Трехфазный цепи








































3.11 Трехфазные цепи.
Трехфазные цепи являются частным случаем многофазных систем, под которыми понимают совокупность нескольких нагрузок и источников питания, имеющих одинаковую частоту и смещенных по фазе на некоторый угол друг относительно друга. Каждая пара источник-нагрузка может рассматриваться как отдельная цепь и называется фазой системы.
Если отдельные фазы системы не соединены между собой электрически (рис. 1 а)), то такую систему называют несвязанной. Несвязанная система не обладает никакими особыми свойствами, и если между фазами отсутствует и магнитная связь, то такая совокупность цепей вообще не может рассматриваться как многофазная.
Соединение фаз системы между собой (рис. 1б)) придает ей особые качества, благодаря которым многофазные системы ( в особенности трехфазные) получили исключительное распространение в области передачи и преобразования электрической энергии. Одним из очевидных преимуществ связанной системы (рис. 1) является сокращение с шести до четырех числа проводников, соединяющих источники с нагрузкой. При благоприятных обстоятельствах это число может быть уменьшено до трех. В дальнейшем мы отметим целый ряд других преимуществ, которым обладают связанные системы.
Любая многофазная система может быть симметричной и несимметричной. Симметрия системы определяется симметрией ЭДС, напряжений и токов. Под симметричной многофазной системой ЭДС, напряжений или токов понимают совокупность соответствующих величин, имеющих одинаковые амплитуды и смещенных по фазе на угол 2 /m по отношению друг к другу, где m - число фаз системы. Если для обозначения фаз трехфазной системы использовать первые буквы латинского алфавита, то симметричную систему ЭДС можно записать в виде
(1)
Аналогичные выражения можно написать и для токов и падений напряжения в симметричной трехфазной системе.
Основное свойство симметричных многофазных систем заключается в том, что сумма мгновенных значений величин образующих систему в каждый момент времени равна нулю. Для изображений величин образующих систему это свойство означает равенство нулю суммы фазных векторов. В справедливости этого утверждения легко убедиться на примере трехфазной системы, если в области изображений сложить числа в скобках в правой части выражений (1).
Многофазная система симметрична только тогда, когда в ней симметричны ЭДС, токи и напряжения. Если принять равными нулю внутренние сопротивления источников питания или включить их значения в сопротивления нагрузки, то условие симметрии системы сводится к симметрии ЭДС и равенству комплексных сопротивлений нагрузки. Это условие для трехфазной системы записывается в виде
Za = Zb = Zc .
(2)
В дальнейшем мы будем считать, что источники питания являются источниками ЭДС и использовать условия симметрии системы в виде выражений (1) и (2).
В многофазные системы объединяют источники ЭДС и нагрузки. Для обеспечения правильного соотношения сдвига фаз при соединения или связывании системы в общем случае необходимо определить выводы элементов, по отношению к которым выполняются условия (1). Они называются начало и конец фазы источника или нагрузки. Для источников многофазной системы принято за положительное направление действия ЭДС от начала к концу.
На электрических схемах, если это необходимо, начало и конец обозначают буквами латинского алфавита. На рис. 1 а) начала элементов соответствуют индексам XYZ, а концы - ABC. В дальнейшем мы будем использовать строчные буквы для нагрузки, а прописные для источников ЭДС.
Существуют два способа связывания элементов в многофазную систему - соединение звездой и соединение многоугольником. Звезда это такое соединение, в котором начала всех элементов объединены в один узел, называемый нейтральной точкой. Подключение к системе при этом осуществляется концами элементов (рис. 2 а)). Многоугольник это соединение, в котором все элементы объединены в замкнутый контур так, что у соседних элементов соединены между собой начало и конец. С системой многоугольник соединяется в точках соединения элементов. Частным случаем многоугольника является треугольник рис. 2 б).
Источники питания и нагрузки в многофазных системах в общем случае могут быть связаны разными способами.
При анализе многофазных систем вводится ряд понятий, необходимых для описания процессов. Проводники, соединяющие между собой источники и нагрузку, называются линейными проводами, а проводник соединяющий нейтральные точки источников и нагрузки - нейтральным проводом.
Электродвижущие силы источников многофазной системы (eA, EA, EA, eB, EB, EB, eC, EC, EC), напряжения на их выводах (uA, UA, UA, uB, UB, UB, uC, UC, UC) и протекающие по ним токи (iA, IA, IA, iB, IB, IB, iC, IC, IC) называются фазными. Напряжения между линейными проводами (UAB, UAB, UBC, Uac, UCA, UCA) называются линейными.
Связь линейных напряжений с фазными можно установить через разность потенциалов линейных проводов рис. 1 б) как uAB = uAN + uNB = uAN uBN = uA uB или в символической форме
UAB = UA UB ; UBC = UB UC ;
UCA = UC UA .
(3)
Построим векторную диаграмму для симметричной трехфазной системы фазных и линейных напряжений (рис. 3). В теории трехфазных цепей принято направлять вещественную ось координатной системы вертикально вверх.
Каждый из векторов линейных напряжений представляет собой сумму одинаковых по модулю векторов фазных напряжений (Uф = UA = UB =UC), смещенных на угол 60 . Поэтому линейные напряжения также образуют симметричную систему и модули их векторов (Uл = UAB = UBC =UCA) можно определить как .
Выражения (3) справедливы как для симметричной системы, так и для несимметричной. Из них следует, что векторы линейных напряжений соединяют между собой концы фазных (вектор UCA рис. 3). Следовательно, при любых фазных напряжениях они образуют замкнутый треугольник и их сумма всегда равна нулю. Это легко подтвердить аналитически сложением выражений (3) - UAB + UBC + UCA = UA UB + UB UC + UC UA = 0.
Тот факт, что геометрически векторы линейных напряжений соединяют концы векторов фазных, позволяет сделать заключение о том, что любой произвольной системе линейных напряжений соответствует бесчисленное множество фазных. Это подтверждается тем, что для создания фазной системы векторов при заданной линейной, достаточно произвольно указать на комплексной плоскости нейтральную точку и из нее провести фазные векторы в точки соединения многоугольника линейных векторов.
Из уравнений Кирхгофа для узлов a, b и c нагрузки соединенной треугольником (рис. 2 б)) можно представить комплексные линейные токи через фазные в виде
IA = Iab Ica ; IB = Ibc Iab ; IC = Ica Ibc .
(4)
В случае симметрии токов IA = IB = IC = Iл и Iab = Ibc = Ica = Iф, поэтому для них будет справедливо такое же соотношение, как для линейных и фазных напряжений в симметричной системе при соединении звездой, т.е . Кроме того, их сумма в каждый момент времени будет равна нулю, что непосредственно следует из суммирования выражений (4).
Перейдем теперь к рассмотрению конкретных соединений трехфазных цепей.
Пусть фазы источника и нагрузки соединены звездой с нейтральным проводом (рис. 4а)). При таком соединении нагрузка подключена к фазам источника и UA = Ua , UB = Ub и UC = Uc., а IA = Ia , IB = Ib и IC = Ic. Отсюда по закону Ома токи в фазах нагрузки равны
Ia = UA/Za ; Ib = UB/Zb и
Ic = UC/Zc.
(5)
Ток в нейтральном проводе можно определить по закону Кирхгофа для нейтральной точки нагрузки. Он равен
IN =Ia +Ib +Ic .
(6)
Выражения (5) и (6) справедливы всегда, но в симметричной системе Za = Zb = Zc= Z, поэтомуIN =Ia +Ib +Ic= UA/Za+UB/Zb+UC/Zc = (UA+UB+UC)/Z = 0, т.к. по условию симметрии UA+UB+UC=0. Следовательно, в симметричной системе ток нейтрального провода равен нулю и сам провод может отсутствовать. В этом случае связанная трехфазная система будет передавать по трем проводам такую же мощность, как несвязанная по шести. На практике нейтральный провод в системах передачи электроэнергии сохраняют, т.к. его наличие позволяет получать у потребителя два значения напряжения - фазное и линейное (127/220 В, 220/380 В и т.д.). Однако сечение нейтрального провода обычно существенно меньше, чем у линейных проводов, т.к. по нему протекает только ток, создаваемый асимметрией системы.
При симметричной нагрузке токи во всех фазах одинаковы и смещены по отношению друг к другу на 120 . Их модули или действующие значения можно определить как I = Uф/Z.
Векторные диаграммы для симметричной и несимметричной нагрузки в системе с нейтральным проводом приведены на рис. 4 б) и в).
При отсутствии нейтрального провода сумма токов в фазах нагрузки равна нулю Ia+Ib+Ic =0. В случае симметричной нагрузки режим работы системы не отличается от режима в системе с нейтральным проводом.
При несимметричной нагрузке между нейтральными точками источника и нагрузки возникает падение напряжения. Его можно определить по методу двух узлов, перестроив для наглядности схему рис. 5 а). В традиционном для теории электрических цепей начертании она будет иметь вид рис. 5 б). Отсюда
,
(7)
где Ya=1/Za, Yb=1/Zb, Yc=1/Zc - комплексные проводимости фаз нагрузки.
Напряжение UnN представляет собой разность потенциалов между нейтральными точками источника и нагрузки. По схеме рис. 5 б) его можно представить также через разности фазных напряжений источника и нагрузки UnN = UA Ua = UB Ub = UC Uc. Отсюда фазные напряжения нагрузки
Ua = UA UnN ; Ub = UB UnN ; Uc = UC UnN .
(8)
Токи в фазах нагрузки можно определить по закону Ома
Ia = Ua/Za ; Ib = Ub/Zb ; Ic = Uc/Zc.
(9)
Векторные диаграммы для симметричной и несимметричной нагрузки приведены на рис. 6. Диаграммы симметричного режима (рис. 6 а)) ничем не отличаются от диаграмм в системе с нулевым проводом.
Диаграммы несимметричного режима (рис. 6 б)) иллюстрируют возможность существования множества систем фазных напряжений для любой системы линейных. Здесь системе линейных напряжений UAB UBC UCA соответствуют две системы фазных. Фазные напряжения источника UA UB UC и фазные напряжения нагрузки Ua Ub Uc..
В трехфазных цепях нагрузка и источник могут быть соединены по-разному. В частности нагрузка, соединенная треугольником, может быть подключена к сети, в которой источник питания соединен звездой (рис. 7 а)).
При этом фазы нагрузки оказываются подключенными на линейные напряжения
Uab= UAB ; Ubc =UBC ; Uca = UCA.
Токи в фазах можно найти по закону Ома
Iab = Uab/Zab ; Ibc = Ubc/Zbc ;
Ica = Uca/Zca,
а линейные токи из уравнений Кирхгофа для узлов треугольника нагрузки
IA = Iab Ica ; IB = Ibc Iab ; IC = Ica Ibc .
(10)
Векторы фазных токов нагрузки на диаграммах для большей наглядности принято строить относительно соответствующих фазных напряжений. На рис. 7 б) векторные диаграммы построены для случая симметричной нагрузки. Как и следовало ожидать, векторы фазных и линейных токов образуют симметричные трехфазные системы.
На рис. 7 в) построена векторная диаграмма для случая разных типов нагрузки в фазах. В фазе ab нагрузка чисто резистивная, а в фазах bc и ca индуктивная и емкостная. В соответствии с характером нагрузки, вектор Iab совпадает по направлению с вектором Uab; вектор Ibc отстает, а вектор Ica опережает на 90 соответствующие векторы напряжений. После построения векторов фазных токов можно по выражениям (10) построить векторы линейных токов IA, IB и IC.
Трехфазная цепь является совокупностью трех однофазных цепей, поэтому ее мощность может быть определена как сумма мощностей отдельных фаз.
При соединении звездой активная мощность системы будет равна
P = Pa + Pb + Pc = UaIacos a + UbIbcos b + UcIccos c =
=Ia2Ra + Ib2Rb + Ic2Rc ,
(11)
а реактивная
Q = Qa + Qb + Qc = UaIasin a + UbIbsin b + UcIcsin c =
=Ia2Xa + Ib2Xb + Ic2Xc .
(12)
Если нагрузка соединена треугольником, то активная и реактивная мощности будут равны
P = Pab + Pbc + Pca = UabIabcos ab + UbcIbccos bc + UcaIcacos ca =
=Iab2Rab + Ibc2Rbc + Ica2Rca ,
(13)
Q = Qab + Qbc + Qca = UabIabsin ab + UbcIbcsin bc + UcaIcasin ca =
=Iab2Xab + Ibc2Xbc + Ica2Xca .
(14)
Полную мощность можно определить из треугольника мощностей как
.
(15)
Следует обратить внимание на то, что полная мощность трехфазной цепи не является суммой полных мощностей фаз.
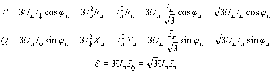
При симметричной нагрузке мощности всех фаз одинаковы, поэтому полная мощность и ее составляющие для соединения звездой будут равны
(16)
При соединении нагрузки треугольником
(17)
Из выражений (16) и (17) следует, что полная мощность трехфазной сети и ее составляющие при симметричной нагрузке могут быть определены по линейным токам и напряжениям независимо от схемы соединения.
3.5 Мощность цепи переменного тока.
Понятие потенциала или разности потенциалов u позволяет определить работу, совершаемую электрическим полем при перемещении элементарного электрического заряда dq, как dA = udq. В то же время, электрический ток равен i = dq/dt. Отсюда dA = ui dt, следовательно, скорость совершения работы, т.е. мощность в данный момент времени или мгновенная мощность равна
,
(1)
где u и i - мгновенные значения напряжения и тока.
Величины тока и напряжения, входящие в выражение (1), являются синусоидальными функциями времени, поэтому и мгновенная мощность является переменной величиной и для ее оценки используется понятие средней мощности за период. Ее можно получить, интегрируя за период T работу, совершаемую электрическим полем, а затем соотнося ее с величиной периода, т.е.
.
(2)
Пусть u=Umsin t и Imsin(t- ), тогда средняя мощность будет равна
(3)
т.к. интеграл второго слагаемого равен нулю. Величина cos называется коэффициентом мощности.
Из этого выражения следует, что средняя мощность в цепи переменного тока зависит не только от действующих значений тока I и напряжения U, но и от разности фаз между ними. Максимальная мощность соответствует нулевому сдвигу фаз и равна произведению UI. При сдвиге фаз между током и напряжением в 90 средняя мощность равна нулю. Максимальные значения напряжения и тока любой электрической машины определяются ее конструкцией, а максимальная мощность, которую они могут развивать - произведением этих величин. Если электрическая цепь построена нерационально, т.е. сдвиг фаз имеет значительную величину, то источник электрической энергии и нагрузка не могут работать на полную мощность. Поэтому в любой системе источник-нагрузка существует т.н. "проблема cos ", которая заключается в требовании возможного приближения cos к единице.
Выражение (3) можно представить также с помощью понятий активных составляющих тока Iа и напряжения Uа в виде
P = UI cos = U(I cos ) = UIа = I(U cos ) = IUа .
(4)
Учитывая, что активные составляющие тока и напряжения можно выразить через резистивную состаляющую комплексного сопротивления цепи как Iа=U/R или Uа=IR , выражение (4) можно записать также в форме
P = I2R = U2/R .
(5)
Среднюю мощность P называют также активной мощностью и измеряют в ваттах [Вт].
Выделим подинтегральную функцию выражения (3)
(6)
Отсюда следует, что мгновенная мощность изменяется с двойной частотой сети относительно постоянной составляющей UIcos равной средней или активной мощности.
При cos = 1 ( = 0) , т.е. для цепи, обладающей чисто резистивным сопротивлением
(7)
Временные диаграммы, соответствующие этому случаю приведены на рис. 1 а).
Положительные значения мгновенной мощности соответствуют поступлению энергии от источника в электрическую цепь. Следовательно, при резистивной нагрузке вся энергия поступающая от источника преобразуется в ней в тепло.
При cos = 0 ( = /2) , т.е. для чисто реактивной цепи
(8)
Временные диаграммы, соответствующие чисто индуктивной и чисто емкостной нагрузке приведены на рис. 1 б) и г). Из выражений (8) и временных диаграмм следует, что мощность колеблется относительно оси абсцисс с двойной частотой, изменяя свой знак каждые четверть периода. Это означает, что в течение четверти периода (p > 0) энергия поступает в электрическую цепь от источника и запасается в магнитном или электрическом поле, а в течение следующей четверти (p < 0) она целиком возвращается из цепи в источник. Так как площади, ограниченные участками с положительной мощностью и с отрицательной одинаковы, то средняя мощность отдаваемая источником нагрузке равна нулю и в цепи не происходит преобразования энергии.
В общем случае произвольной нагрузки 1 > cos > 0 ( 1< | | < /2) и
(8)
Как следует из временных диаграмм рис. 1 в), большую часть периода мощность потребляется нагрузкой (p > 0), но существуют также интервалы времени, когда энергия запасенная в магнитных и электрических полях нагрузки возвращается в источник. Участки с положительным значением p независимо от характера реактивной составляющей нагрузки всегда больше участков с отрицательным значением, поэтому средняя мощность P положительна. Это означает, что в электрической цепи преобладает процесс преобразования электрической энергии в тепло или механическую работу.
Рассмотрим энергетические процессы в последовательном соединении rLC (рис. 2). Падение напряжения на входе цепи уравновешивается суммой падений напряжения на элементах u=ur+uL+uC . Мгновенная мощность в цепи равна
ui=uri+uLi+uCi
(9)
Пусть напряжение и ток на входе равны u=Umsint и Imsin(t- ). Тогда падения напряжения на элементах будут ur= rImsin(t- ), uL= LImsin(t- + /2) = xLImsin(t- + /2), uC= Imsin(t- - /2)/( C) = xCImsin(t- - /2). Подставляя эти выражения в (9), получим
(10)
Уравнение (10) в левой и правой частях имеет постоянную и переменную составляющие. Постоянная составляющая представляет собой активную или среднюю мощность. Второе слагаемое в правой части это переменная составляющая активной мощности с амплитудой равной P = UIcos . Третье слагаемое правой части также является переменной составляющей мгновенной мощности, но эта составляющая находится в квадратуре с переменной составляющей активной мощности и имеет амплитуду Q = UIsin . Эту величину называют реактивной мощностью. Она равна среднему за четверть периода значению энергии, которой источник обменивается с магнитным и электрическим полями нагрузки. Реактивная мощность не преобразуется в тепло или другие виды энергии, т.к. ее среднее значение за период равно нулю.
Реактивную мощность также можно представить через реактивные составляющие тока или напряжения
Q = UI sin = U(I sin ) = UIр = I(U sin ) = IUр .
(11)
В отличие от всегда положительной активной мощности, реактивная мощность положительна при > 0 и отрицательна при < 0 .
Из условия равенства переменных составляющих левой и правой частей уравнения (10) можно найти связь между P, Q и S = UI в виде
(12)
Величина S называется полной или кажущейся мощностью. Из выражения (12) следует, что полную мощность можно представить гипотенузой прямоугольного треугольника с углом , катетами которого являются активная и реактивная мощности.
Таким образом, полная мощность это максимально возможная активная мощность, т.е. мощность, выделяющаяся в чисто резистивной нагрузке (cos = 0). Именно эта мощность указывается в паспортных данных электрических машин и аппаратов.
Реактивные составляющие токов и напряжений можно представить через активные и реактивные составляющие комплексного сопротивления, тогда для составляющих мощности
P = UIа = I2R = UаI = U2/R = U2G ;
Q = UIр = I2X = UрI = U2/X = U2B ;
S = UI = I2Z = U2/Z = U2Y.
(13)
Треугольник мощностей можно описать также с помощью комплексных чисел и изобразить векторами на комплексной плоскости в виде
,
(14)
где S - комплексная полная мощность, - сопряженный комплексный ток.
Пользуясь представлением активной и реактивной составляющих мощности через активные и реактивные составляющие токов и напряжений (выражения (4) и (11)), треугольник мощностей можно построить в двух вариантах (рис. 3 а) и б)). В первом случае активная и реактивная составляющие полной мощности выражаются через активную и реактивную составляющие напряжения U и треугольник мощностей получается изменением масштаба треугольника напряжений (рис. 3 а)). Во втором случае (рис. 3 б)), построение выполнено с помощью активной и реактивной составляющих тока I.
Очевидно, что все виды мощности имеют одинаковую размерность, поэтому для их отличия от активной мощности, измеряемой в ваттах [Вт], для полной мощности введена единица, называемая вольт-амперы [ВА], а для реактивной мощности - вольт-амперы реактивные [ВАр]
Выражение для активной мощности P = UIcos позволяет определить коэффициент мощности с помощью ваттметра, вольтметра и амперметра.
Для этого на вход цепи включают приборы по схеме рис. 4 и по их показаниям определяют коэффициент мощности в виде
,
где W, V и A - показания соответственно ваттметра, вольтметра и амперметра действующих значений. Из этого выражения можно также определить угол сдвига фаз между током и напряжением на входе двухполюсника.
Учебные пособия по электротехники для самостоятельного изучения
Рефераты по электротехнике и радиоэлектронике
Учебное пособие по курсу электротехники
Электрические микромашины. Курс лекций
Общая Электротехника. Учебное пособие
Сборник лекций по теоретическим основам электротехники
Карта сайта
Нравится материал? Поддержи автора!
Ещё документы из категории физика:
Чтобы скачать документ, порекомендуйте, пожалуйста, его своим друзьям в любой соц. сети.
После чего кнопка «СКАЧАТЬ» станет доступной!
Кнопочки находятся чуть ниже. Спасибо!
Кнопки:
Скачать документ