Тепловидение



















Санкт-Петербургский Государственный
Морской Технический Университет
РЕФЕРАТ
Дисциплина: физика
Тема: тепловидение
Руководитель: Скидан В. В.
Исполнитель: ст. гр. 12ТЭ1
Глебов Д. Ю.
Санкт-Петербург
2001
ОГЛАВЛЕНИЕ
Тепловидение, как область применения законов теплового излучения ст. 3
Основные понятия и определения теории излучения. Закон Кирхгофа ст. 4
Классические законы теплового излучения ст. 6
Понятие о квантах. Формула Планка и вывод из нее классических законов как частных случаев ст. 8
Устройство тепловизоров ст. 10
Области применения методов тепловидения ст. 13
Применение тепловидения в медицине ст. 15
Некоторые применения тепловизионных устройств в промышленности ст. 17
1. Тепловидение, как область применения законов теплового излучения
Тепловидение можно назвать универсальным способом получения различной информации об окружающем нас мире. Как известно, тепловое излучение имеет любое тело, температура которого отлична от абсолютного нуля. Кроме того, подавляющее большинство процессов преобразования энергии (а к ним относятся все известные процессы) протекает с выделением или поглощением тепла. Так как средняя температура на Земле не высока, большинство процессов проходят с малым удельным выделением тепла и при небольших температурах. Соответственно и максимум энергии излучения таких процессов попадает в инфракрасный микроволновый диапазон. Инфракрасное излучение невидимо для человеческого глаза, но может быть обнаружено различными приемниками теплового излучения и тем или иным способом преобразовано в видимое изображение
Тепловидение – это научно-техническое направление, изучающее физические основы, методы и приборы (тепловизоры), обеспечивающие возможность наблюдения слабонагретых объектов.
2. Основные понятия и определения теории излучения. Закон Кирхгофа
Тепловым излучением называется электромагнитное излучение, испускаемое телом за счет его внутренней энергии.
Излучение характеризуется длиной волны λ и частотой ω. Эти величины связаны: λ=2πс/ω.
При изучении законов теплового излучения используют модельную систему, в которой распределение энергии между телом и излучением остается неизменным для каждой длины волны (или частоты). Такое состояние системы «тело – излучение» называется равновесным.
Энергетической светимостью тела R называется поток энергии, испускаемый единицей поверхности тела по всем направлениям.
Введем такие характеристики излучения, как
r (ω,Т) – испускательная способность тела,
а (ω,Т) – поглощательная способность тела.
В 1860 г. Густав Кирхгоф, один из первых исследователей теплового излучения, сумел доказать, что отношение испускательной и поглощательной способностей тела не зависит от его природы, а является для всех тел одной и той же (универсальной) функцией частоты и температуры.
r/а = f (ω,Т)
или (r/а)1 = (r/а)2 = (r/а)n = f (ω,Т)
Одно из основных понятий теплового излучения – абсолютно черное тело. Т.е. тело, которое поглощает всю, падающую на него энергию, ни сколько энергии не отражает, а только излучает. Теоретическое объяснение законов излучения абсолютно черного тела имело огромное значение в истории физики – именно оно привело к понятию о квантах энергии.
Модель абсолютно черного тела
Абсолютно черных тел в природе не существует. Есть вещества (например, сажа или платиновая чернь), поглощательная способность которых близка к единице, но только в некоторых частотах. Однако можно создать устройство, сколь угодно близкое по своим свойствам к абсолютно черному телу. Это почти замкнутая полость с маленьким отверстием. Излучение, проникшее внутрь через отверстие, прежде чем выйти обратно, претерпевает многократные отражения. При каждом отражении часть энергии поглощается, в результате чего почти все излучение любой частоты поглощается такой полостью.
(λ,Т), Вт/м3
λ,м
Т1 > Т2 > Т3
Экспериментальные кривые зависимости испускательной способности абсолютно черного тела от длины волны и температуры.
Из рисунка следует, что энергетическая светимость абсолютно черного тела сильно возрастает с температурой.максимум испускательной способности с увеличением температуры сдвигается в сторону более коротких волн.
Т.о., по закону Кирхгофа функция частоты и температуры f(ω,Т) есть не что иное, как испускательная способность абсолютно черного тела (r ч.т.).
r/а = f(ω,Т) а ч.т.≡1 r ч.т.= f(ω,Т)
3. Классические законы теплового излучения
Исследование равновесного теплового излучения и поиск универсальной функции f(ω,Т) выступил на первый план в работах физиков конца XIX века.
К этим исследованиям относятся работы Стефана и Больцмана, Рэлея и Джинса, Вина (классическая теория излучения) и Планка (квантовая).
В 1879 г. Йозеф Стефан, основываясь на экспериментах, решил, что энергетическая светимость любого тела пропорциональна четвертой степени температуры. Однако через несколько лет Больцман доказал, что это утверждение справедливо только для абсолютно черных тел. Найденная ими зависимость получила названия закона Стефана-Больцмана.
R ч.т.= ∫ f(ω,T)·dω = σ·Т4 ,где σ экспериментально найденная константа.
σ = 5,670·10-8 (Вт/м²·К)
Вилли Вин нашел зависимость температуры абсолютно черного тела от максимума спектра излучения (λmax). Оказалось, что с повышением температуры возрастает общая энергия излучения, а максимум спектра излучения смещается в область меньших длин волн (высоких частот).
Т·λ max= const
(const = 2,898 10 м·К – экспериментальное значение)
Этот закон называют законом смещения Вина.
Вин также занимался поиском функции спектрального распределения f(ω,Т) и нашел, что она должна иметь следующий вид: f(ω,T) = ω³F(ω/Т), где F – некоторая функция отношения частоты к температуре. Как будет показано ниже, эта формула справедлива только для больших частот.
Введем понятие плотности равновесного теплового излучения (u), т.е. энергии, испускаемой в данном интервале частот (от ω до ω+dω).
d u (ω,T)= f(ω,T) ·d ω
Рэлей и Джинс сделали попытку определить зависимость плотности излучения u от ω и Т, исходя из теоремы классической статистики о равнораспределении энергии по степеням свободы. Они предположили, что на каждое электромагнитное колебание приходится в среднем энергия, равная kТ: kТ/2 на электрическую и kТ/2 на магнитную энергию волны.
Они получили:
Эта формула удовлетворительно соглашается с экспериментом только в области малых частот (инфракрасном спектре) и резко расходится в ультрафиолетовом спектре. Из их формулы следовало, что вследствие теплообмена каждое тело должно отдать всю свою энергию излучению и охладиться до абсолютного нуля. Этот вывод был назван ультрафиолетовой катастрофой.
Кривые зависимости испускательной способности φ(λ) абсолютно черного тела от длины волны. Сплошная кривая получена экспериментально, штриховая кривая построена по формуле Рэлея-Джинса. Из графика видно, что при λ→0 (ω→∞) r(ω,T)→∞.
С точки зрения классической теории излучения вывод формулы Рэлея-Джинса безупречен. Поэтому расхождение этой формулы с опытом указывало на существование каких-то закономерностей, несовместимых с представлениями классической физики.
4. Понятие о квантах. Формула Планка и вывод из нее классических законов как частных случаев
19 октября 1900 года на заседании физического общества в Берлине Макс Планк предложил свою формулу, которая, как он считал, помогала устранить вышеописанные несоответствия.
Тогда он нашел ее полуэмпирическим путем, и только в процессе ее теоретического обоснования обнаружил, что это уравнение справедливо только при допущении, что энергия может излучаться и поглощаться не непрерывно, а лишь в известных неделимых порциях – квантах (квант энергии – «ε»; ε = ћω, где ћ – постоянная Планка; ћ =1,0546 ·10-3 Дж·с).
В отличие от классического осциллятора, энергия которого равна КТ, энергия квантового равна ћω/exp(ћω/КТ) – 1.
Итак, Планку удалось найти универсальную f(ω,Т), в точности согласующуюся с опытами:
В качестве доказательства того, что формула Планка является более общей, выведем из нее некоторые классические законы, как частные случаи.
1. Выведем закон Стефана-Больцмана.
ћ/4π²с² - константа. Обозначим ее А.
Тогда для энергетической светимости черного тела получаем:
R ==
(Энергетическая светимость абсолютно черного тела – это интеграл, т.е. предел суммы, по всем частотам).
Введем вместо ω безразмерную величину x, равную ћω/kТ.
Тогда ω = kТx / ћ
dω = kТdx/ћ
ω³ =(kТx)³/ћ³
При подставлении получаем: R =
Так как интеграл – это предел суммы (т.е. число), а Аk4/ћ4 - константа, то R~Т4, или R = σТ4 – закон который Стефан и Больцман нашли экспериментально в 1884 г. (Из таблицы определенных интегралов известно значение интеграла в последнем выражении. Оно равно π4/15≈6,5).
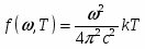
2. При низких частотах и высоких температурах формула Планка переходит в формулу Рэлея-Джинса, которая, как уже отмечалось, согласуется с опытами только в инфракрасном спектре. При малых частотах(ω) и больших температурах (Т) ћω«kТ и ћω/kТ«1.
Обозначим ћω/kТ через x.
ех при разложении в ряд дает:
ех = 1+x+x²/2+…≈1+x
Тогда ех -1 = 1+x-1 = х (с точностью до величин первого порядка)
Подставим в формулу Планка с раскрытием х:
– формула Рэлея-Джинса.
3. При высоких частотах и низких температурах формула Планка переходит в закон Вина.
Так как ћω/kТ » 1, то ећω/kТ –1 ≈ ећω/kТ .
Пусть ћ/4π²с²=А, тогда
f (ω,Т) = А·ω³·е-ћω/kТ = ω³·F(ω/Т) – закон Вина.
Таким образом, формула Планка дает исчерпывающее описание равновесного теплового излучения.
5. Устройство тепловизоров
Инфракрасное излучение является низкоэнергетическим и для глаза человека невидимо, поэтому для его изучения созданы специальные приборы - тепловизоры (термографы), позволяющие улавливать это излучение, измерять его и превращать его в видимую для глаза картину. Тепловизоры относятся к оптико-электронным приборам пассивного типа. В них невидимое глазом человека излучение переходит в электрический сигнал, который подвергается усилению и автоматической обработке, а затем преобразуется в видимое изображение теплового поля объекта для его визуальной и количественной оценки.
Диапазон инфракрасного излучения делится на несколько фрагментов :
Длина волн (мкм)
Название
0.76-1.5
Ближнее инфракрасное излучение
1.5-5.5
Коротковолновое инфракрасное излучение
5.6-25
Длинноволновое инфракрасное излучение
25-100
Дальнее инфракрасное излучение
Первые тепловизионные системы были созданы в конце 30-х гг. 20 в. и частично применялись в период 2-й мировой войны для обнаружения военных и промышленных объектов.
Общий принцип устройства всех тепловизоров следующий:
Инфракрасное излучение концентрируется системой специальных линз и попадает на фотоприемник, который избирательно чувствителен к определенной длине волны инфракрасного спектра. Попадаемое на него излучение приводит к изменению электрических свойств фотоприемника, что регистрируется и усиливается электронной схемой. Полученный сигнал подвергается цифровой обработке и это значение передается на блок отображения информации. Блок отображения информации имеет цветовую палитру, в которой каждому значению сигнала присваивается определенный цвет. После этого на экране монитора появляется точка, цвет которой соответствует численному значению инфракрасного излучения, которое попало на фотоприемник. Сканирующая система (зеркала или полупроводниковая матрица) проводит последовательный обход всех точек в пределах поля видимости прибора и в результате мы получаем видимую картину инфракрасного излучения объекта. Чувствительность детектора к тепловому излучению тем выше, чем ниже его собственная температура, поэтому его помещают в специальное устройство – «холодильник». Наиболее примитивный, неудобный и самый распространеннный вид охлаждения с помощью жидкого азота. Это, конечно, позволяет охладить детектор до низких температур,
но носить с собой сосуды дюара очень неудобно. Другой вид – посредством элементов Пельтье (полупроводники, дающие перепад температур (тепловой насос) при пропускании через них тока). Есть еще один вид "неохлаждаемых тепловизоров", работающих по другому принципу, но характеристики их пока заметно хуже, зато они намного мобильнее.
Таким образом, на экране тепловизора мы видим значения мощности инфракрасного излучения в каждой точке поля зрения тепловизора, отображенные согласно заданной цветовой палитре (черно-белой или цветной).
Высокая чувствительность тепловизоров реализуется благодаря наличию высокочувствительных полупроводниковых приемников излучения из антимонида индия InSb, ртуть-кадмий-теллура Hg-Cd-Te и др.
6. Области применения методов тепловидения
Тепловидение нашло применение во многих сферах человеческой деятельности. Например, тепловизоры применяются в целях военной разведки и охраны объектов. В ручной тепловизионный ночной визир человека можно увидеть в полной темноте на расстоянии 300 м. Объекты обычной военной техники видны на расстоянии 2-3 км. На сегодняшний день созданы видеокамеры данного микроволнового диапазона с выводом изображения на экран компьютера, чувствительностью (разрешаемой способностью разницы температур отдельных участков поверхности) в несколько сотых градуса. Это значит, что если вы при входе в свою парадную взялись за ручку двери, чтобы открыть ее, то ваш тепловой отпечаток будет виден на этой ручке целых полчаса. Даже дома при выключенном свете вы будете светить как маяк даже через занавеску. В метро можно спокойно отличить людей, которые только что вошли. А наличие насморка у человека и занимался ли он чем-нибудь интересным до этого можно наблюдать на расстоянии в несколько сотен метров. О распознавании недавно выключенной машины или о том, кто и когда сидел на данном кресле даже нечего и говорить.
Перспективно использование тепловизоров для нахождения дефектов в различных установках. Естественно, когда в какой-нибудь установке или узле наблюдается повышение или понижение тепловыделения при каком-нибудь процессе в местах, где этого не должно быть, или тепловыделение (теплопоглощение) в подобных узлах сильно различается, то неполадку можно своевременно исправить. Иногда некоторые дефекты можно заметить только с помощью тепловизора. Например, на мостах и тяжелых опорных конструкциях при старении металла или нерасчетных деформациях начинает выделяться больше энергии, чем должно. Появляется возможность диагностировать состояние объекта, не нарушая его целостности, хотя могут возникнуть трудности, связанные с не очень высокой точностью, вызванной промежуточными конструкциями.
Таким образом, тепловизор можно использовать как оперативный и, пожалуй, единственный контроллер состояния безопасности многих объектов и предотвращать катастрофы. Проверка функционирования дымоходов, вентиляции, процессов тепло- и массообмена, атмосферных явлений становиться на порядки удобнее, проще, информативнее.
Широкое применение тепловидение нашло в медицине.
7. Применение тепловидения в медицине
В современной медицине тепловизионное обследование представляет мощный диагностический метод, позволяющий выявлять такие патологии, которые плохо поддаются контролю другими способами. Тепловизионное обследование служит для диагностики на ранних стадиях (до рентгенологических проявлений, а в некоторых случаях задолго до появления жалоб больного) следующих заболеваний: воспаление и опухоли молочных желез, органов гинекологической сферы, кожи, лимфоузлов, ЛОР-заболевания, поражения нервов и сосудов конечностей, варикозное расширение вен; воспалительные заболевания желудочно-кишечного тракта, печени, почек; остеохондроз и опухоли позвоночника. Как абсолютно безвредный прибор тепловизор эффективно применяется в акушерстве и педиатрии.
У здорового человека распределение температур симметрично относительно средней линии тела. Нарушение этой симметрии и служит основным критерием тепловизионной диагностики заболеваний. По участкам тела с аномально высокой или низкой температурой можно распознать симптомы более 150 болезней на самых ранних стадиях их возникновения.
Термография — метод функциональной диагностики, основанный на регистрации инфракрасного излучения человеческого тела, пропорционального его температуре. Распределение и интенсивность теплового излучения в норме определяются особенностью физиологических процессов, происходящих в организме, в частности как в поверхностных, так и в глубоких органах. Различные патологические состояния характеризуются термоасимметрией и наличием температурного градиента между зоной повышенного или пониженного излучения и симметричным участком тела, что отражается на термографической картине. Этот факт имеет немаловажное диагностическое и прогностическое значение, о чем свидетельствуют многочисленные клинические исследования.
Выделяют два основных вида термографии:
1.Контактная холестерическая термография.
2.Телетермография.
Телетермография основана на преобразовании инфракрасного излучения тела человека в электрический сигнал, который визуализируется на экране тепловизора.
Контактная холестерическая термография опирается на оптические свойства холестерических жидких кристаллов, которые проявляются изменением окраски в радужные цвета при нанесении их на термоизлучающие поверхности. Наиболее холодным участкам соответствует красный цвет, наиболее горячим—синий. Нанесенные на кожу композиции жидких кристаллов, обладая термочувствительностью в пределах 0.001 С, реагируют на тепловой поток путем перестройки молекулярной структуры.
После рассмотрения различных методов тепловидения встает вопрос о способах интерпретации термографического изображения. Существуют визуальный и количественный способы оценки тепловизионной картины.
Визуальная (качественная) оценка термографии позволяет определить расположение, размеры, форму и структуру очагов повышенного излучения, а также ориентировочно оценивать величину инфракрасной радиации. Однако при визуальной оценке невозможно точное измерение температуры. Кроме того, сам подъем кажущейся температуры в термографе оказывается зависимым от скорости развертки и величины поля. Затруднения для клинической оценки результатов термографии заключаются в том, что подъем температуры на небольшом по площади участке оказывается малозаметным. В результате небольшой по размерам патологический очаг может не обнаруживаться.
Радиометрический подход весьма перспективен. Он предполагает использование самой современной техники и может найти применение для проведения массового профилактического обследования, получения количественной информации о патологических процессах в исследуемых участках, а также для оценки эффективности термографии.
8. Некоторые применения тепловизионных устройств в промышленности
Энергетика
состояние дымовых труб и газоходов
состояние статоров генераторов
проверка маслонаполненного оборудования
теплоизоляция турбин, паро- и трубопроводов
обнаружение мест присосов холодного воздуха
контроль состояния теплотрасс
Нефтегазовый комплекс
проверка состояния электрооборудования
контроль технологических линий
поиск энергопотерь
обнаружение утечек из газопроводов
предотвращение пожаров
Энергосбережение
диагностика ограждающих конструкций
обнаружение теплопотерь во внутренних помещениях и снаружи зданий и сооружений
определение теплоизоляционных свойств материалов
Химическая промышленность
проверка герметичности и изоляции емкостей для хранения различных жидкостей и газов
Машиностроение
контроль подшипников, зубчатых передач, валов, муфт и т. д.
обнаружение несосности оборудования
контроль температурных режимов сварки
термоэластический анализ напряжений
Микроэлектроника
контроль качества сборки печатных плат
Автомобильная промышленность
проектирование климатических систем автомобиля
контроль за ультразвуковой сваркой амортизаторов
разработка и проверка дисковых тормозов
контроль теплообменных процессов в радиаторах, двигателях и выхлопных системах
СПИСОК ЛИТЕРАТУРЫ
«Большая советская энциклопедия» т. 25.-М., Советская энциклопедия, 1976
Госсорг Ж. «Инфракрасная термография. Основы, техника, применение».-М., Мир, 1988
Савельев И. В. «Курс общей физики» т. 3. - М., Наука, 1989
«Справочник по инфракрасной технике» т. 1.-М., Мир, 1995
Нравится материал? Поддержи автора!
Ещё документы из категории физика:
Чтобы скачать документ, порекомендуйте, пожалуйста, его своим друзьям в любой соц. сети.
После чего кнопка «СКАЧАТЬ» станет доступной!
Кнопочки находятся чуть ниже. Спасибо!
Кнопки:
Скачать документ