Информатика






























































































































































































































Министерство образования и науки Украины
Донбасский государственный технический университет
Институт повышения квалификации
КОНТРОЛЬНАЯ РАБОТА
по Информатике
Выполнил:
ст. гр. ПМЧ-А-07з
Золотухин В.Ю.
.
Алчевск 2009
1. Как настроить панель быстрого запуска в Windows?
Панель быстрого запуска – это настраиваемая панель инструментов, позволяющая отобразить рабочий стол Windows или запустить программу (например, Internet Explorer) одним щелчком.
Панель быстрого запуска содержит значки для быстрого доступа к программам, отображения рабочего стола или выполнения других задач.
Итак, каким же образом мы можем создать панель быстрого запуска, если ее нет на рабочем столе?
В нижней части рабочего стола находится Панель задач, на которой должна находиться Панель быстрого запуска. Если ее нет и мы желаем ее создать, нам необходимо на пустом месте Панели задач щелкнуть правой кнопкой мыши, во всплывшем окне выбрать команду Панели инструментов, а затем выбрать Быстрый запуск. Рядом с кнопкой Пуск, справа, появится Панель быстрого запуска.
Чтобы добавить программу на Панель быстрого запуска в окне “Мой компьютер” или в окне проводника нужно выбрать значек программы, которую нужно добавить, и перетащить его в область быстрого запуска на панели задач, расположенную следом за кнопкой Пуск. Значек этой программы будет отображаться рядом с другими значками быстрого запуска на Панели задач.
Если при щелчке правой кнопки мыши на пустом месте Панели задач команда Панели инструментов не отображается, необходимо щелкнуть для снятия метки пункт Зафиксировать положение панели задач.
Если на Панели быстрого запуска от каких-либо значков необходимо избавится, это делается таким образом: щелкнув правой кнопкой мыши на значке, который необходимо удалить на Панели быстрого запуска, выбираем команду Удалить, тем самым отправляя этот значек в Корзину.
На рисунке 1 показана панель быстрого запуска: панель быстрого запуска
Рис. 1 – Панель быстрого запуска программ в Windows
2. Как изменить параметры настройки компьютера
Иногда необходимо настроить компьютер сообразно своим вкусам и решаемым задачам. Можно добавить цвета, узоры, рисунки, звуки для оформления своего рабочего стола. Можно настроить мышь, чтобы ей было удобно пользоваться. Можно задать автоматическую загрузку программ, а также многое другое.
Настройка компьютера сделает работу приятной и повысит ее эффективность.
Начнем с изменений параметров настройки Рабочего стола. Сюда включается настройка Фона рабочего стола, настройка Заставки рабочего стола, изменение разрешения экрана, звуковое оформление папок. Все изменения производятся так: в Пуске выбираем Панель управления, далее выбираем Экран (это же можно сделать, клацнув на Рабочем столе правой кнопкой мыши и выбрав Свойства). В открывшемся окне мы можем изменить все перечисленные параметры, выбирая их и подтверждая свой выбор.
Также к параметрам настройки компьютера относятся параметры настройки мыши.
Можно менять скорость, с которой указатель мыши перемещается по экрану , изменить стандартные указатели мыши, можно изменить функции кнопок мыши для работы левой рукой.
Для того, чтобы поменять настройки мыши, необходимо зайти в Пуск, затем выбрать Панель управления, далее Оформление и Темы. В группе “Смотрите также” нужно выбрать ссылку Указатели мыши.
Windows позволяет настроить меню Пуск и панель задач для быстрого запуска избранных программ в любое время. Нет необходимости искать нужные программы, если вы закрепите их в меню Пуск. Для легкого доступа к программам можно использовать панель Быстрый запуск.
Также имеется возможность разместить нужные значки на рабочем столе в виде ярлыков. Для этого необходимо создать ярлык нужного файла и переместить его на Рабочий стол.
3. Оптические накопители информации
Принцип работы всех существующих накопителей на оптических дисках основан на использовании лазерного луча для записи и чтения информации. В процессе записи лазерный луч оставляет на активном слое оптического носителя след, который затем можно воспринять по отражению читающего лазерного луча меньшей интенсивности.
Такие накопители по кратности записи информации делятся на три класса:
незаписываемые;
с однократной записью;
перезаписываемые.
Незаписываемые (внешние ПЗУ) обеспечивают многократное использование записанной в процессе изготовления дисков информации. Наиболее распространенными из них являются накопители со съемными компакт-дисками, или CD-ROMами. Они утвердились в издательском деле, широко используются для хранения крупных финансовых баз данных, справочных таблиц. Эти носители содержат около 700 Мбайт информации. Особенностью компакт-дисков является то, что их дорожки – это непрерывная спираль. Поэтому CD-ROM обычно вращается с переменной угловой скоростью (чтобы обеспечить постоянную скорость считывания). Именно этим обусловлена в них достаточно низкая скорость доступа к данным.
Диски с однократной записью (WORM-диски) предоставляют пользователю возможность самостоятельно записывать информацию. Но, однажды записав, ее уже невозможно исправить или изменить. Существенным достижением в этой области явилось создание “цифровой бумаги”. Из такой бумаги путем резки и штамповки создают носители разной геометрической формы: диски, ленты, карточки. К этому типу носителей относят также и DVD-диски. Они могут быть как односторонними, так и двусторонними. Причем на каждой стороне диска может быть один или два рабочих слоя. Продолжительность жизни таких дисков, согласно официальным оценкам, составляет сто лет. Никогда еще пользователи не получали одновременно такой большой объем дискового пространства, малое время доступа и надежность хранения информации.
Перезаписываемые оптические накопители делятся в свою очередь на оптические и магнитооптические. В оптических лазерный луч изменяет свойства диска (как в CD-ROM), а в магнитооптических (МО) – магнитные ( здесь, как правило, используется эффект Керра, заключающийся в изменении плоскости поляризации отраженного луча в зависимости от направления магнитного поля). В магнитооптических дисках реально объединены современные достижения магнитной и оптической технологий, обеспечивающие использование обеих поверхностей.
4. Выполнение задания с помощью «Проводника» и командного процессора «FAR»
Создадим четырёхуровневое дерево каталогов, включающее в себя 10 каталогов, имена каталогов начинаются с первой буквы фамилии:
В каталоге третьего уровня «Зефир» создадим 5 произвольных файлов:
Два файла из каталога третьего уровня скопируем в каталог второго уровня «Зола»:
И просмотрим их содержимое:
Один файл из каталога третьего уровня «Зефир» перенесём в каталог четвёртого уровня «Закат»:
Переименуем файл в каталоге четвёртого уровня «Закат» и дадим ему новое имя «delo.txt»:
Удалим файлы в каталоге второго уровня «Зола» группой, выделив их правой кнопкой мышки и нажав кнопку «Delete»:
Удалим каталоги третьего уровня «Закал», «Зефир» и «Зима»:
Удалим всё созданное дерево каталогов:
Выполним предложенное контрольное задание применив командный процессор FAR.
Создадим четырёхуровневое дерево каталогов, включающее в себя 10 каталогов, имена каталогов начинаются с первой буквы фамилии:
В каталоге третьего уровня «Зефир» создадим 5 произвольных файлов:
Два файла из каталога третьего уровня скопируем в каталог второго уровня «Зола»:
И просмотрим их содержимое:
Один файл из каталога третьего уровня «Зефир» перенесём в каталог четвёртого уровня «Закат»:
Переименуем файл в каталоге четвёртого уровня «Закат» и дадим ему новое имя «delo.txt»:
Удалим файлы в каталоге второго уровня «Зола» группой, выделив их правой кнопкой мышки и нажав кнопку «F8»:
Удалим каталоги третьего уровня «Закал», «Зефир» и «Зима»:
Удалим всё созданное дерево каталогов:
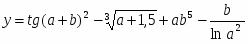
Задание № 5
Записать на языке программирования Qbasic арифметическое выражение. Запись осуществить двумя способами: с разбивкой выражений на части; полным выражением. Сравнить полученные результаты.
,
при a=1,21 и b=0,371
Блок-схема:
Начало
a=1,21; b=0,371
y1=
y2=
y3=
y4=
y=y1-y2+y3-y4
y1, y2, y3, y4
Конец
Полное выражение:
Начало
a=1,21; b=0,371
y
Конец
Задание № 6
Составить программу табулирования функции y. В таблицу вывести параметр цикла и результаты вычисления.
при x = 12,1 и Δс = 0,
Блок-схема:
Начало
x = 12,1
c = 1..-10, 0,5
x, y
Конец
Задание № 7
Составить программу табулирования функции y. В таблицу вывести параметр цикла и результаты вычисления.
при x = 12,1 и Δс = 0,5
Блок-схема:
Начало
x = 12,1
c = 1..-10, 0,5
x, y
Конец
Задание № 7
Составить программу табулирования функции y. В таблицу вывести параметр цикла и результаты вычисления.
при x = 12,1 и Δс = 0,5
Блок-схема:
Начало
x = 12,1
c = 1..-10, 0,5
x, y
Конец
Задание № 8
Составить программу табулирования функции у. В таблицу вывести параметр цикла и результаты вычисления.
; при х = 3,567 и ; Δа = 2,5
Блок-схема:
Начало
х = 3,567
а = -5..12, 2,5
а, у
Конец
Задание № 9
Составить программу вычисления суммы либо произведения (вложенные циклы).
; где а = 2,408;Δb = 0,02
Блок-схема:
Начало
а=2,408 SUM=0
c = 1..12
b = 0,2..0,4, 0,02
z = 1,38a + (c-b)
SUM = SUM + z
i, b SUM
Конец
Задание № 10
Составить программу вычисления функции (циклический вычислительный процесс с разветвлением). Распечатать результат вычисления и величину, от которой зависит выбор условия.
y = a+1,39x, если , причем -5<p<11, Δp=2
Блок-схема:
Начало
p=-5…11, 2
p<1,5 нет
да
` нет
да
p; y
p, y
нет
p>3
да
p, y
Конец
Нравится материал? Поддержи автора!
Ещё документы из категории информатика:
Чтобы скачать документ, порекомендуйте, пожалуйста, его своим друзьям в любой соц. сети.
После чего кнопка «СКАЧАТЬ» станет доступной!
Кнопочки находятся чуть ниже. Спасибо!
Кнопки:
Скачать документ