Полный расчет ректификационной колонны





























































































































































































































































































































































































































































































Задание на проектирование
Перечень инженерных расчетов: расчет ректификационной колонны; подробный тепловой расчет дефлегматора; ориентировочный расчет теплообменников.
Перечень работ выполняемых на ЭВМ: расчет дефлегматора.
Состав и объем графической части: технологическая схема; общий вид дефлегматора.
Основные данные: расход исходной смеси 6.5 кг/с; концентрации (мольные доли) , ; продукты разделения охладить до 25ْС.
Введение
Для получения продуктов сложного состава, разделения изотопов, выделения индивидуальных веществ широкое применение в промышленности получила ректификация. Этот процесс основан на различной летучести составляющих смесь компонентов, т.е. на различных температурах кипения компонентов при одинаковом давлении. Ректификация заключается в многократном частичном испарении жидкости и конденсации паров. Процесс осуществляется путем контакта потоков пара и жидкости, имеющих различную температуру, и проводится обычно в колонных аппаратах, состоящих из собственно колонны, где осуществляется противоточное контактирование пара и жидкости, и устройств, в которых происходит испарение жидкости и конденсация пара — куба и дефлегматора.
По конструкции ректификационные колонны подразделяются на насадочные, тарельчатые и роторные. Основным типом колонных аппаратов большой производительности считаются ректификационные колонны с барботажными тарелками, а при необходимости самого малого перепада давления на одну теоретическую ступень разделения или при работе в коррозионной среде – колонны с насадкой.
По способу проведения ректификацию разделяют на периодическую и непрерывную.
При непрерывной - разделяемая смесь непрерывно подается в среднюю часть колонны, дистиллят отбирается из дефлегматора, а обедненный легколетучим компонентом остаток отводится из куба колонны, флегма поступает на орошение в верхнюю часть колонны.
При периодической ректификации в нижнюю часть (куб) колонны, снабженной нагревательным устройством, загружают исходную смесь; образующийся пар поднимается верх и конденсируется в дефлегматоре (холодильнике), часть конденсата (флегмы) возвращается на орошение в верхнюю часть колонны, а оставшаяся жидкость отбирается.
Насадочные колонны получили широкое распространение в химической промышленности благодаря простоте их устройства, дешевизне изготовления и малому гидравлическому сопротивлению при пленочном режиме работы. В насадочных массообменных аппаратах жидкость тонкой пленкой покрывает насадку и стекает по ней, при этом поверхность контакта с газообразной фазой определяется поверхностью насадки, свойствами жидкости и гидродинамическим режимом.
Недостатком работы насадочной колонны является неравномерность распределения пара и жидкости по поперечному сечению, что приводит к - неодинаковой эффективности различных ее частей и низкой эффективности работы всей колонны в целом. Значительное увеличение эффективности аппарата достигается применением насадки, частично погруженной в жидкость: газ при этом в виде пузырьков барботируется через слой жидкости.
В отдельных случаях применяют подвижные насадки, которые приводят в колебательное движение восходящим потоком газа, при этом допускаются высокие скорости движения фаз, а поверхность межфазного контакта превышает поверхность насадочных элементов. Эффективность тепло- и массообмена в значительной мере зависит от равномерности распределения жидкости в объеме насадки. Эта задача решается применением специальных оросителей, распределяющих жидкость по верхнему сечению насадки, и использованием материалов (металлических сеток, армированной стеклоткани), обеспечивающих растекание жидкости по поверхности насадки под действием капиллярных сил.
Насадки загружают в аппараты навалом на опорные решетки (нерегулярные насадки), укладывают в определенном порядке или монтируют в жесткую структуру (регулярные насадки). Изготавливают насадки из дерева, металла, стекла, керамики, пластмасс. Элементы нерегулярных насадок выполняют в виде колец, спиралей, роликов, шаров, седел и т.д. Наиболее распространены кольца Рашига, размеры которых обычно составляют 50 мм. Для повышения смачиваемости насадки и пропускной способности аппарата стенки колец иногда снабжают продольными или поперечными канавками или прорезями.
Для отвода жидкости из насадочной колонны применяют две схемы: в первой схеме (обычные насадочные колонны) жидкость стекает по насадке и отводится из нижней части колонны; во второй схеме (эмульгационные колонны) жидкость отводится через переливную трубу.
В данном курсовом проекте производится расчет обычной ректификационной насадочной колонны для разделения бинарной смеси – «ацетон – четыреххлористый углерод» при атмосферном давлении, с насыпной насадкой из стальных колец Рашига.
1. Описание технологической схемы
Исходная смесь подаётся в теплообменник центробежным насосом из ёмкости, где она подогревается до температуры кипения. Затем нагретая смесь поступает на разделение в середину ректификационной колонны на тарелку питания, где состав жидкости равен составу исходной смеси.
Стекая вниз по колонне, жидкость взаимодействует с поднимающимся вверх паром, образующимся при кипении кубовой жидкости в кипятильнике. Начальный состав пара примерно равен составу кубового остатка, т.е. обеднен легколетучим компонентом. В результате массообмена с жидкостью пар обогащается легколетучим компонентом. Для более полного обогащения верхнюю часть колонны орошают, в соответствии с заданным флегмовым числом, жидкостью (флегмой), получаемой в дефлегматоре путём конденсации пара, выходящего из колонны. Часть конденсата выводится из дефлегматора в виде готового продукта разделения - дистиллята, который охлаждается в теплообменнике и направляется в промежуточную ёмкость.
Из кубовой части колонны насосом непрерывно выводится кубовая жидкость - продукт, обогащённый труднолетучим компонентом, который охлаждается в теплообменнике и направляется в ёмкость.
Таким образом, в ректификационной колонне осуществляется непрерывный процесс разделения исходной бинарной смеси на дистиллят (с высоким содержанием легколетучего компонента) и кубовый остаток (обогащённый труднолетучим компонентом).
2. Инженерные расчеты
2.1 Технологические расчеты
Для технологических расчетов установки необходимо знать свойства веществ при определённых температурах. Основными диаграммами для определения этих свойств являются диаграммы: состав пара – состав жидкости, и зависимость температуры кипения от состава. В приложение 1 приведены диаграммы указанных свойств бинарной системы ацетон- четыреххлористый углерод.
2.1.1 Равновесные данные
x - мольная доля легколетучего компонента в жидкой фазе;
y - мольная доля легколетучего компонента в паровой фазе;
t – температура,ْС.
-
x
y
t
0
0
76.74
5.9
20.25
70.80
8.7
27.10
68.74
17.9
40.75
64.45
26.4
48.95
61.91
37.4
56.55
59.83
45.1
61.25
58.74
52.55
65.50
57.94
61.65
70.65
57.18
69.60
75.60
56.67
76.20
79.85
56.36
82.95
84.60
56.15
89.50
89.80
56.01
91.40
91.50
56.02
95.30
95.20
55.99
100.00
100.00
56.08
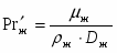
2.1.2 Материальный баланс
Зная производительность колонны по дистилляту и необходимые концентрации, определим недостающие данные, т. е. производительность по кубовому остатку и питание исходной смеси (GW и GD), на основании уравнений материального баланса.
где - массовая доля легколетучего компонента в исходной смеси, дистилляте и кубовом остатке соответственно.
массовый расход исходной смеси, дистилляте и
кубовом остатке соответственно.
где MF -молекулярная масса:
кг/кмоль
кг/кмоль
кг/кмоль,
где M1 – молекулярная масса легколетучего компонента; M2 – молекулярная масса второго компонента;
xF, xD, xW- мольная доля легколетучего компонента в исходной смеси, дистилляте и кубовом остатке соответственно.
Где 1-ацетон, 2-четыреххлористый углерод.
кмоль/с
Находим массовую долю по формуле:
Решив систему материального баланса, получим:
кг/с
кг/с
кмоль/с
кмоль/с
Нагрузка ректификационной колонны по пару и жидкости определяется рабочим флегмовым числом. Для его расчета используют приближенные вычисления по формуле:
где Rmin – минимальное флегмовое число.
При этом:
где - мольные доли легколетучего компонента в жидкости, а - концентрация легколетучего компонента в паре, находящаяся в равновесии с жидкостью (питанием исходной смеси).
По диаграмме «Равновесное состояние жидкости и пара» (приложение1) находим при соответствующем значении , таким образом
Тогда:
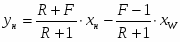
Также для расчета флегмового числа используем графический метод:
рассчитав число теоретических ступеней контакта (теоретических тарелок)
R=1.5, y=32, n=15.2, n(R+1) =15.2(1.5+1) =38
R=2, y=26.67, n=11.4, n(R+1) =11.4(2+1) =34.2
R=2.5, y=22.86, n=9, n(R+1) =9(2.5+1) =31.5
R=3, y =20, n=8, n(R+1) =8(3+1) =32
R=4, y=16, n=7.33, n(R+1) =7.33(4+1) =36.65
R=5, y=13.33, n=6.43, n(R+1) =6.43(5+1) =38.58
В данном курсовом проекте используем , найденное графическим методом (приложение 3).
2.1.3 Расчет расходов пара и жидкости в верхней и нижней части колонны.
Найдем уравнение рабочих линий:
а) для верхней (укрепляющей) части колонны:
б) для нижней (исчерпывающей) части колонны:
где F – относительный мольный расход питания.
Определяем температуры для нижней и верхней части колонны для жидкости и пара из диаграммы «Зависимость температуры от равновесных составов пара и жидкости» (приложение1):
ْْC, ْC,
ْْْC, ْC.
Определяем объемный расход пара:
кмоль/с
Расход пара в нижней и верхней части колонны определяется по формуле:
,
где p0=760 мм рт. ст. – атмосферное давление,
T0=273 K- абсолютная температура.
м3/с
м3/с
Молярную массу паровой смеси в нижней и верхней части колоны находим по формуле:
кг/кмоль
кг/кмоль
Массовые расходы паров в нижней и верхней части колоны находим по формуле:
кг/с;
кг/с;
Определим плотности пара в верхней и нижней части колонны по формуле:
кг/м3
кг/м3
Определим вязкость пара в верхней и нижней части колонны для ацетона (1) и четыреххлористого углерода (2):
,
где табличные данные: Па. с, Па. с,
С1=651,С2=384- константы уравнения.
а) для нижней части колонны:
Па.с Па.с
б) для верхней части колонны:
Па.с
Па.с
Определим вязкость смеси пара в нижней и верхней части колонны по формуле:
Па.с
Па.с
Определим плотности жидкости по формуле:
,
где плотности ацетона, четыреххлористого углерода соответственно.
а) для нижней части колонны:
кг/м3
кг/м3
кг/м3
б) для верхней части колонны:
кг/м3
кг/м3
кг/м3
Определим вязкость смеси жидкости для нижней и верхней части колонны по формуле:
,
где вязкости ацетона, четыреххлористого углерода соответственно.
мПа.с мПа.с
мПа.с мПа.с
Па.с
Па.с
Поверхностное натяжение смеси жидкостей в верхней и нижней части колонны определим по формуле:
,
где поверхностное натяжение ацетона, четыреххлористого углерода соответственно.
Н/м
Н/м
Н/м
Н/м
м/Н
Н/м
м/Н
Н/м
Находим мольные и массовые расходы жидкости в нижней и верхней части колонны:
кмоль/с
кг/кмоль
кг/с
кг/с
кмоль/с
кг/кмоль
кг/с
кг/с
2.1.4 Расчет теплового баланса установки
Тепловой баланс ректификационной колонны выражается общим уравнением:
где QK – тепловая нагрузка куба; QD –количество теплоты, передаваемой от пара к воде; Qпот – тепловые потери (5%); -теплоёмкости соответствующие дистилляту, кубовому остатку и исходной смеси; - температуры соответствующие дистилляту, кубовому остатку и исходной смеси(находим из диаграммы «Зависимость температуры от равновесных составов пара и жидкости» приложение 1):
, , .
Найдем удельную теплоту конденсации паров дистиллята по аддитивной формуле:
кДж/кг
где - теплоты испарения ацетона и четыреххлористого углерода при температуре дистиллята , .
,
где исходные данные: A1 =72.18; t 1кр=235.1; A2=25.64; t2кр=283.4
;
.
Определим тепловую нагрузку дефлегматора по формуле:
кВт
Определим теплоёмкости смеси:
Для ацетона(1): c0=2.11кДж/(кгК); с1=0.0028 кДж/(кгК);
Для четыреххлористого углерода (2): c0=0.85кДж/(кгК); с1=0.00037 кДж/(кгК);
,
Тогда:
2.2 Гидравлический расчет насадочной колонны аппарата
бор рабочей скорости паров обусловлен многими факторами и обычно осуществляется путем технико-экономического расчета для каждого конкретного процесса. Для ректификационных колонн, работающих в пленочном режиме при атмосферном давление, рабочую скорость можно принять на 20% ниже скорости захлёбывания:
(26)
где - скорость захлебывания пара, м/с; – удельная поверхность насадки, м2/м3; Vсв – свободный объём насадки, м3/м3; μж – динамический коэффициент вязкости жидкости, мПа∙с; и - массовые расходы жидкой и паровой фаз, кг/с; и - плотность пара и жидкости соответственно, кг/м3.
Выбираем в качестве насадки - стальные кольца Рашига:
Кольца Рашига 25 мм:
в:
н:
Тогда рабочая скорость в верхней и нижней части колонны равна:
По рабочей скорости определяем диаметр колонны:
,
где объемный расход пара при рабочих условиях в колонне, м3/с.
;
;
Выбираем стандартный аппарат с диаметром 2.2 м, с кольцами Рашига диаметром 25мм и уточняем рабочую скорость по формуле:
Плотность орошения для верхней и нижней части колонны определяют по формуле:
,
где U – плотность орошения, м3/(м2.с);
- объемный расход жидкости, м3/с;
S – площадь поперечного сечения колонны, м2.
,
где D – диаметр колонны, м.
так как плотность орошения меньше допустимых значений, то необходимо выбрать кольца Рашига с меньшим диаметром.
Кольца Рашига 50 мм:
в:
н:
Тогда рабочая скорость в верхней и нижней части колонны равна:
По рабочей скорости определяем диаметр колонны:
,
где объемный расход пара при рабочих условиях в колонне, м3/с.
;
;
Выбираем стандартный аппарат с диаметром 2 м, с кольцами Рашига диаметром 50мм и уточняем рабочую скорость по формуле:
Плотность орошения для верхней и нижней части колонны определяют по формуле:
,
где U – плотность орошения, м3/(м2.с);
- объемный расход жидкости, м3/с;
S – площадь поперечного сечения колонны, м2.
,
где D – диаметр колонны, м.
Так как плотность орошения удовлетворяет допустимым значениям, то в дальнейших расчетах используем кольца Рашига диаметром 50 мм.
Активную поверхность насадки находят по формуле:
,
где U – плотность орошения, м3/(м2.с);
- удельная поверхность насадки, м2 /м3;
p, q – постоянные, зависящие от типа и размера насадки.
Для выбранных колец Рашига с диаметром 50 мм:
p=0.024, q=0.012.
Определим активную поверхность насадки в нижней и верхней части колонны:
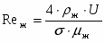
Одной из важных характеристик аппарата является гидравлическое сопротивление насадки, который зависит от режима движения пара (газа). Для расчета необходимо определить число Рейнольдса:
,
где - вязкость пара.
Определяем значения числа Рейнольдса для нижней и верхней части колонны:
Определяем коэффициент сопротивления для верхней и нижней части колонны:
Так как число Reп>40, то
Определяем гидравлическое сопротивление для верхней и нижней части колонны:
,
где H=1 м – высота слоя.
Па/м
Па/м
,
где b- коэффициент, для колец Рашига 50 мм: b= 47.10-3.
=375.61 Па/м
=1093.32Па/м
2.3 Расчет высоты колонны
Определим коэффициент диффузии газа для нижней и верней части колонны по формуле:
,
где T – температура газа, К; p- давления газа, кгс/см2; MA,MB- мольные массы газов A и B;
vA,vB- мольный объемы газов А и В, определяемые, как сумма атомных объемов элементов, входящих в состав газа.
Пусть А – ацетон (МА=58 кг/кмоль);
В- четыреххлористый углерод (МВ=154кг/кмоль).
см3/атом
см3/атом
м2/с;
м2/с;
Определим коэффициент диффузии в разбавленных растворах для верхней и нижней части колонны:
,
где М – мольная масса растворителя;
v- мольный объем диффундирующего вещества;
T –температура, К;
- динамический коэффициент вязкости растворителя, мПа.с;
- параметр, учитывающий ассоциацию молекул растворителя (А=В=1).
Пусть А растворяется в В (В- растворитель):
м2/с;
м2/с.
Пусть В растворяется в А (А- растворитель):
м2/с;
м2/с.
Определим коэффициент диффузии смеси жидкостей для верхней и нижней части колонны по формуле:
м2/с;
м2/с.
По диаграмме «Равновесное состояние жидкости и пара» определяем коэффициенты распределения нижней и верхней частей колонны:
Через xн, xв определяем углы α и β соответственно (приложение 2).
Определяем число единиц переноса графическим методом интегрирования для нижней и верхней части колонны:
yw=xw=0.06
yD=xD=0.8
x
y*
y
y*-y
.102
6.00
8.70
17.9
26.4
37.4
45.1
48.00
52.55
56.90
69.6
76.2
80.0
20.25
27.10
40.75
48.95
56.55
61.25
63.00
65.50
70.65
75.60
79.85
82.00
6.00
10.0
21.0
31.5
42.5
54.0
56.9
61.0
66.5
72.0
77.0
80.0
14.25
17.10
19.75
17.45
14.05
7.25
6.10
4.50
4.15
3.60
2.85
2.00
7.02
5.84
5.06
5.73
7.12
13.79
16.39
22.22
24.01
27.78
35.09
50.00
По данным таблицы строим график зависимости и определяем площадь под графиком с помощью метода трапеций для нижней и верхней части колонны, равную числу единиц переноса (приложение 4):
n0yн=3.029
n0yв=5.51
Определим высоту единиц переноса с помощью сведущих формул:
а) критерий Рейнольдса для пара и жидкости в верхней и нижней части колонны:
б) критерий Прандтля для пара и жидкости в верхней и нижней части колонны:
в) приведенная толщина жидкой пленки для верхней и нижней части колонны:
г) высота единиц переноса в газовой фазе для верхней и нижней части колонны:
м
м
д) высота единиц переноса в жидкой фазе для верхней и нижней части колонны:
м
м
Тогда высота единиц переноса равна:
м
м
Определим высоту слоя насадки по формуле:
Тогда общую высоту аппарата определим по формуле:
2.4 Ориентировочный расчет теплообменников
Произведем ориентировочные расчеты пяти теплообменников: куба-испарителя, подогревателя, дефлегматора и двух холодильников (дистиллята и кубового остатка).
2.4.1 Куб-испаритель
Исходные данные: Qk=3924.32кВт, tw=71ْC
Δt=tгп-tw
Пусть Δt=30ْC, тогда:
tгп= Δt+ tw=101ْC,
при tгп= 101ْC,
pгп=1.0728кгс/см2, rгп=2257.6 кДж/кг
пусть коэффициент теплопередачи Кор=800Вт/(м2.К)
Определим поверхность теплообмена по формуле:
м2
По ориентировочной поверхности теплообмена выбираем стандартный куб-испаритель с внутренним диаметром кожуха D=1000 мм, числом труб n=747, с поверхностью теплообмена F=176 м2 и длиной труб l=3м.
2.4.2 Подогреватель
Исходные данные: кг/с, xF=0.48, tF=58.4 ْC, tнач=20 ْC, .
Определим среднюю температуру:
Δtм=tгп-tF=101-58.4=42.6 ْC
Δtб=tгп-tнач=101-20=81 ْC
ْC
tср=tгп- Δtср=41.23 ْC
Определим вязкость смеси:
мПа.с
мПа.с
мПа.с
Определим теплоемкость смеси:
Определим количество теплоты в подогревателе:
Вт
Пусть Кор=300Вт/(м2.К), тогда
м2
м
м
0.01161<Sтр<0.0232
Исходя из сделанных расчетов можем выбрать стандартный четырехходовой подогреватель с внутренним диаметром кожуха D=600 мм, числом труб n=334, длиной труб l=3м, проходным сечением одного хода Sт=1.6.10-2м и числом рядов труб nр=18.
Определим расход греющего пара по формуле:
кмоль/с
2.4.3 Дефлегматор
Исходные данные: QD=3703,486 кВт, tD=56 ْC, tвнач=15 ْC, tвкон=40 ْC
Определим среднюю температуру:
Δtм=tD-tвкон=16 ْC
Δtб=tD-tвнач=41 ْC
ْC
tср=tD- Δtср=29.32 ْC
Определим теплофизические свойства воды при tср=29.32 ْC:
λ =0.6167Вт/(м.К)
μ=0.8125 мПа.с
ρ=996.14кг/м3
β=3.12.10-4 1/К
с=4189Дж/кгК
Пусть Кор=500Вт/(м2.К), тогда
м2
кг/с
м
м
0.03<Sтр<0.07
Исходя из сделанных расчетов выбираем: стандартный четырехходовой дефлегматор 20x2 с внутренним диаметром кожуха D=1000 мм, числом труб n=1072, длиной труб l=4м, проходным сечением одного хода Sт=5.1.10-2м, числом рядов труб nр=34 и стандартный шестиходовой дефлегматор 25x2 с внутренним диаметром кожуха D=1200 мм, числом труб n=958, длиной труб l=4м, проходным сечением одного хода Sт=5.2.10-2м, числом рядов труб nр=32.
2.4.4 Холодильник дистиллята
Исходные данные: кг/с, tD=56 ْC, tвкон=25 ْC, tвнач=15 ْC, t1кон=25 ْC.
Определим среднюю температуру:
Δt1=tD-tвкон=31 ْC
Δt2=t1кон-tвнач=10 ْC
δt1=tD-t1кон=31 ْC
δt2=tвкон-tвнач=10ْC
ْC
ْC
так как δt1>δt2, то
ْC
Определим теплофизические свойства воды при tсрв=20 ْC:
с=4190Дж/кгК
μ=1.005 мПа.с
t1ср=tвср+ Δtср=20+15.03=35.03 ْC
Определим теплоемкость дистиллята при t1ср:
Вт
кг/с
Пусть Кор=300Вт/(м2.К), тогда
м2
м
м
0.0034<Sтр<0.0068
Определим вязкость смеси при t1ср=35.03 ْC
мПа.с
мПа.с
мПа.с
м
м
0.013<Sмтр<0.039
Исходя из сделанных расчетов можем выбрать стандартный четырехходовой холодильник c 25x2 внутренним диаметром кожуха D=600 мм, числом труб n=206, длиной труб l=2м,с расстоянием между перегородками в межтрубном пространстве h=300мм, проходным сечением одного хода Sт=1.8.10-2м и числом рядов труб nр=14.
2.4.5 Холодильник кубового остатка.
Исходные данные: кг/с, tw=56 ْC, tвкон=25 ْC, tвнач=15 ْC, t1кон=25 ْC.
Определим среднюю температуру:
Δt1=tw-tвкон=71-25=46 ْC
Δt2=t1кон-tвнач=25-15=10 ْC
δt1=tw-t1кон=71-25=46 ْC
δt2=tвкон-tвнач=25-15=10ْC
ْC
ْC
так как δt1>δt2, то
ْC
Определим теплофизические свойства воды при tсрв=20 ْC:
с=4190Дж/кгК
μ=1.005 мПа.с
t1ср=tвср+ Δtср=20+19.24=39.24 ْC
Определим теплоемкость дистиллята при t1ср:
Вт
кг/с
Пусть Кор=300Вт/(м2.К), тогда
м2
м
м
0.003<Sтр<0.006
Определим вязкость смеси при t1ср=39.24 ْC
мПа.с
мПа.с
мПа.с
м
м
0.0073< Sмтр<0.022
Исходя из сделанных расчетов можем выбрать стандартный двухходовой холодильник 20x2 c внутренним диаметром кожуха D=400 мм, числом труб n=166, длиной труб l=3м, с расстоянием между перегородками в межтрубном пространстве h=250мм, проходным сечением одного хода Sт=1.7.10-2м и числом рядов труб nр=14.
2.5 Подробный расчет дефлегматора
В данном разделе подробно рассчитаем один из теплообменников – дефлегматор, выбранный в ориентировочном расчете.
Дефлегматор-аппарат, предназначенный для конденсации паров и подачи флегмы в колонну, представляет собой кожухотрубчатый теплообменник, в межтрубном пространстве, которого обычно конденсируется пары, а в трубах движется охлаждающий агент – вода.
В качестве хладагента используем воду среднего качества со средним значением тепловой проводимости загрязнений стенок , а тепловая проводимость загрязнений стенок органическими парами .
Толщину слоя загрязнения примем равной 2мм. В качестве материала труб выберем нержавеющую сталь с коэффициентом теплопроводности .
Тогда термическое сопротивление загрязнений труб
Расчет коэффициентов теплоотдачи.
Исходные данные: , tD=56 ْC, t2ср=29.32 ْC, , дефлегматор с внутренним диаметром кожуха D=1000 мм, числом труб n=1072, длиной труб l=4м, проходным сечением одного хода Sт=5.1.10-2м и числом рядов труб nр=34, в среднем по 31-32 трубе в ряду.
1. Задаемся температурой стенки ْC
Тогда
Δt=tD-tст1=56-45=11 ْC
tпл=(tкон+tст1)/2=(56+45)/2=50.5 ْC
Далее необходимо определить поверхностные плотности теплового потока и сопоставить их, если разница между ними будет меньше 5 %, то можно считать, что процесс установившийся и температура стенки подобранна правильно.
,
где - коэффициенты теплоотдачи от стенки 1 и 2;
,
где =0,55- множитель, учитывающий влияние числа труб по вертикали;
теплопроводность смеси, Вт/(м.К);
-плотность смеси, кг/м3;
теплота конденсации, Дж/кг;
- скорость свободного падения, м/с;
-вязкость смеси, мПа.с;
- наружный диаметр труб, м.
Коэффициент может быть существенным для вязких конденсатов, а для воды в первом приближении его не учитывают.
Определим теплопроводность, плотность, вязкость при определяющей температуре t=50.5 ْC и теплоту конденсации при температуре конденсации:
кДж/кг
где - теплоты испарения ацетона и четыреххлористого углерода,.
,
где исходные данные: A1 =72.18; t 1кр=235.1; A2=25.64; t2кр=283.4
;
.
мПа.с
мПа.с
кг/м3
кг/м3
кг/м3
Вт/мК
Вт/мК
Тогда
Тогда поверхностная плотность теплового потока первой стенки определим по формуле:
Примем что
Определим температуру второй стенки по формуле:
Определим коэффициент теплопроводности для воды при t=29.32 ْC с помощью интерполяции справочных данных:
Аналогично определим коэффициент теплопроводности для воды при t=34.23 ْC:
Определим вязкость жидкости для воды при t=29.32 ْC с помощью интерполяции справочных данных:
Па
Аналогично определим вязкость воды при t=34.23 ْC:
Па
Определим теплоемкость воды t=29.32 ْC с помощью интерполяции справочных данных:
Аналогично определим теплоемкость воды при t=34.23 ْC:
Определим критерий Рейнольдса по формуле:
,
где - вязкость смеси, Па.с;
G- расход воды, кг/с;
z- число ходов, z=4;
d- внутренний диаметр труб, м;
Nтр- количество труб.
Определим критерий Прандтля для потока и стенки при температурах tср=29.32ْС, tст=34.23ْС:
,
где с- теплоемкость воды, Дж/кгК;
теплопроводность воды, Вт/(м.К);
-вязкость воды, мПа.с.
Определим критерий Нуссельта по формуле:
Зная критерий Нуссельта, определим коэффициент теплоотдачи второй стенки по формуле:
Тогда
Тогда поверхностная плотность теплового потока первой стенки определим по формуле:
Сопоставим q1 и q2, т разность выразим в процентах:
Выбранная температура стенки наугад не подходит.
2. Выбираем новую температуру стенки tст1=44ْС и проводим расчеты аналогично расчетам при температуре стенки ْC
Тогда
Δt=tD-tст1=56-44=12 ْC
tпл=(tкон+tст1)/2=(56+44)/2=50 ْC
Необходимо определить поверхностные плотности теплового потока и сопоставить их, если разница между ними будет меньше 5 %, то можно считать, что процесс установившийся и температура стенки подобранна правильно.
,
где - коэффициенты теплоотдачи от стенки 1 и 2;
,
где =0,55- множитель, учитывающий влияние числа труб по вертикали;
теплопроводность смеси, Вт/(м.К);
-плотность смеси, кг/м3;
теплота конденсации, Дж/кг;
- скорость свободного падения, м/с;
-вязкость смеси, мПа.с;
- наружный диаметр труб, м.
Коэффициент может быть существенным для вязких конденсатов, а для воды его не учитывают.
Определим теплопроводность, плотность, вязкость при определяющей температуре t=50 ْC и теплоту конденсации при температуре конденсации:
кДж/кг
где - теплоты испарения ацетона и четыреххлористого углерода,.
,
где исходные данные: A1 =72.18; t 1кр=235.1; A2=25.64; t2кр=283.4
;
.
мПа.с
мПа.с
кг/м3
кг/м3
кг/м3
Вт/мК
Вт/мК
Тогда
Тогда поверхностная плотность теплового потока первой стенки определим по формуле:
Примем, что
Определим температуру второй стенки по формуле:
Определим коэффициент теплопроводности для воды при t=29.32 ْC с помощью интерполяции справочных данных:
Аналогично определим коэффициент теплопроводности для воды при t=32.5 ْC:
Определим вязкость жидкости для воды при t=29.32 ْC с помощью интерполяции справочных данных:
Па
Аналогично определим вязкость воды при t=32.5 ْC:
Па
Определим теплоемкость воды t=29.32 ْC с помощью интерполяции справочных данных:
Аналогично определим теплоемкость воды при t=32.5 ْC:
Определим критерий Рейнольдса по формуле:
,
где - вязкость смеси, Па.с;
G- расход воды, кг/с;
z- число ходов, z=4;
d- внутренний диаметр труб, м;
Nтр- количество труб.
Определим критерий Прандтля для потока и стенки при температурах tср=29.32ْС, tст=32.5ْС:
,
где с- теплоемкость воды, Дж/кгК;
теплопроводность воды, Вт/(м.К);
-вязкость воды, мПа.с.
Определим критерий Нуссельта по формуле:
Зная критерий Нуссельта, определим коэффициент теплоотдачи второй стенки по формуле:
Тогда
Тогда поверхностная плотность теплового потока первой стенки определим по формуле:
Сопоставим q1 и q2, т разность выразим в процентах:
Выбранная температура стенки наугад не подходит.
3. Используя графический метод, определяем температуру стенки в третьем приближение-
ْC (графическое решение приведено в приложение 5).
Проводим расчеты аналогичные расчетам, выполненным в пункте 2.
Δt=tD-tст1=56-44.8=11.2 ْC
tпл=(tкон+tст1)/2=(56+44.8)/2=50.4 ْC
Необходимо определить поверхностные плотности теплового потока и сопоставить их, если разница между ними будет меньше 5 %, то можно считать, что процесс установившийся и температура стенки подобранна правильно.
,
где - коэффициенты теплоотдачи от стенки 1 и 2;
,
где =0,55- множитель, учитывающий влияние числа труб по вертикали;
теплопроводность смеси, Вт/(м.К);
-плотность смеси, кг/м3;
теплота конденсации, Дж/кг;
- скорость свободного падения, м/с;
-вязкость смеси, мПа.с;
- наружный диаметр труб, м.
Коэффициент может быть существенным для вязких конденсатов, а для воды его не учитывают.
Определим теплопроводность, плотность, вязкость при определяющей температуре t=50 ْC и теплоту конденсации при температуре конденсации:
кДж/кг
где - теплоты испарения ацетона и четыреххлористого углерода,.
,
где исходные данные: A1 =72.18; t 1кр=235.1; A2=25.64; t2кр=283.4
;
.
мПа.с
мПа.с
кг/м3
кг/м3
кг/м3
Вт/мК
Вт/мК
Тогда
Тогда поверхностная плотность теплового потока первой стенки определим по формуле:
Примем что
Определим температуру второй стенки по формуле:
Определим коэффициент теплопроводности для воды при t=29.32 ْC с помощью интерполяции справочных данных:
Аналогично определим коэффициент теплопроводности для воды при t=33.89 ْC:
Определим вязкость жидкости для воды при t=29.32 ْC с помощью интерполяции справочных данных:
Па
Аналогично определим вязкость воды при t=33.89 ْC:
Па
Определим теплоемкость воды t=29.32 ْC с помощью интерполяции справочных данных:
Аналогично определим теплоемкость воды при t=33.89 ْC:
Определим критерий Рейнольдса по формуле:
,
где - вязкость смеси, Па.с;
G- расход воды, кг/с;
z- число ходов, z=4;
d- внутренний диаметр труб, м;
Nтр- количество труб.
Определим критерий Прандтля для потока и стенки при температурах tср=29.32ْС, tст=32.5ْС:
,
где с- теплоемкость воды, Дж/кгК;
теплопроводность воды, Вт/(м.К);
-вязкость воды, мПа.с.
Определим критерий Нуссельта по формуле:
Зная критерий Нуссельта, определим коэффициент теплоотдачи второй стенки по формуле:
Тогда
Тогда поверхностная плотность теплового потока первой стенки определим по формуле:
Сопоставим q1 и q2, т разность выразим в процентах:
Температура стенки подобрана верно.
Определим коэффициент теплоотдачи по формуле:
Зная коэффициент теплоотдачи, определим поверхность теплообмена по формуле:
Таким образом, рассчитанное значение коэффициента теплоотдачи больше выбранного нами коэффициента теплоотдачи в ориентировочном расчете дефлегматора, а поверхность теплообмена меньше, чем ориентировочная поверхность теплообмена дефлегматора. Значение поверхности теплообмена стандартного дефлегматора F=269 м2, следовательно дефлегматор выбран с запасом поверхности теплообмена 13%.
Вывод
В данной курсовой работе мы произвели расчет ректификационной колонны для разделения смеси: ацетон-четыреххлористого углерода при атмосферном давлении. В качестве ректификационной колонны используется аппарат насадочного типа с кольцами Рашига 50мм, обеспечивающий перекрестное движение пара и жидкости, высотой H=6.43м и диаметром D=2м.
Был произведен ориентировочный расчет пяти теплообменников: дефлегматора, подогревателя, куба испарителя и двух холодильников (дистиллята и кубового остатка); в результате чего были выбраны:
- стандартные куб испаритель с трубами 25x2мм, исполнения 2 по ГОСТ 15119-79 с внутренним диаметром кожуха D=1м, числом труб n=747, длиной труб l=3м и поверхностью теплообмена F=176 м2;
- четырехходовой подогреватель по ГОСТ 15121-79 с внутренним диаметром кожуха D=0.6м, числом труб n=334, числом рядов труб np=18, длиной труб l=3м, с проходным сечением одного хода Sт=0.016м2, поверхностью теплообмена F=63 м2;
- двухходовой холодильник кубового остатка с трубами 20x2мм по ГОСТ 15122-79 с внутренним диаметром кожуха D=0.4м, с числом труб n=166, длиной труб l=3м, числом рядов труб np=14, с расстоянием между перегородками в межтрубном пространстве h=0.25м, поверхностью теплообмена F=31м2;
- четырехходовой холодильник дистиллята с трубами 25x2мм по ГОСТ 15122-79 с внутренним диаметром кожуха D=0.6м, с числом труб n=206, длиной труб l=2м, числом рядов труб np=14, с расстоянием между перегородками в межтрубном пространстве h=0.3м, поверхностью теплообмена F=32м2;
- четырехходовой дефлегматор с трубами 20x2мм по ГОСТ 15121-79 с внутренним диаметром кожуха D=1м, числом труб n=1072, длиной труб l=4м, поверхностью теплообмена F=269м2, с числом рядов np=34 и проходным сечением одного хода Sтр=0.051м;
- шестиходовой дефлегматор с трубами 25x2мм по ГОСТ 15121-79 с внутренним диаметром кожуха D=1.2м2, числом труб n=958, длиной труб l=4м, поверхностью теплообмена F=301м2, с числом рядов np=32 и проходным сечением одного хода Sтр=0.052м.
Подробно рассчитаны два дефлегматора: четырехходовой – вручную, шестиходовой – с помощью ЭВМ (приложение 6).
Выбор дефлегматора зависит от конкретных критериев. В случае необходимости получения более высокой скорости протекания процесса необходимо использовать шестиходовой дефлегматор, так как скорость возрастает в число раз равное числу ходов, а в случае, когда в качестве основного критерия применяется минимизация затрат – четырехходовой.
Для изготовления аппарата выбрана нержавеющая сталь марки 12Х18Н10Т по ГОСТ 5949-75 с коэффициентом теплопроводности .
Список использованной литературы
Основные процессы и аппараты химической технологии /Пособие по проектированию/, Г.С. Борисов, В.П. Брыков, Ю.И. Дытнерский и др. Под. ред. Ю.И. Дытнерского, 2-ое изд. перераб. и дополнен. М: Химия, 1991 – 496 с.
Справочник химика том V, под ред П.Г.Романкова, 2-ое изд. перераб. и дополнен.Л Химия, 1968-975с.
Примеры и задачи по курсу процессов и аппаратов химической технологии /Учебное пособие/, К.Ф. Павлов, П.Г. Романков, А.А. Носков, 9-ое изд. перераб. и дополнен. Л. Химия,1987-575с.
Курсовое проектирование по процессам и аппаратам химической технологии. Краткие справочные данные /Метод указания/. ЛТИ им. Ленсовета – Л.: 1989, 40 с.
Нравится материал? Поддержи автора!
Ещё документы из категории химия:
Чтобы скачать документ, порекомендуйте, пожалуйста, его своим друзьям в любой соц. сети.
После чего кнопка «СКАЧАТЬ» станет доступной!
Кнопочки находятся чуть ниже. Спасибо!
Кнопки:
Скачать документ