Трехфазный трансформатор



























































ЗАДАНИЕ № 2
По данным трехфазного трансформатора, приведенным ниже, требуется:
1. Определить:
а) фазные значения номинального напряжения;
б) линейные и фазные значения номинального тока на стороне ВН и НН;
в) коэффициент трансформации фазных и линейных напряжений.
2. Вычертить схемы соединения обмоток, обеспечивающие получение заданной группы.
3. Определить параметра Т-образной схемы замещения:
а) активные и индуктивные сопротивления обмоток трансформатора r1, r2, x1, x2;
б) сопротивления намагничивающего контура rm, xm.
4. Рассчитать и построить зависимость к.п.д., трансформатора от коэффициента нагрузки при cos φ2=1 и cos φ2 = 0,8; определить мощность трансформатора, при которой к.п.д. достигает максимального значения.
5. Вычислить процентное изменение вторичного напряжения ∆U% при номинальной нагрузке:
а) активной (cos φ2=1);
б) активно - индуктивной (cos φ2=0,8);
в) активно - емкостной (cos φ2=0,8);
6. Построить векторную диаграмму трансформатора.
7. Рассчитать установившийся и ударный токи внезапного короткого замыкания
8. Данный трансформатор соединен на параллельную работу с аналогичным трансформатором. Найти распределение нагрузок и степень перегрузки и недогрузки трансформаторов при cos φ2= 1 и cos φ2 = 0,8 для следующих случаев:
а) второй трансформатор включен с первичной стороны на ответвление, соответствующее 1,05 нормального числа витков, a первый трансформатор включен на нормальное число витков;
б) напряжение короткого замыкания второго трансформатора составляет 1,2 Uк первого трансформатора (угол φк остается прежним).
Данные трансформатора для варианта 1:
Тип трансформатора - ТМ-10/0,4;
Мощность трансформатора, Sн - 10 кВА;
Напряжение высокой стороны, U1н - 380В;
Напряжение низкой стороны, U2н - 220В;
Напряжение короткого замыкания, Uк - 5,5%;
Потери мощности при коротком замыкании, Рк - 335Вт;
Мощность холостого хода, Ро- 105Вт;
Ток холостого хода, Iхх – 8%.
Схема и группа соединений Y/Yо-12
Решение:
1 Определим фазные значения номинального напряжения:
а) на высокой стороне
б) на низкой стороне
1.1 Определим линейные и фазные значения номинального тока на стороне:
а) высокого напряжения.
в) низкого напряжения.
1.2 Определим коэффициент трансформации фазных и линейных напряжений.
Трансформатор соединен по схеме Y/Yо следовательно:
2 Схемы соединения обмоток, обеспечивающие получение заданной группы.
По данной схеме и группы соединений Y/Yо-12 имеем: на высокой стороне обмотки соединены звездой, на низкой стороне обмотки соединены звездой с выводом нулевой точки обмотки (рис .1а). Сдвиг фаз между высокой стороной низкой 0о(рис .1в).Звезда фазных э.д.с. и треугольники линейных имеют вид показанный на рис. 1б.
3 Определим параметры Т-образной схемы замещения:
а) активные и индуктивные сопротивления обмоток трансформатора r1, r2, x1, x2;
Определим полное zк, активное xк и реактивное rк сопротивление в режиме короткого замыкания.
При соединении первичной обмотки в звезду параметры короткого замыкания на одну фазу будут следующие:
где .
Ik= I1нф = 26,3А
рассчитаем:
Параметры характеризуют потери в короткозамкнутой вторичной обмотки и в магнитной цепи, поэтому с достаточным приближением можно принять
б) Сопротивления намагничивающего контура rm, xm.
Определим полное z0, активное x0 и реактивное r0 сопротивление в режиме холостого хода. Для первичной обмотки соединенной в звезду на одну фазу будут следующие:
где .
U0= U1нф = 220B
Отсюда сопротивления намагничивающего контура:
4 Рассчитаем и построим зависимость к.п.д, трансформатора от коэффициента нагрузки при cos φ2=1 и cos φ2 = 0,8
4.1 Формула для расчета к.п.д. трансформатора η имеет вид:
где - коэффициент нагрузки трансформатора
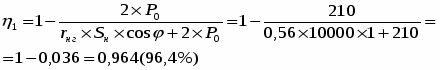
а) при cos φ2=1
б) при cos φ2 = 0,8
4.2 Определим мощность трансформатора, при которой к.п.д. достигает максимального значения.
к.п.д. трансформатора, имеет максимальное значение при такой нагрузке, когда отсюда
а) при cos φ2=1
б) при cos φ2 = 0,8
4.2 Рассчитаем и построим зависимость к.п.д. η от коэффициента нагрузки rнг. Расчет проведем в Mahtcad12, график зависимости на рисунке 2.
Рис. 2 График зависимости к.п.д. η от коэффициента нагрузки rнг.
5 Вычислим процентное изменение вторичного напряжения ∆U% при номинальной нагрузке:
а) активной (cos φ2=1);
Изменение напряжения определяется аналитически по выражению:
где - активная составляющая напряжения короткого замыкания;
- индуктивная составляющая напряжения короткого замыкания;
б) активно - индуктивной (cos φ2=0,8);
в) активно - емкостной (cos φ2=0,8);
∆U при активно – емкостной нагрузке меняется также как и при активно – индуктивной, но со сдвигом на 90о
6 Построим векторную диаграмму трансформатора для случая активно - индуктивной нагрузки при:
cos φ2= 0,8;
I2ф=I2нф=45,5А;
Векторная диаграмма показана на рисунке 3.
7 Рассчитаем установившийся и ударный токи внезапного короткого замыкания.
7.1 Установившийся ток короткого замыкания:
7.2 Ударный ток внезапного короткого замыкания:
где для трансформаторов мощностью 10кВА принимаем равный 1,7
8 Найдем распределение нагрузок и степень перегрузки и недогрузки трансформаторов при cos φ2= 1 и cos φ2 = 0,8 для следующих случаев:
8.1 Два трансформатора. Второй трансформатор включен с первичной стороны на ответвление, соответствующее 1,05 нормального числа витков, a первый трансформатор включен на нормальное число витков;
Sн1 = Sн2 = 10000BA
Uк1 = Uк2 = 5,5%
U1н1 = 380, U1н2 = U1н1 x 1,05=380 x 1,05=399B
откуда k2= U1н2 / U2н=1,81
k1=1,73
при неравенстве коэффициентов трансформации во вторичных обмотках возникает уравнительный ток:
при этом, во вторичных обмотках имеем следующие токи
а) при cos φ2= 1
где
рассчитаем хk2 и zk2
где .
рассчитаем:
соответственно сos(200-00)=0,92
Уравнительный ток во вторичной обмотке первого трансформатора;
Уравнительный ток во вторичной обмотке второго трансформатора;
б) при cos φ2= 0,8
cos (φk - φ2)= cos(200-360)= cos(-16)=0,95
Уравнительный ток во вторичной обмотке первого трансформатора;
Уравнительный ток во вторичной обмотке второго трансформатора;
Определим меру нагруженности трансформаторов
8.2 напряжение короткого замыкания второго трансформатора составляет 1,2 Uк первого трансформатора (угол φк остается прежним).
Следовательно:
Uк1=12В;
Uк2=12х1,2=14,4В
Sн=10000ВА
На параллельную работу включено 2 трансформатора. Мощность первого трансформатора определится по выражению
Мощность второго;
Литература
1 Вольдек А.И. Электрические машины - Л.:Энергия 1978г.
2 Методические пособия по расчетам машин постоянного тока. ЮУрГУ
3 Костенко М.П., Пиотровский Л.М. Электрические машины. Ч.1. Машины постоянного тока. Трансформаторы - Л.:Энергия 1972г.
Нравится материал? Поддержи автора!
Ещё документы из категории физика:
Чтобы скачать документ, порекомендуйте, пожалуйста, его своим друзьям в любой соц. сети.
После чего кнопка «СКАЧАТЬ» станет доступной!
Кнопочки находятся чуть ниже. Спасибо!
Кнопки:
Скачать документ