Вынужденное явление Рамана
































































































Вынужденное явление Рамана
Рассеяние Рамана1 в стоксову сторону.
Пусть пучок света падает на прозрачную среду, не содержащую никаких включений посторонних тел и тщательно очищенную. Даже при максимально возможной частоте свет пучка рассеивается во все стороны, хотя и очень слабо. Рассеяние имеет место как в газообразных, так и в жидких и твердых телах. В газах рассеяние происходит, главным образом, на атомах и молекулах, в жидкостях и кристаллах—на флуктуациях и неоднородностях среды. В рассеянном свете имеются волны тех же длин, что и в падающем, но разной интенсивности в зависимости от длины волны. Это рассеяние называется релеевским по имени Релея. Помимо рассеяния света с той же длиной волны наблюдается еще слабое свечение с длиной волны, большей, чем падающая,—рамановское рассеяние. Механизм этого явления можно объяснить на основе как квантовой теории, так, и классической волновой. Особенно просто выглядит квантовое описание этого явления.
Пусть квант излучения или, иначе, (поскольку , a ) рассеивается на молекуле, находящейся в основном состоянии с энергией возбуждая ее до одного из возможных для нее типов колебаний с резонансной частотой . В результате рассеянный квант будет иметь меньшую энергию . Баланс энергии
(1)
позволяет рассчитать колебательные уровни молекулы. Рассеянный свет имеет частоту , меньшую частоты падающего света . Следовательно, рамановские линии являются стоксовыми. Рассеяние на уже возбужденной молекуле маловероятно, потому что линии с большей частотой , т. е. антистоксовые, имеют столь малую интенсивность, что обычно незаметны. Интенсивность рамановских линий рассчитывают на основе вероятности соответствующих переходов в единицу времени или же по энергии, лучше по гамильтониану взаимодействия излучения с молекулами, или по волновым функциям трех состояний молекулы: исходного, промежуточного (после поглощения кванта ) и конечного (после испускания кванта ).
Волновой механизм рамановского рассеяния заключается во взаимодействии молекулы, способной к определенному резонансному колебанию с частотой (или к нескольким таким колебаниям), с падающей и рассеянной волнами. Колебание молекулы в простейшем виде можно представить как колебание точки с координатой х (точка является одним из атомов молекулы, имеющим массу т), с коэффициентом затухания R и упругим усилием , возвращающим точку в положение равновесия. Под влиянием внешней периодической силы , возникающей в результате взаимодействия со случайным полем волны Е, создается колебательное движение, которое описывается уравнением
(2)
Легко показать, что для резонансной частоты решением этого уравнения является функция
(3)
Силу F можно рассчитать по энергии взаимодействия наведенного момента молекулы аЕ с полем волны , а именно:
(4)
Случайное поле волны может быть выражено уравнением
(5)
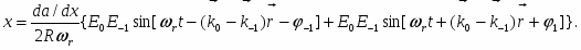
где и —волновые векторы падающей и рассеянной волн, —пространственная координата, а —временная координата. Сильное взаимодействие этой волны с молекулой может произойти только вблизи резонанса, а следовательно, при частоте в инфракрасном диапазоне , которая является частотой биений. Поэтому для вычисления силы F мы будем использовать только ту часть общего выражения, которая содержит разностную частоту. Общее выражение имеет вид
Его решением аналогично выражению (3) будет
(6)
Колебания молекулы совершаются с частотой биений . Изменение х влечет за собой изменение поляризованности молекулы, что в электрическом поле падающей волны приведет к изменению дипольного момента
(7)
если отбросить член, связанный с генерацией второй гармоники. Энергия взаимодействия этого момента с рассеянной волной равна поле рассеянной волны, мощность же рассеянной волны составит
(8)
где черта сверху означает усреднение во времени. Выполнив это простое действие, получим выражение
(9)
из которого видно, что для стоксовой линии, т. е. для , и рассеянная волна усиливается взаимодействием с молекулами, тогда как для антистоксовой линии, т. е. для , и рассеянная волна угасает.
Рассеяние Рамана в антистоксову сторону.
При возбуждении спектров Рамана лазерным светом в полости резонатора возникают не только стоксовы линии, но и антистоксовы. Какие условия должны быть выполнены, чтобы произошло такое рассеяние?
Рассмотрим поле Е волны, состоящей из падающей волны с частотой и из двух рассеянных волн с частотами и . Амплитуды этих волн обозначим соответственно через , и , используя одинаковые индексы для волновых векторов и фаз. Случайное поле может быть описано выражением
(10)
Решая уравнение (2) с учетом выражений (4) для силы и (10) для поля волны, получаем
(11)
Мощности и , отдаваемые молекулой двум рассеянным волнам—стоксовой и антистоксовой—вычислим так же, как и раньше:
(12)
(13)
Из выражения (12) видно, что в нормальных условиях опыта всегда , без дополнительных условий, связывающих волновые векторы. Это означает, что стоксово рассеяние не имеет ограничений по направ-
Стоксово рассеяние Антистоксово рассеяние
Рис.1. Векторная схема вынужденного рамановского рассеяния как четырехфотонного процесса: .
Оба испускания, как стоксово, так и антистоксово, являются направленными.
лению. Иначе обстоит дело с антистоксовым рассеянием, которое описано выражением (13). При выполнении условия постоянный приход энергии к антистоксовой волне будет гарантирован только в том случае, если
(14)
также если
(15)
Интенсивность антистоксовой линии достигает максимума для ; направление ее эмиссии определяется равенством (14).
Удивительным свойством антистоксова излучения, вытекающим из выражения (14), является тот факт, что эмиссия происходит только в определенном направлении, а именно под углом к направлению , т. е. к направлению падающего света. Это показано на рис.1. Волновой вектор имеет величину, равную
(16)
где и —скорость света в данной среде и ее коэффициент преломления. Точно так же
и (17)
где означает, как и ранее, частоту колебаний молекулы. Введем еще две разности коэффициентов преломления, характеризующих среды, а именно:
(18)
Из векторной диаграммы, представленной на рис.1, можно определить согласно теореме Карно:
Используя выражения (16)—(18), а также приняв, что
получим приближенное соотношение для малых углов :
(19)
Согласно этому выражению антистоксов свет рассеивается вдоль конуса, ось которого совпадает с направлением падающего света, а —угол между этим направлением и направлением образующей конуса. На экране,
Пленка
Красное
Оранжевое
Желтое
Зеленое
Батарея конденсаторов
Рис. 2. Вынужденное рамановское рассеяние в нитробензоле.
Рассеяние в антистоксову сторону наблюдается в виде концентрических колец, окружающих пучок света лазера. Последующие кольца соответствуют рассеянию с большей частотой (более короткой длиной волны). Стоксово рассеяние имеет различные направления, но наибольшая интенсивность света приходится на направление падающего пучка.
установленном перпендикулярно к направлению падающего луча, виден яркий цветной круг. Опыт показывает, что если кювету с жидкостью, например нитробензолом, поместить между сферическими зеркалами резонатора Фабри—Перо рубинового лазера, то стоксово рассеяние будет иметь место в инфракрасной области. Для распространения его не характерно какое-либо определенное направление; в основном это направление падающего луча, тогда как антистоксово рассеяние образует ряд световых конусов с цветовой гаммой, от красного до голубого. Ближайший из них соответствует частоте , последующие — частотам , и т. д. (рис. 2).
Механизм рамановского рассеяния в антистоксову сторону.
Уравнение (14) и иллюстрирующий его рис. 1 показывают, что процесс рамановекого рассеяния в резонаторе лазера является четырехфотонным процессом, в котором два фотона лазерного света исчезают, а вместо них появляются два новых фотона: стоксов и антистоксов. В четырехфотонном процессе как
Рис. 3 Векторная схема вынужденного рамановского рассеяния как двухфотонных процессов с участием фононов разных направлений и величин.
Стоксово рассеяние имеет различные направления, тогда как антистоксово — лишь одно определенное направление.
, так и имеют точно определенные направления. В то время как действительно точно определенное направление имеют антистоксовы фотоны , стоксовы фотоны рассеиваются в различных направлениях, главным 0'бразом в направлении падающего луча. Поэтому Цайгер с сотрудниками предложил двухступенчатый механизм процесса рамановского рассеяния. При этом каждая ступень является двухфотонным процессом, в котором принимают участие два фотона и фотон . Последнему соответствует волновой вектор волны, возникающей из когерентных колебаний молекул, возбужденных падающей оптической волной. Первая ступень заключается в образовании стоксова фотона и фонона из первого лазерного фотона:
(20)
Вторая ступень заключается в образовании антистоксова фотона из другого лазерного фотона и соответствующего фонона:
(21)
На первой ступени образуются стоксовы фотоны (с заранее определенной энергией ), различно направленные, и соответствующие им фононы (рис. 3). На второй ступени может произойти поглощение только такого фонона, который даст антистоксов фотон , имеющий соответствующее определенное направление, если только этот фотон отвечает уравнениям (20) и (21), а следовательно, и условию (14). Другие фононы не приводят к испусканию антистоксоъа фотона. Поэтому антистоксово рассеяние имеет значительный максимум в определенном направлении. На рис. 4 представлены результаты исследований упомянутых авторов. Они исследовали интенсивность трех стоксовых линий S1, S2 и S3, а также первой антистоксовой линии AS1 в зависимости от угла рассеяния. Показано, что:
0 1,0 2,0 3,0 4,0 5,0 Отклонение от оси, пучка, град.
1. Первая стоксова линия S1 обнаруживает наибольшую интенсивность в направлении лазерного луча. По мере возрастания угла интенсивность уменьшается и не обнаруживает другого максимума ни в каком определенном направлении. (Появление максимумов у последующих стоксовых линий S2 и S3, а также очень слабых максимумов на линии S1 имеет особую причину, которую мы здесь не будем обсуждать.)
2. Соответствующая первой стоксовой линии S1 первая антистоксова линия AS1 обнаруживает сильный максимум интенсивности под углом рассеяния около 3,0°.Как видно, антистоксово рассеяние не происходит в исправлении падающего света, а после максимума быстро спадает до нуля.
Эти два факта согласуются с двухступенчатым процессом вынужденного рамановского перехода.
Рис. 4. Угловое распределение интенсивности первых трех стоксовых линий и первой антистоксовой линии в нитробензоле.
Антистоксова линия 635 мм к (кривая AS1), стоксовы линии: 765 ммк (кривая S2), 853 ммк (кривая S2), 964 ммк (кривая S3).
1 Комбинационное рассеяние, или эффект Рамана — Мандельштама, называемое автором рамановским рассеянием или рассеянием Рамана, наблюдалось индийским ученым Раманом на жидкостях в 1926 году и советскими физиками Мандельштамом и Ландсбергом на кристаллах кварца в 1927 г.
2
Нравится материал? Поддержи автора!
Ещё документы из категории физика:
Чтобы скачать документ, порекомендуйте, пожалуйста, его своим друзьям в любой соц. сети.
После чего кнопка «СКАЧАТЬ» станет доступной!
Кнопочки находятся чуть ниже. Спасибо!
Кнопки:
Скачать документ