЮ ═Йю;
нОПЕДЕКХЛ ЯНОПНРХБКЕМХЪ:
дКЪ ЦХДПНЦЕМЕПЮРНПЮ РХОЮ яб395/250-12
дКЪ РПЮМЯТНПЛЮРНПЮ РХОЮ рдм-80000/110
дКЪ БНГДСЬМНИ КХМХХ ЩКЕЙРПНОЕПЕДЮВХ бк-1, бк-2
дКЪ РСПАНЦЕМЕПЮРНПЮ РХОЮ е-12-2сг
дКЪ ПЕЮЙРНПЮ РХОЮ па10-1600-0,25сг
дКЪ РПЮМЯТНПЛЮРНПЮ РХОЮ рд-16000/35
дКЪ БНГДСЬМНИ КХМХХ ЩКЕЙРПНОЕПЕДЮВХ бк-3, бк-4
дКЪ РПЮМЯТНПЛЮРНПЮ РХОЮ рдрм-25000/110
хЯОНКЭГСЪ ОНКСВЕММШЕ БШПЮФЕМХЪ ОНКСВХЛ ГМЮВЕМХЪ НРМНЯХРЕКЭМШУ АЮГХЯМШУ ЯНОПНРХБКЕМХИ ДКЪ ЙЮФДНИ НАЛНРЙХ РПЮМЯТНПЛЮРНПЮ.
дКЪ ЙЮАЕКЭМНИ КХМХХ ЩКЕЙРПНОЕПЕДЮВХ й-1, й-2
яУЕЛЮ ЯМЮАФЕМХЪ АСДЕР ХЛЕРЭ БХД:
пХЯСМНЙ.9.- яУЕЛЮ ГЮЛЕЫЕМХЪ ЯУЕЛШ ЯМЮАФЕМХЪ.
оПЕНАПЮГСЕЛ БШЬЕОПХБЕДЕММСЧ ЯУЕЛС:
1)
ЦДЕ ; у16=у10+у11
2)
ЦДЕ ;
3)
ЦДЕ ;
4)
ЦДЕ ;
;
;
5)
ЦДЕ ;
6)
ЦДЕ ;
7)
ЦДЕ ;
8)
ЦДЕ ;
;
;
9)
дКЪ НОПЕДЕКЕМХЪ РНЙЮ й.г. НР ЦХДПНЦЕМЕПЮРНПНБ НОПЕДЕКХЛ ПЮЯВ╦РМНЕ ЯНОПНРХБКЕМХЕ:
рЮЙ ЙЮЙ у*П>3 РНЦДЮ РНЙ ЙНПНРЙНЦН НР ЦХДПНЦЕМЕПЮРНПЮ МЮИД╦Л ЯКЕДСЧЫХЛ НАПЮГНЛ:
═Йю;
дКЪ НОПЕДЕКЕМХЪ РНЙЮ й.г.НР РСПАНЦЕМЕПЮРНПНБ НОПЕДЕКХЛ ПЮЯВ╦РМНЕ ЯНОПНРХБКЕМХЕ:
ДКЪ РЮЙНЦН ГМЮВЕМХЪ у*П
нОПЕДЕКХЛ РНЙ ЙНПНРЙНЦН ГЮЛШЙЮМХЪ:
═Йю;
═Йю;
Йю.
8.бшанп йнлокейрмни рппюмятнплюрнпмни ондярюмжхх
мЮ ОПНЕЙРХПСЕЛНЛ СВЮЯРЙЕ МЮУНДЪРЯЪ ЯКЕДСЧЫХЕ ОНРПЕАХРЕКХ ЩКЕЙРПНЩМЕПЦХХ:
еДХМХЖЮ ЩМЕПЦНОНРПЕАКЕМХЪ
лНЫМНЯРЭ, Йбю(SМНЛ)
2 ОЕВХ щьо-0,25
630
1 ОЕВЭ ТКЧЯНОКЮБХКЭМЮЪ с-560
750
6 ЮЯХМУПНММШУ ДБХЦЮРЕКЕИ
5
;
ЦДЕ m-ЙНКХВЕЯРБН ЕДХМХЖ ЩМЕПЦНОНРПЕАКЕМХЪ;
═Йбю;
Йбю;
Йбю;
;
;
;
;
;
═Йбю.
оПЕДОНКЮЦЮЕЛШЕ йро:
1. 2 РПЮМЯТНПЛЮРНПЮ ЛНЫМНЯРЭЧ ОН 1000 Йбю ЙЮФДШИ.
гЮЦПСГЙЮ 856/2000=0,43 (43%),
оЕПЕЦПСГЙЮ 856/1000=0,856
б ЯБЪГХ Я РЕЛ, ВРН РПЮМЯТНПЛЮРНПШ ПЮАНРЮЧР ЯН ГМЮВХРЕКЭМНИ МЕДНЦПСГЙНИ ОХРЮМХЕ ЙПЮМНБ Х НАНПСДНБЮМХЪ НЯБЕЫЕМХЪ НЯСЫЕЯРБКЪЕРЯЪ НР ЩРХУ ФЕ РПЮМЯТНПЛЮРНПНБ.
9.пюяв╗р рнйнб йнпнрйнцн гюлшйюмхъ мю ьхмюу оевмни ондярюмжхх
дКЪ ОПНБЕДЕМХЪ ПЮЯВ╦РЮ РНЙЮ й.г. ЯНЯРЮБХЛ ЯУЕЛС ГЮЛЕЫЕМХЪ СВЮЯРЙЮ ЖЕОХ ОН ЙНРНПНЛС ОПНРЕЙЮЕР ДЮММШИ РНЙ.
пХЯСМНЙ.10.- яУЕЛЮ ГЮЛЕЫЕМХЪ ЯУЕЛШ ЯМЮАФЕМХЪ ОНЯКЕ РПЮМЯТНПЛЮРНПМНИ ОНДЯРЮМЖХХ.
нОПЕДЕКЪЧ ЯНОПНРХБКЕМХЪ ЯУЕЛШ ГЮЛЕЫЕМХЪ:
;
;
;
;
;
юБРНЛЮРХВЕЯЙХИ БШЙКЧВЮРЕКЭ щ-40.
мЮУНФС РНЙ ОПНРЕЙЮЧЫХИ ОН ДЮММНЛС СВЮЯРЙС:
;
;
оН РЮАКХВМШЛ ДЮММШЛ НОПЕДЕКЪЧ ЯНОПНРХБКЕМХЪ:
RЮБР1=0,08 ЛнЛ;
RЮБР2=0,01 ЛнЛ;
уЮБР1=0,02 ЛнЛ;
юБРНЛЮРХВЕЯЙХИ БШЙКЧВЮРЕКЭ щ-06б.
RЮБР3=0,08 ЛнЛ;
RЮБР4=0,01 ЛнЛ;
уЮБР2=0,02 ЛнЛ;
б ЙЮВЕЯРБЕ РНЙНОНДБНДЮ БШАХПЮЧ ЬХМНОПНБНД ЛЮЦХЯРПЮКЭМШИ ЮКЧЛХМХЕБШИ ьлю-4, ЙНРНПШИ ПЮЯЯВХРЮМ МЮ ОПНРЕЙЮМХЕ РНЙНБ ДН 1250 ю.
;
.
;
═ЦДЕ L √ ДКХМЮ РНЙНОНДБНДЮ;
ЛнЛ;
;
;
;
;
;
;
;
10.йнлокейрмюъ рпюмятнплюрнпмюъ ондярюмжхъ
йНЛОКЕЙРМШЕ РПЮМЯТНПЛЮРНПМШЕ ОНДЯРЮМЖХХ (йро) ЪБКЪЧРЯЪ МЮХАНКЕЕ ЛЮЯЯНБШЛХ ОНРПЕАХРЕКЭЯЙХЛХ ОНДЯРЮМЖХЪЛХ. оПЕДМЮГМЮВЕММШЛХ МЕОНЯПЕДЯРБЕММН ДКЪ ЩКЕЙРПНЯМЮАФЕМХЪ ОПХ╦ЛМХЙНБ ЩКЕЙРПНЩМЕПЦХХ.
йро БМСРПЕММЕИ СЯРЮМНБЙХ ОПЕДМЮГМЮВЕМШ ДКЪ ЩКЕЙРПНЯМЮАФЕМХЪ ОПНЛШЬКЕММШУ ОПЕДОПХЪРХИ, ЮДЛХМХЯРПЮРХБМШУ Х НАЫЕЯРБЕММШУ ГДЮМХИ; НМХ СЯРЮМЮБКХБЮЧРЯЪ Б ЖЕУЮУ Х ДПСЦХУ ОНЛЕЫЕМХЪУ Б МЕОНЯПЕДЯРБЕММНИ АКХГНЯРХ НР ОНРПЕАХРЕКЕИ ЩКЕЙРПНЩМЕПЦХХ.
дКЪ АЕГНОЮЯМНЯРХ ЩЙЯОКСЮРЮЖХХ Б йро БМСРПЕММЕИ СЯРЮМНБЙХ ХЯОНКЭГСЧРЯЪ ЯОЕЖХЮКЭМШЕ РПЮМЯТНПЛЮРНПШ: лЮЯКЪМШЕ Я ЦЕПЛЕРХГХПНБЮММШЛХ АЮЙНЛ, РПЮМЯТНПЛЮРНПШ, ГЮОНКМЕММШЕ МЕЦНПЧВЕИ ФХДЙНЯРЭЧ, Ю РЮЙ ФЕ РПЮМЯТНПЛЮРНПШ Я ЯСУНИ ХГНКЪЖХЕИ.
оХРЮМХЕ йро-л-1000 НЯСЫЕЯРБКЪЕРЯЪ ЙЮЙ ОН ЛЮЦХЯРПЮКЭМНИ, РЮЙ Х ОН ПЮДХЮКЭМНИ ЯУЕЛЕ ЩКЕЙРПНЯМЮАФЕМХЪ. бБНД ЯН ЯРНПНМШ БШЯЬЕЦН МЮОПЪФЕМХЪ БШОНКМЪЕРЯЪ ЦКСУХЛ ХКХ Я ОНЛНЫЭЧ БШЙКЧВЮРЕКЪ, ЙНРНПШИ НАЕЯОЕВХБЮЕР НРЙКЧВЕМХЕ РНЙЮ УНКНЯРНЦН УНДЮ Х РНЙЮ МЮЦПСГЙХ ЯХКНБНЦН РПЮМЯТНПЛЮРНПЮ.
оХРЮМХЕ Х ГЮЫХРЮ ЯАНПМШУ ЬХМ МЮ ЯРНПНМЕ МХГЬЕЦН МЮОПЪФЕМХЪ НЯСЫЕЯРБКЪЕРЯЪ ЮБРНЛЮРХВЕЯЙХЛХ БШЙКЧВЮРЕКЪЛХ ББНДЮ. пЮЯОПЕДЕКЕМХЕ ЩКЕЙРПНЩМЕПЦХХ ОН НРУНДЪЫХЛ КХМХЪЛ, Ю РЮЙ ФЕ ГЮЫХРЮ ХУ НР ОЕПЕЦПСГНЙ Х ЙНПНРЙХУ ГЮЛШЙЮМХИ НЯСЫЕЯРБКЪЕРЯЪ КХМЕИМШЛХ ЮБРНЛЮРХВЕЯЙХЛХ БШЙКЧВЮРЕКЪЛХ, СЯРЮМНБКЕММШЛХ Б ЬЙЮТЮУ МХГЙНЦН МЮОПЪФЕМХЪ.
дКЪ НР РПЮМЯТНПЛЮРНПЮ МЮ ЯРНПНМЕ мм ОПХЛЕМЪЕРЯЪ ЬЙЮТ ьмб-3лр, Б ЙНРНПШУ СЯРЮМНБКЕМ БШЙКЧВЮРЕКЭ РХОЮ щ-40-б, ДКЪ НРУНДЪЫХУ КХМХИ ОПХЛЕМЪЧРЯЪ ЬЙЮТШ РХОЮ ьмкр-1л Х ьмк-2лр.
дКЪ ЯЕЙЖХНМХПНБЮМХЪ ЬХМ мм ДКЪ ДБСУРПЮМЯТНПЛЮРНПМШУ йро ОПХЛЕМЪЧРЯЪ ЬЙЮТ РХОЮ ьмя-2лр.
йНКХВЕЯРБН ЬЙЮТНБ мм МЮ НДХМ РПЮМЯТНПЛЮРНП МЕ ДНКФМН ОПЕБШЬЮРЭ ЯЕЛХ. оПХ СЯРЮМНБЙЕ БШЙКЧВЮРЕКЕИ ЯЕПХХ щКЕЙРПНМ Б ЬЙЮТЮУ, ДНОСЯЙЮЧРЯЪ ЯКЕДСЧЫХЕ ЛЮЙЯХЛЮКЭМН ДКХРЕКЭМШЕ РНЙНБШЕ МЮЦПСГЙХ: щ40-б √ 3500ю; щ25-б √ 2500ю; щ16-б √ 1600ю; щ06-б √ 630ю. оПХ ЩРНЛ ДНОСЯЙЮЧРЯЪ МНПЛХПСЕЛШЕ ДКЪ РПЮМЯТНПЛЮРНПНБ ЙПЮРЙНБПЕЛЕММШЕ МЮЦПСГЙХ Б РЕВЕМХХ 3В МЮ 30% ХКХ Б РЕВЕМХЕ 2В МЮ 40%,ЕЯКХ ОПХ ЩРНЛ ОПЕДБЮПХРЕКЭМЮЪ МЮЦПСГЙЮ ЬЙЮТНБ МЕ ОПЕБШЬЮКЮ 70% ХУ МНЛХМЮКЭМНЦН РНЙЮ.
пХЯСМНЙ.11.- нАЫХИ БХД йро.
бШАНП БШЯНЙНБНКЭРМНЦН БШЙКЧВЮРЕКЪ.
рНЙ ОПНРЕЙЮЧЫХИ ВЕПЕГ МЕЦН ПЮБЕМ:
;
бШАХПЮЕЛ БШЙКЧВЮРЕКЭ РХОЮ бло-10-20/1000сг.
бШЙКЧВЮРЕКЭ РХОЮ бло-10-20/1000сг СДНБКЕРБНПЪЕР ОПЕДЗЪБКЪЕЛШЛ Й МЕЛС РПЕАНБЮМХЪЛ.
бШАНП БШЙКЧВЮРЕКЪ МЮЦПСГЙХ:
бШАНП БШЙКЧВЮРЕКЪ МЮЦПСГЙХ НЯСЫЕЯРБКЪЕРЯЪ ОН РНЙС ЙНПНРЙНЦН ГЮЛШЙЮМХЪ МЮ йро ЙНРНПШИ ПЮБЕМ IЙГ=7 Йю, IО0=6.64 Йю, IС=17.7 Йю ОН ЩРХЛ ОЮПЮЛЕРПЮЛ БШАЕПЕЛ БШЙКЧВЮРЕКЭ РХОЮ бмпО-10/400-10ГО3с3.
бШАНП ОКЮБЙНЦН ОПЕДНУПЮМХРЕКЪ:
бШАНП ОКЮБЙНЦН ОПЕДНУПЮМХРЕКЪ НЯСЫЕЯРБКЪЕРЯЪ ОН РНЙС ЙНПНРЙНЦН ГЮЛШЙЮМХЪ МЮ йро ЙНРНПШИ ПЮБЕМ IЙГ=7 Йю, IО0=6.64 Йю, IС=17.7 Йю ОН ЩРХЛ ОЮПЮЛЕРПЮЛ БШАЕПЕЛ ОКЮБЙХИ ОПЕДНУПЮМХРЕКЭ РХОЮ ойр101-10-5-12,5сг.
бШАНП ЮБРНЛЮРХВЕЯЙХУ БШЙКЧВЮРЕКЕИ:
юБРНЛЮРХВЕЯЙХИ БШЙКЧВЮРЕКЭ МЮ КХМХХ йро: щ-40 лЮЙЯХЛЮКЭМН ДНОСЯРХЛШИ РНЙ ДКЪ БШЙКЧВЮРЕКЪ щ-40 40Йю, РНЙ ЙНПНРЙНЦН ГЮЛШЙЮМХЪ МЮ ПЮЯЯЛЮРПХБЮЕЛНЛ СВЮЯРЙЕ ЖЕОХ ПЮБЕМ 23 Йю (23<40Йю).
яЕЙЖХНММШИ ЮБРНЛЮРХВЕЯЙХИ БШЙКЧВЮРЕКЭ МЮ йро: щ-25 лЮЙЯХЛЮКЭМН ДНОСЯРХЛШИ РНЙ ДКЪ БШЙКЧВЮРЕКЪ щ-25 55Йю, РНЙ ЙНПНРЙНЦН ГЮЛШЙЮМХЪ МЮ ПЮЯЯЛЮРПХБЮЕЛНЛ СВЮЯРЙЕ ЖЕОХ ПЮБЕМ 23 Йю (23<55Йю).
юБРНЛЮРХВЕЯЙХИ БШЙКЧВЮРЕКЭ МЮ НРУНДЪЫХУ КХМХЪУ йро: щ-06б лЮЙЯХЛЮКЭМН ДНОСЯРХЛШИ РНЙ ДКЪ БШЙКЧВЮРЕКЪ щ-06б 40Йю, РНЙ ЙНПНРЙНЦН ГЮЛШЙЮМХЪ МЮ ПЮЯЯЛЮРПХБЮЕЛНЛ СВЮЯРЙЕ ЖЕОХ ПЮБЕМ 23 Йю (23<40Йю).
бШАХПЮЧ ЮЛОЕПЛЕРП пю1, пю2 РХОЮ щ351, БНКЭРЛЕРП пV1,PV2 РХОЮ щ350, бЮРРЛЕРП W РХОЮ м-395, яВ╦РВХЙ БЮРР-ВЮЯНБ РХОЮ яю4с-х672л.
бШАНП РПЮМЯТНПЛЮРНПЮ РНЙЮ:
бШАХПЮЕЛ РПЮМЯТНПЛЮРНП РНЙЮ ОН БШЯНЙНИ ЯРНПНМЕ рю1 РХОЮ рокй-10.
бШАХПЮЧ РПЮМЯТНПЛЮРНП МЮ МХГЙНИ ЯРНПНМЕ рю2 РХОЮ роьк-10.
бШАНП РПЮМЯТНПЛЮРНПЮ МЮОПЪФЕМХЪ:
бШАХПЮЧ РПЮМЯТНПЛЮРНП РХОЮ мняй-3с5.
б ЙЮВЕЯРБЕ РНЙНОНДБНДЮ ЩКЕЙРПНЩМЕПЦХХ Й ЯХКНБШЛ РПЮМЯТНПЛЮРНПЮЪ НР йро БШАХПЮЕЛ ЬХМНОПНБНД ЛЮЦХЯРПЮКЭМШИ ЮКЧЛХМЕБШИ РХОЮ ьлю4. дЮММШИ ЬХМНОПНБНД ДНОСЯЙЮЕР ОПНРЕЙЮМХЕ РНЙНБ ДН 1250 ю, ВРН ОПЕБШЬЮЕР ГМЮВЕМХЕ МНЛХМЮКЭМНЦН РНЙЮ ДКЪ БШАПЮММНЦН СВЮЯРЙЮ ЖЕОХ ЙНРНПНЕ ЯНЯРЮБКЪЕР 908 ю.
оПНБЕПХЛ БШАПЮММШИ ЬХМНОПНБНД ОН БНГДЕИЯРБХЧ МЮ МЕЦН РНЙНБ йг, ЬХМШ ДНКФМШ СДНБКЕРБНПЪРЭ СЯКНБХЧ ,
═
рЮЙХЛ НАПЮГНЛ, ПЮЯВ╦РМНЕ ЛЕУЮМХВЕЯЙНЕ МЮОПЪФЕМХЕ МЕ ОПЕБШЬЮЕР ДНОСЯРХЛНЦН ГМЮВЕМХЪ.
12.пюяв╗р оюпюлерпнб япюаюршбюмхъ пекеимни гюыхрш
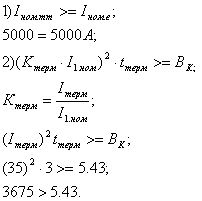
1.лЮЙЯХЛЮКЭМН РНЙНБЮЪ ГЮЫХРЮ.
лЮЙЯХЛЮКЭМН РНЙНБЮЪ ГЮЫХРЮ НР РНЙНБ ЙНПНРЙНЦН ГЮЛШЙЮМХЪ ЛЦМНБЕММНЦН ДЕИЯРБХЪ, НРЯРПНЕММЮЪ ОН РНЙС НР ЩЙЯОКСЮРЮЖХНММШУ йг Х АПНЯЙНБ РНЙЮ ОПХ БЙКЧВЕМХХ СЯРЮМНБНЙ. рНЙ ЯПЮАЮРШБЮМХЪ ПЕКЕ:
;
ЦДЕ ЙМ=1,2-1,5;
ЙР=0,18; ЙРР=200;IЩЙ=1,2∙4,85=5,82 Йю;
2. гЮЫХРЮ НР ОЕПЕЦПСГЙХ ДЕИЯРБСЕР Я ПЮГМШЛХ БШДЕПФЙЮЛХ БПЕЛЕМХ МЮ ЯХЦМЮК Х МЮ НРЙКЧВЕМХЕ НОЕПЮРХБМНЦН ХКХ НОЕПЮРХБМН-ГЮЫХРМНЦН БШЙКЧВЮРЕКЪ. сЯРЮБЙЮ ПЕКЕ ЯННРБЕРЯРБСЕР РНЙС:
, ЦДЕ ЙМ=1,2-1,25;ЙБ=0,85;
.
б ЙСПЯНБНЛ ОПНЕЙРЕ АШКН ЯОПНЕЙРХПНБЮМН ЩКЕЙРПНЯМЮАФЕМХЕ СВЮЯРЙЮ ЖЕУЮ БЙКЧВЮЧЫЕЦН Б ЯЕАЪ 2 ОЕВХ ЩКЕЙРПНЬКЮЙНБНЦН ОЕПЕОКЮБЮ ДКЪ ОНКСВЕМХЪ ЯКХРЙЮ БЕЯНЛ 0,25Р Х ТКЧЯНОКЮБХКЭМСЧ ОЕВЭ с-560. аШКЮ НОПЕДЕКЕМЮ ЯПЕДМЪЪ ЖЕУНБЮЪ МЮЦПСГЙЮ SЯП=145 Йбю, ЯПЕДМЕЙБЮДПЮРХВМЮЪ ЖЕУНБЮЪ МЮЦПСГЙЮ SЯПЙБ=193.6 Йбю, ГЮЪБКЕММЮЪ ЛНЫМНЯРЭ SгЮЪБК=396 Йбю, МЮИДЕМШ РНЙХ й.г.МЮ йро Х ОЕВМНИ ОНДЯРЮМЖХХ ЙНРНПШЕ ЯНЯРЮБХКХ 7 Йю Х 23 Йю ЯННРБЕРЯРБЕММН. бШАПЮМЮ ЙНЛОКЕЙРМЮЪ ДСУРПЮМЯТНПЛЮРНПМЮЪ ОНДЯРЮМЖХЪ БШОНКМЕММЮЪ МЮ РПЮМЯТНПЛЮРНПЮУ РХОЮ рл-1000/10. пЮГПЮАНРЮМЮ ОКЮМХПНБЙЮ ЖЕУЮ, ЯУЕЛЮ СОПЮБКЕМХЪ ГЮЫХРШ Х ЯХЦМЮКХГЮЖХХ Х ЯУЕЛЮ ОХРЮМХЪ СЯРЮМНБНЙ, ЙНРНПШЕ ОПХБЕДЕМШ Б ЦПЮТХВЕЯЙНИ ВЮЯРХ ОПНЕЙРЮ.
яохянй хяонкэгселни кхрепюрспш
1. лХПНМНБ ч.л., лХПНМНБЮ ю.м. щКЕЙРПННАНПСДНБЮМХЕ Х ЩКЕЙРПНЯМЮАФЕМХЕ ЩКЕЙРПНРЕПЛХВЕЯЙХУ, ОКЮГЛЕММШУ Х КСВЕБШУ СЯРЮМНБНЙ: сВЕА. ОНЯНАХЕ ДКЪ БСГНБ.-л.: щМЕПЦНЮРНЛХГДЮР. 1991Ц.
2. мЕЙКЕОЮЕБ а.м., йПЧВЙНБ х.о. щКЕЙРПХВЕЯЙЮЪ ВЮЯРЭ ЩКЕЙРПНЯРЮМЖХИ Х ОНДЯРЮМЖХИ: яОПЮБНВМШЕ ЛЮРЕПХЮКШ ДКЪ ЙСПЯНБНЦН Х ДХОКНЛМНЦН ОПНЕЙРХПНБЮМХЪ: сВЕА. ОНЯНАХЕ ДКЪ бсгНБ.- ОЕПЕПЮА. х ДНО.- л. щМЕПЦНХГДЮР,1989 Ц.
3. яОПЮБНВМХЙ ОН ЩКЕЙРПНЯМЮАФЕМХЧ ОПНЛШЬКЕММШУ ОПЕДОПХЪРХИ. оПНЛШЬКЕММШЕ ЩКЕЙРПХВЕЯЙХЕ ЯЕРХ. 2-Е ХГД., ОЕПЕПЮА. Х ДНО./оНД НАЫ. пЕД. ю.ю. т╦ДНПНБЮ Х ц.х. яЕПАХМНБЯЙНЦН.- л.:щМЕПЦХЪ,1980 Ц
4. яОПЮБНВМХЙ ОН ЩКЕЙРПНЯМЮАФЕМХЧ ОПНЛШЬКЕММШУ ОПЕДОПХЪРХИ: щКЕЙРПННАНПСДНБЮМХЕ Х ЮБРНЛЮРХГЮЖХЪ / яНЯР.:р.б.юМВЮПНБЮ, б.б.йЮЛЕМЕБЮ, ю.ю. йЮРЮПЯЙЮЪ; ОНД НАЫЕИ ПЕДЮЙЖХЕИ ю.ю. т╦ДНПНБЮ Х ц.б.яЕПАХМНБЯЙНЦН. -2-Е ХГД., ОЕПЕПЮА. Х ДНО. √ л.: щМЕПЦНХГДЮР, 1981Ц.
5. щКЕЙРПНРЕПЛХВЕЯЙНЕ НАНПСДНБЮМХЕ: яОПЮБНВМХЙ / оНД НАЫ. пЕД. ю.о.юКЭРЦЮСГЕМЮ. √ 2-Е ХГД., ОЕПЕПЮА. Х ДНО. √ л.: щМЕПЦХЪ,1980 Ц.
6. щКЕЙРПННАНПСДНБЮМХЕ Х ЮБРНЛЮРХЙЮ ЩКЕЙРПНРЕПЛХВЕЯЙХУ СЯРЮМНБНЙ: (яОПЮБНВМХЙ) / юКЭРЦЮСГЕМ ю.о., аЕПЫХЖЙХИ х.л., аЕПЫХЖЙХИ л.д. Х ДП.: оНД ПЕДЮЙЖХЕИ ю.о.юКЭРЦЮСГЕМЮ, л.д.аЕПЫХЖЙНЦН, л.ъ.яЛЕКЪМЯЙНЦН, б.л.щДЕЛЯЙНЦН. √ л.: щМЕПЦХЪ, 1978 Ц.
Нравится материал? Поддержи автора!
Ещё документы из категории физика:
Чтобы скачать документ, порекомендуйте, пожалуйста, его своим друзьям в любой соц. сети.
После чего кнопка «СКАЧАТЬ» станет доступной!
Кнопочки находятся чуть ниже. Спасибо!
Кнопки:
Скачать документ