Теория распространения волн







































































































ОГЛАВЛЕНИЕ
1.Формулировка задачи исследования. 2
2. Исходные положения и допущения. 2
3. Исходная система основных уравнений. 2
4. Преобразование исходной системы уравнений к расчётной форме. 3
4.1 Зависимость длины волны от скорости распространения. Механизмы возникновения волн на свободной поверхности жидкости. 3
4.2 Зависимость между групповой скоростью волн и скоростью их распространения. 8
4.3 Распространение волн на неглубокой воде. 11
5. Численный пример расчёта с использованием полученных расчётных уравнений. 13
6. Анализ полученных теоретических результатов. 14
7. Список литературы. 14
Формулировка задачи исследования.
Для любых механических волн одними из важнейших характеристик являются длина волны и скорость её распространения.
Задача данного исследования – проследить зависимости этих величин друг от друга на примере волн, возникающих на свободной поверхности жидкостей, рассмотреть процесс интерференции волн разной длины, описать механизм их появления и распространения.
2. Исходные положения и допущения.
Рассматриваемая жидкость (вода) принимается несжимаемой, невязкой и идеальной.
В исследовании волновых процессов на свободной поверхности жидкости в качестве жидкости будет рассматриваться вода. Для расчётов потребуются следующие характеристики для воды при обычных условиях:
ρ = 1 г/см3;
С = 72,5 мН/м;
Эти значения будут использованы для количественной оценки выведенных соотношений, но, тем не менее, все формулы будут представлены в общем виде для произвольной жидкости.
Свободная поверхность жидкости соприкасается с воздухом. Волны, образующиеся на свободной поверхности воды, приводят в движение соприкасающийся с ними воздух. Допустим, что массой этого воздуха можно пренебречь по сравнению с массой жидкости. Тогда давление на свободной поверхности воды будет равно атмосферному.
Также принимается, что частицы свободной поверхности воды описывают траектории, совпадающие с окружностью. Здесь имеется в виду траектория частиц в системе отсчёта, движущейся вместе с волнами с их фазовой скоростью с . Такое движение имеет место при отсутствии трения.
3. Исходная система основных уравнений.
Уже введённое допущение о несжимаемости жидкости в математической форме принимает вид:
ρ = const; (3.1)
Закон изменения импульса выражается из уравнения движения в форме Эйлера
; 5(3.2)
Уравнение сохранения энергии в общем виде:
В этом уравнении 5 слагаемых. Они имеют следующий смысл (слева направо):
1) изменение кинетической энергии;
2) работа объёмных сил;
3) работа сил давлений;
4) работа сил трения;
5) внешняя механическая работа.
Учитывая допущения параграфа 2, четвёртый член обнуляется (отсутствие трения). Уравнение принимает вид:
(3.3)
Уравнение неразрывности запишется в виде:
,, (3.4)
где δσ – элемент поперечного сечение трубки тока в каком-либо месте, Vn - средняя скорость в
этом сечении, ρ=const - плотность жидкости (жидкость несжимаема – смотри §2).
Уравнения 3.1-3.4 являются исходными для проведения исследования. На них опираются все дальнейшие доказательства и выводы.
4. Преобразование исходной системы уравнений к расчётной форме.
4.1 Зависимость длины волны от скорости распространения. Механизмы возникновения волн на свободной поверхности жидкости.
Как было принято в пункте 2, движение частиц свободной поверхности в системе отсчёта, двигающейся с фазовой скоростью волны (с абсолютной скоростью движения гребней волн), происходит по траекториям, близким к окружностям. В указанной системе отсчёта движение является установившимся (см. рис. 4.1).
рис 4.1
ω1 = c - ;
а во впадинах волн
ω2 = c + ;
Разность высот между наивысшим (hв) и наинизшим (hн) положениями точек свободной поверхности равна h = hв - hн = 2r.
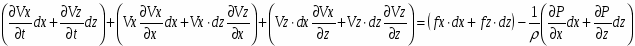
После ряда допущений в уравнении 3.2 и интегрирования уравнения движения вдоль линии тока получается уравнение сохранения движения в одной из форм уравнения Бернулли. Далее представлен пошаговый вывод с постепенным введением допущений:
Уравнение 3.2 в проекциях на оси координат (при допущении, что среда идеальная и невязкая):
, ;
Этих двух уравнений достаточно для последующего вывода, в них проигнорирована одна из координат y – это допустимо, так как разговор идёт о двухмерном движении. Далее первое уравнение домножается на dx, второе домножается на dz и оба уравнения складываются:
Далее записывается уравнение линии тока (вторым допущением является то, что движение происходит только вдоль линии тока): , откуда . Это допущение позволяет группу слагаемых из левой части суммарного уравнения представить в виде
.
Действительно, .
Далее поле внешних сил принимается потенциальным (вообще говоря, в нашем случае это поле сил тяжести). Это означает, что существует такая силовая функция U, для которой и .
Тогда (первая скобка в правой части суммарного уравнения).
Последнее слагаемое суммарного уравнения есть не что иное, как - полный дифференциал давления P, делённый на плотность. Самая первая скобка суммарного уравнения в векторном виде запишется как . Теперь, когда все слагаемые рассмотрены, можно переписать суммарное уравнение в упрощённом виде: . Дальнейшие упрощения приводят к обнулению первого члена этого уравнения, т. к. для установившегося течения . Теперь, ещё раз вспомнив о потенциальности поля сил тяжести, можно записать , .
Это значение подставляется в полученное дифференциальное уравнение, после чего последнее интегрируется вдоль линии тока:
,
.
Жидкость несжимаема (ρ=const), поэтому .
Получилось уравнение += +;
Применительно к рассматриваемой задаче , здесь давления сократились, т. к. согласно допущению, принятому в параграфе 2, во всех точках свободной поверхности давление равно атмосферному.
ω22 – ω12 = hв – hн = 2gh = 4gr,
после подстановки вместо ω2 и ω1 их значений, получается:
(c + )2 - (c - )2 = 4gr,
. (4.1)
Радиус r в эту формулу не вошёл, следовательно, фазовая скорость волн (скорость распространения волн) не зависит от высоты волн. Гребень волны продвигается за время Т на расстояние λ, называемое длиной волны, следовательно,
.
Подставим это значение в формулу 4.1:
. (4.2)
Таким образом, для волн на поверхности воды скорость их распространения, в отличие от, например, звуковых волн, сильно зависит от длины волны. Длинные волны распространяются быстрее, чем короткие. Волны с разной длиной могут налагаться друг на друга без заметного взаимного возмущения. При этом короткие волны как бы приподнимаются длинными волнами, затем длинные волны уходят вперёд, а короткие остаются позади них.
рис 4.2
Из расположения линий тока видно (см. рис. 4.2 - здесь система отсчёта неподвижна относительно покоящейся воды), что скорость движения воды быстро убывает с увеличением глубины, а именно, пропорционально уменьшению величины , следовательно, на глубине, равной длине волны, скорость составляет только
,
то есть более чем в 500 раз меньше, чем скорость на поверхности.
Формула 4.2 справедлива только для низких волн, причём независимо от их высоты. Для высоких волн скорость с в действительности несколько больше того значения, которое даёт формула 4.2. Кроме того, при высоких волнах траектория частиц воды, расположенных на свободной поверхности, получаются незамкнутыми: вода на гребне волны уходит вперёд на большее расстояние, чем на то, на которое она возвращается назад во впадине волны (см. правую часть рис. 4.2). Следовательно, при высоких волнах происходит перенос воды вперёд.
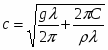
Также формула 4.2 справедлива лишь для длинных волн. В общем случае кроме силы тяжести на волны действует также поверхностное натяжение. Они стремится сгладить волновую поверхность, и поэтому скорость распространения волн увеличивается. Теория показывает, что в общем случае скорость распространения волн равна
, (4.3)
с, см/с
Справа представлен график распределения скоростей волн в зависимости от длины волны для воды.
с1 = 23,3 см/с λ1 = 1, 72 см λ, см
=0;
- длина волны, при которой скорость волны минимальна. Это значение можно подставить в 4.3:
.
Получилось выражение для минимально возможной скорости распространения волны.
рис. 4.3
капиллярным волнам относится левая ветвь, к гравитационным – правая. а
Волны могут возникать и на поверхности соприкосновения двух жидкостей различной плотности, расположенных одна над другой. Если обе жидкости неподвижны и плотности их равны ρ1 и ρ2, со фазовая скорость волн выражается формулой
.
Возникновение устойчивых волн в таком случае возможно только если их длина достаточно велика. Короткие волны неустойчивы, что неизбежно приводит к перемешиванию обеих жидкостей в промежуточной зоне.
Пусть верхняя жидкость течёт со скоростью ω1 относительно нижней. Возникшие волны распространяются со скоростью, равной среднему значению первоначальных скоростей над и под поверхностью раздела. На рисунке 4.3 выбрана такая система отсчёта, которая движется с этой средней скоростью. Следовательно в этой системе отсчёта гребни и впадины волн остаются неподвижными, верхний поток движется вправо, а нижний – влево.
На линии тока выделяется частица жидкости. Для этой точечной частицы нормальное ускорение равно , где ω – скорость течения на линии тока, r – радиус кривизны в рассматриваемой точке (может быть как положительным в месте выпуклости линии тока, так и отрицательным в месте вогнутости). Уравнение движения в проекции на направление r даёт:
, где ∂s – элемент дуги, p – давление в рассматриваемой точке, ρ – плотность жидкости.
Получается, что знак ∂p зависит только от знака радиуса кривизны, т. е. давление растёт по мере приближения к выпуклости линии тока и понижается у вогнутости. На рисунке 4.3 области повышенного давления обозначены плюсами, пониженного – минусами. Очевидно, что такое течение не может быть устойчивым. Жидкость из пиков волн устремится внутрь соседней среды, и обе жидкости перемешаются с образованием вихрей.
При увеличении скорости граница между неустойчивостью и устойчивостью перемещается в сторону волн с большей длиной волны, поэтому на поверхности соприкосновения двух жидкостей различной плотности могут устойчиво существовать только достаточно длинные волны.
4.2 Зависимость между групповой скоростью волн и скоростью их распространения.
Скорость, обозначаемая ранее буквой с и называемая скоростью распространения волны, - есть ни что иное, как фазовая скорость (т.е. скорость перемещения гребней волн). От неё следует отличать скорость распространения группы волн, называемую групповой скоростью (далее она будет иметь обозначение с*).
Понять различие между ними проще всего на примере картины, возникающей в результате наложения двух волн, имеющих разные амплитуды, но немного отличающиеся своей длиной. Пусть имеется синусоидальная волна
y = A sin (μx - νt),
где А есть амплитуда, t – время, а μ и ν – некоторые коэффициенты.
При изменении x на или t на синус принимает прежнее значение (т. к. sin (φ+2π) = sin (φ) по формулам приведения. Следовательно, величина
- это длина волны, (4.4)
а величина - период колебаний. Если (4.5)
μx – νt = const, т. е. если x = const + ,
то аргумент синуса не зависит от времени, поэтому не зависит от времени и ордината y. Это означает, что вся волна, не изменяя своей формы, перемещается вправо со скоростью . (4.6)
Пусть на эту волну накладывается вторая волна
y′ = A sin (μ′x - ν′t),
т. е. волна с той же амплитудой А, но с несколько иными значениями μ и ν. Результирующим движением будет
y + y′ = A[sin (μx - νt)+ sin (μ′x - ν′t)]. (4.7)
В тех точках оси x, в которых фазы обоих колебаний совпадают, амплитуда равна 2A, в тех же точках, в которых фазы обоих колебаний противоположны, амплитуда равна нулю. Такое явление называется биением. После применения к 4.7 правила сложения синусов, получается выражение
y + y′ = 2A cos sin .
В этом равенстве член sin представляет собой волну, для которой коэффициенты при x и t равны средним значениям от μ и μ′ и соответственно от ν и ν′.
Множитель 2A cos, в свою очередь, можно рассматривать как переменную амплитуду (при малых различиях параметров этот множитель изменяется очень медленно).
Группа волн кончается в той точке, где косинус делается равным нулю. Скорость перемещения этой точки (она и называется групповой скоростью) на основании выведенного соотношения 4.6 равна
. (4.8)
Для длинных групп, т. е. для медленных биений (см. пункт 4.1 – зависимость длины волны от скорости), с достаточной точностью можно принять, что
.
Соотношения между групповой скоростью и скоростью распространения волны определяются следующим образом:
для гравитационных волн:
Из формулы 4.1 : , но, согласно равенству 4.5, , следовательно .
С другой стороны, после подстановки в формулу 4.2 значения λ из 4.4, получается:
, поэтому .
Дифференцирование по μ с учётом равенства 4.8 даёт результат:
.
для капиллярных волн:
Из формулы 4.5 : , но, согласно равенству 4.4, .
Дифференцирование этого выражения по μ с учётом 4.8 и выражения скорости для предельного случая очень короткой капиллярной волны (см. формулу 4.3 и пункт 4.1) даёт результат:
.
Таким образом, группы гравитационных волн распространяются со скоростью с*, равной половине фазовой скорости, иными словами, гребни в группе волн перемещаются со скоростью, в два раза большей, чем сама группа волн; на заднем конце группы всё время возникают новые волны, а на переднем конце группы они исчезают. Это явление очень легко наблюдать на волнах, вызванных падением камня в неподвижную воду.
Групповая скорость капиллярных волн больше фазовой скорости, а именно, в предельном случае очень малых волн, в 1,5 раза. Следовательно, если очаг возмущения движется с постоянной скоростью, то группы волн его опережают.
4.3 Распространение волн на неглубокой воде.
Формулы, выведенные выше, пригодны только для волн на глубокой воде. Они ещё достаточно точны, если глубина воды равна половине длины волны. При меньшей глубине частицы воды на поверхности волны описывают не круговые траектории, а эллиптические, и выведенные соотношения неверны и принимают на самом деле более сложный вид. Однако для волн на очень мелкой воде, а также для очень длинных волн на средней воде зависимость между длиной и скоростью распространения волн принимает опять более простой вид. В обоих этих случаях вертикальные перемещения частиц воды на свободной поверхности весьма незначительны по сравнению с горизонтальными перемещениями. Поэтому опять можно считать, что волны имеют приблизительно синусоидальную форму. Так как траектории частиц представляют собой очень сплющенные эллипсы, то влиянием вертикального ускорения на распределение давления можно пренебречь. Тогда на каждой вертикали давление будет изменяться по статическому закону.
Пусть на поверхности воды над плоским дном распространяется со скоростью с справа налево «вал» воды шириной b, повышающий уровень воды от h1 до h2 (рисунок 4.4). До прихода вала вода находилась в покое. Скорость её движения после повышения уровня ω. Эта скорость не совпадает со скоростью вала, она необходима для того, чтобы вызвать боковое перемещение объёма воды в переходной зоне шириной b вправо и тем самым поднять уровень воды.
рис 4.4 п
Наклон вала по всей его ширине принимается постоянным и равным . При условии, что скорость ω достаточно мала, чтобы ей можно было пренебречь по сравнению со скоростью с распространения вала, вертикальная скорость воды в области вала будет равна (рисунок 4.5)
рис 4.5
Условие неразрывности 3.4, применённое к единичному слою воды (в направлении, перпендикулярном к плоскости рисунка 4.4), имеет вид
ω1l1 = ω2l2 , (интеграл исчез из-за линейности рассматриваемых площадок),
здесь ω1 и ω2 – средние скорости в поперечных сечениях l1 и l2 потока соответственно. l1 и l2 – линейные величины (длины).
Это уравнение, применённое к данному случаю, приводит к соотношению
h2ω = bV , или h2ω = c (h2-h1). (4.9)
Из 4.9 видно, что связь между скоростями ω и c не зависит от ширины вала.
Уравнение 4.9 остаётся верным и для вала непрямолинейного профиля (при условии малости угла α). Это легко показать, разбивая такой вал на ряд узких валов с прямолинейными профилями и складывая уравнения неразрывности, составленные для каждого отдельного вала:
, откуда при условии, что разностью h2 - h1 можно пренебречь и вместо h2i в каждом случае подставить h2, получается . Это условие справедливо при уже принятом допущении о малости скорости ω (смотри 4.9).
К кинематическому соотношению 4.9 следует присоединить динамическое соотношение, выведенное из следующих соображений:
Объём воды шириной b в области вала находится в ускоренном движении, так как частицы, составляющие этот объём, начинают своё движение на правом краю с нулевой скоростью , а на левом краю имеют скорости ω (рисунок 4.4). Из области внутри вала берётся произвольная частица воды. Время, за которое над этой частицей проходит вал, равно
;
поэтому ускорение частицы
. (4.10)
с m=ρbhm
Далее ширина вала (его линейный размер в плоскости, перпендикулярной рисунку) принимается равной единице (рисунок 4.6). Это позволяет записать выражение для массы объёма воды, находящегося в области вала, следующим образом :
h1
рис. 4.6
Следовательно, полная сила давления, действующая на рассматриваемый объём воды в горизонтальном направлении, равна . Второй закон Ньютона (основное уравнение динамики) с учётом 4.10 и 4.11 запишется в виде:
, откуда . (4.12)
Таким образом, ширина вала выпала из уравнения. Аналогично тому, как это было сделано для уравнения 4.9, доказывается, что уравнение 4.12 применимо также для вала с другим профилем при условии, что разность h2 - h1 мала по сравнению с самими h2 и h1.
Итак, имеется система уравнений 4.9 и 4.12. Далее в левой части уравнения 4.9 h2 заменяется на hm (что при низком вале и как следствие малой разнице h2 - h1 вполне допустимо) и уравнение 4.12 делится на уравнение 4.9:
, после сокращений получается
.
Чередование валов с симметричными углами наклонов (т. н. положительных и отрицательных валоы) приводит к образованию волн. Скорость распространения таких волн не зависит от их формы.
Длинные волны на мелкой воде распространяются со скоростью , называемой критической скоростью.
Если на воде следуют друг за другом несколько низких валов, из которых каждый несколько повышает уровень воды, то скорость каждого последующего вала несколько больше скорости предыдущего вала, так как последний уже вызвал некоторое увеличение глубины h. Кроме того, каждый последующий вал распространяется уже не в неподвижной воде, а в воде, уже движущейся в направлении движения вала со скоростью ω. Всё это приводит к тому, что последующие валы догоняют предыдущие, в результате чего возникает крутой вал конечной высоты.
5. Численный пример расчёта с использованием полученных расчётных уравнений.
В параграфе 4.1 уравнение 4.3 описывает зависимость между фазовой скоростью волны и длиной волны. Пользуясь этим уравнением можно численно определить минимальную скорость волны на свободной поверхности воды и соответствующую этой волне длину волны .
Численные данные для воды таковы:
см/с;
см.
То есть на воде невозможно образование волн с фазовой скоростью меньше 23,1 см/с.
6. Анализ полученных теоретических результатов.
Численные значения, выведенные в параграфе 5, легко проверить на практике. Так около лески удочки, опущенной в реку, скорость течения которой больше 23,3 см/с, образуются вверх по течению капиллярные волны (т. н. рябь), а вниз по течению – гравитационные волны, причём последние имеют вид как на рисунке ниже, а первые достаточно заметно расходятся вверх по течению в виде дуг окружностей. При скоростях движения очага возмущения, меньших 23,3 см/с такая картина не образуется.
гравитационные
волны
скорость течения
Выведенные численые значения также можно проследить и в одном из механизмов образования волн. Так волны образуются при движении воздуха над поверхностью воды. Вследствие трения распределение давления на поверхности волны делается несимметричным, и поэтому ветер, если его скорость больше фазовой скорости волн (в пункте 5 показано, что минимальная фазовая скорость с = 23,1 см/с) , совершает на гребне каждой волны работу. Для возникновения лёгкого волнения на поверхности волны достаточно, в полном соответствии с наблюдениями, ветра со скоростью, немного превышающей 23,1 см/с.
7. Список литературы.
«Гидроаэромеханика», Л. Прандтль, НИЦ «Регулярная и хаотическая динамика», Ижевск, 2000 г., 576 стр.;
«Механика жидкости и газа», Л. Г. Лойцянский, Изд. «Наука», Москва, 1987 г., 840 стр.;
«Механика жидкости и газа (гидравлика)», А. Д. Гиргидов, Изд. «СПбГПУ», С-Петербург, 2002 г., 544 стр.
1
Нравится материал? Поддержи автора!
Ещё документы из категории физика:
Чтобы скачать документ, порекомендуйте, пожалуйста, его своим друзьям в любой соц. сети.
После чего кнопка «СКАЧАТЬ» станет доступной!
Кнопочки находятся чуть ниже. Спасибо!
Кнопки:
Скачать документ