Наближене розв язування рівнянь графічне відокремлення коренів методи проб хорд і дотичних Д


































































































































































Пошукова робота на тему:
Наближене розв’язування рівнянь: графічне відокремлення коренів, методи проб, хорд і дотичних. Дотична і нормаль до кривої.
План
Дотична і нормаль до плоскої кривої
Наближене розв’язування рівнянь
Графічне відокремлювання коренів
Методи проб, хорд і дотичних
Інтерполювання
ГЕОМЕТРИЧНІ ЗАСТОСУВАННЯ ДИФЕРЕНЦІАЛЬНОГО ЧИСЛЕННЯ.
НАБЛИЖЕНЕ РОЗВ’ЯЗУВАННЯ РІВНЯНЬ
1. Дотична і нормаль до плоскої кривої
Якщо є рівняння кривої, а точка є точка дотику, то рівняння дотичної має вигляд
, (7.1)
де .
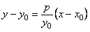
Пряма, яка проходить через точку дотику перпендикулярно до дотичної, називається нормаллю до кривої. Використаємо умову перпендикулярності двох прямих, тоді для нормалі одержимо рівняння
. (7.2)
Приклади.
1. Скласти рівняння дотичної та нормалі до параболи в довільній її точці .
Р о з в ’ я з о к. Диференціюємо рівняння параболи: , звідки , тому .
Рівняння дотичної до параболи
;
рівняння нормалі до параболи
.
2. Скласти рівняння дотичної та нормалі до циклоїди
.
Р о з в ’ я з о к. Обчислюємо
.
Рівняння дотичної до циклоїди в точці , що відповідає значенню параметра :
(дотична);
(нормаль).
Дотична і нормаль кривої, побудовані в довільній її точці , в перетині з віссю утворюють прямокутний трикутник (рис. 7.1).
Катети цього трикутника і та відрізки і часто використовуються в різних питаннях геометрії і дістали спеціальні позначення і назви:
- довжина дотичної;
- довжина нормалі;
- піддотична;
-піднормаль.
Рис.7.1
Ці відрізки можуть бути виражені через значення та в точці :
, або ;
, або ;
, або ;
, або .
Враховуючи, що як , так і можуть мати від’ємні значення, одержані формули перепишемо:
. (7.3)
2. Наближене розв’язування рівнянь
Розглянемо рівняння і нехай - його дійсний корінь, тобто Геометрично рівність означає, що графік функції проходить через точку осі Далі ми будемо розв’язувати задачу про знаходження з наперед заданою точністю наближеного значення кореня рівняння Спочатку розглянемо питання про відокремлення коренів рівняння.
Корінь рівняння відокремлений, якщо знайдено відрізок ( позначимо його ), в якому, крім , немає інших коренів цього рівняння.
Задача відокремлення коренів рівняння розв’язується просто, якщо побудова графіка функції не є важкою. Дійсно, маючи графік функції , легко виділити відрізки, в кожному із яких знаходиться лише один корінь розглядуваного рівняння, або, що те саме, виділити відрізки, на кожному із яких є лише одна точка перетину кривої з віссю
Відділити корені рівняння при умові, що - диференційована функція, можна не лише графічно. Нехай на кінцях деякого відрізка функція має значення різних знаків. Тоді за властивістю неперервних функцій ця функція на інтервалі по меншій мірі один раз обертається в нуль, тобто рівняння має по меншій мірі один корінь.
Якщо похідна зберігає знак на відрізку , то внаслідок монотонності функції рівняння на інтервалі має єдиний корінь.
У цьому випадку числа та є наближеними значеннями кореня відповідно з нестачею і з надлишком. Ці інтервали можна звужувати, тоді границі їх будуть давати все точніші наближення для коренів рівняння.
Нехай корінь рівняння відокремлений, тобто є відрізок , на якому, крім , немає інших коренів цього рівняння.
Відшукаємо значення з будь-якою точністю за таких допущень: функція має на відрізку неперервні похідні до другого порядку включно і, крім того, похідні і зберігають знаки на цьому відрізку. Із цих умов випливає, що - монотонна функція на відрізку , яка на кінцях має різні знаки, а також, що крива опукла або вгнута (рис.7.2).
Рис.7.2
Уточнимо корінь рівняння способами хорд і дотичних. Зміст цих способів полягає в тому, що точка перетину кривої з віссю замінюється точкою перетину з віссю відповідно хорди ( в методі хорд ) і дотичної (в методі дотичних ).
7.2.1.Метод хорд
Напишемо рівняння хорди:
і покладемо в нього . Знайдемо - абсцису точки перетину
хорди з віссю :
Із умов, яким задовольняє функція , випливає, що Позначимо через точку кривої , відповідну (рис.7.3).
Розглянемо хорду та знайдемо її точку перетину з віссю
при цьому
Продовжуючи цей процес, означимо послідовність :
Послідовність - монотонна, обмежена і збіжна. Можна довести, що .
Абсолютна похибка -го наближення оцінюється за нерівністю
де - найменше значення на відрізку Тому можна зупинити процес тоді, коли стане менше допустимої похибки результату.
3. Метод дотичних
Проведемо дотичну до кривої в точці (рис.7.4 ).
Саме в цій точці збігаються знаки функції та (дотична
до кривої в точці може перетнути вісь за межами відрізка
).
Рис.7.3 Рис.7.4
Знайдемо точку перетину цієї дотичної з віссю . Рівняння дотичної запишемо у вигляді:
.
Покладемо в цьому рівнянні . Знайдемо - абсцису точки перетину дотичної з віссю :
,
Значенню відповідає точка кривої . Абсциса точки перетину дотичної до кривої в точці з віссю буде
.
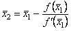
Продовжуючи цей процес, знайдемо
.
Послідовність- монотонна і обмежена. Можна довести, що .
Абсолютна похибка -го наближення може бути оцінена за нерівністю
.
Якщо потрібно обчислити корінь рівняння з
абсолютною похибкою, не більшою від заданого числа то закінчуємо обчислення при
.
Зауваження. На практиці часто використовують обидва методи. Одним методом одержують наближення шуканого кореня з нестачею, а другим – з надлишком.
Яким саме методом одержується наближення кореня з нестачею, а яким – з надлишком, залежить від функції . Якщо врахуємо, що кожна послідовність та - монотонна, то легко знаходити корінь з заданою точністю, оскільки знаки, що збігаються в наближеннях та (в наближеннях та ) є правильними.
Нравится материал? Поддержи автора!
Ещё документы из категории информатика:
Чтобы скачать документ, порекомендуйте, пожалуйста, его своим друзьям в любой соц. сети.
После чего кнопка «СКАЧАТЬ» станет доступной!
Кнопочки находятся чуть ниже. Спасибо!
Кнопки:
Скачать документ