Волейбол





























СОДЕРЖАНИЕ
ВВЕДЕНИЕ
1 КЛАСИФИКАЦИЯ ИГРОВОЙ ДЕЯТЕЛЬНОСТИ ВОЛЕЙБОЛИСТА
1.1 Общая характеристика игры
1.2 Физиологические и биомеханические особенности двигательной деятельности волейболистов
2 ПЕРЕДАЧА МЯЧА – НИЖНЯЯ. МЕТОДИКА ОБУЧЕНИЯ ЭТОМУ ПРИЕМУ
2.1 Техника простых нижних передач
2.2 Техника нижней передачи мяча, летящего на уровне пояса со скоростью 18—20м/сек
2.3 Техника нижней передачи мяча, летящего ниже уровня пояса со скоростью 18—20 м/сек
2.4 Техника нижней передачи с падением-перекатом на спину
ВЫВОДЫ
СПИСОК ИСПОЛЬЗОВАННОЙ ЛИТЕРАТУРЫ
ВВЕДЕНИЕ
Волейбол является спортивной игрой с мячом, в которой две команды соревнуются на специальной площадке, разделенной сеткой. Существует множество разновидностей игры используемых при различных обстоятельствах с целью универсализации игры.
Цель игры – направить мяч над сеткой, чтобы он коснулся площадки соперника, и предотвратить такую же попытку соперника. Для этого команда имеет 3 касания мяча (и еще одно возможное дополнительное касание мяча на блоке).
Мяч вводится в игру подачей: подающий игрок ударом направляет мяч на сторону соперника. Розыгрыш каждого мяча продолжается до его касания площадки, выхода «ЗА» или ошибки команды.
В волейболе команда, выигрывающая розыгрыш, набирает очко (Система Розыгрыш – Очко). Когда принимающая команда выигрывает розыгрыш, она набирает очко и получает право подавать, и ее игроки переходят на одну позицию по часовой стрелке.
1 КЛАСИФИКАЦИЯ ИГРОВОЙ ДЕЯТЕЛЬНОСТИ ВОЛЕЙБОЛИСТА
1.1 Общая характеристика игры
Соревновательная деятельность в спортивных играх имеет много общего. И, тем не менее, каждая игра имеет существенные отличия, связанные с характером двигательной активности, способами взаимодействия с мячом, интенсивностью и продолжительностью нагрузок, а также с критериями оценки спортивного результата. Общим же признаком, находящим свое выражение в любой спортивной игре, является высокая психическая напряженность соревновательной борьбы, которая при равных силах соперников проявляется с особым драматизмом в кульминационные моменты спортивного противоборства.
Волейбол в этом отношении не составляет исключения. Вместе с тем он имеет свои особенности. Так, двигательная активность волейболистов, хотя и характеризуется высокой интенсивностью, почти полностью исключает высокоинтенсивные «беговые» нагрузки, характерные для футбола, баскетбола и хоккея. Перемещения здесь осуществляются преимущественно в квадрате игровой площадки 9x9 м и реже — за ее пределами. Сам характер перемещений волейболиста также своеобразен. Однако в течение 2—2,5 ч соревновательной борьбы паузы отдыха или пассивного ожидания в игре квалифицированных волейбольных команд почти полностью отсутствуют. При этом интенсивность двигательной активности значительно увеличилась в связи с использованием (по новым правилам) дополнительных мячей взамен улетевшего за пределы поля. Пятисекундные паузы до момента подачи не снижают физической и психической напряженности. Кроме того, в это время игроки обеих команд сосредоточивают все свое внимание на предстоящих технико-тактических действиях.
Что касается способов взаимодействия с мячом, то здесь также свой арсенал своеобразных, характерных только для этого вида спортивной игры, двигательных действий, основная суть и направленность которых связана с поражением цели с помощью ударных или бросковых движений, выполняемых большей частью ладонной поверхностью кисти или супинированными предплечьями (передачи мяча снизу).
Интенсивность и продолжительность соревновательных нагрузок в игре зависят от таких факторов, как уровень технико-тактического мастерства, силы соперничающих команд, количество партий и счет в каждой из них (например, счет может быть 22:24 в пользу одной из команд). Кроме того, при участии в многодневных турнирах нагрузка от предшествующих соревнований постепенно суммируется и наслаивается у игроков, что сказывается в последующих встречах. Оценка спортивного результата в волейболе также имеет своеобразный характер и отличается от других спортивных игр.
Таким образом, даже визуальные наблюдения за соревновательной деятельностью волейболистов говорят о ее своеобразии и отличительных особенностях. Не вызывает сомнения, что эти особенности проявляются как в биодинамике двигательных действий игроков, деятельности дыхательной, сердечнососудистой и анализаторной систем организма, так и в плане энерготрат и протекания восстановительных процессов.
Правильно построенный учебно-воспитательный процесс, педагогический и врачебный контроль, применение методов нравственного воспитания не замедлят сказаться на улучшении здоровья и учебы, выработке гигиенических привычек и навыков, режима дня.
Современные медико-биологические и социологические исследования показывают, что систематические, многолетние занятия спортом в значительной степени способствуют долголетию, жизненной активности и трудоспособности человека. Таким образом, занятие спортом вообще и волейболом в частности является делом, имеющим чрезвычайно важное общественное и социально-политическое значение.
Вместе с тем высокие спортивные показатели и всевозрастающее мастерство ведущих команд мира в настоящее время настоятельно требуют перейти от упрощенно-утилитарного толкования особенностей соревновательной и тренировочной деятельности волейболистов к интерпретации их с позиций психофизиологии, биомеханики и теории спортивной тренировки.
Говоря о любой сфере деятельности (в частности, и спортивной деятельности волейболиста), необходимо дать определения основным понятиям и рассмотреть специфическую терминологию.
Волейбол (от англ, volley ball) — дословно мяч в воздухе, в смысловом значении в русском языке — летающий мяч. Остальная английская терминология (например, пас, драйв, аут, сэт и т. п.) была впоследствии заменена русскими синонимами (например, пас — передача, драйв — крюк, аут — «за», сэт — партия).
С развитием волейбола появилась необходимость в определении новых понятий и трактовке профессионально-специфических терминов. Здесь дадим лишь определение одного из таких основных понятий — «технико-тактическое действие», толкование которого до настоящего времени носит разноречивый характер.
Под технико-тактическим действием следует понимать систему движений, которая одновременно с тактической программой, реализуется в ходе соревнований. Данное определение выражает неразделимую связь биодинамики движений с их тактической направленностью, связанной с конечным результатом.
1.2 Физиологические и биомеханические особенности двигательной деятельности волейболистов
Характер и величина соревновательных нагрузок
Характер игровой деятельности волейболиста обусловлен мгновенной сменой ситуации соревновательной борьбы, протекающей непрерывно, иногда в течение 2—2,5 ч. Кратковременные интервалы отдыха (7—8 с при выходе мяча из игры) недостаточны для развертывания восстановительных процессов в организме спортсмена.
Величина нагрузок, представляющих собой физические и эмоциональные напряжения, характеризуется чрезвычайной изменчивостью и зависит от многих факторов: личной и командной технико–тактической и физической подготовленности, значимости и масштабности соревнований, реакции зрителей и партнеров по команде, неполного восстановления от предшествующих игр. Как показывают данные исследований, частота сердечных сокращений (ЧСС) даже у запасных игроков в момент остроконфликтных игровых ситуаций достигает 130— 150 уд/мин. Поэтому увеличение частоты сердечных сокращений у полевых игроков до 180—200 уд/мин (рис. 1.1) не всегда объясняется адекватностью физических нагрузок. В значительной степени ее можно отнеси за счет повышения эмоциональной напряженности. Тем не менее, многократное выполнение прыжков при блокировании и нападающих ударах оказывает значительное воздействие на нервно-мышечный аппарат, вызывай чрезвычайно высокие сдвиги в деятельности сердечнососудистой и дыхательной систем волейболиста. Достаточно сказать, что после серии из 15—20 прыжков до отказа у спортсмена наступает утомление, и он не может продолжать упражнение.
Специфика двигательной деятельности, протекающей с переменной интенсивностью в динамическом режиме мышечных сокращений, предопределяет значительные функциональные и морфологические изменения в деятельности анализаторов, опорно-двигательном аппарате и внутренних органах игрока.
Рис. 1.1. Телеэлектрокардиограмма волейболиста высокой квалификации, снятая во время игры (а), и пульсограмма радиотелеметрической регистрации частоты сердечных сокращений (б)
В частности, повышаются показатели различных функций зрительного анализатора: улучшается глубинное зрение, способствующее точности пространственной ориентировки, расширяется поле зрения, значительно улучшается координация деятельности наружных мышц глаза (мышечный баланс). Кроме того, сокращаются микроинтервалы латентного периода простой и сложной зрительно-двигательных реакций: показатели реакций улучшаются с возрастом и ростом квалификации волейболиста.
В процессе тренировки повышается способность нервно-мышечного аппарата к быстрому напряжению и расслаблению мышц.
Большое количество выполняемых в игре прыжков способствует укреплению мышечно-связочного аппарата нижних конечностей и значительному увеличению динамической силы мышц-сгибателей стопы и разгибателей голени и бедра. В результате высота взлета о. ц. т. тела (общий центр тяжести) волейболиста составляет 70— 90 см.
Весьма заметно увеличиваются показатели становой силы волейболиста, развивающейся при баллистических ударных движениях по мячу в безопорной фазе.
Укрепляется связочный аппарат кистей рук, увеличивается их подвижность.
Большой объем тренировочных и соревновательных нагрузок оказывает значительное физиологическое воздействие на функции внутренних органов (обмен веществ, кровообращение, дыхание, выделение и т. п.). Об этом убедительно свидетельствуют данные изменения веса волейболистов в процессе ответственных соревнований. В среднем потеря веса после таких состязаний составляет 1,5—2 кг. Большие энерготраты позволяют отнести нагрузки волейболистов к нагрузкам субмаксимальной мощности.
Анализ соревновательной деятельности волейболистов показывает, что она состоит из чередования активных, рабочих, фаз с относительно пассивными кратковременными паузами отдыха. Наблюдениями установлено, что в среднем активные фазы составляют 8,7 с, а пассивные — 7,1 с. За время встречи в зависимости от числа партий рабочая фаза повторяется 171—348 раз. Как отмечает А. В. Беляев (1974), такой вид деятельности протекает при неадекватном снабжении организма спортсмена кислородом, что, в свою очередь, предъявляет большие, требования к анаэробным процессам энергообеспечения. Многократное повторение нагрузок переменного характера и кратковременных пауз отдыха подчеркивает важность аэробно-анаэробной производительности.
Изучая факторную структуру специальной выносливости, Н.И. Волков, А.В. Беляев, Ю.И. Смирнов (1977) отмечают, что она в наибольшей степени определяется анаэробными алактатными и гликолитическими возможностями организма и различными сторонами аэробной производительности.
Исследования, проведенные А. В. Беляевым (1974) среди квалифицированных волейболистов, показали, что средние показатели потребления О2 составили 4,4 л/мин, максимальная легочная вентиляция — 147,5 л/мин, а величина вентиляционного эквивалента, характеризующая эффективность утилизации О2 — 33,4. Средняя величина кислородного долга составляла 8,9 л.
Сопоставление этих показателей у волейболистов с аналогичными показателями представителей дистанционных видов спорта подчеркивает их сравнительно невысокие величины, что и не позволяет говорить о ведущем значении в деятельности волейболиста газообменных процессов. По всей вероятности, наибольшее значение для развивающегося утомления в игровой деятельности имеют процессы, связанные с перенапряжением сенсорной сферы и наступлением охранительного торможения. Вместе с тем во время ответственных соревнований у волейболистов имеют место достаточно высокие сдвиги таких физиологических функций, как частота сердечных сокращений, частота и глубина дыхания и т. п. Однако частые, хотя и кратковременные, паузы характеризуют невысокий процент потребления кислорода (49% максимальной аэробной производительности).
Максимальное значение ЧСС, зарегистрированное на одной ответственной встрече, составляло 181 уд/мин, а средние ее показатели — 153,2 уд/мин (рис. 1.2).
Рис. 1.2. Радиопульсограмма ЧСС во время одной партии (заштрихованное поле — игра в линии защиты, чистое — в линии нападения, черное — полуминутные перерывы, по А. В. Беляеву)
Биомеханическая изменчивость движений волейболиста
Установлено, что при однотипных способах действия (прямая подача сверху, прямой нападающий удар по ходу разбега и прием мяча снизу двумя руками) степень вариативности движений в структурных особенностях подготовительной, рабочей и заключительной фаз различна. Анализ игровых ситуаций, в которых выполняются данные игровые действия, показывает, что характер технико-тактических действий волейболиста далеко не одинаков.
Так, при выполнении подач действия игрока фактически имеют заранее запрограммированный характер. Их осуществлению не мешает соперник, кинематика и динамика движений соотносятся с расстоянием до цели и решением тактической задачи. Фактически такое действие выполняется спонтанно, так как не вызываете изменениями ситуации, а осуществляется спортсменом по собственному усмотрению для усложнения действий пассивно обороняющихся игроков команды соперника.
В связи с этим в одноименных способах подач, выполняемых одним и тем же спортсменом, пространственно-временные параметры движений не имеют в своей фазовой структуре значительного вариативного различия — коэффициент вариаций здесь не превышает 10%, что в общем характеризует относительную стабильность движений.
Исследования игрового действия (нападающий удар) во второй ситуации, имеющей элементы неопределенности, выражающейся в качественных особенностях второй передачи, показывают, что кинематические характеристики во всех подфазах разбега, и особенно в начале его значительно изменяются. Именно в это время волейболист определяет траекторию полета мяча и соотносит свои последующие движения с ее высотой и направлением.
В данном случае характерно уменьшение изменчивости движений при –переходе от стартовых и подготовительных движений к основным. Это свидетельствует о различном характере управления движениями в различных подфазах разбега. Если стартовая и подготовительная подфазы выполнения реактивно-приспособительно, то заключительная подфаза — активно, что и обусловливает большой диапазон вариации в движениях разбей и относительно малый в движениях последней подфазы — напрыгивании. Иными словами, если в первой ситуации движения носят запрограммированно автоматизированный характер, то во второй, особенно в подготовительной их части, они постоянно находятся под контролем внешней афферентации.
Игровая ситуация сопряжена с условиями, в которых соперник осуществляет атакующие действия, поэтому игроки обороняющейся команды вынуждены действовать; но принципу множественного альтернативного выбора оптимального решения в зависимости от конкретно сложившихся условий. Такие действия наиболее сложны, так как протекают в жестком лимите времени.
В качестве подобного действия изучалась техника приема снизу — передачи мяча, отснятого на пленку на крупных международных соревнованиях. При этом исследовались коэффициенты вариации пространственно-временных характеристик, длительности фаз и подфаз движений, угловые перемещения между вертикальной осью туловища и бедром, бедром и голенью, а также плечом и вертикальной осью туловища. Выбор этих параметров был обусловлен специфическими особенностями данного способа техники.
Оказалось, что у волейболистов высокой квалификации технико-тактическое контратакующее действие — прием мяча снизу и передача осуществляется с помощью предварительных перемещений и выбора места предполагаемого полета мяча. При этом выбор места в известной мере обусловлен подготовкой и атакующими действиями соперника.
Характерно, что изучаемые характеристики имеют тенденцию к еще большей – вариативности не только в подготовительной, но и в основной фазе движения. В связи с этим целесообразно выделить способы, связанные с высотой траектории полета мяча относительно спортсмена: прием снизу мячей, летящих на уровне пояса, ниже и выше уровня пояса.
Вместе с тем в одноименных (или близких) способах приема мяча снизу имела место достаточно высокая стабильность в движениях рук относительно туловища (коэффициент вариации в пределах 10—12% — рис. 1.3).
Таким образом, можно полагать, что приспособительная изменчивость точностных движений обусловлена характером внешней ситуации. Отсюда вытекает ряд положений, имеющих практическое значение при построении процесса обучения и совершенствовании двигательных действий. Так, в первом случае необходимо создать ряд жестких программ двигательных моделей (подач мяча в разные зоны площадки), которые спортсмен, может применить в соответствующей конкретной ситуации. Во втором случае в соответствии с приемом (нападающий удар) упражнения для обучения разбегу должны отличаться широким многообразием и, напротив, упражнения для обучения напрыгиванию и отталкиванию от опоры должны быть относительно постоянными. Причем диапазон возможных изменений в произвольных движениях в результате должен определяться особенностями внешней ситуации и индивидуальными возможностями спортсмена.
Рис. 1.3. Изменение углов между плечом и вертикальной осью туловища (1) и между бедром и голенью (2) при приеме мяча, летящего со скоростью 18 м/с
В третьем случае при использовании контратакующего технико-тактического действия необходимо воспитывать такие свойства, как простая и сложная реакции, реакция на движущийся объект, а также временную и пространственную антиципацию. Причем средствами развития этих свойств сенсомоторики должны быть специальные упражнения, моделирующие фрагмент соревновательной деятельности. Сложность определения вероятности события вынуждает спортсмена принимать мысленное и двигательное решение при жестком дефиците времени. Поэтому в ходе тренировки нужно добиваться развития способностей принимать быстрые решения и. импровизировать по ходу игры.
Особенности движений волейболиста
Все движения волейболиста при взаимодействии с мячом носят либо ударный, либо амортизационно-точностный характер. К ударным относятся движения, применяемые при выполнении всех способов подачи мяча, нападающих ударов, приемов и передач снизу и блокирования. Амортизационно-точностные движения характерны для приемов и передач мяча сверху и связаны с амортизацией удара и точным направлением мяча в цель.
Основная задача ударных движений в волейболе — создание определенной скорости полета мяча. Как было выяснено, мнение о том, что скорость полета мяча после удара зависит только от предударной скорости бьющего звена, ошибочно. В ударных движениях при соударении мяч и ударяющая ладонная поверхность деформируются, причем в течение этого времени бьющее звено — мяч перемещаются в пространстве на некоторое расстояние (рис. 1.4). Поэтому данный процесс следует рассматривать как своеобразное упругопластическое соударение. При этом на скорость вылета мяча существенное влияние оказывает суставная жесткость рабочих звеньев конечности. Поскольку жесткость волейбольного мяча относительно постоянна, то изменение послеударной скорости осуществляется за счет регулирования жесткости ударных звеньев кинематической цепи.
Рассматривая это положение применительно к нападающему удару, необходимо отметить, что большая жесткость кинематических звеньев способствует меньшей амплитуде перемещений в них в момент ударного импульса. Снижается угол поворота в суставах бьющей руки, что способствует увеличению точности направления траектории полета мяча. Таким образом, для достижения точности ударных движении необходима большая жесткость в суставах ударяющей руки. Это характерно для точно направленных нападающих ударов и планирующих подач.
Рис. 1.4. Перемещение соударяющихся поверхностей руки мяча
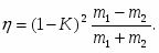
На перемещение звеньев в момент соударения затрачивается определенная энергия: чем больше контакт соударяющихся звеньев, тем больше потерь энергии ().
Количественное измерение потерь энергии выражается через формулу коэффициента восстановления ():
(1)
где — доударная скорость руки, —доударная скорость мяча, и — аналогичные послеударные скорости.
Для количественной оценки энергетики ударов необходимо ввести коэффициент потерь энергии как отношение потерянной кинетической энергии к начальной через K восстановления. При этом, если доударная скорость мяча , можно установить, что есть показатель кинетической энергии, израсходованной при ударе. Отсюда следует, что чем выше K, тем меньше рассеивание энергии в соударяемой системе, что и обходимо для сообщения большой скорости вылета мячу при нападающем ударе.
Для выявления экстремальных моментов ударного движения имеет значение еще и коэффициент передачи энергии от бьющей руки к мячу (). Существует зависимость коэффициента передачи энергии от показателя кинетической энергии, потерянной в результате удара:
(2)
Где А- кинетическая энергия руки и мяча до и после удара.
Если для центрального удара К=1 абсолютно упругих тел с сосредоточенными массами и (с учетом что К=1, а =0), то, следовательно:
(3)
Отсюда следует, что коэффициент передачи энергии от руки к мячу будет увеличиваться с увеличением затрачиваемой в ударе кинетической энергии. Иными словами, более жесткая ударная кинематическая система концентрированнее и полнее передает механическую энергию ударяемому мячу.
Вместе с тем при приеме мяча с подачи, когда он летит быстро, жесткая система кинематической цепи увеличит передачу энергии от принимающей поверхности рук, тогда мяч, обладающий большим запасом кинетической энергии вследствие соударения с жесткой системой кинематических цепей, получит нежелательную в данном случае высокую скорость, в результате чего может коснуться перекрытия зала или улететь на сторону соперника. Если же скорость полета близка к нулю, то целесообразно при приеме мяча увеличить коэффициент передачи энергии () от супинированных предплечий мячу, что будет способствовать увеличению скорости его отскока.
Особое значение в оборонительных действиях волейболиста при приеме мячей, летящих с большой скоростью, имеет амортизация силы удара, т. е. гашение скорости мяча, снижение его кинетической энергии путем передачи соударяющейся поверхности предплечий. Амортизация в данном случае осуществляется, во-первых, в результате уменьшения суставной жесткости, а во-вторых, вследствие совместного перемещения соударяющихся поверхностей в сторону, противоположную направлению полета мяча.
Рис. 1.5. Смещение о.ц.т.т. и ц.т.р. при приеме снизу мячей, летящих с большой скоростью
На примере представленных на рис. 1.5 траекторий общего центра тяжести тела и центра тяжести рук волейболиста при приеме мячей, летящих со скоростью 18м/с (прием передачи сверху), видно, что для погашения кинетической энергии движения о. ц. т. тела и звеньев кинематических цепей направлены назад-вверх от вертикали, проходящей через точку опоры туловища. При незначительной же скорости полета (5 м/с) для придания мячу большей скорости вылета необходимы встречное движение рук и передача ему кинетической энергии ударного движения предплечий (рис. 1.6).
Рис. 1.6. Смещение о.ц.т.т. и ц.т.р. при приеме снизу мячей, летящих с незначительной скоростью
Биомеханические опоры и движения волейболиста
Современные исследования доказали, что все ударные и точностно-целевые движения выполняются при так называемой твердой опоре. Это положение имеет непосредственное отношение и к волейболу. Оно очень важно для эффективного выполнения технических приемов и играет большую роль в общей стратегии построения и регуляции движений волейболиста. Под биомеханической опорой какого-либо узла следует понимать целостность и неподвижность данного узла относительно других. С точки зрения биомеханики опора представляет собой частичное или полное исключение внутренних степеней свободы отдельных звеньев биомеханической цепи данного узла (Ф. К. Агашин, 1977).
При ударных и точностно-целевых движениях рассматриваются нижняя, центральная и верхняя опоры. Нижняя опора – осуществляется за счет создания и подключения кинетической энергии тела к общей энергии движения туловища. Механизм ее состоит в предварительном сгибании ног и последующем их выпрямлении. В момент отталкивания от опоры ноги, выпрямляясь, закрепляют в суставах. Мышцы бедра, голени и стопы взаимодействуют, однако их сочленения остаются неподвижными относительно друг друга и туловища.
Центральная опора связана с произвольной задержкой дыхания, способствующей закреплению диафрагмы и соседних с ней мышц туловища. Это подчеркивает важность создания центральной опоры и ее связь с регуляцией, вегетативных функций.
Наличие трех опор в ударных и точностных бросковых движениях и в том, и другом случаях несет принципиально различные функции.
В первом случае при ударных движениях основная смысловая задача действия состоит в концентрации усилий в предударной фазе, а затем — их реализации путем создания жесткости кинематических звеньев тела в момент соударения с мячом.
Такая жесткость способствует лучшей передаче кинетической энергии, а значит — и большей силе удара.
Причем если нижняя опора в нападающем ударе создается после выпрыгивания волейболиста, верхняя — в момент замаха, то центральная — значительно раньше. По данным исследований, она соотносится с начальными шагами разбега спортсмена, во время которых осуществлялись глубокий вдох и затем произвольная задержка дыхания, длящаяся до момента ударного движения (рис. 1.7).
Рис. 1.7. Дыхание волейболиста при нападающем ударе
Таким образом, центральная опора несет здесь двойную функцию — способствует увеличению усилий, прилагаемых к опоре в момент отталкивания, и жесткости биомеханической цепи, необходимой для верхней опоры в момент удара. При этом следует заметить, что произвольная задержка дыхания в процессе игры имеет место не только при осуществлении нападающего удара, но и при выполнении таких игровых действий, как блокирование, подача, прием и передача мяча. Иными словами, волейболисту постановка дыхания важна не только для создания центральной опоры. Она определяет и аэробные возможности организма, совершенствование которых способствует развитию выносливости спортсмена.
Как известно, наиболее точные движения человек осуществляет в условиях, когда все звенья биомеханической цепи закреплены, только за счет фаланг пальцев и движения кисти (например, вдевание нитки в иголку).
На рис. 1.8 видно, что центральная опора создается еще до начала подготовительной фазы за счет произвольной задержки дыхания на вдохе, затем следует некоторое сгибание ног и рук и наконец, при выпрямленном положении ног и закреплений верхней опоры осуществляется непосредственно рабочее движение (подфаза амортизации и вылета мяча).
Такая организация биомеханических опор способствует исключению излишнего влияния проксимальных звеньев на дистальные, создавая тем самым благоприятные условия для точностно – целевых движений.
Рис. 1.8. Синхронная регистрация динамограммы (а), фаз дыхательного цикла (б — точки 1 и 2 на кривой характеризуют задержку дыхания на вдохе), тоннограмма угловых перемещений в локтевом суставе (в) и хронограммы (г)
Характеристика целевой точности и её зависимость от различных факторов
Конечным результатом всех действий волейболиста является финальная целевая точность, т.е. точность достижения цели с помощью различных приемов и передач мяча.
Точность ударов и передач мяча обусловлена тонкими кинестетическими ощущениями. Выработка навыков точного взаимодействия с мячом осуществляется на основе обратной связи, дающей информацию о результате действия. При этом в системе движений, обеспечивающих эффективность поражения цели, формируются многоконтурные связи.
Точностно – целевые движения волейболист выполняет как в опорных, так и в безопорных положениях в заранее обусловленных условиях, а также в неожиданных игровых ситуациях.
Поражение цели в игровой деятельности зависит от целого ряда факторов, которые надо учитывать и при построении упражнений в период овладения умениями и навыками взаимодействия с мячом.
2 ПЕРЕДАЧА МЯЧА – НИЖНЯЯ. МЕТОДИКА ОБУЧЕНИЯ ЭТОМУ ПРИЕМУ
2.1 Техника простых нижних передач
В исходном положении ноги игрока согнуты, угол их сгибания в голеностопном суставе 72°, в коленном — 104 и в тазобедренном — 72°. Руки в локтевых и лучезапястных суставах почти прямые, угол между туловищем и плечом 74°. Туловище наклонено вперед под углом 48° (рис. 2.1).
Рис. 2.1. Исходное положение
После исходного положения игрок незначительно увеличивает сгибание ног в коленных суставах, в результате чего руки опускаются вниз-назад. Из этого положения начинается активное разгибание ног, выпрямление туловища и смещение рук вперед-вверх.
В фазе встречного движения рук к мячу скорость их смещения в пространстве постепенно увеличивается и достигает в лучезапястном суставе от 1 до 8,2 м/сек, в локтевом — от 2,4 до 5,7 и в плечевом— от 1,2 до 3,9 м/сек.
После этого к моменту встречи принимающей поверхности рук с мячом скорость смещения рук в пространстве заметно понижается, что свидетельствует о более медленном, приторможенном разгибании ног в этой фазе. Снижение скорости рук в данном случае является необходимым условием для «мягкого» (плассированного) соприкосновения предплечий с мячом и сообщения ему нового поступательного движения по заданной траектории.
Смещение рук вперед-вверх происходит главным образом за счет выпрямления туловища, что подтверждается увеличением угла между бедром и туловищем на 31° при незначительном увеличении угла между бедром и голенью (3°).
После вылета мяча происходит сопровождающее движение рук за мячом, которое постепенно замедляется. При этом наблюдается значительное разгибание ног в коленных суставах (до 141о), чем объясняется активность данного движения только в фазе сопровождения мяча. Вследствие увеличения угла в тазобедренном суставе до 144° туловище выпрямляется и имеет угол наклона к вертикальной оси 29°. Мышечное напряжение двуглавой и трехглавой мышц плеча плавно повышается к моменту соприкосновения с мячом и затем так же плавно понижается в послеударном движении при сопровождении мяча. Почти полное отсутствие биотоков на общем сгибателе и разгибателе кисти и пальцев свидетельствует о свободном, ненапряженном состоянии мышц предплечья.
Таким образом, техника нижней передачи мяча, летящего со скоростью 6,4 м/сек, состоит из плавного движения выпрямленных рук вперед-вверх, выпрямления туловища и заключительного активного разгибания ног в коленных суставах, которое несколько притормаживается в момент соприкосновения рук с мячом.
2.2 Техника нижней передачи мяча, летящего на уровне пояса со скоростью 18—20м/сек
Полет мяча на уровне пояса определяет более высокое исходное положение волейболиста. При этом ноги игрока согнуты в коленном суставе под углом 113°. Угол между бедром и туловищем составляет 120°, что на 48° превышает угол сгибания ног в исходном положении при простой передаче (рис. 2.2).
Рис. 2.2. Исходное положение при полете мяча на уровне пояса
Наклон туловища вперед выражен менее значительно и составляет 25° (при простой передаче—48°). После исходного положения руки в течение 0,1 сек смещаются вниз-назад. Это смещение осуществляется не вследствие движения рук в плечевом суставе, а в результате некоторого незначительного сгибания ног в коленном, тазобедренном и голеностопном суставах.
Несмотря на отсутствие активного встречного движения рук в плечевом, локтевом и лучезапястном суставах, уже в исходном положении наблюдается повышение электрической активности мышц плеча и предплечья.
В следующей фазе — смещении рук вперед-вверх — скорость движения суставов рук замедляется до 2 м/сек, тогда как в этой фазе техники простой передачи наблюдается значительное увеличение скорости их движения (до 8 м/сек). Это объясняет довольно быстрое встречное движение рук к мячу, летящему со скоростью 6,4 м/сек и их весьма медленное смещение вперед-вверх при увеличении скорости полета, мяча до 18 м/сек. В этой и последующей фазах движения плечевой сустав последовательно смещается назад-вверх благодаря разгибанию ног в голеностопном и коленном суставах, а также с помощью выпрямления туловища. Изменение положения стопы свидетельствует об активных усилиях ног, направленных на отталкивание от опоры вверх-назад одновременно с их разгибанием в голеностопных и коленных суставах.
В фазе амортизации и отскока мяча от рук туловище игрока, продолжая смещение назад-вверх, находится в безопорном положении вследствие ранее приложенных усилий. Руки соприкасаются с мячом внутренней поверхностью предплечий в течение 0,03 сек. К этому моменту скорость движения рук в пространстве становится минимальной и достигает в лучезапястном суставе 1,5 м/сек и в плечевом 1 м/сек, скорость движения локтевого сустава в этой фазе движения равна нулю. Максимальное снижение скорости движения рук навстречу мячу в рабочей фазе является одним из основных моментов, способствующих смягчению удара и снижению скорости полета мяча после соприкосновения его с руками до 9,9 м/сек (при встречной скорости 18 м/сек).
Реактивное увеличение биоэлектрической активности у трехглавой мышцы плеча связано с отведением предплечий вниз в момент соприкосновения с мячом, что является основным компонентом фазы амортизации.
Все перечисленные движения имеют непосредственное отношение и к послерабочей фазе — смещению рук вверх-назад. Угол между туловищем и плечом в продолжение всех фаз движении находится в пределах 40° и поэтому при смещении плечевого сустава назад-вверх движение предплечий направлено не вперед-вверх, как при простой передаче, а вверх-назад. При этом угол между предплечьем и вертикальной осью почти не изменяется. В результате этого в заключительной фазе движения кисть не обгоняет предплечье, предплечье не обгоняет плечо, и плечо не обгоняет плечевой сустав.
После смещения туловища назад-вверх волейболист приземляется, опускает руки вниз и занимает игровую стойку.
Таким образом, основной двигательный механизм рабочей фазы техники нижней передачи мяча, летящего на уровне пояса со скоростью 18 м/сек, заключается в максимальном снижении скорости движения рук в рабочей фазе, что достигается последовательным разгибанием ног в коленных суставах, отталкиванием от опоры назад-вверх, безопорным положением туловища и его выпрямлением в тазобедренном суставе при смещении плечевого сустава назад-вверх. Угол между плечом и туловищем при этом способе передачи не изменяется в течение всего цикла движений.
2.3 Техника нижней передачи мяча, летящего ниже уровня пояса со скоростью 18—20 м/сек
В исходном положении угол сгибания ног в коленных суставах составляет 133°. Туловище волейболиста имеет наклон вперед под углом 30°. Руки выпрямлены в локтевых суставах, угол между туловищем и плечом равен 43° (рис. 2.3).
Определив, что траектория полета мяча направлена ниже пояса, игрок сгибанием ног опускает ОЦТ вниз. При этом вначале происходит смещение рук вниз-назад, а затем вперед-вниз. Скорость движения рук постепенно уменьшается и еще до момента соприкосновения с мячом составляет 2,2 м/сек. В фазе амортизации и отскока мяча сгибание ног продолжается. Угол между туловищем и бедром изменяется в рабочей фазе от 106 до 104°, между бедром и голенью — от 94 до 97 и между голенью и стопой — от 58 до 54°.
Скорость движения рук при соприкосновении с мячом, так же как и у рассмотренной выше передачи, предельно падает (0,75 м/сек).
Рис. 2.3. Исходное положение при полете мяча ниже уровне пояса
В отличие от предшествующей передачи обращает на себя внимание тот факт, что после соприкосновения рук с мячом ОЦТ продолжает понижаться в результате увеличения сгибания ног в суставах. Вследствие этих движений и главным образом из-за выпрямления туловища от 27° в рабочей фазе до 10° в момент вылета мяча, а также из-за уменьшения угла между туловищем и плечом на 13° руки волейболиста, амортизируя удар, смещаются назад-вниз. Таким образом, в данном случае принимающая поверхность рук для погашения силы удара смещается в сторону, противоположную направлению удара. В результате амортизации мяч получает скорость 8 м/сек.
После приема мяча скорость смещения рук в пространстве увеличивается, а их движение направлено вверх. Увеличение скорости в данном случае связано не с активным их движением в суставах, а объясняется разгибанием ног, последующим их отталкиванием от опоры, выпрямлением туловища и перемещением ОЦТ игрока назад-вверх.
Отталкивание от опоры и перемещение ОЦТ игрока назад-вверх имеет место и в технике рассмотренной выше передачи мяча, однако там это движение начинается несколько раньше. Некоторое его запаздывание в технике передачи мяча, летящего ниже уровня пояса, объясняется более значительным увеличением сгибания ног в суставах, которое в момент вылета мяча больше, чем при передаче мяча на уровне пояса на 29° в голеностопном, на 62 — в коленном и на 49° — в тазобедренном суставах.
Увеличение сгибания ног в суставах является необходимым условием при снижении траектории полета мяча, а более позднее разгибание ног, отталкивание от опоры и смещение ОЦТ волейболиста назад-вверх компенсируется в данном способе передачи уступающим движением рук в рабочей фазе, направленным назад-вниз. Заканчивается весь цикл движения смещением рук вверх-назад и затем вниз-назад, что происходит в результате отталкивания от опоры, выпрямления туловища, перемещения ОЦТ игрока назад-вверх и последующего его снижения при приземлении.
2.4 Техника нижней передачи с падением-перекатом на спину
Нижняя передача двумя руками с падением-перекатом на спину в значительной степени расширяет диапазон действий волейболистов в защите. Этот технический прием применяется, когда мяч летит в стороне от игрока. При этом сектор обороняемой части площадки увеличивается на несколько метров. Предохраняя игроков от ушибов и травм в результате динамичности движений при группировке в момент переката, он становится одинаково доступным как для мужчин, тик и для женщин, юношей и девушек.
Быстрота выполнения переката с последующим переворотом в упор лежа способствует быстрому включению волейболиста и игру. Точный отскок мяча вверх достигается симметричным расположением сведенных вместе кистей рук.
Особенно успешно применяют технику приема мяча с падением-перекатом на спину волейболистки сборной женской команды Японии.
Техника приема мяча с падением-перекатом на спину заключается в следующем. Игрок, определив траекторию полета мяча, делает широкий шаг-выпад в сторону его полета (рис. 2.4, а, б), опуская туловище к бедру опорной ноги (рис. 2.4, в). Сзади стоящая йога — прямая и касается внутренним сводом стопы поверхности площадки. Руки волейболиста выпрямлены (кисти соединены вместе), вытянуты вперед-вниз и проходят над коленным суставом опорной ноги на выпаде. Взгляд игрока обращен на мяч. Затем волейболист, увеличивая сгибание правой ноги, смещает туловище за опору, отрывает от поверхности площадки сзади стоящую ногу и подбивает опускающийся мяч (рис. 2.4, г). После этого следует приземление на бедро — таз (рис. 2.4, д), перекат на спине (рис. 2.4, е) и переворот через правое плечо с выходом в положение упора лежа (2.4, ж, з, и). Перекат с последующим за ним переворотом осуществляется благодаря развиваемой туловищем инерции, получаемой в результате – быстрого снижения ОЦТ, выведения его за опору и отталкивания от нее в момент приема мяча. Из положения упора лежа волейболист, может быстро встать на ноги и включиться в игру.
Рис. 2.4. Техника приема мяча с падением-перекатом на спину
Техника нижней передачи с опорой на руки и падением-перекатом на грудь—живот
Большое значение для успешной игры в защите имеют приемы мяча с последующими падениями. Их применение является совершенно необходимым в том случае, когда мяч неожиданно изменяет свою траекторию и летит в стороне от игрока. При этом умение использовать прием мяча с падением значительно повышает игровую активность и расширяет диапазон действий волейболистов в защите. Наиболее распространенным и широко применяемым среди волейболистов мужчин является прием мяча снизу в броске с опорой на руки и падением-перекатом на грудь—живот. Учитывая анатомо-физиологические особенности женского организма, выполнение этого приема для женщин противопоказано. Техника «переднего броска» показана на рис. 2.5.
Движения правой (рис. 2.5, а) и левой (рис. 2.5, б) частей туловища в этом способе приема асимметричны и поэтому для иллюстрации представлены две контурограммы, изображающие правую и левую часть тела. Условно весь цикл движения можно расчленить на несколько последовательных фаз: передвижение по площадке с заключительным шагом-выпадом, отталкивание от опоры с выпрямлением и толчком впереди стоящей ноги, безопорную фазу с приемом мяча и приземление с опорой на руки и падением-перекатом на грудь — живот. Выполняя последний шаг передвижения, игрок постепенно выпрямляет правую ногу и переносит вес туловища на выставленную вперед и согнутую в коленном суставе левую ногу (угол ее сгибания 130°). При этом наклон туловища вперед значительно увеличивается. Руки игрока опущены вниз и отведены несколько назад для предстоящего махового движения. В фазе отталкивания левая нога почти выпрямлена в коленном суставе и соприкасается с площадкой лишь носком стопы, завершающим толчковое движение.
Рис. 2.5. Техника «переднего броска»
В результате этого движения ОЦТ игрока смещается вперед-вверх, а туловище выносится за опору и отклоняется вперед от вертикали на 106°, руки выносятся вперед и готовятся к приему мяча. Бедро правой ноги, согнутой в коленном суставе, расположено горизонтально к поверхности площадки.
В безопорной фазе левая нога, оттолкнувшись от опоры, начинает смещение вверх-назад и приближается к правой. Туловище игрока перемещается в пространстве вперед-вверх, угол наклона увеличивается до 112°.
Кисть правой почти выпрямленной руки производит удар по нижней поверхности мяча и затем несколько его сопровождает. При этом смещение правой руки вверх противоположно движению левой руки, которая смещается вниз для опоры о поверхность площадки.
После приема мяча туловище игрока продолжает находиться в безопорном положении, ОЦТ волейболиста начинает смещаться вперед-вниз по касательной к поверхности площадки, правая рука приближается к левой и также готовится к опоре.
С опоры рук о площадку начинается приземление. После этого в результате сгибания рук в локтевых суставах туловище, прогибаясь в поясничной части позвоночника, опускается вперед-вниз до соприкосновения груди и живота с площадкой. Для предотвращения травмы подбородка игрок в момент приземления отклоняет голову несколько назад.
выводы
Итак, можно сделать такие выводы:
Волейбол (от англ, volley ball) — дословно мяч в воздухе, в смысловом значении в русском языке — летающий мяч. Остальная английская терминология (например, пас, драйв, аут, сэт и т. п.) была впоследствии заменена русскими синонимами (например, пас — передача, драйв — крюк, аут — «за», сэт — партия).
Соревновательная деятельность в спортивных играх имеет много общего. И тем не менее каждая игра имеет существенные отличия, связанные с характером двигательной активности, способами взаимодействия с мячом, интенсивностью и продолжительностью нагрузок, а также с критериями оценки спортивного результата. Общим же признаком, находящим свое выражение в любой спортивной игре, является высокая психическая напряженность соревновательной борьбы, которая при равных силах соперников проявляется с особым драматизмом в кульминационные моменты спортивного противоборства.
Характер игровой деятельности волейболиста обусловлен мгновенной сменой ситуации соревновательной борьбы, протекающей непрерывно, иногда в течение 2—2,5 ч.
Исследования игровой деятельности волейболистов, и в частности изучение биомеханических характеристик движений, выполняемых в различных условиях соревнований, показывают неравнозначность условий, а вместе с тем и своеобразный характер изменчивости (вариативности) самих движений (А.В. Ивойлов, 1967; О.П. Топышев, 1968; С.Л. Фетисова, 1974; Э.К. Ахмеров, М. И. Брегер, 1977).
В играх в настоящее время наиболее часто стала применяться нижняя передача двумя руками. Наблюдениями установлено, что в технике нижних передач имеются значительные различия в зависимости от встречной скорости полета мяча и высоты его траектории по отношению к игроку. Поэтому при описании разных способов нижней передачи необходимо учитывать эти различия и выявить на этой основе главный двигательный механизм, связанный с амортизацией и отскоком мяча от рук игрока.
Техника нижней передачи мяча состоит из исходного положения и ряда последовательных фаз: встречного движения рук к мячу, фазы амортизации и отскока и сопровождающего движения.
список использованной литературы
1. Ивойлов А.В. Волейбол. – М., 1981 г.
2. Агашин Ф.К. Биомеханика ударных движений. – М., 1977 г.
3. Верхошанский Ю.В. Основы специальной силовой подготовки в спорте. – М., 1970 г.
4. Качашкин В.М. Методика физического воспитания. – М., 1980 г.
5. Козленко М.П. Теория и методика физического воспитания. – К., 1984 г.
6. Матвеев А.П. Теория и методика физической культуры. – М., 1991 г.
7. Теория и методика физического воспитания / Под ред. Ашмарина Б.А. –М., 1990 г.
Нравится материал? Поддержи автора!
Ещё документы из категории физкультура:
Чтобы скачать документ, порекомендуйте, пожалуйста, его своим друзьям в любой соц. сети.
После чего кнопка «СКАЧАТЬ» станет доступной!
Кнопочки находятся чуть ниже. Спасибо!
Кнопки:
Скачать документ