Коррекция дискретных систем управления









































































































Реферат
Предмет: Теория автоматического управления
Тема: Коррекция дискретных систем управления
1. Способы дискретной коррекции
Коррекция дискретных систем управления по сравнению с непрерывными системами, имеет ряд отличительных особенностей это, прежде всего, большее разнообразие методов и средств.
Как и для непрерывных систем используют последовательную и параллельную коррекцию.
Для дискретных систем коррекция может быть выполнена за счет изменения как непрерывной, так и дискретной части системы (рис. 1).
X y - ДЧ НЧ
ЦАП
K0(p)
ИУ
АЦП
Рис.1
ЭВМ
Коррекция непрерывной части. При последовательной коррекции непрерывной части корректирующее устройство включается в непрерывную часть контура управления, при этом корректирующее устройство меняет характеристики непрерывной части системы (рис. 2).
X y
-
Рис. 2
Kk(p)
T
Kp(p)
Передаточная функция разомкнутой, непрерывной, скорректированной системы равна
(1)
Передаточная функция замкнутой дискретной скорректированной системы равна
(2)
Как видно из формулы, выделить передаточную функцию корректирующего звена в явном виде нельзя. Для определения передаточной функции корректирующего звена используют частотные методы.
Порядок расчета корректирующего звена для дискретной системы
1. Строим АФХ не скорректированной разомкнутой непрерывной –Kp(j) и дискретной - K p* (j) систем. Так как прерывание ухудшает динамику, то АФХ разомкнутой дискретной системы хуже, чем непрерывной (ближе к критической точке).
2. Рассчитываем корректирующее устройство для непрерывной системы
3. Строим АФХ скорректированных систем (разомкнутой непрерывной и дискретной).
4. Строим переходный процесс и определяем показатели качества. Если он удовлетворяет требуемому, то корректирующее устройство выбрано удачно, в противном случае корректирующее устройство синтезируется методом последовательных приближений.
Достоинство метода: простота реализации корректирующего устройства.
Недостаток метода: сложно определить структуру корректирующего устройства.
+j
-1 +
Kp(j)
K*p(j)
Рис.3
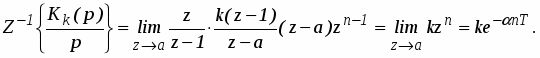
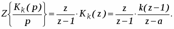
Коррекция при помощи дискретной цепи. При последовательной коррекции с помощью дискретной цепи корректирующее устройство меняет характеристики дискретной части системы (рис. 4).
X y - Рис. 4 Т Т Kk(p) Kp(p)
Передаточная функция замкнутой скорректированной системы равна
(3)
Применив метод билинейного преобразования, можно получить структуру передаточной функции корректирующего устройства в дискретной форме -Kk (z) аналогично, как и для непрерывных систем.
Передаточная функция корректирующего звена имеет вид
(4)
Достоинство: простота определения структуры корректирующего звена.
Недостаток: сложность реализации структуры.
2. Реализация дискретных передаточных функций
Необходимость реализации дискретных передаточных функций может возникнуть при коррекции дискретных систем управления, при этом используются различные методы. Наиболее часто используют следующие методы: с помощью линий задержки; с помощью импульсных RC-цепей; с помощью методов цифрового моделирования (непосредственного, последовательного или параллельного программирования).
Реализация дискретных передаточных функций с помощью линий задержки
Дискретную систему можно представить с помощью схемы, приведенной на рис 5, если записать ее передаточную функцию в виде
(5)
y x z-1 z-1 a1 a2 an bn b2 b1 b0 +
+
+
+
z-1
_
Рис. 5
Приведенная схема, реализующая дискретную передаточную функцию, состоит из усилителей и элементов задержки на один такт.
Пример 1. Реализовать дискретную передаточную функцию с помощью линий задержки.
.
Решение: Исходную передаточную функцию можно представить в виде
Передаточной функции соответствует структурная схема рис. 6.
x y b1 z-1
-
a1
Рис. 6 .
Реализации дискретных передаточных функций с помощью импульсных RC- цепей
В процессе дискретной коррекции определяем структуру корректирующего звена в форме z- преобразования. Корректирующее звено можно представить в виде схемы, приведенной на рис. 7.
x(p) y(p) Рис. 7 y*(p) Т 1-e-pT p K(p)
Т
Включение фиксатора последовательно звеном, реализующим передаточную функцию корректирующего устройства, упрощает структуру непрерывной части корректирующего устройства т. к. при этом на его входе не импульсы, а ступенчатый сигнал.
(6)
На основании этого соотношения можно определить передаточную функцию непрерывного корректирующего устройства.
Для определения передаточной функции непрерывного корректирующего устройства соотношение (6) можно представить в виде
(7)
Рассмотрим примеры
Пример 2. Реализовать дискретную передаточную функцию – Kk(z) с помощью импульсных RC- цепей.
Решение: Передаточную функцию непрерывного корректирующего устройства можно определить из соотношения.
Определим обратное z- преобразование
При этом
Полученная структура передаточной функции корректирующего устройства может быть реализована с помощью RC-цепи, схема которой приведена на рис. 8. Если T > то получим передаточную функцию интегрирующего контура.
Пример 3. Реализовать дискретную передаточную функцию – Kk(z) с помощью импульсных RC- цепей
Решение: Передаточную функцию непрерывного корректирующего устройства можно определить из соотношения.
Определим обратное z- преобразование
При этом
Это передаточная функция реального дифференцирующего звена, она может быть реализована с помощью RC-цепи, схема которой приведена на рис. 9.
R1
U1 R2 U2
C
Рис. 8.
С U1 R U2 Рис. 9.
Передаточная функция этой цепи имеет вид
Реализации дискретных передаточных функций с помощью цифрового моделирования
Этот метод используется в цифровых системах управления содержащих в своем составе цифровое вычислительное устройство (микропроцессор ЦВМ, микро-ЭВМ, и т. д.). При этом передаточная функция корректирующего устройства реализуется путем изменения алгоритма функционирования цифрового автомата, т. е. методом программирования.
Этот метод обладает простотой, удобством и гибкостью. При этом используются следующие методы программирования:
прямое (непосредственное) программирование;
последовательное (итеративное) программирование;
параллельное программирование.
Выбор метода зависит от объема памяти, необходимого для размещения постоянных коэффициентов (констант), исходных данных и команд, а также времени и точности вычислений (ошибок накопленных при округлении).
Метод непосредственного программирования
Необходимо реализовать передаточную функцию корректирующего устройства.
(8)
При этом система должна быть устойчивой и физически реализуемой (т.е. должно выполняться условие m n.)
Разделим полином числителя и знаменателя на zn (или умножим на z-n).
(9)
Запишем уравнение корректирующего звена в форме z – преобразования
(10)
(11)
Умножение на z-1 соответствует задержке на один такт, а на z-n на n–тактов. Запишем дискретное уравнение корректирующего звена
(12)
Алгоритм позволяет определить значение выходной величины в любой момент времени. Для этого необходимо знать текущее значение входной решетчатой функции и предыдущее значение выходной функции.
Пусть m < n, например m = n-1, при этом x[kT-nT+mT]bm = x[kT-T]bm т.е. необходимо знать предыдущее значение.
Пусть m = n, при этом x[kT-nT+mT]bm = x[kT]bm т. е. необходимо знать текущее значение.
Пусть m > n, например m = n+1, при этом x[kT-nT+mT]bm = x[kT+T]bm т.е. необходимо знать будущее значение (это физически нереализуемо).
Метод параллельного программирования
Разложим дискретную передаточную функцию на простые дроби:
(13)
Коэффициенты Ai находим методом неопределенных коэффициентов по теореме разложения.
При этом для первого звена можно записать следующие соотношения
(14)
Аналогичные соотношения можно записать для любого выхода. При этом передаточная функция может быть представлена в виде схемы, представленной на рис.
yn
y2
y1
x[nT]
y[nT]
K2(p)
Kn(p)
K1(p)
T
T
T
T
Рис. 10
Достоинство метода: высокое быстродействие.
Недостаток: необходимо много оборудования, меньше надежность.
Метод последовательного программирования
Передаточную функцию можно представить в виде:
(15)
При этом передаточная функция корректирующего звена может быть представлена как сумма передаточных функций.
Передаточная функция может быть представлена в виде схемы, представленной на рис. 11. Для выхода первого элемента можно записать соотношение
(16)
Аналогичное соотношение можно записать для любого выхода.
Для реализации необходимо иметь арифметическое устройство и регистры для хранения двух значений переменных (yi и yi-1).
x[nT] y1 y2 y[nT]
K2(p)
K1(p)
T
T
T
Рис. 11
Kn(p)
T
Достоинства метода:
простота реализации;
мало оборудования, больше надежность;
удобно производить настройку.
Недостаток: малое быстродействие.
Литература
Бесекерский В.А., Попов Е.П. "Теория систем автоматического управления". Профессия, 2003 г. - 752с.
Дорф Р., Бишоп Р. Автоматика. Современные системы управления. 2002г. – 832с.
Сборник задач по теории автоматического регулирования и управления/ Под редакцией В. А. Бесекерского. — M.: Наука, 1978.
Харазов В. Г. Интегрированные системы управления технологическими процессами: Справочник. Изд-во: Профессия, 2009. – 550с.
Чебурахин И. Синтез дискретных управляющих систем и математическое моделирование: теория, алгоритмы, программы. Изд-во: НИЦ РХД, Физматлит®, 2004. – 248c.
Нравится материал? Поддержи автора!
Ещё документы из категории информатика:
Чтобы скачать документ, порекомендуйте, пожалуйста, его своим друзьям в любой соц. сети.
После чего кнопка «СКАЧАТЬ» станет доступной!
Кнопочки находятся чуть ниже. Спасибо!
Кнопки:
Скачать документ